初中数学计算题专项练习
- 格式:pdf
- 大小:476.87 KB
- 文档页数:4
初一数学计算题及答案50题1、计算题: 48×3+27=()答案: 1652、计算题: 90÷( 30-24)=()答案: 153、计算题: 10×[48÷(16-8)]=()答案: 804、计算题: [40-(8+2)]×9=()答案: 2705、计算题: (12-4)×3+9=()答案: 336、计算题: 12÷[( 41-34)×2]=()答案: 37、计算题: 3×[28-(13+7)]=()答案: 488、计算题: 18÷(3-1)+6=()答案: 129、计算题: 17-8÷(4-2)=()答案: 910、计算题: (9-5)×(7-2)=()答案: 28以上只是初一数学计算题及答案的一部分,希望对大家有所帮助。
初一数学找规律题及答案找规律是数学学习中一个重要的部分,它能帮助学生发展逻辑思维和解决问题的能力。
下面,我将展示一些初一数学找规律的问题,并附上相应的答案,以便帮助学生理解并解决类似的问题。
问题1:观察下列数字序列,找出规律,并预测下一个数字。
1,2,3,5,8,13,21,34,55,89...答案:这个数字序列是著名的斐波那契数列。
它的规律是每个数字是前两个数字的和。
因此,下一个数字应该是34 + 55 = 89。
问题2:观察下列图形序列,找出规律,并预测下一个图形。
图1:△图2:□△图3:△□□图4:□△□□图5:△□□□答案:这个图形序列的规律是每个图形都是由一个或多个三角形和一个正方形组成。
每个图形中的三角形数量比前一个图形多一个,而正方形数量与前一个图形相同。
因此,下一个图形应该是□△□□□。
问题3:观察下列等式序列,找出规律,并预测下一个等式。
a +b = cb +c = dc +d = ed +e = f答案:这个等式序列的规律是每个等式都是前两个等式的和。
中考数学计算题专项训练 一、训练一(代数计算) 1. 计算:(1)3082145+-Sin(2)(3)2×(-5)+23-3÷12(4)22+(-1)4+(5-2)0-|-3|; (6)︒+-+-30sin 2)2(20 (8)()()022161-+--2.计算:345tan 3231211-︒-⨯⎪⎭⎫ ⎝⎛+⎪⎭⎫ ⎝⎛-- 3.计算:()()()︒⨯-+-+-+⎪⎭⎫⎝⎛-30tan 331212012201031100124.计算:()()0112230sin 4260cos 18-+︒-÷︒--- 5.计算:1201002(60)(1)|28|(301)21cos tan -÷-+--⨯-- 二、训练二(分式化简)注意:此类要求的题目,如果没有化简,直接代入求值一分不得! 考点:①分式的加减乘除运算 ②因式分解 ③二次根式的简单计算1.. 2。
21422---x x x 3.(a+b )2+b (a ﹣b ). 4. 11()a a a a --÷ 5.2111x x x -⎛⎫+÷ ⎪⎝⎭6、化简求值(1)⎝⎛⎭⎪⎪⎫1+ 1 x -2÷ x 2-2x +1 x 2-4,其中x =-5.(2)(a ﹣1+)÷(a 2+1),其中a=﹣1.(3)2121(1)1a a a a++-⋅+,其中a =2-1. (4))252(423--+÷--a a a a , 1-=a (5))12(1aa a a a --÷-,并任选一个你喜欢的数a 代入求值.(6)22121111x x x x x -⎛⎫+÷ ⎪+--⎝⎭然后选取一个使原式有意义的x 的值代入求值7、先化简:再求值:⎝ ⎛⎭⎪⎪⎫1-1a -1÷a 2-4a +4a 2-a ,其中a =2+ 2 .8、先化简,再求值:a -1a +2·a 2+2a a 2-2a +1÷1a 2-1,其中a 为整数且-3<a <2.9、先化简,再求值:222211yxy x x y x y x ++÷⎪⎪⎭⎫⎝⎛++-,其中1=x ,2-=y .10、先化简,再求值:222112()2442x x x x x x-÷--+-,其中2x =(tan45°-cos30°) 三、训练三(求解方程)1. 解方程x 2﹣4x+1=0. 2。
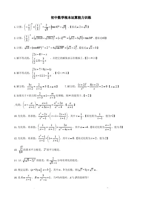
初中数学根本运算能力训练1.计算:345tan 3231211-︒-⨯⎪⎭⎫⎝⎛+⎪⎭⎫ ⎝⎛-- 。
【原式32+=】 2.计算:()()()︒⨯-+-+-+⎪⎭⎫⎝⎛-30tan 33121201220103110012。
【原式=8】 3.计算:()()112230sin 4260cos 18-+︒-÷︒---。
【原式32-=】 4.解不等式组:⎪⎩⎪⎨⎧-≤--x x xx 238262> ,并把它的解集表示在数轴上。
【2<*≤4】 5.解不等式组:⎪⎩⎪⎨⎧-≤-++x x x x 231121)1(375> 。
【-2<*≤1】 6.解方程:32223=-++x x x 【4=x 】 7.解方程:()()0223222=++-+x x x x 【2=x 】 8.如果关于x 的方程3132--=-x mx 有增根,则m 的值等于。
【2-】 .化简:422311222--÷+++•⎪⎭⎫ ⎝⎛+-a a a a a a a a a 。
【1+a a 】 10.先化简,再求值:⎪⎭⎫ ⎝⎛+---÷--11211222x x x x x x ,其中21=x 。
【原化简为11-x ,值为-2】 11.先化简,再求值:44221212+-÷⎪⎭⎫⎝⎛++-a a a a a ,其中4-=a 。
【原式化简为22+-a a ,值为3】 12.先化简,再求值:⎪⎭⎫⎝⎛++⨯--111112x x x ,其中0=x 。
【原式化简为2+x ,值为2】 13.91的算术平方根是,32的平方根是。
14. 14.2)23(-的值是,将132-分母有理化的值是。
15.规定运算:b a b a -=*)(,其中b a 、为实数,则=+*7)37(。
16.设1-=x x A ,1132+-=x B ,当*为何值时,A 与B 的值相等?17.解分式方程x x x --=---411143431222-=-+-x x x 18.解不等式组:并把解集在数轴上表示出来.19.解方程组:050425=-+=--y x y x 2322)1(3)1(4=+--=--yx y y x 20.解方程:2230x x --=0)3(2)3(2=-+-x x x 0342=+-x x 21.先化简,再求值:〔1〕xx x x x x x 1)121(22÷+---+,其中12+=x (2)〔212x x --2144x x -+〕÷222x x -,其中*=1(3)先化简分式:a (-3+4+3a a )÷-2+3a a ∙+3+2a a ,再从-3、5-3、2、-2中选一个你喜欢的数作为a 的值代入求值.(4)先化简再求值()121112222+--++÷-+a a a a a a 其中a=3+1 〔5〕先化简,再求值:〔1﹣〕÷,其中a=sin60°中考真题 1. 〔〕计算:〔+--012010)31|-43|-tan60°2.〔〕计算:1213127(31)()231-+-+ . 3.〔〕计算:102010)51()5(97)1(-+-⨯+---π.4.〔市潼南县〕 (6分)计算:(π-3.14)0-|-3|+121-⎪⎭⎫ ⎝⎛-(-1)2010.5.〔綦江县〕计算:()()1312222π-⎛⎫---++- ⎪⎝⎭.6.〔江津〕计算:1201124520104-⎛⎫-++︒+ ⎪⎝⎭7.〔〕计算:.)23(45sin 2)21(91-+--+-8.〔〕计算:12-4cos30°-3+(21)09.〔〕084sin 45(3)4︒+-π+-10.〔荷泽〕〕计算:12-4sin 60°+〔4-π〕011.〔〕计算:|-3|+(-1)0-9 12.〔德化〕(1)〔5分〕计算: |-2|-(2-3)0+2)21(-- ;13.〔〕〔8分〕计算:()0220103134-÷---.14.〔南安〕计算: 43)85(41)1(12+⨯--÷--.15.〔〕计算:01|3|(3)42π--+--+⨯.16.〔〕计算:22|27.〔〕60tan 2-—0)14.3(-π+2)21(--1221+18. 〔〕计算:()121126.330tan 6-⎪⎭⎫⎝⎛+--+︒π.19.〔凉山〕计算:1201002(60)(1)|28|(301)21cos tan -÷-+--⨯--。
..初中数学计算题大全(一)计算下列各题1 .36)21(60tan 1)2(100+-----π 2. 431417)539(524----3.)4(31)5.01(14-÷⨯+-- 4.5.++ 6.7112238. (1)03220113)21(++-- (2)23991012322⨯-⨯10.11.(1)- (2)÷(3)1---+42338-()232812564.0-⨯⨯⎪⎭⎫ ⎝⎛-÷⎪⎭⎫⎝⎛-+601651274312.418123+-13.⎛ ⎝14..x x x x 3)1246(÷- 15.61)2131()3(2÷-+-;16.20)21()25(2936318-+-+-+-17.(1))3127(12+- (2)()()6618332÷-+-18.()24335274158.0--+⎪⎭⎫ ⎝⎛+-⎪⎭⎫ ⎝⎛---1911()|2|4-- 20.())120131124π-⎛⎫---+ ⎪⎝⎭。
21.. 22.112812623-+23.2+参考答案1.解=1-|1-3|-2+23 =1+1-3-2+23 =3【解析】略2.5【解析】原式=14-9=53.87-【解析】解:)4(31)5.01(14-÷⨯+--⎪⎭⎫⎝⎛-⨯⨯--=4131231811+-=87-=先算乘方,再算乘除,最后算加减,有括号的先算括号里面的。
注意:41-底数是4,有小数又有分数时,一般都化成分数再进行计算。
4.==.【解析】略5.3 6.4【解析】主要考查实数的运算,考查基本知识和基本的计算能力,题目简单,但易出错,计算需细心。
