钢材理论重量表大全(经典)
- 格式:xls
- 大小:44.50 KB
- 文档页数:4
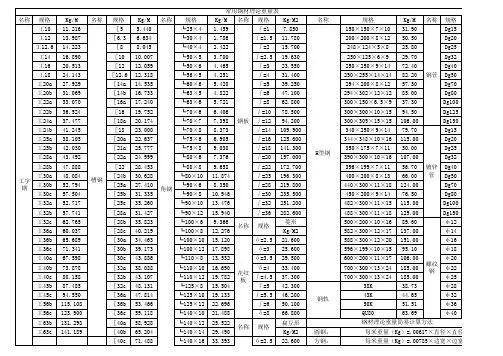
钢筋比重及各种钢材比重计算表螺纹钢及圆钢筋的重量表螺纹钢Φ9-0.499kg/mΦ10-0.617kg/mΦ12-0.888kg/mΦ14-1.21kg/mΦ16-1.58kg/mΦ18-2.00kg/mΦ20-2.47kg/mΦ22-2.98kg/mΦ25-3.85kg/mΦ28-4.83kg/mΦ32-6.31kg/mΦ40-9.87kg/m同圆钢具体算法可以采用直径除以10然后平方再乘以0.617kg/m 也就是10mm直径钢筋的每米重量这样就可以算出任何直径的钢筋重量直径相同的螺纹钢圆钢带肋钢每米重量都相等所以只需要考虑直径就行了比如6mm钢每米重量就是0.6*0.6*0.617=0.222这就是6mm钢筋每米的重量了直径乘以直径乘0.006165(国家标准)商家默认标准:直径乘以直径乘0.00617其他:方钢 W=0.00785乘边长的平方扁钢:W=0.00785×宽×厚钢板 W=7.85×宽×厚钢管:W=(外径-壁厚)×壁厚×0.02466渡锌类:W=原理论重量×1.06钢筋规格重量表圆钢规格重量表规格截面面积重量(kg/m)Ф3.5 9.62 0.075Ф4 12.57 0.098Ф5 19.63 0.154Ф5.5 23.76 0.187Ф5.6 24.63 0.193Ф6 28.27 0.222Ф6.3 31.17 0.245Ф6.5 33.18 0.260Ф7 38.48 0.302Ф7.5 44.18 0.347Ф8 50.27 0.395Ф9 63.63 0.499Ф10 78.54 0.617Ф11 95.03 0.746Ф12 113.10 0.888Ф13 132.70 1.04Ф14 153.90 1.21Ф15 176.70 1.39Ф16 201.10 1.58Ф17 227.00 1.78Ф18 254.50 2.00Ф19 283.50 2.23Ф20 314.20 2.47Ф21 346.40 2.72Ф22 380.10 2.98Ф24 452.40 3.55Ф25 490.90 3.85Ф26 530.90 4.17Ф28 615.80 4.83Ф30 706.90 5.55Ф32 804.20 6.31Ф34 907.90 7.13工字钢规格重量表工字钢型号尺寸(mm)截面面积(cm2)重量(kg/m)高腿宽腹厚10 100 68 4.5 14.3 11.212 120 74 5.0 17.8 14.014 140 80 5.5 21.5 16.916 160 88 6.0 26.1 20.518 180 94 6.5 30.6 24.120A 200 100 7.0 35.5 27.9 20B 200 102 9.0 39.5 31.1 22A 220 110 7.5 42.0 33.0 22B 220 112 9.5 46.4 36.4 24A 240 116 8.0 47.7 37.4 24B 240 118 10.0 52.6 41.2 27A 270 122 8.5 54.6 42.8 27B 270 124 10.5 60.0 47.1 30A 300 126 9.0 61.2 48.030B 300 128 11.0 67.2 52.7 30C 300 130 13.0 73.4 57.4 36A 360 136 10.0 76.3 59.9 36B 360 138 12.0 83.5 65.6 36C 360 140 14.0 90.7 71.2 40A 400 142 10.5 86.1 67.6 40B 400 144 12.5 94.1 73.8 40C 400 146 14.5 102 80.1槽钢规格重量表槽钢型号尺寸截面面积(cm2)重量(kg/m)高腿长腰厚5 50 37 4.5 6.93 5.446.5 65 40 4.8 8.54 6.708 80 43 5.0 10.24 8.04 10 100 48 5.3 12.74 10.00 12 120 535.5 15.36 12.06 14A 140 586.0 18.51 14.53 14B 140 60 8.0 21.31 16.73 16A 160 63 6.5 21.95 17.23 16B 160 658.5 25.15 19.74 20A 200 73 7.0 28.83 22.63 20B 200 75 9.0 32.83 25.77 30A 300 85 7.5 43.89 34.45 30B 300 87 9.5 49.59 36.16 30C 300 89 11.5 55.89 43.81最近学了很多钢筋图,然后猛然不知道钢筋的计算,现在自己总结一下给大家分享直径为d的钢筋的理论重量=d^2/100*0.617=d^2X0.00617^2为平方,0.617为直径为10钢筋的理论重量,只需要记住10钢筋的理论重量即可!直径12及以下的保留三位小数;直径12以上的保留两位小数;保留时候6舍7入!用钢筋直径(mm)的平方乘以0.006170.617是圆10钢筋每米重量。
