高一数学专项练习题
- 格式:doc
- 大小:17.00 KB
- 文档页数:5
高一数学练习题答案一、选择题1. 已知函数f(x)=2x^2-3x+1,求f(2)的值。
A. 5B. 7C. 9D. 112. 若a>0,b>0,且a+b=1,则ab的最大值是:A. 1/4B. 1/2C. 1D. 1/33. 已知等差数列的前三项分别为2,5,8,求第10项的值。
A. 29B. 32C. 35D. 384. 若sinα+cosα=√2,则tanα的值为:A. 1B. -1C. √2D. -√25. 函数y=x^3-3x^2+2的导数为:A. 3x^2-6xB. 3x^2-9xC. 3x-6D. 3x-9二、填空题1. 若一个圆的直径为10,则其面积为______。
2. 已知等比数列的前三项为3,9,27,求第4项的值。
3. 若函数f(x)=x^3-6x^2+11x-6,则f(2)的值为______。
4. 已知三角形ABC中,角A=60°,边a=3,边b=4,求角B的余弦值。
5. 已知直线y=2x+1与曲线y=x^2-4x+4相交,求交点坐标。
三、解答题1. 解不等式:x^2-4x+3≤0。
2. 已知函数f(x)=x^3-6x^2+11x-6,求其极值点。
3. 求圆心在原点,半径为5的圆的方程。
4. 已知数列{an}的前n项和为S_n=n^2+1,求数列{an}的通项公式。
5. 已知函数y=x^3-3x^2+2在点(1,0)处的切线方程。
四、证明题1. 证明:若a,b,c是三角形的三边长,且a^2+b^2=c^2,则三角形是直角三角形。
2. 证明:函数f(x)=x^3-6x^2+11x-6在区间(1,2)内单调递增。
3. 证明:等差数列的前n项和S_n=n^2+n,求证其公差d=2。
五、应用题1. 某工厂生产一批产品,每件产品的成本为c元,售价为p元。
若生产x件产品,则总成本为C(x)=cx,总收入为R(x)=px。
求当p=3c时,利润函数P(x)的最大值。
高一数学考试试题及答案一、选择题(每题3分,共30分)1. 若函数f(x)=2x+1,则f(-1)的值为:A. -1B. 1C. 3D. -3答案:A2. 已知集合A={1,2,3},B={2,3,4},则A∩B的元素个数为:A. 1B. 2C. 3D. 4答案:B3. 函数y=x^2-4x+3的顶点坐标为:A. (2,-1)B. (2,1)C. (-2,1)D. (-2,-1)答案:A4. 圆的方程为(x-2)^2+(y-3)^2=25,则圆心坐标为:A. (2,3)B. (-2,-3)C. (-2,3)D. (2,-3)答案:A5. 直线y=2x+3与x轴的交点坐标为:A. (-3/2, 0)B. (3/2, 0)C. (0, -3/2)D. (0, 3/2)答案:B6. 函数y=|x|的图像是:A. 一条直线B. 两条直线C. 一条曲线D. 两条曲线答案:B7. 已知等差数列{an}的前三项分别为2, 5, 8,则该数列的公差为:A. 1B. 2C. 3D. 4答案:B8. 函数y=sin(x)的周期为:B. 2πC. π/2D. 4π答案:B9. 已知向量a=(3, -4),b=(2, 5),则a·b的值为:A. -1B. 11C. -11D. 1答案:C10. 圆的方程为x^2+y^2-6x+8y-24=0,则该圆的半径为:A. 2B. 4C. 6D. 8答案:C二、填空题(每题4分,共20分)11. 函数y=3x-2的反函数为______。
答案:y=(1/3)x+2/312. 已知等比数列{bn}的前三项分别为3, 6, 12,则该数列的公比为______。
13. 若a, b, c是三角形的三边长,且满足a^2+b^2=c^2,则该三角形为______三角形。
答案:直角14. 函数y=1/x的图像在第二象限内是______的。
答案:递减15. 已知向量a=(4, 1),b=(2, -3),则|a+b|的值为______。
高一数学必修一训练习题(一)一、选择题:本大题共10小题,每小题5分,共50分. 1、下列集合中表示同一集合的是( )A 、)}2,3{(=M }2,3{=NB 、 }1|),{(=+=y x y x M }1|{=+=y x y NC 、)}5,4{(=M )}4,5{(=ND 、}1,2{=M }2,1{=N2、已知幂函数)(x f 过点,则)4(f 的值为 ( ) A 、21B 、 1C 、2D 、8 3、sin 585°的值为 ( )A. 2-B.2C.2-D. 24、与-463°终边相同的角可表示为 ( ) A .k·360°+436°(k ∈Z ) B .k·360°+103°(k ∈Z ) C .k·360°+257°(k ∈Z )D .k·360°-257°(k ∈Z )5、已知函数⎩⎨⎧<≥=)0()0()(2x x x x x f ,则))2((-f f 的值是( )A 、2B 、2-C 、4D 、4-6.