东北师范大学历史专业师范类
- 格式:pdf
- 大小:256.07 KB
- 文档页数:7
东北师范大学师范专业学生培养方案为落实国务院《关于教育部直属师范大学师范生免费教育实施办法(实行)的通知》[国办发〔2007〕34号]文件精神与温家宝总理视察我校的指示精神,为培养出优秀的基础教育师资,引导学生乐于从教、终身从教,特制定师范专业学生培养方案。
一、培养目标与培养思路东北师范大学师范专业学生的培养目标是:引导和促进学生成为有见识、有能力、有责任感的自主学习者,培养其成为有理想、有抱负,德智体美全面发展,基础扎实且富有创新精神和实践能力的优秀中学教师,为其成为教育家奠定坚实基础。
具体地说,要培养我们的学生,具有“高尚的师德修养、扎实的专业知识、高超的教育技能、宽阔的学术视野、先进的教育理念、独立的研究能力”。
为实现师范专业学生的培养目标,学校确定了“宽口径、厚基础、精专业、强能力”的培养思路。
二、课程体系东北师范大学坚持“专业教育与教师职业教育高度融合”的师范大学模式。
师范专业的课程体系由通识教育课程、专业教育课程、教师职业教育课程三大模块构成。
三大模块课程相互交叉,三类教育课程相互融合,将教师教育贯穿于整个培养过程中。
(一)通识教育课程(50学分)通识教育课程是专业教育课程与职业教育课程的基础。
其目的是:对学生进行马克思主义理论教育与公民教育,使学生了解人文科学、社会科学、自然科学和艺术等方面的基本思想,形成学科知识的整体观念,促进不同学科知识及其思维方式的互动与迁移;使学生具备科学素养与人文精神,为学生终身学习与全面发展、为学生未来从事教师职业奠定必要的基础。
根据我校师范生培养目标和通识教育课程目标,学校规划通识教育课程由必修课(以下称“通修课”)和选修课(以下称“通选课”)组成。
通修课学分约占4/5(40学分左右),通选课学分约占1/5(10学分左右)。
通修课由思想政治理论课、健康体育与国防教育课、交流与表达课、数学与信息技术课四大类课程组成。
思想政治理论课、健康体育与国防教育课参照教育部的有关规定执行。
2024师范类大学排名全国2024年全国师范类大学排名揭晓,以下是对各大师范类大学的简要介绍:1. 北京师范大学作为中国历史最悠久、影响最大的师范类大学之一,北京师范大学一直以来都以其卓越的教学品质和优秀的师资而闻名于世。
学校设有多个学院,涵盖了教育学、文学、科学、人文社科等多个学科领域,培养了数位杰出的学者和教育家。
2. 上海师范大学上海师范大学是上海市的重点大学之一,以其优秀的科研实力和综合教学质量受到广泛好评。
学校设有教育学院、文学院、科学院等多个学院,侧重培养教育学、人文社会科学、自然科学等领域的优秀人才。
3. 南京师范大学南京师范大学是江苏省的重点大学,也是中国较为知名的师范类大学之一。
学校以其综合实力和教学质量在全国乃至国际上具有一定影响力。
南京师范大学设有教育科学学院、文学院、历史学院等多个学院,涵盖了教育学、文学、历史等领域。
4. 东北师范大学作为中国东北地区较为知名的师范类大学之一,东北师范大学以其雄厚的师资力量和严谨的教育理念而著称。
学校设有教育学院、文学院、理学院等多个学院,涵盖了教育学、文学、理学等领域,培养了大批优秀的教师和科研人才。
5. 西南师范大学西南师范大学位于重庆市,是中国西南地区的重点大学之一。
学校以其丰富的教育资源和创新的教学方法而获得了很高的声誉。
