大学物理练习题册答案
- 格式:doc
- 大小:732.00 KB
- 文档页数:17
《大学物理》练习题一. 单选题:1.下列说法正确的是……………………………………() 参看课本P32-36A . 惯性系中,真空中的光速与光源的运动状态无关,与光的频率有关B . 惯性系中,真空中的光速与光源的运动状态无关,与光的频率无关C . 惯性系中,真空中的光速与光源的运动状态有关,与光的频率无关D . 惯性系中,真空中的光速与光源的运动状态有关,与光的频率有关2.下列说法正确的是………………………………… ( ) 参看课本P32-36A . 伽利略变换与洛伦兹变换是等价的B . 所有惯性系对一切物理定律都是不等价的C . 在所有惯性系中,真空的光速具有相同的量值cD . 由相对论时空观知:时钟的快慢和量尺的长短都与物体的运动无关3.下列说法正确的是………………………………… ( )参看课本P58,76,103 A . 动量守恒定律的守恒条件是系统所受的合外力矩为零 B . 角动量守恒定律的守恒条件是系统所受的合外力为零 C . 机械能守恒定律的守恒条件是系统所受的合外力不做功 D . 以上说法都不正确4. 下列关于牛顿运动定律的说法正确的是…………( ) 参看课本P44-45A . 牛顿第一运动定律是描述物体间力的相互作用的规律B . 牛顿第二运动定律是描述力处于平衡时物体的运动规律C . 牛顿第三运动定律是描述物体力和运动的定量关系的规律D . 牛顿三条运动定律是一个整体,是描述宏观物体低速运动的客观规律5.下列关于保守力的说法错误的是…………………( ) 参看课本P71-72 A . 由重力对物体所做的功的特点可知,重力是一种保守力B . 由弹性力对物体所做的功的特点可知,弹性力也是一种保守力C . 由摩擦力对物体所做的功的特点可知,摩擦力也是一种保守力D . 由万有引力对物体所做的功的特点可知,万有引力也是一种保守力6.已知某质点的运动方程的分量式是,,式中R 、ω是常cos x R t ω=sin y R t ω=数.则此质点将做………………………………………………() 参看课本P19A . 匀速圆周运动B . 匀变速直线运动C . 匀速直线运动D . 条件不够,无法确定7.如图所示,三个质量相同、线度相同而形状不同的均质物体,它们对各自的几何对称轴的转动惯量最大的是………( )A . 薄圆筒B . 圆柱体 参看课本P95C . 正方体D . 一样大8.下列关于弹性碰撞的说法正确的是………………() 中学知识在课堂已复习A . 系统只有动量守恒B . 系统只有机械能守恒C . 系统的动量和机械能都守恒D . 系统的动量和机械能都不守恒9.某人张开双臂,手握哑铃,坐在转椅上,让转椅转动起来,若此后无外力矩作用.则当此人收回双臂时,人和转椅这一系统的…………………( ) 参看课本P104A . 转速不变,角动量变大B . 转速变大,角动量保持不变C . 转速和角动量都变大D . 转速和角动量都保持不变10.下列关于卡诺循环的说法正确的是………………( ) 参看课本P144 A . 卡诺循环是由两个平衡的等温过程和两个平衡的绝热过程组成的B . 卡诺循环是由两个平衡的等温过程和两个平衡的等体过程组成的C . 卡诺循环是由两个平衡的等体过程和两个平衡的等压过程组成的D . 卡诺循环是由两个平衡的绝热过程和两个平衡的等压过程组成的11. 如图所示,在场强为E 的匀强电场中,有一个半径为R 的半球面,若场强E 的方向与半球面的对称轴平行,则通过这个半球面的电通量大小为…………………( ) 参看课本P172-173A .B .2E 22R E πC . D . 02R E 12.一点电荷,放在球形高斯面的中心处,下列情况中通过高斯面的电通量会发生变化的…………………………( ) 参看课本P173 A . 将另一点电荷放在高斯面内 B . 将高斯面半径缩小C . 将另一点电荷放在高斯面外D . 将球心处的点电荷移开,但仍在高斯面内13.如图所示,在与均匀磁场垂直的平面内有一长为l 的铜棒B MN ,设棒绕M 点以匀角速度ω转动,转轴与平行,则棒的动B 生电动势大小为……………()参看课本P257A .B . Bl ω2BlωC .D . 12Bl ω212Blω14. 、方均v 、最概然速率为,则这气体分子的三种速率的关系是…………(p v ) A .B 参看课本P125v >p vC .D p v pv =15. 下列关于导体静电平衡的说法错误………………( ) 参看课本P190-191 A . 导体是等势体,其表面是等势面 B . 导体内部场强处处为零 C . 导体表面的场强处处与表面垂直 D . 导体内部处处存在净电荷16. 下列哪种现代厨房电器是利用涡流原理工作的…( ) 参看课本P259A . 微波炉B . 电饭锅17. 下列关于电源电动势的说法正确的是……………() 参看课本P249-250A . 电源电动势等于电源把电荷从正极经内电路移到负极时所作的功B . 电源电动势的大小只取于电源本身的性质,而与外电路无关C . 电动势的指向习惯为自正极经内电路到负极的指向D . 沿着电动势的指向,电源将提高电荷的电势能18. 磁介质有三种,下列用相对磁导率正确表征它们各自特性的是………( r μ)A . 顺磁质,抗磁质,铁磁质 参看课本P39-2400r μ<0r μ<1r μ?B . 顺磁质,抗磁质,铁磁质1r μ>1r μ=1r μ?C . 顺磁质,抗磁质,铁磁质0r μ>0r μ>0r μ> D . 顺磁质,抗磁质,铁磁质1r μ>1r μ<1r μ?19. 在均匀磁场中,一带电粒子在洛伦兹力作用下做匀速率圆周运动,如果磁场的磁感应强度减小,则………………………………………………( ) 参看课本P231 A . 粒子的运动速率减小 B . 粒子的轨道半径减小 C . 粒子的运动频率不变 D . 粒子的运动周期增大20. 两根无限长的载流直导线互相平行,通有大小相等,方向相反的I 1和I 2,在两导线的正中间放一个通有电流I 的矩形线圈abcd ,如图所示. 则线圈受到的合力为…………( ) 参看课本P221-223A . 水平向左B . 水平向右C . 零D . 无法判断21. 下列说法错误的是……………………………………( ) 参看课本P263A . 通过螺线管的电流越大,螺线管的自感系数也越大B . 螺线管的半径越大,螺线管的自感系数也越大C . 螺线管中单位长度的匝数越多,螺线管的自感系数也越大D . 螺线管中充有铁磁质时的自感系数大于真空时的自感系数22. 一电偶极子放在匀强电场中,当电矩的方向与场强的方向不一致时,则它所受的合力F 和合力矩M 分别为…………………………………( ) 参看课本P168-169A . F =0 ,M =0B . F ≠0 ,M ≠0C . F =0 ,M ≠0D . F ≠0 ,M =023. 若一平面载流线圈在磁场中既不受磁力,也不受磁力矩作用,这说明……( )A . 该磁场一定均匀,且线圈的磁矩方向一定与磁场方向平行 参看课本P223-224B . 该磁场一定不均匀,且线圈的磁矩方向一定与磁场方向平行C . 该磁场一定均匀,且线圈的磁矩方向一定与磁场方向垂直D . 该磁场一定不均匀,且线圈的磁矩方向一定与磁场方向垂直24. 下列关于机械振动和机械波的说法正确的是………( ) 参看课本P306A . 质点做机械振动,一定产生机械波B .波是指波源质点在介质的传播过程C . 波的传播速度也就是波源的振动速度D . 波在介质中的传播频率与波源的振动频率相同,而与介质无关25. 在以下矢量场中,属保守力场的是…………………( ) A . 静电场 B . 涡旋电场 参看课本P180,212,258C . 稳恒磁场D . 变化磁场26. 如图所示,一根长为2a 的细金属杆AB 与载流长直导线共面,导线中通过的电流为I ,金属杆A 端距导线距离为a .金属杆AB 以速度v 向上匀速运动时,杆内产生的动生电动势为……( ) 参看课本P261 (8-8)A . ,方向由B →A B .,方向由A →B2ln 20πμεIv i =2ln 20πμεIv i =C . ,方向由B →A D . ,方向由A →B0ln 32i Iv μεπ=3ln 20πμεIv i =27.在驻波中,两个相邻波节间各质点的振动………( ) 参看课本P325A . 振幅相同,相位相同B . 振幅不同,相位相同C . 振幅相同,相位不同D . 振幅不同,相位不同28.两个质点做简谐振动,曲线如图所示,则有( )A . A 振动的相位超前B 振动π/2 参看课本P291B . A 振动的相位落后B 振动π/2C . A 振动的相位超前B 振动πD . A 振动的相位与B 振动同相29.同一点光源发出的两列光波产生相干的必要条件是…() 参看课本P336A . 两光源的频率相同,振动方向相同,相位差恒定B . 两光源的频率相同,振幅相同,相位差恒定C . 两光源发出的光波传播方向相同,振动方向相同,振幅相同D .两光源发出的光波传播方向相同,频率相同,相位差恒定30.如图所示,在一圆形电流I 所在的平面内选取一个同心圆形闭合环路L ,则由安培环路定理可知……………………………………………( ) 参看课本P235A . ,且环路上任一点B =0d 0L B l ⋅=⎰B . ,但环路上任一点B ≠0d 0L B l ⋅=⎰ C . ,且环路上任一点B ≠0d 0 L B l ⋅≠⎰D . ,且环路上任一点B =常量d 0 LB l ⋅≠⎰二. 填空题:31. 平行板电容器充电后与电源断开,然后充满相对电容率为εr 的各向均匀电介质. 则其电容C 将______,两极板间的电势差U 将________. (填减小、增大或不变) 参看课本P195,20032. 某质点沿x 轴运动,其运动方程为: x =10t –5t 2,式中x 、t 分别以m 、s 为单位. 质点任意时刻的速度v =________,加速度a =________. 参看课本P16-1733. 某人相对地面的电容为60pF ,如果他所带电荷为,则他相对地面的电C 100.68-⨯势差为__________,他具有的电势能为_____________. 参看课本P200,20234. 一人从10 m 深的井中提水,起始时,桶中装有10 kg 的水,桶的质量为1 kg ,由于水桶漏水,每升高1m 要漏去0.1 kg 的水,则水桶匀速地从井中提到井口,人所作的功为____________.参看课本P70 (2-14)35.质量为m 、半径为R 、自转运动周期为T 的月球,若月球是密度均匀分布的实球体,则其绕自转轴的转动惯量是__________,做自转运动的转动动能是__________.参看课本P100 (3-4)36. 1mol 氢气,在温度为127℃时,氢气分子的总平均动能是_____________,总转动动能是______________,内能是_____________. 〔已知摩尔气体常量R = 8.31 J/(mol ·K ) 参看课本 P120 (4-8)37. 如图所示,两个平行的无限大均匀带电平面,其面电荷密度分别为+σ和-σ. 则区域Ⅱ的场强大小E Ⅱ=___________ . 参看课本P17738. 用一定波长的单色光进行双缝干涉实验时,要使屏上的干涉条纹间距变宽,可采用的方法是: (1) _________________________;(2) ________________________. 参看课本P34439. 通过磁场中任意闭合曲面的磁通量等于_________. 感生电场是由______________产生的,它的电场线是__________曲线. (填闭合或不闭合) 参看课本P212,25840. 子弹在枪膛中前进时受到的合力与时间关系为,子弹飞出枪口5400410N F t =-⨯的速度为200m /s ,则子弹受到的冲量为_____________. 参看课本P55-5641. 将电荷量为2.0×10-8C 的点电荷,从电场中A 点移到B 点,电场力做功6.0×10-6J . 则A 、B 两点的电势差U AB =____________ . 参看课本P18142. 如图所示,图中O 点的磁感应强度大小B =______________.参看课本P229-23043. 一个螺线管的自感L =10 mH ,通过线圈的电流I =2A ,则它所储存的磁能W =_____________. 参看课本P26744. 理想气体在某热力学过程中内能增加了ΔE =250J ,而气体对外界做功A =50J ,则气体吸收的热量Q = . 参看课本P132-13345. 一平面简谐波沿x 轴的正方向传播,波速为100 m/s ,t =0时的曲线如图所示,则简谐波的波长λ =____________,频率ν =_____________. 参看课本P30946. 两个同心的球面,半径分别为R 1、R 2(R 1R 2),分别<带有总电量为Q 1、Q 2. 