已知2log 3.6a =,4log 3.2b =,4log 3.6c =,则 ( ).A .a b c >>B .a c b >>C .b a c >>D .c a b >>7、下列函数中,既是奇函数,又在定义域内为减函数的是( )A 、xy )21(= B 、2x y -= C 、3x y -= D 、)(log 3x y -=8.函数1()12x y =+的图象关于直线y =x 对称的图象像大致是9.设函数()(),xxf x x e ae x R -=+∈是奇函数,则实数a = ( ) A .4 B .3 C .2 D .110.已知函数()⎩⎨⎧>+-≤-=1,341,442x x x x x x f ,()x x g 2log =,则()()()F x f x g x =-的零点个数是( )A .4B .3C .2 D..1二、填空题(每小题5分,共20分)11.函数2()5f x x ax =++在[2,+∞)单调递增,则a 的范围是 .12.函数]3,1[,1)( ∈-=x x x x f 的值域是 13.若121()log (21)f x x =+,则()f x 的定义域为14.为了预防流感,某学校对教室用药熏消毒法进行消毒.已知药物释放过程中,室内每立方米空气中的含药量y (毫克)与时间t (小时)成正比;药物释放完毕后,y 与t 的函数关系式为116t ay -⎛⎫= ⎪⎝⎭(a 为常数),如图所示,根据图中提供的信息,回答下列问题:(I )从药物释放开始,每立方米空气中的含药量y (毫克)与时间t (小时)之间的函数关系式为(II )据测定,当空气中每立方米的含药量降低到0.25毫克以下时,学生方可进教室,那么从药物释放开始,至少需要经过 小时后,学生才能回到教室.三、解答题:本大题共6小题,共80分。
数学题高一试题及答案一、选择题1. 若函数f(x) = 2x^2 - 4x + 3,求f(2)的值。
A. 1B. 3C. 5D. 7答案:B2. 已知等差数列{an}的前三项分别为a1 = 1,d = 2,求a3的值。
A. 5B. 6C. 7D. 8答案:A3. 函数y = x^3 - 3x^2 + 2x + 1的极值点个数是:A. 0B. 1C. 2D. 3答案:C二、填空题4. 计算复数(1 + 2i)(3 - 4i)的结果为______。
答案:11 - 10i5. 已知圆的方程为x^2 + y^2 - 6x + 8y - 24 = 0,求该圆的半径。
答案:5三、解答题6. 已知函数f(x) = x^3 - 3x^2 + 2,求证f(x)在x = 2处取得极小值。
证明:首先求导数f'(x) = 3x^2 - 6x。
令f'(x) = 0,解得x = 0 或x = 2。
验证f''(x) = 6x - 6,代入x = 2,得到f''(2) = 6 > 0,因此f(x)在x = 2处取得极小值。
7. 解不等式:x^2 - 4x + 4 > 0。
解:将不等式转化为(x - 2)^2 > 0,由于平方项总是非负的,所以不等式成立当x ≠ 2。
因此,解集为{x|x ≠ 2}。
四、计算题8. 计算定积分∫(0到1) (2x + 3) dx。
解:首先求被积函数(2x + 3)的原函数F(x) = x^2 + 3x。
计算定积分,得到F(1) - F(0) = (1^2 + 3*1) - (0^2 + 3*0) = 4。
答案:49. 已知函数f(x) = √x,求f(x)在区间[1, 4]上的平均变化率。
解:平均变化率定义为(f(b) - f(a)) / (b - a),代入f(x) = √x,得到平均变化率= (√4 - √1) / (4 - 1) = (2 - 1) / 3 = 1/3。
高一数学试题及答案第一部分:选择题1. 设函数f(x) = x^2 4x + 3,求f(2)的值。
A. 1B. 0C. 1D. 22. 已知等差数列{an}的公差为2,且a1 = 3,求a5的值。
A. 7B. 9C. 11D. 133. 设集合A = {x | x > 0},B = {x | x < 5},求A∩B的值。
A. {x | x > 0, x < 5}B. {x | x > 5}C. {x | x < 0}D. {x | x < 5, x > 0}4. 若直线y = kx + 2与圆x^2 + (y 1)^2 = 4相切,求k的值。
A. 1B. 1C. 2D. 25. 设函数g(x) = |x 1| + |x + 1|,求g(x)的最小值。
A. 0B. 1C. 2D. 36. 若等比数列{bn}的首项为2,公比为3,求bn的第5项。
A. 162B. 243C. 4D. 7297. 已知函数h(x) = x^3 3x^2 + 2x,求h(x)的导数。
A. 3x^2 6x + 2B. 3x^2 6x 2C. 3x^2 + 6x + 2D. 3x^2 + 6x 28. 若直线y = mx + 1与直线y = 2x + 4平行,求m的值。
