建筑施工企业会计核算流程图
- 格式:xls
- 大小:25.00 KB
- 文档页数:1
工程施工企业会计核算流程一、业务凭证的登记和审核工程施工企业的会计核算流程的第一步是对业务凭证进行登记和审核。
在施工企业的日常经济活动中,每一笔经济业务都需要有相应的凭证进行登记。
凭证可以是采购凭证、销售凭证、合同、收据等。
在登记前,还需要对凭证进行审核,确保凭证的真实性、准确性和合法性。
二、原始凭证的整理和归档经过登记和审核后,需要对原始凭证进行整理和归档。
这是为了方便后续的查阅和核对工作。
一般而言,凭证按照日期和类型进行分类整理,并进行编号和归档,确保凭证的完整性和可追溯性。
三、会计账簿的设置和建账在工程施工企业的会计核算流程中,需要根据需要设置相应的会计账簿。
常见的会计账簿包括总账、明细账、日记账、现金账等。
会计人员根据企业的经营情况和需求,进行账簿的设置和建账。
建账时需要将凭证中的会计信息依次录入对应的会计科目中。
四、账务处理和结转在工程施工企业的会计核算流程中,账务处理和结转是非常重要的环节。
账务处理主要包括以会计凭证为基础,进行会计分录、上账、算账等操作,确保账务的准确性和完整性。
结转则是指将期间发生的各项业务进行汇总,并生成会计报表。
常见的结转方式包括月末结转、年末结转等。
五、会计报表的编制和分析在工程施工企业的会计核算流程中,会计报表的编制是最终的核算结果。
根据会计科目的余额,生成各种会计报表,如资产负债表、利润表、现金流量表等。
这些报表反映了企业的财务状况、经营成果和现金流量等。
会计人员可以通过对这些报表的编制和分析,了解企业的财务状况,并进行经营决策。
六、财务审计和报税申报最后,工程施工企业的会计核算流程还包括财务审计和报税申报两个环节。
财务审计是指对企业的会计核算工作进行全面检查和评估,确保会计信息的真实性和可靠性。
报税申报是指根据相关税法规定,将企业的财务信息按规定的时间和形式报送给税务机关。
总之,工程施工企业的会计核算流程是一个系统的、复杂的过程。
通过对经济业务的登记、凭证的整理、会计账簿的建账、账务处理和结转、会计报表的编制和分析,以及财务审计和报税申报,可以使企业的财务信息得到准确和及时的记录和汇总,为企业的经营决策和管理提供有效的支持。
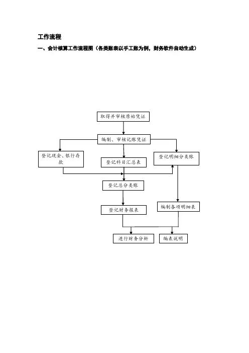
工作流程一、会计核算工作流程图(各类账表以手工账为例,财务软件自动生成)进行财务分析 编表说明 编制各项明细表 登记财务报表 取得并审核原始凭证 编制、审核记账凭证 登记科目汇总表登记明细分类账 登记现金、银行存登记总分类账1.取得并审核原始凭证在日常费用管理中,对报销人员或报销部门所提交上来的费用报销进行审核。
审核期间态度需客观、严谨、仔细、公正、公开。
审核内容:A. 报销凭证必须用蓝、黑墨水书写,不得用圆珠笔和铅笔书写。
填写内容须规范、摘要明了、字迹清晰,大小写金额、报销部门、日期、经手人填写无误且已经部门负责人审批,补充说明的费用事项需在备注栏注明。
报销凭证需先整理分类后填写。
B.原始凭证审核贴序需按报销凭证填写的顺序,一般按小上大下,零散票据、面积过大票据需按公司财务部规定方式粘贴。
发票类原始凭证超过规定额度时需与收据原始凭证分开填写。
原始凭证不得有涂划、修改痕迹,开具日期不得超过报销的合理周期,一般为一个月内,超过合理周期一概不给予办理报销。
特殊业务的需问明原由并有相关人员证明或提前告之财务部。
