冶金传输原理期末试卷2
- 格式:doc
- 大小:83.50 KB
- 文档页数:5
冶金传输原理考试题一、判断下列说法是否正确(2分/题×15题=30分)1、迹线与流线是完全重合的。
2、本书中对应力的双下标描述中,第一个下标是应力的作用面的法向方向,第二个下标为作用力的方向。
3、利用量纲分析法导出准数方程,必须首先得到描述现象的微分方程式以及全部单值条件。
4、欧拉方程是N-S方程的简化。
5、管内流体层流流动时其最大速度是平均速度的两倍。
6、无论是圆管水流还是明渠水流,流态判别雷诺数均为2300。
7、在温度场中,等温面可以是连续的,也可以是不连续的。
8、导温系数就是导热系数。
9、温度梯度是矢量,其方向沿等温面的法线指向温度增加的方向。
10、普朗特准数反映了物体的导热能力与蓄热能力之间的关系。
11、自然界中黑体并不存在,但灰体是广泛存在的。
12、实际物体的辐射力总是小于黑体,其辐射能量的分布遵守普朗克定律。
13、黑体就是黑色的。
14、质量浓度就是密度。
15、球形物体在静止流体中传质时,谢伍德准数为一固定值。
二、选择题(2分/题×10题=20分)1、不同的液体其粘滞性_______,同一种液体的粘滞性具有随温度_______而降低的特性。
A 相同降低B 相同升高C 不同降低D 不同升高2、在研究液体运动时,按照是否考虑粘滞性,可将液流分为A 牛顿液体流动及非牛顿液体流动;B 可压缩液流及不可压缩液流;C 均匀流动及非均匀流动;D 理想液体流动及实际液体流动。
3、雷诺数的物理意义是A.惯性力与压力之比;B.惯性力与重力之比;C.惯性力与黏性力之比;D.惯性力与表面张力之比;4、非恒定流是:A、;B、;C、;D、。
5、如模型比尺为1:20, 考虑粘滞离占主要因素,采用的模型中流体与原型中相同,模型中流速为50m/s,则原型中流速为______m/s。
A 11.1B 1000C 2.5D 2236、下列那个方程可描述自然对流给热?A ()Pr Re,f Nu =;B ()Pr ,Gr f Nu =;C ()Gr f Nu Re,=;D()Sc f Sh Re,=7、根据兰贝特定律,黑体的辐射力是其辐射强度的 倍。
理想流体的有旋及无旋流动1.流体微团____ 。
(A) 具有规则的几何形状(B) 质量大小不受限制(C) 线尺度是小量2.流体微团的变形速度包括____ 。
(A) 线变形速度(B) 角变形速度(C) 旋转角速度(D) 前三者之和3.旋转角速度是____ 。
(A) 标量(B) 矢量(C) 既不是标量也不是矢量4.流体微团的旋转角速度____ 。
(A)于刚体转动的情况相同(B) 随时随地都可以改变(C) 收到变形速度的影响5.涡量和旋转角速度的关系是____ 。
(A) 相等(B) 涡量等于旋转角速度的两倍(C) 没有一定关系6.流体作有旋运动的特征是____ 。
(A)流体质点的运动轨迹是曲线(B) 速度的旋度非零(C) 涡量的三个分量都不等于零7.速度势只存在于____ 。
(A)不可压缩流体的流动中(B) 可压缩流体的定常流动(C) 无旋流动中(D) 二维流动中8.速度势函数____ 。
(A)梯度为速度(B) 满足拉普拉斯方程(B)在不可压缩流动中满足拉普拉斯方程(D) 在定常流动中满足拉普拉斯方程9.流函数存在于____ 。
(A)不可压缩流体的流动中(B) 可压缩流体的平面流动中(C) 不可压缩流体的轴对称流动中(D) 任意二维流动中10.平面流动的流函数____ 。
(A)在无旋条件下满足拉普拉斯方程(B)在流场中两点的差值与过两点间的曲线的流量相等(C)在流场中两点的差值与过两点间的曲线的环量相等11.不可压缩流体的平面无旋流动____ 。
(A)同时存在速度势函数和流函数(B) 等势线与流线正交(C) 不一定存在速度势函数和流函数(D) 速度势函数和流函数均为调和函数12.两个不可压缩的平面无旋流动的速度场叠加,则其____ 。
(A)速度势函数也叠加(B) 流函数也叠加(C) 速度势函数大喝流函数不满足叠加关系13.偶极子可以看成是____叠加的极限过程的产物。