A. 2B. 2C. 1D. 19. 设集合C = {x | x^2 5x + 6 = 0},求C的值。
A. {2, 3}B. {1, 4}C. {2, 4}D. {1, 3}10. 若函数f(x) = ax^2 + bx + c(a ≠ 0)的顶点坐标为(2,3),求b的值。
A. 12B. 12C. 6D. 6答案:1. A2. C3. A4. B5. B6. D7. A8. D9. C10. B第一部分:选择题答案解析1. 解析:将x = 2代入f(x) = x^2 4x + 3中,得到f(2) =2^2 42 + 3 = 1。
高一数学练习题及答案高一数学练习题及答案数学是一门重要的学科,对于高中生来说,数学的学习尤为关键。
高一学年是数学知识的基础阶段,掌握好这个阶段的知识对于后续学习的顺利进行至关重要。
为了帮助同学们更好地复习和巩固高一数学知识,下面将给出一些高一数学练习题及答案。
一、函数与方程1. 已知函数 f(x) = 2x + 3,求 f(5) 的值。
答案:f(5) = 2(5) + 3 = 13。
2. 解方程 2x + 5 = 17。
答案:2x + 5 = 172x = 17 - 52x = 12x = 6。
二、平面几何1. 已知三角形 ABC,其中∠ABC = 90°,AB = 5 cm,BC = 12 cm,求 AC 的长度。
答案:根据勾股定理,AC² = AB² + BC²AC² = 5² + 12²AC² = 25 + 144AC² = 169AC = √169AC = 13 cm。
2. 已知正方形 ABCD,边长为 6 cm,求对角线 AC 的长度。
答案:对角线 AC 的长度等于正方形边长的平方根的两倍。
AC = 6√2 cm。
三、概率与统计1. 一枚硬币抛掷十次,求正面朝上的次数。
答案:由于硬币只有正反两面,所以正面朝上的次数只能是 0 到 10 之间的整数。
可以用组合数学的方法计算正面朝上的次数:正面朝上的次数 = C(10, 0) + C(10, 1) + C(10, 2) + C(10, 3) + C(10, 4) + C(10, 5) + C(10, 6) + C(10, 7) + C(10, 8) + C(10, 9) + C(10, 10)正面朝上的次数 = 1 + 10 + 45 + 120 + 210 + 252 + 210 + 120 + 45 + 10 + 1正面朝上的次数 = 1024。
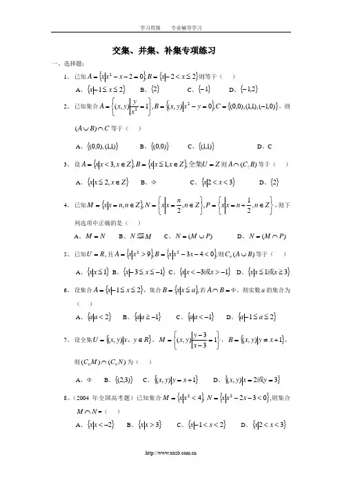
交集、并集、补集专项练习一、选择题:1、 已知{}{}22,022≤<-==--=x x B x x x A 则等于( )A 、{}21≤≤-x x B 、{}2 C 、{}1- D 、{}2,1- 2、 已知集合{}{})0,1(),1,1(),0,0(,0),(,1),(22-==-=⎭⎬⎫⎩⎨⎧==C y x y x B x y y x A ,则C B A ⋂⋃)(等于( )A 、{})1,1(),0,0(B 、{})0,0(C 、{})1,1(D 、C 3、 设{}{}Z U Z x x x B Z x x x A =∈≤=∈<=全集,,1,,3则)(B C A z ⋂等于( )A 、{}Z x x x ∈≤,2B 、ΦC 、{}32<<x x D 、{}2 4、 已知{}⎭⎬⎫⎩⎨⎧∈+==⎭⎬⎫⎩⎨⎧∈==∈==Z n n x x P Z n n x x N Z n n x x M ,21,,2,,,则下列选项中正确的是( ) A 、N M = B 、NM C 、)(P M N ⋃= D 、)(P M N ⋂=5、 已知,R U =且{}{},043,922<--=>=x x x B x x A 则)(B A C u ⋃等于( )A 、{}1≤x xB 、{}13-≤≤-x xC 、{}13->-<x x x 或D 、{}31≥≤x x x 或 6、 设集合{}21≤≤-=x x A ,集合{},a x x B ≤=若=⋂B A Φ,则实数a 的集合为( )A 、{}2<a aB 、{}1-≥a aC 、{}1-<a aD 、{}21≤≤-a a 7、 设全集{}R y x y x U ∈=、),(,⎭⎬⎫⎩⎨⎧=--=133),(x y y x M ,{}1),(+≠=x y y x B ,则)()(N C M C u u ⋂为( )A 、ΦB 、{})3,2(C 、{}1),(+=x y y xD 、{}32),(==y x y x 或 8、(2004年全国高考题)已知集合{},42<=x x M {}0322<--=x x x N ,则集合N M ⋂=( )A 、{}2-<x xB 、{}3>x xC 、{}21<<-x xD 、{}32<<x x9、(2004年全国高考题)已知集合{},,,1),(22R