贝叶斯统计复习
- 格式:doc
- 大小:657.50 KB
- 文档页数:11
贝叶斯统计习题1. 设θ是一批产品的不合格率,从中抽取8个产品进行检验,发现3个不合格品,假如先验分布为 (1)U 0,1θ:()(2)21-0<<1=0,θθπθ⎧⎨⎩(),()其它 求θ的后验分布。
解:()()()()()111335368362(|)(1)*2(1)112(1)15(|)840(1),01m x p x d C d d p x x m x θπθθθθθθθθθθπθπθθθθ==--=-===-<<⎰⎰⎰2. 设12,,,n x x x L 是来自均匀分布U 0,θ()的一个样本,又设θ的先验分布为Pareto 分布,其密度函数为+1000/>=0,αααθθθθπθθθ⎧⎨≤⎩,()其中参数0>0,>0θα,证明:θ的后验分布仍为Pareto 分布。
解:样本联合分布为:1(),0np x x θθθ=<<1000/,()0,αααθθθθπθθθ+⎧>=⎨≤⎩{}110101()()()/1/,max ,,,n n n x p x x x αααπθθπθαθθθθθθ++++∝=∝>=L因此θ的后验分布的核为11/n αθ++,仍表现为Pareto 分布密度函数的核即1111()/,()0,n n n x αααθθθθπθθθ+++⎧+>=⎨≤⎩即得证。
3. 设12,,,n x x x L 是来自指数分布的一个样本,指数分布的密度函数为-(|)=,>0xp x e x λλλ,(1) 证明:伽玛分布(,)Ga αβ是参数λ的共轭先验分布。
(2) 若从先验信息得知,先验均值为0.0002,先验标准差为0.0001,确定其超参数,αβ。
解:()()()111()1()()()()(),.nii x nn n x n n x p x ee ex p x e Ga n nx λλααβλαβλλλλβπλλαλπλλπλλαβ=----+--+∑===Γ∝∝++样本的似然函数:参数的后验分布服从伽马分布220.0002(2)4,20000.0.0001αβαβαβ⎧=⎪⎪⇒==⎨⎪=⎪⎩4. 设一批产品的不合格品率为θ,检查是一个接一个的进行,直到发现第一个不合格品停止检查,若设X 为发现第一个不合格品是已经检查的产品数,则X 服从几何分布,其分布列为 ()-1(=|)=1-,=1,2,x P X x x θθθL假如θ只能以相同的概率取三个值1/4, 2/4, 3/4,现只获得一个观察值=3x ,求θ的最大后验估计ˆMDθ。
第一章 先验分布与后验分布1.1 解:令120.1,0.2θθ==设A 为从产品中随机取出8个,有2个不合格,则22618()0.10.90.1488P A C θ== 22628()0.20.80.2936P A C θ== 从而有5418.03.02936.07.01488.07.01488.0)()|()()|()()|()|(2211111=⨯+⨯⨯=+=θπθθπθθπθθπA P A P A P A 4582.0)|(1)|(4582.03.02936.07.01488.03.02936.0)()|()()|()()|()|(122211222=-==⨯+⨯⨯=+=A A or A P A P A P A θπθπθπθθπθθπθθπ1.2 解:令121, 1.5λλ==设X 为一卷磁带上的缺陷数,则()XP λ∴3(3)3!e P X λλλ-==R 语言求:)4(/)exp(*)3(^gamma λλ-1122(3)(3)()(3)()0.0998P X P X P X λπλλπλ∴===+== 从而有111222(3)()(3)0.2457(3)(3)()(3)0.7543(3)P X X P X P X X P X λπλπλλπλπλ==========1.3 解:设A 为从产品中随机取出8个,有3个不合格,则3358()(1)P A C θθθ=-(1) 由题意知 ()1,01πθθ=<< 从而有.10,)1(504)|(504)6,4(/1)6,4(1)6,4()1()1()1()1()1()1()1()()|()()|()|(535311614531535315338533810<<-==-=--=--=--==⎰⎰⎰⎰--θθθθπθθθθθθθθθθθθθθθθθθθπθθπθθπA beta B R B d d d C C d A P A P A :语言求(2).10,)1(840)|(840)7,4(/1)7,4(1)7,4()1()1()1()1()1()1(2)1()1(2)1()()|()()|()|(63631171463163631533853381<<-==-=--=--=----==⎰⎰⎰⎰--θθθθπθθθθθθθθθθθθθθθθθθθθθπθθπθθπA beta B R B d d d C C d A P A P A :语言求1.5 解:(1)由已知可得.5.125.11,110110/1)()|()()|()|(,2010,101)(5.125.111)|(2112211)|(12,2121,1)|(5.125.11201011111111<<===<<=<<=+<<-==+<<-=⎰⎰θθθθπθθπθθπθθπθθθθθθθθd d x p x p x x p x p x x x p ,,即,时,当(2)由已知可得.6.115.11,1010110/1)()|,,()()|,,(),,|(,2010,101)(6.115.111)|,,(,219.1121,214.1121,211.1121,217.1121215.11212112211)|,,(9.11,4.11,1.11,7.11,5.11,0.12,6,2,1,2121,1)|,,(6.115.112010621621621621621654321621<<===<<=<<=+<<-+<<-+<<-+<<-+<<-+<<-========+<<-=⎰⎰θθθθπθθπθθπθθπθθθθθθθθθθθθθθθθθθd d x x x p x x x p x x x x x x p x x x p x x x x x x i x x x x p i ,即,,时,当【原答案:由已知可得 ()1,0.50.5P x x θθθ=-<<+1(),102010πθθ=<< 11.611.51()0.0110m x d θ==⎰从而有()()()10,11.511.6()P x x m x θπθπθθ==<< 】1.6 证明:设随机变量()XP λ,λ的先验分布为(,)Ga αβ,其中,αβ为已知,则即得证!),(~),,|()()|,,(),,|(,0,)()(,!!)