量具台账
- 格式:xlsx
- 大小:12.64 KB
- 文档页数:1
量具台帐与检校记录引言:在生产和制造行业中,量具(也称为测量仪器或测量工具)是非常重要的工作设备。
它们用于检测和测量零件的尺寸、形状和其他关键参数,以确保产品质量符合要求。
为保证量具的精度和准确性,企业通常会建立量具台账并进行定期的检校记录。
本文将详细介绍量具台账的编制和检校记录的目的、内容及步骤。
一、量具台账的编制量具台账是用于记录企业所拥有的各种量具的一份清单。
编制量具台账的目的是为了管理和跟踪量具的数量、位置和状态,以及及时进行维护和校准。
以下是编制量具台账的几个重要步骤:1. 确定台账格式:根据企业的具体需求,确定量具台账的格式。
可以使用电子表格软件如Excel或专用的资产管理软件进行记录。
2.注册量具:将所有的量具按照一定的分类方法进行登记。
可以根据量具的类型(例如卡尺、游标卡尺、千分尺等)或使用场所(例如生产车间、质检部门)进行分类。
3.记录基本信息:对每一个登记的量具记录其基本信息,如量具编号、名称、型号、生产商、购买日期、购买价格等。
此外,还可以记录量具的使用者和存放位置等信息。
4.进行定期检查和清点:通过定期检查和清点已登记的量具,确保量具台账中的记录与实际情况一致。
记录量具的使用情况、损坏情况以及是否需要维护或校准等。
5.维护台账的完整性:跟踪量具的位置和使用情况,及时更新量具台账,确保台账的完整性和准确性。
二、检校记录的目的及内容检校记录是对量具进行校准的过程和结果进行详细记录的文件。
量具的校准是一种通过比较和调整量具与标准量具之间误差的过程,以确保量具的精度和准确性。
检校记录的目的是跟踪和控制量具的测量性能,并提供校准结果的证明。
以下是检校记录中应包括的内容:1.量具信息:记录被校准的量具的基本信息,如量具编号、名称、型号、生产商等。
确保记录准确无误。
2.校准日期和周期:记录量具的校准日期以及校准的周期。
根据量具的使用频率和重要性,制定合理的校准计划。
3.校准方法:记录所采用的校准方法和标准,以及校准的详细过程。
计量器具台账怎么做
计量器具台账就是自己用EXCEL表格把公司内所有的量具进行编号登记管理。
按照计量法规定,量具要按照级别分类管理,按照各自的规定周期进行检定,因此,量具也要分类登记在册。
这些登记量具的本本就是量具管理台账!现在的电脑时代,台账都通过计算机采用数据库管理软件进行管理,很方便!
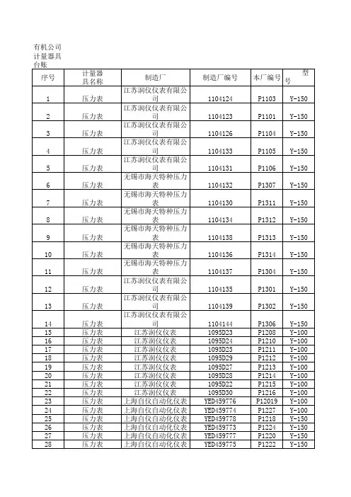
计量器具台账上都有哪些项目呢?正规的量具台账应当包含:序号、量具编号、量具名称、规格型号、出厂日期、验收日期、使用部门、使用状况和备注等。
值得注意的是检定周期不宜上量具台帐。
众所周知,量具周期不是一成不变的,如果量具周期有变,你怎么办?是整页的更换量具台帐还是涂改后再更正?所以说检定周期不宜上量具台帐。
量具台账与电子资料管理规定1. 引言2. 量具台账管理2.1 量具台账的定义与目的量具台账是用于记录和管理公司所拥有的所有量具和检测设备的清单。
它的目的是追踪和掌握量具的数量、状态、位置和使用信息,以便及时进行维护和管理。
2.2 量具台账的内容量具编号量具名称规格型号计量单位制造商购买日期使用部门存放位置责任人验证周期最近一次验证日期2.3 量具台账的维护与更新量具台账应由专人负责维护和更新。
