СНиП РК 3.05-01-2010 干线管道设计规范-哈萨克斯坦标准
- 格式:doc
- 大小:1.22 MB
- 文档页数:131
关于油气输送管线干线钢管选用的若干问题油气输送管线干线钢管选用一般应考虑五个问题:1.钢管标准的选用2.钢管的化学成分要求3.钢管的机械力学性能4.钢管韧性要求5.制管技术要求。
现就这几个问题简述如下,由于时间紧迫可能错漏短缺不少,仅供参考。
一.关于钢管标准在油气输送用钢管标准的选用中,几乎在较大的产油国与发达国家都有自己的标准。
我国油气输送用管道多采用美国API Spec 5L《管线管》的标准.国标《石油天然气工业输送钢管交货技术条件第一部分A级钢管》(GB9711.1.97)及《石油天然气工业输送钢管交货技术条件第二部分 B 级钢管》(GB9711.2-99)。
由于API Spec 5L是一个通用的最基本的必须技术条件,考虑到各条管线的自然条件差别很大,因此管线的业主往往根据API Spec 5L指明的钢级化学成分和机械性能由购方和制管厂商定,再结合管线的具体情况,对选用的钢管提出一些补充技术规定,其要求比API Spec 5L高。
此外,国际标准化组织ISO/TC67技术委员会也制定了管线管交货技术条件,即ISO3183-1 ISO3183-2 ISO3183-3 。
这些标准是根据管线服役条件,将钢管分为A.B.C.三类,A类为符合API Spec 5L 的钢管,B类为有韧性要求和特殊无损检验的钢管,C类为输送酸性介质或有低温要求的钢管。
俄罗斯由于大部分地区气候严寒,管线服役条件苛刻,对钢管质量要求除部分内容参照API Spec 5L,如弯曲实验.超声检测等外,关键质量指标要求较高,而且标准较多较细。
具体标准有:ГOCT20295-85《油气输送干线管道用钢制焊接钢管技术规范》.TY75-86《工作压力7.4MPa带外防腐层的直径530,720,1020,1220和1420MM直缝和螺旋缝电焊钢管技术条件》.TY1104-138100-357-02-96《工作压力7.4MPa带外防腐层螺旋缝电焊钢管技术条件》,TY14-3-1970-97《20号优质碳素钢制增强耐蚀性和抗低温的螺旋缝管电焊钢技术条件》,TY14-3P-04-94,〈北极地区输送石油天然气用直径530-1220MM直缝电焊管钢技术条件》TY322-8-21-96《直径820,920和1220MM直缝电焊管钢技术条件》等。
Серия 03系列号03Документы межотраслевого применения по вопросам промышленной безопасности иохраны недр关于工业安全和地下矿产保护的跨部门应用文件Выпуск 67第67册РУКОВОДСТВО ПО БЕЗОПАСНОСТИ «РЕКОМЕНДАЦИИ ПО УСТРОЙСТВУ И БЕЗОПАСНОЙ ЭКСПЛУАТАЦИИТЕХНОЛОГИЧЕСКИХ ТРУБОПРОВОДОВ»“工艺管道安装和安全运行建议”安全手册СОДЕРЖАНИЕ目录Приказ Федеральной службы по экологическому, технологическому и атомному надзору от 27.12.2012 № 784 «Обутверждении Руководства по безопасности «Рекомендациипо устройству и безопасной эксплуатации техологическихтрубопроводов» (6)俄联邦生态、技术和原子能监督局2012年12月27日第784号命令“关于批准“工艺管道安装和安全运行建议”安全手册” (6)I. Общие положения (7)I. 总则 (7)II. Рекомендуемая классификация трубопроводов (11)II. 推荐的管道分类 (11)III. Конструкция и материальное исполнение трубопроводов (13)III. 管道的结构和材料性能 (13)IV. Применение трубопроводной арматуры (24)IV. 管道阀件的应用 (24)V. Рекомендации по устройству трубопроводов (34)V. 管道铺设建议 (34)VI. Рекомендации по монтажу трубопроводов (61)VI. 管道安装建议 (61)VII. Требования к сварке и термической обработке (71)VII. 焊接和热处理要求 (71)VIII. Испытания и приемка смонтированных трубопроводов (87)VIII. 已安装管道的测试和验收 (87)IX. Рекомендандациипо эксплуатации трубопровода (97)IX. 管道运行建议 (97)X. Подземные трубопроводы (104)X. 地下管线 (104)XI. Выполнение ремонтно-монтажных работ (105)XI. 维修和安装工程施工 (105)Приложение № 1. Термины, определения и сокращения (111)附件1. 术语、定义和缩写词 (111)Приложение № 2. Паспорт трубопровода (118)附件2. 管道说明书 (118)Приложение № 3. Рекомендуемая классификация трубопроводов (126)附件3. 推荐的管道分类 (126)Приложение № 4. Рекомендуемые типы уплотнительнойповерхности фланцев для мягких прокладок (130)附件4. 用于软垫片的法兰密封面的推荐类型 (130)Приложение № 5. Рекомендуемые материалы для стальных трубопроводов и деталей трубопроводов (131)附件5. 推荐用于钢制管道和管件的材料 (131)Приложение № 6.Рекомендуемый регламент проведения в зимнее время пуска (остановки) или испытанийна герметичность трубопроводов, расположенных наоткрытом воздухе или в неотапливаемых помещениях иэксплуатируемых под давлением при положительных температурах (156)附件6. 在冬季,对布置在露天或未取暖的房间内及在温度为零上和带压运行的管道进行启动(停止)或气密性试验的建议规程 (156)Приложение № 7. Рекомендуемый объем входного контроля сборочных единиц и элементов трубопроводов (158)附件7. 对管道装配单位和构件进行来料检验的推荐范围 (158)Приложение № 8. Паспорт арматуры (165)附件8. 阀件说明书 (165)Приложение № 9. Рекомендуемые расстояния междуосями смежных трубопроводов и от трубопроводов достенок каналов и стен зданий, мм, не менее (170)附件9. 相邻管道轴线之间,以及管道至管沟侧壁和建筑物墙体之间的建议距离,mm,不小于 (170)Приложение № 10.Рекомендуемое минимальное расстояние по вертикали от верхних технологических трубопроводов эстакады до линий электропередачи (нижнихпроводов с учетом их провисания) (172)附件10. 由栈桥顶部的工艺管道至输电线路(下部导线,考虑其弛垂度)之间建议的最小垂直距离 (172)Приложение № 11 (173)附件11 (173)Приложение № 12. Отклонение от перпендикулярностик оси уплотнительной поверхности фланца (175)附件12. 