(A)点源与点涡(B) 点汇与点涡(C) 等强度点源与点汇(D) 不等强度点源与点汇14.均匀流绕圆柱体无环量流动是由____和____叠加而成的。
上海应用技术学院—学年第学期《冶金传输原理》考试(2)试卷课程代码:学分: 考试时间:分钟课程序号:班级:学号:姓名:我已阅读了有关的考试规定和纪律要求,愿意在考试中遵守《考场规则》,如有违反将愿接受相应的处理。
试卷共4 页,请先查看试卷有无缺页,然后答题。
一.选择题(每题1分,共15分)1. 动量、热量和质量传输过程中,他们的传输系数的量纲为:(1)Pa.s (2)N.s/m2 (3) 泊 (4)m2/s2.流体单位重量的静压能、位能和动能的表示形式为:(1)P/ρ, gz, u2/2 (2)P, ρgz, ρu2/2(3) P/r, z, u2/2g (4)PV, mgz, mu2/23.非圆形管道的当量直径定义式为:(1)D当=4S/A (2) D当=D(3) D当=4A/S (4) D当=A/4S(A:管道的截面积;S:管道的断面周长)4.不可压缩流体绕球体流动时(Re<1),其阻力系数为:(1) 64/Re (2) 24/Re (3) 33/Re (4) 28/Re 5.判断流体流动状态的准数是:(1)Eu (2)Fr (3)Re (4)Gr6.激波前后气体状态变化是:(1)等熵过程(2)绝热过程(3)可逆过程(4)机械能守恒过程7.Bi→0时,其物理意义为:(1)物体的内部热阻远大于外部热阻。
(2)物体的外部热阻远小于内部热阻。
(3)物体内部几乎不存在温度梯度。
(4)δ/λ>>1/h。
8.根据四次方定律,一个物体其温度从100℃升到200℃,其辐射能力增加 (1) 16倍 (2) 2.6 倍(3)8 倍 (4)前三个答案都不对9.表面温度为常数时半无限大平板的加热属于:(1)导热的第一类边界条件(2)导热的第二类边界条件(3)导热的第三类边界条件(4)是属于稳态导热10.强制对流传热准数方程正确的是:(1)Nu=f(Gr) (2)Nu=f(Re)(3) Nu=f(Re,Pr) (4) Eu=f(Gr,Re)11.下面哪个有关角度系数性质的描述是正确:(1)ψ1,2=ψ2,1 (2) ψ1+2,3=ψ1,3 +ψ2,3(3) ψ1,1=0 (4) ψ1,2 F1=ψ2,1 F212.绝对黑体是指:(1)它的黑度等于1。
(冶金行业)冶金试卷一、填空题1.在共发射极电路中,输入信号u i加在三极管的之间,而输出信号u o取自三极管的之间,所以称为共发射极放大电路。
2.放大电路的静态是指,放大电路的动态是指。
3.在共发射极电路中,当静态工作点设置太低,接近截止区,会出现输出波形的被削去的现象,称为失真。
4.在共发射极电路中,当静态工作点设置太高,接近饱和区,会出现输出波形的被削去的现象,称为失真。
5.在共发射极电路中,影响静态工作点的主要因素是,常用的稳定静态工作点的放大电路是。
6.射极输出器的电压放大倍数,输入电阻,输出电阻。
7.工作在线性区的理想运算放大器符合的俩个结论分别是和。
8.在负反馈放大电路中,负反馈使得输入量,却以牺牲来换取放大器各种性能的全面改善。
9.整流是把转换成的过程,它利用的半导体元件是。
10.在桥式整流电路中,已知输出电压U L=25V,负载电流I L=200mA,则变压器次级电压U2= ,二极管中的平均电流I L= ,二极管承受的最大反向电压U RM= 。
11.把变成的过程称为滤波,常用的电容滤波电路中电容的连接方法是。
12.把变成的过程称为滤波,常用的电感滤波电路中电感的连接方法是 .13.稳压电路的作用是,常用的稳压电路有、和。
14.串联型稳压电路的主要组成部分是、、、和。
其中稳压二极管接在。
15.三端集成稳压器的三端指、和。
W78XX 系列输出电压,W79XX系列输出电压。
16.(11010101)2=()10(65)10=()。
217.画出Y=AB的逻辑符号,画出Y=A+B的逻辑符号,画出Y=的逻辑符号。
18.在TTL和非门使用的过程中,多余或暂时不用的输入端,处理的原则是,壹般方法有、和。
19.MOS电路中多余或暂时不用的输入端,不能,只能按要求或或。
20.集成运算放大器有俩个输入端,分别和,分别表示和。