设电荷均匀分布在球面上,则两球面间的电势差U 12= ________________________.参看课本P186-187三. 计算题:47. 一正方形线圈由外皮绝缘的细导线绕成,共绕有100匝,每边长为10 cm ,放在B = 5.0T 的磁场中,当导线中通有I =10.0A 的电流时,求: (1) 线圈磁矩m 的大小;(2) 作用在线圈上的磁力矩M 的最大值. 参看课本P225 (7-7)48.如图所示,已知子弹质量为m ,木块质量为M ,弹簧的劲度系数为k,子弹以初速v o射入木块后,弹簧被压缩了L.设木块与平面间的滑动摩擦因数为μ,不计空气阻力.求初速v o.参看课本P80 (2-23)49. 一卡诺热机的效率为40%,其工作的低温热源温度为27℃.若要将其效率提高到50%,求高温热源的温度应提高多少?参看课本P148 (5-14)50. 质量均匀的链条总长为l,放在光滑的桌面上,一端沿桌面边缘下垂,其长度为a,如图所示.设开始时链条静止,求链条刚刚离开桌边时的速度.参看课本P70 (2-18)51.一平面简谐波在t =0时刻的波形如图所示,设波的频率ν=5 Hz,且此时图中P点的运动方向向下,求:(1) 此波的波函数;(2) P点的振动方程和位置坐标.参看课本P318 (10-11)52.如图所示,A和B两飞轮的轴杆可由摩擦啮合器使之连接,A轮的转动惯量J A=10 kg·m2.开始时,B轮静止,A轮以n A= 600 r/min的转速转动.然后使A和B连接,连接后两轮的转速n = 200 r/min.求: (1) B轮的转动惯量J B ;(2) 在啮合过程中损失的机械能ΔE.参看课本P105 (3-9及补充)53.如图所示,载流I的导线处于磁感应强度为B的均匀磁场中,导线上的一段是半径为R、垂直于磁场的半圆,求这段半圆导线所受安培力.参看课本P224-22554.如图所示的截面为矩形的环形均匀密绕的螺绕环,环的内外半径分别a和b,厚度为h,共有N匝,环中通有电流为I .求: (1) 环内外的磁感应强度B;(2) 环的自感L.参看课本P237-238 (7-23及补充)55.如图所示,一长直导线通有电流I,在与其相距d处放在有一矩形线框,线框长为l ,宽为a ,共有N 匝. 当线框以速度v 沿垂直于长导线的方向向右运动时,线框中的动生电动势是多少? 参看课本P255 (8-3)二. 填空题:31. 增大 减小32.33. 1000V 0.03 J1010m/s t -210m/s t -34. 1029 (或1050) J 35. 36. 4986J 3324J 8310 J 225mR 22245mR T π37. 38. (1) 将两缝的距离变小 (2) 将双缝到光屏的距离变大σε39. 零 变化的磁场 闭合 40.41.300V42.0.2N s ⋅0112I R μπ⎛⎫- ⎪⎝⎭43. 0.02 J44. 300 J45. 0.8 m 125 Hz46.1012114Q R R πε⎛⎫- ⎪⎝⎭三. 计算题:47. 线圈磁矩22100100.110A m m NIS ==⨯⨯=⋅线圈最大磁力矩max 10550N mM mB ==⨯=⋅48. 设子弹质量为m ,木块质量为M ,子弹与木块的共同速度v由动量守恒定律得①0()mv m M v =+由功能原理得 ②2211()()22m M gL kL m M v μ-+=-+由①、②式得 0v =49. 卡诺热机效率: 211T T η=-21300500K 110.4T T η⇒===--同理 21300600K 110.5T T η'==='--高温热源应提高的温度 11600500100KT T '-=-=n50. 设桌面为零势面,由机械能守恒定律得21222a a l mg mg mv l -=-+v ⇒=51. 解:(1) 由图中v P <0知此波沿x 轴负向传播,继而知原点此时向y 正向运动原点处0002A y v =->,023ϕπ⇒=-又x = 3m 处3300y v =>,32πϕ⇒=-由 得2x ϕπλ∆∆=2x λπϕ∆=∆30236m 223πππ-=⨯=⎛⎫--- ⎪⎝⎭此波的波函数 02cos 2x y A t ππνϕλ⎛⎫=++ ⎪⎝⎭20.10cos 10m 183t x πππ⎛⎫=+- ⎪⎝⎭(2) P 点处 P P 00y v =,<P 2πϕ⇒=P 点振动方程P P cos(2)y A t πνϕ=+0.10cos 10m 2t ππ⎛⎫=+ ⎪⎝⎭P 点位置坐标 p 363321m22x λ=+=+=52. (1) 由动量矩守恒定律得A A AB ()J J J ωω=+A A AB 2()2J n J J n ππ=+B 60020010(10)6060J ⨯=+⨯2B 20kg m J ⇒=⋅(2) 损失的机械能2222A A A B A A A B 222241111()(2)()(2)222216001200104(1020)4 1.31510J 260260E J J J J n J J n ωωππππ∆=-+=-+⎛⎫⎛⎫=⨯⨯-+⨯=⨯ ⎪ ⎪⎝⎭⎝⎭53. 依题意得 d 0x x F F =∑=d d sin d sin sin d y F F BI l BIR θθθθ===0sin d 2y F F BIR BIRπθθ===⎰54. (1)0d 2B r B r Iπμ⋅=⋅=∑⎰ 环外的磁感应强度 0B =环内的磁感应强度 02B r NIπμ⋅=02NI B rμπ=(2) 0d d d 2NIhBh r r rμΦπ==001d d ln 22b a NIh NIh br r aμμΦΦππ===⎰⎰环的自感 20ln 2N h N b L I I aμψΦπ===55. 线框的动生电动势1212()N B B lvεεε=-=-001122()NIlv NIlav d d a d d a μμππ⎛⎫=-= ⎪++⎝⎭。
《大学物理》各章练习题及答案解析第1章 质点运动学一、选择题:1.以下五种运动中,加速度a保持不变的运动是 ( D ) (A) 单摆的运动。
(B) 匀速率圆周运动。
(C) 行星的椭圆轨道运动。
(D) 抛体运动。
(E) 圆锥摆运动。
2.下面表述正确的是( B )(A)质点作圆周运动,加速度一定与速度垂直; (B) 物体作直线运动,法向加速度必为零; (C)轨道最弯处法向加速度最大; (D)某时刻的速率为零,切向加速度必为零。
3.某质点做匀速率圆周运动,则下列说法正确的是( C )(A)质点的速度不变; (B)质点的加速度不变 (C)质点的角速度不变; (D)质点的法向加速度不变4.一运动质点在某瞬时位于矢径()y x r , 的端点处,其速度大小为( D )()()(()22⎪⎭⎫⎝⎛+⎪⎭⎫ ⎝⎛dt dy dt dx D C dtrd B dt drA5. 一质点在平面上运动,运动方程为:j t i t r222+=,则该质点作( B )(A)匀速直线运动 (B)匀加速直线运动(C)抛物线运动 (D)一般曲线运动6.一质点做曲线运动,r 表示位置矢量,v 表示速度,a表示加速度,s 表示路程,a t 表示切向加速度,对下列表达式,正确的是( B )(A)dt dr v = (B) dt ds v = (C) dtdv a = (D) dt vd a t=7. 某质点的运动方程为 3723+-=t t X (SI ),则该质点作 [ D ](A)匀加速直线运动,加速度沿 x 轴正方向; (B)匀加速直线运动,加速度沿 x 轴负方向; (C)变加速直线运动.加速度沿 x 轴正方向; (D)变加速直线运动,加速度沿 x 轴负方向8.一质点沿x 轴运动,其运动方程为()SI t t x 3235-=,当t=2s 时,该质点正在( A )(A)加速 (B)减速 (C)匀速 (D)静止1.D2. B3. C4.D5.B ,6B ,7A 8 A二 、填空题1. 一质点的运动方程为x =2t ,y =4t 2-6t ,写出质点的运动方程(位置矢量)j t t i t r)64(22-+=,t =1s 时的速度j i v22+=,加速度j a 8=,轨迹方程为x x y 32-=。
xO 1A22练习 十三(简谐振动、旋转矢量、简谐振动的合成)一、选择题1. 一弹簧振子,水平放置时,它作简谐振动。
若把它竖直放置或放在光滑斜面上,试判断下列情况正确的是 (C )(A )竖直放置作简谐振动,在光滑斜面上不作简谐振动; (B )竖直放置不作简谐振动,在光滑斜面上作简谐振动; (C )两种情况都作简谐振动; (D )两种情况都不作简谐振动。
解:(C) 竖直弹簧振子:kx mg l x k dt x d m )(22(mg kl ),0222 x dt xd弹簧置于光滑斜面上:kx mg l x k dt x d m sin )(22 (mg kl ),0222 x dtxd2. 两个简谐振动的振动曲线如图所示,则有 (A ) (A )A 超前2π; (B )A 落后2π;(C )A 超前π; (D )A 落后π。
解:(A)t A x A cos ,)2/cos( t A x B3. 一个质点作简谐振动,周期为T ,当质点由平衡位置向x 轴正方向运动时,由平衡位置到二分之一最大位移这段路程所需要的最短时间为: (B ) (A )4T ; (B )12T ; (C )6T ; (D )8T 。
解:(B)振幅矢量转过的角度6/ ,所需时间12/26/T T t , 4. 分振动表式分别为)π25.0π50cos(31 t x 和)π75.0π50cos(42 t x (SI 制)则它们的合振动表达式为: (C )(A ))π25.0π50cos(2 t x ; (B ))π50cos(5t x ;(C )π15cos(50πarctan )27x t; (D )7 x 。
解:(C)作旋转矢量图或根据下面公式计算)cos(21020212221A A A A A 5)25.075.0cos(4324322712)75.0cos(4)25.0cos(3)75.0sin(4)25.0sin(3cos cos sin sin 1120210120210110 tg tg A A A A tg5. 两个质量相同的物体分别挂在两个不同的弹簧下端,弹簧的伸长分别为1l 和2l ,且212l l ,则两弹簧振子的周期之比21:T T 为 (B )(A )2; (B )2; (C )2/1; (D )2/1。
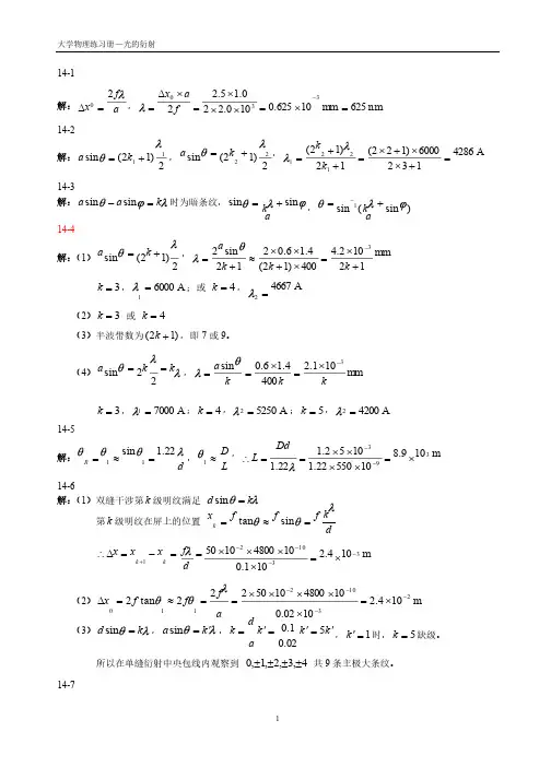
大学物理练习册—光的衍射—光的衍射14-1 解:a f x l 20=D ,nm 625mm 10625.0100.220.15.22330=´=´´´=´D =-f a x l 14-2 解:2)12(sin 11l q +=k a ,2)12(sin 22l q +=k a ,A 42861326000)122(12)12(1221=+´´+´=++=k k l l 14-3 解:l j q k a a =-sin sin 时为暗条纹,j l q sin sin +=a k ,)sin (sin 1j l q +=-ak 14-4 解:(1)2)12(sin l q +=k a ,mm 12102.4400)12(4.16.0212sin 23+´=´+´´»+=-k k k a q l 3=k ,A 60001=l ;或;或4=k ,A 46672=l(2)3=k 或 4=k(3)半波带数为)12(+k ,即7或9。
(4)l l q k k a ==22sin ,mm 101.24004.16.0sin 3k k k a -´=´==q l 3=k ,A 70001=l ;4=k ,A 52502=l ;5=k ,A 42002=l 14-5 解:d R l q q q 22.1sin 11=»=,LD »1q ,m 109.81055022.11052.122.1393´=´´´´==\--l Dd L 14-6 解:(1)双缝干涉第k 级明纹满足级明纹满足 l q k d =sin第k 级明纹在屏上的位置级明纹在屏上的位置d k f f f x k l q q =»=sin tan m 104.2101.01048001050331021----+´=´´´´==-=D \d f x x x k k l (2)m 104.21002.01048001050222tan 223102110----´=´´´´´==»=D a f f f x l q q (3)l q k d =sin ,l q k a ¢=sin ,k k k a d k ¢=¢=¢=502.01.0,1=¢k 时,5=k 缺级。
大学物理练习册参考答案大学物理练习册是大学物理的重要教材之一,它的主要作用是为大学物理课程提供题目和习题,使学生能够更好地掌握和理解物理知识。
本文将为大家提供几个大学物理练习册的参考答案,供大家参考。