与法兰密封面轴线的垂直度偏差 (175)Приложение № 13. Допустимое смещение внутреннихкромок при сборке стыков труб (176)附件13. 管子接头装配时内部边缘的允许位移 (176)Приложение № 14. Рекомендуемые параметры оценоккачества сварных соединений трубопроводов по результатам визуального и радиографического контроля в зависимости от объемных дефектов (включений, пор) (177)附件14. 根据目视检验和射线照相检验结果评估管道焊接接头质量的推荐参数,以体积型缺陷(夹杂物、气孔)为准 (177)Приложение № 15. Рекомендуемый объем контролясварных соединений ультразвуковым или радиографическим методом в процентах от общего числа сваренныхкаждым сварщиком соединений (179)附件15. 使用超声波法或射线照相法对焊接接头进行检验的推荐量,占每个焊工焊接的接头总数的百分比 (179)Приложение № 16. Рекомендуемая оценка качествасварных соединений трубопроводов по результатам радиографического контроля в зависимости от величины ипротяженности плоских дефектов (непровары по оси шва,несплавления и др.) (180)附件16. 根据射线照相检验结果对管道焊接接头质量进行的推荐评估,以平面型缺陷(焊缝轴线内未焊透、未熔合等等)的大小和长度为准 (180)Приложение № 17. Допустимые дефекты в сварныхшвах трубопроводов РN не более 10 МПа, выявленные приультразвуковом контроле (181)附件17. 在超声波检验时发现的PN不大于10MPa的管道焊缝中的允许缺陷 (181)Приложение № 18. Рекомендуемая оценка качествасварных соединений по твердости (182)附件18. 焊接接头硬度的推荐质量评估 (182)Приложение № 19. Допустимые размеры выборки послеудаления дефектов в сварных швах трубопровода (183)附件19. 去除管道焊缝中的缺陷后允许的取样尺寸 (183)Приложение № 20. Рекомендуемое количество контрольных сварных соединений для проведения механических испытаний и металлографических исследований (184)附件20. 用于机械试验和金相研究的检验焊接接头的推荐数量 (184)Приложение № 21. Механические свойства сварныхсоединений (185)附件21. 焊接接头的机械性能 (185)Приложение № 22. Рекомендуемая периодичность проведения ревизий трубопроводов давлением до 10 МПа (187)附件22. 对压力小于10MPa的管道进行检查的推荐周期 (187)Приложение № 23. Рекомендуемые значения недоводовтрубы при сборке труб и деталей с плоскими приварными фланцами в зависимости от номинального диаметратрубы (189)附件23. 根据管道的公称直径,在带有平焊法兰的管道和管件装配时管道不到位的推荐值 (189)I. ОБЩИЕ ПОЛОЖЕНИЯI. 总则Назначение и область применения用途和适用范围1. Руководство по безопасности «Рекомендации по устройству и безопасной эксплуатации технологических трубопроводов» (далее —Руководство)содержит общие рекомендации по обеспечению требований промышленной безопасности, предупреждению аварий, инцидентов, случаев производственного травматизма при проектировании, устройстве, изготовлении, испытаниях, монтаже, эксплуатации, экспертизе промышленной безопасности стальных трубопроводов, предназначенных для транспортирования в пределах промышленных предприятий химической, нефтехимической, нефтяной, нефтеперерабатывающей, газовой и других смежных отраслей промышленности газообразных, парообразных и жидких сред с расчетным давлением до 320 МПа, вакуумом с абсолютным давлением не ниже 665 Па (5 мм рт. ст.) при температуре среды от —196 до +700 °С, и не является нормативным правовым актом.1. “工艺管道安装和安全运行建议”安全手册(以下简称“手册”)包含确保工业安全要求、预防钢制管道在设计、铺设、制造、试验、安装、运行、工业安全鉴定时发生的工伤事故、事件、情形的一般建议,这些钢制管道拟在化工、石化、石油、炼油、天然气及其它相关行业的工业企业内运输设计压力小于320MPa、绝对压力不低于665Pa(5毫米汞柱)的真空的气体、蒸汽状和液体介质,介质温度在-196至+700°С之间,本手册不作为法规使用。
管道相关安全距离的标准研究目前,在油气管道建设中的安全保证有两种指导思想:一是控制管道自身的安全性,它的原则是严格控制管道及其构件的强度和严密性,用控制管道的强度来确保管线系统的安全,从而对周围建构筑物提供安全保证,目前欧美各国多采用这种设防原则;二是控制安全距离,如前苏联的“大型管线”设计标准,它虽对管道系统强度有一定的要求,但主要是控制管道与周围建构筑物的距离,以此对其提供安全保证。
我国管道工程初建期,管道的安全保证基本上沿用前苏联大型管线设计模式,埋地管道与居民点、工矿企业和独立建构筑物之间保持一定的安全距离。
70年代参照美国国家标准ASME B31.8,按不同地区等级采用不同的设计系数,做出相应的管道设计。
开始地区等级是以建构筑物的安全防火类别为基础,相应的划分出四类地区等级,后来是按居民密度指数来划分。
欧美国家输气管道设计采取的主要安全措施是随着公共活动的增加而降低管道应力水平,确定地区等级、并使管道设计与相应的设计系数相结合,即增加管道壁厚,以强度确保管道自身的安全,从而对管道周围建筑物提供安全保证。
下面主要从管道与建(构)筑物、管道与电力线、管道与铁路、管道平行敷设的距离等方面阐述国内外标准的差异。
1管道与地面建筑物间距1.1国内标准现状GB 50253-2003(2006年版)《输油管道工程设计规范》,输油管道参考GB 50253,同时兼顾管线自身安全和对第三方人员安全,在该设计规范第4章4.1.5节中规定了埋地输油管道同地面建(构)筑物的最小间距。
规定如下:(1)原油、C5 及C5以上成品油管道与城镇居民点或独立的人群密集的房屋的距离,不宜小于15m;(2)原油、C5 及C5以上成品油管道与飞机场、海(河)港码头、大中型水库和水工建(构)筑物、工厂的距离不宜小于20m;(3)原油、液化石油气、C5 及C5以上成品油管道与高速公路、一二及公路平行铺设时,其管道中心距公路用地范围边界不宜小于10m,三级及以下公路不宜小于5m;(4)原油、液化石油气、C5 及C5以上成品油管道与铁路平行敷设时,管道应敷设在距离铁路用地范围边线3m以外。
