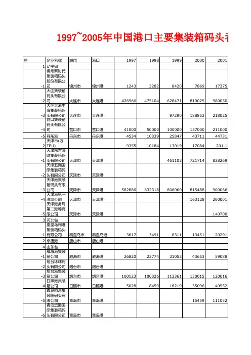
2016-2017年我国大陆地区港口集装箱吞吐量排名前十强
- 格式:xlsx
- 大小:9.62 KB
- 文档页数:1
交通部要打造世界⼀流港⼝,你要get全国港⼝货物吞吐量TOP10近⽇,交通运输部等⼋部委印发《关于建设世界⼀流港⼝的指导意见》,提出到2025年世界⼀流港⼝建设取得重要进展;到2035年全国港⼝发展⽔平整体跃升,主要港⼝总体达到世界⼀流⽔平;到2050年,全⾯建成世界⼀流港⼝,形成若⼲个世界级港⼝群,发展⽔平位居世界前列。
那么,我国⽬前货物吞吐量最⼤的港⼝是哪些呢?根据交通运输部发布的“2018年规模以上港⼝货物、旅客吞吐量”表,窗⼝视界排出了我国⽬前货物吞吐量排⾏TOP10。
⽂末再给⼤家附上2018年全年及最新的2019年前三季全国港⼝度货物吞吐量⼗强排名表。
TOP10 ⽇照港(年货物吞吐量:4.38亿吨)⽇照港(Rizhao Port)位于⼭东⽇照市,地处中国海岸线中部,东临黄海,北与青岛港、南与连云港毗邻,隔海与⽇本、韩国、朝鲜相望。
港区湾阔⽔深,陆域宽⼴,⽓候温和,不冻不淤,适宜建设包括20—40万吨级在内的⼤型深⽔泊位200余个,是难得的天然深⽔良港。
1982年,⽇照港正式开⼯建设;1986年,⽇照港开港运营;2006年,⽇照港货运吞吐量超过1亿吨。
⽇照港现拥有⽯⾅、岚⼭两⼤港区,65个⽣产性泊位,与100多个国家和地区通航,并已经形成整合航运、铁路、公路、管道、⽪带等多种运输⽅式、⼤进⼤出、集疏运便捷的综合运输格局。
2018年,⽇照港年货物吞吐量4.3763亿吨(同⽐增长8.9%),位列全国第⼗。
2019年前三个季度,⽇照港货物吞吐量3.4707亿吨,为去年同期的105.1%,位列全国第⼋。
TOP9 烟台港(年货物吞吐量:4.43亿吨)烟台港(Yantai Port),位于⼭东半岛北侧,扼渤海湾⼊海⼝,居连接环渤海经济区的最佳中转港位置,拥有陆海双向、辐射内外的⼴阔发展空间。
烟台港⾃古就是中国北⽅沿海主要通商⼝岸,⾃1861年8⽉开埠⾄今已有近160年的历史。
烟台港现形成以芝罘湾、西港区、龙⼝港、蓬莱港四⼤港区为依托,以莱州华电码头等西部港⼝为⽀撑、布局延伸海外的现代化港⼝集群;拥有各类泊位109个,其中万吨级以上深⽔泊位70个,码头岸线总长22.6公⾥,铁路专⽤线64公⾥,库场总⾯积909.3万平⽅⽶。
各港口的特点兼综合排名1 最具国际化竞争力的港口:上海港上海港名列第一名。
在十三项指标中,上海港十一项指标排名第一,一项排名第二,唯一劣势是上海港的区位指标。
上海港一直保持强有力的发展势头,与上海市以及长江三角洲的发展建立紧密地联系。
临港工业的互动以及国际航运中心建设的推动,外资、外贸、外商和国际航线都是上海港强有力的竞争优势,上海港正在快速向成熟的国际性港口迈进。
2 最具效益竞争力的港口:深圳港深圳港名列第二名。
在十三项指标中,深圳港两项指标排名第一,两项指标排名第二,六项指标排名第三,竞争力最不占优势是深圳港的货物吞吐量,但是这一劣势却被深圳港强大的集装箱吞吐量所弥补。
作为珠江三角洲的龙头型港口,深圳港近几年的发展主要是以珠江三角洲和香港为依托,逐步将深圳港建设成为效益型港口,在单箱成本、单吊成本、单箱收费、效率和利润形成核心竞争力。
3 最具创新竞争力的港口:青岛港青岛港名列第三名。
十三项指标中,青岛港三项指标排名第二,三项指标排名第三,两项指标排名第四名名,三项指标排名第五,两项指标排名第六,综合和个别竞争能力都很突出。
青岛港人依靠其创新精神,充分发挥其电子化优势,利用山东省作为强大经济腹地,为青岛港竞争力的提高奠定了基础。