y R x y x y x M ∈∈=+= {}R y R x y x y x N ∈∈=-=,,0),(2则集合N M ⋂中元素个数为( )A 、1B 、2C 、3D 、410、(2004年高考题)已知{}{},06,3122≤-+=>+=x x x B x x A 则=⋂B A ( ) A 、{}123>-≤<-x x x 或 B 、{}2123<≤-≤<-x x x 或 C 、{}2123≤<-<<-x x x 或 D 、{}213≤<-<x x x 或 11、(2004年全国高考题)不等式03)2(<-+x x x 的解集为( )A 、{}30,2<<-<x x x 或B 、{}3,02><<-x x x 或 C 、{}0,2>-<x x x 或 D 、{}3,0><x x x 或12、设P M 、是两个非空集合,规定{}P x M x x P M ∉∈=-且,|,根据这一规定)(P M M --等于( )A 、MB 、PC 、P M ⋃D 、P M ⋂ 二、填空题:13、已知集合N M 、满足{}{}R x x y y N R x x y y M ∈+-==∈+==,1|,,122,则有______=⋂N M 。
一、选择题(每题5分,共30分)1. 已知集合A={x|x是实数,且|x-1|<2},则集合A的表示方法是()A. (-1,3)B. [-1,3]C. (-1,3]D. [-1,3)2. 已知函数f(x)=2x²-3x+1,则函数f(x)的最小值是()A. -1/4B. -1/2C. -3/4D. -13. 已知等差数列{an}的前n项和为Sn,且a1=1,a5=9,则S10的值是()A. 50B. 60C. 70D. 804. 已知函数f(x)=log₂(x+1),则函数f(x)的定义域是()A. (-∞,-1)∪(-1,+∞)B. [-1,+∞)C. (-∞,-1]∪(0,+∞)D. (-1,+∞)5. 已知向量a=(1,2),向量b=(3,4),则向量a+2b的模是()A. 5B. √41C. 10D. √616. 已知双曲线C: x²/a²-y²/b²=1的左、右焦点分别为F₁(-c,0),F₂(c,0),则双曲线C的离心率e满足()A. e>1B. e=1C. 0<e<1D. e=0二、填空题(每空5分,共20分)1. 已知集合A={1,2,3},集合B={3,4,5},则A∪B=_____。
2. 已知函数f(x)=x³-3x²+1,则函数f(x)的单调递增区间是_____。
3. 已知数列{an}满足a₁=1,a_{n+1}=2a_n+1(n≥1),则a₆=_____。
4. 已知圆C: x²+y²-4x-6y+4=0的圆心坐标为_____。
三、解答题(每题10分,共30分)1. 已知集合A={x|x是实数,且x²-2x<3},求集合A的表示方法。
2. 已知函数f(x)=x⁴-4x³+4x²,求函数f(x)的单调区间和极值。
3. 已知等比数列{an}的前n项和为Sn,且a₂=3,S₃=13,求通项公式an和S₆的值。
高一数学试题精选及答案一、选择题(每题3分,共15分)1. 若函数f(x)=x^2-4x+m的图像与x轴有两个交点,则m的取值范围是()。
A. m > 4B. m < 4C. m ≥ 4D. m ≤ 42. 已知向量a=(3,-1),b=(2,2),则向量a+2b的坐标为()。
A. (7, 3)B. (7, 0)C. (1, 0)D. (1, 3)3. 函数y=x^3-3x^2+2在区间(0,1)上是()。
A. 增函数B. 减函数C. 先增后减D. 先减后增4. 已知等差数列{an}的前三项分别为1,2,3,则该数列的通项公式为()。
A. an = nB. an = n + 1C. an = n - 1D. an = 2n - 15. 已知圆C的方程为(x-1)^2+(y-2)^2=9,圆心C到直线3x+4y-5=0的距离为()。
A. 1B. 2C. 3D. 4二、填空题(每题3分,共15分)6. 若复数z满足|z|=2,则z的平方的模长为_________。
7. 函数y=cos(2x)的最小正周期为_________。
8. 已知双曲线x^2/a^2 - y^2/b^2 = 1的离心率为2,则a和b的关系为_________。
9. 已知三角形ABC的三边长分别为a,b,c,且满足a^2+b^2=c^2,三角形ABC的类型为_________。
10. 已知函数f(x)=x^3-3x+1,求导数f'(x)=_________。
三、解答题(每题10分,共20分)11. 解方程:x^2-5x+6=0。
12. 证明:对于任意实数x,不等式x^2+x+1≥3/4恒成立。
答案:一、选择题1. D2. A3. D4. A5. B二、填空题6. 47. π8. b^2=3a^29. 直角三角形10. 3x^2-3三、解答题11. 解:将方程x^2-5x+6=0进行因式分解,得到(x-2)(x-3)=0,所以解为x=2或x=3。