21.和非门的逻辑功能是、。
二、选择题1.在共发射极电路中,当温度升高时,静态工作点Q将会沿直流负载线()A.上移B下移C不动2.在多级放大电路中,级间耦合方式有()A.阻容耦合B直接耦合C变压器耦合3.负反馈放大电路使放大电路的放大倍数()A增大B减小C不动4.在集成运算放大器中,当输入信号u+从同相输入端输入时,输出u o和u+()A反相B同相C正交5.在集成运算放大器中,当输入信号u-从同相输入端输入时,输出u o和u-()A同相B反相C正交6.整流后负载上得到单壹方向的全波脉动电压的电路是(-----)整流电路。
精品文档《冶金原理》试题一 解释下列名词①氧势:体系中氧气的相对化学位,RT ln P O 2 。
②选择性氧化:对于金属熔体,用控制温度及体系压力的方法,控制熔体中元素的氧化,达到保留某些元素或者氧化富集某些元素的目的,称为选择性氧化。
二 简答题 (共 30 分)① ( 6 分 ) 炉渣的熔点是如何定义的?炉渣的半球点温度是如何定义的?二者是否一致?为什么?炉渣熔点定义:加热时固态完全转变为均匀液相的温度,也就是炉渣相图的液相线或液相面的温度。
半球点温度:渣柱试样在加热过程中高度降低一半时所对应的温度,实际上此时炉渣未完全熔化,因此不等于理论上定义的炉渣熔点。
② ( 5 分 ) 在进行冶金中的相关反应计算时,对于金属熔体中的组元,一般采用哪种标准态?对于熔渣中的组元,一般采用哪种标准态?在进行冶金中的相关反应计算时,对于金属熔体中的组元,一般采用服从亨利定律,重量 1%浓度溶液为标准态;对于熔渣中的组元,一般采用纯物质为标准态。
③ ( 6 分 ) 写出化学反应速率常数与温度的关系式,说明其中每个符号的意义,讨论活化能的大小对反应速率常数随温度变化的影响关系。
化学反应速率常数与温度的关系式为:Ekz e RT式中: k — 化学反应速率常数; R — 理想气体常数; T -温度E —活化能; z — 频率因子。
在频率因子一定的条件下,活化能 E 越大,则 k 越小。
反之,活化能E 越小,则 k 越大。
因为:ln k Eln zRT 所以:d ln kEdTRT 2E 越大,d ln k值越大,当温度升高时, k 随温度升高而增大得多; E 越小,d ln k值越小,当温度升高dTdT时, k 随温度升高而增大得少。
④ ( 8 分 ) 对于 H 2 还原 FeO 的过程,采用一界面未反应核描述时,其速率的积分式为:0 rR r 0 232R31R 3c 0 c 平36 D eK111R 3当过程处k 1K于动力学范围时,写出相应的速率积分式,计算反应完全所需的时间;内扩散是限制环节时,写出相应的速率积分式,计算反应完全所需的时间。
一、名词解释1 流体:能够流动的物体。
不能保持一定的形状,而且有流动性。
2 脉动现象:在足够时间,速度始终围绕一平均值变化,称为脉动现象。
3 水力粗糙管:管壁加剧湍流,增加了流体流动阻力,这类管称为水力粗糙管。
4 牛顿流:符合牛顿粘性定律的流体。
5 湍流:流体流动时,各质点在不同方向上做复杂无规那么运动,相互干扰的运动。
这种流动称为湍流。
6 流线:在同一瞬时,流场中连续不同位置质点的流动方向线。
7 流管:在流场取任意封闭曲线,通过该曲线上每一点,作流线,组成的管状封闭曲面,称流管。
8 边界层:流体通过固体外表流动时,在紧靠固体外表形成速度梯度较大的流体薄层称边界层。
9 伪塑性流:其特征为〔〕,当n<1时,为伪塑型流。
10非牛顿流体:不符合牛顿粘性定律的流体,称之为非牛顿流体,主要包括三类流体。
11宾海姆塑流型流体:要使这类流体流动需要有一定的切应力ι时流体处于固结状态,只有当切应力大于ι时才开场流动。
12稳定流:运动参数只随位置改变而与时间无关,这种流动就成为稳定流。
13非稳定流:流场的运动参数不仅随位置改变,又随时间不同而变化,这种流动就称为非稳定流。
14迹线:迹线就是流体质点运动的轨迹线,特点是:对于每一个质点都有一个运动轨迹,所以迹线是一族曲线,而且迹线只随质点不同而异,与时间无关。
16 水头损失:单位质量〔或体积〕流体的能量损失。