港口大型化、深水化、专业化和信息化集青岛港于一身。
研发创新,走差异化发展道路是青岛港竞争优势所在。
4 最具民营化竞争力的港口:宁波港宁波港名列第四名。
十三项指标中宁波港两项指标排名第二,两项指标排名第三,四项指标排名第四名名,一项指标排名第五,四项指标排名第六。
宁波港难以生活在上海港这个巨人的影子里,顽强地开展集装箱生产。
该港利用自身优势,冲破各种阻力,借助民营资本,成为上海国际航运中心建设的一部分。
宁波港积极调整战略目标,与舟山港强强联手,建设“宁波——舟山”一体化工程。
民营经济所具有的信息灵、转向快、效率高的特点在宁波港体现的淋漓尽致。
5 最具进取型竞争力的港口:广州港广州港名列第五名。
2019年我国十大港口?深圳港没进前十,排名第一的你可能真没想到第十大港口:大连港大连港主要由四个部分组成,大连湾和大窑湾为主港区,长兴岛为新建港区,太平湾为规划港区。
2019年,大连港货物吞吐量为3.7亿吨。
世界排名前十三左右。
主营货类:油品、集装箱、矿石粮食、煤炭、汽车、钢材等。
第九大港:烟台烟台港由芝罘湾港区、西港区、蓬莱港区、龙口港区、寿光港区五大港区组成。
2019年,烟台港货物吞吐量为3.9亿吨。
世界排名前十二左右。
主营货类:集装箱、管道运输、液化油品、散杂货等。
第八大港:日照港日照港由石臼港区、岚山港区两部分组成。
2019年,日照港货物吞吐量为4.6亿吨。
世界排名前十一左右。
主营货类:铁矿石、油品及液体化工、集装箱、煤炭、散粮、木片、镍矿、钢铁、焦炭、水泥、木薯干等。
第七大港:天津港天津港由北疆港区、南疆港区、东疆港区、临港经济区南部区域、南港港区东部区域5个港区组成。
2019年,天津港货物吞吐量为4.9亿吨。
世界排名前九左右。
主营货类:集装箱、化工。
第六大港:苏州港苏州港属于内河港口,由张家港港区、常熟港区和太仓港区三个部分组成。
2019年,苏州港货物吞吐量为5.2亿吨,世界排名第七。
主营货类:集装箱。
第五大港:青岛港青岛港分为大港港区、中港港区、黄岛油港港区和前湾港港区四大部分。
2019年,青岛港货物吞吐量为5.8亿吨。
世界排名第六。
主营货类:集装箱、煤炭、原油、铁矿、粮食等。
第四大港:广州港广州港包括内港港区、黄埔港区、新沙港区、南沙港区等四大港区和珠江口水域锚地。
其中,内河港由番禺、五和、新塘三个港区组成。
2019年,广州港货物吞吐量为6.1亿吨。
世界排名第五。
主营货类:石油、煤炭、粮食、化肥、钢材、矿石、集装箱等。
第三大港:唐山港唐山港包括京唐港区和曹妃甸港区。
2019年,唐山港货物吞吐量为6.6亿万吨。
世界排名第三。
主营货类:煤炭、粮食、钢材、矿石、集装箱等。
第二大港:上海港上海港由长江口南岸港区、杭州湾北岸港区、黄浦江港区、洋山深水港区等四个部分组成。
中国港口深度排名根据世界航运理事会去年的数据,世界上十个最大的港口中有七个是中国的港口。
当然,如果没有这么大的港口可以容纳大船装载货物,与中国的贸易就不会像现在这样发达。
下面我们来看看中国的港口是什么样的。
上海港它是世界上最大的海港,自2009年以来排名第一。
上海港于1842年开放。
它位于长江三角洲。
该港口还拥有理想的地理位置,优良的经济设施和优良的基础设施。
地处东部最长的海岸中间,为您提供了绝佳的机会。
2014年,上海港创下新纪录,支持3500万标准箱(通常用于港口和船舶的运力单位)。
每个月有2000多艘船抵达港口。
上海港还包括三个主要工作区-洋山深水区,黄浦江和长江。
中国港口–深圳港口它是中国第二重要的港口,也是世界第三重要的港口。
它位于广东省珠江南部。
深圳港也是世界上最繁忙,发展最快的港口之一。
它具有极好的发展机会。
此外,它注意到稳步增长。