1、+ +=232=3+-252=42⨯⨯ 722【解析】试题分析:先化简,再合并同类二次根式即可计算出结果.11223432223232332考点: 二次根式的运算.8.(1)32(2)9200 【解析】(1)原式=4+27+1 =32(2)原式=23(1012-992) (1分)=23(101+99)(101-99)(2分)=232200⨯⨯=9200 (1分) 利用幂的性质求值。
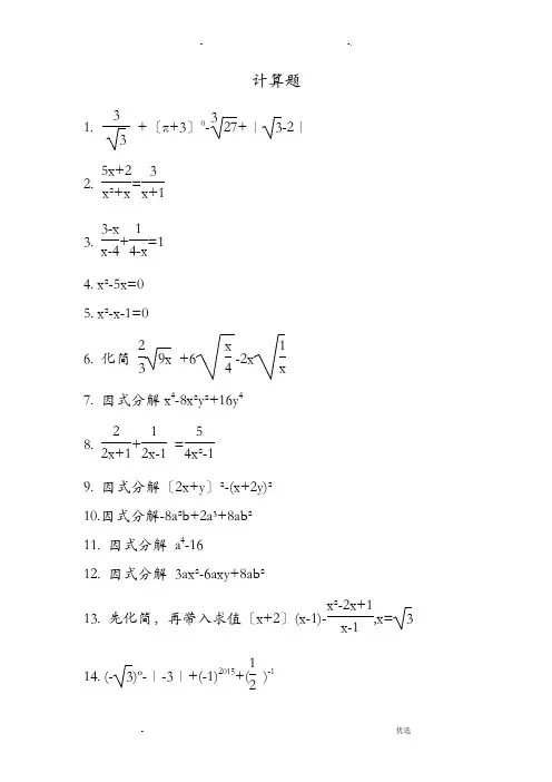
计算题 c l1. 3 3 +(π+3)º-327 +∣ 3 -2∣2. 5x+2x ²+x =3x+13. 3-x x-4 +14-x =14. x ²-5x=05. x ²-x-1=06. 化简 239x +6x4-2x 1x7. 因式分解x 4-8x ²y ²+16y 48. 22x+1 +12x-1 =54x ²-19. 因式分解(2x+y )²-(x+2y) ² 10. 因式分解 -8a ²b+2a ³+8ab ² 11. 因式分解 a 4-1612. 因式分解 3ax ²-6axy+8ab ²13. 先化简,再带入求值(x+2)(x-1)-x ²-2x+1x-1 ,x= 3 14. ( - 3 )º-∣-3∣+(-1)2015+(12)-115. (1a-1 -1a ²-1 )÷a ²-aa ²-116. 2(a+1) ²+(a+1)(1-2a)17. (2x-1x+1 -x+1) ÷x-2x ²+2x+118. (-3-1) ×(- 32 )²-2-1÷(- 12 )³19. 12x-1 =243-21 x20. (x+1) ²-(x+2)(x-2) 21. sin60°-∣1- 3 ∣+(12 )-122.(-5)16×(-2)15(结果以幂的形式表示)23. 若n 为正整数且(m n)²=9,求(13 m 3n )³(m ²)2n24. 因式分解a ²+ac-ab-bc 25. 因式分解x ²-5x+6 26. 因式分解(x+2)(x+3)+x ²-4 27. 因式分解(a ²+1) ²-4a ² 28. -12016+18÷ (-3) ×∣-12∣29. 先化简,再求值3(x ²+xy-1)-(3x ²-2xy),其中x=1,y= - 1530. 计算3-4+5-(-6)-731. 计算-1²+(-4) ²×∣-18 ∣-8²÷(-4) ³32.计算 20-(-7)-∣-2∣33.计算(13 - 59 +1112 )×(-36)34.计算(-1)²- 14×[2- (-3) ²]35. 解二元一次方程组 x-2y=1 ① x+3y=6 ②36. 解二元一次方程组 2(x-y)3 - x+y 4 = - 112 ①5y-x=3 ②37. 解二元一次方程组 x+2y=6 ① 3x-2y=2 ② 38. 解不等式 3(x-1)>2x+239. 解不等式 3x+13 - 7x-35 ≤ 2+2(x-2)1540. 化简a(a-1) ²-(a+1)(a ²-a+1) 41. (a a-b +b b-a ) ÷1a+b42. 当m=1 5-2 ,求代数式m+1m43. (12)-1- ( 2 -1)º+∣-3∣+tan45º-cos60ºcos30º·tan60°44. 先化简再求值 x ²-5x+63x ²-3x ·(1-3x+1 )·(1+2x-3 ),其中x= 345. 先化简再求值 x-yy ²-x ² ,其中x=-1,y=246. 解方程x ²-3x=047. 6-(-2)² ·2-1+()º+3-8 +cos ²45° 48. 计算( 3 )²+4×(- 12)-2³49. 先化简,再求值(a+b )(a-b)+b(b-2),其中a= 2 ,b=-1 50. 计算 4 -(1 5+2 )º+(-2) ³÷3-151. 计算12-1 - 3tan ²30°+2(sin45°-1)²52. 化简[a a-b +b ²a(b-a) ]÷a+bab53. 计算- 2²+ º+3sin30°54. 计算(13 )-1+(2006-π)º - 3 tan60°55. 计算2013-(π)º+∣-3∣+(-1) 56.57. 计算:﹣.58. 计算:.59. 计算:. 60. 计算:.61. 计算:.62. (a ﹣2)2+4(a ﹣1)﹣(a+2)(a ﹣2) 63. (﹣1)2013﹣|﹣7|+×+()﹣1;64. .65. 计算:.66. 解方程:.67. 计算:.68. 解方程:=﹣. 69. 求不等式组的整数解. 70. 先化简,再求值:(﹣)÷,其中x=+1.71. 解方程:72.73. 先化简,再求值:÷+,其中x=2+1.74. 解方程:.75. 计算:.76. 计算:(1+)2013﹣2(1+)2012﹣4(1+)2011.77. 计算:.78. 011821()2π--+ .79. 解方程组: 22220x y x xy y -=-⎧⎨--=⎩.80. 计算:(﹣1)3+(+1)0+. 81. 解不等式组:. 82. 先化简,再求值:÷(x+1﹣),其中x=﹣2.83. ∣-5∣+2²-( 3 +1)º 84. 2×(-5)+23-3÷1285. 22+(-1)4+(5-2)0-|-3| 86. ()()0332011422---+÷-87. a a ²-b ² -a a-b ÷bb-a88. 2x x ²-4 - 1x-289. (a+b )2+b (a ﹣b ). 90. (a - 1a )÷a-1a91. 2111x x x -⎛⎫+÷ ⎪⎝⎭92. ⎝ ⎛⎭⎪⎪⎫1+ 1 x -2÷ x 2-2x +1 x 2-4,其中x =-5.93. (a ﹣1+)÷(a 2+1),其中a=﹣1.94. 2121(1)1a a a a++-⋅+,其中a 2-1.95.)252(423--+÷--a a a a , 1-=a96. 化简求值: 111(11222+---÷-+-m m m m m m ),其中m =3.97. 化简2111x x x -⎛⎫+÷ ⎪⎝⎭98. 化简:xx x x x x x x x 416)44122(2222+-÷+----+, 其中22+=x 99. 化简并求值:221122a b a b a a b a -⎛⎫--+ ⎪-⎝⎭,其中33a b =-=-.100. 计算:332141222+-+÷⎪⎭⎫ ⎝⎛---+a a a a a a a .101. 先化简,再求值:13x -·32269122x x x x x x x-+----,其中x =-6.102.先化简再求值:⎝ ⎛⎭⎪⎪⎫1-1a -1÷a 2-4a +4a 2-a ,其中a =2+ 2 .103. 先化简,再求值:a -1a +2·a 2+2a a 2-2a +1÷1a 2-1,其中a 为整数且-3<a <2.104. 先化简,再求值:222211yxy x x y x y x ++÷⎪⎪⎭⎫⎝⎛++-,其中1=x ,2-=y .105. 先化简,再求值:2222(2)42x x x x x x -÷++-+,其中12x =. 106.先化简,再求值222112()2442x x x x x x-÷--+-,其中2x =107.22221(1)121a a a a a a +-÷+---+.108.先化简再求值:1112421222-÷+--•+-a a a a a a ,其中a 满足20a a -=.109. 先化简:144)113(2++-÷+-+a a a a a ,并从0,1-,2中选一个合适的数作为a 的值代入求值。
初中数学计算题(200道)(-1.5)×(-9)-12÷(-4)56÷(-7)-2÷5+0.43.57×29÷(-4)5.6÷(-2.8)-(-50)÷2[9.6+(-7.3)]×[(-5)-(-7)](-9.5×((-1.25*5/2-(3/2+4/5)7/8+(1/8+1/9)9×5/6+5/63/4×8/9-1/37×5/49+3/146×(1/2+2/3)8×4/5+8×11/531×5/6–5/69/7-(2/7–10/21)5/9×18–14×2/74/5×25/16+2/3×3/414×8/7–5/6×12/1517/3250+120-347+45×2-4160÷5237×(58+37)÷(64-9×5)已做95÷(64-45)178-145÷5×6+42812-700÷(9+31×11)85+14×(14+208÷26)120-36×4÷18+35(58+37)÷(64-9×5)(6.8-6.8×0.55)÷8.50.12×4.8÷0.12×4.8(3.2×1.5+2.5)÷1.66-1.6÷4=5.38+7.85-5.37=6.55.832.52-[(5.4÷12×658+370136+615-18.1(6.8-6.8×0.55)÷8.50.12×4.8÷0.12×4.8(3.2×1.5+2.5)÷1.6 3.2×6+(1.5+2.5)÷1.6 0.68×1.9+0.32×1.910.15-10.75×0.4-5.75.8×(3.87-0.13)+4.2×3.74 32.52-(6+9.728÷3.2)×2.5 [(7.1-5.6)×0.9-1.15]÷2.5 5.4÷[2.6×(3.7-2.9)+0.62] 12×6÷(12-7.2)-612×6÷7.2-633.0289+456-785%+.3/7×49/9-4/39×15/36+1/272×5/6–2/9×33×5/4+1/494÷3/8–3/8÷66/2-(3/2+4/5)8+(1/8+1/9)8×5/6+5/61/4×8/9-1/310×5/49+3/141.52/9×4/7-(7/322/3÷2-2/9+10÷1/2×5/9×1/2+1/4×4/5-1/8 3/4×5/7×4/3-1/2 23-8/9×1/27÷1/27 8×5/6+2/5÷41/2+3/4×5/12×4/5 8/9×3/4-3/8÷3/41.2×2.5+0.8×2.58.9×1.25-0.9×1.2512.5×7.4×0.89.9×6.4-(2.5+0.24)(27)6.5×9.5+6.5×0.523.65-(27.85-48×1.25+50×1.25×0.2×8 7.8×9.9+0.78(1010+309+4+681+6)×12 3×9146×782×6×8545.15×7/8+6.1-0.606253/7×49/9-4/38/9×15/36+1/27 12×5/6–2/9×3 8×5/4+1/46÷3/8–3/8÷64/7×5/9+3/7×5/9 5/2-(3/2+4/5)7/8+(6×(9/7-(17/323/14×2/3+1/61/5×2/3+5/69/22+1/11÷1/25/3×11/5+4/345×2/3+1/3×15 7/19+12/19×5/61/4+3/4÷2/38/7×21/16+1/2101×1/5–1/5×2150+160÷40(58+370)÷(64-45)120-144÷18+35347+45×2-4160÷52(95÷(178-85+14(120-((6.8-(3.26-6-1.19×3-0.4347.6.5×(4.8-1.2×4)0.68×1.9+0.32×1.949.5.8×(3.87-0.13)+4.2×3.74 ÷3.2)×2.551.