常用钢材理论重量表大全速查常用钢材比重表:热轧工字钢:45c 450 154 15.5 18.0 13.5 6.8 94.550 50a 500 158 12.0 20.0 14.0 7.0 93.654 50b 500 160 14.0 20.0 14.0 7.0 101.504 50c 500 162 16.0 20.0 14.0 7.0 109.354 56a 560 166 12.5 21.0 14.5 7.3 106.316 56b 560 168 14.5 21.0 14.5 7.3 115.108 56c 560 170 16.5 21.0 14.5 7.3 123.900 63a 630 176 13.0 22.0 15.0 7.5 121.407 63b 630 178 15.0 22.0 15.0 7.5 131.298 63c 630 180 17.0 22.0 15.0 7.5 141.189 宽、中、窄H型钢:点击>>工程资料免费下载H型钢桩:(H—高度;B—宽度;t1腹板厚度;t2—翼缘厚度;r圆角半径)热轧槽钢:20a 200 737.01111.0 5.5 22.63720 200 75 9.0 11.0 11.0 5.5 25.777 7.0 11.5 11.5 5.8 24.99922a 220 7722 220 79 9.0 11.5 11.5 5.8 28.453 6.0 27.41025a 250 787.0 12.0 12.06.0 31.33525b 250 80 9.0 12.0 12.06.0 35.26025c 250 82 11.0 12.0 12.06.2 31.4277.5 12.5 12.528a 280 826.2 35.82328b 280 84 9.5 12.5 12.540.2196.228c 280 86 11.5 12.5 12.57.0 38.0838.0 14.0 14.032a 320 8843.1077.032b 320 90 10.0 14.0 14.048.1317.032c 320 92 12.0 14.0 14.047.8148.036a 360 96 9.0 16.0 16.053.46636b 360 98 11.0 16.0 16.08.059.1188.036c 360 100 13.0 16.0 16.058.92840a 400 100 10.5 18.0 18.0 9.040b 400 102 12.5 18.0 18.1 9.0 65.208 40c 400 104 14.5 18.0 18.0 9.0 71.488 C型钢点击>>工程资料免费下载方管及矩形管:热轧等边角钢:热轧不等边角钢:热轧圆钢和方钢:直缝电焊钢管:钢材理论重量计算:钢材理论重量计算的计量单位为公斤(kg)。
常用钢材理论重量表一、热轧钢板(厚度:0.5200mm)1. 钢板厚度:0.5mm,宽度:1000mm,长度:2000mm,理论重量:5kg2. 钢板厚度:1.0mm,宽度:1000mm,长度:2000mm,理论重量:10kg3. 钢板厚度:1.5mm,宽度:1000mm,长度:2000mm,理论重量:15kg4. 钢板厚度:2.0mm,宽度:1000mm,长度:2000mm,理论重量:20kg5. 钢板厚度:2.5mm,宽度:1000mm,长度:2000mm,理论重量:25kg6. 钢板厚度:3.0mm,宽度:1000mm,长度:2000mm,理论重量:30kg7. 钢板厚度:4.0mm,宽度:1000mm,长度:2000mm,理论重量:40kg8. 钢板厚度:5.0mm,宽度:1000mm,长度:2000mm,理论重量:50kg9. 钢板厚度:6.0mm,宽度:1000mm,长度:2000mm,理论重量:60kg10. 钢板厚度:8.0mm,宽度:1000mm,长度:2000mm,理论重量:80kg11. 