2021年专升本高等数学公式全集
- 格式:doc
- 大小:260.50 KB
- 文档页数:10
专升本高数公式大全1.二次函数的图像方程:f(x)=a(x-h)²+k2.平面直角坐标方程:Ax+By+C=03.二次曲线方程:Ax² + By² + Cxy + Dx + Ey + F = 04.圆的标准方程:(x-a)²+(y-b)²=r²5.椭圆的标准方程:(x-a)²/b²+(y-b)²/a²=16.双曲线的标准方程:(x-a)²/b²-(y-b)²/a²=17.抛物线的标准方程:(x-a)²=4p(y-b)8.三角函数的正余弦和差公式:(1) sin(A ± B)= sinAcosB ± cosAsinB(2) cos(A ± B) = cosAcosB ∓ sinAsinB(3) tan(A ± B) = (tanA ± tanB) / (1 ∓ tanAtanB)9.三角函数的倍角公式:(1) sin2A = 2sinAcosA(2) cos2A = cos²A - sin²A(3) tan2A = (2tanA) / (1 - tan²A)10.三角函数的半角公式:(1) sin(A/2) = ±√[(1 - cosA) / 2](2) c os(A/2) = ±√[(1 + cosA) / 2](3) tan(A/2) = ±√[(1 - cosA) / (1 + cosA)]注:±的选取根据A的象限确定。
11.三角方程的化简公式:(1) sin²x + cos²x = 1(2) 1 + tan²x = sec²x(3) 1 + cot²x = csc²x12.导数的基本公式:(1) (cf(x))' = cf'(x)(2)(f(x)±g(x))'=f'(x)±g'(x)(3)(f(x)g(x))'=f'(x)g(x)+f(x)g'(x)(4)(f(x)/g(x))'=[f'(x)g(x)-f(x)g'(x)]/[g(x)]²(5)(f(g(x)))'=f'(g(x))g'(x)(6)(f(x)⋅g(x)⋅h(x))'=f'(x)g(x)h(x)+f(x)g'(x)h(x)+f(x)g(x)h'( x)13.微分的基本公式:(1) dy = f'(x)dx(2) dy = dx/g'(y)(3) dy = p(x)dx + q(x)dx² + r(x)f'(x)14.积分的基本公式:(1) ∫cf(x)dx = c∫f(x)dx(2) ∫[f(x) ± g(x)]dx = ∫f(x)dx ± ∫g(x)dx(3) ∫f'(x)dx = f(x) + C(4) ∫f'(g(x))g'(x)dx = f(g(x)) + C15.牛顿-莱布尼兹公式:∫[a, b]f(x)dx = F(b) - F(a)注:其中F(x)为f(x)的一个原函数。
专升本高等数学公式大全导数公式:基本积分表:三角函数的有理式积分:ax x a a a ctgx x x tgx x x x ctgx x tgx a x x ln 1)(log ln )(csc )(csc sec )(sec csc )(sec )(22='='⋅-='⋅='-='='222211)(11)(11)(arccos 11)(arcsin x arcctgx x arctgx x x x x +-='+='--='-='⎰⎰⎰⎰⎰⎰⎰⎰⎰⎰+±+=±+=+=+=+-=⋅+=⋅+-==+==Ca x x a x dx C shx chxdx C chx shxdx Ca a dx a Cx ctgxdx x Cx dx tgx x Cctgx xdx x dx C tgx xdx x dx xx)ln(ln csc csc sec sec csc sin sec cos 22222222C axx a dx C x a xa a x a dx C a x ax a a x dx C a xarctg a x a dx Cctgx x xdx C tgx x xdx Cx ctgxdx C x tgxdx +=-+-+=-++-=-+=++-=++=+=+-=⎰⎰⎰⎰⎰⎰⎰⎰arcsin ln 21ln 211csc ln csc sec ln sec sin ln cos ln 22222222⎰⎰⎰⎰⎰++-=-+-+--=-+++++=+-===-Cax a x a x dx x a Ca x x a a x x dx a x Ca x x a a x x dx a x I nn xdx xdx I n n nn arcsin 22ln 22)ln(221cos sin 2222222222222222222222ππ222212211cos 12sin u dudx x tg u u u x u u x +==+-=+=, , , 一些初等函数: 两个重要极限:三角函数公式: ·诱导公式:·和差角公式: ·和差化积公式:2sin2sin 2cos cos 2cos2cos 2cos cos 2sin2cos 2sin sin 2cos2sin2sin sin βαβαβαβαβαβαβαβαβαβαβαβα-+=--+=+-+=--+=+αββαβαβαβαβαβαβαβαβαβαβαctg ctg ctg ctg ctg tg tg tg tg tg ±⋅=±⋅±=±=±±=±1)(1)(sin sin cos cos )cos(sin cos cos sin )sin( xxarthx x x archx x x arshx e e e e chx shx thx e e chx e e shx x xxx xx xx -+=-+±=++=+-==+=-=----11ln21)1ln(1ln(:2:2:22)双曲正切双曲余弦双曲正弦...590457182818284.2)11(lim 1sin lim 0==+=∞→→e xxx x x x·倍角公式:·半角公式:ααααααααααααααααααcos 1sin sin cos 1cos 1cos 12cos 1sin sin cos 1cos 1cos 122cos 12cos 2cos 12sin -=+=-+±=+=-=+-±=+±=-±=ctg tg·正弦定理:R CcB b A a 2sin sin sin === ·余弦定理:C ab b a c cos 2222-+=·反三角函数性质:arcctgx arctgx x x -=-=2arccos 2arcsin ππ高阶导数公式——莱布尼兹(Leibniz )公式:)()()()2()1()(0)()()(!)1()1(!2)1()(n k k n n n n nk k k n k n n uv v u k k n n n v u n n v nu v u v u C uv +++--++''-+'+==---=-∑中值定理与导数应用:拉格朗日中值定理。
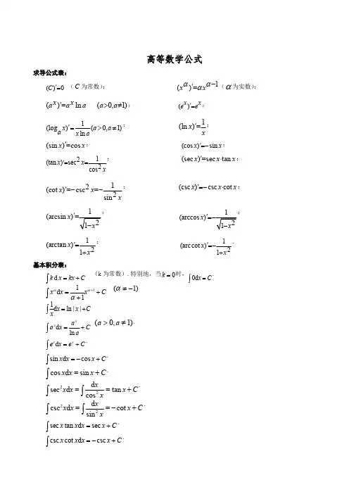
专升本高等数学公式定理大全一、导数相关公式和定理:1.基本导数公式:-常数函数导数为零:(k)'=0-幂函数导数:(x^n)'=n*x^(n-1)- 指数函数导数:(a^x)' = a^x * ln(a)- 对数函数导数:(log_a(x))' = 1 / (x * ln(a)) 2.常用导数公式:- sin(x)' = cos(x)- cos(x)' = -sin(x)- tan(x)' = sec^2(x)- cot(x)' = -csc^2(x)- sec(x)' = sec(x) * tan(x)- csc(x)' = -csc(x) * cot(x)- arcsin(x)' = 1 / sqrt(1 - x^2)- arccos(x)' = -1 / sqrt(1 - x^2)- arctan(x)' = 1 / (1 + x^2)3.高阶导数公式:-(f(x)g(x))'=f'(x)g(x)+f(x)g'(x)-(f(g(x)))'=f'(g(x))*g'(x)-(f(x)/g(x))'=(f'(x)g(x)-f(x)g'(x))/g^2(x)4.微分中值定理:-罗尔定理:若函数在[a,b]上连续,在(a,b)内可导,且f(a)=f(b),则存在c∈(a,b),使得f'(c)=0。
-拉格朗日定理:若函数在[a,b]上连续,在(a,b)内可导,那么存在c∈(a,b),使得[f(b)-f(a)]/[b-a]=f'(c)。
