初二因式分解习题大全含答案
- 格式:doc
- 大小:1.24 MB
- 文档页数:10
30道因式分解题及答案题目1:将3x2−2xy+x−4y因式分解。
答案1:3x2−2xy+x−4y可以因式分解为(x−4y)(3x+1)。
题目2:将2x2−5x−12因式分解。
答案2:2x2−5x−12可以因式分解为(x−4)(2x+3)。
题目3:将4x2−4x−3因式分解。
答案3:4x2−4x−3可以因式分解为(2x−3)(2x+1)。
题目4:将x2+7x+12因式分解。
答案4:x2+7x+12可以因式分解为(x+3)(x+4)。
题目5:将4x2−9y2因式分解。
答案5:4x2−9y2可以因式分解为(2x+3y)(2x−3y)。
题目6:将x3−8因式分解。
答案6:x3−8可以因式分解为(x−2)(x2+2x+4)。
题目7:将2x3−8y3因式分解。
答案7:2x3−8y3可以因式分解为2(x−y)(x2+xy+y2)。
题目8:将x4−16因式分解。
答案8:x4−16可以因式分解为(x2+4)(x2−4)。
题目9:将2x5+32y5因式分解。
答案9:2x5+32y5可以因式分解为2(x+2y)(x4−2x2y2+4y4)。
题目10:将x6−64因式分解。
答案10:x6−64可以因式分解为(x2−8)(x4+8x2+64)。
题目11:将4a2+b2−4ab−a−2b因式分解。
答案11:4a2+b2−4ab−a−2b可以因式分解为(4a−b)(a−b−1)。
题目12:将2a3+2a2−a−1因式分解。
答案12:2a3+2a2−a−1可以因式分解为(2a+1)(a2+a−1)。
题目13:将x3−3x2−4x+12因式分解。
答案13:x3−3x2−4x+12可以因式分解为(x−3)(x2+1)(x−2)。
题目14:将x4+x3−7x2−x+6因式分解。
答案14:x4+x3−7x2−x+6可以因式分解为(x−1)(x+2)(x+3)(x−1)。
题目15:将4x4+8x3+6x2+2x因式分解。
答案15:4x4+8x3+6x2+2x可以因式分解为2x(2x+1)(x2+1)。
八年级下册数学因式分解题一、提取公因式法。
1. 分解因式:6ab + 3ac- 解析:公因式为3a,提取公因式后得到3a(2b + c)。
2. 分解因式:5x^2y-10xy^2- 解析:公因式为5xy,分解结果为5xy(x - 2y)。
3. 分解因式:9m^3n - 3m^2n^2- 解析:公因式为3m^2n,因式分解得3m^2n(3m - n)。
4. 分解因式:4a^3b - 6a^2b^2+2ab^3- 解析:公因式为2ab,分解后为2ab(2a^2-3ab + b^2)。
5. 分解因式:x(a - b)+y(b - a)- 解析:首先将y(b - a)变形为-y(a - b),公因式为(a - b),结果为(a - b)(x - y)。
6. 分解因式:3(x - y)^2-2(y - x)- 解析:将(y - x)变形为-(x - y),公因式为(x - y),得到(x - y)[3(x - y)+2]=(x - y)(3x - 3y + 2)。
7. 分解因式:2m(m - n)^2-8m^2(n - m)- 解析:将(n - m)变形为-(m - n),公因式为2m(m - n),分解结果为2m(m - n)[(m - n)+4m]=2m(m - n)(5m - n)。
二、公式法(平方差公式a^2-b^2=(a + b)(a - b))8. 分解因式:x^2-9- 解析:x^2-9=x^2-3^2,根据平方差公式,分解为(x + 3)(x - 3)。
9. 分解因式:16y^2-25- 解析:16y^2-25=(4y)^2-5^2,因式分解得(4y + 5)(4y - 5)。
10. 分解因式:49 - m^2- 解析:49 - m^2=7^2-m^2,根据平方差公式分解为(7 + m)(7 - m)。
11. 分解因式:(x + 2)^2-y^2- 解析:根据平方差公式a=(x + 2),b = y,分解为(x+2 + y)(x + 2-y)。
初二因式分解练习题和答案一、基础题型1. 将下列多项式进行因式分解:(1) $x^2 + 4x + 4$解析:观察多项式可知,常数项为4,且平方项系数为1,因此可以直接得出该多项式的因式分解形式为$(x+2)(x+2)$或$(x+2)^2$。
(2) $9a^2 - 16$解析:根据平方差公式可知,$9a^2 - 16$可以分解为$(3a+4)(3a-4)$。
2. 分解下列多项式:(1) $3x^2 + 12x + 9$解析:观察多项式可知,常数项为9,且平方项系数为3。
因此,这个多项式可以进行因式分解为$(x+3)(3x+3)$或$(x+3)^2$。
(2) $4x^2 - 5xy + y^2$解析:该多项式是一个二次三项式,根据二次三项式的平方公式,可以得到它的因式分解形式为$(2x-y)^2$。
二、综合题型1. 分解下列多项式:(1) $3x^2 - 8$解析:观察多项式可知,平方项系数为3,常数项为-8。