人们认为这是中港之间贸易的后盾。
它是中国国际贸易的最重要港口之一。
总部位于深圳的约40家公司开设了约130条全球集装箱生产线。
深圳还拥有中国数量最多的国际航线。
港口名称是广东几个大型港口的名称。
边界内的港口有蛇口,盐田或赤湾等码头。
这是一个广阔的地区,海岸线长260公里。
香港港它是位于南中国海的深海港口。
这是香港经济发展的关键因素。
深水使港口具备了系泊和维修所有类型船舶的理想条件。
无论是运输的货物还是运输的乘客,它都是世界上最繁忙的港口之一。
这一事实使香港成为集装箱运输的象征。
该港口曾多次出现在全球最大港口名单的首位。
但是,据称由于重新装箱的集装箱数量减少,其他港口很快将有机会超过香港。
大多数船只前往该大陆的北部。
目前,香港港口有九个集装箱码头,其中包括葵涌,青衣和昂船洲的码头。
宁波港就货物吨位而言,它是世界上最繁忙的港口。
该港口位于浙江省杭州湾以南。
2014年,宁波市首次突破2000万标准箱。
这是唯一一个比上一年(12%)有显着增长的港口。
在过去的几年中,这个数字还不到2000万。
2013年中国港口货物吞吐量前十名排行榜2013年我国大陆港口货物吞吐量2亿吨以上的港口数量,共达到16个,3亿吨以上的港口数量为10个,4亿吨以上的港口数量有8个,5亿吨以上的港口数量共3个,分别为宁波-舟山港、上海港和天津港。
1.前十强均为3亿吨以上港口2013年我国大陆港口货物吞吐量2亿吨以上的港口数量,共达到16个,3亿吨以上的港口数量为10个,4亿吨以上的港口数量有8个,5亿吨以上的港口数量共3个,分别为宁波-舟山港、上海港和天津港。
在16个两亿吨以上大港中,继2012年新增烟台港后,2013年再添新丁,增加了3个江苏省内的港口,分别为南通港、南京港、连云港港。
2.宁波-舟山港吞吐量突破八亿吨货物吞吐量前10名港口排行榜中,宁波-舟山港继2012年以7.2%的增速突破7亿吨后,2013年再突破8亿吨,达到80978万吨,增速也达到8.8%,虽然货物吞吐量雄踞全球第一,总量较大,但增速毫不逊色,在前五大港口中,增速也仅次于苏州港的9.3%,反映出宁波-舟山港的强劲增长势头。
数据显示,宁波-舟山港货物吞吐量在2012年首次超越上海港,超出上海港800余万吨,货物吞吐量分别排名中国及全球第一。
龙虎争霸赛中,2013年,气势如虹的宁波-舟山港将二者的差距拉大到3400万吨,完全坐稳世界第一的宝座。
3.唐山港增速连续保持第一纵观全国港口货物吞吐量前10名排行榜变化,2013年与2012年的排名顺序变化不大,名次提前的唯有唐山港,较上年前进一位,以多出3800万吨的绝对优势,超过大连港,名列第七,直逼第六位的青岛港,二者差距仅有一步之遥,约380万吨。
唐山港近年狂飙突进。
据数据,2011年和2012年,唐山港货物吞吐量增速分别达到24.5%和16.8%,增速均在十大港口中居首。
2013年继续演绎传奇,以22.4%的增速,荣登榜首,而增速排名第二的青岛港,2013年也仅10.6%,唐山港足足高出一倍。
2017年我国港口发展回顾及2018年展望一、港口生产形势分析1.港口集装箱码头运行分析2017年以来,港口集装箱业务发展总体向好,全国规模以上港口集装箱吞吐量增速达到8.7%,高于上年近5个百分点,这也是自2014年以来的最快增速。
外贸干线枢纽港表现尤为突出,如上海港、宁波-舟山港、厦门港、广州港增速分别达到8.2%、14.3%、8.3%、9.1%。
多个港口生产实现历史性突破,例如上海港集装箱总量达到4000万TEU,广州港首次突破2000万TEU,厦门港则达到1000万TEU。
内贸集装箱业务发展较快。