[(7.1-5.6)×0.9-1.15]÷2.552.5.4÷[2.6×(3.7-2.9)+0.62]53.12×6÷(12-7.2)-6(4)12×6÷7.2-6 102×(-4.5)-(-3)×(-5)÷27.8×6.9+2.2×6.9(-2)+2-(-52)×(-1)×5+87÷(-3)×(-1) 5.6×0.258×(20-1.25)(-7.1)-9405-920-2100-51+(4215+(247+18)×27÷2536-720÷(360÷18)1080÷(63-54)×80(528+912)×5-61788528÷41×38-904264+318-8280÷69(174+209)×26-(9000^0)814-(278+322)÷151406+735×9÷453168-7828÷38+504796-5040÷(630÷7)285+(3000-372)÷361.18.1(-25.6-6-7.6.5-10.75×0.4-5.79.5.8×(3.87-0.13)(-8.01)+4.2×3.74-(6+9.728÷3.2)×2.511.[(7.1-5.6)×0.9-1.15]÷2.512.5.4÷[2.6×(3.7-2.9)+0.62]13.12×6÷(12-7.2)-614.12×6÷7.2-6-(148.4-90.85)÷2.5 (-5)-252×(-78)(-6)×(-2)+3÷(5+50)7-7+3-6-(-90)(-8)(-((-(-(-4.6-(-3/4+1.6-4-3/4)1/2+3+5/6-7/12[2/3-4-1/4*(-0.4)]/1/3+2 22+(-4)+(-2)+4*3-2*8-8*1/2+8/1/8(2/3+1/2)/(-1/12)*(-12)(-28)/(-6+4)+(-1)+√92/(-2)+0/7-(-8)*(-2)(1/4-5/6+1/3+2/3)/1/218-6/(-3)*(-2)×2^7(5+3/8*8/30/(-2)-√36(-84)/2*(-3)/(-6)8-2×–12×(x^2+2x)^2+3(x^2+2x)+x^2+2x+3(a+1)(a+2)+(2a+1)(a-2)-12x^2(y+z)^2-2xy(x-z)(y+z)+y^2(x-z)^2 3(a+2)^2+28(a+2)-20(a+b)^2-(b-c)^2+a^2-c^28x(x+1)(x^2+x-1)-2x^2(x-1)^2-3(x^2-x)-5614a(a-b)+(a-b)^211.-ab(a-b)^+a(b-a)^212.3(x+2)-2x=5-4x13.5(x+2a)-a=2(b-2x)+4a 3.14*3.42(2)972*3.14*1/4(5+3/8*8/30/(-2)-3(-84)/2*(-3)/(-6)1/2*(-4/15)/2/3|-3x+2y-5x-7y|-|-9x+2y|-5+21*8/2-6-5968/21-8-11*8+61-2/9-7/9-564.6-(-3/4+1.6-4-3/4)1/2+3+5/6-7/12[2/3-4-1/4*(-0.4)]/1/3+2 22+(-4)+(-2)+4*3-√64-5^2 -2*8-8*1/2+8/1/8[2/3-4-1/4*(-0.4)]/1/3+2 22+(-4)+(-2)+4*3-2*8-8*1/2+8/1/8(2/3+1/2)/(-1/12)*(-12) (-28)/(-6+4)+(-1)2/(-2)+0/7-(-8)*(-2)(1/4-5/6+1/3+2/3)/1/2 18-6/(-3)*(-2)(5+3/8*8/30/(-2)-3(-84)/2*(-3)/(-6)1/2*(-4/15)/2/3-3x+2y-5x-7y-(-3^2+5^7)8×5/4+1/4*|-7-8|6÷3/8–3/8÷64/7×5/9+3/7×5/95/2-(3/2+4/5)7/8+(1/8+1/9)9×5/6+5/63/4×8/9-1/37×5/49+3/146×(1/2+2/3)8×4/5+8×11/531×5/6–5/69/7-(2/7–10/21)17/323^45×101^4×(-1/5–1/5×21)50+√160÷40^5120-144÷18+35347+45×2-4160÷5237^2(58+37)÷(64-9×5)95÷(64-45)178-145÷5×6+42812-700÷(9+31×11)85+14×(14+208÷26)120-36×4÷18+35(58+37)÷(64-9×5)(6.8-6.8×0.55)÷8.5(3.26-6.55.832.52-[(5.4÷12×658+370136+6×(65-345÷23)15-10.75×0.4-5.718.1+(3-0.299÷0.23)×1 (6.8-6.8×0.55)÷8.50.12×4.8÷0.12×4.8(3.2×1.5+2.5)÷1.63.2×6+(1.5+2.5)÷1.60.68×1.9+0.32×1.910.15-10.75×0.4-5.75.8×(3.87-0.13)+4.2×3.74 32.52-(6+9.728÷3.2)×2.5 [(7.1-5.6)×0.9-1.15]÷2.5 5.4÷12×633.023+456-52*887.5%+63258/2+1/3+1/489+456-785%+.3/7×49/9-4/39×15/36+1/273×5/4+1/494÷3/8–3/8÷695/7×5/9+3/7×5/96/2-(3/2+4/5)8+(1/8+1/9)1.52/9×4/7-(7/322/3÷2-2/9+10÷5/9+1/6×41/2×2/5+9/10÷9/20 5/9×3/10+2/7÷2/5 1/2+1/4×4/5-1/83/4×5/7×4/3-1/2 23-8/9×1/27÷1/2711/2+3/4×5/12×4/58/9×3/4-3/8÷3/45/8÷5/4+3/23÷9/111.2×2.5+0.8×2.58.9×1.25-0.9×1.259.9×23.65-(4+0.4×0.25)8×7×1.25 1.65×99+1.6527.85-(7.85+3.4)48×1.25+50×1.25×0.2×8 7.8×9.9+0.78(1010+309+4+681+6)×123×9146×782×6×854 5.15×7/8+6.1-0.60625 3/7×49/9-4/38/9×15/36+1/2712×5/6–2/9×38×5/4+1/45/2-(7/8+(6×(9/7-(17/32–3/4×9/243×2/9+1/35/7×3/25+3/73/14×2/3+1/61/5×2/3+5/69/22+1/11÷1/25/3×11/5+4/345×2/3+1/3×157/19+12/19×5/61/4+3/4÷2/38/7×21/16+1/2101×1/5–1/5×2150+120-(95÷(178-(85+14(120-(58+37(6.8-(3.2×1.5+2.5)÷1.63.2×(1.5+2.5)÷1.66-1.6÷4=5.38+7.85-5.37=7.2÷0.8-1.2×5=6-1.19×3-0.43=6.5×(4.8-1.2×4)=0.68×1.9+0.32×1.9 10.15-10.75×0.4-5.75.8×(3.87-0.13)+4.2×3.7432.52-(6+9.728÷3.2)×2.5[(7.1-5.6)×0.9-1.15]÷2.55.4÷[2.6×(3.7-2.9)+0.62]12×6÷(12-7.2)-6(4)12×6÷7.2-6 102^2×4.5+8^5-√5297.8×8×(9405-2920-2100-51+(4215+(4361-716)÷81(247+18)×27÷2536-720÷(360÷18)1080÷(63-54)×80(528+912)×5-61788528÷41×38-904264+318-8280÷69(174+209)×26-9000814-(278+322)÷151406+735×9÷453168-7828÷38+504796-5040÷(630÷7)285+(18.1(6.8-(3.23.25.6-6-6.50.68×1.9+0.32×1.9115-10.75×0.4-5.75.8×(3.87-0.13)+4.2×3.74 32.52-(6+9.728÷3.2)×2.5 [(7.1-5.6)×0.9-1.15]÷2.5 5.4÷[2.6×(3.7-2.9)+0.62]12×6÷(12-7.2)-612×6÷7.2-633.02-(148.4-90.85)÷2.5二.解方程2x=7(x-5)8(3x+3)=2401.5x+6=3.752(3.6x+2.8)=-1.69.5x+9.5=1918(x-35)=-36x+7-(-36+8^2)/2=8+7^4/3a-7-98+7a=3.2*5a89/2+35/6x=3*9+2^3/5+7x3X+189/3=521/24Y+119*^3=22/113X*189=5*4^5/38Z/6=458/53X+77=593/2[2/3(1/4x-1)-2]-x=22x+7^2=1571)判断题:判断下列方程是否是一元一次方程:①-3x-6x2=7()③5x+1-2x=3x-2()④3y-4=2y+1.()判断下列方程的解法是否正确:①解方程3y-4=y+3解:3y-y=3+4,2y=7,y=3.5②解方程:0.4x-3=0.1x+2解:0.4x+0.1x=2-3;0.5x=-1,x=-2解:解:2)(1)若(2(3(4)(5(6(7(83)(1)方程ax=b的解是().A.有一个解x=B.有无数个解C.没有解D.当a≠0时,x=(2)解方程(x-1)=3,下列变形中,较简捷的是()A.方程两边都乘以4,得3(x-1)=12B.去括号,得x-=3C.两边同除以,得x-1=4D.整理,得(3)方程2-去分母得()A.2-2(2x-4)=-(x-7)B.12-2(2x-4)=-x-7C.12-2(2x-4)=-(x-7)D.以上答案均不对(4)若代数式比大1,则x的值是(). A.13B(5)B.4)(1)x(2)y(3(4①三.1、(1)化简整个式子。