第一题:有一块长度为20cm,宽度为10cm,厚度为2cm的矩形金属板,重量为3N。
请问这块金属板的密度是多少?答案:首先我们需要知道密度的定义,密度是单位体积内物质的质量。
因此,我们可以根据这个公式计算出这块金属板的密度:密度=质量/体积其中,这块金属板的质量为3N,体积为20cm × 10cm × 2cm = 400cm³。
把质量和体积带入公式中,可以得到这块金属板的密度为:密度=3N/400cm³=0.0075N/cm³因此,这块金属板的密度为0.0075N/cm³。
第二题:有一个长度为4m的绳子,一个人沿着绳子向上爬,绳子的质量是忽略不计的。
如果人的体重为600N,他在绳子上爬行的过程中,绳子的张力是多少?答案:在求解这个问题之前,我们需要知道牛顿第二定律的公式:力=质量× 加速度根据牛顿第二定律,可以得到人在绳子上爬行时绳子所受的力等于绳子的张力减去重力。
因此,我们可以得到以下公式:绳子的张力=人的重力+绳子的重力其中,人的重力为600N,绳子的重力可以根据绳子的长度和重力加速度计算得出。
在地球上,物体的重力加速度大约为9.8m/s²。
因此,绳子的重力可以用下面的公式计算:绳子的重力=绳子的质量× 重力加速度因为绳子的质量可以根据绳子的长度和线密度计算得出,我们可以得到以下公式:绳子的质量=绳子的长度× 线密度假设绳子的线密度为ρ,绳子的质量可以表示为:绳子的质量=ρ × 面积× 长度根据绳子的面积和长度,可以得到:面积=长度× 直径/4因此,绳子的质量可以通过以下公式计算得出:绳子的质量=ρ × 直径² × 长度/16把绳子的质量和重力加速度带入公式中,可以得到绳子的重力为:绳子的重力=ρ × 直径² × 长度/16 × 重力加速度把人的重力和绳子的重力带入公式中,可以得到绳子的张力为:绳子的张力=人的重力+绳子的重力=600N+ρ × 直径² × 长度/16 × 重力加速度因此,如果已知绳子的线密度、直径、长度和重力加速度,就可以计算出绳子在负责人上爬行时所受的张力。
安徽建筑工业学院—刘果红 大学物理习题册答案练习一质点运动学1、 ,,26t i dt r d v +==j i v61+=j i tr r 26133+=-=-∆jv v 24131331=--=-2、0202212110v Kt v Ktdt v dvt Kv dt dv t v v +=⇒-⎰=⎰⇒-=所以选(C )3、因为位移,又因为。
所以选(B )00==r∆,v 0≠∆0≠4、选(C )5、(1)由,所以:,,mva Fv P ==dt dv a = dt dv mv P =⎰⎰=vtmvdvPdt 00积分得:mPt v 2=(2)因为,即:,有:m Pt dtdxv 2==dt m Ptdx tx⎰⎰=0022398t m P x =练习二 质点运动学 (二)1、平抛的运动方程为,两边求导数有:,那么2021gty tv x ==gt v v v y x ==0,,2220t g v v +=222022t g v t g dt dv a t +===-=22t n a g a 。
2220tg v gv +2、2241442s /m .a ;s /m .a n n ==3、(B )4、(A )练习三质点运动学1、0232332223x kt x ;tk )t (a ;)k s (t +===2、0321`=++v v v 3、(B )4、(C )练习四 质点动力学(一)1、mx ;i v912==2、(A )3、(C )4、(A )练习五 质点动力学(二)1、m'm muv )m 'm (v V +-+-=002、(A )3、(B )4、(C )5、(1)Nsv v m I v s m v t t v 16)(,3,/19,38304042=-===+-= (2)J mv mv A 17621212024=-=练习六、质点动力学(三)1、J9002、)R R R R (m Gm A E 2121-=3、(B )4、(D )5、)(21222B A m -ω练习七 质点动力学(四)1、)m m (l Gm v 212212+=2、动量、动能、功3、(B )4、(B )练习八 刚体绕定轴的转动(一)1、πωω806000.,.解:(1)摩擦力矩为恒力矩,轮子作匀变速转动因为;同理有0000120180ωωωββωω..t -=-=⇒+=。
大学物理(一)练习册 参考解答3. 质点作曲线运动,r 表示位置矢量,v表示速度,a 表示加速度,S 表示路程,a t 表示切向加速度,下列表达式中,(1) a t d /d v , (2) v t r d /d , (3) v t S d /d , (4) t a t d /d v.(A) 只有(1)、(4)是对的. (B) 只有(2)、(4)是对的. (C) 只有(2)是对的. (D) 只有(3)是对的. 答案: (D) 参考解答:质点作曲线运动,应该考虑速度v,加速度a 的矢量性。
注意正确书写矢量公式,例如:.d d ,d d v vtr a t速度和速率是两个不同概念。
前者为矢量,后者为标量;瞬时速度的大小和瞬时速率相同:v t S d /d . 所以只有(3)是对的。
大学物理(一)练习册 参考解答第1章 质点运动学一、选择题1(D),2(D),3(B),4(D),5(B),6(D),7(D),8(E),9(B),10(B), 二、填空题 (1).1221n (n = 0,1,… ), t A sin 2 (2). 8 m ,10 m. (3). 23 m/s. (4). 16Rt 2(5). 4t 3-3t 2 (rad/s),12t 2-6t (m/s 2). (6).331ct ,2ct ,c 2t 4/R . (7). 2.24 m/s 2,104o(8).)5cos 5sin (50j t i tm/s ,0,圆. (9). K m x /0max v(10). 02121v v kt三、计算题1. 有一质点沿x 轴作直线运动,t 时刻的坐标为x = 4.5 t 2 – 2 t 3 (SI) .试求:(1) 第2秒内的平均速度; (2) 第2秒末的瞬时速度; (3) 第2秒内的路程.解:(1) 5.0/ t x v m/s(2) v = d x /d t = 9t - 6t 2, v (2) =-6 m/s. (3) S = |x (1.5)-x (1)| + |x (2)-x (1.5)| = 2.25 m.2. 一质点沿半径为R 的圆周运动.质点所经过的弧长与时间的关系为221ct bt S其中b 、c 是大于零的常量,求从0 t 开始到切向加速度与法向加速度大小相等时所经历的时间.解: ct b t S d /d v c t a t d /d v R ct b a n /2根据题意: a t = a n 即 R ct b c /2解得 cb c R t3. 一质点沿x 轴运动,其加速度为a 4t (SI),已知t 0时,质点位于x 10 m 处,初速度v 0.试求其位置和时间的关系式.解: a d v /d t 4 t , d v 4 t d tvv 0d 4d tt t v = 2t 2v d x /d t 2 t 2t t x txx d 2d 020x 2 t 3 /3+x 0 (SI)4. 一物体悬挂在弹簧上作竖直振动,其加速度为 a ky ,式中k 为常量,y 是以平衡位置为原点所测得的坐标. 假定振动的物体在坐标y 0处的速度为v 0,试求速度v 与坐标y 的函数关系式.解: yt y y t a d d d d d d d d v v v v又 a ky ∴ -k y v d v / d yC ky y ky 222121 , d d v v v已知 y y 0 , v v 0 则 20202121ky C v)(220202y y k v v5. 一飞机驾驶员想往正北方向航行,而风以60 km/h 的速度由东向西刮来,如果飞机的航速(在静止空气中的速率)为 180 km/h ,试问驾驶员应取什么航向?飞机相对于地面的速率为多少?试用矢量图说明.解:设下标A 指飞机,F 指空气,E 指地面,由题可知:v FE =60 km/h 正西方向 v AF =180 km/h 方向未知v AE 大小未知, 正北方向由相对速度关系有: FE AF AE v v vAE v 、 AF v 、EE v 构成直角三角形,可得 km/h 17022 v v v FE AF AE 4.19/tg 1 AE FE v v(飞机应取向北偏东19.4 的航向).四 研讨题1. 在下列各图中质点M 作曲线运动,指出哪些运动是不可能的?参考解答: (1)、(3)、(4)是不可能的. (1) 曲线运动有法向加速度,加速度不可能为零; (3) 曲线运动法向加速度要指向曲率圆心;(4) 曲线运动法向加速度不可能为零.2. 设质点的运动方程为)(t x x ,)(t y y 在计算质点的速度和加速度时:第一种方法是,先求出22y x r ,然后根据 t d d rv 及 22d d tr a 而求得结果;第二种方法是,先计算速度和加速度的分量,再合成求得结果,即22)d d ()d d (t y t x v 和 222222)d d ()d d (ty t x a .你认为两种方法中哪种方法正确?参考解答:第二种方法是正确的。
第十章练习一一、选择题1、以下四种运动〔忽略阻力〕中哪一种是简谐振动?〔〕(A)小球在地面上作完全弹性的上下跳动(B)细线悬挂一小球在竖直平面上作大角度的来回摆动(C)浮在水里的一均匀矩形木块,将它局部按入水中,然后松开,使木块上下浮动 (D)浮在水里的一均匀球形木块,将它局部按入水中,然后松开,使木块上下浮动2、质点作简谐振动,距平衡位置时,加速度a=/s 2,则该质点从一端运动到另一端的时间为〔 〕3、如图下所示,以向右为正方向,用向左的力压缩一弹簧,然后松手任其振动,假设从松手时开场计时,则该弹簧振子的初相位为〔〕(A) 0 (B) 2π (C) 2π-(D) π 4、一质量为m 的物体与一个劲度系数为k 的轻弹簧组成弹簧振子,当其振幅为A 时,该弹簧振子的总能量为E 。
假设将其弹簧分割成两等份,将两根弹簧并联组成新的弹簧振子,则新弹簧振子的振幅为多少时,其总能量与原先弹簧振子的总能量E 相等〔〕(A)2A (B) 4A(C)2A (D)A 二、填空题1、简谐振动A x =)cos(0ϕω+t 的周期为T ,在2Tt =时的质点速度为,加速度为。
2、月球上的重力加速度是地球的1/6,假设一个单摆(只考虑小角度摆动)在地球上的振动周期为T ,将该单摆拿到月球上去,其振动周期应为。
3、一质点作简谐振动,在同一周期内相继通过相距为11cm 的A,B 两点,历时2秒,速度大小与方向均一样,再经过2秒,从另一方向以一样速率反向通过B 点。
该振动的振幅为,周期为。
4、简谐振动的总能量是E ,当位移是振幅的一半时,k E E =,P E E =,当xA=时,k P E E =。
三、计算题1、一振动质点的振动曲线如右图所示, 试求:(l)运动学方程; (2)点P 对应的相位;(3)从振动开场到达点P 相应位置所需的时间。
2、一质量为10g 的物体作简谐运动,其振幅为24 cm ,周期为4.0s ,当t=0时,位移为+24cm 。