西南师范大学设有教育学院、文学院、历史文化学院等多个学院,涵盖了教育学、文学、历史文化等领域,积极培养各类优秀人才。
此外,其他具有较高排名的师范类大学还包括华东师范大学、华中师范大学、山东师范大学、华南师范大学等。
这些大学都以其独特的教育理念、高水平的教学科研和培养出的优秀人才而在师范类大学中具有一定地位和影响力。
以上是对2024年全国师范类大学排名的简要介绍,这些大学以其优秀的办学质量、雄厚的师资力量和先进的教育理念在师范教育领域做出了突出贡献,为国家培养了大量优秀的教育人才。
源源不断的人才是一个国家最宝贵的财富,而师范类大学作为培养教师和教育专业人才的重要阵地,对于一个国家的教育事业和人才培养有着举足轻重的影响。
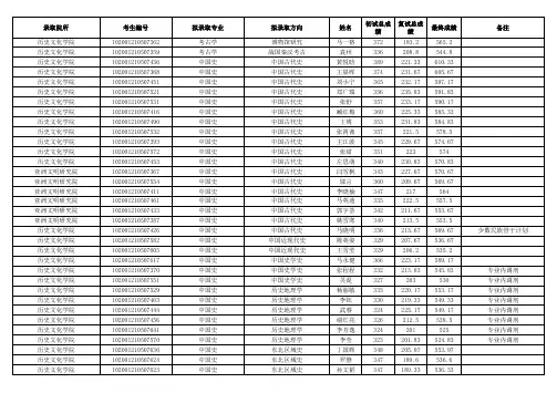
东北师范大学历史学考研参考书目标准化管理部编码-[99968T-6889628-J68568-1689N]东北师范大学历史学考研参考书目东北师范大学历史学考研备考过程中,同学们最关心的就是参考书的问题。
那么东北师范大学历史学考研参考书目到底有哪些呢下面,就让博仁考研老师为同学们详细介绍一下东北师范大学历史学考研参考书目。
一、东北师范大学历史学简介东北师范大学世界史系是由原来东北师范大学历史系的世界上古史、中古史、世界近代史和世界现当代史4个教研室、东北师范大学美国研究所以及一些日本史学者组成的。
长期以来,世界史专业在国内史学界享有盛誉。
东北师范大学中国史系是在原来的历史系中国古代史教研室和中国近现代史教研室(分别成立于1950年)基础上于2004年3月组建的。
系内现有中国古代史和中国近现代史两个二级博士点和硕士点,每年招收博士生15人,硕士生40-50人。
二、东北师范大学历史学考研参考书目东北师范大学历史学考研参考书目如下:朱绍候、张海鹏、齐涛主编:《中国古代史(新版.上册)》,福建人民出版社出朱绍候、张海鹏、齐涛主编:《中国古代史(新版.下册)》,福建人民出版社出李侃、李时岳着:《中国近代史(第四版)》,中华书局出版王桧林、郭大钧主编:《中国现代史(第二版)(上册)》,高等教育出版社王桧林、郭大钧主编:《中国现代史(第二版)(下册)》,高等教育出版社吴于廑、齐世荣主编:《世界史古代史编(上卷)》,高等教育出版社吴于廑、齐世荣主编:《世界史古代史编(下卷)》,高等教育出版社吴于廑、齐世荣主编:《世界史近代史编(上卷)》,高等教育出版社吴于廑、齐世荣主编:《世界史近代史编(下卷)》,高等教育出版社吴于廑、齐世荣主编:《世界史现代史编(上卷)》,高等教育出版社吴于廑、齐世荣主编:《世界史现代史编(下卷)》,高等教育出版社以上就是博仁考研老师为大家收集整理的东北师范大学历史学考研参考书,打算报考东北师范大学历史学研究生的同学们要注意仔细阅读!。
师范类大学全国排名第一篇:师范类大学全国排名师范类大学是培养教师和教育专业人才的高等学府,对于培养优秀的教育人才起着重要的作用。
下面将介绍中国师范类大学的全国排名,以供参考。
1. 北京师范大学:北京师范大学位于中国的首都北京,是国内一流的师范类大学之一。
该校拥有一流的师资队伍和教育资源,培养了大量的教育专业人才,并在教育学、心理学、社会学等领域具有较高的影响力。
2. 东北师范大学:东北师范大学位于中国东北地区的吉林省长春市,是中国重点支持的师范类大学之一。