在当前国内水路运输通道不断优化的情况下,包括长江、珠江黄金水道建设加快、内河支线运能提升、内贸集装箱多式联运组织效率不断提高、散改集及件改集、环境保护等因素的促进下,内贸货物水路运输占比不断提升,以陆水联运为代表内贸集装箱运输业务加快发展,成为港口集装箱业务的重要增长点。
进入2018年,国际国内经济贸易形势持续向好,为我国货物进出口贸易注入动力。
据IMF发布的最新预测,2018年全球经济增速预计达到3.7%,快于上年,国际市场需求温和复苏。
外贸出口方面,预计我国经济总体仍将保持平稳回升态势,并进入高质量发展阶段。
振兴实体经济是高质量发展的根本要求,我国目前已是全球第一大货物贸易出口国,这是我国改革开放近40年来取得的重要成果。
十九大报告进一步指出“必须把发展经济的着力点放在实体经济上”。
因此,货物贸易出口预计将继续保持增长。
外贸进口方面,在国内经济结构以及消费结构调整带动下,进口步伐不断加快。
2017年进口增速超过20%。
在进口加快的同时,一些政策变化值得关注,如根据国务院办公厅印发《关于禁止洋垃圾入境推进固体废物进口管理制度改革实施方案》,自2018年开始,每年约4500万吨的洋垃圾将限制入境,有相关业务的港口需引起注意。
全年来看,随着经济贸易环境的不断改善,港口集装箱吞吐量预计亦将保持较好增长态势。
2016-2017年全球前五十大港口集装箱吞吐量排名(万TEU)排名港口名称国家/地区2016 年2017 年1上海中国37134023 2新加坡新加坡30903367 3深圳中国239825214宁波舟山中国21572464 5香港中国香港19812076 6釜山韩国194620477广州中国I8852037 8青岛中国18051830 9迪拜阿拉伯联合酋长国1477153710天津中国14521506 11鹿特丹荷兰12391373 12巴生马来西亚13171198 13安特卫普比利时10041045 14厦门中国9611038 15高雄中国台湾10461027 16大连中国958971 17洛杉矶美国886934 18汉堡德国891882 19丹戌帕拉帕斯马来西亚828835 20林查班泰国723778 21长滩美国678754 22纽约-新泽西美国625671 23营口中国609628 24科伦坡斯里兰卡574621 25雅加达印度尼西亚551607 26胡志明越南569594 27苏州港中国548588 28不来梅港徳国549554 29东京日本473505 30瓦伦西亚西班牙473483 31马尼拉菲律宾452483 32连云港中国470471 33加瓦哈拉尔-尼赫鲁印度449450 34海防越南410445 35阿尔赫西拉斯西班牙476438 36吉大沙待阿拉伯王国396415 37豪尔费坎阿拉伯联合酋长国433410 38比雷埃夫斯希腊368406 39萨凡纳美国365404 40萨拉拉阿曼苏丹国333394 41虎门/东莞中国364391 42佛山中国322391 43科隆巴拿马326389 44桑托斯巴西356385 45费利克斯托英国400381 46西北海港联盟美国362367 47苏腊巴亚印度尼西亚335350 48蒙德拉印度332345 49丹吉尔摩洛哥王国296331 50温哥华加拿大293325。
2016年全球前五十大港口集装箱吞吐量排名(万TEU)