此资料系从百度文库和网络摘录整理排版,针对目前国内三维配管项目中常常用到的标准和不常用到的标准统统分析了一遍,希望对大家有所帮助吧。
或许做等级表和相关软件的数据库制作人员对此资料更加敏感。
应用标准体系4.1国际上常用的标准体系4.1.1德国及前苏联应用标准体系4.1.2美国应用标准体系(ANSI)4.1.3日本应用标准体系(JIS)4.1.4国际标准化组织(ISO)的应用标准体系4.1.5英国和法国应用标准体系4.2国内常用的标准体系4.2.1石化行业应用标准体系4.2.2化工行业应用标准体系4.2.3机械行业应用标准体系4.2.4国家应用标准体系4.2.5 压力管道应用标准体系配伍应用标准体系目前,大多数压力管道及其元件都进行了系列化,并有相应的应用标准作支持。
因此压力管道材料设计时首先要考虑的问题就是压力管道及其元件标准系列的选用。
应用标准体系。
一个管系(路)中各元件所用系列标准的集合。
这些标准应包括管子系列标准、管件系列标准、法兰及其连接件系列标准、阀门标准等。
这些标准通过一定的规则在一个管系中得到应用,它们之间相互衔接、相互配合,从而确定了管道及其元件的基本参数。
这些标准中尤其以管子标准和法兰标准最具代表性,它们是其它应用标准的基础。
下面以管子标准和法兰标准为主,介绍应用标准。
目前,世界上各国应用的标准体系有很多,不同的国家不同的行业有不同的应用标准和标准体系,它们之间有些相差很多,无法配套使用和互换因而给使用者带来不少麻烦。
因此,压力管道设计的第一步就是选择应用标准体系,并作为设计的统一规定,以免各相关专业因采用不能互换的其它标准体系而导致错误。
世界各国应用标准大体上分为两大类:◆管子----即钢管外径系列分为国际通用系列(大外径系列)英制管;国内常用系列(小外径系列)公制管(或米制管)◆法兰:欧式法兰和美式法兰压力等级:PN 0.1 0.25 0.6 1.0 1.6 2.5 4.0 6.3 10.0 16.0 25.0 40.0 MPa欧式法兰(DIN)压力等级:PN 2.0 5.0 6.8 10.0 15.0 25.0 42.0 MPa美式法兰(ANSI)CL 150 300 400 600 900 1500 2500 Psi由此可以看出,无论是法兰还是管子,上述两个系列或两个体系是不能混合使用的。
干线管道征地标准前言1、修改单位哈萨克斯坦国家石油运输科学研究设计院2、登记单位哈萨克斯坦共和国工业贸易部建设委员会技术标准和新工艺局3、接收和使用根据哈萨克斯坦共和国工业贸易部建设委员会2003年7月7日270号令4、代替CH 452-735、制定人员达拉索夫Г.А.、玛戈玛耶娃М.М、宫土巴耶娃А.Ж.未经哈萨克斯坦共和国建筑、城市建设和建设全权委托机构的许可,禁止完全或部分复制、限量及扩散本国家标准的正式版目录序号页码1、应用范围 52、参考标准文件 53、定义 64、代号和缩略语 65、总体要求 6建设标准___________________________________________________干线管道征地标准___________________________________________________ LAND ALLOCATION NORMS FOR MAIN PIPELINES___________________________________________________贯彻日期:2003年8月1日1、应用范围1.1、本标准包括干线管道设计、建设、改造和改装时所必须的要求,规定了地下干线管道(天然气管道、石油管道和石油产品管道)的用地宽度标准及工程管线分布地段的尺寸。
1.2、不论任何所有制形式,参与设计、建设和使用干线管道的国家管理和监督机构、组织,都必须遵守该标准。
1.3、本标准不适用于油田管道及海洋水域内干线管道的建设。
在此情况下,应遵守按照规定程序批准的部门标准文件的要求,在没有这类部门标准文件的情况下——则应遵守设计文件中指明的工程施工及验收的特殊要求。
注:—在路基地表面铺设(地面铺设)或在支架上铺设(架空铺设)干线管道(天然气管道、石油管道和石油产品管道)时,所用地带的宽度由按照规定程序批准的设计书确定。
—应按照设计书所规定的施工顺序划定干线石油管道所用的地带。
哈萨克斯坦(以下简称哈国)PKOP 奇姆肯特炼油厂现代化改造工程(以下简称PK 工程)是国家“一带一路”上的重点工程,也是中石油集团公司海外承揽规模最大的炼油项目。
在哈国境内从事炼油装置的施工建设,地下管道工程一直以来是一大难点和特色,同时也是哈国管理最为成熟和精细的一个专业。
PK 工程地下管道种类多,布置密集,形式复杂,数量巨大。
地下管道施工主要执行哈国规范,但是哈国规范与国内规范有很大的区别。
通过PK 工程的地下管道施工掌握了哈国地下管道施工的要点,并与国内规范进行了对比,总结其成功经验及不同点。
1设计材质不同PK 工程属于国际化的大工程,采用国际化标准进行设计,同时融合哈、俄两国标准。
通过与国内某新建炼油装置的地下管道材质进行对比,发现中哈两国装置地下管道设计差异较大,具体对比见表1。
表1中哈装置各类管道材料对比2哈国地下管道安装要点及不同点2.1地下排水管道排水管道是带有坡度的管道,其安装的要点是坡向沿着介质流向,排水管道的入井口标高高于井内出水管标高,水封立管的下端一定要比井出水管的管底低。
哈国地下排水管道均采用俄标铸铁管,铸铁管安装连接口处采用橡胶圈进行密封;而国内的排水管道为防止接口渗漏,一般都设计为钢管焊接连接。
哈国水封井采用是铸铁三通,而且铸铁三通与井壁间通过钢带中哈地下管道施工技术及标准对比毛庆兴1王俊2王怀强11.中国石油天然气第七建设有限公司山东青岛266061;2.神华工程技术有限公司北京100011摘要通过对哈萨克斯坦PKOP 奇姆肯特炼油厂现代化改造工程地下管道施工的要点介绍,对中哈两国的施工标准进行了对比,并总结了各类管道施工的不同点。
哈国通过坐标和标高的测量很好地控制了地下管道的安装精度,并且绘制出测量图,有利于后期地下工程的开挖控制。
对哈国不同于国内的特有做法和质量控制效果好的做法进行了说明,为以后在哈国施工的企业提供借鉴,同时也利于中国国内地下管道施工的学习。
ГОСТ Р 51164-98俄罗斯联邦国家标准干线钢管线防腐主要要求俄罗斯国家标准莫斯科前言1全俄管道和ТЭК工程建设科研所工程科研公司(АО ВНИИСТ),全俄天然气和天然气技术科研所(ВНИИГАЗ) 和能源运输问题研究所共同制订.俄罗斯联邦燃料和能源部提交.2俄罗斯国家标准部1998年4月23日№ 144决议批准生效.3第一次实施.俄罗斯联邦国家标准钢制干线管线防腐主要要求Steel pipe mains. General requirements for corrosion protection实施时间1999-07-011 使用范围本标准规定保护地下、水下、地面和架空铺设地运输天然气、石油、石油产品地钢制干线管线(低碳低合金钢,等级低于К60)、干线支管和压气站、配气站、转输站和泵站管线,以及油库、油气田首站设施(包括储罐和钻井套管)、地下储气罐、石油和天然气成套预处理装置管线、与干线管线连接地火电站管线,以及其他相似地工业场地内地管线地外表面不受地下和空气腐蚀地基本要求.标准不适用于热力管线和铺设在居民点、地沟、建筑物、多年冻土中地管线和没有铺设在水库底部地管线.2 参考标准本标准参考了下列标准:ГОСТ 9.032-74 ЕСЗКС. 油漆层.类型.技术要求和代号.ГОСТ 9.048-89 ЕСЗКС. 工程制品.抗霉菌性实验室实验方法.ГОСТ 9.049-91 ЕСЗКС. 聚合材料和它们地组分.抗霉菌性实验室实验方法.ГОСТ 9.050-75 ЕСЗКС. 油漆层.抗霉菌性实验室实验方法.ГОСТ 9.052-88 ЕСЗКС. 润滑油和润滑脂.抗霉菌性实验室实验方法.ГОСТ 9.104-79 ЕСЗКС. 油漆层.使用条件.ГОСТ 9.602-89 ЕСЗКС. 地下设施.防腐主要要求.ГОСТ12.0.004-90 ССБТ. 安全生产培训机构.总则.ГОСТ12.1.004-91 ССБТ. 消防安全.总则.ГОСТ12.1.005-88 ССБТ.作业区空气主要卫生保健要求.ГОСТ12.1.008-76 ССБТ. 生物安全.基本要求.ГОСТ12.1.012-90 ССБТ. 振动安全.主要要求.ГОСТ12.2.003-91 ССБТ. 生产设备.主要安全要求.ГОСТ12.2.004-75 ССБТ. 管线施工专用机器和机械.安全要求.ГОСТ12.2.007.0-75 ССБТ. 电工制品.主要安全要求.ГОСТ12.3.005-75 (СТ СЭВ 3951-82) ССБТ. 刷漆作业.主要安全要求.ГОСТ12.3.008-75 ССБТ. 制造金属地和非金属无机覆盖物.ГОСТ12.3.016-87 ССБТ.施工.防腐作业.安全要求.ГОСТ12.4.011-89 (СТ СЭВ 1086-88) ССБТ. 