根据常数项为负数的特点,我们可以尝试将-8分解成两个因数的乘积。
考虑到平方项系数为3,我们可以写成$(3x)^2 - 2^2$。
利用二次差公式,得到$(3x+2)(3x-2)$。
(2) $6x^2 + 17x + 10$解析:我们可以使用因式分解法或求根法进行分解,为了简便起见,我们选择因式分解法。
将多项式划分为三个项,得到$(2x+5)(3x+2)$。
2. 分解下列多项式:(1) $4x^2 - 12xy + 9y^2$解析:观察多项式可知,平方项系数为4,常数项为$9y^2$。
考虑到常数项为平方形式,我们可以尝试进行“凑平方”的操作。
$(2x-3y)^2$即为所求解。
(2) $x^3 - 3x^2 + 2x$解析:观察多项式可知,这是一个三次多项式。
我们可以尝试提取公因式,并进行因式分解。
将每一项提取公因式,得到$x(x^2 - 3x + 2)$。
进一步分解,我们得到$x(x-1)(x-2)$。
初二上册因式分解100题及答案一、提取公因式(1) 432282a x a x +(2) 244153xy z xy -(3) 3432832a y a x y -(4) (3)(52)(3)(64)a b a b +-+-+-(5) 4224318945xy x yz y z --(6) 423129xy z x z +(7) 24322520a c a b c -(8) 232225x y z x y -(9) (4)(65)(4)(25)(4)(21)x x x x x x -++--+--+(10) (85)(43)(5)(85)a b b a ---++-(11) (61)(32)(93)(61)m n n m ++-++(12) (83)(23)(83)(51)(83)(81)x x x x x x +--++-+++(13) (53)(53)(53)(65)x y x y -++--(14) 32242016b c b c +(15) 3323312x yz x y z -(16) (72)(2)(72)(5)a b a b --+-+(17) 444245a a b c -(18) (25)(61)(25)(2)a b a b +-++++(19) (31)(75)(31)(83)x x x x -----(20) (31)(91)(85)(31)m n n m ------ 二、公式法(21) 22256169x y -(22) 22625484x y -(23) 27291x -(24) 2400760361x x -+(25) 22361100a b -(26) 2284123216x xy y ++(27) 224001160841m mn n -+(28) 2165649x x ++(29) 22144264121m mn n -+(30) 2729x -三、分组分解法(31) 72542418mn m n +++(32) 61248mn m n -+-(33) 221676322a c ab bc ca +-+-(34) 2254757654a b ab bc ca ----(35) 22264213x z xy yz zx +--+(36) 2216202548a c ab bc ca ++++(37) 54455445xy x y +++(38) 2252110632a c ab bc ca --++(39) 630525xy x y --+(40) 1050525mx my nx ny -+-(41) 22365113054a b ab bc ca-+--(42) 2485418ab a b +++(43) 2255735a ab bc ca -+-(44) 15401848mn m n -+-(45) 12203050ab a b --+(46) 99010ax ay bx by +--(47) 840420xy x y +++(48) 728455ab a b -+-(49) 327436xy x y ----(50) 56724254ab a b --+四、拆添项(51) 224949709824a b a b -++-(52) 2294541272a b a b ---+(53) 2225813010827m n m n --+-(54) 4264814x x -+(55) 4224368349x x y y ++(56) 22449129840m n m n -+--(57) 2236142445x y x y -+++(58) 4224641625a a b b ++(59) 22644322845m n m n --+-(60) 2236361084865m n m n -+-+五、十字相乘法(61) 2222018439611a b c ab bc ac +--+-(62) 22245246743059x y z xy yz xz ++--+(63) 222979294x xy y x y -+-++(64) 222024256525x xy y x y -----(65) 226112391321x xy y x y --++-(66) 2221823651842x y