原始凭证的合法性和真实性。
审核所发生的经济业务是否符合国家、酒店有关规定的要求,有否违反财经制度的现象;原始凭证中所列的经济业务事项是否真实,有无弄虚作假情况。
如在审核原始凭证中发现有多计或少计收入、费用,擅自扩大开支范围、提高开支标准,巧立名目、虚报冒领、滥发奖金、津贴等违反财经制度和财经纪律的情况,不仅不能作为合法真实的原始凭证,而且要按规定进行处理。
关于采购报销的,还需将采购申请单作为附件附在相关原始凭证后面。
原始凭证的合理性。
审核所发生的经济业务是否符合厉行节约、反对浪费、有利于提高经济效益的原则,有否违反该原则的现象。
如经审核原始凭证后确实有使用预算结余购买不需要的物品,不能作为合理的原始凭证。
原始凭证的完整性。
审核原始凭证是否具备基本内容,有否应填未填或填写不清楚的现象。
如经审核原始凭证后确定有未填写接受凭证单位名称,无填证单位或制证人员签章,业务内容与附件不符等情况,不能作为内容完整的原始凭证。
建筑公司财务核算流程下载温馨提示:该文档是我店铺精心编制而成,希望大家下载以后,能够帮助大家解决实际的问题。
文档下载后可定制随意修改,请根据实际需要进行相应的调整和使用,谢谢!Download Tip: This document has been carefully written by the editor. I hope that after you download, they can help you solve practical problems. After downloading, the document can be customized and modified. Please adjust and use it according to actual needs. Thank you!建筑公司财务核算流程:①项目启动:成立建造合同协调小组,负责收入、成本、完工进度的确认。
②账务初始化:项目开工时,建立新账,合理设置会计科目及明细,为后续记账做准备。
③费用收集与分类:搜集项目费用与成本开支,细致分类,编制相应账单。
④账务处理:依据账单,及时汇总统计费用,形成应收款或应付款,完成账款的登记、核对及结算,包括税务处理。
⑤成本核算:定期计算工程实际成本,对比预算,分析差异原因,调整成本控制策略。
⑥收入确认:根据工程进度,遵循新收入准则,合理确认合同收入,计入“工程结算收入”。
⑦财务报告:编制项目及公司层面的财务报表,包括资产负债表、利润表、现金流量表等。
⑧税务申报:根据当地税法规定,按时完成增值税、所得税等税种的申报缴纳。
⑨审计与复核:内部审计与财务复核,确保账目准确无误,及时纠正错误。
⑩年末决算:年终进行全面财务决算,评估财务状况,为下一年度预算提供依据。
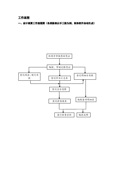
工作流程一、会计核算工作流程图(各类账表以手工账为例,财务软件自动生成)1.取得并审核原始凭证在日常费用管理中,对报销人员或报销部门所提交上来的费用报销进行审核。
审核期间态度需客观、严谨、仔细、公正、公开。
审核内容:A. 报销凭证必须用蓝、黑墨水书写,不得用圆珠笔和铅笔书写。
填写内容须规范、摘要明了、字迹清晰,大小写金额、报销部门、日期、经手人填写无误且已经部门负责人审批,补充说明的费用事项需在备注栏注明。
报销凭证需先整理分类后填写。