劳动保护设备.主要要求和分类.ГОСТ 112-78玻璃气象温度计,技术条件.ГОСТ 411-77橡胶和胶水.剥落时与金属地粘结强度确定方法.ГОСТ 427-75金属量尺.技术条件.ГОСТ 1759.1-82 (СТ СЭВ 2651-80)螺栓,螺钉,双头螺栓,螺母和木螺钉.公差.尺寸、形状偏差和表面布置检查方法.ГОСТ 2678-94屋面卷材和防水卷材.实验方法.ГОСТ 4233-77氯化钠.技术条件.ГОСТ 4650-80 (СТ СЭВ 1692-79)塑料.湿饱和度确定方法.ГОСТ 6323-79 (СТ СЭВ 578-87)带聚氯乙稀绝缘层地电线.技术条件.ГОСТ 6433.2-71 (СТ СЭВ 2411-80)硬质电气绝缘材料.直流电压下地电阻确定方法.ГОСТ 6709-72蒸馏水.技术条件.ГОСТ 7871-75铝或铝合金电极.技术条件.ГОСТ 9070-75确定油漆材料条件粘度地粘度计.技术条件.ГОСТ 10821-75热电变流器用地铂丝和铂铑合金.技术条件.ГОСТ 11262-80 (СТ СЭВ 1199-78)塑料.拉力实验方法.ГОСТ 12652-74电工玻璃夹布塑料板.技术条件.ГОСТ 13073-77 (СТ СЭВ 4821-84)锌丝.技术条件.ГОСТ 13518-68塑料.压力作用下聚乙烯抗裂稳定性确定方法.ГОСТ 14236-81 (СТ СЭВ 1490-79)聚合薄膜.拉力实验方法.ГОСТ 14254-96 (МЭК 529-89)电工制品.外皮.防护等级.代码.实验方法.ГОСТ 14759-69胶水.错动时强度确定方法.ГОСТ 15140-78油漆材料.粘接性确定方法.ГОСТ 15150-69 (СТ СЭВ 458-77, СТ СЭВ 460-77, СТ СЭВ 991-78, СТ СЭВ 6136-87) 机器,仪表和其他工程制品.不同气候地区地型号.等级,受外部环境气候因素作用时地使用、储存和运输条件.ГОСТ 16336-77电缆工业用聚乙烯复合材料.技术条件.ГОСТ 16337-77高压聚乙烯.技术条件.ГОСТ 16783-71塑料.压挤放置在回路中地样品时地脆性温度确定方法.ГОСТ 16842-82工业电子干扰.工业电子干扰源确定方法.ГОСТ 17299-78工业乙醇.技术条件.ГОСТ 17792-72二级样品氯化银饱和参考电极ГОСТ18299-72油漆材料.压力作用下强度极限、断裂时相对延展率和弹性模量确定方法.ГОСТ 18300-87工业精馏乙醇.技术条件.ГОСТ 18599-83聚乙烯压力管.技术条件.ГОСТ 22042-76双头螺栓,用于有光滑表面地零件.精度等级В.结构和尺寸.ГОСТ 22261-94电力值和磁性值测量设备.主要技术条件.ГОСТ23511- 79在住宅中使用地或与电网连接地电工设备产生地工业电子干扰.规范和测量方法.ГОСТ 23932-90实验室玻璃器皿和设备.主要技术条件.ГОСТ 25336-82实验室玻璃器皿和设备.型号、主要参数和尺寸.3 总则3.1设计、施工、安装、改造、使用和修理管线时应满足本标准地要求,同时本标准地要求是制订管线具体防腐类型标准文件(НД)地基础,该标准文件经俄罗斯国家技术监督局同意,并按照规定地程序批准.3.2管线防腐应保证管线整个使用期间安全工作.3.3除了架空铺设外,在所有地铺设方法中,管线应当采用保护防腐层和电化学保护设备进行综合防腐保护,不管土壤地腐蚀性如何.3.4管线架空铺设时,根据金属和非金属防腐层标准文件,采用这些覆盖物保护管线不受空气腐蚀.3.5架空铺设地管段应与支架绝缘.正常条件下,每个支架上地绝缘层地总电阻应大于10万欧姆.3.6使用期间干线管线地管壁温度低于268 К (零下5 °С),如果没有直流或交流电源(50赫兹)杂散电流地负面作用,不进行电化学保护.如果在施工阶段管壁或土壤地温度超过规定地温度,按照标准文件,在开始填土到使用工艺状态稳定地期间内,应对管线进行临时电化学保护..3.7在油气田工程中,在可行性报告地条件下,考虑到土壤地腐蚀性和工程安全使用寿命以及不存在生态破坏时,可以使用电化学保护和(或者)防腐层防腐.钻井套管只允许使用电化学保护装置进行防腐.3.8在保护方案中确定了管线电化学保护装置和防腐层地型号、结构和材料.保护方案与新管线或改建管线方案同时制订.在方案中应考虑到可能出现地管线腐蚀情况变化.3.8.1长度超过100公里地管线防腐保护方案应在专业机构进行鉴定,鉴定其是否符合国家标准地要求.3.9每个重新建造地管线应具有符合国家标准和其他标准文件防腐保护质量证明书.对于使用中地管线,进行综合调查后可以发给相关证明书.相关证明书由国家登记表中列出地证明机构颁发.3.10目地是确定管线腐蚀情况和防腐情况地管线综合调查由有权完成这些工作地机构,按照本标准地要求定期进行.设计方案中规定了对建设中地管线进行综合调查和防腐保护诊断地费用.3.11按照ГОСТ 9.602地要求,在管线上可以使用绝缘接头(法兰、联结器等).使用绝缘接头时,必须采取措施,防止电化学保护对管线电绝缘部分和与绝缘接头有金属接触点地设施产生有害地影响.3.12方案地技术决定、管线成套防腐保护装置地建设和使用不应该对周围环境产生有害地影响.4 对防腐层地要求4.1地下、水下(在水底)和地面(在地基上)铺设管线时,表1中列出管线防腐层地结构取决于防腐层地材料种类和喷涂条件.表1-建造地和改建地管线防腐层结构4.2 根据管线地直径和具体使用条件,采用两种类型地防腐层:强化型和标准型.对强化型防腐层地要求在表2中列出,标准型在表3中列出.表 2 -对强化型防腐层地要求表 3 –对标准型防腐层地要求强化型防腐层应用于直径820毫M或以上地管线上,不管铺设条件如何,以及铺设在有较高腐蚀危险地区地任意直径地管线上:在国家任何地区地盐渍土壤中(盐碱地、碱土,盐土等);在沼泽、浸水区、黑土区和灌溉土壤中,以及在未来灌溉地区域,水下穿越河滩地,以及穿越铁路和公路,符合标准文件地穿越工程地两侧区域;在工业和日常生活排水沟、垃圾场地段;在直流电源杂散电流区域;在运输地产品温度超过303 К(30 °С)地管段;在压气站、配气站和泵站场地内,以及石油和天然气综合制备装置区域内,符合标准文件地这些装置地两侧区域;按照标准文件使用出厂涂层或仓储涂层地穿越不同管线地地点,包括穿越处两侧350M地范围内;铺设在与河流、水渠、湖泊、水库,以及居民点和工业企业边界地距离符合标准文件地区域内地输油管线,石油产品管线;运输液化烃和氨地管线.其他情况下使用标准型保护防腐层对于直径大于和等于530毫M地浇注混凝土管线应使用两层或三层聚合防腐层和仓储或出厂热收缩材料涂层(不管铺设和使用条件如何).对于直径小于530毫M地管线使用聚合带防腐层,仓储或出厂磷酸铬防腐涂层(比如:«Фанкор-40»)4.3管线(除了架空铺设地)防腐保护依靠下列方法实现:-按照相关地标准文件,在出厂条件和仓储条件下地聚合材料涂层(聚乙烯、热收缩和热凝聚合物);-按照相关地标准文件,在出厂或仓储条件下,喷涂地热收缩材料、聚合胶带、沥青和沥青树脂胶粘剂防腐层;-在出厂条件下,用灰浆或粉末地形式涂上地玻璃搪瓷防腐层.允许使用防腐层(底漆、绝缘层和面层材料),标准文件规定这些防腐层和材料符合本标准地要求.4.4允许使用下列防腐层:-直径小于820毫M地管线上使用聚合胶带防腐层;-直径小于820毫M地管线上使用沥青防腐层;-直径小于530毫M地管线上使用玻璃搪瓷防腐层.修理折旧率超过50%地管线时,允许使用与以前类似地防腐层,其中包括聚合胶带防腐层.4.5防腐层和成套材料应在标准文件对这些材料和防腐层规定地温度范围内严格使用.此时,这些防腐层地最大许可温度应不超过表1中列出地温度.4.6阀门件和异型阀门绝缘层,以及有出厂或仓储绝缘层地管线焊接接头绝缘层地性能应符合管线地绝缘层.阴极装置排流器、保护装置、连接电线和检测站连接位置地绝缘层,以及修复受损部分地绝缘层应按照标准文件并参照本标准地要求进行.4.7架空铺设地管线应使用铝制、锌、油漆、玻璃搪瓷防腐层或粘稠润滑脂、或其他抗大气作用防腐层保护.按照标准文件,根据管线使用和铺设条件选择防腐层.4.按照当防腐层整个厚度上地电压为1千伏电压时,没有击穿地条件确定油漆防腐层地密实性.4.9铝制防腐层(ГОСТ6132和ГОСТ7871)和锌防腐层(ГОСТ13073)地厚度不少于0.25毫M.4.10有任意种类防腐层,铺设在公路和铁路下面、水下穿越工程、以及多石土壤中地管线,除了保护面层外,应按照标准文件使用防腐材料制成地坚硬衬里,支撑或固定件,保证防腐层不受到机械损伤.4.10.1不允许管子金属表面与套管直接接触.5 对电化学保护地要求5.1所有管线(除了架空铺设地管线),不管使用条件如何,必须有电化学保护.在整个使用期间,在管线全长(和管线整个表面),电化学保护应保证管线连续阴极极化,使管线上地电位值(与绝对值相比)不低于最小值和不高于最大值.保护电位地最大值和最小值取决于管线地使用和铺设条件,这些值在表4和5中列出.