-柯西中值定理:若函数u(x)和v(x)在[a,b]上连续,在(a,b)内可导,并且v'(x)≠0,那么存在c∈(a,b),使得[u(b)-u(a)]/[v(b)-v(a)]=u'(c)/v'(c)。
成人高考专升本高等数学公式大全1.代数基本公式:-平方差公式:$a^2-b^2=(a+b)(a-b)$-三角恒等式:- 正弦定理:$\frac{a}{\sin A}=\frac{b}{\sin B}=\frac{c}{\sin C}$- 余弦定理:$c^2 = a^2 + b^2 - 2ab\cos C$- 正弦余弦定理:$\sin^2 A + \cos^2 A = 1$- 二项式定理:$(a + b)^n = \sum_{k=0}^{n}\binom{n}{k}a^{n-k}b^k$2.函数与极限公式:-导数的四则运算:- $(u \pm v)' = u' \pm v'$- $(uv)' = u'v + uv'$- $\left(\frac{u}{v}\right)' = \frac{u'v - uv'}{v^2}$- 泰勒公式:$f(x) = f(a) + f'(a)(x - a) + \frac{f''(a)(x - a)^2}{2!} + \cdots$-常用极限:- $\lim_{x \to 0}\frac{\sin x}{x} = 1$- $\lim_{x \to \infty}(1 + \frac{1}{x})^x = e$- $\lim_{x \to \infty}(1 + \frac{k}{x})^x = e^k$- $\lim_{n \to \infty}(1 + \frac{x}{n})^n = e^x$3.微分公式:-求导法则:-$(c)'=0$- $(x^n)' = nx^{n-1}$-$(e^x)'=e^x$- $(\ln x)' = \frac{1}{x}$-高阶导数:-$(f(x)g(x))''=f''(x)g(x)+2f'(x)g'(x)+f(x)g''(x)$-$(f(g(x)))''=f''(g(x))(g'(x))^2+f'(g(x))g''(x)$-微分运算法则:- $\frac{d(u \pm v)}{dx} = \frac{du}{dx} \pm \frac{dv}{dx}$ - $\frac{d(kv)}{dx} = k\frac{dv}{dx}$- $\frac{d(uv)}{dx} = u\frac{dv}{dx} + v\frac{du}{dx}$- $\frac{d(\frac{u}{v})}{dx} = \frac{v\frac{du}{dx} -u\frac{dv}{dx}}{v^2}$4.积分公式:-不定积分法则:- $\int k \,dx = kx + C$- $\int x^n \,dx = \frac{x^{n+1}}{n+1} + C, (n \neq -1)$- $\int e^x \,dx = e^x + C$- $\int \frac{1}{x} \,dx = \ln ,x, + C$-定积分法则:- $\int_a^b kf(x) \,dx = k\int_a^b f(x) \,dx$- $\int_a^b [f(x) + g(x)] \,dx = \int_a^b f(x) \,dx +\int_a^b g(x) \,dx$- $\int_a^b (f(x) - g(x)) \,dx = \int_a^b f(x) \,dx -\int_a^b g(x) \,dx$5.级数公式:-等比级数求和:$S_n = \frac{a(1-q^n)}{1-q}$,其中 $S_n$ 是前n 项和,a 是首项,q 是公比。
高等数学公式求导公式表:(为常数); (为实数);()0C '=C 1()x x ααα-'=α;;()ln (0,1)x x a a aa a '=>≠()x x e e '=; ;1(log )(0,1)ln x a a a x a'=>≠1(ln )x x '=;;(sin )cos x x '=(cos )sin x x '=-; ;12(tan )sec 2cos x x x'==(sec )sec tan x x x '=⋅; ;12(cot )csc 2sin x x x'=-=-(csc )csc cot x x x '=-⋅(arcsin )x '(arccos )x '; .1(arctan )21x x '=+1(arccot )21x x '=-+基本积分表:(k 为常数).特别地,当时,.d k x kx C=+⎰0k =0d x C =⎰11d 1x x C ααα+=++⎰(1)α≠-1d ln ||x x Cx =+⎰ .d ln x xa a x C a=+⎰(0,1)a a >≠.d x xe x e C =+⎰.sin d cos x x x C=-+⎰.cos d sin x x x C=+⎰.22d sec d tan cos xx x x C x==+⎰⎰.22d csc d cot sin xx x x C x==-+⎰⎰.sec tan d sec x x x x C =+⎰.csc cot d csc x x x x C=-+⎰h i narcsin x x C=+.arccos x C '=-+21d arctan 1x x Cx =++⎰.cot arc x C '=-+.tan d ln cos x x x C =-+⎰.cot d ln sin x x x C=+⎰.sec d ln sec tan x x x x C =++⎰.csc d ln csc cot x x x x C =-+. 1arctan xC a a+.1ln 2x aCa x a -++.arcsin (0)xx C a a =+>.x .21arcsin 22a x x C a =+31sec d sec tan ln sec tan 2x x x x x x C ⎡⎤=+++⎣⎦⎰三角函数的有理式积分:2222212sin cos tan1121u u xdu x x u dx u u u -====+++, , , 一些初等函数:()(0,1)log (0,1)sin ,cos ,tan ,cot ,sec ,csc arcsin ,arccos ,arctan ,arccot x a y x y a a a y x a a y x y x y x y x y x y xy x y x y x y xμμ==>≠=>≠==========幂函数:为实数指数函数:对数函数:三角函数:反三角函数::2:2:x xx xx xx xe e shx e e chx shx e e thx chx e e -----=+=-==+双曲正弦双曲余弦双曲正切ln(ln(11ln21arshx x archx x x arthx x=+=±++=-两个重要极限:sin lim 1x x x =→()11lim 1lim 10x xx e x x x ⎛⎫+=+= ⎪→∞→⎝⎭等价无穷小量替换当时,0x →~sin ~tan ~arcsin ~arctan x x x x x,~ln(1)~x +1xe -,121cos ~2x x -2~sin 2~tan 2x x x 11~2x-三角函数公式:·诱导公式:函数角A sin cos Tan cot-α-sinαcosα-tanα-cotα90°-αcosαsinαCotαtanα90°+αcosα-sinα-cotα-tanα180°-αsinα-cosα-tanα-cotα180°+α-sinα-cosαTanαcotα270°-α-cosα-sinαCotαtanα270°+α-cosαsinα-cotα-tanα360°-α-sinαcosα-tanα-cotα360°+αsinαcosαTanαcotα·和差角公式: ·和差化积公式:2sin2sin 2cos cos 2cos2cos 2cos cos 2sin2cos 2sin sin 2cos2sin2sin sin βαβαβαβαβαβαβαβαβαβαβαβα-+=--+=+-+=--+=+sin()sin cos cos sin cos()cos cos sin sin tan tan tan()1tan tan cot cot 1cot()cot cot αβαβαβαβαβαβαβαβαβαβαββα±=±±=±±=⋅⋅±=±Al l g si rga ·倍角公式:·半角公式:sincos 221cos sin 1cos sin tancot 2sin 1cos 2sin 1cos αααααααααααα==-+======+- ·正弦定理:·余弦定理:R CcB b A a 2sin sin sin ===C ab b a c cos 2222-+=·反三角函数性质:arcsin arccos arctan cot 22x x x arc xππ=-=- 高阶导数公式——莱布尼兹(Leibniz )公式:)()()()2()1()(0)()()(!)1()1(!2)1()(n k k n n n n nk k k n k n n uv v u k k n n n v u n n v nu v u vu C uv +++--++''-+'+==---=-∑ 中值定理与导数应用:()0()()()()()()()()()()F()f f b f a f b a f b f a f F b F a F x xξξξξ'='-=-'-='-=罗尔中值定理:拉格朗日中值定理:柯西中值定理:当时,柯西中值定理就是拉格朗日中值定理。