该校在教育学、心理学、生态学等学科方向上有着深厚的积累和研究实力,并在教师教育与教育科学研究领域享有盛誉。
3. 南京师范大学:南京师范大学位于江苏省南京市,是江苏省重点建设的师范类大学之一。
该校拥有丰富的教育资源和学科专业,致力于培养德智体美劳全面发展的教育人才,具有较高的教育教学水平和科学研究实力。
4. 华东师范大学:华东师范大学位于中国的上海市,是上海市重点支持和建设的高水平大学之一。
该校在教育学、人文科学、社会科学等领域拥有雄厚的师资力量和科研实力,是培养优秀师范教育人才的重要基地。
5. 华中师范大学:华中师范大学位于湖北省武汉市,是湖北省重点建设的高水平大学之一。
该校培养了大量的优秀教育专业人才,拥有国内一流的教育学科和实验基地,以及一流的科研团队和教学设施。
6. 武汉师范大学:武汉师范大学是湖北省重点支持和建设的师范类大学之一,位于中国湖北省武汉市。
该校在教育学、师范教育等领域具有悠久的历史和丰富的经验,培养了许多优秀的教育人才。
7. 西南师范大学:西南师范大学位于中国的重庆市,是重庆市支持和建设的高水平大学之一。
该校在师范教育、教育学科和教育科研方面具有深厚的积累和丰富的经验,培养了大批优秀的教育专业人才。
8. 华南师范大学:华南师范大学位于中国的广州市,是广东省重点建设和支持的师范类大学之一。
该校在教育学、心理学、师范教育等领域具有突出的学科特色和优势,培养了大量的优秀教育人才。
2018年全国历史学专业大学排名及录取分
数线排名
历史学专业排名
专业类别毕业五年平均薪资工作地点男女比例历史学类¥4902
薪酬超过8%的专业北京市
14%在北京市工作女生较多
男38%-女62%
专业介绍:历史学专业学生主要学习历史科学的`基本理论和基本知识,受到中国历史和世界历史发展的基本史实及史学研究的基本训练,具有从事专业工作所需的基本能力。
【全国历史学专业大学排名及录取分数线排名】
历史学专业介绍
截至,全国开设历史学专业的高校数为228所,在上述院校中,历史学专业的排名如下:
专业排名学校名称星级排名1北京师范大学5★2华中师范大学5★3北京大学
5★4复旦大学5★5暨南大学5★6东北师范大学5★7武汉大学5★8中山大学5★9陕西师范大学5★10南京大学5★11四川大学5★12南开大学5★13华东师范大学4★14西北大学4★15山东大学4★16湖南师范大学4★17清华大学
4★18中国人民大学4★19厦门大学4★20西南大学4★。
东北师范大学2023年研究生专业目录
一、研究生专业
1、人文科学:文学
2、历史学
3、哲学
4、政治学
5、世界文学
6、法律学
7、社会学
8、艺术设计
9、公共管理10、体育科学11、社会工作
二、理工科学:1、数学与应用数学2、应用物理学3、电子信息科学
4、计算机科学与技术
5、材料物理
6、电气工程与自动化
7、机械电
子8、自动化9、土木工程10、环境与安全工程11、系统工程12、
化学工程及工艺13、生物医学工程14、过程装备与控制15、食品科
学与工程16、生物技术17、医学信息工程18、核科学与技术19、工业设计20、能源与动力工程
三、医学类:1、基础医学2、临床医学(预防医学方向、中医养生学方向)3、口腔医学4、公共卫生与预防医学5、药学(药剂学专业)6、护理学7、中西医结合8、医学实验学。
中国史系简介 我院中国史系是在原来的历史系中国古代史教研室和中国近现代史教研室(分别成⽴于1950年)基础上于2004年3⽉组建的。