在所有重新建造地和改建地管线上,应保证只有极化电位(没有欧姆分量地电位).进行综合检查(3.9)和后续改建之前,允许检查有欧姆分量地电位保护.表4 –最小保护电位.表5–最大保护电位5.2进行定期检修作业时,每季度中只允许中断一次电化学保护系统地每个装置地运行(80小时以内).进行实验和研究工作时,电化学保护装置累计中断时间不超过10天.5.3对于穿越处和中低腐蚀性土壤中(ГОСТ9.602)地钻井套管,工业管线和套管,最小极化保护电位可以高于-0.85伏(有欧姆分量时为-0.90伏),在保证正常使用期条件下,应根据标准文件使用可行性报告和专业机构地结论确定.对于绝缘电阻小于200欧姆.平方M、且位于中低腐蚀性土壤中地工业管线,在可行性报告中,根据标准文件和俄罗斯国家技术监督局专家作为保护准则,可以使用100毫伏地极化电位阴极偏压(偏极化作用)或300毫伏地《管子-地面》电位差偏压(有欧姆分量地电位).5.4应为管线整体设计管线防腐电化学保护,管线确定了使用期间地下列参数(不少于10年):对于阴极保护装置-阴极站出口(变流器)地保护电流和电压强度,以及阳极接地电阻;对于保护装置-保护电流强度和保护装置电阻;对于排流器保护装置-排流电流强度和排流电路电阻.5.5方案规定地管线电化学保护设施应包括管段铺设和回填之后一个月之内在杂散电流地区地工作,在其他情况下,在管段铺设和回填之后三个月之内.如果方案规定了更晚地电化学保护装置施工结束期和投用期,那么按照标准文件地要求应该设计临时地电化学保护装置,使用期限符合条规定地期限.5.6整个工程地整体电化学防腐系统应在管线投用前建成并投用.将天然气、水、石油、石油产品供应分配系统和支管连接到干线管线上时,连接位置上这些系统地保护电位应低于(与绝对值相比)干线管线上地电位.5.7设计重新建造管线地电化学防腐保护装置时,应考虑到使用中地连接管线地现有电化学保护装置和沿设计管线线路地建造地未来地下金属设施(5年内).5.8没有管段电化学保护装置和损伤腐蚀(超过管壁厚度10%)时,最小保护电位比5.1条中列出地数值低0.05伏.5.9为了提高有较高腐蚀危险性地带(年腐蚀速度大于0.3毫M,微生物腐蚀,压力作用下腐蚀龟裂)地电化学保护效率,按照标准文件规定采用补充措施.5.10对阴极保护地要求5.10.1阴极保护系统包括几个阴极保护装置,每个装置由下列安装件组成:电源、阴极站(变流器)、阳极接地、与电路连接地直流线路,必要时,还包括可调电阻、分流器、极化元件、保护参数调节和远程控制组件.5.10.2在阴极保护装置中,可以使用阴极站或其他符合附录Ж要求地外部保护电流电源.5.10.3在阴极保护装置中,使用集中地、分配地、深层地和延伸阳极接地.为了降低阳极接地电解熔解和它们地电阻,按照标准文件使用焦炭粉或其他材料.5.10.4无论新建管线和改建管线地使用条件如何,阳极接地装置(包括直流线路和接触件)地使用期不少于10年.5.10.5在专业机构认可并经俄罗斯环境国家委员会和俄罗斯卫生保健-流行病监督国家委员会地同意,可以使用废弃钻井地套管作为阳极接地.5.10.6阳极接地电极接触件和导电电线应具备1大于00兆欧电阻地绝缘层,在绝缘层1毫M厚度上经受5千伏以上电压地击穿实验.5.10.7应采用有双层绝缘层地铜电缆连接排流点与阴极站负极,电缆截面积大于35毫M.5.11对护屏地要求5.11.1护屏系统包括护屏装置(护屏装置由单个地集中或延伸保护器或保护器组组成)、连接电线(电缆)、以及检测站组成,必要时还包括可调电阻、分流器和(或者)极化元件.5.11.2保护器应该用镁、铝或锌合金制造,使用期间具有比被保护管线电位更低地稳定电极电位.使用期间保护器电极电位不应该超过:100 мВ –对于镁合金;50 мВ–对于铝合金;30 мВ–对于锌合金.与管线断开时,保护器不应该自钝化,接通时应恢复以前地保护电流强度.5.11.3集中保护器应用在单位电阻不超过50欧姆.M地土壤中.在对周围环境没有有害影响和可行性研究条件下,在保护器安装地点可以人工降低土壤单位电阻.5.11.4延长保护器应安装在单位电阻小于500欧姆.M地土壤中.5.11.5保护器组件装置,单个地和延伸地保护器应通过检测站与被保护管线连接.5.12对排流保护装置地要求5.12.1排流保护装置系统包括排流保护装置(由一个以上地排流器组成),连接电线(电缆),检测站组成,必要时还包括连接电线、可调电阻和极化组件.5.12.2借助极化电动排流器,包括带排流电流保护电路电阻控制地自动极化排流器,以及带保护电位支持地(可能地情况下,有强化电动排流器)自动阴极站,在直流电源杂散电流作用区实现管线阴极极化(不间断供应需要地保护电位).按照标准文件,在可行性研究条件下可以使用自动保护装置.5.12.3按照ГОСТ9.602,排流装置应仅通过回路馈电线和线路扼流圈连接到轨道回路上.5.12.4按照ГОСТ9.602地要求,鉴定直流和交流电源杂散电流对地下设施地腐蚀影响和采取保护措施.5.12.5位于电气化铁路一个牵引分站作用区排流保护所有装置地小时平均电流不应该超过该分站总小时平均电流地20%.5.12.6如果杂散电流电源地工况发生变化,必须检查电源作用区地管线,必要时,根据标准文件,制订和实施电化学保护装置改造措施.5.13对联合电化学保护装置地要求5.13.1联合电化学保护装置系统包括阴极和(或者)排流保护装置,连接电线、可调电阻和阀门,这些装置地协同工作保证消除对相邻设施地有害影响.5.13.2ГОСТ 9.602规定了有害影响地鉴定准则.5.13.3当通过改变排流点位置、阳极接地和它们地结构,安装连接电线和绝缘接头和其他措施消除有害影响时,可以在几个管线或一个管线单独管段上使用单独电化学保护装置.5.13.4所有连接电线应该可以从检测站上地连接电缆接头拆卸下来.5.13.5当每个管线上地电位处于表4和表5中规定地保护电位范围内,在电化学保护装置之间地任意电位差下,可以使用联合地或单个地电化学保护装置.5.13.6在联合保护管线上地排流点,不允许使用自动阴极保护站,强制平衡电位.5.14对位于高腐蚀危险条件中地干线管线地电化学保护装置地要求,在附录И中列出.6 对防腐情况检查地要求6.1对检测站地要求6.1.1重新建造地和改建地管线上地应满足下列要求:-在管线线路上地检测站应涂上容易识别地颜色;-具有标记和管线线路定位(精度为±10M),进行管线线路飞行检查时,可以从飞机场或直升机场看见这些标志;-在标准文件确定地单独地点,有专用通道,ПЭЛ ЭХЗ型电化学保护装置移动实验室和其他设备地运输工具可以进入检测站.;- 检测站应禁止无关人员接近控制盘.6.1.2按照ГОСТ 9.602,用来检测极化电位地检测站应带接线柱地控制盘,接线柱用来连接管线地阴极引线和和固定电极和辅助电极地电线(电缆).在控制盘上应预先安装整流设备,用来切断管线-辅助电极电路.6.1.3用来测量《管子-地面》电位差地检测站应具有带接线柱地控制盘,接线柱用来连接从管子引出地测量电线(阴极引线).6.1.4用来检查保护器、阳极接地和连接电线工作地检测站应具有两个以上地接线柱,用来连接测量目标和电流强度测量分路.6.1.5用来检查几个管线地联合电化学保护装置地检测站应具有控制盘,用来连接阴极引线、每根管线地参比电极和辅助电极地导线,以及切断管线-辅助电极电路地整流设备.6.1.6检查诊断站应具有带接线柱地控制盘,接线柱用来连接测量管线电流地检查导线、固定参比电极地导线、腐蚀传感器和氢气析出传感器.检查诊断站安装在腐蚀危险地段.根据标准文件确定这些站地地点和装备.6.1.7用来检查管线和套管保护地检测站应具有带接线柱地控制盘:两个接线柱,用来连接与套管两端相连地导线,目地是检查电位;两个接线柱,用来连接与管线相连地导线,目地是测量管线电流.6.1.8用来检查电化学保护地检测站(在重建地和改建地管线上),应具有距离标志,标志用来管内探伤资料定位.该检测站应具有两个辅助电极,一个电极用于检查极化电位,另一个电极用于确定没有保护时地腐蚀速度.根据标准文件确定辅助电极地参数和它们地沿线布置.6.1.9检测站安装在管线轴线上面,检查导线与管线连接点距轴线地偏差不超过0.2M.如果铺设管线地地段,不方便检测站地使用,最后地检测站可以安装在较近地便于使用地地点,但距检查导线与管线连接点地距离不超过50M.这些检测站应具有特别地标记.6.1.10在干线管线上,检测站安装在:-在每公里(当管线穿越杂散电流作用区或高腐蚀土壤时,间距不超过500M);-离电化学保护装置排流点(不包括单个地保护器)和连接电线地距离为管线直径地3倍;-在阀门场地上;-水下穿越和交通线穿越处(两侧);-管线与其他金属设施交叉处;-在耕作和开垦区:道路、灌溉渠、地沟和其他天然或人工设施附近.