|,,(121)(121211112111βαλπλλπλλπλλαβλπλλλλβαβλααλλ++∑∑∝•∝>Γ=∑===+--+--=-=-==∏∏n x Ga x x x ex x x p x x x e x e x e x x x p ni i n n x n n ni in x ni i x n ni i ni ii【原答案: (),0!x e P x x λλλλ-=>1(),0()e ααβλβπλλλα--=>Γ 因此 11(1)()()()x x x P x e e e λαβλαβλπλλπλλλλ---+--+∝•∝= 所以 (,1)x Ga x λαβ++】 1.7 解:(1)由题意可知.1},max{,1)/(1)/(122)()|,,()()|,,(),,|(,10,1)(,,2,1,10,22)|,,(121},max{221},max{2121121212112122111<<∝===<<==<<<==⎰⎰∏∏⎰∏∏====θθθθθθθθθθπθθπθθπθθπθθθθn nx x nn x x nni in nni inn n n ni i nni inin x x d d x xd x x x p x x x p x x x n i x xx x x x p n n【原答案:由题意可知 ()1,01πθθ=<< 因此122()12(1)xxm x d x θθ=•=-⎰因此 2()()1(),1()1P x x x x m x x θπθπθθθ==<<-(实质是新解当n=1的情形)】 (2) 由题意可知.1},max{,1)/(1)/(13232)()|,,()()|,,(),,|(,10,3)(,,2,1,10,22)|,,(12-21},max{2-22-21},max{2212211212121212122111<<∝=⨯⨯==<<==<<<==⎰⎰∏∏⎰∏∏====θθθθθθθθθθθθπθθπθθπθθθπθθθθn n x x n n x x nni in nni inn n n ni i nni inin x x d d x xd x x x p x x x p x x x n i x xx x x x p n n【原答案:由题意可知 1222()36xm x d x θθθ=•=⎰因此 ()()()1,01()P x x m x θπθπθθ==<<】 1.8 解:设A 为100个产品中3个不合格,则3397100()(1)P A C θθθ=-由题意可知 199(202)()(1),01(200)πθθθθΓ=-≤≤Γ 因此 3971994296()()()(1)(1)(1)A P A πθθπθθθθθθθ∝•∝--=- 由上可知)297,5(~)|(Be A θπ1.9 解:设X 为某集团中人的高度,则2(,5)XN θ∴25(,)10XNθ ∴2(176.53)5()p x θθ--=由题意可知 2(172.72)5.08()θπθ--=又由于X 是θ的充分统计量,从而有()()()()x x p x πθπθθπθ=∝•222(176.53)(172.72)(174.64)55.0821.26eeeθθθ------⨯∝•∝因此 (174.64,1.26)x N θ1.10 证明:设22(,),,N u u θσσ其中为已知又由于X 是θ的充分统计量,从而有()()()()x x p x πθπθθπθ=∝•222222251()()11252()11225252u x x u eeeσθθθσσσ+----+⨯--⨯+⨯∝∝因此 222251(,)112525u x xN σθσσ+++又由于21112525σ≤+ 所以 θ的后验标准差一定小于151.11 解:设X 为某人每天早上在车站等候公共汽车的时间,则(0,)X U θ.8,861)/(1192192)()|,,()()|,,(),,|(,4,192)(.81)|,,(8,8,5.3,2,1,0,1)|,,(768778774321321321433213213321>⨯====≥=>=====<<=⎰⎰⎰∞∞∞θθθθθθθθθθπθθπθθπθθθπθθθθθθd d d x x x p x x x p x x x x x x p x x x i x x x x p i ,时,当【原答案:设X 为某人每天早上在车站等候公共汽车的时间,则(0,)XU θ∴1(),0p x x θθθ=<<当8θ>时,31()p x θθ=43819211()8192m x d θθθ+∞==⎰从而有 7()()3()()128p x x m x θπθπθθ==, 计算错误】1.12 证明:由题意可知 1(),0,1,2,...,i np x x i n θθθ=<<=从而有 ()()()()x x p x πθπθθπθ∝•00111n n n ααααθθθθθ++++∝•∝ 因此 θ的后验分布仍是Pareto 分布。