钢板厚度:10.0mm,宽度:1000mm,长度:2000mm,理论重量:100kg12. 钢板厚度:12.0mm,宽度:1000mm,长度:2000mm,理论重量:120kg13. 钢板厚度:14.0mm,宽度:1000mm,长度:2000mm,理论重量:140kg14. 钢板厚度:16.0mm,宽度:1000mm,长度:2000mm,理论重量:160kg15. 钢板厚度:18.0mm,宽度:1000mm,长度:2000mm,理论重量:180kg16. 钢板厚度:20.0mm,宽度:1000mm,长度:2000mm,理论重量:200kg二、冷轧钢板(厚度:0.25.0mm)1. 钢板厚度:0.2mm,宽度:1000mm,长度:2000mm,理论重量:2kg2. 钢板厚度:0.3mm,宽度:1000mm,长度:2000mm,理论重量:3kg3. 钢板厚度:0.4mm,宽度:1000mm,长度:2000mm,理论重量:4kg4. 钢板厚度:0.5mm,宽度:1000mm,长度:2000mm,理论重量:5kg5. 钢板厚度:0.6mm,宽度:1000mm,长度:2000mm,理论重量:6kg6. 钢板厚度:0.8mm,宽度:1000mm,长度:2000mm,理论重量:8kg7. 钢板厚度:1.0mm,宽度:1000mm,长度:2000mm,理论重量:10kg8. 钢板厚度:1.2mm,宽度:1000mm,长度:2000mm,理论重量:12kg9. 钢板厚度:1.5mm,宽度:1000mm,长度:2000mm,理论重量:15kg10. 钢板厚度:2.0mm,宽度:1000mm,长度:2000mm,理论重量:20kg11. 钢板厚度:2.5mm,宽度:1000mm,长度:2000mm,理论重量:25kg12. 钢板厚度:3.0mm,宽度:1000mm,长度:2000mm,理论重量:30kg13. 钢板厚度:4.0mm,宽度:1000mm,长度:2000mm,理论重量:40kg14. 钢板厚度:5.0mm,宽度:1000mm,长度:2000mm,理论重量:50kg三、无缝钢管(外径:10630mm,壁厚:1.040mm)1. 外径:10mm,壁厚:1.0mm,长度:6000mm,理论重量:0.6kg2. 外径:15mm,壁厚:1.0mm,长度:6000mm,理论重量:0.9kg3. 外径:20mm,壁厚:1.0mm,长度:6000mm,理论重量:1.2kg4. 外径:25mm,壁厚:1.0mm,长度:6000mm,理论重量:1.5kg5. 外径:32mm,壁厚:1.0mm,长度:6000mm,理论重量:1.9kg6. 外径:40mm,壁厚:1.0mm,长度:6000mm,理论重量:2.4kg7. 外径:50mm,壁厚:1.0mm,长度:6000mm,理论重量:3.0kg8. 外径:63mm,壁厚:1.0mm,长度:6000mm,理论重量:3.8kg9. 外径:80mm,壁厚:1.0mm,长度:6000mm,理论重量:4.8kg10. 外径:100mm,壁厚:1.0mm,长度:6000mm,理论重量:6.0kg11. 外径:125mm,壁厚:1.0mm,长度:6000mm,理论重量:7.5kg12. 外径:150mm,壁厚:1.0mm,长度:6000mm,理论重量:9.0kg13. 外径:200mm,壁厚:1.0mm,长度:6000mm,理论重量:12.0kg14. 外径:250mm,壁厚:1.0mm,长度:6000mm,理论重量:15.0kg15. 外径:300mm,壁厚:1.0mm,长度:6000mm,理论重量:18.0kg16. 外径:350mm,壁厚:1.0mm,长度:6000mm,理论重量:21.0kg17. 外径:400mm,壁厚:1.0mm,长度:6000mm,理论重量:24.0kg18. 外径:450mm,壁厚:1.0mm,长度:6000mm,理论重量:27.0kg19. 外径:500mm,壁厚:1.0mm,长度:6000mm,理论重量:30.0kg20. 外径:550mm,壁厚:1.0mm,长度:6000mm,理论重量:33.0kg21. 外径:600mm,壁厚:1.0mm,长度:6000mm,理论重量:36.0kg22. 外径:630mm,壁厚:1.0mm,长度:6000mm,理论重量:38.0kg常用钢材理论重量表一、热轧钢板(厚度:0.5200mm)1. 钢板厚度:0.5mm,宽度:1000mm,长度:2000mm,理论重量:5kg2. 