专升本高等数学公式(全)常数项级数:是发散的调和级数:等差数列:等比数列:nnn n qqq qq nn 1312112)1(32111112+++++=++++--=++++-级数审敛法:散。
存在,则收敛;否则发、定义法:时,不确定时,级数发散时,级数收敛,则设:、比值审敛法:时,不确定时,级数发散时,级数收敛,则设:别法):—根植审敛法(柯西判—、正项级数的审敛法n n n n nn n nn n s u u u s U U u ∞→+∞→∞→+++=⎪⎩⎪⎨⎧=><=⎪⎩⎪⎨⎧=><=lim ;3111lim2111lim1211 ρρρρρρρρ。
的绝对值其余项,那么级数收敛且其和如果交错级数满足—莱布尼兹定理:—的审敛法或交错级数1113214321,0lim )0,(+∞→+≤≤⎪⎩⎪⎨⎧=≥>+-+-+-+-n n n nn n n n u r r u s u u u u u u u u u u u绝对收敛与条件收敛:∑∑∑∑>≤-+++++++++时收敛1时发散p 级数: 收敛; 级数:收敛;发散,而调和级数:为条件收敛级数。
收敛,则称发散,而如果收敛级数;肯定收敛,且称为绝对收敛,则如果为任意实数;,其中111)1(1)1()1()2()1()2()2()1(232121p np nnn u u u u u u u u pnn n n幂级数:010)3(lim)3(1111111221032=+∞=+∞===≠==><+++++≥-<++++++++∞→R R R a a a a R R x R x R x R x a x a x a a x xx x x x x n n nn n nn n时,时,时,的系数,则是,,其中求收敛半径的方法:设称为收敛半径。
,其中时不定时发散时收敛,使在数轴上都收敛,则必存收敛,也不是在全,如果它不是仅在原点 对于级数时,发散时,收敛于 ρρρρρ函数展开成幂级数:+++''+'+===-+=+-++-''+-=∞→++nn n n n n n nn x n fx f x f f x f x R x f x x n fR x x n x fx x x f x x x f x f !)0(!2)0()0()0()(00lim )(,)()!1()()(!)()(!2)())(()()(2010)1(00)(20000时即为麦克劳林公式:充要条件是:可以展开成泰勒级数的余项:函数展开成泰勒级数:ξ一些函数展开成幂级数:)()!12()1(!5!3sin )11(!)1()1(!2)1(1)1(121532+∞<<-∞+--+-+-=<<-++--++-++=+--x n xxxx x x xn n m m m xm m mx x n n nm可降阶的高阶微分方程类型一:()()n y f x =解法(多次积分法):(1)()()n du u yf x f x dx-=⇒=⇒令多次积分求类型二:''(,')y f x y = 解法:'(,)dp p y f x p dx=⇒=⇒令一阶微分方程类型三:''(,')y f y y =解法:'(,)dp dp dy dp p y pf y p dxdy dxdy=⇒==⇒⇒令类型二类型四:)()('x Q y x p y =+若Q(X)等于0,则通解为⎰=-dxx p Ce y)((一阶齐次线性)。
专升本高等数学公式大全以下是一些高等数学常用的公式:1. 导数与微分公式:- 基本导数公式:(常数函数)' = 0,(x^n)' = nx^(n-1),(e^x)' = e^x,(a^x)' = a^xlna,(ln x)' = 1/x,(sin x)' = cos x,(cos x)' = -sin x,(tan x)' = sec^2 x,(cot x)' = -csc^2 x,(sec x)' = sec x tan x,(csc x)' = -csc x cot x- 乘积法则:(uv)' = u'v + uv'- 商法则:(u/v)' = (u'v - uv')/v^2- 链式法则:如果y = f(u)和u = g(x),则dy/dx = dy/du * du/dx2. 微分中值定理:- 拉格朗日中值定理:如果函数f(x)在闭区间[a, b]上连续,在开区间(a, b)上可导,则存在一个c∈(a, b),使得f'(c) = (f(b) - f(a))/(b - a)- 柯西中值定理:如果函数f(x)和g(x)在闭区间[a, b]上连续,在开区间(a, b)上可导,且g'(x) ≠ 0,则存在一个c∈(a, b),使得[f'(c)/g'(c)] = [f(b) - f(a)]/[g(b) - g(a)]3. 积分公式:- 基本积分公式:∫k dx = kx + C,∫x^n dx = (x^(n+1))/(n+1) + C (n≠-1),∫(1/x) dx = ln|x| + C,∫e^x dx = e^x + C,∫a^x dx = (a^x)/lna + C,∫sin x dx = -cos x + C,∫cos x dx = sin x + C,∫t an x dx = -ln|cos x| + C,∫cot x dx = ln|sin x| + C,∫sec x dx = ln|sec x + tan x| + C,∫csc x dx = ln|csc x - cot x|+ C- 线性性质:∫[a*f(x) + b*g(x)] dx = a∫f(x) dx + b∫g(x) dx- 分部积分法:∫u dv = uv - ∫v du4. 泰勒公式:- 一阶泰勒公式:f(x)≈f(a) + f'(a)(x - a)- 麦克劳林公式:f(x)≈f(a) + f'(a)(x - a) + f''(a)(x - a)^2/2! + ... + f^n(a)(x - a)^n/n!以上仅是一些高等数学中的基本公式,实际应用中还有更多公式与定理。
专升本高数公式大全总结以下是一些常用的高数公式总结:1. 导数公式:- 基本公式:$(c)^n = ncx^{n-1}$,其中c为常数,n为指数,x为变量。
- 基本函数的导数:$sinx' = cosx, cosx' = -sinx, tanx' = sec^2x, cotx' = -csc^2x, secx' = secxtanx, cscx' = -cscxcotx$。
2. 积分公式:- 基本公式:$\int f'(x)dx = f(x) + C$,其中C为常数。
- 基本函数的不定积分:$\int sinxdx = -cosx + C, \int cosxdx = sinx + C, \int tanxdx = -ln|cosx| + C$。
3. 三角函数公式:- 正弦定理:$\frac{a}{sinA}=\frac{b}{sinB}=\frac{c}{sinC}=2R$,其中a、b、c为三角形的边长,A、B、C为对应角,R为外接圆半径。
- 余弦定理:$c^2=a^2+b^2-2abcosC$。
- 正弦二倍角公式:$sin2x=2sinxcosx$。
- 余弦二倍角公式:$cos2x=cos^2x-sin^2x=2cos^2x-1=1-2sin^2x$。
4. 极限公式:- 基本公式:$\lim_{x\to c}f(x) = f(c)$,其中c为常数。
- 乘法法则:$\lim_{x\to c}[f(x)g(x)] = \lim_{x\to c}f(x) \cdot\lim_{x\to c}g(x)$。