大学物理练习册 参考解答第12章 真空中的静电场一、选择题1(D),2(C),3(C),4(A),5(C),6(B),7(C),8(D),9(D),10(B), 二、填空题(1). 电场强度和电势,0/q F E=,l E q W U aa⎰⋅==00d /(U 0=0).(2). ()042ε/q q +, q 1、q 2、q 3、q 4 ;(3). 0,λ / (2ε0) ; (4). σR / (2ε0) ; (5). 0 ; (6).⎪⎪⎭⎫ ⎝⎛-π00114r r q ε ;(7). -2×103 V ; (8).⎪⎪⎭⎫ ⎝⎛-πa br r q q 11400ε(9). 0,pE sin α ; (10). ()i a x A2+-.三、计算题1. 如图所示,真空中一长为L 的均匀带电细直杆,总电荷为q ,试求在直杆延长线上距杆的一端距离为d 的P 点的电场强度.解:设杆的左端为坐标原点O ,x 轴沿直杆方向.带电直杆的电荷线密度为λ=q / L ,在x 处取一电荷元d q = λd x = q d x / L ,它在P 点的场强:()204d d x d L q E -+π=ε()204d x d L L xq -+π=ε总场强为⎰+π=Lx d L xL q E 020)(d 4-ε()d L d q +π=04ε 方向沿x 轴,即杆的延长线方向.2.一个细玻璃棒被弯成半径为R 的半圆形,沿其上半部分均匀分布有电荷+Q ,沿其下半部分均匀分布有电荷-Q ,如图所示.试求圆心O 处的电场强度.解:把所有电荷都当作正电荷处理. 在θ处取微小电荷 d q = λd l = 2Q d θ / π它在O 处产生场强θεεd 24d d 20220R QR q E π=π=L Pd EO按θ 角变化,将d E 分解成二个分量:θθεθd sin 2sin d d 202R QE E x π==θθεθd cos 2cos d d 202RQE E y π-=-= 对各分量分别积分,积分时考虑到一半是负电荷⎥⎦⎤⎢⎣⎡-π=⎰⎰πππθθθθε2/2/0202d sin d sin 2R QE x =02022/2/0202d cos d cos 2R QR Q E y εθθθθεππππ-=⎥⎦⎤⎢⎣⎡-π-=⎰⎰ 所以j RQ j E i E E y x202επ-=+= 3. “无限长”均匀带电的半圆柱面,半径为R ,设半圆柱面沿轴线OO'单位长度上的电荷为λ,试求轴线上一点的电场强度.解:设坐标系如图所示.将半圆柱面划分成许多窄条.d l 宽的窄条的电荷线密度为 θλλλd d d π=π=l R取θ位置处的一条,它在轴线上一点产生的场强为θελελd 22d d 020RR E π=π=如图所示. 它在x 、y 轴上的二个分量为:d E x =d E sin θ , d E y =-d E cos θ对各分量分别积分RR E x 02002d sin 2ελθθελππ=π=⎰0d cos 2002=π-=⎰πθθελRE y 场强 i Rj E i E E y x02ελπ=+= 4. 实验表明,在靠近地面处有相当强的电场,电场强度E垂直于地面向下,大小约为100 N/C ;在离地面1.5 km 高的地方,E也是垂直于地面向下的,大小约为25 N/C . (1) 假设地面上各处E都是垂直于地面向下,试计算从地面到此高度大气中电荷的平均体密度;(2) 假设地表面内电场强度为零,且地球表面处的电场强度完全是由均匀分布在地表面的电荷产生,求地面上的电荷面密度.(已知:真空介电常量0ε=8.85×10-12 C 2·N -1·m -2) 解:(1) 设电荷的平均体密度为ρ,取圆柱形高斯面如图(1)(侧面垂直底面,底面∆S 平行地面)上下底面处的 场强分别为E 1和E 2,则通过高斯面的电场强度通量为:⎰⎰E·S d =E 2∆S -E 1∆S =(E 2-E 1) ∆S高斯面S 包围的电荷∑q i =h ∆S ρ由高斯定理(E 2-E 1) ∆S =h ∆S ρ /ε 0∴ () E E h1201-=ερ=4.43×10-13 C/m 3(2) 设地面面电荷密度为σ.由于电荷只分布在地表面,所以电力线终止于地面,取高斯面如图(2)由高斯定理 ⎰⎰E·S d =∑i 01q ε-E ∆S =S ∆σε01∴ σ =-ε 0 E =-8.9×10-10 C/m 3 5. 一半径为R 的带电球体,其电荷体密度分布为ρ =Ar (r ≤R ) , ρ =0 (r >R ), A 为一常量.试求球体内外的场强分布.解:在球内取半径为r 、厚为d r 的薄球壳,该壳内所包含的电荷为r r Ar V q d 4d d 2π⋅==ρ在半径为r 的球面内包含的总电荷为403d 4Ar r Ar dV q rVπ=π==⎰⎰ρ (r ≤R)以该球面为高斯面,按高斯定理有 0421/4εAr r E π=π⋅得到()0214/εAr E =, (r ≤R )方向沿径向,A >0时向外, A <0时向里.在球体外作一半径为r 的同心高斯球面,按高斯定理有0422/4εAR r E π=π⋅ 得到 ()20424/r AR E ε=, (r >R )方向沿径向,A >0时向外,A <0时向里.6. 如图所示,一厚为b 的“无限大”带电平板 , 其电荷体密度分布为ρ=kx (0≤x ≤b ),式中k 为一正的常量.求: (1) 平板外两侧任一点P 1和P 2处的电场强度大小;(2) 平板内任一点P 处的电场强度; (3) 场强为零的点在何处?解: (1) 由对称分析知,平板外两侧场强大小处处相等、方向垂直于平面且背离平面.设场强大小为E .作一柱形高斯面垂直于平面.其底面大小为S ,如图所示. 按高斯定理∑⎰=⋅0ε/d q S E S,即22d d 12εερεkSbx x kSx S SE b b===⎰⎰得到 E = kb 2 / (4ε0) (板外两侧) (2) 过P 点垂直平板作一柱形高斯面,底面为S .设该处场强为E ',如图所示.按高斯定理有(2)()022εεkSb xdx kSS E E x==+'⎰得到 ⎪⎪⎭⎫ ⎝⎛-='22220b x k E ε (0≤x ≤b ) (3) E '=0,必须是0222=-b x , 可得2/b x =7. 一“无限大”平面,中部有一半径为R 的圆孔,设平面上均匀带电,电荷面密度为σ.如图所示,试求通过小孔中心O 并与平面垂直的直线上各点的场强和电势(选O 点的电势为零).解:将题中的电荷分布看作为面密度为σ的大平面和面密度为-σ的圆盘叠加的 结果.选x 轴垂直于平面,坐标原点O在圆盘中心,大平面在x 处产生的场强为ixx E 012εσ=圆盘在该处的场强为i x R x x E ⎪⎪⎭⎫ ⎝⎛+--=2202112εσ ∴ i xR x E E E 220212+=+=εσ该点电势为 ()220222d 2x R R xR x x U x+-=+=⎰εσεσ8. 一半径为R 的“无限长”圆柱形带电体,其电荷体密度为ρ =Ar (r ≤R ),式中A 为常量.试求:(1) 圆柱体内、外各点场强大小分布; (2) 选与圆柱轴线的距离为l (l >R ) 处为电势零点,计算圆柱体内、外各点的电势分布.解:(1) 取半径为r 、高为h 的高斯圆柱面(如图所示).面上各点场强大小为E 并垂直于柱面.则穿过该柱面的电场强度通量为:⎰π=⋅SrhE S E 2d为求高斯面内的电荷,r <R 时,取一半径为r ',厚d r '、高h 的圆筒,其电荷为r r Ah V ''π=d 2d 2ρσO R OxP则包围在高斯面内的总电荷为3/2d 2d 32Ahr r r Ah V r Vπ=''π=⎰⎰ρ由高斯定理得 ()033/22εAhr rhE π=π 解出()023/εAr E = (r ≤R )r >R 时,包围在高斯面内总电荷为:3/2d 2d 302AhR r r Ah V RVπ=''π=⎰⎰ρ由高斯定理 ()033/22εAhR rhE π=π 解出 ()r AR E 033/ε= (r >R )(2) 计算电势分布 r ≤R 时 ⎰⎰⎰⋅+==l R Rrl rr r AR r r A r E U d 3d 3d 0320εε ()R l AR r R A ln 3903330εε+-=r >R 时 rlAR r r AR r E U lrl rln 3d 3d 0303εε=⋅==⎰⎰9.一真空二极管,其主要构件是一个半径R 1=5×10-4 m 的圆柱形阴极A 和一个套在阴极外的半径R 2=4.5×10-3 m 的同轴圆筒形阳极B ,如图所示.阳极电势比阴极高300 V ,忽略边缘效应. 求电子刚从阴极射出时所受的电场力.(基本电荷e =1.6×10-19 C)解:与阴极同轴作半径为r (R 1<r <R 2 )的单位长度的圆柱形高斯面,设阴极上电荷线密度为λ.按高斯定理有 2πrE = λ/ ε0得到 E = λ / (2πε0r ) (R 1<r <R 2) 方向沿半径指向轴线.两极之间电势差⎰⎰π-=⋅=-21d 2d 0R R B AB A rrr E U U ελ120ln 2R R ελπ-=得到()120/ln 2R R U U A B -=πελ, 所以 ()rR R U U E A B 1/ln 12⋅-=在阴极表面处电子受电场力的大小为 ()()11211/c R R R U U eR eE F A B ⋅-===4.37×10-14 N 方向沿半径指向阳极.第13章 静电场中的导体和电解质一、选择题1(D),2(D),3(B),4(A),5(C),6(B),7(C),8(B),9(C),10(B) 二、填空题(1). 4.55×105 C ;(2). σ (x ,y ,z )/ε0,与导体表面垂直朝外(σ > 0) 或 与导体表面垂直朝里(σ < 0). (3). εr ,1, εr ; (4). 1/εr ,1/εr ;(5). σ ,σ / ( ε 0ε r ); (6).Rq 04επ ;(7). P ,-P ,0; (8) (1- εr )σ / εr ; (9). 减小, 减小; (10). 增大,增大.三、计算题1. 一接地的"无限大"导体板前垂直放置一"半无限长"均匀带电直线,使该带电直线的一端距板面的距离为d .如图所示,若带电直线上电荷线密度为λ,试求垂足O 点处的感生电荷面密度.解:如图取座标,对导体板内O 点左边的邻近一点,半无限长带电直线产生的场强为: ()⎰∞-=dx i dx E 2004/ελπ()d i 04/ελπ-= 导体板上的感应电荷产生的场强为:()0002/εσi E-='由场强叠加原理和静电平衡条件,该点合场强为零,即()[]()02/4/000=--εσελd π ∴ ()d π2/0λσ-=2.半径为R 1的导体球,带电荷q ,在它外面同心地罩一金属球壳,其内、外半径分别为R 2 = 2 R 1,R 3 = 3 R 1,今在距球心d = 4 R 1处放一电荷为Q 的点电荷,并将球壳接地(如图所示),试求球壳上感生的总电荷.解:应用高斯定理可得导体球与球壳间的场强为 ()304/r r q E επ= (R 1<r <R 2)设大地电势为零,则导体球心O 点电势为: ⎰⎰π==2121200d 4d R R R R r r q r E U ε⎪⎪⎭⎫⎝⎛-π=21114R R qε根据导体静电平衡条件和应用高斯定理可知,球壳内表面上感生电荷应为-q . 设球壳外表面上感生电荷为Q'.以无穷远处为电势零点,根据电势叠加原理,导体球心O 处电势应为: ⎪⎪⎭⎫ ⎝⎛+-'+π=1230041R q R q R Q d Q U ε 假设大地与无穷远处等电势,则上述二种方式所得的O 点电势应相等,由此可得Q '=-3Q / 4 , 故导体壳上感生的总电荷应是-[( 3Q / 4) +q ].3. 一圆柱形电容器,外柱的直径为4 cm ,内柱的直径可以适当选择,若其间充满各向同性的均匀电介质,该介质的击穿电场强度的大小为E 0= 200 KV/cm .试求该电容器可能承受的最高电压. (自然对数的底e = 2.7183)解:设圆柱形电容器单位长度上带有电荷为λ,则电容器两极板之间的场强分布 为 )2/(r E ελπ= 设电容器内外两极板半径分别为r 0,R ,则极板间电压为⎰⎰⋅π==R rRr rr r E U d 2d ελ 0ln 2r Rελπ= 电介质中场强最大处在内柱面上,当这里场强达到E 0时电容器击穿,这时应有 002E r ελπ=,000ln r RE r U = 适当选择r 0的值,可使U 有极大值,即令0)/ln(/d d 0000=-=E r R E r U ,得 e R r /0=,显然有22d d r U < 0,故当 e R r /0= 时电容器可承受最高的电压 e RE U /0max = = 147 kV.4. 如图所示,一圆柱形电容器,内筒半径为R 1,外筒半径为R 2 (R 2<2 R 1),其间充有相对介电常量分别为εr 1和εr 2=εr 1 / 2的两层各向同性均匀电介质,其界面半径为R .若两种介质的击穿电场强度相同,问:(1) 当电压升高时,哪层介质先击穿?(2) 该电容器能承受多高的电压?解:(1) 设内、外筒单位长度带电荷为+λ和-λ.两筒间电位移的大小为 D =λ / (2πr ) 在两层介质中的场强大小分别为E 1 = λ / (2πε0 εr 1r ), E 2 = λ / (2πε0 εr 2r ) 在两层介质中的场强最大处是各层介质的内表面处,即E 1M = λ / (2πε0 εr 1R 1), E 2M = λ / (2πε0 εr 2R ) 可得 E 1M / E 2M = εr 2R / (εr 1R 1) = R / (2R 1)已知 R 1<2 R 1, 可见 E 1M <E 2M ,因此外层介质先击穿. (2) 当内筒上电量达到λM ,使E 2M =E M 时,即被击穿,λM = 2πε0 εr 2RE M 此时.两筒间电压(即最高电压)为:r r r r U R R r M RR r M d 2d 221201012⎰⎰+=επελεπελ⎪⎪⎭⎫ ⎝⎛+=R R R R RE r r M r 22112ln 1ln 1εεε5. 两根平行“无限长”均匀带电直导线,相距为d ,导线半径都是R (R << d ).导线上电荷线密度分别为+λ和-λ.试求该导体组单位长度的电容.解:以左边的导线轴线上一点作原点,x 轴通过两导线并垂直于导线.