钢板厚度:1.0mm,宽度:1000mm,长度:2000mm,理论重量:10kg3. 钢板厚度:1.5mm,宽度:1000mm,长度:2000mm,理论重量:15kg4. 钢板厚度:2.0mm,宽度:1000mm,长度:2000mm,理论重量:20kg5. 钢板厚度:2.5mm,宽度:1000mm,长度:2000mm,理论重量:25kg6. 钢板厚度:3.0mm,宽度:1000mm,长度:2000mm,理论重量:30kg7. 钢板厚度:4.0mm,宽度:1000mm,长度:2000mm,理论重量:40kg8. 钢板厚度:5.0mm,宽度:1000mm,长度:2000mm,理论重量:50kg60kg10. 钢板厚度:8.0mm,宽度:1000mm,长度:2000mm,理论重量:80kg11. 钢板厚度:10.0mm,宽度:1000mm,长度:2000mm,理论重量:100kg12. 钢板厚度:12.0mm,宽度:1000mm,长度:2000mm,理论重量:120kg13. 钢板厚度:14.0mm,宽度:1000mm,长度:2000mm,理论重量:140kg14. 钢板厚度:16.0mm,宽度:1000mm,长度:2000mm,理论重量:160kg15. 钢板厚度:18.0mm,宽度:1000mm,长度:2000mm,理论重量:180kg16. 钢板厚度:20.0mm,宽度:1000mm,长度:2000mm,理论重量:200kg二、冷轧钢板(厚度:0.25.0mm)1. 钢板厚度:0.2mm,宽度:1000mm,长度:2000mm,理论重量:2kg2. 钢板厚度:0.3mm,宽度:1000mm,长度:2000mm,理论重量:3kg3. 钢板厚度:0.4mm,宽度:1000mm,长度:2000mm,理论重量:4kg5kg5. 钢板厚度:0.6mm,宽度:1000mm,长度:2000mm,理论重量:6kg6. 钢板厚度:0.8mm,宽度:1000mm,长度:2000mm,理论重量:8kg7. 钢板厚度:1.0mm,宽度:1000mm,长度:2000mm,理论重量:10kg8. 钢板厚度:1.2mm,宽度:1000mm,长度:2000mm,理论重量:12kg9. 钢板厚度:1.5mm,宽度:1000mm,长度:2000mm,理论重量:15kg10. 钢板厚度:2.0mm,宽度:1000mm,长度:2000mm,理论重量:20kg11. 钢板厚度:2.5mm,宽度:1000mm,长度:2000mm,理论重量:25kg12. 钢板厚度:3.0mm,宽度:1000mm,长度:2000mm,理论重量:30kg13. 钢板厚度:4.0mm,宽度:1000mm,长度:2000mm,理论重量:40kg14. 钢板厚度:5.0mm,宽度:1000mm,长度:2000mm,理论重量:50kg三、无缝钢管(外径:10630mm,壁厚:1.040mm)1. 外径:10mm,壁厚:1.0mm,长度:6000mm,理论重量:0.6kg2. 外径:15mm,壁厚:1.0mm,长度:6000mm,理论重量:0.9kg3. 外径:20mm,壁厚:1.0mm,长度:6000mm,理论重量:1.2kg4. 外径:25mm,壁厚:1.0mm,长度:6000mm,理论重量:1.5kg5. 外径:32mm,壁厚:1.0mm,长度:6000mm,理论重量:1.9kg6. 外径:40mm,壁厚:1.0mm,长度:6000mm,理论重量:2.4kg7. 外径:50mm,壁厚:1.0mm,长度:6000mm,理论重量:3.0kg8. 外径:63mm,壁厚:1.0mm,长度:6000mm,理论重量:3.8kg9. 外径:80mm,壁厚:1.0mm,长度:6000mm,理论重量:4.8kg10. 外径:100mm,壁厚:1.0mm,长度:6000mm,理论重量:6.0kg11. 外径:125mm,壁厚:1.0mm,长度:6000mm,理论重量:7.5kg12. 外径:150mm,壁厚:1.0mm,长度:6000mm,理论重量:9.0kg13. 外径:200mm,壁厚:1.0mm,长度:6000mm,理论重量:12.0kg14. 外径:250mm,壁厚:1.0mm,长度:6000mm,理论重量:15.0kg15. 外径:300mm,壁厚:1.0mm,长度:6000mm,理论重量:18.0kg16. 外径:350mm,壁厚:1.0mm,长度:6000mm,理论重量:21.0kg17. 外径:400mm,壁厚:1.0mm,长度:6000mm,理论重量:24.0kg27.0kg19. 