初中数学计算题(200道) 实用文档1.5乘以-9减去12除以-456除以-7减去2除以5加0.43.57乘以29除以-45.6除以-2.8减去-50除以29.6减去7.3)乘以(-5减去-7)12.3除以(5.6减去1.2)75.6除以(1/4加1/5)9.5乘以-9.5除以1/295.77除以-2减去-34.651.88除以2减去-5乘以241.25乘以-3加70乘以-5加5乘以-3加25 9999乘以3加101乘以11乘以(101减去92) 23/4减去3/4)乘以(3乘以6加2)3/7乘以49/9减4/38/9乘以15/36加1/2712乘以5/6减2/9乘以38乘以5/4加1/46除以3/8减去3/8除以64/7乘以5/9加3/7乘以5/9 5/2减去(3/2加4/5)7/8加(1/8加1/9)9乘以5/6加5/63/4乘以8/9减1/37乘以5/49加3/146乘以(1/2加2/3)8乘以4/5加8乘以11/5 31乘以5/6减5/69/7减去(2/7减去10/21)5/9乘以18减14乘以2/74/5乘以25/16加2/3乘以3/4 14乘以8/7减5/6乘以12/15 17/32减去3/4乘以9/243乘以2/9加1/35/7乘以3/25加3/73/14乘以2/3加1/61/5乘以2/3加5/69/22加1/11除以1/25/3乘以11/5加4/345乘以2/3加1/3乘以157/19加12/19乘以5/61/4加3/4除以2/38/7乘以21/16加1/2101乘以1/5减1/5乘以2150加160除以40120减144除以18加35347加45乘以2减4160除以5237乘以(58加37)除以(64减去9乘以5)已做95除以(64减去45)178减去145除以5乘以6加42812减去700除以(9加31乘以11) 85加14乘以(14加208除以26) 120减去36乘以4除以18加35 58加37)除以(64减去9乘以5) 6.8减去6.8乘以0.55)除以8.5标准文案实用文档1.5乘以-9减去12除以-456除以-7减去2除以5加0.43.57乘以29除以-45.6除以-2.8减去-50除以29.6减去7.3)乘以(-5减去-7)12.3除以(5.6减去1.2)75.6除以(1/4加1/5)9.5乘以-9.5除以1/295.77除以-2减去-34.651.88除以2减去-5乘以241.25乘以-3加70乘以-5加5乘以-3加25 9999乘以3加101乘以11乘以(101减去92) 23/4减去3/4)乘以(3乘以6加2)3/7乘以49/9减4/38/9乘以15/36加1/2712乘以5/6减2/9乘以3 8乘以5/4加1/46除以3/8减去3/8除以6 4/7乘以5/9加3/7乘以5/9 5/2减去(3/2加4/5)7/8加(1/8加1/9)9乘以5/6加5/63/4乘以8/9减1/37乘以5/49加3/146乘以(1/2加2/3)8乘以4/5加8乘以11/531乘以5/6减5/69/7减去(2/7减去10/21)5/9乘以18减14乘以2/74/5乘以25/16加2/3乘以3/4 14乘以8/7减5/6乘以12/15 17/32减去3/4乘以9/243乘以2/9加1/35/7乘以3/25加3/73/14乘以2/3加1/61/5乘以2/3加5/69/22加1/11除以1/25/3乘以11/5加4/345乘以2/3加1/3乘以15 7/19加12/19乘以5/61/4加3/4除以2/38/7乘以21/16加1/2101乘以1/5减1/5乘以2150加160除以40120减144除以18加35347加45乘以2减4160除以5237乘以(58加37)除以(64减去9乘以5)已做95除以(64减去45)178减去145除以5乘以6加42812减去700除以(9加31乘以11)85加14乘以(14加208除以26)120减去36乘以4除以18加3558加37)除以(64减去9乘以5)6.8减去6.8乘以0.55)除以8.5标准文案18.1 + (3 - 0.299 ÷ 0.23) × 1 6.8 - 6.8 × 0.55) ÷ 8.50.12 × 4.8 ÷ 0.12 × 4.83.2 × 6 + (1.5 + 2.5) ÷ 1.60.68 × 1.9 + 0.32 × 1.910.15 - 10.75 × 0.4 - 5.75.8 × (3.87 - 0.13) + 4.2 × 3.74 32.52 - (6 + 9.728 ÷ 3.2) × 2.5 7.1 - 5.6) × 0.9 - 1.15] ÷ 2.5 5.4 ÷ [2.6 × (3.7 - 2.9) + 0.62] 12 × 6 ÷ (12 - 7.2) - 612 × 6 ÷ 7.2 - 633.02 - (148.4 - 90.85) ÷ 2.576.25% - 695% - 12%) × 3677 ÷ 4 × 3 ÷ 5 + 3 ÷ 4 × 2 ÷ 5 81/36 + 2/211/10 × 9/53/4 ÷ 9/10 - 1/61/3 + 1/2) ÷ 5/6 - 1/3 ÷ 1/7 3/5 + 3/10 + 3/42 - 2/3 ÷ 1/2) × 2/5 5268.32 - 256986.3 + 456 - 52 × 85% + 3/7 × 49/9 - 4/39 × 5/12 + 1/272 × 5/6 - 2/9 × 33 × 5/4 + 1/494 ÷ 3/8 - 3/8 ÷ 65/9 + 3/96/2 - (3/2 + 4/5)8 + (1/8 + 1/9)8 × 5/6 + 5/6 = 8 5/61/4 × 8/9- 1/3 = 1/910 × 5/49 + 3/14 = 13/98 1.5×(1/2 + 2/3)= 2.252/9×4/5 + 8×11/5 = 94/45 3.1 × 5/6 –5/6 = 2.354/7 -(2/7–10/21)= 4/2119 × 18 –14 × 2/7 = 332 4/75 × 25/16 + 2/3 × 3/4 = 27/44 × 8/7 –5/6 × 12/15 = 46/217/32–3/4 × 9/24 = -67/1922/3÷1/2-1/4×2/5 = 5/62-6/13÷9/26-2/3 = -2 79/338 2/9+1/2÷4/5+3/8 = 67/9010÷5/9+1/6×4 = 46/31/2×2/5+9/10÷9/20 = 1/25/9×3/10+2/7÷2/5 = 31/1261/2+1/4×4/5-1/8 = 5/83/4×5/7×4/3-1/2 = 5/1423-8/9×1/27÷1/27 = 238×5/6+2/5÷4 = 33/101/2+3/4×5/12×4/5 = 11/208/9×3/4-3/8÷3/4 = 11/245/8÷5/4+3/23÷9/11 = 1/21.2×2.5+0.8×2.5 =3.58.9×1.25-0.9×1.25 = 1012.5×7.4×0.8 = 749.9×6.4-(2.5+0.24)= 60.16 27)6.5×9.5+6.5×0.5 = 1794.5 0.35×1.6+0.35×3.4 = 0.9450.25×8.6×4 = 8.66.72-3.28-1.72 = 1.720.45+6.37+4.55 = 11.375.4+6.9×3-(25-2.5)= 16.22×-620-380 =4.8×46+4.8×54 = 5040.8+0.8×2.5 = 21.25×3.6×8×2.5-12.5×2.4 = 71.5 28×12.5-12.5×20 = 25023.65-(3.07+3.65)= 16.934+0.4×0.25)8×7×1.25 = 70 1.65×99+1.65 = 163.3527.85-(7.85+3.4)= 16.648×1.25+50×1.25×0.2×8 = 170 7.8×9.9+0.78 = 77.221010+309+4+681+6)×12 =3×9146×782×6×854 = 1.4×10^115.15×7/8+6.1-0. = 10.3/7 × 49/9- 4/3 = -11/218/9 × 15/36 + 1/27 = 7/5412× 5/6 –2/9 ×3 = 19 7/188× 5/4 + 1/4 = 116÷ 3/8 –3/8 ÷6 = 5 5/84/7 × 5/9 + 3/7× 5/9 = 1/25/2 -(3/2 + 4/5)= 9/107/8 +(1/8 + 1/9)= 29/369.9 × 5/6 + 5/6 = 10.453/4 × 8/9- 1/3 = 1/91.(-2)+2-(-52)×(-1) ×5+87÷(-3)×(-1)改写为:计算表达式:(-2)+2-(-52)×(-1) ×5+87÷(-3)×(-1)2.5.6×0.258×(20-1.25)改写为:计算表达式:5.6×0.258×(20-1.25)3.(-7.1)×〔(-3)×(-5)〕÷2改写为:计算表达式:(-7.1)×〔(-3)×(-5)〕÷24.