17 沿程阻力:它是沿流动路程上由于各流体层之间的摩擦而产生的流动阻力,也叫摩擦阻力。
18 局部阻力:流体在流动中因遇到局部障碍而产生的阻力。
19脉动速度:脉动的真实速度与时均速度的差值成为脉动速度。
20 时均化原那么:在某一足够长时间段以平均值的速度流经一微小有效断面积的流体体积,应该等于在同一时间段以真实的有脉动的速度流经同一微小有效断面积的流体体积。
21热传导:物体各局部之间不发生相对位移时,依靠分子、原子及自由电子等微观粒子的热运动进展的热量传递称为热传导。
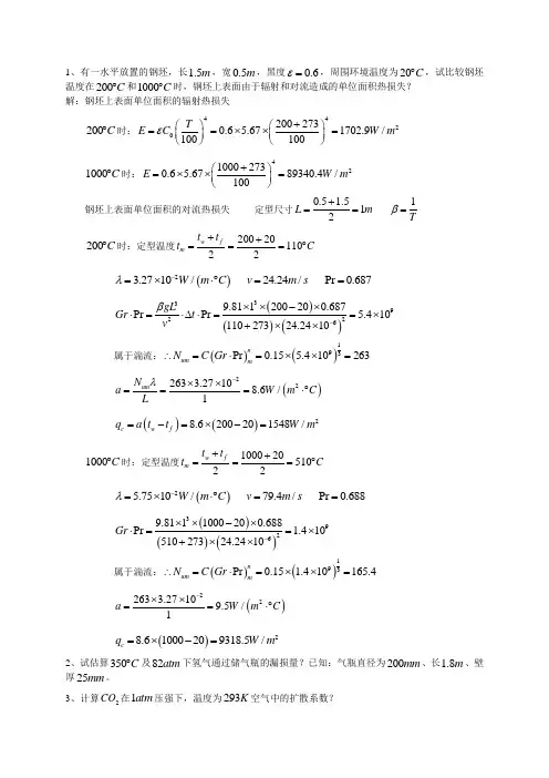
1、有一水平放置的钢坯,长1.5m ,宽0.5m ,黑度0.6ε=,周围环境温度为20C ︒,试比较钢坯温度在200C ︒和1000C ︒时,钢坯上表面由于辐射和对流造成的单位面积热损失? 解:钢坯上表面单位面积的辐射热损失200C ︒时:44202002730.6 5.671702.9/100100T E C W m ε+⎛⎫⎛⎫==⨯⨯= ⎪ ⎪⎝⎭⎝⎭ 1000C ︒时:4210002730.6 5.6789340.4/100E W m +⎛⎫=⨯⨯= ⎪⎝⎭钢坯上表面单位面积的对流热损失 定型尺寸0.5 1.512L m +== 1Tβ=200C ︒时:定型温度2002011022w fm t t t C ++===︒()23.2710/24.24/Pr 0.687W m C v m sλ-=⨯⋅︒==()()()3392269.811200200.687Pr Pr 5.41011027324.2410gL Gr t vβ-⨯⨯-⨯⋅=⋅∆⋅==⨯+⨯⨯属于湍流:()()193Pr 0.15 5.410263num m N C G r ∴=⋅=⨯⨯=()22263 3.27108.6/1um N a W m C Lλ-⨯⨯===⋅︒()()28.6200201548/c w f q a t t Wm =-=⨯-=1000C ︒时:定型温度10002051022w fm t t t C ++===︒()25.7510/79.4/Pr 0.688W m C v m s λ-=⨯⋅︒==()()()39269.8111000200.688Pr 1.41051027324.2410Gr -⨯⨯-⨯⋅==⨯+⨯⨯属于湍流:()()193Pr 0.15 1.410165.4num m N C G r ∴=⋅=⨯⨯=()22263 3.27109.5/1a W m C -⨯⨯==⋅︒()28.61000209318.5/c q W m =⨯-=2、试估算350C ︒及82atm 下氢气通过储气瓶的漏损量?已知:气瓶直径为200m m 、长1.8m 、壁厚25m m 。
上海应用技术学院 — 学年第 学期《冶金传输原理》考试(1)试卷课程代码: 学分: 考试时间: 分钟课程序号: 班级: 学号: 姓名: 我已阅读了有关的考试规定和纪律要求,愿意在考试中遵守《考场规则》,如有违反将愿接受相应的处理。
一.选择题(每题1分,共15分)1.流体动力粘度的单位为: (1)Pa.s (2)Kg.s/m 2 (3) 泊 (4)m 2/s2.流体在管道内进行层流流动时,其平均速度和最大速度之间的关系为:(1)max x x υυ= (2) max 21x x υυ= (3) max 82.0x x υυ= (4) 71max υυ=x 3. 流体单位体积的静压能、位能和动能的表示形式为:(1)P/ρ, gz, u 2/2 (2)PV, mgz, mu 2/2(3) P/r, z, u 2/2g (4)P, ρgz, ρu 2/24.在湍流光滑管区,沿程阻力系数的表达式为:(1))(Re,∆=f λ (2))(∆=f λ(3)(Re)f =λ (4)Re /64=λ5.已知空气在某一截面的温度为t 1=62℃,则该处的音速为:(1)331 (2)0.8 (3)1.6 (4)250(已知空气的k=1.4,R=287J(Kg ·K))6.下列关于可压缩气体流动描述正确的是:(1)亚音速气体流动时速度随着截面积的增加而增加;(2)超音速气体流动时速度随着截面积的增加而增加;(3)亚音速气体流动时压力随着截面积的增加而减小;(4)超音速气体流动时压力随着截面积的增加而增加;7.在求薄材的加热和冷却时,对于无限大平板,其定性尺寸取:(1) 平板的厚度 (2)平板的宽度(3) 平板的1/2厚度 (4)以上三个都不对8.已知Nu=hL/λ,B i =h ΣL/λ,请问下面哪种描述是正确的。