外径:500mm,壁厚:1.0mm,长度:6000mm,理论重量:30.0kg20. 外径:550mm,壁厚:1.0mm,长度:6000mm,理论重量:33.0kg21. 外径:600mm,壁厚:1.0mm,长度:6000mm,理论重量:36.0kg22. 外径:630mm,壁厚:1.0mm,长度:6000mm,理论重量:38.0kg四、角钢(规格:20x20mm 200x200mm)1. 规格:20x20mm,长度:6000mm,理论重量:1.2kg2. 规格:25x25mm,长度:6000mm,理论重量:1.6kg3. 规格:30x30mm,长度:6000mm,理论重量:2.1kg4. 规格:40x40mm,长度:6000mm,理论重量:3.2kg5. 规格:50x50mm,长度:6000mm,理论重量:4.3kg6. 规格:63x63mm,长度:6000mm,理论重量:5.4kg7. 规格:75x75mm,长度:6000mm,理论重量:7.0kg8. 规格:100x100mm,长度:6000mm,理论重量:10.0kg9. 规格:125x125mm,长度:6000mm,理论重量:14.0kg10. 规格:150x150mm,长度:6000mm,理论重量:18.0kg11. 规格:175x175mm,长度:6000mm,理论重量:23.0kg12. 规格:200x200mm,长度:6000mm,理论重量:28.0kg五、扁钢(厚度:350mm,宽度:20200mm)2. 厚度:4mm,宽度:25mm,长度:6000mm,理论重量:6.0kg3. 厚度:5mm,宽度:30mm,长度:6000mm,理论重量:9.0kg4. 厚度:6mm,宽度:40mm,长度:6000mm,理论重量:14.4kg5. 厚度:8mm,宽度:50mm,长度:6000mm,理论重量:24.0kg6. 厚度:10mm,宽度:60mm,长度:6000mm,理论重量:36.0kg7. 厚度:12mm,宽度:80mm,长度:6000mm,理论重量:57.6kg8. 厚度:16mm,宽度:100mm,长度:6000mm,理论重量:102.4kg9. 厚度:20mm,宽度:125mm,长度:6000mm,理论重量:168.0kg10. 厚度:25mm,宽度:150mm,长度:6000mm,理论重量:252.0kg11. 厚度:30mm,宽度:175mm,长度:6000mm,理论重量:378.0kg12. 厚度:40mm,宽度:200mm,长度:6000mm,理论重量:672.0kg13. 厚度:50mm,宽度:200mm,长度:6000mm,理论重量:840.0kg常用钢材理论重量表一、热轧钢板(厚度:0.5200mm)1. 钢板厚度:0.5mm,宽度:1000mm,长度:2000mm,理论重量:5kg2. 钢板厚度:1.0mm,宽度:1000mm,长度:2000mm,理论重量:10kg3. 钢板厚度:1.5mm,宽度:1000mm,长度:2000mm,理论重量:15kg4. 钢板厚度:2.0mm,宽度:1000mm,长度:2000mm,理论重量:20kg5. 钢板厚度:2.5mm,宽度:1000mm,长度:2000mm,理论重量:25kg6. 钢板厚度:3.0mm,宽度:1000mm,长度:2000mm,理论重量:30kg7. 钢板厚度:4.0mm,宽度:1000mm,长度:2000mm,理论重量:40kg8. 钢板厚度:5.0mm,宽度:1000mm,长度:2000mm,理论重量:50kg9. 钢板厚度:6.0mm,宽度:1000mm,长度:2000mm,理论重量:60kg10. 钢板厚度:8.0mm,宽度:1000mm,长度:2000mm,理论重量:80kg11. 钢板厚度:10.0mm,宽度:1000mm,长度:2000mm,理论重量:100kg12. 钢板厚度:12.0mm,宽度:1000mm,长度:2000mm,理论重量:120kg13. 钢板厚度:14.0mm,宽度:1000mm,长度:2000mm,理论重量:140kg14. 钢板厚度:16.0mm,宽度:1000mm,长度:2000mm,理论重量:160kg15. 钢板厚度:18.0mm,宽度:1000mm,长度:2000mm,理论重量:180kg16. 钢板厚度:20.0mm,宽度:1000mm,长度:2000mm,理论重量:200kg二、冷轧钢板(厚度:0.25.0mm)1. 钢板厚度:0.2mm,宽度:1000mm,长度:2000mm,理论重量:2kg2. 钢板厚度:0.3mm,宽度:1000mm,长度:2000mm,理论重量:3kg3. 