两导线间x 处的场强为 x E 02ελπ=)(20x d -π+ελ两导线间的电势差为⎰--+π=Rd Rx xd x U d )11(20ελ O R 1R 2Rεr 2εr 1xx R d -R+λO-λ)ln (ln 20R d R R R d ---π=ελRRd -π=ln 0ελ 设导线长为L 的一段上所带电量为Q ,则有L Q /=λ,故单位长度的电容U LU Q C /)/(λ==RR d -π=lnε6.圆柱形电容器是由半径为a 的圆柱形导体和与它同轴的内半径为b (b >a )的导体圆筒构成,其间充满了相对介电常量为εr 的各向同性的均匀电介质.设圆柱导体单位长度带电荷为λ,圆筒上为-λ,忽略边缘效应.求电介质中的电极化强度P 的大小及介质内、外表面上的束缚电荷面密度σˊ.解:由D的高斯定理求出介质内的电位移大小为D = λ / (2πr ) (a <r <b ) 介质内的场强大小为E = D / (ε0εr ) = λ / (2πε0εr r ) (a ≤r ≤b ) 电极化强度 P = ε0χe E ()rr r ελεπ-=21 (a ≤r ≤b )内外表面上束缚电荷面密度a aP ='σcos180°=()ar r ελεπ--21b bP ='σcos 0°=()br r ελεπ-217. 一个圆柱形电容器,内圆柱半径为R 1,外圆柱半径为R 2,长为L (L >>R 2-R 1),两圆筒间充有两层相对介电常量分别为εr 1和εr 2的各向同性均匀电介质,其界面半径为R ,如图所示.设内、外圆筒单位长度上带电荷(即电荷线密度)分别为λ和-λ,求: (1) 电容器的电容. (2) 电容器储存的能量.解:(1) 根据有介质时的高斯定理可得两筒之间的电位移的大小为D = λ / (2πr ) 介质中的场强大小分别为E 1 = D / (ε0εr 1) = λ / (2πε0εr 1r ) E 2 = D / (ε0εr 2) = λ / (2πε0εr 2r )两筒间电势差⎰⎰⋅+⋅=21221d d R RR R r E r E UR R R R r r 220110ln π2ln π2εελεελ+=()()[]21021122/ln /ln r r r r R R R R εεεεελπ+=电容 ()()R R R R L U QC r r r r /ln /ln 22112210εεεεε+π== (2) 电场能量 2102112224ln ln2r r r r R R R RL CQ W εεεεελπ⎪⎪⎭⎫ ⎝⎛+==1r 28. 如图所示,一平板电容器,极板面积为S ,两极板之间距离为d ,其间填有两层厚度相同的各向同性均匀电介质,其介电常量分别为ε1和ε2.当电容器带电荷±Q 时,在维持电荷不变下,将其中介电常量为ε1的介质板抽出,试求外力所作的功.解:可将上下两部分看作两个单独的电容器串联,两电容分别为d S C 112ε= ,d SC 222ε=串联后的等效电容为 ()21212εεεε+=d SC带电荷±Q 时,电容器的电场能量为 ()S d Q C Q W 21212242εεεε+== 将ε1的介质板抽去后,电容器的能量为 ()S d Q W 202024εεεε+='外力作功等于电势能增加,即 ⎪⎪⎭⎫⎝⎛-=-'=∆=102114εεS d Q W W W A .第14章 稳恒电流的磁场一、选择题1(B),2(A),3(D),4(C),5(B),6(D),7(B),8(C),9(D),10(A) 二、填空题(1). 最大磁力矩,磁矩 ; (2). πR 2c ; (3). )4/(0a I μ; (4).RIπ40μ ;(5). μ0i ,沿轴线方向朝右. ; (6). )2/(210R rI πμ, 0 ; (7). 4 ; (8).BIR 2,沿y 轴正向;(9). ωλB R 3π,在图面中向上; (10). 正,负.三 计算题1. 将通有电流I 的导线在同一平面内弯成如图所示的形状,求D 点的磁感强度B的大小.解:其中3/4圆环在D 处的场 )8/(301a I B μ=AB 段在D 处的磁感强度 )221()]4/([02⋅π=b I B μ BC 段在D 处的磁感强度 )221()]4/([03⋅π=b I B μ1B 、2B、3B 方向相同,可知D 处总的B 为)223(40baI B +ππ=μ2. 半径为R 的导体球壳表面流有沿同一绕向均匀分布的面电流,通过垂直于电流方向的每单位长度的电流为K .求球心处的磁感强度大小.解:如图 θd d d KR s K I == 2/32220])cos ()sin [(2)sin (d d θθθμR R R I B += 32302d sin RKR θθμ=θθμd sin 2120K =⎰π=020d sin 21θθμK B ⎰π-=00d )2cos 1(41θθμK π=K 041μ3. 如图两共轴线圈,半径分别为R 1、R 2,电流为I 1、I 2.电流的方向相反,求轴线上相距中点O 为x 处的P 点的磁感强度.解:取x 轴向右,那么有2/322112101])([2x b R I R B ++=μ沿x 轴正方向 2/322222202])([2x b R I R B -+=μ 沿x 轴负方向21B B B -=[2μ=2/32211210])([x b R I R ++μ]])([2/32222220x b R I R -+-μ若B > 0,则B 方向为沿x 轴正方向.若B < 0,则B的方向为沿x 轴负方向.4.一无限长圆柱形铜导体(磁导率μ0),半径为R ,通有均匀分布的电流I .今取一矩形平面S (长为1 m ,宽为2 R ),位置如右图中画斜线部分所示,求通过该矩形平面的磁通量.解:在圆柱体内部与导体中心轴线相距为r 处的磁感强度的大小,由安培环路定 律可得:)(220R r r RIB ≤π=μ因而,穿过导体内画斜线部分平面的磁通Φ1为⎰⎰⋅==S B S B d d 1 Φr r RI Rd 2020⎰π=μπ=40Iμ在圆形导体外,与导体中心轴线相距r 处的磁感强度大小为 )(20R r rIB >π=μ因而,穿过导体外画斜线部分平面的磁通Φ2为⎰⋅=S B d 2Φr r I R Rd 220⎰π=μ2ln 20π=Iμ穿过整个矩形平面的磁通量 21ΦΦΦ+=π=40I μ2ln 20π+Iμ5. 一半径为 4.0 cm 的圆环放在磁场中,磁场的方向对环而言是对称发散的,如图所示.圆环所在处的磁感强度的大小为0.10 T ,磁场的方向与环面法向成60°角.求当圆环中通有电流I =15.8 A 时,圆环所受磁力的大小和方向.解:将电流元I d l 处的B分解为平行线圈平面的B 1和垂直线圈平面的B 2两分量,则 ︒=60sin 1B B ; ︒=60cos 2B B 分别讨论线圈在B 1磁场和B 2磁场中所受的合力F 1与F 2.电流元受B 1的作用力l IB lB I F d 60sin 90sin d d 11︒=︒=方向平行圆环轴线.因为线圈上每一电流元受力方向相同,所以合力⎰=11d F F ⎰π︒=Rl IB 20d 60sin R IB π⋅︒=260sin = 0.34 N ,方向垂直环面向上.电流元受B 2的作用力l IB lB I F d 60cos 90sin d d 22︒=︒= 方向指向线圈平面中心. 由于轴对称,d F 2对整个线圈的合力为零,即02=F . 所以圆环所受合力 34.01==F F N , 方向垂直环面向上.6. 如图所示线框,铜线横截面积S = 2.0 mm 2,其中OA 和DO '两段保持水平不动,ABCD 段是边长为a 的正方形的三边,它可绕OO '轴无摩擦转动.整个导线放在匀强磁场B 中,B 的方向竖直向上.已知铜的密度ρ = 8.9×103kg/m 3,当铜线中的电流I =10 A 时,导线处于平衡状态,AB 段和CD段与竖直方向的夹角α =15°.求磁感强度B 的大小.解:在平衡的情况下,必须满足线框的重力矩与线框所受的磁力矩平衡(对OO '轴而言).重力矩 αραρsin sin 2121gSa a a gS a M +⋅= αρsin 22g Sa =磁力矩 ααcos )21sin(222B Ia BIa M =-π=B 2d l平衡时 21M M =所以 αρsin 22g Sa αcos 2B Ia =31035.9/tg 2-⨯≈=I g S B αρ T7. 半径为R 的半圆线圈ACD 通有电流I 2,置于电流为I 1的无限长直线电流的磁场中,直线电流I 1恰过半圆的直径,两导线相互绝缘.求半圆线圈受到长直线电流I 1的磁力.解:长直导线在周围空间产生的磁场分布为 )2/(10r I B π=μ取xOy 坐标系如图,则在半圆线圈所在处各点产生的磁感强度大小为: θμsin 210R I B π=, 方向垂直纸面向里,式中θ 为场点至圆心的联线与y 轴的夹角.半圆线圈上d l 段线电流所受的力为:l B I B l I F d d d 22=⨯= θθμd sin 2210R R I I π=θsin d d F F y =.根据对称性知: F y =0d =⎰y F θcos d d F F x = ,⎰π=0x x dF F ππ=2210I I μ2210I I μ=∴半圆线圈受I 1的磁力的大小为: 2210I I F μ=,方向:垂直I 1向右.8. 如图所示.一块半导体样品的体积为a ×b ×c .沿c 方向有电流I ,沿厚度a 边方向加有均匀外磁场B (B的方向和样品中电流密度方向垂直).实验得出的数据为 a =0.10 cm 、b =0.35 cm 、c =1.0 cm 、I =1.0 mA 、B =3.0×10-1 T ,沿b 边两侧的电势差U =6.65 mV ,上表面电势高.(1) 问这半导体是p 型(正电荷导电)还是n 型(负电荷导电)?(2) 求载流子浓度n 0 (即单位体积内参加导电的带电粒子数).解:(1) 根椐洛伦兹力公式:若为正电荷导电,则正电荷堆积在上表面,霍耳电场的方向由上指向下,故上表面电势高,可知是p 型半导体。
一、填空题 1、一质点沿y 轴作直线运动,速度j t v)43(+=,t =0时,00=y ,采用SI 单位制,则质点的运动方程为=ymt t 223+;加速度y a = 4m/s 2 。
2、一质点沿半径为R 的圆周运动,其运动方程为22t +=θ。
质点的速度大小为 2t R ,切向加速度大小为 2R 。
3、一个质量为10kg 的物体以4m/s 的速度落到砂地后经0.1s 停下来,则在这一过程中物体对砂地的平均作用力大小为 400N 。
4、在一带电量为Q 的导体空腔内部,有一带电量为-q 的带电导体,那么导体空腔的内表面所带电量为 +q ,导体空腔外表面所带电量为 Q -q 。
5、一质量为10kg 的物体,在t=0时,物体静止于原点,在作用力i x F)43(+=作用下,无摩擦地运动,则物体运动到3米处,在这段路程中力F所做的功为5J13mV 21W 2.=∆=。
6、带等量异号电荷的两个无限大平板之间的电场为0εσ,板外电场为 0 。
8、一长载流导线弯成如右图所示形状,则O 点处磁感应强度B的大小为RIR I 83400μπμ+,方向为⊗。
9、在均匀磁场B 中, 一个半径为R 的圆线圈,其匝数为N,通有电流I ,则其磁矩的大小为NIR m 2π=,它在磁场中受到的磁力矩的最大值为NIBR M 2π=。
10、一电子以v垂直射入磁感应强度B 的磁场中,则作用在该电子上的磁场力的大小为F = Bqv F 0=。
电子作圆周运动,回旋半径为qBmvR =。
11、判断填空题11图中,处于匀强磁场中载流导体所受的电磁力的方向;(a ) 向下 ;(b ) 向左 ;(c ) 向右 。
12、已知质点的运动学方程为j t i t r)1(2-+=。
试求:(1)当该质点速度的大小为15-⋅s m 时,位置矢量=r i 1;(2)任意时刻切向加速度的大小τa =1442+t t 。
16、有一球状导体A ,已知其带电量为Q 。
大学物理练习八一、选择题:1.有两个点电荷电量都是+q ,相距为2 a 。
今以左边的点电荷所在处为球心,以a 为半径作一球形高斯面。
在球面上取两块相等的小面积S 1和S 2,其位置如图所示。
设通过S 1和S 2的电场强度通量分别为1Φ和2Φ,通过整个球面的电场强度通量为s Φ,则[D ](A)s ΦΦ>Φ,21=0/εq (B)021/2,εq s =ΦΦ<Φ(C)021/,εq s =ΦΦ=Φ(D)021/,εq s =ΦΦ<Φ解∶通过S 1的电场强度通量分别为1Φ,有穿进又有穿出;但通过S 2的电场强度通量分别为2Φ,只有穿出.故,21Φ<Φ据高斯定理通过整个球面的电场强度通量为s Φ只与面内电荷有关。
2.图示为一具有球对称性分布的静电场的E~r 关系曲线。
请指出该静电场是由下列哪种带电体产生的?[](A) 半径为R 的均匀带电球面。
(B) 半径为R 的均匀带电球体。
(C) 半径为R 、电荷体密度Ar =ρ(A 为常数)的非均匀带电球体。
(D) 半径为R 、电荷体密度r A /=ρ(A 为常数)的非均匀带电球体。