(1)Nu 和B i 是相同的。
(2)λ(Nu)与λ(Bi)是相同的。
(3)h 和h Σ是一样的。
第一章 流体的主要物理性质1-1何谓流体,流体具有哪些物理性质?答:流体是指没有固定的形状、易于流动的物质。
它包括液体和气体。
流体的主要物理性质有:密度、重度、比体积压缩性和膨胀性。
1-2某种液体的密度ρ=900 Kg /m 3,试求教重度y 和质量体积v 。
解:由液体密度、重度和质量体积的关系知: ∴质量体积为)/(001.013kg m ==ρν1.4某种可压缩液体在圆柱形容器中,当压强为2MN /m 2时体积为995cm 3,当压强为1MN /m 2时体积为1000 cm 3,问它的等温压缩率k T 为多少?解:等温压缩率K T 公式(2-1): TT P V V K ⎥⎦⎤⎢⎣⎡∆∆-=1 ΔV=995-1000=-5*10-6m 3注意:ΔP=2-1=1MN/m 2=1*106Pa将V=1000cm 3代入即可得到K T =5*10-9Pa -1。
注意:式中V 是指液体变化前的体积1.6 如图1.5所示,在相距h =0.06m 的两个固定平行乎板中间放置另一块薄板,在薄板的上下分别放有不同粘度的油,并且一种油的粘度是另一种油的粘度的2倍。
当薄板以匀速v =0.3m/s 被拖动时,每平方米受合力F=29N ,求两种油的粘度各是多少?解:流体匀速稳定流动时流体对板面产生的粘性阻力力为平板受到上下油面的阻力之和与施加的力平衡,即代入数据得η=0.967Pa.s第二章 流体静力学(吉泽升版)2-1作用在流体上的力有哪两类,各有什么特点?解:作用在流体上的力分为质量力和表面力两种。
质量力是作用在流体内部任何质点上的力,大小与质量成正比,由加速度产生,与质点外的流体无关。
而表面力是指作用在流体表面上的力,大小与面积成正比,由与流体接触的相邻流体或固体的作用而产生。
2-2什么是流体的静压强,静止流体中压强的分布规律如何?解: 流体静压强指单位面积上流体的静压力。
静止流体中任意一点的静压强值只由该店坐标位置决定,即作用于一点的各个方向的静压强是等值的。
《冶金传输原理—传热传质》部分习题集一、概念题-11. 温度场2. 温度梯度3. 对流给热(对流换热)4. 热流量与热通量5. 流向传质与非流向传质6. 热通量与传质通量7. 黑体8. 黑度(辐射率) 9. 热辐射 10. 有效辐射 11. 角系数 12. 非稳态导热13. 导热问题第三类边界条件(导热问题第一类边界条件) 14. 热边界层(传质边界层) 15. 努塞尔特准数及其物理意义 16. 格拉晓夫准数及其物理意义 17. 施密特与修伍德准数的表达式 18. 傅立叶准数及其物理意义 19. 修伍德准数的表达式 20. 傅立叶准数的物理意义二、概念题-21. 在平板层流给热分析解法求解对流给热系数的过程中,层流边界层对流给热微分方程组有四个微分方程,若用文字或数学解析式表达,它们分别是① 、② 、③ 、和④连续性方程(0=∂∂+∂∂y v x v y x )。
2. 影响流体对流给热系数的因素可以归结为四个方面。
他们是 、 、温度 和 壁面几何形状与位置。
3. 求解传热微分方程或传质微分方程的定解条件一般有四类,分别是 、 、 和边界条件。
4. 根据斯蒂芬-波尔兹曼定律和有关实际物体黑度的定义,实际物体的辐射力与温度的关系可表示为:E = w/m 2,其中 ε 称为物体的黑度,或称 ,其值介于0~1之间。
5. 对三维稳态导热的有限差分方法来说,任何一个内部节点的温度,其实就等于周围相邻节点温度的 ,即t i,j,k = 。
6. 影响流体对流给热系数的因素可以归结为四个方面。
它们分别为:流体流速、 、 和 。
7. 根据动量守恒定律,可以推导出纳维-斯托克斯方程;根据 ,可以推导出传热微分方程;根据质量守恒定律则可以分别推导出流体连续性方程方程和 微分方程。