排名港口名称国家/地区吞吐量1上海中国3713 2新加坡新加坡3090 3深圳中国2398 4宁波舟山中国2157 5香港中国香港1981 6釜山韩国1946 7广州中国1885 8青岛中国1805 9迪拜阿拉伯联合酋长国1477 10天津中国1452 11巴生马来西亚1317 12鹿特丹荷兰1239 13高雄中国台湾1046 14安特卫普比利时1004 15厦门中国961 16大连中国958 17汉堡德国891 18洛杉矶美国886 19丹戌帕拉帕斯马来西亚828 20林查班泰国723 21长滩美国678 22纽约-新泽西美国625 23营口中国609 24科伦坡斯里兰卡574 25胡志明越南569 26雅加达印度尼西亚551 27不来梅港徳国549 28苏州港中国548 29阿尔赫西拉斯西班牙476 30东京日本473 31瓦伦西亚西班牙473 32连云港中国470 33马尼拉菲律宾452 34加瓦哈拉尔-尼赫鲁印度449 35豪尔费坎阿拉伯联合酋长国433 36海防越南410 37费利克斯托英国400 38吉大沙待阿拉伯王国396 39比雷埃夫斯希腊368 40萨凡纳美国365 41虎门/东莞中国364 42西北海港联盟美国362 43桑托斯巴西356 44苏腊巴亚印度尼西亚335 45萨拉拉阿曼苏丹国333 46蒙德拉印度332 47科隆巴拿马326 48佛山中国322 49丹吉尔摩洛哥王国296 50温哥华加拿大293。
世界十大港口城市 篇一:中国十大港口城市 中国十大港口城市 上海港 上海港位于长江三角洲前缘, 地处长江东西运输通道与海上南北运输通道的交汇 点,是我国沿海的主要枢纽港,我国对外开放,参与国际经济大循环的重要口岸。
上海市外贸 物资中 99%经由上海港进出,每年完成的外贸吞吐量占全国沿海主要港口的 20%左右。
据上海 港务集团发布的统计数据显示,2012 年上海港货物吞吐量为 7.36 亿吨,同比增长 1.1%;集装 箱吞吐量报 3252.9 万 TEU,同比增长 2.5%,两者均能继续保持世界第一位置。
深圳港 深圳港位于广东省珠江三角洲南部,西部港区位于珠江入海口伶仃洋东岸,东部港区位 于大鹏湾内。
港口设计年综合通过能力 3500 万吨, 其中集装箱 140 万标准箱。
码头总长 12965 米,最大靠泊能力 7.5 万吨级,库场面积 169.21 万平方米,装卸机械约 800 台。
2012 年深圳 港累计完成货物吞吐量 2.28 亿吨,同比增长 2.16%, 其中外贸货物吞吐量完成 1.77 亿吨, 同比增长 1.16%; 集装箱吞吐量完成 2294.13 万标箱,同比增长 1.64%。
集装箱吞吐量连续 10 年保持全球第四位。
青岛港青岛港位于山东半岛南岸的胶州湾内,始建于 1892 年,是中国第二个外贸亿吨吞 吐大港,也是我国仅次于上海、深圳的第三大集装箱运输港口。
2012 年青岛港吞吐量超过 4 亿吨,集装箱吞吐量完成 1450 万标准箱。
吞吐量同比增长 9.5%。
成为全国第五个过 4 亿吨的 港口,稳居全球第七位。
宁波港 宁波港由北仑港区、镇海港区、宁波港区、大榭港区、穿山港区组成,是一个集 内河港、河口港和海港于一体的多功能、综合性的现代化深水大港。
据宁波市港航管理局发布 《2012 年度港航经济运行分析报告》显示,2012 年,宁波港完成货物吞吐量 4.53 亿吨,居中 国内地港口第三位、世界前五位;完成集装箱吞吐量 1567 万 TEU,箱量排名保持中国内地集 装箱港口第三位、世界港口前六位。
全球港口排名及中国干散货码头1.①世界集装箱吞吐量前5的港口上海港:吞吐量:2018上海港以完成集装箱4201万TEU的吞吐量稳居全球第一;信息化:引进国外先进电气设备,对部分码头泊位进行改造,建立一系列现代化码头,开启了信息化建设的进程。
随着“十二五”计划的推进,口岸的信息化基础设施得到进一步完善,并已获得一定的成果:构建大通关平台,提高了口岸通关效率;制定标准的制度,推进了规范化发展;运用技术创新,提升了信息现代化能力;信息与实际业务相结合,优化港口生产调度系统;综合信息化研究取得突破,使科学监管决策初步实现一体化。