z xy yz xz --++-(67) 2267203193x xy y x y ---+-(68) 22248218221560a b c ab bc ac ++--+(69) 222183625724x y z xy yz xz -++--(70) 22454142x xy y x y --+--(71) 224073303542x xy y x y -++-(72) 22240208572636x y z xy yz xz ++-+-(73) 2214311526174m mn n m n ++++-(74) 22230282591516a b c ab bc ac ++-+-(75) 22242124461317x y z xy yz xz +-+++(76) 22145728251525m mn n m n +++--(77) 22182931421x xy y x y ++++(78) 222821624522x y z xy yz xz --+++(79) 22251015159m mn n m n --++(80) 228213836x xy x y +-+-六、双十字相乘法(81) 2222018439611a b c ab bc ac +--+-(82) 22245246743059x y z xy yz xz ++--+(83) 222979294x xy y x y -+-++(84) 222024256525x xy y x y -----(85) 226112391321x xy y x y --++-(86) 2221823651842x y z xy yz xz --++-(87) 2267203193x xy y x y ---+-(88) 22248218221560a b c ab bc ac ++--+(89) 222183625724x y z xy yz xz -++--(90) 22454142x xy y x y --+--七、因式定理 (91) 323292a a a --+(92) 3281873x x x ++-(93) 325101112x x x +-+(94) 32323232x x x +-+(95) 3225215x x x -+-(96) 3266710m m m +-+(97) 32519228x x x -+-(98) 325334315y y y -+-(99) 327240x x x ++-(100) 3321x x --初二上册因式分解100题答案一、提取公因式 (1) 2222(41)a x a x + (2) 2423(5)xy z y - (3) 3328(4)a y y x - (4) (3)(116)a b -+- (5) 322339(25)y xy x z y z -- (6) 423(43)xz y xz + (7) 22225(4)a c c ab - (8) 222(51)x y yz - (9) (4)(61)x x -+ (10) (85)(32)a b --- (11) (61)(61)m n -++ (12) (83)(113)x x +- (13) (53)(112)x y -- (14) 2224(54)b c b c + (15) 323(14)x yz yz - (16) (72)(23)a b -+ (17) 442(45)a b c - (18) (25)(53)a b -+- (19) (31)(2)x x --+(20) (31)(174)m n --- 二、公式法(21) (1613)(1613)x y x y +- (22) (2522)(2522)x y x y +- (23) (271)(271)x x +- (24) 2(2019)x -(25) (1910)(1910)a b a b +- (26) 2(294)x y + (27) 2(2029)m n - (28) 2(47)x + (29) 2(1211)m n - (30) (27)(27)x x +- 三、分组分解法 (31) 6(31)(43)m n ++ (32) 2(32)(2)m n +- (33) (2)(837)a c a b c --- (34) (9)(676)a b a b c +-- (35) (26)(2)x y z x z -++ (36) (84)(25)a b c a c +++ (37) 9(1)(65)x y ++ (38) (53)(27)a c a b c --+(39) (65)(5)x y -- (40) 5(2)(5)m n x y +- (41) (95)(46)a b a b c +-- (42) 2(49)(31)a b ++ (43) (57)(5)a c a b -- (44) (56)(38)m n +- (45) 2(25)(35)a b -- (46) (10)(9)a b x y -+ (47) 4(21)(5)x y ++ (48) (85)(91)a b +- (49) (34)(9)x y -++ (50) 2(43)(79)a b -- 