8. 研究对流给热的主要任务,就是求解对流给热系数h 。
一般求解h 的方法有四种,它们分别是 、边界层近似积分解、 、和 。
9. 如果动量传输微分方程可以写作x x x x xz x y x x x g x pz v y v x v v z v v y v v x v v v +∂∂+⎪⎪⎭⎫ ⎝⎛∂∂+∂∂+∂∂=∂∂+∂∂+∂∂+∂∂ρτ1222222,则热量传输微分方程可以写作 ,质量传输微分方程可以写作 。
冶金传输原理试题每题5分,共计30分1. 试由连续性方程说明速度散度的物理含义2. 请说明yx τ的物理含义3. 请写出标量的梯度、拉普拉斯算子运算及矢量的散度、旋度在直角坐标下的表达式,并说明运算后变量为标量还是矢量。
4. 请写出运动方程矢量式并说明各项的含义。
5. 请分别从扩散型与对流型通量的表达式说明动量传输、热量传输、质量传输的相似性。
6. 结合实例说明冶金传输原理在冶金工程中的作用7. 钢包内表面积为A 1,水口截面积为A 2,钢液初始深度为H ,不计阻力,计算钢包流空时间。
要点:2212220,2dMu A dtM hA u gh u ρρ=-=-==而:1222dhA u A dt=-=,积分之:21/2011/221()(/)HA dh h A H A A t ===⎰8.如图所示文特利管可测流量,如处于开口试验段,d=400mm,D=1m,h=150mm,空气和酒精密度分别为1.293,795 kg/m 3 计算出口处的气流速度。
要点:2211221122V P V P ρρ+=+ 12P P gh ρ-=洒所以:22211()2V V h g ρρ-=洒另据:22122 =43.6m/sD V d V V ==9.不可压缩流体沿无限大水平面做稳定流动,在只有重力作用下,赯压力与高度的关系要点:运动方程为:1Pg yρ∂=-∂ 积分可得:P gy C ρ=-+10.Re=3500, 20℃水(ρ=998.23kg/m 3621.00710/m s ν-=⨯)流过直径为50.8mm 长1.3m 的光滑管。
求:(1) 湍流、层流平均流速比、压力损失比 (2) 湍流总压降 (3) 层流时中心流速要点:(1)据Re 定义式,/1层湍=(2)22Lp d λρ∆=,0.250.3164/Re λ湍=,64/Re λ层=,/ 2.25p p ∆∆层湍=(3)Re /0.0694/;0.041,d m s νλ=⋅==湍v22.52/p N m ∆=(4)20.1388/m s ==center v v11.不可压缩流体在两个同轴垂直圆筒间作切向层流流动,外筒以角速度ω旋转,内筒静止,设端口效应可忽略,求流体的速度分布,内筒外径kR ,外筒内径R(可参考P75例题()()1()kR r r kR r Rk kθω-=-v )12.在一半径为R 的圆柱形容器内盛有 液体,该容器绕其自身轴以角速度ω旋转,求系统定态下自由表面的形状。
西安建筑科技大学研究生试卷冶金传输试题答案一、解释名词(共20分,每题5分)1、连续介质答:将流体视为由连续不断的质点构成的、内部不存在间隙的介质。
连续介质是研究流体运动的一种模型概念2、牛顿流体答:符合牛顿粘性定律,流体剪切应力与速度梯度的一次方成正比的流体。
3、温度梯度答:温度场中任意一点沿等温面法线方向的温度增加率。
4、热边界层答:流体与固体进行对流换热时,在流体与固体表面间形成具有温度梯度的流体薄层。
二、回答问题(共30分,每题6分)1、什么是迹线?什么是流线?它们有什么区别?①在连续介质的流场中,流体质点在某一段时间间隔内经过的路线叫做迹线。
②在连续介质的流场中,相邻流体质点于同一瞬间的速度向量所构成的连线称为流线。
③迹线是对某一流体质点而言的,它表示在某一段时间间隔内某一特定的流体质点在空间所经过的路线;流线则是对连续分布的许多质点而言的,它表示某一特定时刻这些质点的运动方向。
在稳定流动中,各质点的速度不随时间而变化,因而在不同时刻,流体质点是沿着不变的流线流动,所以流线与迹线重合。
2、什么是层流流动?什么是湍流流动?如何判断两种流动状态?答:①当流体流动时,流体在流动方向上水平平行流动,各层间无横向干扰和掺混。