第一章 先验分布与后验分布1.1 解:令120.1,0.2θθ==设A 为从产品中随机取出8个,有2个不合格,则22618()0.10.90.1488P A C θ== 22628()0.20.80.2936P A C θ== 从而有5418.03.02936.07.01488.07.01488.0)()|()()|()()|()|(2211111=⨯+⨯⨯=+=θπθθπθθπθθπA P A P A P A 4582.0)|(1)|(4582.03.02936.07.01488.03.02936.0)()|()()|()()|()|(122211222=-==⨯+⨯⨯=+=A A or A P A P A P A θπθπθπθθπθθπθθπ1.2 解:令121, 1.5λλ==设X 为一卷磁带上的缺陷数,则()XP λ∴3(3)3!e P X λλλ-==R 语言求:)4(/)exp(*)3(^gamma λλ-1122(3)(3)()(3)()0.0998P X P X P X λπλλπλ∴===+== 从而有111222(3)()(3)0.2457(3)(3)()(3)0.7543(3)P X X P X P X X P X λπλπλλπλπλ==========1.3 解:设A 为从产品中随机取出8个,有3个不合格,则3358()(1)P A C θθθ=-(1) 由题意知 ()1,01πθθ=<< 从而有.10,)1(504)|(504)6,4(/1)6,4(1)6,4()1()1()1()1()1()1()1()()|()()|()|(535311614531535315338533810<<-==-=--=--=--==⎰⎰⎰⎰--θθθθπθθθθθθθθθθθθθθθθθθθπθθπθθπA beta B R B d d d C C d A P A P A :语言求(2).10,)1(840)|(840)7,4(/1)7,4(1)7,4()1()1()1()1()1()1(2)1()1(2)1()()|()()|()|(636311714631636315338533810<<-==-=--=--=----==⎰⎰⎰⎰--θθθθπθθθθθθθθθθθθθθθθθθθθθπθθπθθπA beta B R B d d d C C d A P A P A :语言求1.5 解:(1)由已知可得.5.125.11,110110/1)()|()()|()|(,2010,101)(5.125.111)|(2112211)|(12,2121,1)|(5.125.11201011111111<<===<<=<<=+<<-==+<<-=⎰⎰θθθθπθθπθθπθθπθθθθθθθθd d x p x p x x p x p x x x p ,,即,时,当(2)由已知可得.6.115.11,1010110/1)()|,,()()|,,(),,|(,2010,101)(6.115.111)|,,(,219.1121,214.1121,211.1121,217.1121215.11212112211)|,,(9.11,4.11,1.11,7.11,5.11,0.12,6,2,1,2121,1)|,,(6.115.112010621621621621621654321621<<===<<=<<=+<<-+<<-+<<-+<<-+<<-+<<-========+<<-=⎰⎰θθθθπθθπθθπθθπθθθθθθθθθθθθθθθθθθd d x x x p x x x p x x x x x x p x x x p x x x x x x i x x x x p i ,即,,时,当【原答案:由已知可得 ()1,0.50.5P x x θθθ=-<<+1(),102010πθθ=<< 11.611.51()0.0110m x d θ==⎰从而有()()()10,11.511.6()P x x m x θπθπθθ==<< 】1.6 证明:设随机变量()XP λ,λ的先验分布为(,)Ga αβ,其中,αβ为已知,则即得证!),(~),,|()()|,,(),,|(,0,)()(,!!)|,,(121)(121211112111βαλπλλπλλπλλαβλπλλλλβαβλααλλ++∑∑∝•∝>Γ=∑===+--+--=-=-==∏∏n x Ga x x x ex x x p x x x e x e x ex x x p ni i n n x n n ni in x ni i x n ni i ni ii【原答案: (),0!x e P x x λλλλ-=>1(),0()e ααβλβπλλλα--=>Γ 因此 11(1)()()()x x x P x e e e λαβλαβλπλλπλλλλ---+--+∝•∝= 所以 (,1)x Ga x λαβ++】 1.7 解:(1)由题意可知.1},max{,1)/(1)/(122)()|,,()()|,,(),,|(,10,1)(,,2,1,10,22)|,,(121},max{221},max{2121121212112122111<<∝===<<==<<<==⎰⎰∏∏⎰∏∏====θθθθθθθθθθπθθπθθπθθπθθθθn nx x nn x x nni in nni inn n n ni i nni inin x x d d x xd x x x p x x x p x x x n i x xx x x x p n n【原答案:由题意可知 ()1,01πθθ=<< 因此122()12(1)xxm x d x θθ=•=-⎰因此 2()()1(),1()1P x x x x m x x θπθπθθθ==<<- (实质是新解当n=1的情形)】(2) 由题意可知.1},max{,1)/(1)/(13232)()|,,()()|,,(),,|(,10,3)(,,2,1,10,22)|,,(12-21},max{2-22-21},max{2212211212121212122111<<∝=⨯⨯==<<==<<<==⎰⎰∏∏⎰∏∏====θθθθθθθθθθθθπθθπθθπθθθπθθθθn