解∶(D )3.关于高斯定理的理解有下面几种说法,其中正确的是:[D ] (A)如果高斯面上E ϖ处处为零,则该面内必无电荷. (B)如果高斯面内无电荷,则高斯面上E ϖ处处为零.(面外有电荷) (C)如果高斯面上E ϖ处处不为零,则高斯面内必有电荷.(D)如果高斯面内有净电荷,则通过高斯面的电场强度通量必不为零.4.在磁感应强度为B ϖ的均匀磁场中作一半径为r 的半球面S ,S 边线所在平面的法线方向单位矢量n ϖ与B ϖ的夹角为α,则通过半球面S 的磁通量为[D ](A).2B r π(B)2.2B r π(C)απsin 2B r -.(D)απcos 2B r -.0=∑i q5.如图示,直线MN 长为2 L ,弧OCD 是以点N 为中心,L 为半径的半圆弧,N 点有正电荷+q ,M 点有负电荷-q 。
31刚体角动量守恒的充分而必要的条件是(A )刚体不受外力矩的作用。
(B )刚体所受合外力矩为零。
(C)(C)刚体所受的合外力和合外力矩均为零。
刚体所受的合外力和合外力矩均为零。
(D)(D)刚体的转动惯量和角速度均保持不变。
刚体的转动惯量和角速度均保持不变。
答:(B )。
3-2如图所示,A 、B 为两个相同的绕着轻绳的定滑轮。
A 滑轮挂一质量为M 的物体,B 滑轮受拉力F ,而且F =Mg 。
设A 、B 两滑轮的角加速度分别为βA 和βB ,不计滑轮轴的摩擦,则有(A )βA = βB (B )βA > βB(C )βA < βB (D )开始时βA = βB ,以后βA < βB答:(C )。
3-3关于刚体对轴的转动惯量,下列说法中正确的是(A )只取决于刚体的质量,与质量的空间分布和轴的位置无关。
(B)(B)取决于刚体的质量和质量的空间分布,与轴的位置无关。
取决于刚体的质量和质量的空间分布,与轴的位置无关。
(C )取决于刚体的质量、质量的空间分布和轴的位置。
(D)(D)只取决于转轴的位置,与刚体的质量和质量的空间分布无只取决于转轴的位置,与刚体的质量和质量的空间分布无答:(C )。
3-4一水平圆盘可绕通过其中心的固定铅直轴转动,一水平圆盘可绕通过其中心的固定铅直轴转动,盘上站着一个人,盘上站着一个人,盘上站着一个人,初始时整个系统处初始时整个系统处于静止状态,当此人在盘上随意走动时,若忽略轴的摩擦,则此系统(A)(A)动量守恒;动量守恒;(B)(B)机械能守恒;机械能守恒;(C)(C)对转轴的角动量守恒;对转轴的角动量守恒;(D)(D)动量、机械能和角动量都守恒;动量、机械能和角动量都守恒;(E)(E)动量、机械能和角动量都不守恒。
动量、机械能和角动量都不守恒。
答:(C )。
3-5光滑的水平桌面上,有一长为2L 、质量为m 的匀质细杆,可绕过其中点o 且垂直于杆的竖直光滑固定轴自由转动,其转动惯量为,起初杆静止,桌面上有两个质量均为m 的小球,各自在垂直于杆的方向上,正对着杆的一端,以相同速率v 相向运动,如图所示,当两小球同时与杆的两个端点发生完全非弹性碰撞后,就与杆粘在一起转动,则这一系统碰撞后的转动角速度应为(A) (B) (C) (D) (E)思考题3-2图v vo 思考题3-5图答:(C )。
大学物理练习 一一.选择题:1.一质点在平面上运动,已知质点位置矢量的表示式为 j bt i at r 22+=其中a 、b为常量, 则该质点作 A 匀速直线运动. B 变速直线运动. C 抛物线运动. D 一般曲线运动.解:选B j bt i at r 22+=22bty at x ==2.一质点在平面上作一般曲线运动,其瞬时速度为v,瞬时速率为v,某一段时间内的平均速度为v,平均速率为v ,它们之间的关系必定有A v =v,v =v . C ≠vv,v ≠v .B ≠vv,v =v . D v =v,v ≠v .解:选D .根据瞬时速度与瞬时速率的关系dsr d =所以但s r ∆≠∆ 所以3.质点作半径为R 的变速圆周运动时的加速度大小为 v 表示任一时刻质点的速率A dtdv . BR v 2.C dt dv +R v2. D 21222⎥⎥⎦⎤⎢⎢⎣⎡⎪⎪⎭⎫ ⎝⎛+⎪⎭⎫ ⎝⎛R v dt dv .解:选D . 因变速圆周运动的加速度有切向加速度和法向加速度,故22τa a a n += ;4.某物体的运动规律为2kv dt dv -=,式中的k 为大于零的常数;当t=0时,初速为v 0,则速度v 与时间t 的函数关系是 Av = kt+v 0 Bv =-kt + v 0大学物理练习 二一、选择题:1.质量为m 的小球在向心力作用下,在水平面内作半径为R 、速率为v 的匀速圆周运动,如下左图所示;小球自A 点逆时针运动到B 点的半周内,动量的增量应为:A mv 2jB j mv2-C i mv2D imv 2- 解: Bjmv j mv j mv v m v m A B2-=--=-2.如图上右所示,圆锥摆的摆球质量为m,速率为v,圆半径为R,当摆球在轨道上运动半周时,摆球所受重力冲量的大小为A .2mvB ()()22/2v R mg mv π+C v Rmg /πD 0;解:C ⎰===2/0/2/T v Rmg mgT mgdt I π恒力冲量 v Rt π=vRmgmgt π=3.一质点在力)25(5t m F -= SI 式中m 为质点的质量,t 为时间的作用下,0=t 时从静止开始作直线运动,则当s t 5=时,质点的速率为A s m /50B s m /25 C0 D s m /50-解:CB00=-mv mv如果当s t 1=时m mv mv 200=-4.质量分别为m 和4m 的两个质点分别以动能E 和4E 沿一直线相向运动,它们的总动量大小为A ,22mEB mE 23,C mE 25,D ()mE 2122-;解: B 因质点m;mE mv E mv 2,21121=∴= 因质点m 4:mE mE mv E mv 24324,4421222==∴=所以mE mE mE P 23242=+-=5.一个质点同时在几个力作用下的位移为:k j i r654+-=∆ SI 其中一个力为恒力 k j i F953+--= SI,则此力在该位移过程中所作的功为A 67JB 91JC 17JD –67J解: AJk j i k j i r F W 67542512)654()953(=++-=+-•+--=∆•=6.对功的概念有以下几种说法:⑴ 保守力作正功时,系统内相应的势能增加;⑵ 质点运动经一闭合路径,保守力对质点作的功为零;⑶ 作用力和反作用力大小相等、方向相反,所以两者所做功的代数和必为零; 在上述说法中: A ⑴、⑵正确; B ⑵、⑶正确;C 只有⑵正确; D 只有⑶正确;解: C7.机枪每分钟可射出质量为g 20 的子弹900颗,子弹射出的速率为s m /800,则射击时的平均反冲力大小为 A N 267.0 B N 16 C N 240 D N 14400解: C8.一质量为M 的弹簧振子,水平放置且静止在平衡位置,如图所示.一质量为m的子弹以水平速度v射入振子中,并随之一起运动.如果水平面光滑,此后弹簧的最大势能为A 221v m . B )(222m M m +v . C 2222)(v Mm m M +. D 222v M m . B 解:碰撞动量守恒V m M mv )(+=9.一质点在如图所示的坐标平面内作圆周运动,有一力)(0j y i x F F+=作用在质点上,在该质点从坐标原点运动到)2,0(R 位置的过程中,力F对它所做的功为 A 20R F B 202R F C 203R F D 204R F解:10.质量为kg 10.0的质点,由静止开始沿曲线j i t r2353+=SI 运动,则在0=t 到s t 2=的时间内,作用在该质点上的合外力所做的功为A J 45B J 20 CJ 475D J 40i t a m F 1010.0⨯==二、填空题:1.下列物理量:质量、动量、冲量、动能、势能、功,其中与参照系的选取有关的物理量是 ;不考虑相对论效应解:.动量v 、动能v、功()r ∆ 与运动的参考系选取有关; 2.一个物体可否具有动量而机械能等于零 填可、否解:可3.质量为m 的子弹以速度v 0水平射入沙土中,设子弹所受阻力与速度反向,大小与速度成正比,比例系数为K,忽略子弹的重力,求:1 子弹射入沙土后,速度随时间变化的函数式 ;2 子弹进入沙土的最大深度 ;解:1 子弹进入沙土后受力为-Kv ,由牛顿定律tmK d d vv =- ∴ ⎰⎰=-=-vv v vv v 0d d ,d d 0t t m K t m K ∴ mKt /0e -=v v2 求最大深度 解法一: t xd d =vt x mKt d ed /0-=vt x m Kt txd e d /000-⎰⎰=v∴ )e1()/(/0mKt K m x --=vK m x /0max v =解法二:x m t x x m t mK d d )d d )(d d (d d vvv v v ===- ∴ v d Kmdx -=v v d d 0max⎰⎰-=K mx x ∴ K m x /0max v =4.质量m =1kg 的物体,在坐标原点处从静止出发在水平面内沿x 轴运动,其所受合力方向与运动方向相同,合力大小为x F 23+= SI,那么,物体在开始运动的3m 内,合力所作功A = ;且x =3m 时,其速率v = ;解:j x x Fdx W 1833023=+==⎰sm v jmv W /618212=∴==5.有一人造地球卫星,质量为m,在地球表面上空2倍于地球半径R 的高度沿圆轨道运行,用m 、R 、引力常数G 和地球的质量M 表示⑴卫星的动能为 ;⑵卫星的引力势能为 ;解:1R GMm 6 RmvR GMm 3)3(22= R r 3=2R GMm3- dr rGMmE RP⎰∞=326.一质量为M 的质点沿x 轴正向运动,假设质点通过坐标为x 时的速度为2kxk 为正常量,则此时作用于该质点上的力F = ;该质点从x = x 0 点出发到x = x 1 处所经历的时间 ∆t = ;解:t k t t k x x xx x ∆=-=-=-)(1110110107.一个力作用在质量为kg 0.1的质点上,使之沿X 轴运动;已知在此力作用下质点的运动方程为32243t t t X +-= SI;在0到4s的时间间隔内, ⑴ 力F 的冲量大小I= ;⑵ 力F 对质点所作的功A解:3dtdx v -==12s m v /674= s m v /30= 8. 一质量为m的质点在指向圆心的平方反比力F=-k / r 2 的作用下,作半径为r的圆周运动,此质点的速度v = ,若取距圆心无穷远处为势能零点,它的机械能 E = ;解:2mr ka -= ⎰⎰∞∞-=-+=+=+=rr p k r kdr r k r k Fdr mr k m E E E 22)(21229.一物体按规律x =ct 2在媒质中作直线运动,式中c 为常量,t 为时间;设媒质对物体的阻力正比于速度的平方,阻力系数为k ,则物体由x =0运动到x = L时,阻力所作的功为 ;解: 2ct x = ct dt dxv 2==kcx t kc kv f 44222===224kcLkcxdx fdx W LL-=-=-=⎰⎰10.一陨石从距地面高R h 5=R 为地球半径处由静止开始落向地面,忽略空气阻力;则陨石下落过程中,万有引力的功A = ;陨石落地的速度v = ;解: R GMmh R R GMm dr r GMm W RR 65)11(62=+-=-=⎰R GMmmv W 65212==注意:,因为万有引力不是mg ,也不是常数;大学物理练习三一.选择题 1.一力学系统由两个质点组成,它们之间只有引力作用;若两质点所受外力的矢量和为零,则此系统 A 动量、机械能以及对一轴的角动量都守恒;B 动量、机械能守恒,但角动量是否守恒不能断定;C 动量守恒,但机械能和角动量守恒与否不能断定;D 动量和角动量守恒,但机械能是否守恒不能断定;解: C 按守恒条件:∑=0iF 动量守恒,但∑≠0i M 角动量不守恒, 机械能不能断定是否守恒;2.如图所示,有一个小物体,置于一个光滑的水平桌面上,有一绳其一端连结此物体,另一端穿过桌面中心的小孔,该物体原以角速度ω在距孔为R 的圆周上转动,今将绳从小孔往下拉;则物体 A 动能不变,动量改变;B 动量不变,动能改变;C 角动量不变,动量不变;D 角动量改变,动量改变;E 角动量不变,动能、动量都改变;解: E 因对o 点,合外力矩为0,角动量守恒3.有两个半径相同,质量相等的细圆环A 和B;A 环的质量分布均匀,B 环的质量分布不均匀;它们对通过环心并与环面垂直的轴的转动惯量分别为J A 和J B ,则 A A J >B J B A J < B J C A J =B J D 不能确定A J 、B J 哪个大;解: C 细圆环的转动惯量与质量是否均匀分布无关O R⎰==220mR dmR J4.