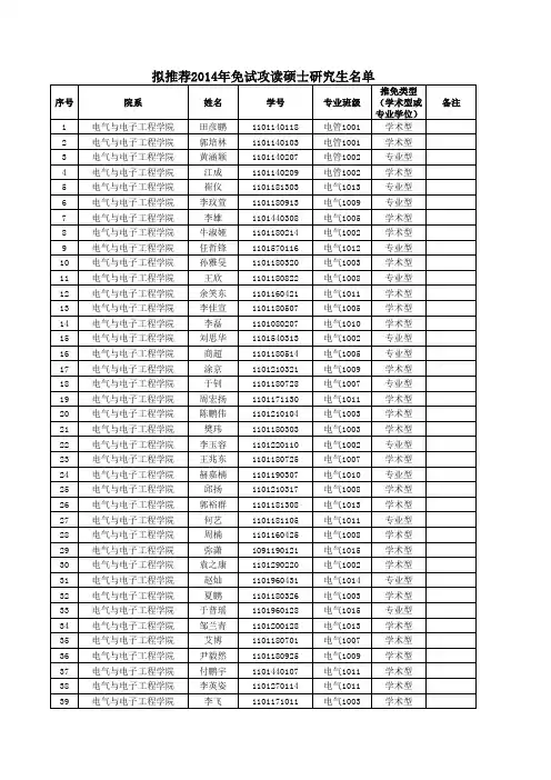
电气工程学院2014年推免生公示名单
- 格式:pdf
- 大小:94.18 KB
- 文档页数:2
电子科技大学2014年推免生复试成绩
(更新时间:2013年10月14日13:35)
说明:
1、学校将根据学院上报陆续公布学院复试成绩及意见。
2、考生对复试成绩、学院意见如有异议请向学院研究生科提出,如仍有异议再向研招办提出。
3、拟上报考生经公示、教育部录检合格后才确定为正式录取,录检不合格即取消推免资格,正式录取以录取通知书为准。
4、拟录取推免生仍需按招生简章(直博生见博士招生简章,硕士生见硕士招生简章)要求进行网上报名和现场确认。
5、2014年5月发放调档函及录取通知书,具体事宜另行通知。
为准。
武汉大学电气工程学院推荐免试研究生实施细则(年月修订)根据教育部有关文件精神及《武汉大学推荐优秀应届本科毕业生免试攻读硕士学位研究生工作管理办法》(武大本字[]号文件),结合学院实际情况,制订本实施细则。
第一条推荐应届免试研究生(以下简称推免生)工作坚持公开、公正、公平的原则。
第二条坚持以知识、能力、素养全面衡量、择优选拔为原则,在对学生学习和科研能力综合测评基础上,突出对学生创新精神、创新能力、科研潜质和专业能力倾向等的考核。
第三条根据学校的规定,成立由本科教案副院长任组长、本科副书记、研究生副院长、教授委员会主席、各中心主任、学工办主任、本科办主任、学籍管理秘书、毕业年级辅导员为成员的推免生遴选工作领导小组,负责学院推免遴选工作。
第四条推免生应具备以下条件:(一)纳入国家普通本科招生计划录取、在规定学制年限内完成学业的应届毕业生(不含第二学士学位)。
(二)具有高尚的爱国主义情操和集体主义精神,社会主义信念坚定,社会责任感强,积极向上,身心健康。
(三)勤奋学习,刻苦钻研,有兴趣从事电气工程领域学术研究,有较强的创新精神、创新能力、科研潜质和专业能力倾向。
(四)诚实守信,学风端正,无任何考试作弊和学术不良记录。
(五)品行表现优良,无任何违法违纪受处分记录。
(六)课程成绩绩点排名在本专业前以内,已按所在专业培养方案要求修满相应必修学分,且必修课程无不及格重修情况。
全国大学英语六级考试分及以上,或雅思成绩分、成绩分及以上。
(七)对确有特殊学术专长或具有突出科研潜质者以及国家级重大竞赛一等奖获得者(以学校认定文件为准),经本院三名以上教授联名推荐,学院推免生遴选工作领导小组审核认可,可不受综合排名、外语成绩限制,但学生有关说明材料和教授推荐信要在学院公示。
第五条学院按课程成绩(课程成绩按照首次及格成绩计算)占,科研活动能力、文艺、体育及社会工作特长等占制定综合评价体制,计算申请人的综合排名分。
根据所有申请人的综合排名分进行排序,额满为止,如果排名在前的申请人放弃其推免资格,则依次递补,推免生的指标以学校当年下达的指标数为准。
中南大学关于做好2014年优秀应届本科毕业生免试攻读硕士学位研究生推荐工作的通知各二级单位:根据教育部办公厅《关于进一步加强推荐优秀应届本科毕业生免试攻读研究生工作的通知》(教学厅〔2013〕8号)和《中南大学推荐优秀应届本科毕业生免试攻读硕士学位研究生管理办法》(中大教字〔2011〕34号)及相关文件要求,为切实做好2014年优秀应届本科毕业生免试攻读硕士学位研究生的推荐(简称推免生)工作,现将有关事项通知如下:一、组织领导学校成立2014年推免生遴选工作领导小组(简称领导小组),负责学校推免生的领导和组织协调工作,其成员如下:组长:胡岳华副组长:田红旗陶立坚高山组员:邬力祥吴斌李景升张宝王建华郭学益吴敏刘铁雄黄志平秘书:董红领导小组下设办公室,挂靠本科生院培养管理办公室(简称培养办),具体负责推荐组织工作。
二、名额分配2014年推免生名额分为学术型和专业学位两个部分。
学术型名额可用于推荐攻读学术学位研究生(包括直博生)或专业学位硕士研究生,专业学位名额仅限用于推荐攻读专业学位硕士研究生,专业学位推免生名额留本校名额暂不做规定。
推免生的推荐选拔条件见中大教字〔2011〕34号文及有关文件。
我校推免生指标分为专项指标和面上指标。
另研究生支教团有8个招募指标,专项下达,专项使用。
经领导小组研究决定,具体名额分配如下:(1)专项指标。