n x x n n x x nni in nni inn n n ni i nni inin x x d d x xd x x x p x x x p x x x n i x xx x x x p n n【原答案:由题意可知 1222()36xm x d x θθθ=•=⎰因此 ()()()1,01()P x x m x θπθπθθ==<<】 1.8 解:设A 为100个产品中3个不合格,则3397100()(1)P A C θθθ=-由题意可知 199(202)()(1),01(200)πθθθθΓ=-≤≤Γ 因此 3971994296()()()(1)(1)(1)A P A πθθπθθθθθθθ∝•∝--=- 由上可知)297,5(~)|(Be A θπ1.9 解:设X 为某集团中人的高度,则2(,5)XN θ∴25(,)10XNθ ∴2(176.53)5()p x θθ--=由题意可知 2(172.72)5.08()θπθ--=又由于X 是θ的充分统计量,从而有()()()()x x p x πθπθθπθ=∝•222(176.53)(172.72)(174.64)55.0821.26eeeθθθ------⨯∝•∝因此 (174.64,1.26)x N θ1.10 证明:设22(,),,N u u θσσ其中为已知又由于X 是θ的充分统计量,从而有()()()()x x p x πθπθθπθ=∝•222222251()()11252()11225252u x x u eeeσθθθσσσ+----+⨯--⨯+⨯∝∝因此 222251(,)112525u x xN σθσσ+++又由于21112525σ≤+ 所以 θ的后验标准差一定小于151.11 解:设X 为某人每天早上在车站等候公共汽车的时间,则(0,)X U θ.8,861)/(1192192)()|,,()()|,,(),,|(,4,192)(.81)|,,(8,8,5.3,2,1,0,1)|,,(768778774321321321433213213321>⨯====≥=>=====<<=⎰⎰⎰∞∞∞θθθθθθθθθθπθθπθθπθθθπθθθθθθd d d x x x p x x x p x x x x x x p x x x i x x x x p i ,时,当【原答案:设X 为某人每天早上在车站等候公共汽车的时间,则(0,)XU θ∴1(),0p x x θθθ=<<当8θ>时,31()p x θθ=43819211()8192m x d θθθ+∞==⎰从而有 7()()3()()128p x x m x θπθπθθ==, 计算错误】1.12 证明:由题意可知 1(),0,1,2,...,i np x x i n θθθ=<<=从而有 ()()()()x x p x πθπθθπθ∝•00111n n n ααααθθθθθ++++∝•∝ 因此 θ的后验分布仍是Pareto 分布。
贝叶斯统计:原理、方法和应用贝叶斯统计是一种基于贝叶斯概率的统计学理论,它使用概率的方法来解决统计学问题,如参数估计、假设检验、预测和决策等。
贝叶斯统计的核心思想是利用贝叶斯定理,根据已有的数据和先验知识,更新对未知参数或模型的信念,得到后验分布。
贝叶斯统计与传统的频率统计有很大的不同,主要体现在对概率的理解、对参数的处理和对推断的方法上。
本文将介绍贝叶斯统计的基本原理、主要方法和应用领域,以及它与频率统计的比较和联系。
一、贝叶斯统计的基本原理1.1 贝叶斯概率贝叶斯统计是建立在贝叶斯概率的基础上的。
贝叶斯概率是一种主观概率,它反映了人们对某个事件或命题发生的信心程度。
贝叶斯概率不依赖于事件的重复性或客观性,而是依赖于人们的知识和经验。
因此,不同的人可以有不同的贝叶斯概率,而且同一个人在不同的情境下也可以有不同的贝叶斯概率。
例如,如果我们想要估计明天下雨的概率,我们可以根据天气预报、季节、地理位置等信息来给出一个贝叶斯概率。
这个概率并不是说明天下雨是一个随机事件,而是说我们对明天下雨有多大的信心。
如果我们有更多或更准确的信息,我们可以更新我们的贝叶斯概率。
如果我们和别人有不同的信息或判断标准,我们可以有不同的贝叶斯概率。
1.2 贝叶斯定理贝叶斯定理是贝叶斯统计中最重要的工具,它描述了在给定新数据或证据后,如何更新对某个事件或命题发生的信心程度。
贝叶斯定理可以用数学公式表示为:P(A|B)=P(B|A)P(A)P(B)其中,A和B是两个事件或命题,P(A)是A发生的先验概率,即在没有B信息之前对A发生的信心程度;P(B)是B 发生的边缘概率,即在没有考虑A之前B发生的信心程度;P(B|A)是在已知A发生后B发生的条件概率,即在考虑了A信息之后对B发生的信心程度;P(A|B)是在已知B发生后A发生的条件概率,即在考虑了B信息之后对A发生的信心程度。
这个条件概率也被称为后验概率,它是贝叶斯推断的目标。