综合实力:国际航运中心指数显示,上海跃至国际航运中心综合实力第五位,实现了战略性的提升。
上海港拥有目前世界上最先进的集装箱码头,2017年吞吐量首次突破4000万TEU,并连续八年成为世界第一大集装箱港。
上海深水航道整治的全面完成,也为社会综合物流成本的下降提供了非常大的保障。
码头特色:自动化程度最高的集装箱码头,洋山港四期港区采用无人运营无人作业,海关在无人码头使用自动化监管设备,实现通关验放自动化。
上海市外贸物资中99%经由上海港进出,每年完成的外贸吞吐量占全国沿海主要港口的20%左右。
最具国际化竞争力的港口:与上海市以及长江三角洲的发展建立紧密地联系。
临港工业的互动以及国际航运中心.水陆交通便利,集疏运渠道畅通,通过高速公路和国道、铁路干线及沿海运输网可辐射到长江流域甚至全国,对外接近世界环球航线,处在世界海上航线边缘。
技术特色:自动化码头(双箱自动化轨道,电机、制动器、减速箱“三合一”的创新使用)。
自动引导运输车AGV除了无人驾驶、自动导航、路径优化、主动避障外,还支持自我故障诊断、自我电量,既可以深入悬臂箱区作业,又可以在堆场中来回穿梭,既可以完成全天候不间断作业,又可以有效降低码头能耗。
上港集团自主研发的全自动化码头智能生产管理控制系统(TOS系统)和振华重工自主研发的智能控制系统(ECS系统)的应用,上海港的运营水平已经稳居世界前列。
港口码头企业生产运营过程港口码头企业生产运营过程码头企业生产运营过程1.生产准备过程是指基本生产活动之前,港内所进行的全部技术准备和组织准备工作。
主要包括:编制出装卸作业计划,并且根据计划完成货物操作过程及装卸工艺的确定,装卸地点、库场、接运工具的准备与确定,装卸机械准备,以及货运文件的准备等。
这些事确保基本生产过程顺利进行的前提。
2.基本生产过程就是货物在港内所进行的装卸过程,又叫货物的换装过程。
是指货物从进港到出港所进行的全部作业的综合。
事直接完成船、车货物的装卸过程。
它包括:卸船过程、装船过程、卸车过程、装车过程、库场作业过程、港内运输过程以及其他生产性作业等,由此可见,港口企业的生产过程最少有一个以上操作过程所组成。
在进行基本生产过程组织是,要使组成操作过程各装卸工序的生产能力协调一致,否则,整个操作过程的装卸效率将受到最薄弱环节的装卸作业的装卸作业工序能力的制约。
因此,所谓保证基本生产过程(或操作过程)的协调性和连续性,就是要保证其他非主导工序向导工序协调,以保证主导工序的连续性。
所谓主导工序是指对整个装卸作业过程起主导作用的工序。
例如组织船、库作业过程,其主导工序就是指卸船机械的效率。
3.辅助生产过程是保证基本生产过程正常进行所必需的各种辅助性生产活动。
它包括:装卸机械的维修与保养、装卸工具的加工制造与管理、港口各项设施的维修,以及动力供应等。
此外,在一条船或一列车装卸结束后所需进行的码头、库场整理工作等,这些均属辅助生产活动。
4.生产服务过程是指为保证基本生产过程和辅助生产过程顺利开展所进行的各种服务性活动。
它包括:理货业务、仓储业务、计量业务。
为船舶服务的有技术供应、生活必需品供应、燃物料、淡水供应、船舶检查与维修,以及压仓水的处理等;为货主服务的有货物鉴定、检验、包装等。
此外,还有集装箱清洗与检修、港内垃圾与污水处理等。
在港口生产过程中,服务性生产活动也是港口生产活动中不可缺少的组成部分。
2017年我国港口发展回顾及2018年展望作者:丁莉来源:《大陆桥视野·上》2018年第02期一、港口生产形势分析1.港口集装箱码头运行分析2017年以来,港口集装箱业务发展总体向好,全国规模以上港口集装箱吞吐量增速达到8.7%,高于上年近5个百分点,这也是自2014年以来的最快增速。