- 除法法则:$\lim_{x\to c} \frac{f(x)}{g(x)} = \frac{\lim_{x\to c}f(x)}{\lim_{x\to c}g(x)}$,其中$\lim_{x\to c}g(x) \neq 0$。
5. 级数公式:- 等比数列求和公式:$S_n = \frac{a(1-q^n)}{1-q}$,其中S_n为前n项和,a为首项,q为公比。
专升本高等数学公式(全)常数项级数: 级数审敛法:绝对收敛与条件收敛: 幂级数:函数展开成幂级数: 一些函数展开成幂级数: 可降阶的高阶微分方程类型一:()()n y f x = 解法(多次积分法):(1)()()n duu y f x f x dx -=⇒=⇒令多次积分求类型二:''(,')y f x y = 解法:'(,)dpp y f x p dx =⇒=⇒令一阶微分方程类型三:''(,')y f y y = 解法:'(,)dp dp dy dp p y p f y p dx dy dx dy =⇒==⇒⇒令类型二类型四:)()('x Q y x p y =+若Q(X)等于0,则通解为⎰=-dxx p Ce y )((一阶齐次线性)。
若不等于0,通解⎥⎦⎤⎢⎣⎡+⎰⎰=⎰-c dx e x Q e y dx x p dx x p )()()((一阶齐次非线性)。
一阶齐次非线性方程的通解是对应齐次方程的通解与它的一个特解之和。
三、线性微分方程类型一:''()'()0y P x y Q x y ++=(二阶线性齐次微分方程) 解法:找出方程的两个任意线性不相关特解:12(),()y x y x 则:1122()()()y x c y x c y x =+类型二:''()'()()y P x y Q x y f x ++=(二阶线性非齐次微分方程)解法:先找出对应的齐次微分方程的通解:31122()()()y x c y x c y x =+ 再找出非齐次方程的任意特解()p y x ,则:1122()()()()p y x y x c y x c y x =++ 类型三:'''0y py q ++=(二阶线性常系数齐次微分方程)解法(特征方程法):21,20p q λλλ++=⇒=(一)122121240x x p q y c e c e λλλλ∆=->⇒≠⇒=+(二)12120()x y c c x e λλλλ∆=⇒==⇒=+(三)12120,(cos sin )x i i y e c x c x αλαβλαβββ∆<⇒=+=-⇒=+导数公式:基本积分表:ax x a a a ctgx x x tgx x x x ctgx x tgx a x x ln 1)(log ln )(csc )(csc sec )(sec csc )(sec )(22='='⋅-='⋅='-='='222211)(11)(11)(arccos 11)(arcsin x arcctgx x arctgx x x x x +-='+='--='-='三角函数的有理式积分:一些初等函数: 两个重要极限: ·和差角公式: ·和差化积公式:⎰⎰⎰⎰⎰⎰⎰⎰⎰⎰+±+=±+=+=+=+-=⋅+=⋅+-==+==Ca x x a x dx C shx chxdx C chx shxdx Ca a dx a Cx ctgxdx x Cx dx tgx x Cctgx xdx x dx C tgx xdx x dx xx)ln(ln csc csc sec sec csc sin sec cos 22222222C axx a dx C x a xa a x a dx C a x ax a a x dx C a xarctg a x a dx Cctgx x xdx C tgx x xdx Cx ctgxdx C x tgxdx +=-+-+=-++-=-+=++-=++=+=+-=⎰⎰⎰⎰⎰⎰⎰⎰arcsin ln 21ln 211csc ln csc sec ln sec sin ln cos ln 22222222⎰⎰⎰⎰⎰++-=-+-+--=-+++++=+-===-Cax a x a x dx x a Ca x x a a x x dx a x Ca x x a a x x dx a x I nn xdx xdx I n n nn arcsin 22ln 22)ln(221cos sin 2222222222222222222222ππ2sin2sin 2cos cos 2cos2cos 2cos cos 2sin2cos 2sin sin 2cos2sin2sin sin βαβαβαβαβαβαβαβαβαβαβαβα-+=--+=+-+=--+=+αββαβαβαβαβαβαβαβαβαβαβαctg ctg ctg ctg ctg tg tg tg tg tg ±⋅=±⋅±=±=±±=±1)(1)(sin sin cos cos )cos(sin cos cos sin )sin(·倍角公式: ·半角公式: ·正弦定理:R CcB b A a 2sin sin sin === ·余弦定理:C ab b a c cos 2222-+= ·反三角函数性质:arcctgx arctgx x x -=-=2arccos 2arcsin ππ中值定理与导数应用: :空间解析几何和向量代数 多元函数微分法及应用 微分法在几何上的应用:),,(),,(),,(30))(,,())(,,())(,,(2)},,(),,,(),,,({1),,(0),,(},,{,0),,(0),,(0))(())(())(()()()(),,()()()(000000000000000000000000000000000000000000000000000z y x F z z z y x F y y z y x F x x z z z y x F y y z y x F x x z y x F z y x F z y x F z y x F n z y x M z y x F G G F F G G F F G G F F T z y x G z y x F z z t y y t x x t M t z z t y y t x x z y x M t z t y t x z y x z y x z y x yx y x x z x z z y z y -=-=-=-+-+-==⎪⎩⎪⎨⎧====-'+-'+-''-='-='-⎪⎩⎪⎨⎧===、过此点的法线方程::、过此点的切平面方程、过此点的法向量:,则:上一点曲面则切向量若空间曲线方程为:处的法平面方程:在点处的切线方程:在点空间曲线ωψϕωψϕωψϕ方向导数与梯度:多元函数的极值及其求法: 柱面坐标和球面坐标: 曲线积分:。
导数公式:专升本高等数学公式大全2(tgx) sec x (arcsin x)(ctgx) 2 csc x(secx) secx tgx (arccosx)(cscx) cscx ctgx(a x) a x I na(arctgx) (Iog a X) 1 (arcctgx)1 1a r 2 1 X2.1 X2 1 X2基本积分表:三角函数的有理式积分:tgxdx In cosx C ctgxdx In sin x C secxdx In secx tgx Ccscxdx In cscx ctgx Cdx 2 .2 sec xdx tgx C cos xdx 2・2 csc xdx ctgx C sin xsecx tgxdx secx Cdx ~2 2 a x 1 丄x arctg C a adx x2a2dx2 2a x 丄ln|x a2a |x a1 , a x In2a a xcscx ctgxdx cscx Cxa x dx CIn ashxdx chx Cchxdx shx C异—arcsin 仝C “ a2 x2 adx 2 2 ——2 2 "( x x a ) C.x a2 2nn sin xdx ncos xdx 0 0'、 2 a dx x 2 x 2 a2x2a2 dx x ..x2a22<a2 2x dx x ■ a2 2 xI n2a . / In(x2a2I ——In x2x2 a2)2a . x arcs in C2 2 a2usinx 2,cosx1 u 2一些初等函数: 双曲正弦:shx 双曲余弦:chx 双曲正切:thxtg2,dx2du V~u\两个重要极限:xxe e2 xxe e2 x x shx e e xxchx e esin x ’ lim 1 x 0x lim(1丄广 x xe 2.718281828459045…arshx