第一章 先验分布与后验分布1.1 解:令120.1,0.2θθ==设A 为从产品中随机取出8个,有2个不合格,则22618()0.10.90.1488P A C θ== 22628()0.20.80.2936P A C θ== 从而有5418.03.02936.07.01488.07.01488.0)()|()()|()()|()|(2211111=⨯+⨯⨯=+=θπθθπθθπθθπA P A P A P A 4582.0)|(1)|(4582.03.02936.07.01488.03.02936.0)()|()()|()()|()|(122211222=-==⨯+⨯⨯=+=A A or A P A P A P A θπθπθπθθπθθπθθπ1.2 解:令121, 1.5λλ== 设X 为一卷磁带上的缺陷数,则()XP λ∴3(3)3!e P X λλλ-==R 语言求:)4(/)exp(*)3(^gamma λλ-1122(3)(3)()(3)()0.0998P X P X P X λπλλπλ∴===+== 从而有111222(3)()(3)0.2457(3)(3)()(3)0.7543(3)P X X P X P X X P X λπλπλλπλπλ==========1.3 解:设A 为从产品中随机取出8个,有3个不合格,则3358()(1)P A C θθθ=-(1) 由题意知 ()1,01πθθ=<< 从而有.10,)1(504)|(504)6,4(/1)6,4(1)6,4()1()1()1()1()1()1()1()()|()()|()|(53531161453153531533853381<<-==-=--=--=--==⎰⎰⎰⎰--θθθθπθθθθθθθθθθθθθθθθθθθπθθπθθπA beta B R B d d d C C d A P A P A :语言求(2).10,)1(840)|(840)7,4(/1)7,4(1)7,4()1()1()1()1()1()1(2)1()1(2)1()()|()()|()|(63631171463163631533853381<<-==-=--=--=----==⎰⎰⎰⎰--θθθθπθθθθθθθθθθθθθθθθθθθθθπθθπθθπA beta B R B d d d C C d A P A P A :语言求1.5 解:(1)由已知可得.5.125.11,110110/1)()|()()|()|(,2010,101)(5.125.111)|(2112211)|(12,2121,1)|(5.125.11201011111111<<===<<=<<=+<<-==+<<-=⎰⎰θθθθπθθπθθπθθπθθθθθθθθd d x p x p x x p x p x x x p ,,即,时,当(2)由已知可得.6.115.11,1010110/1)()|,,()()|,,(),,|(,2010,101)(6.115.111)|,,(,219.1121,214.1121,211.1121,217.1121215.11212112211)|,,(9.11,4.11,1.11,7.11,5.11,0.12,6,2,1,2121,1)|,,(6.115.112010621621621621621654321621<<===<<=<<=+<<-+<<-+<<-+<<-+<<-+<<-========+<<-=⎰⎰θθθθπθθπθθπθθπθθθθθθθθθθθθθθθθθθd d x x x p x x x p x x x x x x p x x x p x x x x x x i x x x x p i ,即,,时,当【原答案:由已知可得 ()1,0.50.5P x x θθθ=-<<+1(),102010πθθ=<< 11.611.51()0.0110m x d θ==⎰从而有()()()10,11.511.6()P x x m x θπθπθθ==<< 】1.6 证明:设随机变量()XP λ,λ的先验分布为(,)Ga αβ,其中,αβ为已知,则即得证!),(~),,|()()|,,(),,|(,0,)()(,!!)|,,(121)(121211112111βαλπλλπλλπλλαβλπλλλλβαβλααλλ++∑∑∝•∝>Γ=∑===+--+--=-=-==∏∏n x Ga x x x ex x x p x x x e x e x e x x x p ni i n n x n n ni in x ni i x n ni i ni ii【原答案: (),0!x e P x x λλλλ-=>1(),0()e ααβλβπλλλα--=>Γ 因此 11(1)()()()x x x P x e e e λαβλαβλπλλπλλλλ---+--+∝•∝= 所以 (,1)x Ga x λαβ++】 1.7 解:(1)由题意可知.1},max{,1)/(1)/(122)()|,,()()|,,(),,|(,10,1)(,,2,1,10,22)|,,(121},max{221},max{2121121212112122111<<∝===<<==<<<==⎰⎰∏∏⎰∏∏====θθθθθθθθθθπθθπθθπθθπθθθθn nx x nn x x nni in nni inn n n ni i nni inin x x d d x xd x x x p x x x p x x x n i x xx x x x p n n【原答案:由题意可知 ()1,01πθθ=<< 因此122()12(1)xxm x d x θθ=•=-⎰因此 2()()1(),1()1P x x x x m x x θπθπθθθ==<<- (实质是新解当n=1的情形)】(2) 由题意可知.1},max{,1)/(1)/(13232)()|,,()()|,,(),,|(,10,3)(,,2,1,10,22)|,,(12-21},max{2-22-21},max{2212211212121212122111<<∝=⨯⨯==<<==<<<==⎰⎰∏∏⎰∏∏====θθθθθθθθθθθθπθθπθθπθθθπθθθθn n x x n n x x nni in nni inn n n ni i nni inin x x d d x xd x x x p x x x p x x x n i x xx x x x p n n【原答案:由题意可知 1222()36xm x d x θθθ=•=⎰因此 ()()()1,01()P x x m x θπθπθθ==<<】1.8 解:设A 为100个产品中3个不合格,则3397100()(1)P A C θθθ=-由题意可知 