B.原始凭证审核➢贴序需按报销凭证填写的顺序,一般按小上大下,零散票据、面积过大票据需按公司财务部规定方式粘贴。
发票类原始凭证超过规定额度时需与收据原始凭证分开填写。
➢原始凭证不得有涂划、修改痕迹,开具日期不得超过报销的合理周期,一般为一个月内,超过合理周期一概不给予办理报销。
特殊业务的需问明原由并有相关人员证明或提前告之财务部。
➢原始凭证的合法性和真实性。
审核所发生的经济业务是否符合国家、酒店有关规定的要求,有否违反财经制度的现象;原始凭证中所列的经济业务事项是否真实,有无弄虚作假情况。
如在审核原始凭证中发现有多计或少计收入、费用,擅自扩大开支范围、提高开支标准,巧立名目、虚报冒领、滥发奖金、津贴等违反财经制度和财经纪律的情况,不仅不能作为合法真实的原始凭证,而且要按规定进行处理。
关于采购报销的,还需将采购申请单作为附件附在相关原始凭证后面。
➢原始凭证的合理性。
审核所发生的经济业务是否符合厉行节约、反对浪费、有利于提高经济效益的原则,有否违反该原则的现象。
如经审核原始凭证后确实有使用预算结余购买不需要的物品,不能作为合理的原始凭证。
➢原始凭证的完整性。
审核原始凭证是否具备基本内容,有否应填未填或填写不清楚的现象。
如经审核原始凭证后确定有未填写接受凭证单位名称,无填证单位或制证人员签章,业务内容与附件不符等情况,不能作为内容完整的原始凭证。
➢原始凭证的正确性。
审核原始凭证在计算方面是否存在失误。
分包工程结算(预结)入账流程财务部♦财务部,入账总经理♦完工结算审批♦预结进度直接提交财务,不需总经理审批公司成本部♦成本部造价师审核成本总监♦复核项目经理♦审核项目预算员♦项目预算员审核审核工程结算总价款♦预算员跟踪单据分包单位申请♦分包单位,提出工程结算申请履约验收♦主管工长,确认已全部完成合同内容。
♦质检员,确认施工质量达到合同要求。
♦保管员,确认已归还全部材料及工具。
♦安全员,确认安全、文明施工达到合同要求。
♦技术负责人/生产经理,审核分包工程款付款审批流程出纳 ♦付款总经理 ♦审批财务总监 ♦审核工程部总监 ♦审核成本总监 ♦复核财务管理中心♦财务经理,审核项目会计♦根据资金计划,填开支出证明单分包单位♦根据项目部的办款通知,办理手续,提供发票项目部♦施工员、质检员、安全员,签字确认完成合同内容,达到合同要求,有无扣罚款。
♦项目预算员,审核 ♦项目经理,审核 ♦成本部造价师,审核材料、机械结算入账流程财务部♦财务部入账总经理♦审批公司成本管理中心♦物资主管,审核♦成本部造价师,审核成本总监♦审核工程部总监♦审核成本总监♦复核项目经理♦审核签字项目预算员♦审核价格、数量材料(机械)供应商♦每月25日材料供应商提出对账申请♦供应商提供发票项目部♦项目保管员,确认材料数量,编制收料汇总单♦项目材料员,根据采购合同、确认价格,签字确认材料、机械款付款审批流程出纳 ♦付款总经理 ♦审批财务总监 ♦审核工程部总监 ♦审核成本管理中心♦成本造价师,审核 ♦成本总监,审核财务管理中心♦项目会计,审核 ♦财务经理,审核项目经理 ♦审核供应单位♦根据办款通知,提供相关资料项目材料员♦根据资金计划,填开用款申请单辅材现金采购借支流程出纳♦出纳检查手续是否完备 ♦手续完备,付款财务管理中心 ♦财务经理审核 ♦财务总监审批(单笔5000以下的,财务总监审批后即可办理付款)总经理或副总审批♦单笔5000-10000元,副总经理审批♦单笔10000元以上,总经理审批成本管理中心♦合约部物资主管,审核价格、数量和品牌等财务管理中心 ♦项目会计复核项目材料员♦项目材料员,填制借支单和用款申请单(附采购清单)项目经理 ♦审核,现金采购辅材核销流程出纳♦付款或核销借支财务管理中心♦财务经理,审核 ♦财务总监,审核总经理 ♦审批成本管理中心♦合约部物资主管,审核价格、数量和品牌等项目会计♦项目会计,审核发票合法有效性和采购数量与价格。