ln(x x 2 1) archx In (x x 2 1)arthx 1|n1 x2 1 三角函数公式: •诱导公式:-和差化积公式:sin( )sin coscos sin cos( )cos cossin sin、tg tgtg()1 tg tgctg()ctgctg 1ctgctg-和差角公式: sin sin sinsincos cos cos cos2sin cos — 2 2 2 cossin —222 cos cos —2 2 2 sin ------- s in ------2 2sin 2 2si n cos2 2cos2ctg2 ctg2 2ctgtg2 2tg 2•倍角公式:cos1 -半角公式: 1 1 2si n2 2cos ・2sin sin3 3si ncos3 4cos3tg33tg4sin33cos-3tg~2sin —21 cos21 coscos—21 cos21 cos sinsin 1 cosct g-1 cos sin1 cos sin 1 cos-正弦定理:,一sin A sin B 亠2Rsin C -余弦定理:b22abcosC-反三角函数性质: arcs inxarccosx arctgx arcctgx高阶导数公式一一莱布尼兹( Leibniz公式:(uv)(n)nCnU(nk 0k)v(k)u(n)v nu(n 1)v n(n 1)u2!(n 2)vn(n 1) (n kk!1) (n k)v(k)uv(n)中值定理与导数应用: 拉格朗日中值定理:柯西中值定理: f(b)f(b)f (a)f (a)F ()f ( )(b a))当F(x) x时,曲率:F(b) F(a)柯西中值定理就是拉格朗日中值定理。
常数项级数: 专升本高等数学公式(全)n等比数列: 1 qq 2q n 11 q1 q等差数列: 1 2 3 n ( n 1) n2调和级数: 11 1231 是发散的n级数审敛法:1、正项级数的审敛法 — —根植审敛法(柯西判1时,级数收敛 别法):设:lim nn u n ,则1时,级数发散 1时,不确定2、比值审敛法:1时,级数收敛设:limnU n 1 ,则U n1时,级数发散 1时,不确定3、定义法: s nu 1 u 2 u n ; lim ns n 存在,则收敛;否则发散。
交错级数 u 1 u 2 u 3 u 4u n(或 u n 1u 1 u 2 u 3 ,u n0) 的审敛法— —莱布尼兹定理:如果交错级数满足lim u nn,那么级数收敛且其和 s 0u 1,其余项r n 的绝对值 r n u n 1 。
绝对收敛与条件收敛:(1) u 1 u 2 u n (2) u 1u 2u 3,其中 u nu n 为任意实数;如果 ( 2)收敛,则 (1)肯定收敛,且称为绝对收敛级数;如果 ( 2)发散,而 1 (1) 收敛,则称 ( (1) 为条件收敛级数。
1) n调和级数:发散,而 n 收敛; n 级数: 1收敛; n 2p 级数: 1n pp 1时发散 p 1时收敛2 n 03幂级数:1 x x2x3xnx 1时,收敛于11 xx 1时,发散对于级数 ( 3) a 0a 1 x a x 2a xnx,如果它不是仅在原点 R 时收敛收敛,也不是在全数轴上都收敛,则必存在R ,使x R 时发散 xR 时不定,其中 R 称为收敛半径。
0时, R1求收敛半径的方法:设limna n 1a n ,其中 a n , a n 1是(3)的系数,则0时, R时, R 0函数展开成幂级数:函数展开成泰勒级数:f ( x )f ( x 0 )( xx 0 )f ( x 0 ) ( x 2!x 0 )f( n)( x ) ( x n!x 0 )余项: Rf ( n 1)( )( x x ) n1, f ( x)可以展开成泰勒级数的充要条件是:lim R(n 1)!f ( 0) 2 nnf( n )( 0)nx 00时即为麦克劳林公式:f ( x ) f ( 0) f ( 0) xx x2!n!一些函数展开成幂级数:(1 x)1 mx m( m 2!1) x m( m 1) ( m n!n 1) x( 1x 1)sin xxx x ( 1) n 12 n 1( x)3!5!( 2 n 1)!可降阶的高阶微分方程类型一: y( n )f ( x)解法(多次积分法): 令u ydu f (x)dx多次积分求f ( x)类型二: y '' f (x, y ')解法: 令p y 'dp f ( x , p )dx一阶微分方程类型三: y '' f ( y, y ')m2n( n 2nn5 x1)p( x) dx1 212121 2121 2解法: 令p y 'dp dp dy p dpf ( y , p )类型二dxdy dx dy类型四: y 'p ( x ) y Q ( x )若 Q(X) 等于 0,则通解为 y Ce(一阶齐次线性)。
专升本数学必考公式大全
以下是一些专升本数学考试中常用的公式:
1. 平方差公式:(a±b)² = a² ± 2ab + b²
2. 二次方程的根公式:对于 ax² + bx + c = 0,根的公式为 x = [-b ± √(b² - 4ac)] / 2a
3. 三角函数和三角恒等式:
- 正弦定理:a/sinA = b/sinB = c/sinC
- 余弦定理:c² = a² + b² - 2abcosC
- 正弦恒等式:sin(A ± B) = sinAcosB ± cosAsinB
- 余弦恒等式:cos(A ± B) = cosAcosB ∓ sinAsinB
4. 指数与对数运算:
- a^x = b,则x = log(a, b)。
其中,log(a, x)表示以a为底,x
的对数。
- 对数公式:log(a*b) = loga + logb;log(a/b) = loga - logb
5. 概率公式:
- 事件A的概率:P(A) = n(A) / n(S),其中n(A)表示事件A
的样本点个数,n(S)表示样本空间的样本点个数。
- 事件A和事件B同时发生的概率:P(A∩B) = P(A) * P(B|A),其中P(B|A)表示在事件A发生的条件下,事件B发生的概率。
- 事件A和事件B至少一个发生的概率:P(A∪B) = P(A) +
P(B) - P(A∩B)
这只是一些常用的数学公式,专升本数学考试还涵盖其他各个分支的知识,建议针对具体考试大纲进行深入学习和准备。
专升本高等数学公式大全1.极限公式:- $\lim\limits_{x\to a}(c)=c$,常数函数的极限等于常数c- $\lim\limits_{x\to a}(x)=a$,自变量x的极限等于自变量x的值a- $\lim\limits_{x\to a}(x^n)=a^n$,幂函数的极限等于它的自变量的值的n次幂- $\lim\limits_{x\to a}(c\cdot f(x))=c\cdot\lim\limits_{x\to a}(f(x))$,常数与函数的乘积的极限等于常数与函数极限的乘积- $\lim\limits_{x\to a}(f(x)+g(x))=\lim\limits_{x\toa}(f(x))+\lim\limits_{x\to a}(g(x))$,函数和的极限等于函数极限的和- $\lim\limits_{x\to a}(f(x)-g(x))=\lim\limits_{x\toa}(f(x))-\lim\limits_{x\to a}(g(x))$,函数差的极限等于函数极限的差- $\lim\limits_{x\to a}(f(x)\cdot g(x))=\lim\limits_{x\to a}(f(x))\cdot \lim\limits_{x\to a}(g(x))$,函数积的极限等于函数极限的积- $\lim\limits_{x\toa}(\frac{f(x)}{g(x)})=\frac{\lim\limits_{x\toa}(f(x))}{\lim\limits_{x\to a}(g(x))}$,函数商的极限等于函数极限的商(如果分母函数不等于0)2.微分和导数公式:- $y=f(x)$,则$dy=f'(x)\cdot dx$,微分形式为微分=导数乘以微小增量-$(c)'=0$,常数的导数等于0- $(x^n)'=nx^{n-1}$,幂函数的导数等于自变量的幂次减1再乘以原来的幂次-$(e^x)'=e^x$,指数函数的导数等于指数函数本身- $(\ln x)'=\frac{1}{x}$,自然对数函数的导数等于1除以自变量3.积分公式:- $\int c\,dx=cx$- $\int x^n\,dx=\frac{x^{n+1}}{n+1}+C$,幂函数的不定积分等于自变量的幂次加1再除以幂次加1再加上常数C- $\int e^x\,dx=e^x+C$,指数函数的不定积分等于自身再加上常数C- $\int \frac{1}{x}\,dx=\ln,x,+C$,自然对数函数的不定积分等于自然对数绝对值再加上常数C。