高一数学练习题及答案一、选择题(每题5分,共30分)1. 已知函数\( f(x) = 3x^2 - 2x + 1 \),求\( f(-1) \)的值。
A. 6B. 4C. 2D. -22. 若\( a \)和\( b \)是方程\( x^2 - 5x + 6 = 0 \)的两个根,则\( a + b \)的值为:A. 3B. 5C. 6D. 83. 已知\( \sin 45^\circ = \frac{\sqrt{2}}{2} \),求\( \cos 45^\circ \)的值。
A. \( \frac{\sqrt{2}}{2} \)B. \( \frac{1}{2} \)C. \( \frac{\sqrt{3}}{2} \)D. \( \frac{\sqrt{6}}{3} \)4. 圆的半径为5,圆心到直线的距离为3,求圆与直线的位置关系。
A. 相离B. 相切C. 相交D. 包含5. 已知等差数列的首项是2,公差是3,求第5项的值。
A. 17B. 14C. 11D. 86. 函数\( y = \log_2 x \)的定义域是:A. \( x > 1 \)B. \( x < 1 \)C. \( x \geq 1 \)D. \( x \geq 0 \)二、填空题(每题4分,共20分)1. 若\( a \),\( b \),\( c \)是三角形的三边,且\( a^2 + b^2= c^2 \),则此三角形是________。
2. 已知\( \tan \theta = 3 \),求\( \sin \theta \)的值。
3. 函数\( y = x^3 - 3x^2 + 2 \)的导数是________。
4. 已知\( \cos \alpha = \frac{4}{5} \),\( \alpha \)在第一象限,求\( \sin \alpha \)的值。
5. 等比数列\( 2, 4, 8, \ldots \)的第6项是________。
高一数学练习题加答案在高一数学的学习中,练习题是帮助学生巩固知识点和提高解题能力的重要工具。
以下是一些高一数学的练习题,以及相应的答案,供学生参考和练习。
练习题一:集合的概念与运算1. 已知集合A = {1, 2, 3},B = {2, 3, 4},求A∪B。
2. 若集合C = {x | x > 5},D = {x | x < 10},求C∩D。
3. 集合E = {x | x^2 - 4x + 3 = 0},求E的元素。
答案一:1. A∪B = {1, 2, 3, 4}。
2. C∩D = {x | 5 < x < 10}。
3. E = {1, 3}。
练习题二:函数的基本概念1. 判断函数f(x) = x^2 - 4x + 3的单调性。
2. 求函数g(x) = 3x + 2的反函数。
3. 已知f(x) = 2x + 1,求f(-1)。
答案二:1. 函数f(x) = x^2 - 4x + 3在(-∞, 2]上单调递减,在[2, +∞)上单调递增。
2. 函数g(x) = 3x + 2的反函数为g^(-1)(x) = (x - 2) / 3。
3. f(-1) = 2*(-1) + 1 = -1。
练习题三:不等式的解法1. 解不等式:2x + 5 > 3x - 2。
2. 已知不等式组:\[ \begin{cases} x + y \geq 3 \\ 2x - y \leq 4 \end{cases} \],求其解集。
3. 解绝对值不等式:|x - 2| < 4。
答案三:1. 解得:x < 7。
2. 解集为:1 ≤ x ≤ 5,y ≥ -2。
3. 解得:-2 < x < 6。
练习题四:三角函数的基本性质1. 已知sinθ = 3/5,求cosθ(假设θ为锐角)。
2. 求值:\[ \sin(\frac{\pi}{6}) + \cos(\frac{\pi}{6}) \]。
高一数学必考试题及答案一、选择题(每题3分,共30分)1. 下列函数中,为奇函数的是:A. y = x^2B. y = |x|C. y = x^3D. y = sin(x)答案:C2. 若函数f(x) = 2x + 1在区间[-1, 2]上是增函数,则下列说法正确的是:A. f(x)在[-1, 2]上单调递减B. f(x)在[-1, 2]上单调递增C. f(x)在[-1, 2]上先增后减D. f(x)在[-1, 2]上先减后增答案:B3. 已知集合A={1, 2, 3},集合B={2, 3, 4},则A∩B的元素个数为:A. 0B. 1C. 2D. 3答案:C4. 函数y = 3x - 2的图像不经过第几象限?A. 第一象限B. 第二象限C. 第三象限D. 第四象限答案:B5. 已知等差数列{an}的前三项分别为1, 4, 7,则其第10项为:A. 26B. 27C. 28D. 29答案:A6. 