钢板厚度:0.4mm,宽度:1000mm,长度:2000mm,理论重量:4kg4. 钢板厚度:0.5mm,宽度:1000mm,长度:2000mm,理论重量:5kg5. 钢板厚度:0.6mm,宽度:1000mm,长度:2000mm,理论重量:6kg6. 钢板厚度:0.8mm,宽度:1000mm,长度:2000mm,理论重量:8kg7. 钢板厚度:1.0mm,宽度:1000mm,长度:2000mm,理论重量:10kg8. 钢板厚度:1.2mm,宽度:1000mm,长度:2000mm,理论重量:12kg9. 钢板厚度:1.5mm,宽度:1000mm,长度:2000mm,理论重量:15kg10. 钢板厚度:2.0mm,宽度:1000mm,长度:2000mm,理论重量:20kg11. 钢板厚度:2.5mm,宽度:1000mm,长度:2000mm,理论重量:25kg12. 钢板厚度:3.0mm,宽度:1000mm,长度:2000mm,理论重量:30kg13. 钢板厚度:4.0mm,宽度:1000mm,长度:2000mm,理论重量:40kg14. 钢板厚度:5.0mm,宽度:1000mm,长度:2000mm,理论重量:50kg三、无缝钢管(外径:10630mm,壁厚:1.040mm)1. 外径:10mm,壁厚:1.0mm,长度:6000mm,理论重量:0.6kg2. 外径:15mm,壁厚:1.0mm,长度:6000mm,理论重量:0.9kg3. 外径:20mm,壁厚:1.0mm,长度:6000mm,理论重量:1.2kg4. 外径:25mm,壁厚:1.0mm,长度:6000mm,理论重量:1.5kg5. 外径:32mm,壁厚:1.0mm,长度:6000mm,理论重量:1.9kg6. 外径:40mm,壁厚:1.0mm,长度:6000mm,理论重量:2.4kg7. 外径:50mm,壁厚:1.0mm,长度:6000mm,理论重量:3.0kg8. 外径:63mm,壁厚:1.0mm,长度:6000mm,理论重量:3.8kg9. 外径:80mm,壁厚:1.0mm,长度:6000mm,理论重量:4.8kg10. 外径:100mm,壁厚:1.0mm,长度:6000mm,理论重量:6.0kg11. 外径:125mm,壁厚:1.0mm,长度:6000mm,理论重量:7.5kg12. 外径:150mm,壁厚:1.0mm,长度:6000mm,理论重量:9.0kg13. 外径:200mm,壁厚:1.0mm,长度:6000mm,理论重量:12.0kg14. 外径:250mm,壁厚:1.0mm,长度:6000mm,理论重量:15.0kg15. 外径:300mm,壁厚:1.0mm,长度:6000mm,理论重量:18.0kg16. 外径:350mm,壁厚:1.0mm,长度:6000mm,理论重量:21.0kg17. 外径:400mm,壁厚:1.0mm,长度:6000mm,理论重量:24.0kg18. 外径:450mm,壁厚:1.0mm,长度:6000mm,理论重量:27.0kg19. 外径:500mm,壁厚:1.0mm,长度:6000mm,理论重量:30.0kg20. 外径:550mm,壁厚:1.0mm,长度:6000mm,理论重量:33.0kg21. 外径:600mm,壁厚:1.0mm,长度:6000mm,理论重量:36.0kg22. 外径:630mm,壁厚:1.0mm,长度:6000mm,理论重量:38.0kg四、角钢(规格:20x20mm 200x200mm)1. 规格:20x20mm,长度:6000mm,理论重量:1.2kg2. 规格:25x25mm,长度:6000mm,理论重量:1.6kg3. 规格:30x30mm,长度:6000mm,理论重量:2.1kg4. 规格:40x40mm,长度:6000mm,理论重量:3.2kg5. 规格:50x50mm,长度:6000mm,理论重量:4.3kg6. 规格:63x63mm,长度:6000mm,理论重量:5.4kg7. 规格:75x75mm,长度:6000mm,理论重量:7.0kg8. 规格:100x100mm,长度:6000mm,理论重量:10.0kg9. 规格:125x125mm,长度:6000mm,理论重量:14.0kg10. 规格:150x150mm,长度:6000mm,理论重量:18.0kg11. 规格:175x175mm,长度:6000mm,理论重量:23.0kg12. 规格:200x200mm,长度:6000mm,理论重量:28.0kg五、扁钢(厚度:350mm,宽度:20200mm)1. 