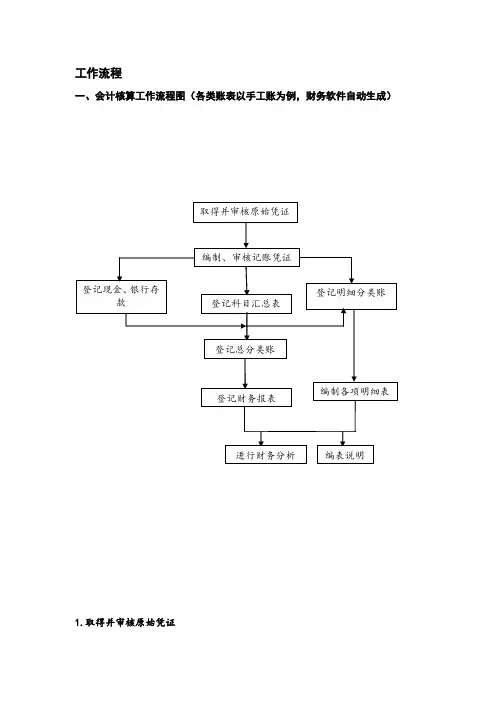
工作流程一、会计核算工作流程图(各类账表以手工账为例,财务软件自动生成)1.取得并审核原始凭证在日常费用管理中,对报销人员或报销部门所提交上来的费用报销进行审核。
审核期间态度需客观、严谨、仔细、公正、公开。
审核内容:A. 报销凭证必须用蓝、黑墨水书写,不得用圆珠笔和铅笔书写。
填写内容须规范、摘要明了、字迹清晰,大小写金额、报销部门、日期、经手人填写无误且已经部门负责人审批,补充说明的费用事项需在备注栏注明。
报销凭证需先整理分类后填写。
B.原始凭证审核➢贴序需按报销凭证填写的顺序,一般按小上大下,零散票据、面积过大票据需按公司财务部规定方式粘贴。
发票类原始凭证超过规定额度时需与收据原始凭证分开填写。
➢原始凭证不得有涂划、修改痕迹,开具日期不得超过报销的合理周期,一般为一个月内,超过合理周期一概不给予办理报销。
特殊业务的需问明原由并有相关人员证明或提前告之财务部。
➢原始凭证的合法性和真实性。
审核所发生的经济业务是否符合国家、酒店有关规定的要求,有否违反财经制度的现象;原始凭证中所列的经济业务事项是否真实,有无弄虚作假情况。
如在审核原始凭证中发现有多计或少计收入、费用,擅自扩大开支范围、提高开支标准,巧立名目、虚报冒领、滥发奖金、津贴等违反财经制度和财经纪律的情况,不仅不能作为合法真实的原始凭证,而且要按规定进行处理。
关于采购报销的,还需将采购申请单作为附件附在相关原始凭证后面。
➢原始凭证的合理性。
审核所发生的经济业务是否符合厉行节约、反对浪费、有利于提高经济效益的原则,有否违反该原则的现象。
如经审核原始凭证后确实有使用预算结余购买不需要的物品,不能作为合理的原始凭证。
➢原始凭证的完整性。
审核原始凭证是否具备基本内容,有否应填未填或填写不清楚的现象。
如经审核原始凭证后确定有未填写接受凭证单位名称,无填证单位或制证人员签章,业务内容与附件不符等情况,不能作为内容完整的原始凭证。
➢原始凭证的正确性。
审核原始凭证在计算方面是否存在失误。
建筑业会计科目核算框图
建筑业会计科目核算框图是对建筑业在进行日常经营活动时所涉
及的资金收支、借贷关系、成本费用等方面的会计科目进行分类和核
算的框架。
其主要内容包括资产、负债、所有者权益、收入、成本、
费用等六大类会计科目。
在其中,资产类会计科目主要包括固定资产、存货、应收账款等
项目,负债类会计科目包括应付账款、短期负债、长期负债等项目,
而所有者权益则包括股本、资本公积、盈余公积等项目。
另外,收入、成本、费用分别是建筑业在日常经营活动中最常涉
及的会计科目之一。
其中,收入类会计科目包括所有业务领域的收入,成本类会计科目则包括直接成本、间接成本和固定成本等项目,费用
类会计科目则包括办公费用、运营费用、管理费用、财务费用等。
有了这些会计科目的框架,建筑业可以更清晰地了解自身的经营
状况和财务状况,从而更好地制定行业解决方案,进一步提高自己的
商业竞争力。