圆的方程为x^2 + y^2 - 6x + 8y - 24 = 0,其圆心坐标为:A. (3, -4)B. (-3, 4)C. (3, 4)D. (-3, -4)答案:A7. 函数f(x) = x^2 - 6x + 8的最小值是:A. -1B. 0C. 1D. 2答案:B8. 直线y = 2x + 3与x轴的交点坐标为:A. (-3/2, 0)B. (3/2, 0)C. (0, 3)D. (0, -3)答案:B9. 已知三角形ABC中,∠A = 60°,∠B = 45°,则∠C的大小为:A. 45°B. 60°C. 75°D. 30°答案:D10. 函数f(x) = |x - 2| + |x + 3|的最小值是:A. 5B. 1C. 0D. 2答案:A二、填空题(每题4分,共20分)1. 已知函数f(x) = x^2 - 4x + 3,其顶点坐标为______。
高一数学考试题及答案一、选择题(每题4分,共40分)1. 下列哪个选项是函数y=|x|的定义域?A. (-∞, 0)B. (-∞, 0) ∪ (0, +∞)C. (-1, 1)D. 全实数集2. 若a、b、c是等差数列,且a+b+c=6,b+c-a=2,则a的值为:A. 1B. 2C. 3D. 43. 已知一个等比数列的前三项分别为a, b, c,且abc=16,b-c=2,求a的值。
A. 1B. 2C. 4D. 84. 在直角坐标系中,点A(2,3)和点B(-2,-1)之间的距离是:A. 2√5B. √20C. 3√5D. 55. 若f(x) = 2x^2 + 3x - 4,求f(-2)的值。
A. -11B. -5C. 5D. 116. 已知一个圆的半径为5,圆心在坐标轴上,且圆上有一点P(3,4),则这个圆的方程是:A. (x-3)^2 + (y-4)^2 = 25B. (x-3)^2 + y^2 = 25C. (x-4)^2 + (y-3)^2 = 25D. x^2 + (y-4)^2 = 257. 函数y = 3^x的反函数是:A. y = log3xB. y = 3^(-x)C. y = -log3xD. y = logx/38. 已知一个等差数列的前n项和为Sn = n^2 + 2n,当n=5时,Sn的值是:A. 35B. 40C. 45D. 509. 在复数z1 = 3 + 4i 和 z2 = 2 - i中,|z1 - z2|的模长是:A. 2√2B. √10C. 5D. √2110. 若a:b = 3:4,b:c = 5:6,则a:b:c的比例是:A. 15:20:24B. 15:20:25C. 3:4:5D. 5:6:8二、填空题(每题4分,共20分)11. 若f(x) = x^3 - 6x^2 + 11x - 6,求f(2)的值。
12. 一个等比数列的前三项分别是2, 6, 18,该数列的公比是。
高一数学练习题带答案高一数学是高中数学学习的重要基础阶段,涵盖了代数、几何、函数等多个领域。
以下是一些高一数学练习题及答案,供同学们练习和参考。
练习题一:代数基础1. 解不等式:\( 2x - 5 < 3x + 1 \)2. 化简表达式:\( \frac{3x^2 - 7x + 2}{x - 1} \)3. 求多项式\( 4x^3 - 3x^2 + 2x - 1 \)的因式分解。
答案一:1. 解不等式:首先将不等式两边的\( x \)项合并,得到\( -x < 6 \),然后两边同时除以-1,注意不等号方向要改变,得到\( x > -6 \)。
2. 化简表达式:通过长除法或多项式除法,可以得到\( 3x - 5 \)。
3. 因式分解:首先提取公因式\( x - 1 \),得到\( x - 1 (4x^2 - 4x + 2) \),然后对余下的二次多项式继续分解,得到\( x - 1 (2x - 1)(2x - 2) \)。
练习题二:几何问题1. 在直角三角形ABC中,角C为直角,已知AB=5,AC=3,求BC的长度。
2. 已知圆的半径为7,求圆的面积。
3. 已知点P(1,2),求点P到直线\( x - 2y + 3 = 0 \)的距离。
答案二:1. 根据勾股定理,直角三角形的斜边的平方等于两直角边的平方和,即\( BC^2 = AB^2 - AC^2 = 5^2 - 3^2 = 25 - 9 = 16 \),所以BC=4。
2. 圆的面积公式为\( A = \pi r^2 \),代入半径r=7,得到\( A =49\pi \)。
3. 点到直线的距离公式为\( d = \frac{|Ax + By + C|}{\sqrt{A^2+ B^2}} \),代入点P(1,2)和直线方程\( x - 2y + 3 = 0 \),得到\( d = \frac{|1 - 4 + 3|}{\sqrt{1^2 + (-2)^2}} =\frac{0}{\sqrt{5}} = 0 \)。