专项指标共500名,其中校内学术型271名,校外学术型15个,专业学位214名(含工程试验班预留指标)。
注:1. 创新型高级工程人才试验班推免办法见《中南大学创新型高级工程人才试验班管理办法(试行)》(中大教字{2010]113号)。
推免指标暂按总人数的60%下达,工程试验班的专业学位仅用于校内。
2. 获得学科竞赛(含挑战杯)国际一等奖的前三名、国家一等奖的前两名和国家二等奖的第一名专项名额为校内学术型名额,国家一等奖的第三、四、五名和国家二等奖的第二、三名为专业学位名额。
推
985、211复试通过
复试通过985、211复试通过985、211复试通过
211复试通过985、211复试通过
复试通过
211复试通过
211复试通过
211复试通过
211复试通过
复试通过
211复试通过985、211复试通过985、211复试通过
211复试通过
211复试通过
211复试通过
复试通过
211复试通过
211复试通过
复试通过
复试通过985、211复试通过
211复试通过
复试通过
211复试通过
复试通过
复试通过
211复试通过
复试通过
复试通过
复试通过
211复试通过
211复试通过
复试通过
211复试通过
211复试通过
复试通过985、211复试通过
复试通过
复试通过
复试通过
211复试通过
复试通过
复试通过
复试通过
复试通过
复试通过
推免研究生17人。
华北电力大学电气与电子工程学院2012年接收校内外推免硕士研究生复试办法根据《华北电力大学接收外校优秀应届本科毕业生推荐免试攻读硕士学位研究生办法》、《关于2012年接收校内外推荐免试研究生相关工作的通知》及研究生院有关文件精神,结合电气与电子工程学院的实际情况,特提出电气与电子工程学院2012年接收校内外推免硕士研究生复试录取办法。
一、接收条件及提交材料接收校内外推免生均按照《华北电力大学接收外校优秀应届本科毕业生推荐免试攻读硕士学位研究生办法》的相关条件及要求。
二、接收推免生指标数各专业接收校内外推免生复试人数见下表。
三、复试办法及要求1.复试报到时间、地点安排2011年10月8日资格审查9:00---11:30 14:00-----16:00 地点:教五楼C513按《华北电力大学接收外校优秀应届本科毕业生推荐免试攻读硕士学位研究生办法》的相关条件要求补齐材料:包括盖院系章的推免申请表及推免资格证明原件。
2.复试分组及时间、地点安排复试内容包括综合面试和外语听力及口语,由各复试小组分别进行。
复试时间为2011年10月9日。
复试小组名称及具体复试时间、地点安排见附件2。
3.复试内容、形式及要求各复试小组负责综合面试和英语听力及口语测试。
面试前应在组长组织下协商确定面试试题和提问内容、方式,确保面试的公平、公正。
同一专业平行设立多个复试小组的,必须在复试之前统一复试程序、内容、形式及评分标准。
综合面试,满分为100分,其中综合素质及能力测试占60%,考生申请材料评价占40%。
综合素质及能力测试,主要根据专业培养要求和考生具体情况,考察考生综合运用所学知识的能力,是否具备硕士生培养的潜能和综合素质。
要求教师提问的问题以考核概念和基础理论为主,应全面考核考生对本学科发展动态的了解和在本专业领域发展的潜力,利用所学理论发现、分析和解决问题的能力,创新精神和创新能力以及人文素养、心理承受能力、事业心、责任感、道德品质等方面情况。
2014年接收外校推免生拟录取公示
考生注意:
1、所有推免生必须于十月底之前凭所在学校提供的推免生校验码,在“中国研招网”上报名,并于11月10日至14日期间到报考点办理现场确认手续,否则不予录取。
2、所有推免生必须于11月15日前,请将以下材料寄送至东南大学研究生招生办公室(注意:邮寄必须通过邮政EMS或挂号信方式):
1)《全国推荐免试攻读硕士学位研究生(直博生)登记表》原件一份
2) 本科阶段成绩单原件一份
3) 体检表原件一份(外校推免生请在学校所在地二级以上医院进行体检;不参加体检、体检不合格及弄虚作假者,一律不予录取。
入学
3/ 29
5/ 29
7/ 29
9/ 29
11/ 29
13/ 29
15/ 29
17/ 29
19/ 29
21/ 29
23/ 29
25/ 29
27/ 29
29/ 29。