工作流程一、会计核算工作流程图(各类账表以手工账为例,财务软件自动生成)1.取得并审核原始凭证在日常费用管理中,对报销人员或报销部门所提交上来的费用报销进行审核。
审核期间态度需客观、严谨、仔细、公正、公开。
审核内容:A. 报销凭证必须用蓝、黑墨水书写,不得用圆珠笔和铅笔书写.填写内容须规范、摘要明了、字迹清晰,大小写金额、报销部门、日期、经手人填写无误且已经部门负责人审批,补充说明的费用事项需在备注栏注明。
报销凭证需先整理分类后填写。
B.原始凭证审核➢贴序需按报销凭证填写的顺序,一般按小上大下,零散票据、面积过大票据需按公司财务部规定方式粘贴。
发票类原始凭证超过规定额度时需与收据原始凭证分开填写。
➢原始凭证不得有涂划、修改痕迹,开具日期不得超过报销的合理周期,一般为一个月内,超过合理周期一概不给予办理报销。
特殊业务的需问明原由并有相关人员证明或提前告之财务部。
➢原始凭证的合法性和真实性.审核所发生的经济业务是否符合国家、酒店有关规定的要求,有否违反财经制度的现象;原始凭证中所列的经济业务事项是否真实,有无弄虚作假情况.如在审核原始凭证中发现有多计或少计收入、费用,擅自扩大开支范围、提高开支标准,巧立名目、虚报冒领、滥发奖金、津贴等违反财经制度和财经纪律的情况,不仅不能作为合法真实的原始凭证,而且要按规定进行处理。
关于采购报销的,还需将采购申请单作为附件附在相关原始凭证后面。
➢原始凭证的合理性.审核所发生的经济业务是否符合厉行节约、反对浪费、有利于提高经济效益的原则,有否违反该原则的现象。
如经审核原始凭证后确实有使用预算结余购买不需要的物品,不能作为合理的原始凭证。
➢原始凭证的完整性。
审核原始凭证是否具备基本内容,有否应填未填或填写不清楚的现象。
如经审核原始凭证后确定有未填写接受凭证单位名称,无填证单位或制证人员签章,业务内容与附件不符等情况,不能作为内容完整的原始凭证。
➢原始凭证的正确性.审核原始凭证在计算方面是否存在失误。
修订城建集团有限公司“营改增”后收入、税金、成本确认核算流程一、会计处理核算原则(一)主营业务收入的确认按照《建造合同》准则规定,取得收入能够可靠地计量时予以确认。
每月按照取得的工程计量支付证书、结算书确认按照增值税价税分离计算不含税收入确认主营业务收入。
同时依据计量支付证书确认的金额记入应收账款,根据纳税义务发生时间,税金计入应交税费-待转销项税额科目,不含税收入记入工程结算。
(二)销项税额的计提如果工程结算书中或施工承包合同中未标明业主拖欠的部分工程款未来收款的时间,并且业主未按合同约定付款比例支付工程款,则当期确认的主营业务收入应计提的销项税额记入“应交税费-待转销项税额”科目进行核算,待实际收款开发票时将“应交税费-待转销项税额”结转并计入“应交税费-未交增值税-简易计税或应交税费-应交增值税-销项税额科目”科目。
(三)进项税额的计提按照工程进度表、材料验收单、机械日报汇总表等成本挂账单据,依据表中的数据进行价税分离挂账,税金计入应交税费-待确认进项税额或待认证进项税额中,待取得发票或实际认证发票时再计入应交税费-进项税额科目中。
二、会计账务处理流程(一)选择简易征收的老项目、甲供材、清包工1、根据取得的计量支付证书确认收入、成本、毛利借:主营业务成本工程施工-合同毛利贷:主营业务收入2、书面合同标明付款日期的,且本月未到付款日期或(书面合同未标明付款日期的)则依据计量支付证书计提待确认销项税。