高一数学测试试题及答案一、选择题(每题4分,共40分)1. 下列函数中,为奇函数的是()A. y = x^2B. y = x^3C. y = |x|D. y = sin(x)2. 已知集合A={1, 2, 3},B={2, 3, 4},则A∩B等于()A. {1}B. {2, 3}C. {3, 4}D. {1, 2, 3, 4}3. 函数f(x) = x^2 - 4x + 4的对称轴是()A. x = -2B. x = 2C. x = 0D. x = 44. 计算(2x - 1)^5的展开式中,x^3的系数是()A. 10B. -10C. 20D. -205. 已知等差数列{a_n}的首项a_1=3,公差d=2,则a_5等于()B. 11C. 9D. 76. 函数y = 2x + 3的图象与x轴的交点坐标是()A. (-3/2, 0)B. (3/2, 0)C. (-1.5, 0)D. (1.5, 0)7. 已知函数f(x) = 2x^2 - 3x + 1,求f(-1)的值()A. 6B. 4C. 2D. 08. 圆x^2 + y^2 = 4的圆心坐标是()A. (0, 0)B. (2, 2)C. (-2, -2)D. (1, 1)9. 已知向量a = (3, 1),向量b = (-1, 2),则向量a与向量b的点积为()A. -1B. 1C. 5D. -510. 计算sin(π/6)的值是()B. √3/2C. 1/√2D. √2/2二、填空题(每题4分,共20分)1. 函数y = x^2 - 6x + 9的最小值是______。
2. 已知等比数列{a_n}的首项a_1=2,公比q=3,则a_4等于______。
3. 函数f(x) = 3x - 5的反函数是______。
4. 已知向量a = (2, -3),向量b = (4, -6),则向量a与向量b平行,向量a与向量b的夹角是______。
5. 计算cos(π/3)的值是______。
高一数学试题及解析答案一、选择题(每题5分,共20分)1. 函数f(x) = x^2 - 4x + 3的零点是:A. 1B. 2C. 3D. 4答案:B解析:将f(x)设为0,即x^2 - 4x + 3 = 0,解得x = 1 或 x = 3。
由于题目要求零点,所以正确选项是B。
2. 集合A = {1, 2, 3},集合B = {2, 3, 4},则A∩B是:A. {1}B. {2, 3}C. {3, 4}D. {1, 2, 3}答案:B解析:集合A与集合B的交集是它们共有的元素,即A∩B = {2, 3}。
3. 若a, b, c是三角形的三边长,且满足a^2 + b^2 = c^2,则该三角形是:A. 直角三角形B. 钝角三角形C. 锐角三角形D. 不能确定答案:A解析:根据勾股定理,若a^2 + b^2 = c^2,则三角形为直角三角形。
4. 函数y = 2x - 1的图象不经过第几象限?A. 第一象限B. 第二象限C. 第三象限D. 第四象限答案:C解析:函数y = 2x - 1的斜率为正,截距为负,因此图象经过第一、三、四象限,不经过第二象限。
二、填空题(每题5分,共20分)1. 等差数列{an}的首项a1 = 2,公差d = 3,则第五项a5 = _______。
答案:17解析:等差数列的通项公式为an = a1 + (n - 1)d,代入n = 5,a1= 2,d = 3,得a5 = 2 + (5 - 1) * 3 = 17。
2. 已知函数f(x) = x^3 - 3x^2 + 2x + 1,求f'(x) = _______。
答案:3x^2 - 6x + 2解析:对f(x)求导得f'(x) = 3x^2 - 6x + 2。
3. 圆的方程为(x - 2)^2 + (y + 3)^2 = 25,圆心坐标为(2, -3),半径为_______。
答案:5解析:圆的半径为方程中的常数项的平方根,即r = √25 = 5。
高一数学专项练习题
高一数学专项练习题
高一数学专项练习一. 选择题:本大题共5小题,每小题7分,共35分。
在每小题给出的四个选项中,只有一项是符合题目要求的。
1.已知函数唯一的零点在区间内,那么下面命题错误的( )
A 函数在或内有零点
B 函数在内无零点
C 函数在内有零点
D 函数在内不一定有零点
2.若,,则与的关系是 ( )
A B
C D
3. 函数零点的个数为 ( )
A B C D
4. 已知函数y=f(x)有反函数,则方程f(x)=0 ( )
A 有且仅有一个根
B 至多有一个根
C 至少有一个根
D 以上结论都不对
5. 某林场计划第一年造林亩,以后每年比前一年多造林,则第四年造林( )
A 亩
B 亩
C 亩
D 亩
二. 填空题:本大题共4小题,每小题6分,共24分。
6.用二分法求方程x3-2x-5=0在区间[2,3]内的实根,取区间中点为x0=2.5,那么下一个有根的区间是
7.函数f(x)=lnx-x+2的零点个数为
8. 设函数y=f(x)的图象在[a,b]上连续,若满足,则方程f(x)=0在[a,b]上有实根.