⾃上世纪50年代以来,先后有徐喜⾠、陈连庆、张亮彩、李洵、吴枫、薛虹、孙守任、赵⽮元、常城、王维礼等国内外学者在系内任教。
由本系詹⼦庆、赵毅、赵轶峰等教授分别主编的《中国古代史》教材和赵⽮元、徐凤晨主编的《中国近代史》教材在国内长期享有盛名。
现今本系师资⼒量雄厚,教学科研⼈员为24名,其中具有博⼠学位的13⼈,在读博⼠学位2⼈,硕⼠学位4⼈,教授14⼈,副教授6⼈,助教2⼈;博⼠⽣导师7⼈,硕⼠⽣导师15⼈。
有多名教授在国际性、全国性、省级学术团体担任会长、副会长、常务理事职务。
系内具有特⾊的研究⽅向有先秦史、先秦诸⼦研究、秦汉史、辽宋⾦元史、明清史、中国古代思想史、明清经济史、东北边疆史;晚清民国史、中华⼈民共和国史、中外关系史、国际移民史、近现代思想⽂化史、中国近代经济史。
⽬前共承担国家社科基⾦、东北边疆历史与现状系列研究⼯程项⽬、国家《清史》编纂⼯程项⽬、教育部"211⼯程"项⽬、教育部⼈⽂社会科学重点研究项⽬、教育部社科基⾦、吉林省社科规划项⽬以及法国查⾥·梅耶基⾦会项⽬、⽇本东京⼤学合作研究项⽬等40个项⽬的研究。
系内现有中国古代史和中国近现代史两个⼆级博⼠点和硕⼠点,每年招收博⼠⽣15⼈,硕⼠⽣40-50⼈。
设备资料⽅⾯,系内拥有国内⼀流的现代化教学设备,图书资料中⼼藏有中、英、⽇、俄⽂书刊数万种,另有电⼦图书、⾳像资料、微缩胶⽚等各类资料数百种。
专业介绍 中国近代史:以研究1840-1918年间的晚清民初史为中⼼,现有曲晓范、⾼乐才、权赫秀、胡⾚军等4名教学和研究⼈员,承担全院本科⽣及函授⽣的中国近代史教学,开设选修课程有中国城市史、中国近代⽂化史、近代中外关系史、中国近代外交史、中国近代经济史、中国近代政治制度史等。
中国现代史:以研究1919-1949年间的民国历史为中⼼,现有程舒伟、于桂芬、智利疆等3名教学科研⼈员,承担全院本科⽣、函授⽣的中国现代史教学,开设的选修课有中国现代思想⽂化史、民国外交史、抗⽇战争史、近代中⽇关系史、伪满洲国史等。
东北师大专业设置
东北师范大学开设的专业涵盖了多个学科领域,包括但不限于经济学、法学、文学、历史学、教育学、理学、工学等。
具体专业包括经济学类、法学、汉语言文学、英语、俄语、德语、日语、商务英语、新闻传播学类、历史学、数学与应用数学、新闻学、经济学、广告学、体育教育、国际经济与贸易、金融学、人力资源管理、教育学、学前教育、会计学、财务管理、图书馆学、环境科学、环境工程、播音与主持艺术、生物科学、地理科学、物理学、哲学、日语、音乐学、汉语国际教育、电子信息科学与技术、统计学、材料物理、产品设计、经济统计学、数字媒体技术以及智能科学与技术等。
请注意,专业的具体设置可能会有变动,建议正式填报时以学校最新公布的数据为准。
东北师范大学师范专业学生培养方案为落实国务院《关于教育部直属师范大学师范生免费教育实施办法(实行)的通知》[国办发〔2007〕34号]文件精神与温家宝总理视察我校的指示精神,为培养出优秀的基础教育师资,引导学生乐于从教、终身从教,特制定师范专业学生培养方案。
一、培养目标与培养思路东北师范大学师范专业学生的培养目标是:引导和促进学生成为有见识、有能力、有责任感的自主学习者,培养其成为有理想、有抱负,德智体美全面发展,基础扎实且富有创新精神和实践能力的优秀中学教师,为其成为教育家奠定坚实基础。
