公开招聘优秀毕业生面试成绩和综合成绩排名公示
- 格式:pdf
- 大小:254.35 KB
- 文档页数:1
事业单位公开招聘面试成绩通知书尊敬的考生:
根据我单位举行的事业单位公开招聘面试,你在本次面试中表现出色,经过综合评定,你的面试成绩如下:
笔试成绩:90分
面试成绩:85分
综合成绩:88分
恭喜你在本次招聘中脱颖而出,成绩优异!根据我单位规定,你已
通过面试,接下来请你按照以下要求前来办理相关手续:
1. 请于【日期】前携带本人身份证件、学历证书等相关材料到我单
位办公地点进行验证;
2. 登录我单位官方网站【网址】,下载并填写入职登记表,如实填
写个人信息;
3. 准备好身体检查相关证明,并于【日期】前完成体检;
4. 如有任何疑问,请及时联系我单位人事部门,电话【联系方式】。
再次恭喜你成功通过面试,期待你的加入,共同开创美好未来!祝
你工作顺利,事业有成!
此致
敬业单位招聘办公室
日期:【日期】。
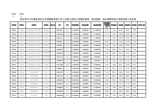
2018招聘事业单位工作人员笔面试总成绩及排名人员名单公告【导语】根据大安区人力资源和社会保障局《关于2018年上半年事业单位公开考试聘用工作人员的公告》的有关规定,经笔试、资格审查、面试,邹洁等85名考生进入体检,现将笔面试总成绩和排名及进入体检人员名单公示如下:请参加体检的考生(不得委托他人代替)于2018年5月29日(上午9:00-11:00,下午3:00-4:00)携带本人第二代居民身份证(不含过期身份证和身份证复印件)、本人近期两寸免冠彩色证件照片2张(照片背面写明姓名、报考单位、报考岗位、岗位代码)、已填写好的《事业单位公开考试聘用工作人员体检表》第1页(见附件3,*后用黑色签字笔或钢笔填写,体检日期栏不填写内容),准时到大安区人力资源和社会保障局干部人事股(地址:大安区仁和路恒河花苑二楼,电话:2210673)领取《体检通知书》。
未按时领取《体检通知书》和未参加体检的考生均视为自动放弃,将依次等额确定递补人员参加体检。
预计体检时间为2017年6月上旬,具体时间以体检通知书为准,请各位考生合理安排时间。
体检内容参照修订后的《公务员录用体检通用标准(试行)》和《公务员录用体检操作手册(试行)》进行,体检费用自理。
请各位考生相互转告。
注意事项:1.体检前三天禁食高脂食物、不饮酒。
2.体检当天请不要吃早餐、喝水,以便空腹抽血和做B超(泌尿系统、妇科B超除外),做完以上两项检查后方能进食饮水。
3.体检结束当天,请各位考生不要离开自贡本地,保持手机畅通,以方便联系。
招聘专员必须知道的工作技巧4 招聘专员必须知道的工作技巧本文来源中人网一、筛选简历(主动搜索简历)在进入面试环节之前,招聘专员的任务就是获得合适的简历,前文介绍的各种招聘渠道都有助于招聘专员获得简历。
筛选简历,关键依据就是匹配程度。
业务不熟练时,可对照每个职位的招聘要求;业务熟练时,招聘要求自然熟记于心。
一般来说,看简历,应选择快速浏览的方式。
甘肃省农牧厅关于公布厅属事业单位公开招聘人员各岗位面试考生最终综合成绩及拟体检人员名单的通知
文章属性
•【制定机关】甘肃省农牧厅
•【公布日期】2013.07.22
•【字号】
•【施行日期】2013.07.22
•【效力等级】地方规范性文件
•【时效性】现行有效
•【主题分类】就业促进
正文
甘肃省农牧厅关于公布厅属事业单位公开招聘人员各岗位面试考生最终综合成绩及拟体检人员名单的通知
各相关考生:
甘肃省农牧厅厅属事业单位公开招聘人员考生面试工作已于7月20日结束,面试成绩于当场宣布并经本人签字确认。
现将各拟招聘岗位最终综合成绩及参加体检人员名单予以公布。
附: 1、2013年省农牧厅厅属事业单位公开招聘各岗位面试人员最终结合成绩汇总表
2、2013年省农牧厅厅属事业单位公开招聘各岗位拟体检人员名单
甘肃省农牧厅
2013年7月22日附件一
附件二。
校优秀毕业生评选标准一、学业成绩。
学业成绩是评选校优秀毕业生的首要标准之一。
学校可以根据学生的平均成绩、专业排名等指标来评定学业成绩的优劣。
在评选标准中,学业成绩所占比重应该适当,不能过分强调学习成绩,而忽略其他方面的表现。
二、科研成果。
除了学业成绩,科研成果也是评选校优秀毕业生的重要标准之一。
学校可以考察学生在科研项目中的表现,包括科研论文发表情况、科研竞赛获奖情况等。
科研成果的评定应该注重学生的创新能力和实践能力,而不是单纯地看科研成果的数量和质量。
三、社会实践。
校优秀毕业生评选标准中,社会实践也是一个重要的考量因素。
学校可以考察学生在社会实践活动中的表现,包括社会实践成果、社会实践能力等方面。
社会实践能力的培养对于学生未来的发展具有重要意义,因此在评选标准中应该适当重视学生的社会实践能力。
四、综合素质。
除了以上几个方面,评选校优秀毕业生的标准还应该包括学生的综合素质。
学校可以从学生的品德、道德、团队合作能力等方面来评定学生的综合素质。
综合素质的评定需要全面考察学生的表现,不能片面看重某一方面的表现。
五、自我发展。
最后,评选校优秀毕业生的标准还应该包括学生的自我发展情况。
学校可以考察学生在校期间的自我发展情况,包括自我管理能力、自我认知能力、自我实现能力等方面。
学生的自我发展情况能够反映其在学校期间的成长和进步,因此在评选标准中应该适当重视学生的自我发展情况。
综上所述,校优秀毕业生评选标准应该是一个全面考量学生综合素质的评定体系,不能片面强调学业成绩或者某一方面的表现。
只有综合考量学生的学业成绩、科研成果、社会实践、综合素质和自我发展情况,才能更好地评选出真正的校优秀毕业生。