高等数学公式求导公式表:()0C '= (C 为常数); 1()x x ααα-'=(α为实数); ()ln (0,1)x x a a aa a '=>≠; ()x x e e '=;1(log )(0,1)ln x a a a x a'=>≠; 1(ln )x x '=;(sin )cos x x '=;(cos )sin x x '=-;12(tan )sec 2cos x x x'==; (sec )sec tan x x x '=⋅;12(cot )csc 2sin x x x'=-=-; (csc )csc cot x x x '=-⋅;(arcsin )x ';(arccos )x ';1(arctan )21x x '=+; 1(arccot )21x x '=-+.基本积分表:d k x kx C=+⎰ (k 为常数).特别地,当0k =时,0d x C=⎰.11d 1x x x C ααα+=++⎰ (1)α≠- 1d ln ||x x Cx =+⎰ d ln x xa a x Ca =+⎰ (0,1)a a >≠. d x x e x e C =+⎰.sin d cos x x x C=-+⎰. cos d sin x x x C=+⎰.22d sec d tan cos xx x x C x==+⎰⎰. 22d csc d cot sin xx x x C x==-+⎰⎰. sec tan d sec x x x x C =+⎰.csc cot d csc x x x x C =-+⎰.arcsinx x C=+arccos x C'=-+.21d arctan1x x Cx=++⎰cotarc x C'=-+.tan d ln cosx x x C=-+⎰.cot d ln sinx x x C=+⎰.sec d ln sec tanx x x x C=++⎰.csc d ln csc cotx x x x C=-+⎰.2211d arctanxx Ca x a a=++⎰.2211d ln2x ax Cx a a x a-=+-+⎰.arcsin(0)xx C aa=+>.lnx x C=+.21arcsin22a xx Ca=+.31sec d sec tan ln sec tan2x x x x x x C⎡⎤=+++⎣⎦⎰三角函数的有理式积分:2222212sin cos tan1121u u x du x x u dxu u u-====+++, , , 一些初等函数:()(0,1)log(0,1)sin,cos,tan,cot,sec,cscarcsin,arccos,arctan,arccotxay xy a a ay x a ay x y x y x y x y x y xy x y x y x y xμμ==>≠=>≠==========幂函数:为实数指数函数:对数函数:三角函数:反三角函数::2:2:x xx xx xx xe eshxe echxshx e ethxchx e e-----=+=-==+双曲正弦双曲余弦双曲正切ln(ln(11ln21arshx x archx x xarthx x==±++=-两个重要极限:sin lim 1x x x =→ ()11lim 1lim 10x xx ex x x ⎛⎫+=+= ⎪→∞→⎝⎭等价无穷小量替换当0x →时,~sin ~tan ~arcsin ~arctan x x x x x~ln(1)~x +1xe -,121cos ~2x x -,2~sin 2~tan 2x x x11~2x三角函数公式:·诱导公式:·和差角公式: ·和差化积公式:2sin2sin 2cos cos 2cos2cos 2cos cos 2sin2cos 2sin sin 2cos2sin2sin sin βαβαβαβαβαβαβαβαβαβαβαβα-+=--+=+-+=--+=+sin()sin cos cos sin cos()cos cos sin sin tan tan tan()1tan tan cot cot 1cot()cot cot αβαβαβαβαβαβαβαβαβαβαββα±=±±=±±=⋅⋅±=±·倍角公式:·半角公式:sin cos 221cos sin 1cos sin tancot 2sin 1cos 2sin 1cos αααααααααααα==-+======+- ·正弦定理:R CcB b A a 2sin sin sin === ·余弦定理:C ab b a c cos 2222-+=·反三角函数性质:arcsin arccos arctan cot 22x x x arc x ππ=-=- 高阶导数公式——莱布尼兹(Leibniz )公式:)()()()2()1()(0)()()(!)1()1(!2)1()(n k k n n n n nk k k n k n n uv v u k k n n n v u n n v nu v u v u C uv +++--++''-+'+==---=-∑中值定理与导数应用:()0()()()()()()()()()()F()f f b f a f b a f b f a f F b F a F x x ξξξξ'='-=-'-='-=罗尔中值定理:拉格朗日中值定理:柯西中值定理:当时,柯西中值定理就是拉格朗日中值定理。
专升本高数公式大全1.初等函数的性质- 一次函数的表达式:y = kx + b,其中k为斜率,b为截距。
- 二次函数的表达式:y = ax² + bx + c,其中a、b、c为常数。
-绝对值函数的表达式:y=,x。
2.导数与微分的基本公式- 函数极限的定义:lim(x→a) f(x) = L。
- 导数的定义:f'(x) = lim(Δx→0) [f(x+Δx) - f(x)] / Δx。
-基本导数公式:- (1) 若f(x) = xⁿ,则f'(x) = nxⁿ⁻¹。
-(2)若f(x)=eˣ,则f'(x)=eˣ。
- (3) 若f(x) = sin(x),则f'(x) = cos(x)。
- (4) 若f(x) = cos(x),则f'(x) = -sin(x)。
- (5) 若f(x) = ln(x),则f'(x) = 1/x。
3.极限的基本性质-极限的四则运算:- (1) 若lim(x→a) f(x) = A,lim(x→a) g(x) = B,则lim(x→a) [f(x)±g(x)] = A±B。
- (2) 若lim(x→a) f(x) = A,lim(x→a) g(x) = B,则lim(x→a) [f(x)g(x)] = AB。
- (3) 若lim(x→a) f(x) = A,lim(x→a) g(x) = B(B≠0),则lim(x→a) [f(x)/g(x)] = A/B。
- (4) 若lim(x→a) f(x) = A,则lim(x→a) [c·f(x)] = c·A。
4.函数的极值与最值-函数的极值:设f(x)在x₀处有定义,称f(x)在x₀处有极小值,如果存在εₒ>0,使得当0<,x-x₀,<εₒ时,恒有f(x)≥f(x₀)。
-函数的最值:设f(x)在区间I上有定义,x₀∈I,如果对于任意x∈I,恒有f(x)≥f(x₀),则称f(x)在x₀处有最小值。