如果是管流流动是平行管轴的平行流动,此种流动状态称为层流流动。
②当流体流动时,流体质点在各方向都有分速度,相互干扰和掺混的向前,全部流场中流体质点做复杂的无规则运动。
这种流动状态称为湍流流动。
③通常用雷若准数(R e=uρd/μ)1)由紊流向层流转变时R e=23002)由层流向紊流转变时R e可达138003、什么是稳定态传热?什么是非稳定态传热?举例说明。
答:①稳定温度场下发生的传热叫稳定态传热。
所谓稳定温度场是指温度场仅是空间坐标的函数,与时间无关。
以导热为例,发生稳定态导热时,物体各处温度不随时间变化,物体不吸热,也不放热,没有热量的积蓄,仅起导热作用。
例如连续加热炉的炉墙导热。
第2章 流体静力学【题2-1】如图2-1所示,一圆柱体,1.0m d =质量,50kg m =在外力N F 520=的作用下压进容器中,当m h 5.0=时达到平衡状态。
求测压管中水柱高度H=?图2-1 题2-1示意图解 γπ⨯+=+)(42h H d mg F m h d mg F H 6.125.081.99981.040404)(22=-⨯⨯⨯=-⨯⨯⨯+=πγπ【题2-2】两个容器A 、B 充满水,高度差为a 。
为测量它们之间的压强差,用顶部充满油的倒U 形管将两个容器相连,如图2-2所示。
已知油的密度。
油m a m h m kg 1.0,1.0,/9003===ρ求两容器中的压强差。
图2-2 题2-2示意图解 :(略)参考答案:Pa p p B A 1075=-【题2-3】如图2-3所示,直径m d m D 3.0,8.0==的圆柱形容器自重1000N ,支撑在距液面距离m b 5.1=的支架上。
由于容器内部有真空,将水吸入。
若,9.1m b a =+求支架上的支撑力F 。
图2-3 题2-3示意图解: 略【题2-4】如图2-4所示,由上下两个半球合成的圆球,直径d=2m,球中充满水。
当测压管读数H=3m 时,不计球的自重,求下列两种情况下螺栓群A-A 所受的拉力。
(1) 上半球固定在支座上;(2) 下半球固定在支座上。
图2-4 题2-4示意图解 :略【题2-5】矩形闸门长1.5m,宽2m(垂直于图面),A 端为铰链,B 端连在一条倾斜角045=α的铁链上,用以开启此闸门,如图2-5所示。
量得库内水深,并标在图上。
今欲沿铁链方向用力T 拉起此闸门,若不计摩擦与闸门自重,问所需力T 为若干?图2-5 题2-5示意图解 :略【题2-6】 如图2-6所示测量装置,活塞直径,35mm d =油的密度3/918m kg =油ρ,水银的密度3/13600m kg Hg =ρ,活塞与缸壁无泄露和摩擦。
上海应用技术学院—学年第学期
《冶金传输原理》考试(2)试卷
课程代码:学分: 考试时间:分钟
课程序号:
班级:学号:姓名:
我已阅读了有关的考试规定和纪律要求,愿意在考试中遵守《考场规则》,如有违反将愿接受相应的处理。
试卷共4 页,请先查看试卷有无缺页,然后答题。
一.选择题(每题1分,共15分)
1. 动量、热量和质量传输过程中,他们的传输系数的量纲为:
(1)Pa.s (2)N.s/m2 (3) 泊 (4)m2/s
2.流体单位重量的静压能、位能和动能的表示形式为:
(1)P/ρ, gz, u2/2 (2)P, ρgz, ρu2/2
(3) P/r, z, u2/2g (4)PV, mgz, mu2/2
3.非圆形管道的当量直径定义式为:
(1)D
当=4S/A (2) D
当
=D
(3) D
当=4A/S (4) D
当
=A/4S
(A:管道的截面积;S:管道的断面周长)
4.不可压缩流体绕球体流动时(Re<1),其阻力系数为:
(1) 64/Re (2) 24/Re (3) 33/Re (4) 28/Re 5.判断流体流动状态的准数是:
(1)Eu (2)Fr (3)Re (4)Gr
6.激波前后气体状态变化是:
(1)等熵过程(2)绝热过程
(3)可逆过程(4)机械能守恒过程
7.Bi→0时,其物理意义为:
(1)物体的内部热阻远大于外部热阻。
(2)物体的外部热阻远小于内部热阻。