厚度:3mm,宽度:20mm,长度:6000mm,理论重量:3.6kg2. 厚度:4mm,宽度:25mm,长度:6000mm,理论重量:6.0kg3. 厚度:5mm,宽度:30mm,长度:6000mm,理论重量:9.0kg4. 厚度:6mm,宽度:40mm,长度:6000mm,理论重量:14.4kg5. 厚度:8mm,宽度:50mm,长度:6000mm,理论重量:24.0kg6. 厚度:10mm,宽度:60mm,长度:6000mm,理论重量:36.0kg7. 厚度:12mm,宽度:80mm,长度:6000mm,理论重量:57.6kg8. 厚度:16mm,宽度:100mm,长度:6000mm,理论重量:102.4kg9. 厚度:20mm,宽度:125mm,长度:6000mm,理论重量:168.0kg10. 厚度:25mm,宽度:150mm,长度:6000mm,理论重量:252.0kg11. 厚度:30mm,宽度:175mm,长度:6000mm,理论重量:378.0kg12. 厚度:40mm,宽度:200mm,长度:6000mm,理论重量:672.0kg13. 厚度:50mm,宽度:200mm,长度:6000mm,理论重量:840.0kg六、工字钢(高度:100600mm,翼缘宽度:50300mm)1. 规格:100x50mm,长度:6000mm,理论重量:9.8kg2. 规格:125x64mm,长度:6000mm,理论重量:12.7kg3. 规格:150x75mm,长度:6000mm,理论重量:15.8kg4. 规格:175x88mm,长度:6000mm,理论重量:19.0kg5. 规格:200x100mm,长度:6000mm,理论重量:22.4kg6. 规格:250x125mm,长度:6000mm,理论重量:28.1kg7. 规格:300x150mm,长度:6000mm,理论重量:35.6kg8. 规格:350x175mm,长度:6000mm,理论重量:44.1kg9. 规格:400x200mm,长度:6000mm,理论重量:53.7kg10. 规格:450x225mm,长度:6000mm,理论重量:64.2kg11. 规格:500x250mm,长度:6000mm,理论重量:76.8kg12. 规格:550x275mm,长度:6000mm,理论重量:91.4kg13. 规格:600x300mm,长度:6000mm,理论重量:108.0kg。
钢材理论重量表钢材是一种高强度、耐腐蚀性强的金属材料,广泛应用于建筑、机械制造、船舶、桥梁等领域。
在使用钢材时,我们需要了解其理论重量,以便进行计算和选择合适的钢材规格。
下面,我们来介绍一下钢材的理论重量表。
钢材的理论重量计算公式为:理论重量(kg/m)=截面积(mm²)×密度(g/cm³)÷1000钢材的截面积是指其横截面积,可以通过计算或查阅手册得知。
而密度是指钢材的单位体积重量,通常为7.85g/cm³。
下面是常见钢材规格的理论重量表,供大家参考:1. 热轧钢板规格(mm)截面积(mm²)理论重量(kg/m)1.5×1500×6000 13500000 100.52.0×1500×6000 18000000 134.02.5×1500×6000 22500000 167.53.0×1500×6000 27000000 201.04.0×1500×6000 36000000 268.05.0×1500×6000 45000000 335.06.0×1500×6000 54000000 402.08.0×1500×6000 72000000 536.010×1500×6000 90000000 670.02. 冷轧钢板规格(mm)截面积(mm²)理论重量(kg/m)1.0×1500×6000 9000000 66.751.2×1500×6000 10800000 80.11.5×1500×6000 13500000 100.52.0×1500×6000 18000000 134.02.5×1500×6000 22500000 167.53.0×1500×6000 27000000 201.04.0×1500×6000 36000000 268.03. 工字钢规格(mm)截面积(mm²)理论重量(kg/m)100×50×5×7 13800 10.9120×55×5×7 16620 13.1126×60×5×8 20280 15.9140×60×6×8 24640 19.4160×63×6.5×9 31120 24.5180×68×7×10 39120 30.7200×73×7×11 48400 38.1220×77×7×12 58240 45.8250×78×7×12 67500 53.04. 角钢规格(mm)截面积(mm²)理论重量(kg/m)25×25×3 1875 1.4630×30×3 2250 1.7530×30×4 3000 2.3440×40×3 3000 2.3440×40×4 4000 3.1240×40×5 5000 3.9050×50×4 5000 3.9050×50×5 6250 4.9050×50×6 7500 5.86以上为常见钢材的理论重量表,希望对您有所帮助。