-2.5×(-4.8)×(0.09)÷(-0.27)改写为:计算表达式:-2.5×(-4.8)×(0.09)÷(-0.27)5.127+352+73+44×(-2)改写为:计算表达式:127+352+73+44×(-2)6.89×276+(-135)-33改写为:计算表达式:89×276+(-135)-337.25×71+75÷29-88÷(-2)改写为:计算表达式:25×71+75÷29-88÷(-2)8.243+89+111+57改写为:计算表达式:243+89+111+579.9405-2940÷28×21改写为:计算表达式:9405-2940÷28×2110.920-1680÷40÷7改写为:计算表达式:920-1680÷40÷711.690+47×52-398改写为:计算表达式:690+47×52-39812.148+3328÷64-75改写为:计算表达式:148+3328÷64-7513.360×24÷32+730改写为:计算表达式:360×24÷32+73014.2100-94+48×54改写为:计算表达式:2100-94+48×5415.51+(2304-2042)×23改写为:计算表达式:51+(2304-2042)×2316.4215+(4361-716)÷81改写为:计算表达式:4215+(4361-716)÷8117.(247+18)×27÷25改写为:计算表达式:(247+18)×27÷2518.36-720÷(360÷18)改写为:计算表达式:36-720÷(360÷18)19.1080÷(63-54)×80改写为:计算表达式:1080÷(63-54)×8020.(528+912)×5-6178改写为:计算表达式:(528+912)×5-617821.8528÷41×38-904改写为:计算表达式:8528÷41×38-90422.264+318-8280÷69改写为:计算表达式:264+318-8280÷69 23.796-5040÷(630÷7)改写为:计算表达式:796-5040÷(630÷7)24.285+(3000-372)÷36改写为:计算表达式:285+(3000-372)÷3625.1+5/6-19/12改写为:计算表达式:1+5/6-19/1226.3x(-9)+7x(-9)改写为:计算表达式:3x(-9)+7x(-9)27.(-54)x1/6x(-1/3)改写为:计算表达式:(-54)x1/6x(-1/3)28.1.18.1+(3-0.299÷0.23)×1改写为:计算表达式:1.18.1+(3-0.299÷0.23)×129.2.(6.8-6.8×0.55)÷8.5改写为:计算表达式:2.(6.8-6.8×0.55)÷8.530.0.12× 4.8÷0.12×4.84改写为:计算表达式:0.12× 4.8÷0.12×4.8431.3.2×1.5+2.5÷(-1.6)改写为:计算表达式:3.2×1.5+2.5÷(-1.6)32.(-2)×3.2×(1.5+2.5)÷1.6改写为:计算表达式:(-2)×3.2×(1.5+2.5)÷1.633.5.6-1.6÷4+(6.8-9)改写为:计算表达式:5.6-1.6÷4+(6.8-9)34.5.38+7.85-5.37÷89改写为:计算表达式:5.38+7.85-5.37÷8935.6.7.2÷0.8-1.2×5改写为:计算表达式:6.7.2÷0.8-1.2×536.6-1.19×3-0.43改写为:计算表达式:6-1.19×3-0.4337.6.5×(4.8-1.2×4)改写为:计算表达式:6.5×(4.8-1.2×4)38.0.68×1.9+0.32×1.9改写为:计算表达式:0.68×1.9+0.32×1.939.10.15-10.75×0.4-5.7改写为:计算表达式:10.15-10.75×0.4-5.740.5.8×(3.87-0.13)改写为:计算表达式:5.8×(3.87-0.13)41.(-8.01)+4.2×3.74改写为:计算表达式:(-8.01)+4.2×3.7442.32.52-(6+9.728÷3.2)×2.5改写为:计算表达式:32.52-(6+9.728÷3.2)×2.5 43.[(7.1-5.6)×0.9-1.15]÷2.5改写为:计算表达式:[(7.1-5.6)×0.9-1.15]÷2.544.5.4÷[2.6×(3.7-2.9)+0.62]改写为:计算表达式:5.4÷[2.6×(3.7-2.9)+0.62]45.12×6÷(12-7.2)-6改写为:计算表达式:12×6÷(12-7.2)-646.12×6÷7.2-6改写为:计算表达式:12×6÷7.2-647.33.02-(148.4-90.85)÷2.5改写为:计算表达式:33.02-(148.4-90.85)÷2.548.(-5)-252×(-78)改写为:计算表达式:(-5)-252×(-78)6)×(-2)+3÷(5+50) = 12 + 3/557-7+3-6-(-90) = 778)(-3)×(-8)×25 = 48007+13)÷(-616)÷(-28) = 1/8+14-100-27)÷4 = -26/4 = -13/2 15)÷(-1)-101÷10 = 15-10.1 = 4.916÷0.21×(-8)×(4.1+5.9) = -54410)×(-2)×4÷{-9÷[6+(-5.67)]} = 320/3 18)(-4)2×[8.01×(-3.14)] = 7257.129-32{-890-[79+8.1]×9} = -20)-23+(-9)×9.42 = -113.9824)3.4×104÷(-5)×200.96 = .298|+76+(-87)]×23/[56+(-75)-(7)]-(8+4+3)×5+21×8/2-6-59 = -3768/21-8-11×8+61 = -5/212/9-7/9-56 = -559/814.6-(-3/4+1.6-4-3/4) = 12.11/2+3+5/6-7/12 = 3 1/42/3-4-1/4*(-0.4)]/1/3+2 = -7/622+(-4)+(-2)+4×3 = 282×8-8×1/2+8/1/8 = -19.52/3+1/2)/(-1/12)×(-12) = -1128)/(-6+4)+(-1)+√9 = -22/(-2)+0/7-(-8)×(-2) = -301/4-5/6+1/3+2/3)/1/2 = 1/1218-6/(-3)×(-2)×2^7 = 38645+3/8×8/30)/(-2)-√36 = -5/1284)/2×(-3)/(-6) = 211/2×(-4/15)/2/3 = -1/251+2+3+4+。
中考专项训练——计算题集训一(计算)1.计算:3082145+-Sin 2.计算:∣﹣5∣+22﹣(3+1)3.计算:2×(-5)+23-3÷.124.计算:22+(-1)4+(-2)0-|-3|;55.计算:22+|﹣1|﹣.96.计算:.︒+-+-30sin 2)2(207.计算,(﹣1)0+∣2﹣3∣+2sin60°8.计算:(1)()()022161-+--(2)a(a-3)+(2-a)(2+a)9. 计算:()0-( )-2 +tan45°31210. 计算: ()()0332011422---+÷-集训二(分式化简)1.(2011.南京)计算.aa 2﹣b2﹣1a +b ÷bb﹣a2. (2011.常州)化简:21422---x x x 3.(2011.淮安)化简:(a+b )2+b (a﹣b).4. (2011.南通)先化简,再求值:(4ab 3-8a 2b 2)÷4ab +(2a +b )(2a -b ),其中a =2,b =1.5. (2011.苏州)先化简,再求值:(a﹣1+)÷(a 2+1),其中2a +1a=﹣1.26.(2011.宿迁)已知实数a 、b 满足ab =1,a +b =2,求代数式a 2b +ab 2的值.7. (2011.泰州)化简.(a﹣b +b 2a +b )•a +ba 8.(2011.无锡)a(a-3)+(2-a)(2+a)9.(2011.徐州)化简:;11()a a a a--÷10.(2011.扬州)化简2111x x x -⎛⎫+÷⎪⎝⎭集训三(解方程)1.(2011•南京)解方程x 2﹣4x+1=0.2. (2011.常州)解分式方程2322-=+x x 3.(2011.连云港)解方程:= .3x 2x -14. (2011.苏州)已知|a﹣1|+=0,求方裎+bx=1的解.b +2ax 5. (2011.无锡)解方程:x 2+4x -2=06.(2011.盐城)解方程: - = 2.xx -131-x 7.(2011.泰州)解方程组,并求的值.{3x +6y =106x +3y =8xy 集训四(解不等式)1.(2011.南京)解不等式组,并写出不等式组的整数解.{5+2x ≥3x +13>x22.(2011.常州)解不等式组()()()⎩⎨⎧+≥--+-14615362x x x x p3.(2011.连云港)解不等式组:{2x +3<9-x ,2x -5>3x .)4.(2011.南通)求不等式组的解集,并写出它的整数{3x -6≥x -42x +1>3(x -1))解.5.(2011.苏州)解不等式:3﹣2(x﹣1)<1.6. (2011.宿迁)解不等式组⎪⎩⎪⎨⎧<+>+.221,12x x 8.解不等式组:102(2)3x x x-≥⎧⎨+>⎩9. 解不等式组并把解集在数轴上表示出来。
中考数学计算题专项训练 一、训练一(代数计算) 1. 计算:(1)3082145+-Sin(2)(3)2×(-5)+23-3÷12(4)22+(-1)4+(5-2)0-|-3|; (6)︒+-+-30sin 2)2(20 (8)()()022161-+--2.计算:345tan 3231211-︒-⨯⎪⎭⎫ ⎝⎛+⎪⎭⎫ ⎝⎛-- 3.计算:()()()︒⨯-+-+-+⎪⎭⎫⎝⎛-30tan 331212012201031100124.计算:()()0112230sin 4260cos 18-+︒-÷︒--- 5.计算:1201002(60)(1)|28|(301)21cos tan -÷-+--⨯-- 二、训练二(分式化简)注意:此类要求的题目,如果没有化简,直接代入求值一分不得! 考点:①分式的加减乘除运算 ②因式分解 ③二次根式的简单计算1.. 2。