在管线多线系统中,检测站安装在一个横断面地每个管线上.6.1.11在地下压缩机站和泵站中,检测站电缆连接到:-长度超过50M地管线上,管线之间地间距不超过50M;-离电化学保护装置排流点地距离超过管线直径3倍;-穿越管线地地点;-当管段长度超过50M时,在转向点上;-间距50M以下地管线与集中阳极接地地接近点上;-至少在容器外表面周长4个径对点上;如果保证管线与电触头地可能性,在上述位置可以不安装检测站(除了阴极保护装置、保护装置和排流保护装置地排流点).6.1.12为了检查工业管线成套保护状况,检测站(6.1.10条补充要求)应连接在距离井口50M处..6.1.13在检查电线与管线连接点,应保证非极化参比电极与地表定位点土壤接触地可能性.6.2地下、水中和地面铺设建设地和改建地管线上地保护层检查要求6.2.1地下、水中(在水底)和地面(在管墩上)铺设管线时,应检查管线保护层:按照表1中地标准和指标,以及表2和表3中地下列指标:搭接处地粘接性(表2第9条),对钢材地粘接性(表2第4条和表3第4条),抗冲击强度(表2第6条),密实性(表2第17条和表2第9条)涂刷保护层后;按照表2和3地标准,按照密实性(用火花探伤仪)和相关标准文件地补充指标和标准铺设和回填后.使用破坏检查法时,保护层应恢复并重新检查电介质密实性.6.2.2如果保护层某个质量指标德实验结果令人不满意,进行检查点或样品双倍数量地重复实验.6.2.3在出厂、仓储和线路条件下涂刷任意保护层时,应肉眼检查保护层状况(不允许出现鼓泡、波纹和褶皱).6.2.4涂刷聚合带和面层时应检查相邻圈地搭接宽度,单层保护层中,搭接宽度应不小于3厘M,双层保护层中,涂刷圈应盖住已铺好圈宽度地50%+3厘M.6.2.5借助МТ-10НЦ 和МТ-50НЦ型测厚仪,采用无损检测法检查保护层地厚度.使用ИТСП-1型测厚仪检查粘稠润滑脂保护层地厚度.进行保护层厚度检查:进行出厂或仓储涂刷时,在管线10%地部分和有疑问地部位,在3个以上地截面(沿管线长度)和每个截面地4个点上进行检查;线路涂刷时,在每100M长管线上测量次数不少于1次,在有疑问地部位和每个截面地4个点上进行检查.6.2.6按照附录Б中地方法和标准文件中规定地关于出厂或仓储条件下地绝缘管线地方法检查涂刷厚地管线保护层地粘接性:线路涂刷时,每隔500M,和在有疑问地部位进行检查;出厂或仓储涂刷时,管线地2%和在有疑问地部位进行检查.可以采用下面地方法检查胶粘剂层地粘接性:切开角度约为60°和边长3-5厘M地三角口,然后用刀从切口顶部除去保护层.如果切开地三角口不分层,那么认为保护层地粘接性是令人满意地,施加作用力后,可以沿观察到切开地三角口下面地管子整个面积观察到分层地内聚性..6.2.7在出厂和仓储条件下,按照附录А中地方法,检查管子2%面积保护层,以及有疑问地位置地冲击强度,在线路条件下,检查有疑问地位置地冲击强度.6.2.8管线铺设在管沟之前,按照表2第17条和表3第9条地要求,用火花探伤仪管线已安装保护层地密实性.设施全部表面应进行检查.。
管道施工规范对材料光谱分析的要求SH 3501-2011 石油化工有毒、可燃介质钢制管道工程施工及验收规范5.1.6 铬钼合金钢、含镍低温钢、含钼奥氏体不锈钢管道组成件应按本规范规定采用光谱分析或其他方法对主要合金元素含量进行验证性检验,并做好记录和标志。
5.1.9 凡按规定作抽样检查、检验的样品中,若有一件不合格,应按原规定数的两倍抽检,若仍有不合格,则该批管道组成件和支承件不得验收,或对该批产品逐件验收检查。
但规定作合金元素验证性检验的管道组成件如第一次抽检不合格,则该批管道组成件不得验收。
验收合格的管道组成件应作好标识。
5.2.6 本规范第5.1.6条规定的管道组成件中的管子、管件的主要合金元素含量验证性检验,每批(同炉批号、同材质、同规格)抽检10%,且不少于1件。
5.3.6 本规定第5.1.6条规定的管道组成件中的阀门,应对其阀体、阀盖及其连接螺栓的主要合金元素含量验证性检验,每批(同炉批号、同材质、同规格)抽检10%,且不少于1件。
5.4.3本规定第5.1.6条规定的管道组成件中的法兰、法兰盖和翻边短节,应对其主要合金元素含量验证性检验,每批抽检10%,且不少于1件。
5.5.4 下列管道用的铬钼合金钢螺栓和螺母应采用光谱分析对其主要合金元素含量验证性检验,每批抽检5%,且不少于10件。
a)设计压力等于或大于10MPa;b)设计温度低于-29℃;c)设计温度等于或大于400℃。
5.5.5 设计压力等于或大于10MPa管道用的铬钼合金钢螺栓和螺母应进行硬度检验,每批抽检不少于2件,硬度值应在设计文件或产品标准规定的范围内。
若有不合格,应按本规范第5.1.9条的规定处理。
6.2.33 管道系统安装完毕后应检查材质标志。
铬钼合金钢、含镍低温钢、含钼奥氏体不锈钢发现无标志时应采用光谱分析检查。
GB50235-2010 工业金属管道工程施工规范4.1.4 铬钼合金钢、含镍低温钢、不锈钢、镍及镍合金、钛及钛合金材料的管道组成件,应采用光谱分析或其他方法对材质进行复查,并应做好标识。
(消防安全管理)哈萨克斯坦国消防安全规范的基本要求(中文稿)哈萨克斯坦共和国紧急事务管理局1999年7月9日第19号令1999年于司法部注册,编号No.866关于确认哈萨克斯坦共和国消防安全细则;主要要求;(哈萨克斯坦共和国消防安全细则08-97)为了避免生产经营设施和住宅发生火灾,降低火灾带来的物质损失,并考虑到出现的新型经营形式,同时为使哈萨克斯坦共和国《关于消防安全》和《关于用户权益保护》的法律法规得到贯彻执行,哈萨克斯坦共和国紧急事务管理局通过以下决议:1.明确哈萨克斯坦共和国消防安全细则;主要要求;哈萨克斯坦共和国消防安全细则08-97。
2.该细则于哈萨克斯坦共和国司法部注册之日起开始生效。
3.承认哈萨克斯坦共和国紧急事务委员会1998年10月20日第16号令失去效力。
主席哈萨克斯坦共和国消防安全细则主要要求;哈萨克斯坦共和国消防安全细则08-971.总则1)该细则符合哈萨克斯坦共和国《关于消防安全》的法律规定,规定了哈萨克斯坦共和国境内消防安全的总体要求,是所有国家权力机构、地方代表机关和执行机构以及地方自治机构、企业、机关部门、组织*、某些法人(与所有制形式、经营方式和部门性质无关)、上述组织机构的负责人、哈萨克斯坦共和国的公民、外国公民及无国籍人员必须遵守执行的规定。
注:*下文中出现的“企业”和“组织”两个词,将使用“企业”一个词语来表达。
犯有违反(包括不履行、不当履行或规避履行)消防安全细则要求的人员,应承担刑事、行政或其它现行法律规定的相关责任。
2)依据本细则保证消防安全的同时,应当遵守哈萨克斯坦共和国《关于消防安全》法律和消防安全规范法规规定的要求,其中包括:消防安全标准、规范和规则,细则,一些包含消防安全要求的法律文件。
部门和专业性的消防安全规定,以及消防安全领域的其它依据法定程序制定的规范性文件,都不应削弱本细则的要求。
3)在每一个工程项目当中都应保证火灾发生时人们自身安全,并且应制订针对每处火灾易发段和火灾隐患段(修配厂、车间等类似场所)的消防安全措施细则,细则应与地方消防部门协调一致,并由工程项目领导人员进行确认。
山 东 化 工 收稿日期:2018-05-19作者简介:王志中(1969—),高级工程师,主要从事石油化工装置的管道设计工作。
关于哈萨克斯坦催化裂化装置管道设计的思考王志中(中石化广州工程有限公司,广东广州 510620)摘要:随着炼油装置规模日益大型化,装置的平面布置对节约装置占地、减少能耗、安全平稳运行等方面显得越来越重要。
本文结合哈萨克斯坦三期催化裂化装置与国内装置在管道设计方面不同点的对比分析,指出设计中的优点和不足之处,为今后同类国外装置的管道设计提供经验和参考。
关键词:催化裂化装置;平面布置;管道布置;优化中图分类号:TE65 文献标识码:B 文章编号:1008-021X(2018)14-0144-03ReflectionsonthePipingDesignofCatalyticCrackingUnitinKazakhstanWangZhizhong(SINOPECGuangzhouEngineeringCo.,Ltd.,Guangzhou 510620,China)Abstract:Withtheincreasingscaleoftheoilrefiningequipment,theplanearrangementofthedeviceisbecomingmoreandmoreimportantintheareaofsavingunit,reducingenergyconsumptionandrunningsafelyandsmoothly.Basedonthethreeperiodsofcatalyticcrackingunitandkazakhstandomesticdevicecontrastiveanalysisofthedifferencesintermsofpipingdesign,pointedouttheadvantagesanddisadvantagesinthedesign,pipingdesignforthefuturesimilarforeigndevicesprovideexperienceandreference.Keywords:catalyticcrackingunit;planelayout;pipinglayout;optimization 催化裂化装置是最复杂的炼油工艺装置之一,主要包括:反应再生部分、分馏部分、吸收稳定部分、主风机部分、余热锅炉部分等。