园钢重量(公斤)=0.00617×直径×直径×长度方钢重量(公斤)=0.00785×边宽×边宽×长度六角钢重量(公斤)=0.0068×对边宽×对边宽×长度八角钢重量(公斤)=0.0065×对边宽×对边宽×长度螺纹钢重量(公斤)=0.00617×计算直径×计算直径×长度角钢重量(公斤)=0.00785×(边宽+边宽-边厚)×边厚×长度扁钢重量(公斤)=0.00785×厚度×边宽×长度钢管重量(公斤)=0.02466×壁厚×(外径-壁厚)×长度钢板重量(公斤)=7.85×厚度×面积园紫铜棒重量(公斤)=0.00698×直径×直径×长度园黄铜棒重量(公斤)=0.00668×直径×直径×长度园铝棒重量(公斤)=0.0022×直径×直径×长度方紫铜棒重量(公斤)=0.0089×边宽×边宽×长度方黄铜棒重量(公斤)=0.0085×边宽×边宽×长度方铝棒重量(公斤)=0.0028×边宽×边宽×长度六角紫铜棒重量(公斤)=0.0077×对边宽×对边宽×长度六角黄铜棒重量(公斤)=0.00736×边宽×对边宽×长度六角铝棒重量(公斤)=0.00242×对边宽×对边宽×长度紫铜板重量(公斤)=0.0089×厚×宽×长度黄铜板重量(公斤)=0.0085×厚×宽×长度铝板重量(公斤)=0.00171×厚×宽×长度园紫铜管重量(公斤)=0.028×壁厚×(外径-壁厚)×长度园黄铜管重量(公斤)=0.0267×壁厚×(外径-壁厚)×长度园铝管重量(公斤)=0.00879×壁厚×(外径-壁厚)×长度注:公式中长度单位为米,面积单位为平方米,其余单位均为毫米。
钢筋重量表(钢筋扁钢方钢方管工字钢槽钢型钢 H型钢)(一)圆钢具体算法直径乘以直径乘0.006165(国家标准)商家默认标准:直径乘以直径乘0.00617(二)螺纹钢理论重量具体算法可以采用直径除以10然后平方再乘以0.617kg/m 钢筋理论重量Φ9-0.499kg/mΦ10-0.617kg/mΦ12-0.888kg/mΦ14-1.21kg/mΦ16-1.58kg/mΦ18-2.00kg/mΦ20-2.47kg/mΦ22-2.98kg/mΦ25-3.85kg/mΦ28-4.83kg/mΦ32-6.31kg/mΦ40-9.87kg/m工字钢规格重量表槽钢规格重量表(三)其他钢材理论重量计算的计量单位为公斤(kg)。
其基本公式为:W(重量,kg)=F(断面积mm2)×L(长度,m)×ρ(密度,g/cm3)×1/1000钢筋理论重量计算每米的重量(Kg)=钢筋的直径(mm)×钢筋的直径(mm)×0.00617其实记住建设工程常用的钢筋重量也很简单φ6=0.222 Kg φ6.5=0.26kg φ8=0.395kg φ10=0.617kg φ12=0.888kg Φ14=1.21kg Φ16=1.58kg Φ18=2.0kg Φ24=2.47kgΦ22=2.98kgΦ25=3.85kgΦ28=4.837kg............Φ12(含12)以下和Φ28(含28)的钢筋一般小数点后取三位数,Φ14至Φ25钢筋一般小数点后取二位数Φ6=0.222KgΦ8=0.395KgΦ10=0.617KgΦ12=0.888KgΦ14=1.21KgΦ16=1.58KgΦ18=2KgΦ20=2.47KgΦ22=3KgΦ25=3.86Kg钢材理论重量计算简式【材料名称理论重量W(kg/m)】扁钢、钢板、钢带 W=0.00785×宽×厚方钢 W=0.00785×边长2圆钢、线材、钢丝 W=0.00617×直径2渡锌类:W=原理论重量×1.06钢管 W=0.02466×壁厚(外径--壁厚)等边角钢 W=0.00785×边厚(2边宽--边厚)不等边角钢 W=0.00785×边厚(长边宽+短边宽--边厚)工字钢 W=0.00785×腰厚[高+f(腿宽-腰厚)]槽钢 W=0.00785×腰厚[高+e(腿宽-腰厚)]备注1、角钢、工字钢和槽钢的准确计算公式很繁,表列简式用于计算近似值。