21422---x x x 3.(a+b )2+b (a ﹣b ). 4. 11()a a a a --÷ 5.2111x x x -⎛⎫+÷ ⎪⎝⎭6、化简求值(1)⎝⎛⎭⎪⎫1+ 1 x -2÷x 2-2x +1x 2-4,其中x =-5.(2)(a ﹣1+)÷(a 2+1),其中a=﹣1.(3)2121(1)1a a a a++-⋅+,其中a =2-1. (4))252(423--+÷--a a a a , 1-=a (5))12(1aa a a a --÷-,并任选一个你喜欢的数a 代入求值.(6)22121111x x x x x -⎛⎫+÷ ⎪+--⎝⎭然后选取一个使原式有意义的x 的值代入求值7、先化简:再求值:⎝ ⎛⎭⎪⎫1-1a -1÷a 2-4a +4a 2-a ,其中a =2+ 2 .8、先化简,再求值:a -1a +2·a 2+2a a 2-2a +1÷1a 2-1,其中a 为整数且-3<a<2.9、先化简,再求值:222211yxy x x y x y x ++÷⎪⎪⎭⎫⎝⎛++-,其中1=x ,2-=y .10、先化简,再求值:222112()2442x x x x x x-÷--+-,其中2x =(tan45°-cos30°) 三、训练三(求解方程)1. 解方程x 2﹣4x+1=0. 2。
中考数学计算题专项训练 一、训练一(代数计算) 1. 计算:(1)3082145+-Sin(2)(3)2×(-5)+23-3÷12(4)22+(-1)4+(5-2)0-|-3|; (6)︒+-+-30sin 2)2(20 (8)()()022161-+--2.计算:345tan 3231211-︒-⨯⎪⎭⎫ ⎝⎛+⎪⎭⎫ ⎝⎛-- 3.计算:()()()︒⨯-+-+-+⎪⎭⎫⎝⎛-30tan 331212012201031100124.计算:()()0112230sin 4260cos 18-+︒-÷︒--- 5.计算:1201002(60)(1)|28|(301)21cos tan -÷-+--⨯-- 二、训练二(分式化简)注意:此类要求的题目,如果没有化简,直接代入求值一分不得! 考点:①分式的加减乘除运算 ②因式分解 ③二次根式的简单计算1.. 2。
21422---x x x 3.(a+b )2+b (a ﹣b ). 4. 11()a a a a --÷ 5.2111x x x -⎛⎫+÷ ⎪⎝⎭6、化简求值(1)⎝⎛⎭⎪⎫1+ 1 x -2÷x 2-2x +1x 2-4,其中x =-5.(2)(a ﹣1+)÷(a 2+1),其中a=﹣1.(3)2121(1)1a a a a++-⋅+,其中a =2-1. (4))252(423--+÷--a a a a , 1-=a (5))12(1aa a a a --÷-,并任选一个你喜欢的数a 代入求值.(6)22121111x x x x x -⎛⎫+÷ ⎪+--⎝⎭然后选取一个使原式有意义的x 的值代入求值7、先化简:再求值:⎝ ⎛⎭⎪⎫1-1a -1÷a 2-4a +4a 2-a ,其中a =2+ 2 .8、先化简,再求值:a -1a +2·a 2+2a a 2-2a +1÷1a 2-1,其中a 为整数且-3<a<2.9、先化简,再求值:222211yxy x x y x y x ++÷⎪⎪⎭⎫⎝⎛++-,其中1=x ,2-=y .10、先化简,再求值:222112()2442x x x x x x-÷--+-,其中2x =(tan45°-cos30°) 三、训练三(求解方程)1. 解方程x 2﹣4x+1=0. 2。
计算题1.33+〔π+3〕0-327+∣3-2∣2. 5x+2x²+x=3x+13. 3-xx-4+14-x=14. x²-5x=05. x²-x-1=06. 化简239x +6x4-2x1x7. 因式分解x4-8x²y²+16y48.22x+1+12x-1=54x²-19. 因式分解〔2x+y〕²-(x+2y)²10.因式分解-8a²b+2a³+8ab²11. 因式分解a4-1612. 因式分解3ax²-6axy+8ab²13. 先化简,再带入求值〔x+2〕(x-1)-x²-2x+1x-1,x= 314. (-3)º-∣-3∣+(-1)2015+(12)-115. (1a-1-1a²-1)÷a²-aa²-116. 2(a+1)²+(a+1)(1-2a)17. (2x-1x+1-x+1)÷x-2x²+2x+118. (-3-1)×(- 32)²-2-1÷(-12)³19.12x-1=243-21x20. (x+1)²-(x+2)(x-2)21. sin60°-∣1-3∣+〔12〕-122.〔-5〕16×(-2)15 (结果以幂的形式表示)23.假设n为正整数且〔m n〕²=9,求〔13m3n〕³(m²)2n24. 因式分解a²+ac-ab-bc25. 因式分解x²-5x+626. 因式分解(x+2)(x+3)+x²-427. 因式分解(a²+1)²-4a²28. -12016+18÷(-3)×∣-1 2∣29. 先化简,再求值3(x²+xy-1)-(3x²-2xy),其中x=1,y= - 1 530. 计算3-4+5-(-6)-731. 计算-1²+(-4)²×∣-18∣-8²÷(-4)³32.计算20-〔-7〕-∣-2∣33.计算〔13-59+1112〕×(-36)34.计算〔-1〕²-14×[2- (-3)²]35.解二元一次方程组x-2y=1 ①x+3y=6②36. 解二元一次方程组2(x-y)3-x+y4= -112①5y-x=3 ②37. 解二元一次方程组x+2y=6 ①3x-2y=2 ②38. 解不等式3〔x-1〕>2x+239. 解不等式3x+13-7x-35≤2+2(x-2)1540. 化简a(a-1)²-(a+1)(a²-a+1)41. (aa-b+bb-a)÷1a+b42. 当m=15-2,求代数式m+1m43. 〔12〕-1 - 〔2-1〕0+∣-3∣+tan45º-cos60ºcos30º·tan60°44. 先化简再求值x²-5x+63x²-3x·(1-3x+1)·(1+2x-3),其中x= 345. 先化简再求值x-yy²-x²,其中x=-1,y=246. 解方程x²-3x=047. 6-(-2)²·2-1+〔-3.14〕0+3-8+cos²45°48. 计算〔3〕²+4×〔- 12〕-2³49. 先化简,再求值〔a+b〕(a-b)+b(b-2),其中a=2,b=-150. 计算4-〔15+2〕0+(-2)³÷3-151. 计算12-1- 3tan²30°+2(sin45°-1)²52. 化简[aa-b+b²a(b-a)]÷a+bab53. 计算- 2²+(3-3.14) 0+3sin30°54. 计算〔13〕-1+〔2006-π〕0 - 3tan60°55. 计算2013-〔π-3.14〕0+∣-3∣+〔-1〕56.57.计算:﹣.58. 计算:.59. 计算:.60. 计算:.61. 计算:.62.〔a﹣2〕2+4〔a﹣1〕﹣〔a+2〕〔a﹣2〕63. 〔﹣1〕2013﹣|﹣7|+×0+〔〕﹣1;64. .65. 计算:.66. 解方程:.67. 计算:.68. 解方程:=﹣.69. 求不等式组的整数解.70. 先化简,再求值:〔﹣〕÷,其中x=+1.71. 解方程:72.73. 先化简,再求值:÷+,其中x=2+1.74. 解方程:.75. 计算:.76. 计算:〔1+〕2013﹣2〔1+〕2012﹣4〔1+〕2011. 77. 计算:.78. 计算:011821()2π-+--+.79. 解方程组:22220x y x xy y -=-⎧⎨--=⎩. 80. 计算:〔﹣1〕3+〔+1〕0+. 81. 解不等式组:. 82. 先化简,再求值:÷〔x+1﹣〕,其中x=﹣2.83. ∣-5∣+2²-(3+1)084. 2×(-5)+23-3÷1285. 22+(-1)4+(5-2)0-|-3| 86.()()0332011422---+÷- 87. a a ²-b² -a a-b ÷b b-a88. 2x x ²-4- 1x-289. 〔a+b 〕2+b 〔a ﹣b 〕. 90. (a - 1a )÷a-1a91. 2111x x x -⎛⎫+÷⎪⎝⎭92.⎝ ⎛⎭⎪⎪⎫1+ 1x -2÷ x 2-2x +1x 2-4,其中x =-5.93. 〔a ﹣1+〕÷〔a 2+1〕,其中a=﹣1.94. 2121(1)1a a a a++-⋅+,其中a 2-1.95.)252(423--+÷--a a a a ,1-=a 96. 化简求值: 111(11222+---÷-+-m m m m m m 〕,其中m =3.97. 化简2111x x x -⎛⎫+÷ ⎪⎝⎭98.化简:xx x x x x x x x 416)44122(2222+-÷+----+, 其中22+=x99. 化简并求值:221122a b a b a a b a -⎛⎫--+ ⎪-⎝⎭,其中322323a b =-=-,.100.计算:332141222+-+÷⎪⎭⎫ ⎝⎛---+a a a a a a a .101. 先化简,再求值:13x -·32269122x x x xx x x-+----,其中x =-6.102.先化简再求值:⎝ ⎛⎭⎪⎪⎫1-1a -1÷a 2-4a +4a 2-a ,其中a =2+ 2 .103. 先化简,再求值:a -1a +2·a 2+2a a 2-2a +1÷1a 2-1,其中a 为整数且-3<a <2. 104.先化简,再求值:222211yxy x x y x y x ++÷⎪⎪⎭⎫ ⎝⎛++-,其中1=x ,2-=y .105. 先化简,再求值:2222(2)42x x x x x x -÷++-+,其中12x =. 106.先化简,再求值222112()2442x x x x x x-÷--+-,其中2x = 107. 22221(1)121a a a a a a +-÷+---+. 108.先化简再求值:1112421222-÷+--•+-a a a a a a ,其中a 满足20a a -=.109. 先化简:144)113(2++-÷+-+a a a a a ,并从0,1-,2中选一个适宜的数作为a 的值代入求值。