四、拆添项(51) (772)(7712)a b a b +--+ (52) (326)(3212)a b a b +--- (53) (599)(593)m n m n +--+ (54) 22(872)(872)x x x x +--- (55) 2222(67)(67)x xy y x xy y ++-+ (56) (2710)(274)m n m n ++-- (57) (65)(69)x y x y ++-+(58) 2222(885)(885)a ab b a ab b ++-+(59) (829)(825)m n m n +--+ (60) (6613)(665)m n m n ++-+ 五、十字相乘法(61) (43)(564)a b c a b c -+-- (62) (566)(94)x y z x y z -+-+ (63) (4)(271)x y x y ---- (64) (575)(465)x y x y ++-- (65) (63)(27)x y x y +--+ (66) (26)(926)x y z x y z +--+ (67) (343)(251)x y x y +--+ (68) (623)(86)a b c a b c -+-+ (69) (232)(93)x y z x y z +--- (70) (56)(7)x y x y --++ (71) (56)(857)x y x y --+ (72) (542)(854)x y z x y z ---- (73) (234)(751)m n m n +++- (74) (672)(54)a b c a b c ---- (75) (64)(734)x y z x y z +-++ (76) (745)(275)m n m n +-++ (77) (97)(23)x y x y +++ (78) (236)(47)x y z x y z -++-(79)(553)(53)m n m n-++ (80)(436)(71)x y x+-+六、双十字相乘法(81)(43)(564)a b c a b c-+--(82)(566)(94)x y z x y z-+-+ (83)(4)(271)x y x y----(84)(575)(465)x y x y++--(85)(63)(27)x y x y+--+ (86)(26)(926)x y z x y z+--+ (87)(343)(251)x y x y+--+(88)(623)(86)a b c a b c-+-+ (89)(232)(93)x y z x y z+---(90)(56)(7)x y x y--++七、因式定理(91)2(2)(341)a a a-+-(92)(1)(23)(41)x x x++-(93)2(3)(554)x x x+-+ (94)(2)(34)(4)x x x--+ (95)2(3)(25)x x x-++ (96)2(2)(665)m m m+-+ (97)(1)(2)(54)x x x---(98)(1)(53)(5)y y y---(99)(2)(4)(5)x x x-++ (100)2(1)(331)x x x-++。
因式分解练习题1.分解因式:ad -bd +d ;【答案】d ⋅ (a -b + 1)2.分解因式: 8x4 y3 z2 - 6x5 y2【答案】2x4 y2 (4yz2 - 3x)3.分解因式: -2m3+ 6m2-18m【答案】-2m(m2 - 3m + 9)4.分解因式: a(1-b +b2 ) -1+b -b2【答案】(a -1)(1-b +b2 )5.分解因式: (-x)2 (x -y) +y2 ( y -x)【答案】(x -y)2 (x +y)6.分解因式: a2- 4a + 4 -b2【答案】(a +b - 2)(a -b - 2)7.分解因式: a4-b4【答案】(a -b)(a +b)(a2 +b2 )8.分解因式: 49(m +n)2 -16(m -n)2【答案】(11m + 3n)(3m +11n)9. 分解因式: (x +y)(x -y) + 4( y -1)【答案】(x -y + 2)(x +y - 2)10.分解因式: x3- 6x2+ 9x【答案】 x(x - 3)211.分解因式: (x2 +y2 )2 - 4x2 y2【答案】(x +y)2 (x -y)212.分解因式:(m+n)2 - 4(m2-n2 ) + 4(m -n)2 ;【答案】(3n -m)213.分解因式:(m+5n)2 -2(5n +m)(n-3m) + (n-3m)2 ;【答案】16(m +n)214.分解因式: x2+ax2+x +ax -1 -a【答案】(1+a)(x2 +x -1)15.分解因式: xy -x -y +1【答案】(x -1)( y -1)16.分解因式:ax -by -bx +ay【答案】(x +y)(a -b)17.分解因式: 7x2 -3y +xy - 21x【答案】(x - 3)(7x +y)18.分解因式: x4+x3+x2-1【答案】(x +1)(x3 +x -1)19.分解因式: x2+ 6x - 7【答案】(x + 7)(x -1)20.