借:应收账款贷:工程结算应交税费-待转销项税额-简易计税3、“上接序号2:”收款并开具增值税发票时,确认应交税费-销项税额,附发票记账联为附件。
借:应交税费-待转销项税额-简易计税贷:应交税费-未交增值税-简易计税4(1)、取得分包工程款进度(要求发票和工程进度书同时取得)借:工程施工应交税费-待确认进项税额-简易计税贷:应付账款借:应交税费-应交增值税-营改增抵减的销项税额贷:应交税费-待确认进项税额-简易计税4(2)、如未取得发票,按照合同约定税率,价税分离做账。
建筑工程主要业务会计核算流程1. 概述建筑工程是一个复杂的行业,需要进行严格的会计核算以确保财务数据的准确性和可靠性。
本文将介绍建筑工程主要业务的会计核算流程,包括合同签订、工程进度、成本控制、收款与付款等方面。
2. 合同签订阶段在建筑工程的开始阶段,企业与业主签订建筑工程合同。
在会计核算流程中,主要需要记录以下内容:•合同金额:记录合同的总金额。
•工程进度款比例:记录工程按照工程进度支付款项的比例。
•预收款:如果在合同签订前已经收取了一部分款项,需要进行预收款的核算。
3. 工程进度款的核算在建筑工程过程中,根据工程进度支付款项是一种常见的做法。
具体的会计核算流程如下:•确定工程进度款比例:根据合同中约定的工程进度款比例,确定每个阶段应该支付的金额。
•工程进度款的确认:根据实际工程进展情况,确认每个阶段的工程进度款,并进行会计记账处理。
4. 成本控制在建筑工程进行过程中,成本控制是非常重要的,对于企业的盈利能力和可持续发展至关重要。
具体的会计核算流程如下:•成本预算的编制:根据项目需求,编制合理的成本预算,并在会计系统中进行登记。
•成本核算:对于实际发生的成本,进行核算处理,并与成本预算进行对比,及时发现偏差并采取相应的措施。
5. 收款与付款的核算在建筑工程的进行过程中,企业既需要向业主收取款项,同时也需要向供应商、承包商等支付款项。
具体的会计核算流程如下:•收款登记:将实际收到的款项进行登记,及时核对与合同约定的金额。
•付款核算:将实际支付的款项进行核算处理,并确保与合同约定的金额一致。
6. 税务核算在建筑工程完成后,企业需要进行税务核算,以便及时申报纳税。
具体的会计核算流程如下:•确认应纳税额:根据企业所得税法规定,确认应纳税额。
•缴纳税款:按照税务部门的要求,及时缴纳应纳税额。
7. 总结在建筑工程的会计核算流程中,合同签订、工程进度、成本控制、收款与付款等环节都是非常重要的。
通过严格的会计核算流程,企业可以及时获取准确的财务信息,为企业的发展提供有力的支持。
建筑企业会计核算流程
嘿,朋友们!今天咱就来好好唠唠建筑企业会计核算流程那些事儿!
你想想啊,建筑企业可不就像一个庞大的机器,会计核算就是让这个机器顺畅运转的关键零件之一。
比如说,当建筑工人在工地上挥汗如雨地干活时,咱会计也没闲着呀,得把每一笔开支、收入都算得清清楚楚。
咱就从项目开始说起吧。
一接到项目,就得建个专门的账套,就好像给这个项目安个家一样。
然后各种费用就陆陆续续进来啦,像买材料花的钱,那可不能记错喽,不然到时候就乱套啦!接着到了给工人发工资的时候,这可容不得马虎,咱得一笔一笔核对清楚,让工人们都能开开心心领到自己的辛苦钱呀!这多重要呀!
在核算过程中,咱还得像个侦探似的,细心去发现有没有什么问题。
比如说,有没有重复计算的呀,有没有遗漏的呀。
这就好比在走迷宫,得找到正确的出口才行。
你说要是算错了一小步,那后面不就全乱啦?咱可不能犯这样的低级错误呀!