初中数学计算题(200道)×(-9)-12÷(-4)56÷(-7)-2÷5+×29÷(-4)÷-(-50)÷2[+]×[(-5)-(-7)]÷[+]÷(1/4+1/5)×÷1/2÷(-2)+÷2-(-5)×24*(-3)+70*(-5)+5*(-3)+25 9999*3+101*11*(101-92)(23/4-3/4)*(3*6+2)3/7 × 49/9 - 4/38/9 × 15/36 + 1/2712× 5/6 –2/9 ×38× 5/4 + 1/46÷ 3/8 –3/8 ÷64/7 × 5/9 + 3/7 × 5/95/2 -( 3/2 + 4/5 )7/8 + ( 1/8 + 1/9 )9 × 5/6 + 5/63/4 × 8/9 - 1/37 × 5/49 + 3/146 ×( 1/2 + 2/3 )8 × 4/5 + 8 × 11/531 × 5/6 – 5/69/7 - ( 2/7 – 10/21 )5/9 × 18 –14 × 2/74/5 × 25/16 + 2/3 × 3/414 × 8/7 –5/6 × 12/15 17/32 –3/4 × 9/243 × 2/9 + 1/35/7 × 3/25 + 3/73/14 × 2/3 + 1/61/5 × 2/3 + 5/69/22 + 1/11 ÷ 1/25/3 × 11/5 + 4/345 × 2/3 + 1/3 × 157/19 + 12/19 × 5/61/4 + 3/4 ÷ 2/38/7 × 21/16 + 1/2101 × 1/5 –1/5 × 21 50+160÷40120-144÷18+35347+45×2-4160÷5237×(58+37)÷(64-9×5)已做95÷(64-45)178-145÷5×6+42812-700÷(9+31×11)85+14×(14+208÷26)120-36×4÷18+35(58+37)÷(64-9×5)× ÷×(×+)÷÷4= +÷ ×=×()=×()+×(6+÷)×[()×÷12×6÷()-612×6÷×+×58+370)÷(64-45)420+580-64×21÷28 136+6×(65-345÷23)×+(3-÷)×1× ÷×(×+)÷×6+(+)÷×+××()+×[()×÷÷[×()+]12×6÷()-612×6÷-(-)÷76.(25%-695%-12%)*3677./4*3/5+3/4*2/54+8/9/7/979.+1/6/3/24+2/2180./15*3/581.3/4/9/10-1/682./3+1/2)/5/6-1/3]/1/783./5+3/5/2+3/484.(2-2/3/1/2)]*2/585.++456-52*8%+632588./2+1/3+1/489+456-785%+. 3/7 × 49/9 - 4/3 9 × 15/36 + 1/272× 5/6 –2/9 ×33× 5/4 + 1/494÷ 3/8 –3/8 ÷695/7 × 5/9 + 3/7 × 5/9 6/2 -( 3/2 + 4/5 )8 + ( 1/8 + 1/9 )8 × 5/6 + 5/61/4 × 8/9 - 1/310 × 5/49 + 3/14×( 1/2 + 2/3 )2/9 × 4/5 + 8 × 11/5 × 5/6 – 5/64/7 - ( 2/7 – 10/21 )19 × 18 –14 × 2/75 × 25/16 + 2/3 × 3/4 4 × 8/7 –5/6 × 12/15 7/32 –3/4 × 9/242/3÷1/2-1/4×2/52-6/13÷9/26-2/32/9+1/2÷4/5+3/810÷5/9+1/6×41/2×2/5+9/10÷9/205/9×3/10+2/7÷2/51/2+1/4×4/5-1/83/4×5/7×4/3-1/223-8/9×1/27÷1/278×5/6+2/5÷41/2+3/4×5/12×4/5 8/9×3/4-3/8÷3/4 5/8÷5/4+3/23÷9/11 ×+×××××(+)(27)×+××+×××4+++×3-()2×4×46+×54+×××8×28×(+)(4+×)8×7××99+(+)48×+50×××8×+(1010+309+4+681+6)×12 3×9146×782×6×854×7/8+3/7 × 49/9 - 4/38/9 × 15/36 + 1/2712× 5/6 –2/9 ×38× 5/4 + 1/44/7 × 5/9 + 3/7 × 5/95/2 -( 3/2 + 4/5 )7/8 + ( 1/8 + 1/9 )9. 9 × 5/6 + 5/63/4 × 8/9 - 1/37 × 5/49 + 3/146 ×( 1/2 + 2/3 )8 × 4/5 + 8 × 11/531 × 5/6 – 5/69/7 - ( 2/7 – 10/21 )5/9 × 18 –14 × 2/74/5 × 25/16 + 2/3 × 3/4 14 × 8/7 –5/6 × 12/15 17/32 –3/4 × 9/243 × 2/9 + 1/33/14 × 2/3 + 1/61/5 × 2/3 + 5/69/22 + 1/11 ÷ 1/25/3 × 11/5 + 4/345 × 2/3 + 1/3 × 157/19 + 12/19 × 5/61/4 + 3/4 ÷ 2/38/7 × 21/16 + 1/2101 × 1/5 –1/5 × 2150+160÷40 (58+370)÷(64-45)120-144÷18+35347+45×2-4160÷52(58+37)÷(64-9×5)95÷(64-45)178-145÷5×6+42 420+580-64×21÷28812-700÷(9+31×11)(136+64)×(65-345÷23)85+14×(14+208÷26)(284+16)×(512-8208÷18)120-36×4÷18+35(58+37)÷(64-9×5)× ÷×(×+)÷(2)×(+)÷÷4+÷×()×+×()+×(6+÷)×51.[()×÷()+]×6÷()-6 (4)12×6÷102×-(-3)×(-5) ÷2×+×(-2)+2-(-52)×(-1) ×5+87÷(-3)×(-1) ××(20-)×〔(-3)×(-5)〕÷2××÷127+352+73+44×(-2)89×276+(-135)-3325×71+75÷29 -88÷(-2)243+89+111+579405-2940÷28×21920-1680÷40÷7690+47×52-398148+3328÷64-75360×24÷32+7302100-94+48×5451+(2304-2042)×23 4215+(4361-716)÷81 (247+18)×27÷2536-720÷(360÷18)1080÷(63-54)×80(528+912)×5-61788528÷41×38-904264+318-8280÷69(174+209)×26- (9000^0) 814-(278+322)÷151406+735×9÷453168-7828÷38+504796-5040÷(630÷7)285+(3000-372)÷36 1+5/6-19/123x(-9)+7x(-9)(-54)x1/6x(-1/3)1.18.1+(3-÷)×12.3.0.12× ÷××+÷(-2)××(+)÷+6.7.2÷×7.6.5×()×+×8.10.15×9.5.8×()+×10.32.52-(6+÷)×11.[()×÷12.5.4÷[×()+]×6÷()-6×6÷15.33.02-(-)÷(-5)-252×(-78)(-6) ×(-2)+3÷(5+50)7-7+3-6-(-90)(-8)(-3)×(-8)×25(7+13) ÷(-616)÷(-28) (8+14-100-27)÷4 (-15) ÷(-1)-101÷1016÷×(-8) ×+(-10) ×(-2) ×4÷{-9÷[6+]}(-18)(-4)2×[×9-32{-890-[79+] ×9}(-20)-23+(-9) ×(-24)×104÷(-5) ×[-|98|+76+(-87)]*23[56+(-75)-(7)]-(8+4+3) 5+21*8/2-6-5968/21-8-11*8+61-2/9-7/9-56(-3/4+1.6-4-3/4)1/2+3+5/6-7/12[23-4-18/1/8....+1000001/1+1/2+1/3+......1/501+1/2+1/4+1/8+1/16+......1/5123+9+27+81+243+ (9999)1+1/2+1/6+1/12+1/20+1/30+1/42+1/56+1/72+1/90 8-2×32-(-2×3)2–12 × (-3)2-(-1/2)2003×(-2)2002÷2/92)÷3/1×[-2-(-3)3]-∣1/8-∣[-38-(-1)7+(-3)8]×-53a^3-2b^3+ab(2a-b)-√a-b^215*(-8)+2b^2+(x^2+y^2)^2-4y(x^2+y^2)+4y^26-3a^8-(-5^2-6)(x^2+2x)^2+3(x^2+2x)+x^2+2x+3(a+1)(a+2)+(2a+1)(a-2)-12x^2(y+z)^2-2xy(x-z)(y+z)+y^2(x-z)^23(a+2)^2+28(a+2)-20(a+b)^2-(b-c)^2+a^2-c^28x(x+1)(x^2+x-1)-2x^2(x-1)^2-3(x^2-x)-5614a(a-b)+(a-b)^2(a-b)^+a(b-a)^2(x+2)-2x=5-4x(x+2a)-a=2(b-2x)+4a* (2)972**1/4[-|98|+76+(-87)]*23[56+(-75)-(7)]-(8+4+3) 5+21*8/2-√121-5968/21-8-11*8+61-2/9-7/9-56(-3/4+1.6-4-3/4)1/2+3+5/6-7/12[23-4-18/1/821-8-116-4-34)1/2+3+5/6-7/12[23-4-18/1/821-8-116-4-34)1/2+3+5/6-7/12[23-4-18/1/8(+1-2*2*2*2-5^2+(6^2-5^2) -(-12++-1+8-7+5^7-(-5+√9)125*3+125*5+25*3+25 9999*3+101*11*(101-92) (23/4-3/4)*(3*6+2)3/7 × 49/9 - 4/38/9 × 15/36 + 