干线管道征地标准前言1、修改单位哈萨克斯坦国家石油运输科学研究设计院2、登记单位哈萨克斯坦共和国工业贸易部建设委员会技术标准和新工艺局3、接收和使用根据哈萨克斯坦共和国工业贸易部建设委员会2003年7月7日270号令4、代替CH 452-735、制定人员达拉索夫Г.А.、玛戈玛耶娃М.М、宫土巴耶娃А.Ж.未经哈萨克斯坦共和国建筑、城市建设和建设全权委托机构的许可,禁止完全或部分复制、限量及扩散本国家标准的正式版目录序号页码1、应用范围 52、参考标准文件 53、定义 64、代号和缩略语 65、总体要求 6建设标准___________________________________________________干线管道征地标准___________________________________________________ LAND ALLOCATION NORMS FOR MAIN PIPELINES___________________________________________________贯彻日期:2003年8月1日1、应用范围1.1、本标准包括干线管道设计、建设、改造和改装时所必须的要求,规定了地下干线管道(天然气管道、石油管道和石油产品管道)的用地宽度标准及工程管线分布地段的尺寸。
1.2、不论任何所有制形式,参与设计、建设和使用干线管道的国家管理和监督机构、组织,都必须遵守该标准。
1.3、本标准不适用于油田管道及海洋水域内干线管道的建设。
在此情况下,应遵守按照规定程序批准的部门标准文件的要求,在没有这类部门标准文件的情况下——则应遵守设计文件中指明的工程施工及验收的特殊要求。
注:—在路基地表面铺设(地面铺设)或在支架上铺设(架空铺设)干线管道(天然气管道、石油管道和石油产品管道)时,所用地带的宽度由按照规定程序批准的设计书确定。
—应按照设计书所规定的施工顺序划定干线石油管道所用的地带。
设针技术石油化工设计Petrochemical Design2017,54(1) 12 ~ 14哈萨克斯坦某炼厂改造工程主罐区总图设计与中国标准的对比分析魏宾宾,呉钾(中国石油工程建设公司华东设计分公司,山东青岛266071)摘要:哈萨克斯坦某炼油厂现代化改造工程(简称“改造工程”),将恢复600万$a 处理能力,涉及20 余套装置,以及新建及改造配套的储运、公用工程及辅助生产等设施,其中储运罐区包括UNIT 3 600(多个 油品罐组)、UNIT 3 700(多个液化烃罐组)等。
改造工程F E E D 设计由某国际知名工程公司负责,公司负 责总体优化及后期的施工图总图设计。
改造工程设计标准:环境保护、安全、防火、消防、职业卫生、建筑 结构、抗震等强制性标准采用哈萨克斯坦国(以下简称”哈国”)标准。
FE E D 是重要设计依据,对F E E D 总 图设计分析成为重点工作。
关键词!哈萨克斯坦炼厂工程F E E D 总图分析研究doi :10. 3969/j . issn . 1005 - 8168.2017.01.004UNIT 3600(MAINTANKFARM ,主罐区)基础 设计文件,是一套完整的新建主罐区FEED 设计 文件,主要包括:GENERAL DATA " LAYOUT PLAN 、SITEGRADINGPLAN 等图纸。
主罐区总 图图纸按照哈国标准进行设计,图纸及文件组成 内容见表1 (总图设计图纸清单)。
表1 U N IT 3600主罐区总图设计图纸清单哈萨克斯坦和中国在总图设计方面均吸收前 苏联的发展经验,借鉴《总图设计》[1 ]及《工业企业 总平面设计》(2)等,对于石油化工工程的每套装置 或每个单元均应进行总平面、竖向等设计。
该主 罐区总图设计包含总体数据、总平面布置、场地竖 向布置等总图设计,设计内容比较完整及规范。
对比GB /T 50933—2013《石油化工装置设计 文件编制标准》[3]、GB/T 51026—2014《石油库设 计文件编制标准》[4]、SHSG -033 —2008《石油化 工装置基础工程设计内容规定》[5]等国内设计文 件编制要求,国内单套装置一般绘制总平面及其序号图名-中文图名-英文备注01总体数据-目录GENERAL DATA A302总平面布置图LAYOUT PLAN 1:500/A103场地竖向图SITE GRADING PLAN 1:500/A104土方计算图EARTH MASS PLAN 1:500/A105场地铺砌布置图TERRITORYIMPROVEMENT PLAN1:500/A1竖向布置图。
建筑学、城市建设和建筑施工领域的国家规范建筑规范和规程干线管道СНиП РК 3.05-01-2010正式版阿拉木图 2011年目录1. 适用范围 (4)2. 参考规范 (5)3. 术语和定义 (7)4. 图例和缩语 (9)5. 工程设计规范 (12)5.1 总则 (12)5.2 干线管道的分类和等级 (12)5.3 对管道线路的基本要求 (15)5.4 对管道的结构要求 (22)5.5 管道的地下敷设 (25)5.6 天然和人工障碍穿跨越管道工程 (29)5.7 管道的架空敷设 (34)5.8 管道的强度及稳定性计算 (36)5.9 管道的防腐 (47)5.10 液化烃管道设计 (53)5.11材料与制品 (57)6.施工规程和完成工程的质量检查 (65)6.1 总则 (65)6.2 预备工程 (66)6.3 土方工程 (68)6.4 焊接工程 (69)6.5 管材和连接件的运输 (76)6.6干线管道的绝缘层防腐 (78)6.7 管道的管沟下管 (78)6.8 天然和人工障碍穿跨越工程的施工 (79)6.9 特殊自然条件下的管道施工 (84)6.10 电化学保护设备的设置 (88)7.管道腔体清洗和管道试验 (90)7.1 总则 (90)7.2 管道腔体清洗 (91)7.3 管道试验 (92)8.环境保护 (96)9. 管道工艺通信线路 (98)附件A (102)生效日期 2011年5月1日1.适用范围1.1本标准适用于新设计的、扩建和改建的干线管道及其支线管道,管道的公称直径不超过1400毫米(含),输送介质时的表压范围为1.2兆帕至10兆帕(含)(单独敷设和在技术管廊中敷设),用来输送:а) 原油、成品油(其中包括稳定的凝析油和稳定的汽油)、天然气、石油气和人造烃气,从开采地(开采场地)、生产厂或贮存地点输送到需要地(油库、转运站、灌装站、配气站、工业与农业企业、港口);б) 液化烃气(С3和d及其混合物)、不稳定汽油和凝析油、石油气以及其它液化烃气,在温度为摄氏零上40度,其饱和蒸汽的气压不超过1.6兆帕的条件下,从开采地(开采场地)、生产厂(从输油首站)输送到需要地;в) 商品,在压缩机站、输油站、地下储气库、增压站、配气站和计量站范围内的输送;г) 压缩机站、地下储气库、增压站、配气站、计量站及减压站所用脉冲气、燃料气和起动气的输送;干线管道包括:- 管道(从准备长输商品的开采场出口起),包括支线和平行副线、截断阀、天然和人工障碍穿跨越工程,输油站、压缩机站、计量站和减压站的接入枢纽、清管站、冷凝液收集装置和甲醇加注装置;-管道的电化学防腐装置、工艺通信线路与设施、遥控机械设备;-管道的输电线路、供电设备、截断阀及电化学保护装置的遥控装置;-消防设备,管道的防蚀与保护设施;-凝析油储存与脱气的容器、用于收集紧急情况下排放的原油、成品油、凝析油和液化烃气的土坑;-运行管道的线路建筑物;-输气管道沿线的永久性道路、直升机起落场及其驶入道、输气管道所在位置的识别标志和信号标志。
建筑学、城市建设和建筑施工领域的国家规范建筑规范和规程干线管道СНиП РК 3.05-01-2010正式版阿拉木图 2011年目录1. 适用范围 (4)2. 参考规范 (5)3. 术语和定义 (7)4. 图例和缩语 (9)5. 工程设计规范 (12)5.1 总则 (12)5.2 干线管道的分类和等级 (12)5.3 对管道线路的基本要求 (15)5.4 对管道的结构要求 (22)5.5 管道的地下敷设 (25)5.6 天然和人工障碍穿跨越管道工程 (29)5.7 管道的架空敷设 (34)5.8 管道的强度及稳定性计算 (36)5.9 管道的防腐 (47)5.10 液化烃管道设计 (53)5.11材料与制品 (57)6.施工规程和完成工程的质量检查 (65)6.1 总则 (65)6.2 预备工程 (66)6.3 土方工程 (68)6.4 焊接工程 (69)6.5 管材和连接件的运输 (76)6.6干线管道的绝缘层防腐 (78)6.7 管道的管沟下管 (78)6.8 天然和人工障碍穿跨越工程的施工 (79)6.9 特殊自然条件下的管道施工 (84)6.10 电化学保护设备的设置 (88)7.管道腔体清洗和管道试验 (90)7.1 总则 (90)7.2 管道腔体清洗 (91)7.3 管道试验 (92)8.环境保护 (96)9. 管道工艺通信线路 (98)附件A (102)生效日期 2011年5月1日1.