199(202)()(1),01(200)πθθθθΓ=-≤≤Γ 因此 3971994296()()()(1)(1)(1)A P A πθθπθθθθθθθ∝•∝--=- 由上可知)297,5(~)|(Be A θπ1.9 解:设X 为某集团中人的高度,则2(,5)XN θ∴25(,)10XN θ∴2(176.53)5()p x θθ--=由题意可知 2(172.72)5.08()θπθ--=又由于X 是θ的充分统计量,从而有()()()()x x p x πθπθθπθ=∝•222(176.53)(172.72)(174.64)55.0821.26eeeθθθ------⨯∝•∝因此(174.64,1.26)x N1.10 证明:设22(,),,N u u θσσ其中为已知又由于X 是θ的充分统计量,从而有()()()()x x p x πθπθθπθ=∝•222222251()()11252()11225252u x x u eeeσθθθσσσ+----+⨯--⨯+⨯∝∝因此 222251(,)112525u x xN σθσσ+++又由于21112525σ≤+ 所以 θ的后验标准差一定小于151.11 解:设X 为某人每天早上在车站等候公共汽车的时间,则(0,)X U θ.8,861)/(1192192)()|,,()()|,,(),,|(,4,192)(.81)|,,(8,8,5.3,2,1,0,1)|,,(768778774321321321433213213321>⨯====≥=>=====<<=⎰⎰⎰∞∞∞θθθθθθθθθθπθθπθθπθθθπθθθθθθd d d x x x p x x x p x x x x x x p x x x i x x x x p i ,时,当【原答案:设X 为某人每天早上在车站等候公共汽车的时间,则(0,)XU θ∴1(),0p x x θθθ=<<当8θ>时,31()p x θθ=43819211()8192m x d θθθ+∞==⎰从而有 7()()3()()128p x x m x θπθπθθ==, 计算错误】1.12 证明:由题意可知 1(),0,1,2,...,i np x x i n θθθ=<<=从而有 ()()()()x x p x πθπθθπθ∝•00111n n n ααααθθθθθ++++∝•∝ 因此 θ的后验分布仍是Pareto 分布。
统计学中的贝叶斯统计贝叶斯统计是统计学中一种重要的统计推理方法,它基于贝叶斯定理,通过将先验知识和观测数据相结合,来进行参数估计和决策推断。
本文将介绍贝叶斯统计的基本原理、应用领域以及与频率主义统计学的对比。
一、贝叶斯统计的基本原理贝叶斯统计的核心理念是通过主观先验知识和观测数据的结合,不断修正对未知参数的估计。
贝叶斯定理是贝叶斯统计方法的基础,它描述了在给定观测数据的情况下,参数的后验概率与先验概率以及数据产生的概率之间的关系。
根据贝叶斯定理,可以得到后验概率密度函数,从而进行参数估计或预测。
二、贝叶斯统计的应用领域1.机器学习与人工智能贝叶斯统计被广泛应用于机器学习和人工智能领域。
在模式识别、分类与回归分析中,贝叶斯统计可以用于构建概率模型,从而进行模式的识别和预测。
此外,贝叶斯网络也是一种常用的概率图模型,能够描述变量之间的依赖关系,用于推理和决策。
2.医学研究与临床实践在医学研究和临床实践中,贝叶斯统计可以帮助研究人员进行疾病的风险评估和效果评价。
例如,在药物研发中,贝叶斯统计方法可以用于药物的剂量选择和剂量个性化,从而提高疗效和减少不良反应。
3.市场营销与商业决策贝叶斯统计方法在市场营销和商业决策领域也有广泛的应用。
通过分析市场研究数据和消费者行为数据,贝叶斯统计可以帮助企业了解用户需求,制定有效的营销策略。
同时,贝叶斯决策理论也可以在面对不确定性的商业决策中提供决策框架。
三、贝叶斯统计与频率主义统计学的对比贝叶斯统计与频率主义统计学是统计学领域中两种不同的推理思路和方法。
频率主义统计学将概率解释为长期重复试验的频率,其核心是基于样本数据进行推断。
而贝叶斯统计则将概率解释为表示不确定性的一种度量,其基于主观先验知识和观测数据进行推断。
与频率主义统计学相比,贝叶斯统计具有以下优势:1.能够充分利用先验知识。
贝叶斯统计允许研究者将先验知识引入统计模型中,从而提供更准确和可靠的推断结果。
2.能够处理小样本问题。
习题讲解一、1,3,5,6,10,11,12,151.1记样本为x.()()22682268(0.1)*0.1*0.90.1488(0.2)*0.2*0.80.29360.1488*0.70.10.54180.1488*0.70.2936*0.30.2936*0.30.20.45820.1488*0.70.2936*0.3p x C p x C x x θθπθπθ==≈==≈==≈+==≈+后验分布:()()()()()1113353680362(|)(1)*2(1)112(1)15(|)840(1),01m x p x d C d d p x x m x θπθθθθθθθθθθπθπθθθθ==--=-===-<<⎰⎰⎰1.61.11 由题意设x 表示等候汽车的时间,则其服从均匀分布(0,)U θ1,0()0,x p x θθ⎧<<⎪=⎨⎪⎩其它因为抽取3个样本,即,所以样本联合分布为123(,,)X x x x =12331,0,,()0,x x x p X θθ⎧<<⎪=⎨⎪⎩其它 又因为4192/,4()0,4θθπθθ⎧≥=⎨<⎩所以,利用样本信息得1233471192192(,)()() (8,0,,)h X p X x x x θθπθθθθθθ==⋅=≥<<于是788192()(,)m X h X d d θθθθ+∞+∞==⎰⎰的后验分布为θ76778(,)192/68()192()h X X m X d θθπθθθθ+∞⨯===⎰6768,8()0,8X θπθθθ⎧⨯≥⎪=⎨⎪<⎩1.12样本联合分布为:1(),0np x x θθθ=<< 1000/,()0,αααθθθθπθθθ+⎧>=⎨≤⎩{}110101()()()/1/,max ,,,n n n x p x x x αααπθθπθαθθθθθθ++++∝=∝>= 因此的后验分布的核为,仍表现为Pareto 分布密度函数的核θ11/n αθ++即1111()/,()0,n n n x αααθθθθπθθθ+++⎧+>=⎨≤⎩即得证。