外贸干线枢纽港表现尤为突出,如上海港、宁波-舟山港、厦门港、广州港增速分别达到8.2%、14.3%、8.3%、9.1%。
多个港口生产实现历史性突破,例如上海港集装箱总量达到4000万TEU,广州港首次突破2000万TEU,厦门港则达到1000万TEU。
内贸集装箱业务发展较快。
在当前国内水路运输通道不断优化的情况下,包括长江、珠江黄金水道建设加快、内河支线运能提升、内贸集装箱多式联运组织效率不断提高、散改集及件改集、环境保护等因素的促进下,内贸货物水路运输占比不断提升,以陆水联运为代表内贸集装箱运输业务加快发展,成为港口集装箱业务的重要增长点。
进入2018年,国际国内经济贸易形势持续向好,为我国货物进出口贸易注入动力。
据IMF发布的最新预测,2018年全球经济增速预计达到3.7%,快于上年,国际市场需求温和复苏。
外贸出口方面,预计我国经济总体仍将保持平稳回升态势,并进入高质量发展阶段。
振兴实体经济是高质量发展的根本要求,我国目前已是全球第一大货物贸易出口国,这是我国改革开放近40年来取得的重要成果。
十九大报告进一步指出“必须把发展经济的着力点放在实体经济上”。
因此,货物贸易出口预计将继续保持增长。
外贸进口方面,在国内经济结构以及消费结构调整带动下,进口步伐不断加快。
2017年进口增速超过20%。
在进口加快的同时,一些政策变化值得关注,如根据国务院办公厅印发《关于禁止洋垃圾入境推进固体废物进口管理制度改革实施方案》,自2018年开始,每年约4500万吨的洋垃圾将限制入境,有相关业务的港口需引起注意。
全年来看,随着经济贸易环境的不断改善,港口集装箱吞吐量预计亦将保持较好增长态势。
2001港口货物吞吐量增长平稳。
2001年全国港口完成货物吞吐量24.0亿吨,比上年增长8.8%。
其中,沿海港口完成14.5亿吨,增长12.4%,内河港口完成9.5亿吨,增长3.6%。
外贸货物吞吐量增幅较大。
全国港口完成外贸货物吞吐量6.6亿吨,比上年增长14.1%。
其中沿海港口完成6.0亿吨,增长14.4%,内河港口完成0.6亿吨,增长11.6%。
多功能、综合性大型枢纽港发展加快。
继上海、广州、宁波三个港口之后,2001年又有天津、青岛、秦皇岛、大连港货物吞吐量超过亿吨,这样全国年货物吞吐量超过亿吨的大港增加到7个。
其中上海港连续2年超过2亿吨,2001年达2.2亿吨。
宁波、广州、天津、秦皇岛、青岛和大连港全年货物吞吐量分别为1.29、1.28、1.14、1.13、1.04和1.00亿吨。
集装箱吞吐量继续攀升。
2001年全国港口完成集装箱吞吐量2748万标准箱,比上年增长17.0%。
其中沿海港口完成2470万标准箱,增长20.7%,内河港口完成279万标准箱,比上年下降7.6%。
集装箱吞吐量超过100万标准箱的港口达到8个。
其中上海港达634万标准箱,居世界第5位;深圳港达508万标准箱,居世界第8位。
其他超过100万标准箱的港口是青岛(264万标准箱)、天津(201万标准箱)、广州(174万标准箱)、厦门(129万标准箱)、大连(122万标准箱)和宁波(121万标准箱)。
港口货物吞吐量以干散货为主,集装箱和滚装车吞吐量增幅较大。
2001年全国港口完成干散货吞吐量13亿吨,比上年增长11.8%;液体散货3.5亿吨,比上年增长0.7%;件杂货3.9亿吨,比上年下降6%;集装箱吞吐量2.5亿吨,比上年增长20.5%;滚装车1.0亿吨,比上年增长52.8%。
干散货、液体散货、件杂货、集装箱和滚装车在港口货物吞吐量中所占比重分别为54.2%、14.6%、16.7%、10.4 %和2.8%。
煤炭、石油、金属矿石、矿建材料和钢铁仍占较大比重。