专升本高等数学公式(全)常数项级数:2)1(32111112nn n q q q q q nn +=++++--=++++- 等差数列:等比数列: 常见数列的前n 项和:)1(21321+=++++n n n2)12(531n n =-++++ )14(31)12(53122222-=-++++n n n)12)(1(613212222++=++++n n n n )2)(1(31)1(433221++=+++⋅+⋅+⋅n n n n n111)1(1431321211+-=+++⋅+⋅+⋅n n n'''0y py q ++=(二阶线性常系数齐次微分方程)解法(特征方程法):21,20p q λλλ++=⇒=(一)122121240x x p q y c e c e λλλλ∆=->⇒≠⇒=+(二)12120()x y c c x e λλλλ∆=⇒==⇒=+(三)12120,(cos sin )x i i y e c x c x αλαβλαβββ∆<⇒=+=-⇒=+1.导数公式:x x 2sec )(tan ='x x 2c s c )(c o t -=' x x x c o t c s c )(c s c -=' x x x t a n s e c )(s e c =' x x a a a ∙='ln )( x x e e =')( a x x a ln 1)(log ='211)(a r c s i n x x -=' 211)(a r c c o s x x --=' 211)(arctan x x +=' 211)c o t (x x a r c +-=' x x f x x f x f x ∆'-∆+'=''→)()(l i m)(0基本积分表:三角函数的有理式积分:两个重要极限:常用三角函数公式:x x 22sec tan 1=+x x 22c s c c o t 1=+x xx 2tan 1tan 22tan -=2cos 12sin 2x x -=2c o s 12c o s 2x x +=x x x s i n c o s 12t a n -=⎰⎰⎰⎰⎰⎰⎰⎰⎰⎰+±+=±+=+=+=+-=⋅+=⋅+-==+==Ca x x a x dx C shx chxdx C chx shxdx Ca a dx a Cx ctgxdx x Cx dx tgx x Cctgx xdx x dx C tgx xdx x dx xx)ln(ln csc csc sec sec csc sin sec cos 22222222C axx a dx C x a xa a x a dx C a x ax a a x dx C a xarctg a x a dx Cctgx x xdx C tgx x xdx Cx ctgxdx C x tgxdx +=-+-+=-++-=-+=++-=++=+=+-=⎰⎰⎰⎰⎰⎰⎰⎰arcsin ln 21ln 211csc ln csc sec ln sec sin ln cos ln 22222222⎰⎰⎰⎰⎰++-=-+-+--=-+++++=+-===-Cax a x a x dx x a Ca x x a a x x dx a x Ca x x a a x x dx a x I nn xdx xdx I n n nn arcsin 22ln 22)ln(221cos sin 2222222222222222222222ππ...590457182818284.2)11(lim 1sin lim==+=∞→→e xx xx x x·和差角公式: ·和差化积公式:2sin2sin 2cos cos 2cos2cos 2cos cos 2sin2cos 2sin sin 2cos2sin2sin sin βαβαβαβαβαβαβαβαβαβαβαβα-+=--+=+-+=--+=+αββαβαβαβαβαβαβαβαβαβαβαctg ctg ctg ctg ctg tg tg tg tg tg ±⋅=±⋅±=±=±±=±1)(1)(sin sin cos cos )cos(sin cos cos sin )sin(·倍角公式:·半角公式:ααααααααααααααααααcos 1sin sin cos 1cos 1cos 12cos 1sin sin cos 1cos 1cos 122cos 12cos 2cos 12sin -=+=-+±=+=-=+-±=+±=-±=ctg tg·正弦定理:R CcB b A a 2sin sin sin === ·余弦定理:C ab b a c cos 2222-+=·反三角函数性质:arcctgx arctgx x x -=-=2arccos 2arcsin ππ中值定理与导数应用:拉格朗日中值定理。
专升本高等数学公式(全)常数项级数:是发散的调和级数:等差数列:等比数列:nnn n q q q q q nn 1312112)1(32111112+++++=++++--=++++-级数审敛法:散。
存在,则收敛;否则发、定义法:时,不确定时,级数发散时,级数收敛,则设:、比值审敛法:时,不确定时,级数发散时,级数收敛,则设:别法):—根植审敛法(柯西判—、正项级数的审敛法n n n n n n n n n n s u u u s U U u ∞→+∞→∞→+++=⎪⎩⎪⎨⎧=><=⎪⎩⎪⎨⎧=><=lim ;3111lim 2111lim 1211 ρρρρρρρρ。
的绝对值其余项,那么级数收敛且其和如果交错级数满足—莱布尼兹定理:—的审敛法或交错级数1113214321,0lim )0,(+∞→+≤≤⎪⎩⎪⎨⎧=≥>+-+-+-+-n n n nn n n n u r r u s u u u u u u u u u u u绝对收敛与条件收敛:∑∑∑∑>≤-+++++++++时收敛1时发散p 级数: 收敛; 级数:收敛;发散,而调和级数:为条件收敛级数。
收敛,则称发散,而如果收敛级数;肯定收敛,且称为绝对收敛,则如果为任意实数;,其中111)1(1)1()1()2()1()2()2()1(232121p n p n n n u u u u u u u u p n n n n幂级数:010)3(lim)3(1111111221032=+∞=+∞===≠==><+++++≥-<++++++++∞→R R R a a a a R R x R x R x R x a x a x a a x x x x x x x n n nn n n n n 时,时,时,的系数,则是,,其中求收敛半径的方法:设称为收敛半径。
,其中时不定时发散时收敛,使在数轴上都收敛,则必存收敛,也不是在全,如果它不是仅在原点 对于级数时,发散时,收敛于ρρρρρ函数展开成幂级数:+++''+'+===-+=+-++-''+-=∞→++nn n n n n n n n x n f x f x f f x f x R x f x x n f R x x n x f x x x f x x x f x f !)0(!2)0()0()0()(00lim )(,)()!1()()(!)()(!2)())(()()(2010)1(00)(20000时即为麦克劳林公式:充要条件是:可以展开成泰勒级数的余项:函数展开成泰勒级数:ξ某些函数展开成幂级数:)()!12()1(!5!3sin )11(!)1()1(!2)1(1)1(121532+∞<<-∞+--+-+-=<<-++--++-++=+--x n xx x x x x x n n m m m x m m mx x n n nm 可降阶高阶微分方程类型一:()()n y f x =解法(多次积分法):(1)()()n duu y f x f x dx-=⇒=⇒令多次积分求 类型二:''(,')y f x y =解法:'(,)dpp y f x p dx=⇒=⇒令一阶微分方程 类型三:''(,')y f y y = 解法:'(,)dp dp dy dp p y p f y p dx dy dx dy=⇒==⇒⇒令类型二 类型四:)()('x Q y x p y =+若Q(X)等于0,则通解为⎰=-dxx p Ce y )((一阶齐次线性)。
若不等于0,通解⎥⎦⎤⎢⎣⎡+⎰⎰=⎰-c dx e x Q e y dx x p dx x p )()()((一阶齐次非线性)。
一阶齐次非线性方程通解是相应齐次方程通解与它一种特解之和。