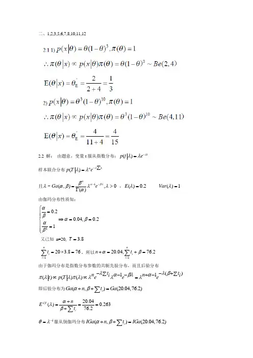
二、1,2,3,5,6,7,8,10,11,122.2 解: 由题意,变量t 服从指数分布:()t p t e λλλ-=样本联合分布()itn p Te λλλ-∑=且1~(,),0()Ga e ααβλβλαβλλα--=>Γ ,()0.2E λ= ()1Var λ= 由伽玛分布性质知:20.20.04,0.21αβαβαβ⎧=⎪⎪⇒==⎨⎪=⎪⎩ 又已知 n=20, 3.8t =120 3.876nii t==⨯=∑,所以120.04,76.2ni i n t αβ=+=+=∑由于伽玛分布是指数分布参数的共轭先验分布,而且后验分布()11()()()t t n n i i t p T e e eλλββλααπλλπλλλλ--+∑∑--+-∝∝= 即后验分布为(,)(20.04,76.2)iGa n t Ga αβ++=∑|20.04()0.26376.2T i n E t λαλβ+===+∑1θλ-=服从倒伽玛分布(,)(20.04,76.2)i IGa n t IGa αβ++=∑||1()() 4.0021iT T t E E n λλβθλα-+===+-∑2.3可以算出θ的后验分布为(11,4)Ga ,θ的后验期望估计的后验方差为1116. 2.5只有个别人算错了,答案是36n ≥. 2.6大家差不多都做对了.2.7θ的先验分布为:1000/,()0,αααθθθθπθθθ+⎧>=⎨≤⎩令{}101max ,,,n x x θθ=可得后验分布为:1111()/,()0,n n n x αααθθθθπθθθ+++⎧+>=⎨≤⎩则θ的后验期望估计为:1()()1n E x n αθθα+=+-,后验方差为:212()()(1)(2)n Var x n n αθθαα+=+-+-.2.8由1~(,),~(,)22n x Ga IGa θαβθ可以得出211221()2(),0()2nn xp x x e x n θθθ--=>Γ(1)(),0()e βααθβπθθθα--+=>Γ (1)θ的后验分布为:2(1)22()()()x nx p x eβαθπθθπθθ+--++∝∝即为倒伽玛分布(,)22nxIGa αβ++的核。
贝叶斯统计习题1. 设θ是一批产品的不合格率,从中抽取8个产品进行检验,发现3个不合格品,假如先验分布为(1)U0,1θ()(2)21-0<<1=0,θθπθ⎧⎨⎩(),()其它求θ的后验分布。
解:…()()()()()111335368000362 (|)(1)*2(1)112(1)15 (|)840(1),01m x p x d C d dp xxm xθπθθθθθθθθθθπθπθθθθ==--=-===-<<⎰⎰⎰2.设12,,,nx x x是来自均匀分布U0,θ()的一个样本,又设θ的先验分布为Pareto分布,其密度函数为+100/>=0,αααθθθθπθθθ⎧⎨≤⎩,()其中参数>0,>0θα,证明:θ的后验分布仍为Pareto分布。
解:样本联合分布为:1(),0np x xθθθ=<<100/,()0,αααθθθθπθθθ+⎧>=⎨≤⎩{}110101()()()/1/,max,,,n nn x p x x xαααπθθπθαθθθθθθ++++∝=∝>=|因此θ的后验分布的核为11/nαθ++,仍表现为Pareto分布密度函数的核即1111()/,()0,n nnxαααθθθθπθθθ+++⎧+>=⎨≤⎩即得证。
3.设12,,,nx x x是来自指数分布的一个样本,指数分布的密度函数为-(|)=,>0xp x e xλλλ,(1)证明:伽玛分布(,)Gaαβ是参数λ的共轭先验分布。
(2)若从先验信息得知,先验均值为,先验标准差为,确定其超参数,αβ。
解:()()()111()1()()()()(),.niixn n n xn n xp x e eex p x eGa n nxλλααβλαβλλλλβπλλαλπλλπλλαβ=----+--+∑===Γ∝∝++样本的似然函数:参数的后验分布服从伽马分布、220.0002(2)4,20000.0.0001αβαβαβ⎧=⎪⎪⇒==⎨⎪=⎪⎩4.设一批产品的不合格品率为θ,检查是一个接一个的进行,直到发现第一个不合格品停止检查,若设X为发现第一个不合格品是已经检查的产品数,则X服从几何分布,其分布列为()-1(=|)=1-,=1,2,xP X x xθθθ假如θ只能以相同的概率取三个值1/4, 2/4, 3/4,现只获得一个观察值=3x,求θ的最大后验估计ˆMDθ。
【关键字】样本习题讲解一、1,3,5,6,10,11,12,151.1记样本为x.1.61.11 由题意设x表示等候汽车的时间,则其服从均匀分布因为抽取3个样本,即,所以样本联合分布为又因为所以,利用样本信息得于是的后验分布为1.12样本联合分布为:因此的后验分布的核为,仍表现为Pareto分布密度函数的核即即得证。
1.152、1,2,3,5,6,7,8,10,11,122.2 解:由题意,变量t服从指数分布:样本联合分布且,由伽玛分布性质知:又已知n=20,,所以由于伽玛分布是指数分布参数的共轭先验分布,而且后验分布即后验分布为服从倒伽玛分布2.3可以算出的后验分布为,的后验期望估计的后验方差为.2.5 .2.7的先验分布为:令可得后验分布为:则的后验期望估计为:,后验方差为:.2.8由可以得出(1)的后验分布为:即为倒伽玛分布的核。