具体地说,要培养我们的学生,具有“高尚的师德修养、扎实的专业知识、高超的教育技能、宽阔的学术视野、先进的教育理念、独立的研究能力”。
为实现师范专业学生的培养目标,学校确定了“宽口径、厚基础、精专业、强能力”的培养思路。
二、课程体系东北师范大学坚持“专业教育与教师职业教育高度融合”的师范大学模式。
师范专业的课程体系由通识教育课程、专业教育课程、教师职业教育课程三大模块构成。
三大模块课程相互交叉,三类教育课程相互融合,将教师教育贯穿于整个培养过程中。
(一)通识教育课程(50学分)通识教育课程是专业教育课程与职业教育课程的基础。
其目的是:对学生进行马克思主义理论教育与公民教育,使学生了解人文科学、社会科学、自然科学和艺术等方面的基本思想,形成学科知识的整体观念,促进不同学科知识及其思维方式的互动与迁移;使学生具备科学素养与人文精神,为学生终身学习与全面发展、为学生未来从事教师职业奠定必要的基础。
根据我校师范生培养目标和通识教育课程目标,学校规划通识教育课程由必修课(以下称“通修课”)和选修课(以下称“通选课”)组成。
通修课学分约占4/5(40学分左右),通选课学分约占1/5(10学分左右)。
通修课由思想政治理论课、健康体育与国防教育课、交流与表达课、数学与信息技术课四大类课程组成。
思想政治理论课、健康体育与国防教育课参照教育部的有关规定执行。
2023年湖南公费师范生录取分数线及院校名单(一览)2023年湖南公费师范生录取分数线及院校名单1、北京师范大学:物理类最低录取分为638分;2、陕西师范大学:物理类最低录取分为616分;3、东北师范大学:历史类最低录取分为608分;4、西南大学:历史类最低录取分为596分;具体院校录取分数线如下表所示:年份招生省份院校名称科目类型批次专业组方向最低分数线2023湖南北京师范大学(珠海校区)物理本科提前批公费师范生6462023湖南北京师范大学物理本科提前批公费师范生6382023湖南东北师范大学物理本科提前批公费师范生6202023湖南陕西师范大学物理本科提前批公费师范生6162023湖南西南大学物理本科提前批公费师范生6142023湖南华中师范大学物理本科提前批公费师范生6132023湖南北京师范大学(珠海校区)历史本科提前批公费师范生6362023湖南华东师范大学历史本科提前批公费师范生,国家专项6162023湖南东北师范大学历史本科提前批公费师范生6082023湖南华中师范大学历史本科提前批公费师范生5982023湖南西南大学历史本科提前批公费师范生5962023湖南东北师范大学历史本科提前批公费师范生,国家专项5942023湖南陕西师范大学历史本科提前批公费师范生593什么是公费师范生?公费生是指由中国中央财政承担其在校期间学费、住宿费并给予生活费补助的学生。
公费师范生毕业后一般回所在省份中小学任教,并承诺从事中小学教育工作6年以上。
到城镇学校工作的公费师范生,应到农村义务教育学校任教服务至少1年。
除了有公费师范生,部分省、市还有公费医学生和公费农科生也同样实施公费教育制度。
公费师范生发展历程2007年,我国迈出了免费师范生培养的第一步。
国务院决定在北京师范大学、华东师范大学、东北师范大学、华中师范大学、陕西师范大学和西南大学六所部属师范大学实行师范生免费教育。
2018年,教育部改进完善教育部直属师范大学师范生免费教育政策,将“免费师范生”改称为“公费师范生”。