再说说成本的核算,那就像给建筑搭骨架,得稳稳当当的。
从材料成本到人工成本,都得精确计算。
这可不比你去超市买东西算账简单哦!举个例子,要是把一项成本算高了,那利润不就少啦?老板能乐意吗?
总之,建筑企业会计核算流程可太有意思啦!就像一场刺激的冒险,需要我们时刻保持警惕,认真对待每一个细节。
我觉得呀,这绝对是一份既充满挑战又非常有意义的工作,能让我们在其中找到成就感和乐趣呢!。
Q/08Q/ZSD08 20601C5—2014主要业务会计核算流程ZSD目录1与发包方相关业务流程................................ 错误!未定义书签。
2 与分包方相关业务流程 (8)2.1 工程分包业务流程 (9)2.2 设备租赁业务流程 (11)2.3 劳务派遣与劳务分包业务流程 (13)2.3.1劳务派遣业务流程 (13)2.3.2劳务分包业务流程 (14)3 与公司内部单位相关业务流程 (14)3.1 经营管理费业务流程 (14)3.2工资附加费业务流程 (15)3.3内部融通资金业务流程 (17)3.4内部往来业务流程 (19)3.5财务集中管理项目资金收支业务流程 (19)4 与税务部门相关业务流程 (22)4.1 增值税业务 (22)4.2 营业税业务 (25)4.3 城市建设维护税与教育费附加业务 (26)4.4 印花税业务.................................................... 2014 - 05 - 01发布2014 - 05 - 01实施4.5 个人所得税业务 (28)4.6 房产税业务 (29)4.7 城镇土地使用税 (29)5 实物资产核算业务流程 (30)5.1存货核算流程 (30)5.1.1原材料核算流程 (30)5.1.2周转材料核算流程 (35)5.1.3委托加工物资核算流程 (36)5.1.4产成品核算流程 (38)5.2固定资产核算流程 (39)5.3在建工程核算流程 (47)5.3.1发包方式的在建工程核算流程 (47)5.3.2企业自行建造固定资产核算流程 (51)5.3.3设备安装工程核算流程 (52)6 成本分配业务流程 (54)7 成本结转业务流程 (57)8 职工薪酬业务流程 (58)9 费用报销业务流程 (59)10研发支出业务流程 (60)11 安全费用业务流程 (61)12 备用金业务流程 (65)13 货币资金业务流程 (67)13.1库存现金业务流程 (67)13.2银行存款业务流程 (69)13.3其他货币资金业务流程 (71)13.4 920资金业务流程 (76)14 BOT业务流程 (79)14.1 项目前期准备阶段 (79)14.2 项目施工建造阶段 (81)14.3 竣工结转阶段 (85)14.4 经营服务阶段 (86)14.5 BOT项目的移交 (89)15 BT业务流程 (89)15.1设立项目公司的总承包BT模式 (89)15.2不设立项目公司的总承包BT模式 (94)16 其他特殊业务流程 (94)16.1 长期股权投资 (94)16.2 无形资产 (98)16.3 资产减值 (102)16.4 外币折算 (106)14.5 借款费用 (109)14.6 或有事项 (110)主要业务会计核算流程1与发包方相关业务流程2 与分包方相关业务流程2.1 工程分包业务流程2.2 设备租赁业务流程2.3 劳务派遣与劳务分包业务流程2.3.1劳务派遣业务流程2.3.2劳务分包业务流程劳务分包业务流程参照“工程分包业务流程”。
建筑施工企业工程核算会计流程一、向发包单位办理工程价款结算时(开出建安发票)
借:应收账款
贷:工程结算
二:收到工程款
借:银行存款
贷:应收账款
三、支付劳务款,材料款时
借:应付账款
贷:银行存款
四、结转成本时
借:工程施工--施工成本--人工费
材料费
机械使用费
其他直接费等
贷:应付账款
五、确认收入时
借:主营业务成本(工程结算成本)--以上各项费用工程施工--合同毛利
贷:主营业务收入(工程结算收入)
六、当工程完工时
借:工程结算
贷:工程施工--施工成本
合同毛利。