当有新的量具进入公司时,应及时添加到台账中,并填写相关信息。
在量具遗失、报废或更换时,需要更新台账中的相关记录。
同时,定期检查量具,并及时更新验证周期和最近一次验证日期。
2.4 量具台账的存储与保管量具台账应存储在安全、可靠的位置,并且只能由授权人员访问。
为了防止数据丢失,应定期备份量具台账的电子版本。
3. 电子资料管理3.1 电子资料的定义与目的电子资料是指以电子形式存储的公司重要文件和数据。
它的目的是提高信息共享和管理效率,减少纸质文件的使用和保存成本。
3.2 电子资料的分类生产工艺文件标准操作规程检验报告和记录设备操作手册资质和证书3.3 电子资料的命名与归档为了方便管理和检索,电子资料应采用清晰、一致的命名规范进行命名。
命名规范可以包括日期、文件类型、文件名称等。
归档时应按照文件的类别和重要性进行分类和存储,以便快速查找和访问。
3.4 电子资料的访问权限与安全性为了确保电子资料的安全,需要对访问权限进行管控。
只有授权人员才能访问和修改电子资料。
还需要采取必要的安全措施,如加密和备份,以防止数据的丢失和被非法访问。
4. 总结量具台账和电子资料管理是企业质量管理的重要环节。
通过规范台账记录和电子资料管理的流程和要求,能够提高生产和质量控制的准确性和效率。
同时,合理的管理台账和电子资料还能促进信息共享和知识传递,提高企业的竞争力和可持续发展能力。
量具台账与维修记录保存管理制度1. 引言2. 量具台账管理2.1 量具台账的建立•为每一种量具建立一个台账,记录重要信息,包括量具名称、型号、规格、编号、所属部门、购买日期等。
量具台账应由专人负责建立和维护。
2.2 量具信息的更新•对于新购买的量具,应在台账中及时更新相关信息。
当量具出现损坏、更换、报废等情况时,也要及时更新相关信息。
2.3 量具存放地点的记录•每个量具都应有指定的存放地点,台账中需记录清楚每一把量具的具体存放位置,以便快速找到。
2.4 量具清点与盘点•定期对量具进行清点与盘点,确保每一把量具都与台账中的信息一致,如发现差异,应及时调查原因,并及时修改台账信息。
2.5 量具的借用与归还记录•对于需要借用的量具,应有借用登记表,登记借用人、借用日期、借用期限等信息。
借用人在归还量具时,应填写归还登记表,登记归还日期和状况。
2.6 量具台账的备份与存档•量具台账的信息应进行定期备份,并按规定时间进行存档,以保证信息的安全性和可追溯性。
3. 量具维修记录管理3.1 维修记录的建立•对于损坏或需要维修的量具,应建立维修记录。
维修记录包括维修日期、维修原因、维修内容和维修人员等信息。
3.2 维修记录的更新•每次维修后,应及时更新维修记录,并在量具台账中体现相关信息的变动。
3.3 维修记录的审批和归档•维修记录需要经过审批程序,审批人对维修记录进行审核,确保维修内容真实有效。
审批通过后,维修记录应进行归档,以备将来参考。
3.4 维修记录的统计和分析•定期统计和分析维修记录,对量具的维修情况进行评估和分析,为量具的维护提供参考依据。
4. 量具的报废处理4.1 报废条件与流程•根据量具的状况和使用寿命,制定报废条件和相应的报废流程,并在台账中跟踪记录报废流程。
4.2 报废量具的销毁与发放处理•对于达到报废条件的量具,应进行销毁处理,并严禁再次使用。
如果有价值,可以进行回收处理。
5. 附则•本制度自发布之日起生效,相关变更由管理者提出,并经相关人员讨论通过后执行。