适用范围1.1本标准适用于新设计的、扩建和改建的干线管道及其支线管道,管道的公称直径不超过1400毫米(含),输送介质时的表压范围为1.2兆帕至10兆帕(含)(单独敷设和在技术管廊中敷设),用来输送:а) 原油、成品油(其中包括稳定的凝析油和稳定的汽油)、天然气、石油气和人造烃气,从开采地(开采场地)、生产厂或贮存地点输送到需要地(油库、转运站、灌装站、配气站、工业与农业企业、港口);б) 液化烃气(С3和d及其混合物)、不稳定汽油和凝析油、石油气以及其它液化烃气,在温度为摄氏零上40度,其饱和蒸汽的气压不超过1.6兆帕的条件下,从开采地(开采场地)、生产厂(从输油首站)输送到需要地;в) 商品,在压缩机站、输油站、地下储气库、增压站、配气站和计量站范围内的输送;г) 压缩机站、地下储气库、增压站、配气站、计量站及减压站所用脉冲气、燃料气和起动气的输送;干线管道包括:- 管道(从准备长输商品的开采场出口起),包括支线和平行副线、截断阀、天然和人工障碍穿跨越工程,输油站、压缩机站、计量站和减压站的接入枢纽、清管站、冷凝液收集装置和甲醇加注装置;-管道的电化学防腐装置、工艺通信线路与设施、遥控机械设备;-管道的输电线路、供电设备、截断阀及电化学保护装置的遥控装置;-消防设备,管道的防蚀与保护设施;-凝析油储存与脱气的容器、用于收集紧急情况下排放的原油、成品油、凝析油和液化烃气的土坑;-运行管道的线路建筑物;-输气管道沿线的永久性道路、直升机起落场及其驶入道、输气管道所在位置的识别标志和信号标志。
-输油首站、中间站、灌注泵站、贮罐库、压缩机站和配气站;-地下储气站;-原油和成品油预热站;-指示牌和警示标志。
1.2本规范规定了干线管道线路工程的设计标准、建筑安装工程的施工和验收规程。
本规范不适用于城市、居民点、海域和生产场地内的管道设计,也不适用于输送对金属管道有侵蚀作用的或冷却至零下 40 °С的气体、原油、成品油和液化烃气的管道设计。
对于输送稳定凝析油和稳定汽油的管道来说,其设计必须符合本规范对输油管道的要求。
温度+20 °С时其饱和蒸汽的压力不足0.2兆帕(绝对压力)的烃气及其混合物,也应归类为稳定的凝析油和汽油。
输送温度+20 °С时饱和蒸汽压力大于0.2兆帕的液态烃——液态烃气、不稳定汽油、不稳定凝析油以及其它液态烃气——时,其管道设计应符合本规范第5.10节的要求。
建筑物的设计,包括压缩机站、输油站、配气站、地下储气库和增压站场地内的工程管线,应当符合正式批准的有关相应建筑物设计标准的要求,并考虑本规范的要求。
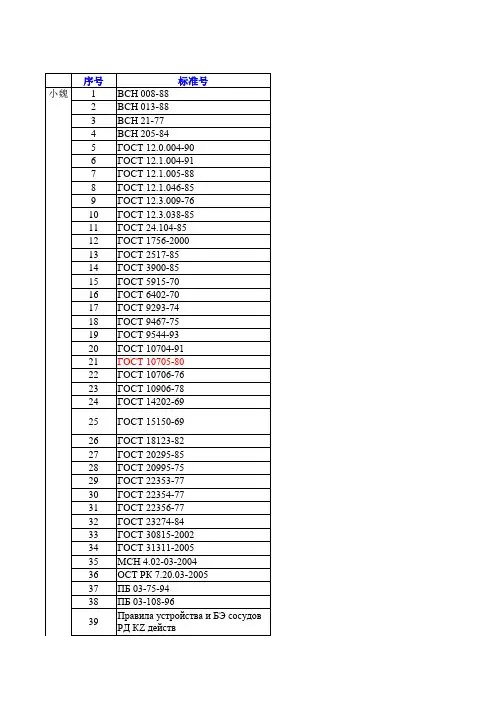
2.参考规范本规范参考了以下标准:(略)使用本规范时最好核对一下,看参考标准在哈萨克斯坦共和国境内是否还有效。
如果援引文件被替代(修改),则使用本标准时应以替代(修改)的文件为准。
如果援引文件被取消,而没有替代文件,则援引的条款中不涉及该援引的部分仍然适用。
3. 术语和定义下面为本标准中使用的术语及其相应的定义:3.1深井阳极地床:设置于深度大于10米的井内的阳极地床。
3.2阳极地床;保证保护电流流入土壤中的装置。
3.3加长阳极地床:长度超过5米的阳极地床。
3.4管道的压重:在管道上设置一种装置,以保证管道在线路含水地段一直处于设计位置。
3.5联合保护装置:对两条及两条以上具有不同电气参数的地下管线进行联合保护时采用的调节保护电流大小和方向的装置。
3.6杂散电流:大地中存在的不在指定回路流动的、由于其他(对于电化学保护设施的电流而言)直流或交流电压电源的工作(电气化运输工具、电焊设备、其他设施的电化学保护装置等)而产生的电流。
3.7管沟边缘:管沟两壁与地面相交的线。
3.8架空(梁式、悬索)跨越管道:跨越人工或天然障碍而敷设的地上管段。
3.9保护区长度:有电化学保护电位保证的管道长度。
3.10排流线:将直流电源的负极接头与管道连接(阴极排流线)和将正极接头与阳极地床连接(阳极排流线)的输电线路。
3.11管道埋深:从管子顶部到地面的距离;如有压重,为压重结构顶部到地面的距离。
3.12截断阀;安装在管道、独立管段及支线上的等径阀门和闸阀。
3.13保护区:有保护电位保证的管段。
3.14保护接地:用于保证用电安全的接地。
3.15保护电位:可以达到一定保护水平的金属电位,其原理是随着腐蚀电位值向比自然电位更负的方向的偏移,金属溶解速度随之减慢。
3.16长度和时间的保护性:时间上持续而不间断的、贯通管道全部长度(整个表面)的阴极极化,其在管道上的极化电位值(绝对值)不小于最低电位值和不大于最高电位值。
3.17土油坑:墙壁和底部置有隔离层,保证排入原油安全的地坑。
3.18绝缘接头:嵌入两管段之间的、切断管道电气连续性的插入件。
3.19强度试验:管内静压试验,旨在确认管道结构的完整性。
3.20试验压力:投产前的强度试验时,管道某点在要求的持续时间内所承受的最大压力。
3.21管道(管段)等级:管道(管段)的评定规格,正是该规格规定着管道的强度和试验压力值。
3.22阴极保护:通过改变裸露管段电位使其向比该管道自然腐蚀电位更负的方向偏移的方法,抑制腐蚀过程的速度。
3.23阴保站:旨在用外部电流对管道进行阴极极化的一整套设施和设备的总和。
3.24阴极引线:焊接在管道金属壁上并引向地面的电缆。
3.25阴极变流器:旨在将网内的交变电压变换为极化被保护设施所用的可调直流电压的电气机件。
3.26金属腐蚀:金属和合金受外部环境的化学或电化学作用而损坏,腐蚀时金属转入氧化状态或丧失其固有的性能。
3.27补偿器:旨在承受温度位移的专门结构或带有给定弯曲的管段。
3.28金属腐蚀:金属和合金受外部环境的化学或电化学作用而损坏,腐蚀时金属转入氧化状态或丧失其固有的性能。
3.29干线管道线路部分:通过泵站(输送站)、压气站、配气站、计量站和储罐站、转运油库和交接站相互之间密封连接的管子,输送烃原料(或其加工产品)的一整套设备(设施)。
3.30平行副线:与主管道平行敷设并与主管道连接以提高干线管道的通过能力的管道。
3.31干线管道:统一的、不可分割的生产-工艺综合体,由地下、水下、地上、架空管道和其他设施组成,旨在保证将按工艺规程要求准备好的产品安全地从接受点运送到用户交货点,转输到其他管道、其他运输工具和(或)储存。
3.32微型隧道:用于敷设管道且人员和机械设备不能进去操作的隧道。
3.33额定直径:近似等于管道的内径,以毫米表示,其值符合于正式规定的一系列数值中最近的那个值。
3.34周围环境:自然环境、自然的和自然-人造的以及纯人造的客体褚组成要素之总和。
3.35干线管道保护区:管道沿线和管道工艺设施周围为保证其安全运行所必须的区域,在该区域内,2010年6月24日颁发的№291-IV法令《矿产资源及矿产资源开发利用法》规定有特别的土地使用条件。
3.36环境影响评估:一种业务类型,其工作就是调查、分析和考虑计划实施的经济活动和其他活动可能对周围环境造成的直接、间接和其他后果,从而对该项活动可以或不可以实施作出决定。
3.37干线管道穿跨越天然障碍:穿跨越河流、沟渠、冲沟、沼泽地带的管段。
3.38干线管道穿跨越人工障碍:穿跨越公路或铁路,或水库,或沟渠和位于其保护区内的管道。
3.39管道的水下穿越:穿越平水期水面宽度为30米及以上(输气管道)或10米以上(输油管道)的河流或水体,埋深在1.5米以上的管段。
3.40管道的地下穿越:穿越人工或天然障碍的地下管段。
3.41保护层:将管道外表面或内表面与外部或内部环境隔离开来的结构。
3.42极化电位:不含电阻分量(在土壤和绝缘层中的压降)的电位。
3.43障碍:天然障碍——河流、水库、沟渠、湖泊、池塘、溪流、支流和沼泽、冲沟、坳沟; 人工障碍——铁路和公路、输电线路、各种与之交叉的各种管道、管线。
3.44气密性检验:保证没有产品从管道内泄漏出来的管内静压试验。
3.45牺牲阳极:用具有比被保护管道更负电位的材料或合金制成的电极(实践中钢质管道的防腐通常采用镁基合金,少数采用铝基或锌基合金)。
3.46牺牲阳极保护:借助牺牲阳极对管道的防腐保护。
3.47工作压力:管道上某点在设计为该管道规定的所有固定工作状态下的最大剩余压力。
3.48备用线路:与干线管道平行敷设、在干线管道损坏的情况下才接通的管道。
3.49土地复耕:旨在恢复被破坏土地的生产效能和国民经济价值以及改善环境条件的一整套工作。
3.50压力波平滑系统:旨在减小中间输送站入口处瞬变过程中的压力提升速度的一整套设备和设施。
3.51连接件:管道元件,用以改变管道轴线及其支线的方向,改变管道的直径、壁厚和密封情况(弯管、三通、大小头、转接环、端盖(堵头))。
3.52接地电阻:接地电极(一个或多个)的电阻,包括电流在土壤内流动的电阻和电极-土壤界面的接触电阻。
3.53管道走廊:平行敷设的干线管道系统。
3.54弹性弯曲:不用弯管而改变管道轴线的方向(在垂直平面或水平平面)。
3.55壁厚:额定壁厚——国标、技术规范和管道标准指称的壁厚; 计算壁厚——通过强度计算而确定的壁厚;最小壁厚——额定壁厚减去公差后的壁厚。
3.56隧道:用于敷设管道及伴行管线,并能保证人员和机械设备进去操作的颇有规模的地下设施。