光滑的水平桌面上,有一长为2L 、质量为m 的匀质细杆,可绕过其中点且垂直于杆的竖直光滑固定轴O 自由转动,其转动惯量为31m L 2,起初杆静止;桌面上有两个质量均为m 的小球,各自在垂直于杆的方向上,正对着杆的一端,以相同的速率v 相向运动,如图所示;当两小球同时与杆的两个端点发生完全非弹性碰撞后与杆粘在一起转动,则这一系统碰撞后的转动角速度为A Lv 32. B L v 54 C L v 76 D L v 98解: C角动量守恒二.填空题1.绕定轴转动的飞轮均匀地减速,t = 0时角速度ω0 =5 rad/s,t = 20s 时角速度ω=ω0,则飞轮的角加速度β= ,t=0到t=100s 时间内飞轮所转过的角度θ= ;解:因均匀减速,可用t βωω=-0 ,20/05.0202.0s rad -=-=∴ωβ2.半径为30cm 的飞轮,从静止开始以2/s rad 的匀角加速度转动,则飞轮边缘上一点在飞轮转 2400 时的切向加速度a t = ,法向加速度a n = ;解:2/15.05.03.0s m r a t =⨯==βO v俯视图βθωr r a n 22==3.一轴承光滑的定滑轮,质量为M = kg ,半径为R = m ,一根不能伸长的轻绳,一端固定在定滑轮上,另一端系有一质量为m = kg 的物体,如图所示.已知定滑轮的转动惯量为J =221MR ,其初角速度0ω= rad/s ,方向垂直纸面向里.定滑轮的角加速度的大小 ,定滑轮的角速度变化到ω=0时,物体上升的高度 ;解法一:ma T mg =- βJ TR =βR a =解法二:1设在任意时刻定滑轮的角速度为ω,物体的速度大小为v,则有v=R ω.则物体与定滑轮的系统总角动量为:ωωω2mR J mvR J L +=+=根据角动量定理,刚体系统所受的合外力矩等于系统角动量对时间的变化率: dtdLM =,该系统所受的合外力矩即物体的重力矩:M=mgR 所以:22/7.81srad mR J mgR dt d =+==ωβ 2该系统只有重力矩做功物体的重力,所以机械能守恒;m h h mg J mv 220201012.62121-⨯=∆⇒∆=+ω 4.质量为m 的质点以速度v沿一直线运动,则它对直线外垂直距离为d 的一点的角动量大小是 ;解:mvd5.长为L 、质量为M 的匀质杆可绕通过杆一端O 的水平光滑固22/7.81srad mR J mgR =+=β定轴转动,转动惯量为31ML 2,开始时杆竖直下垂,如图所示;有一质量为m 的子弹以水平速度0v射入杆上A 点,并嵌在杆中,OA=2L /3,则子弹射入后瞬间杆的角速度ω= ;解:系统子弹+杆角动量守恒,=ω6.一长为L 、质量为m 的细杆,两端分别固定质量为m 和2m 的小球,此系统在竖直平面内可绕过中点O 且与杆垂直的水平光滑固定轴O 轴转动.开始时杆与水平成60°角,处于静止状态.无初转速地释放以后,杆球这一刚体系统绕O 轴转 动.系统绕O 轴的转动惯量J = ;释放后, 当杆转到水平位置时,刚体受到的合外力矩M =解:三.计算题:1.质量为m,长度为L 的匀质杆可绕通过其下端的水平光滑固定轴O 在竖直平面内转动,如图;设它从竖直位置由静止倒下,求它倾倒到与水平面成θ角时的角速度ω和角加速度β;解法一:取O 点为重力势能零点,杆在倒下过程中只有重力做功,机械能守恒,有:而 231mL J =所以 Lg )sin 1(3θω-=θωωθθωωβd d dt d d d dt d -===L g LL g L2cos 3)sin -3g(12cos 3)sin -3g(1 θθθθ=⋅-⋅-=解法二: 由刚体转动定律:βJ M = 得L g mL mgL J M 2cos 331cos 212θθβ===再由 θωωθθωωβd d dt d d d dt d -=== 得θβωωd d -=两边积分:⎰⎰-=θπωθθωω2cos 23d L g d 得 )sin 1(23212θω-=Lg则: Lg )sin 1(3θω-=3.长为l 的匀质细杆,可绕过杆的一端O 点的水平光滑固定轴转动,开始时静止于竖直位置;紧挨O 点悬一单摆,轻质摆线的长度也是l ,摆球质量为m ;若单摆从水平位置由静止开始自由摆下,且摆球与细杆作完全弹性碰撞,碰撞后摆球正好静止;求:1 细杆的质量;2 细杆摆起的最大角度θ ; 解:1单摆下落过程机械能守恒:mglmv =221 gl v 2=⇒碰撞过程角动量守恒:ω231Ml mvl =碰撞过程能量守恒:ωl v =则细杆的质量:m M 3=2细杆摆动过程机械能守恒:)cos 1(21312122θω-⋅=⋅⋅l Mg Ml 即:mgl mv l Mg Ml ==-⋅=⋅⋅22221)cos 1(213121θω 则:31arccos 1cos =⇒=θθ34. 一圆盘的质量为m 2、半径为R 可绕固定的过圆心的水平轴O 转动,原来处于静止状态,现有一质量为m 1,速度为v 的子弹嵌入圆盘的边缘,如图所示;求: (1)子弹嵌入圆盘后,圆盘的角速度ω;(2)由子弹与圆盘组成的系统在此过程中的动能增量; 解:1子弹与圆盘碰撞过程角动量守恒:ω)21(21221R m R m vR m +=2大学物理练习 四一.选择题:1.下列几种说法:1 所有惯性系对物理基本规律都是等价的;2 在真空中,光的速度与光的频率、光源的运动状态无关;3 在任何惯性系中,光在真空中沿任何方向的传播速率都相同;其中那些说法是正确的: A 只有1、2是正确的.B 只有1、3是正确的.C 只有2、3是正确的.D 三种说法都是正确的.解: D2.一火箭的固定长度为L ,相对于地面作匀速直线运动,速度为v 1,火箭上有一个人从火箭的后端向火箭前端上的一个靶子发射一颗相对于火箭的速度为v 2的子弹;在火箭上测得子弹从射出到击中靶的时间间隔是: A21v v L + B 2v L C 12v v L - D 211)/(1c v v L -c 表示真空中光速解: B 在火箭上测得子弹从射出到击中靶的时间间隔是火箭的固定长度除以子弹相对于火箭的速度;3.1对某观察者来说,发生在某惯性系中同一地点、同一时刻的两个事件,对于相对该惯性系作匀速直线运动的其它惯性系中的观察者来说,它们是否同时发生2在某惯性系中发生于同一时刻、不同地点的的两个事件,它们在其它惯性系中是否同时发生关于这两个问题的正确答案是: A1同时,2不同时; B1不同时,2同时; C1同时,2同时; D 不1同时,2不同时;解: A发生在某惯性系中同一地点、同一时刻的两个事件,对于相对该惯性系作匀速直线运动的其它惯性系中的观察者来说,它们是同时发生;在某惯性系中发生于同一时刻、不同地点的的两个事件,它们在其它惯性系中不是同时发生;4.K 系与K '系是坐标轴相互平行的两个惯性系,K '系相对于K 系沿Ox 轴正方向匀速运动;一根刚性尺静止在K '系中,与O ’x ’轴成 30°角;今在K 系中观测得该尺与Ox 轴成 45°角,则K '系相对于K 系的速度是:A 2/3cB 1/3cC 2/31/2cD 1/31/2c解: , , , y y xy tg x y tg ='=''='θθ 221c u x x -'= 22131c u tg tg x x -=='='θθ c u 32=⇒5.一宇航员要到离地球为5光年的星球去旅行;如果宇航员希望把这路程缩短 为3光年,则它所乘的火箭相对于地球的速度应是: A v = 1/2c B v = 3/5c . C v = 4/5c D v = 9/10c.解: C 原长5=∆l 光年2)(153cu -= , 25162591)(2=-=c u , 54=c u6.一宇宙飞船相对地球以c 表示真空中光速的速度飞行;一光脉冲从船尾传到船头,飞船上的观察者测得飞船长为90m,地球上的观察者测得光脉冲从船尾发出和到达船头两个事件的空间间隔为 A 90m B 54m C 270m D 150m.解: C另解:7.设某微观粒子的总能量是它的静止能量的K 倍,则其运动速度的大小为c 表示真空中光速 A1-K c B 21K Kc -C12-K KcD)2(1++K K K c解: C8.根据相对论力学,动能为MeV 41的电子,其运动速度约等于A B C D .c 表示真空中光速, 电子的静能m 0c 2=解: C二、填空题:1.有一速度为u 的宇宙飞船沿X 轴正方向飞行,飞船头尾各有一个脉冲光源 在工作,处于船尾的观察者测得船头光源发出的光脉冲的传播速度大小为 ;处于船头的观察者测得船尾光源发出的光脉冲的传播速度大小 ;c ; c . 光速不变原理2.一观察者测得一沿米尺长度方向匀速运动着的米尺的长度为;则此米尺以速度v = m ·s -1接近观察者;解:2315.0122=⇒-=⇒-=βββL L81060.223⨯==∴c v s m /3.静止时边长为50cm 的立方体,当它沿着与它的一个棱边平行的方向相对于地面以匀速度×108m/s 运动时,在地面上测得它的体积是 3cm ;解:3075.0m 运动方向的长度收缩4.一匀质矩形薄板,在它静止时测得其长为a ,宽为b ,质量为m 0;由此可算出其面积密度为m 0 /ab ;假定该薄板沿长度方向以接近光速的速度v 作匀速直线运动,此时再测算该矩形薄板的面积密度则为 ;5.π+ 介子是不稳定的粒子,在它自己的参照系中测得平均寿命是×10-8 s,如果它相对于实验室以 c c 为真空中光速的速率运动,那么实验室坐标系中测得的 π+ 介子的寿命是____________s;解:s cv 8822103.46.0106.21/--⨯=⨯=-'=ττ 6.一宇宙飞船以c /2c 为真空中的光速的速率相对地面运动;从飞船中以相对飞船为c /2的速率向前方发射一枚火箭;假设发射火箭不影响飞船原有速率,则地面上的观察者测得火箭的速率为__________________;解:c c c cu v u v v x x x 8.025.015.05.012=++='++'= 7.1在速度v= 情况下粒子的动量等于非相对论动量的两倍; 2在速度v= 情况下粒子的动能等于它的静止能量;解:8.设电子静止质量为m e ,将一个电子从静止加速到速率为c 表示真空中光速,需作功 ;解:9.一电子以的速率运动电子静止质量为kg 311011.9-⨯,则电子的总能量是 J,电子的经典力学的动能与相对论动能之比是 ;解:大学物理练习五一、选择题1.温度、压强相同的氦气和氧气,它们分子的平均动能k ε和平均平动动能t ε有如下关系:A k ε和t ε都相等;B k ε相等,而t ε不相等;C t ε相等,而k ε不相等;D k ε和t ε都不相等;解: C 氦气i=3和氧气i=5分子的平均动能 kT sr t k 2++=ε而2.已知氢气与氧气的温度相同,请判断下列说法哪个正确(A) 氧分子的质量比氢分子大,所以氧气的压强一定大于氢气的压强; (B) 氧分子的质量比氢分子大,所以氧气的密度一定大于氢气的密度; (C) 氧分子的质量比氢分子大,所以氢分子的速率一定比氧分子的速率大; (D) 氧分子的质量比氢分子大,所以氢分子的方均根速率一定比氧分子的方均根速率大;解: DμRTv 32=氧分子的质量比氢分子大μ12∝vnkT P =温度相同,还要看n;RTP μρ=温度相同,还要看P ;3.已知一定量的某种理想气体,在温度为T 1与T 2时的分子最可几速率分别为V p1和V p2,分子速率分布函数的最大值分别为fV p1和fV p2;若T 1 > T 2,则 A V p1>V p2; fV p1 >fV p2; B V p1>V p2; fV p1 <fV p2; C V p1< V p2; fV p1 >fV p2; D V p1< V p2; fV p1 <fV p2;解: B 若T 1 > T 2,则Vp1>V p2;4.在标准状态下,若氧气视为刚性双原子分子的理想气体和氦气的体积比V 1 / V 2=1 / 2 ,则其内能之比E 1 / E 2为: A 3 / 10 B 1 / 2C 5 / 6D 5 / 3解:C 212121==V V νν 65352325212121===ννννRT RT E E 5.一定量的理想气体,在温度不变的条件下,当体积增大时,分子的平均碰撞频率Z 和平均自由程λ的变化情况是:A Z 减小而λ不变;B Z 减小而λ增大;C Z 增大而λ减小; DZ 不变而λ增大;解:BnRTd n v d Z μππ6.12222==n d nKTd KT Pd kT 2222122πππλ===二、填空题1. 黄绿光的波长是50000A 10A =10-10m ;理想气体在标准状态下,以黄绿光的 波长为边长的立方体内有 个分子;解:理想气体在标准状况下,分子数密度为:以5000A为边长的立方体内应有分子数:637251036.3)105(1069.2⨯=⨯⨯⨯==-nV N 个.2.若某种理想气体分子的方均根速率()4502/12=vm / s,气体压强为P =7×104 Pa,则该气体的密度为 ρ =_______________;324222/04.14501073)(33m kg v P nm m kT v nkTP =⨯⨯==⇒⎪⎪⎭⎪⎪⎬⎫===ρρ3.