1/2712x*5/6y–2/9y*|3x-2y| 8×5/4+1/4*|-7-8|6÷ 3/8 –3/8 ÷64/7 × 5/9 + 3/7 × 5/9 5/2 -( 3/2 + 4/5 )7/8 + ( 1/8 + 1/9 )9 × 5/6 + 5/63/4 × 8/9 - 1/37 × 5/49 + 3/146 ×( 1/2 + 2/3 )8 × 4/5 + 8 × 11/531 × 5/6 – 5/69/7 - ( 2/7 – 10/21 )5/9 × 18 –14 × 2/74/5 × 25/16 + 2/3 × 3/4 14 × 8/7 –5/6 × 12/15 17/32 –3/4 × 9/243^45 × 2/9 + 1/35/7 × 3/25 + 3/73/14 ×2/3 + 1/61/5 × 2/3 + 5/65/3 × 11/5 + 4/39/22+1/11÷1/2-√16945^8 × 2/3 + 1/3 × 157/19 + 12/19 × 5/61/4 + 3/4 ÷ 2/38/7 × 21/16 + 1/2101^4×(-1/5–1/5×21)50+√160÷40^5120-144÷18+35347+45×2-4160÷5237^2(58+37)÷(64-9×5)95÷(64-45)178-145÷5×6+42812-700÷(9+31×11)85+14×(14+208÷26)120-36×4÷18+35(58+37)÷(64-9×5)× ÷×(×+)÷÷4= +÷ ×=×()=×()+×(6+÷)×[()×÷÷[×()+]12×6÷()-612×6÷×+×58+370)÷(64-45)420+580-64×21÷28 136+6×(65-345÷23)×+(3-÷)×1× ÷×(×+)÷×6+(+)÷×+××()+×(6+÷)×[()×÷÷[×()+]12×6÷()-612×6÷-(-)÷76.(25%-695%-12%)*36 7/4*3/5+3/4*2/51-1/4+8/9/7/97+1/6/3/24+2/218/15*3/53/4/9/10-1/68/3+1/2)/5/6-1/3]/1/7 9/5+3/5/2+3/48^6(2-2/3/1/2)]*2/58+3+456-52*8%+63258/2+1/3+1/489+456-785%+. 3/7 × 49/9 - 4/3 9 × 15/36 + 1/272× 5/6 –2/9 ×33× 5/4 + 1/494÷ 3/8 –3/8 ÷695/7 × 5/9 + 3/7 × 5/9 6/2 -( 3/2 + 4/5 )8 + ( 1/8 + 1/9 )8 × 5/6 + 5/61/4 × 8/9 - 1/310× 5/49 + 3/14×( 1/2 + 2/3 )2/9 × 4/5 + 8 × 11/5 × 5/6 – 5/64/7 - ( 2/7 – 10/21 )19 × 18 –14 × 2/75 × 25/16 + 2/3 × 3/4 4 × 8/7 –5/6 × 12/15 7/32 –3/4 × 9/242/3÷1/2-1/4×2/52-6/13÷9/26-2/3 2/9+1/2÷4/5+3/8 10÷5/9+1/6×41/2×2/5+9/10÷9/20 5/9×3/10+2/7÷2/5 1/2+1/4×4/5-1/8 3/4×5/7×4/3-1/2 23-8/9×1/27÷1/27 18×5/6+2/5÷411/2+3/4×5/12×4/5 8/9×3/4-3/8÷3/4 5/8÷5/4+3/23÷9/11 ×+×××××(+)×+×××4+++×3-()2×4×46+×54+×××8×28×(+)(4+×)8×7××99+(+)48×+50×××8(1010+309+4+681+6)×12 3×9146×782×6×854×7/8+3/7 × 49/9 - 4/38/9 × 15/36 + 1/2712× 5/6 –2/9 ×38× 5/4 + 1/46÷ 3/8 –3/8 ÷64/7 × 5/9 + 3/7 × 5/9 5/2 -( 3/2 + 4/5 )7/8 + ( 1/8 + 1/9 )9 × 5/6 + 5/63/4 × 8/9 - 1/37 × 5/49 + 3/146 ×( 1/2 + 2/3 )31 × 5/6 – 5/69/7 - ( 2/7 – 10/21 )5/9 × 18 –14 × 2/74/5 × 25/16 + 2/3 × 3/4 14 × 8/7 –5/6 × 12/15 17/32 –3/4 × 9/243 × 2/9 + 1/35/7 × 3/25 + 3/73/14 × 2/3 + 1/61/5 × 2/3 + 5/69/22 + 1/11 ÷ 1/25/3 × 11/5 + 4/345 × 2/3 + 1/3 × 157/19 + 12/19 × 5/61/4 + 3/4 ÷ 2/3101 × 1/5 –1/5 × 2150+160÷40 (58+370)÷(64-45)120-144÷18+35347+45×2-4160÷52(58+37)÷(64-9×5)95÷(64-45)178-145÷5×6+42 420+580-64×21÷28 812-700÷(9+31×11)(136+64)×(65-345÷23)85+14×(14+208÷26)(284+16)×(512-8208÷18)120-36×4÷18+35(58+37)÷(64-9×5)× ÷×(×+)÷×(+)÷÷4= +÷ ×=×()= ×+××()+×(6+÷)×[()×÷÷[×()+]12×6÷()-6 (4)12×6÷102^2×+8^5-√529×+××8×(20-)127+352+73+4489+276+135+3325+71+75+29 +88243+89+111+579405-2940÷28×21920-1680÷40÷7690+47×52-398148+3328÷64-75360×24÷32+7302100-94+48×5451+(2304-2042)×23 4215+(4361-716)÷81 (247+18)×27÷2536-720÷(360÷18)1080÷(63-54)×80 (528+912)×5-6178 8528÷41×38-904264+318-8280÷69 (174+209)×26- 9000 814-(278+322)÷15 1406+735×9÷453168-7828÷38+504796-5040÷(630÷7)285+(3000-372)÷36 1+5/6-19/123x(-9)+7x(-9(-54)x1/6x(-1/3)+(3-÷)×1× ÷×(×+)÷×(+)÷÷××()×+×××()+×(6+÷)×[()×÷÷[×()+] 12×6÷()-6 12×6÷-(-)÷二.解方程2x=7(x-5)8(3x+3)=240+x)÷=115x-30=16(x-2) (-3)^3-3^3(-1)^2^2+3^3-4^4(2^4-3^2)^3-5^5 [^2-2^3)]^2×2)^2-15^2(-15)^x=225,x= [(-4)^2-4^2]×2^2 [^2+3]^2[^2+^2]×(-1)^2 3x+28-x=56+6=2+=18(x-35)=-36x+7-(-36+8^2)/2=8+7^4/3a-7-98+7a=*5a89/2+35/6x=3*9+2^3/5+7x3X+189/3=521/24Y+119*^3=22/113X*189=5*4^5/38Z/6=458/53X+77=594Y-6985=8187X*13=57Z/93=4115X+863-65X=5458Y*55=274897(2x-1)-3(4x-1)=4(3x+2)-1(5y+1)+ (1-y)= (9y+1)+ (1-3y) [-6(-7^4*8)-4]=x+220%+(1-20%)(320-x)=320×40%2(x-2)+2=x+12(x-2)-3(4x-1)=9(1-x)11x+64-2x=100-9x15-(8-5x)=7x+(4-3x)3(x-7)-2[9-4(2-x)]=223/2[2/3(1/4x-1)-2]-x=22x+7^2=1571)判断题:判断下列方程是否是一元一次方程:①-3x-6x2=7( )③5x+1-2x=3x-2 ( )④3y-4=2y+1. ( )判断下列方程的解法是否正确:①解方程3y-4=y+3解:3y-y=3+4,2y=7,y=②解方程:=+2解:+=2-3;=-1,x=-2③解方程解:5x+15-2x-2=10,3x=-3,x=-1;④解方程解:2x-4+5-5x=-1,-3x=-2,x= .( )2)填空题:(1)若2(3-a)x-4=5是关于x的一元一次方程,则a≠_ (2)关于x的方程ax=3的解是自然数,则整数a的值为_ (3)方程5x-2(x-1)=17 的解是_(4)x=2是方程2x-3=m- 的解,则m=_ .(5)若-2x2-5m+1=0 是关于x的一元一次方程,则m=_ . (6)当y=_ 时,代数式5y+6与3y-2互为相反数.(7)当m=_ 时,方程的解为0.(8)已知a≠0.则关于x的方程3ab-(a+b)x=(a-b)x的解为______ .3)选择题:(1)方程ax=b的解是().A.有一个解x= B.有无数个解C.没有解 D.当a≠0时,x=(2)解方程 ( x-1)=3,下列变形中,较简捷的是()A.方程两边都乘以4,得3( x-1)=12B.去括号,得x- =3C.两边同除以,得 x-1=4D.整理,得(3)方程2- 去分母得()(2x-4)=-(x-7) (2x-4)=-x-7(2x-4)=-(x-7) D.以上答案均不对(4)若代数式比大1,则x的值是(). A.13 B. C.8 D.(5)x=是方程()的解.+2=2x-(-2-9)B.2{3[4(5x-1)-8]-2}=8+9 =6x+64)解答下列各题:(1)x等于什么数时,代数式的值相等(2)y等于什么数时,代数式的值比代数式的值少3(3)当m等于什么数时,代数式2m- 的值与代数式的值的和等于5 (4)解下列关于x的方程:①ax+b=bx+a;(a≠b);三.化简、化简求值化间求值:1、-9(x-2)-y(x-5)(1)化简整个式子。