(3)物体内部几乎不存在温度梯度。
(4)δ/λ>>1/h。
8.根据四次方定律,一个物体其温度从100℃升到200℃,其辐射能力增加 (1) 16倍 (2) 2.6 倍
(3)8 倍 (4)前三个答案都不对
9.表面温度为常数时半无限大平板的加热属于:
(1)导热的第一类边界条件
(2)导热的第二类边界条件
(3)导热的第三类边界条件
(4)是属于稳态导热
10.强制对流传热准数方程正确的是:
(1)Nu=f(Gr) (2)Nu=f(Re)
(3) Nu=f(Re,Pr) (4) Eu=f(Gr,Re)
11.下面哪个有关角度系数性质的描述是正确:
(1)ψ1,2=ψ2,1 (2) ψ1+2,3=ψ1,3 +ψ2,3
(3) ψ1,1=0 (4) ψ1,2 F1=ψ2,1 F2
12.绝对黑体是指:
(1)它的黑度等于1。
(2)它的反射率等于零。
(3)它的透过率等于1。
(4)它的颜色是绝对黑色。
13.如组分A通过停滞组分B扩散,则有:
(1)N
A =0 (2)N
B
+N
A
=0 (3)N
B
=0 (4)N
A
=N
B
14.谢伍德准数的正确表达式为: (1)
d hL (2)d L k c (3)λhL
(4)D
η 15.费克型扩散的条件是:
(1)d ≤0.1λ (2) d =λ(3)d ≤λ(4)d ≤100λ 二.填空题(每题2分,共10分)
1.按1:20比例制成一根与空气管道几何相似的模型管,用粘性为空气的50倍,密度为800倍的水做模型实验,若空气管道中流速为6m/s ,则模型中水速为 与模型相似。
2.如图,三层平壁的厚度相同,当导热系数之比为2:1:3::321=λλλ时,由此可推断稳态时各层温度差之比为 。
t 1
δ1 δ2 δ3
λ1 λ2 λ3
3.格拉晓夫准数Gr 的表达式为 。
4.流体的密度ρ=1000Kg/m 3,运动粘度η=0.007cm 2/s ,在水平板上流动,速度分布式为:V x =3y-y 3m/s ,则在x=x 1,y=1mm 处粘性动量通量为 。
5.摩尔平均速度的定义式为 。
三.问答题(每题5分,共25分)
1. 请写出不可压缩流体的纳维-斯托克斯方程,并说明各项的物理意义。
2.请写出获得超音速气流的充分必要条件。
3.请绘出流体流过平板时层流边界层中的速度分布和温度分布及速度边界层和温度边界层厚度的相对大小。
(Pr>1)
4.请画出三个灰体中有一个灰体表面是重辐射时的辐射换热网络图,并写出表面1和表面2之间辐射换热量的计算式。
5.请写出菲克第一定律的四种表示形式。
四.计算题(共50分)
1.如图所示,在直径D=600mm 的圆管内,装有测总压的管A ,在同一断面上装有测静压的管B ,两管均连接于酒精压力计,酒精密度3/800m Kg =酒ρ,若B 管上酒精压力计的读数mm h 1141=,A 管上为mm h 1222=,空气密度为
3/25.1m Kg =空ρ,若断面上平均流速与管中心线上的速度之比为0.84,求风
管那气流的动压,平均流速,空气的流量?(15分)
2.为了减少热损失和保证安全工作条件,在外径为133mm 的蒸汽管道外覆盖保温层,蒸汽管外壁温度为400℃。
按电厂安全操作规定,保温材料外测温度不得超过50℃。
如果采用水泥蛭石制品作为保温材料,并把每米长管道的
热损失控制在465W/m 之下,问保温层厚度应为多少?t 000193.0103.0+=λ(10分)
4平均温度为40℃的锭子油,流过壁温为80℃,内径22.1mm 、长度为1.5m 的圆管,流量为800Kg/h ,求油的换热系数。
锭子油的物性参数:40℃时的
92Pr ,109.67,/85843=⋅⨯==-s Pa m Kg μρ,∙=m W /143.0λ℃;80℃时,
s Pa ⋅⨯=-4104.28,μ。
(15分) 5.有一直径d=50mm 的钢球,初始温度为450℃,将其突然置于温度为30℃
的空气中,设钢球表面与周围环境之间的总换热系数h =24W/m2.℃,钢球的密度ρ=7753Kg/m3,平均质量热容Cp=0.48KJ/Kg. ℃,平均热导率λ=33W/m.℃,试计算钢球冷却到300℃所需要的时间。
(10分)。