三、线性微分方程类型一:''()'()0y P x y Q x y ++=(二阶线性齐次微分方程) 解法:找出方程两个任意线性不有关特解:12(),()y x y x 则:1122()()()y x c y x c y x =+类型二:''()'()()y P x y Q x y f x ++=(二阶线性非齐次微分方程) 解法:先找出相应齐次微分方程通解:31122()()()y x c y x c y x =+ 再找出非齐次方程任意特解()p y x ,则:1122()()()()p y x y x c y x c y x =++ 类型三:'''0y py q ++=(二阶线性常系数齐次微分方程)解法(特性方程法):21,20p q λλλ++=⇒=(一)122121240x x p q y c e c e λλλλ∆=->⇒≠⇒=+(二)12120()x y c c x e λλλλ∆=⇒==⇒=+(三)12120,(cos sin )x i i y e c x c x αλαβλαβββ∆<⇒=+=-⇒=+导数公式:基本积分表:三角函数有理式积分:ax x a a a ctgx x x tgx x x x ctgx x tgx a x x ln 1)(log ln )(csc )(csc sec )(sec csc )(sec )(22='='⋅-='⋅='-='='222211)(11)(11)(arccos 11)(arcsin x arcctgx x arctgx x x x x +-='+='--='-='⎰⎰⎰⎰⎰⎰⎰⎰⎰⎰+±+=±+=+=+=+-=⋅+=⋅+-==+==Ca x x a x dx C shx chxdx C chx shxdx Ca a dx a Cx ctgxdx x Cx dx tgx x Cctgx xdx x dx C tgx xdx x dx xx)ln(ln csc csc sec sec csc sin sec cos 22222222C axx a dx C x a xa a x a dx C a x ax a a x dx C a xarctg a x a dx Cctgx x xdx C tgx x xdx Cx ctgxdx C x tgxdx +=-+-+=-++-=-+=++-=++=+=+-=⎰⎰⎰⎰⎰⎰⎰⎰arcsin ln 21ln 211csc ln csc sec ln sec sin ln cos ln 22222222⎰⎰⎰⎰⎰++-=-+-+--=-+++++=+-===-Cax a x a x dx x a Ca x x a a x x dx a x Ca x x a a x x dx a x I nn xdx xdx I n n nn arcsin 22ln 22)ln(221cos sin 2222222222222222222222ππ某些初等函数: 两个重要极限:·和差角公式: ·和差化积公式:2sin2sin 2cos cos 2cos2cos 2cos cos 2sin2cos 2sin sin 2cos2sin2sin sin βαβαβαβαβαβαβαβαβαβαβαβα-+=--+=+-+=--+=+αββαβαβαβαβαβαβαβαβαβαβαctg ctg ctg ctg ctg tg tg tg tg tg ±⋅=±⋅±=±=±±=±1)(1)(sin sin cos cos )cos(sin cos cos sin )sin( xxarthx x x archx x x arshx e e e e chx shx thx e e chx e e shx x xxx xx xx -+=-+±=++=+-==+=-=----11ln21)1ln(1ln(:2:2:22)双曲正切双曲余弦双曲正弦...590457182818284.2)11(lim 1sin lim 0==+=∞→→e xxx x x x·倍角公式:·半角公式:ααααααααααααααααααcos 1sin sin cos 1cos 1cos 12cos 1sin sin cos 1cos 1cos 122cos 12cos 2cos 12sin -=+=-+±=+=-=+-±=+±=-±=ctg tg·正弦定理:R CcB b A a 2sin sin sin === ·余弦定理:C ab b a c cos 2222-+=·反三角函数性质:arcctgx arctgx x x -=-=2arccos 2arcsin ππ中值定理与导数应用:拉格朗日中值定理。
时,柯西中值定理就是当柯西中值定理:拉格朗日中值定理:x x F f a F b F a f b f a b f a f b f =''=---'=-)(F )()()()()()())(()()(ξξξ:αααααααααα23333133cos 3cos 43cos sin 4sin 33sin tg tg tg tg --=-=-=αααααααααααααα222222122212sin cos sin 211cos 22cos cos sin 22sin tg tg tg ctg ctg ctg -=-=-=-=-==空间解析几何和向量代数。
代表平行六面体的体积为锐角时,向量的混合积:例:线速度:两向量之间的夹角:是一个数量轴的夹角。
与是向量在轴上的投影:点的距离:空间ααθθθϕϕ,cos )(][..sin ,cos ,,cos Pr Pr )(Pr ,cos Pr )()()(2222222212121*********c b a c c c b b b a a a c b a c b a r w v b a c b b b a a a kj ib ac b b b a a a b a b a b a b a b a b a b a b a a j a j a a j u j z z y y x x M Md zyxz y xz y xzyxz y xzy x z y x zz y y x x z z y y x x u u⋅⨯==⋅⨯=⨯=⋅==⨯=++⋅++++=++=⋅=⋅+=+⋅=-+-+-==(马鞍面)双叶双曲面:单叶双曲面:、双曲面:同号)(、抛物面:、椭球面:二次曲面:参数方程:其中空间直线的方程:面的距离:平面外任意一点到该平、截距世方程:、一般方程:,其中、点法式:平面的方程:113,,22211};,,{,1302),,(},,,{0)()()(1222222222222222222220000002220000000000=+-=-+=+=++⎪⎩⎪⎨⎧+=+=+===-=-=-+++++==++=+++==-+-+-cz b y a x c z b y a x q p z q y p x c z b y a x ptz z nty y mtx x p n m s t p z z n y y m x x C B A DCz By Ax d czb y a x D Cz By Ax z y x M C B A n z z C y y B x x A多元函数微分法及应用zy z x y x y x y x y x F F y zF F x z z y x F dx dy F F y F F x dx y d F F dx dy y x F dy y v dx x v dv dy y u dx x u du y x v v y x u u xvv z x u u z x z y x v y x u f z tvv z t u u z dt dz t v t u f z y y x f x y x f dz z dz zudy y u dx x u du dy y z dx x z dz -=∂∂-=∂∂=⋅-∂∂-∂∂=-==∂∂+∂∂=∂∂+∂∂===∂∂⋅∂∂+∂∂⋅∂∂=∂∂=∂∂⋅∂∂+∂∂⋅∂∂==∆+∆=≈∆∂∂+∂∂+∂∂=∂∂+∂∂=, , 隐函数+, , 隐函数隐函数的求导公式: 时,,当 :多元复合函数的求导法全微分的近似计算: 全微分:0),,()()(0),(),(),()],(),,([)](),([),(),(22微分法在几何上应用:),,(),,(),,(30))(,,())(,,())(,,(2)},,(),,,(),,,({1),,(0),,(},,{,0),,(0),,(0))(())(())(()()()(),,()()()(000000000000000000000000000000000000000000000000000z y x F z z z y x F y y z y x F x x z z z y x F y y z y x F x x z y x F z y x F z y x F z y x F n z y x M z y x F G G F F G G F F G G F F T z y x G z y x F z z t y y t x x t M t z z t y y t x x z y x M t z t y t x z y x z y x z y x yx y x x z x z z y z y -=-=-=-+-+-==⎪⎩⎪⎨⎧====-'+-'+-''-='-='-⎪⎩⎪⎨⎧===、过此点的法线方程::、过此点的切平面方程、过此点的法向量:,则:上一点曲面则切向量若空间曲线方程为:处的法平面方程:在点处的切线方程:在点空间曲线ωψϕωψϕωψϕ方向导数与梯度:上的投影。