所以的后验分布为(2)后验均值为后验方差为(3)样本分布函数为:所以的后验分布为:即为的核。
令即:可得而由公式得因此,倒伽玛分布的这两个估计是不一样的,原因是它不对称。
2.10解:已知 设的后验分布为 可得: 由已知得:,所以的95%的可信区间为: 即为. 2.11已知可得2σ的后验分布为211,22n i i n IGa x αλ=⎛⎫++ ⎪⎝⎭∑后验均值为:2112ˆ12n ii Ex n λθα=+=+-∑ 后验方差为:()22122121222n i i x Var x n n λσαα=⎛⎫+ ⎪⎝⎭=⎛⎫⎛⎫+-+- ⎪⎪⎝⎭⎝⎭∑ 变换:令:()220.1211220.9ni i P x n λχασ=⎡⎤⎛⎫+≥+=⎢⎥ ⎪⎝⎭⎣⎦∑可得2σ的0.9可信上限为()2120.122ni i x n λχα=++∑.2.12θ的先验分布为:1000/,()0,αααθθθθπθθθ+⎧>=⎨≤⎩令{}101max ,,,n x x θθ=可得后验分布为:1111()/,()0,n n n x αααθθθθπθθθ+++⎧+>=⎨≤⎩设θ的1α-可信上限为U θ 则()11Ux d θθπθθα=-⎰带入有:三、10,11,12,13四、1,4,8,9,10,11,12,15,16 4.44.8 购买8件. 4.9对于行动1a ,其收益函数为 对于行动2a ,其收益函数为 从而可得在1a 和2a 处的损失函数:θ服从()2,14Be故采用第一种收费方法对工厂有利.##附R 软件计算定积分程序: int<-function(x){210*x*(1-x)^13};integrate(int,0.1,0.2)$value*10+integrate(int,0.2,1)$value*90; [1] 18.86049integrate(int,0,0.1)$value*60; [1] 27.05742 4.10五、2,3,7,11,18,21,22 5.2(2)(4)()()()22~,12x x N p x θθθπ--=由可得附:用R 软件作图程序:y<-function(x){exp(0.1*x)-0.1*x-1}; plot(y,xlim=c(-20,20),type="l",lty=1);lines(x,exp(0.5*x)-0.5*x-1,xlim=c(-20,20),type="l",lty=2); lines(x,exp(1.2*x)-1.2*x-1,xlim=c(-20,20),type="l",lty=3); s<-c("c=0.1","c=0.5","c=1.2");legend(locator(1),s,lty=c(1,2,3));5.3()23,.23ln B xx c e cθδ=<-可以求得的贝叶斯估计为 5.7 5.11 5.18(1)1a 与2a 下的先验期望损失为()()12,17.5,,15E L a E L a θθθθ==⎡⎤⎡⎤⎣⎦⎣⎦,故2a 是最优行动,先验()15EVPI =元.(2){}{}()120,1,2,a a x δ从到上的任一个映射都是该问题的决策函数.()()()()()()(),13.89*0.8747513.7975*0.12059.21*0.0047513.8566,1513.8566 1.14342 1.14340.20.9434xx xx EVPI E EL x EVSI EVPI E E L x ENGS EVSI C θθθδθδ⎡⎤'==++=⎣⎦⎡⎤'=-=-=⎣⎦=-=-=后验先验元元5.21 (1)210216b b m m θ-==-(2)(3)由上先验EVPI 中有相当一部分是由于先验分布估计得不够精确引起的,随着标准差τ的减小,用来描述状态θ的先验分布愈精确,增加了先验信息,从而减少了先验完全信息及其期望值。
习题讲解欧阳家百(2021.03.07)一、1,3,5,6,10,11,12,151.1记样本为X.1.11由题意设X 表示等候汽车的时间,则其服从均匀分布〃(°&)因为抽取3个样本,即X=(X"2,®),所以样本联合分布为又因为 所以,利用样本信息得。
的后验分布为1.12样本联合分布为:因此&的后验分布的核为1/严":仍表现为Pnreto 分布密度函数 的核(0+町年+"/严吧6>0{0, 0<0}即得证O1.15二、1,2,3,5,6,7,8,10,11,122.2解:由题意,变量t 服从指数分布:〃(4刃=加" 样本联合分布〃们刃="『》192/伊, 6>>40,于是兀(&卜)= 即且八 G/(a.0) = w/ e 0 ,A >0 E (N )= o 2 = i由伽玛分布性质知: 又已知0=20/=3.8工-=20x3.8 = 76 n + a = 20.04,工人+“ = 76.2 I ,所以 j由于伽玛分布是指数分布参数的共轮先验分布,而且后验分布 即后验分布为E© +心+D )= S(20.04,76.2)0 = 2-1 服从倒伽玛分布 /G“(a + n,0+D )= ©(20.04,76.2)2.3可以算出&的后验分布为SZ4),&的后验期望估计的后验方11差为16.2.5 心 36.兀(&)= <2.7 &的先验分布为: 仝 =max{G ),i ,…,耳}0. 0<0.\a + n )e^lx !0a ^\ 0,则&的后验期望估计为:I n+Qj, 畑砂)=—竺泌— 后验方差为: (“ + ― 1)" + — 2).x ~ Gu(—,—),0 〜IGa(a, B) 2.8由 2 2& 可以得出7T (0\x) = <可得后验分布为:0>0}0<0}(1) &的后验分布为:1] x心(_ + 7_ + 0) 即为倒伽玛分布 2 2 P 的核。