一容器内储有某种气体,若已知气体的压强为 3×105 Pa ,温度为27℃,密度为 kg/m 3,则可确定此种气体是________气;并可求出此气体分子热运动的最概然速率为__________________m/s ;解:氢气, ρμμRT PRTM PV RT M PV ==⇒=1mol kg P RT /10210324.030031.835-⨯=⨯⨯⨯==ρμ sm PRTv P /158122===ρμ4.有一瓶质量为M 的氢气 视作刚性双原子分子的理想气体,温度为T ,则氢分子的平均平动动能为 ,氢分子的平均动能为______________,该瓶氢气的内能为____________________;解: kT 23 kT 25 MRT 31045⨯5.一瓶氢气和一瓶氧气温度相同.若氢气分子的平均平动动能为t ε= ×10-21 J;则氧气分子的平均平动动能 ;方均根速率 ;氧气的温度 ;解: J 211021.6-⨯ = kT 23s m M RT v mol /4.483103230031.83332=⨯⨯⨯==- 6.在容积为32100.3m -⨯的容器中,贮有Kg 2100.2-⨯的气体,其压强为Pa 3107.50⨯,则该气体分子平均速率为 ;解:s m MPV M RTRT M MPV molmol /8.275100.2100.3107.50 223=⨯⨯⨯⨯==⇒=-- s m M RT v mol /2.4408.27588=⨯==ππ7.已知f v 为麦克斯韦速率分布函数,N 为总分子数,则1速率v > 100 m ·s -1的分子数占总分子数的百分比的表达式为 ;2速率v > 100 m ·s -1的分子数的表达式为 ;速率v > 100 m ·s -1的哪些分子的平均速率表达式为 ;解: 1⎰∞100)(dv v f ; 2⎰∞100)(dv v f N8.现有两条气体分子速率分布曲线1和2,如图所示;若两条曲线分别表示同一种气体处于不同的温度下的速率 分布,则曲线 表示的温度较高;若两条曲线分别表示同一温度下的氢气和氧气的速率分布,则曲线 表示的是氧气的速率分布;解: 实线的p v 比虚线的p v 小,因同气体μ质量相同,p v 与T 成正比;虚线的温度高,填2;后面的填19.今测得温度为t 1=150C,压强为p 1=汞柱高时,氩分子和氖分子的平均自由程分别为:m Ar 8107.6-⨯=λ和m Ne 8102.13-⨯=λ,求:1 氖分子和氩分子有效直径之比=Ar Ne d d / ; 2 温度为t 2=200C,压强为p 2=汞柱高时,氩分子的平均自由程='Ar λ ;解: ⇒=P d kT 22πλ71.0102.13107.688=⨯⨯==--Ne Ar Ar Ne d d λλ m P T P T Ar Ar 782112105.315.028876.0293107.6--⨯=⨯⨯⨯⨯=='λλ⎰⎰⎰⎰⎰⎰∞∞∞∞∞∞===1001001001001001002)()()()( dv v f dvv vf dv v Nf dv v vNf dN vdNv大学物理练习 六一、选择题:1.理想气体经历如图所示的a b c 平衡过程,则系统对外做功A,从外界吸收的热量Q 和内能的增量E ∆的正负情况如下: (A) 0>∆E ,.0,0<>A Q (B) .0,0,0>>>∆A Q E (C) .0,0,0><>∆A Q E (D) .0,0,0><<∆A Q E解: c b a →→,则A >0,另外c T >a T ,故温度升高内能增加;据热一律E A Q ∆+=,Q >0;选 B2.一定量理想气体经历的循环过程用V -T 曲线表示如图.在此循环过程中,气体从外界吸热的过程是A A →B B B →C C C →AD A →B 和B →C解: A B →C 等容降温过程放热C →A 等温压缩过程放热A →B 等压膨胀过程吸热3.有人设计了一台卡诺热机可逆的.每循环一次可从 400 K 的高温热源吸热1800 J,向 300 K 的低温热源放热 800 J .同时对外做功1000 J,这样的设计是 A 可以的,符合热力学第一定律. B 可以的,符合热力学第二定律. C 不行的,卡诺循环所作的功不能大于向低温热源放出的热量.pO Vab cD 不行的,这个热机的效率超过理论值.解: D 00136.5518001000180080011==-=-=QQη 00.254140030011==-=-=g d T T 卡η4.“理想气体和单一热源接触作等温膨胀时,吸收的热量全部用来对外作功;”对此说法,有如下几种评论,哪种是正确的 (A) 不违反热力学第一定律,但违反热力学第二定律; (B) 不违反热力学第二定律,但违反热力学第一定律; (C) 不违反热力学第一定律,也不违反热力学第二定律; (D) 违反热力学第一定律,也违反热力学第二定律;解:选 C 等温膨胀只是一个过程,不是一个循环;5.理想气体绝热地向真空自由膨胀,体积增大为原来的两倍,则始、末两态的温度T 1与T 2和始、末两态气体分子的平均自由程1λ与2λ的关系为 (A) T 1=T 2 ,1λ=2λ B T 1=T 2 ,1λ=212λ C T 1=2T 2 ,1λ=2λ D T 1=2T 2 ,1λ=212λ解:E A Q∆+=因绝热则0=Q,向真空自由膨胀不作功,0=A ;所以0=∆E ,选 B二、填空题:1.在p--V 图上1系统的某一平衡态用 来表示; 2系统的某一平衡过程用 来表示;3系统的某一平衡循环过程用 来表示;解:1系统的某一平衡态用一个点来表示;2系统的某一平衡过程用一条曲线来表示;3系统的某一平衡循环过程用封闭曲线来表示;2.如图所示,已知图中画不同斜线的两部分的面积分别为S 1和S 2,那么:1如果气体的膨胀过程为a-1-b ,则气体对外作功A= ;2如果气体进行a -2-b -1-a 的循环过程,则它对外做功A= ;解:1S 1 +S 2 2- S 13.2mol 单原子分子理想气体,经过一等容过程后,温度从200K 上升到500K,若该过程为准静态过程,气体吸收的热量为 ;若为不平衡过程,气体吸收的热量为 ;解:等容过程则=A ,j T R iM E Q 74792=∆=∆=μ若为不平衡过程,过程曲线有间断点无法求功;此题正好功为零,j T R iM E Q 74792=∆=∆=μ;4.将1 mol 理想气体等压加热,使其温度升高72 K,传给它的热量等于×103 J,求:1 气体所作的功A= ;2 气体内能的增量E ∆= ; 3 比热容比γ = ;解⇒⎪⎭⎪⎬⎫∆=∆∆=+∆=T C E T C Q W E Q V P P ⎪⎪⎪⎩⎪⎪⎪⎨⎧==∆===-=∆=∆=∆-=6.110001600)3(1000)2(600)()1(E Q C C JW Q E JT R T C C W P V P V P γ5.3 mol 的理想气体开始时处在压强p 1 =6 atm 、温度T 1 =500 K 的平衡态.经过一个等温过程,压强变为p 2 =3 atm .该气体在此等温过程中吸收的热量为 Q =____________________J; 普适气体常量11K m ol J 31.8--⋅⋅=R解31064.8⨯ 21ln PP RT A Q ν==6.一定量理想气体,从同一状态开始把其体积由0V 压缩到021V ,分别经历以下三种过程:1 等压过程;2 等温过程;3 绝热过程.其中:__________过程外界对气体做功最多;__________过程气体内能减少最多;__________过 程气体放热最多;解绝热;等压;等压气体放热2ln 2ln 000V p RT MQ T==μ000422221V p i RT i M T C MQ P P +=+=∆=μμ三、计算题:1.1mol 双原子分子理想气体从状态Ap 1,V 1沿p —V 图所示直线变化到状态Bp 2,V 2,试求:1气体的内能增量;2气体对外界所作的功;3气体吸收的热量;4此过程的摩尔热容;摩尔热容T Q C ∆∆=/,其中Q ∆表示1mol 物质在过程中升高温度T ∆时所吸收的热量;解:1)(25)(25112212V P V P T T R E -=-=∆2)(21))((2111221221V P V P V V P P A -=-+= 3)(3)(2611221122V P V P V P V P E A Q -=-=∆+=4T R V P V P T C T C MQ ∆=-=∆=∆=3)(31122μ所以RC 3=3. 一定量的刚性双原子分子理想气体,开始时处于压强为 p 0 = ×105 Pa,体积为V 0 =4×10-3 m 3,温度为T 0 = 300 K 的初态,后经等压膨胀过程温度上升到T 1 = 450 K,再经绝热过程温度降回到T 2 = 300 K,求气体在整个过程中对外作的功.解:等压过程末态的体积 1001T T VV =等压过程气体对外作功p 1p p 12)1()(01000101-=-=T T V p V V p W =200 J 根据热力学第一定律,绝热过程气体对外作的功为 W 2 =-△E =-νC V T 2-T 1 这里 000RT V p =ν,R C V 25=,则 500)(2512002==--=T T T V p W J 气体在整个过程中对外作的功为 W = W 1+W 2 =700 J4.一定量的单原子分子理想气体,从初态A 出发,沿图示直线过程变到另一状态B ,又经过等容、等压两过程回到状态A . 1 求A →B ,B →C ,C →A 各过程中系统对外所作的功W ,内能的增量E ∆ 以及所吸收的热量Q .2 整个循环过程中系统对外所作的总功以及从外界吸收的总热量过程吸热的代数和.解:1 A →B :))((211A B A B V V p p A -+==200 J .ΔE 1=ν C V T B -T A =3p B V B -p A V A /2=750 JQ 1=A 1+ΔE 1=950 J .B →C : A 2 =0 ΔE 2 =ν C V T C -T B =3 p C V C -p B V B /2 =-600 J . Q 2 =A 2+ΔE 2=-600 J . C →A : A 3 = p A V A -V C =-100 J .150)(23)(3-=-=-=∆C C A A C A V V p V p T T C E ν J . Q 3 =A 3+ΔE 3=-250 J2 A = A 1 +A 2 +A 3=100 J . Q = Q 1 +Q 2 +Q3 =100 J12 312O V (10-3 m 3) 5A BC大学物理练习 七一、选择题:1.关于电场强度定义式0/q F E=,下列说法中哪个是正确的A 场强E的大小与试探电荷q 0的大小成反比.B 对场中某点,试探电荷受力F与q 0的比值不因q 0而变.C 试探电荷受力F 的方向就是场强E的方向.D 若场中某点不放试探电荷q 0,则F =0,从而E=0. B2.四条皆垂直于纸面的载流细长直导线,每条中的电流皆为I;这四条导线被纸面截得的断面,如图所示,它们组成了边长为2a的正方形的四个角顶;每条导线中的电流流向亦如图所示,则在图中正方形中心O 点的磁感应强度的大小为A .20I aB πμ=B .220I a B πμ=C B=0.D B=.0I aπμ C 3. 在真空中有一根半径为R 的半圆形细导线,流过的电流为I ,则圆心处的磁 感强度为A RI π40μ. B RIπ20μ. C 0. D RI40μ . DIa二、填空题:1. 有一个球形的橡皮膜气球,电荷q 均匀地分布在表面上,在此气球被吹大的过程中,被气球表面掠过的点该点与球中心距离为 r,其电场强度的大小将由 变为 ;解:变为 0 ;2.如图所示,一长为10 cm 的均匀带正电细杆,其电荷为×108 C,试求在杆的延长线上距杆的端点5 cm 处的P 点的电 场强度 ; 解: 设P 点在杆的右边,选取杆的左端为坐标原点O ,x 轴沿杆的方向,如图,并设杆的长度为L .P 点离杆的端点距离为d .在x 处取一电荷元d q =q /L d x ,它在P 点产生场强()()20204d 4d d x d L L xq x d L q E -+π=-+π=εε P 点处的总场强为()()d L d qx d L x L q E L +π=-+π=⎰00204d 4εε代入题目所给数据,得E =×104 N/CE 的方向沿x 轴正向.3.一长直螺线管是由直径d=的漆包线密绕而成;当它通以I=的电忽略绝缘层厚度三、计算题:1.一个细玻璃棒被弯成半径为R 的半圆形,沿其上半部分均匀分布有电量+Q,沿其下半部分均匀分布有电量-Q,如图所示;试求圆心O 处的电场强度;解:先看上半部分+Q,θλλRd dl dq==θsin dE dE x = ,θcos dE dE y=xO。