9. 若点(2,1)既在函数的图象上,又在它的反函数的图象上,则=__________________,=__________________
三. 解答题:本大题共3小题,共41分,解答题应写出文字说明、证明过程或演算步骤。
10.(本小题13分)
某商品进货单价为元,若销售价为元,可卖出个,如果销售单价每涨元,销售量就减少个,为了获得最大利润,则此商品的最佳售价应为多少?
11.(本小题14分)
设与分别是实系数方程和的一个根,且,求证:方程有且仅有一根介于和之间。
12.(本小题14分)
函数在区间上有最大值,求实数的值
B组题(共100分)
四. 选择题:本大题共5小题,每小题7分,共35分。
在每小题给出的四个选项中,只有一项是符合题目要求的。
13.如果二次函数y=x2+mx+(m+3)有两个不同的零点,则m的取值范围是( )
A (-2,6)
B [-2,6]
C {-2,6}
D (-,-2)(6,+)
14.已知f(x)=x2-4x-4,当x[t,t+1]时函数f(x)的最小值是t的函数,设为g(t),则当t1时,g(t)等于 ( )
A. t2+2t-7
B. t2-2t+7
C. t2-2t-7
D. t2+2t+7
15. 若函数在区间上的图象为连续不断的一条曲线,则下列说法正确的是( )
A 若,不存在实数使得;
B 若,存在且只存在一个实数使得;
C 若,有可能存在实数使得;
D 若,有可能不存在实数使得;
16. 设,用二分法求方程内近似解的过程中得则方程的根落在区间( )
A B C D 不能确定
17. 直线与函数的图象的交点个数为( )
A 个
B 个
C 个
D 个
五. 填空题:本大题共4小题,每小题6分,共24分。
18.函数的定义域是
19.已知函数,则函数的零点是__________
20. 年底世界人口达到亿,若人口的年平均增长率为,年底世界人口为亿,那么与的函数关系式为
21. 若函数的零点个数为,则______
六. 解答题:本大题共3小题,共41分,解答题应写出文字说明、证明过程或演算步骤。
22.(本小题13分)证明函数在上是增函数
23.(本小题14分)借助计算器,用二分法求出在区间内的近似解(精确到)
24.(本小题14分)建造一个容积为立方米,深为米的无盖长方体蓄水池,池壁的造价为每平方米元,池底的造价为每平方米元,把总造价(元)表示为底面一边长(米)的函数并求出其最小值.
C组题(共50分)
七. 选择或填空题:本大题共2题。
25.在这三个函数中,当时,使恒成立的函数的个数是 ( )
A 个
B 个
C 个
D 个
26.函数与函数在区间上增长较快的一个是
八. 解答题:本大题共3小题,解答题应写出文字说明、证明过程或演算步骤。
27.已知且,求使方程有解时的的取值范围
28.曙光公司为了打开某种新产品的销路,决定进行广告促销,在一年内,预计年销量Q(万件)与广告费x(万元)之间的函数关系式是Q=已知生产此产品的年固定投入为3万元,每生产1万件此产品仍需投入32万元,若每件售价是年平均每件成本的150%与年平均每件所占广告费的50%之和,当年产销量相等试将年利润y(万元)表示为年广告费x万元的函数,并判断当年广告费投入100万元时,该公司是亏损还
是盈利?
29.某租赁公司拥有汽车100辆.当每辆车的月租金为3000
元时,可全部租出.当每辆车的月租金每增加50元时,未租出的车将会增加一辆.租出的车每辆每月需要维护费150元,未租出的车每辆每月需要维护费50元。
(1)当每辆车的月租金定为3600元时,能租出多少辆车?
(2)当每辆车的月租金定为多少元时,租赁公司的月收益最大?最大月收益是多少?。