分解因式: x2+ 7x + 6【答案】(x +1)(x + 6)21.分解因式: x2- 7x + 6【答案】(x -1)(x - 6)22.分解因式: x2+ 6x + 8【答案】(x + 2)(x + 4)23.分解因式: x2+ 7x - 8【答案】(x + 8)(x -1)24.分解因式: x +12 -x2【答案】-(x + 3)(x - 4)25.分解因式: 3a2- 7a - 6【答案】(3a + 2)(a - 3) 26.分解因式: 3x2- 8x - 3【答案】(3x +1)(x - 3)27.分解因式: 5x2+12x - 9【答案】(x + 3)(5x - 3) 28.分解因式:12x2-11x -15【答案】(4x + 3)(3x - 5)29.分解因式: x4+ 7x2- 30【答案】(x2 - 3)(x2 +10)30.分解因式: x2-x - 6 【答案】(x + 2)(x - 3)31.分解因式: x2- 9x - 22 【答案】(x + 2)(x -11)32.分解因式: x2+ 12x + 20【答案】(x + 2)(x +10)33.分解因式: 6x2- 7x + 2【答案】(2x -1)(3x - 2) 34.分解因式:12x2-11x -15【答案】(4x + 3)(3x - 5)35.分解因式: -x2+x + 56【答案】(x + 7)(8 -x)36.分解因式: 6x2-13x + 6【答案】(3x - 2)(2x - 3)。
因式分解100题及答案1. $2x^2 + 5x$解:首先找到两个数的乘积等于2乘以5,并且它们的和等于5。
这两个数是2和1。
因此,我们可以将原式改写为$(2x + 1)(x + 0)$。
2. $3xy + 6y$解:首先找到两个数的乘积等于3乘以6,并且它们的和等于6。
这两个数是3和2。
因此,我们可以将原式改写为$(3x + 2)(y + 0)$。
3. $4x^2 - 9$解:这是一个差的平方形式。
我们可以将其改写为$(2x - 3)(2x + 3)$。
4. $5a^2 - 20a$解:首先进行因式分解,我们可以将原式写为$a(5a - 20)$。
然后,再将括号中的表达式进行简化,得到$a(5(a - 4))$。
最终结果为$a^2(5 -4)$,即$a^2$。
5. $6xy^2 - 3xy$解:首先进行因式分解,我们可以将原式写为$3xy(2y - 1)$。
在括号中的表达式无法再简化,因此最终结果为$3xy(2y - 1)$。
6. $7x^3 - 7x$解:首先进行因式分解,我们可以将原式写为$7x(x^2 - 1)$。
然后,再将括号中的表达式进行简化,得到$7x(x - 1)(x + 1)$。
最终结果为$7x(x - 1)(x + 1)$。
7. $8a^2b - 4ab^2$解:首先进行因式分解,我们可以将原式写为$4ab(2a - b)$。
在括号中的表达式无法再简化,因此最终结果为$4ab(2a - b)$。
8. $9x^2 + 12xy + 4y^2$解:这是一个完全平方形式。
我们可以将其改写为$(3x + 2y)^2$。
9. $10a^2 - 5ab + 15a$解:首先进行因式分解,我们可以将原式写为$5a(2a - b + 3)$。
在括号中的表达式无法再简化,因此最终结果为$5a(2a - b + 3)$。
10. $11xy^3 - 22xy^2 + 11xy$解:首先进行因式分解,我们可以将原式写为$11xy(y^2 - 2y + 1)$。
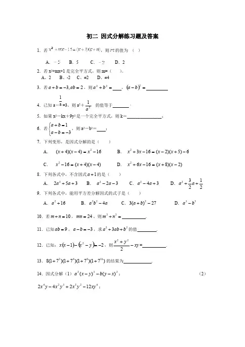
初二 因式分解练习题及答案1.若,则的值为 ( ) A .B .5C .D .22.若x 2+mx+1是完全平方式,则m=( )。
A 、2 B 、-2 C 、±2 D 、±43.若,则 ,2,3=-=+ab b a =+22b a ()=-2b a 4.已知a - =3,则a 2+的值等于 ·1a 21a 5.如果x 2-kx +9y 2是一个完全平方式,则k =________________;6.若,则a 2-b 2= ;⎩⎨⎧-=-=+31b a b a 7.下列变形,是因式分解的是()A .B . 16)4)(4(2-=-+x x x 6)5)(2(1632-+-=-+x x x x C . D . )4)(4(162-+=-x x x )2)(8(1662-+=-+x x x x 8.下列各式中,不含因式的是( )1+a A .B .C .D .3522++a a 322--a a 342+-a a 21232++a a 9.下列各式中,能用平方差分解因式的式子是( )A .B .C .D .162+a a b a 422-27)(32-+b a 33b a -10.若,,则.10m n +=24mn =22m n +=11.已知,,求的值.9ab =3a b -=-223a ab b ++12.已知:,则=.()()212-=---y x x x xy y x -+22213.的结果为 .248168(17)(17)(17)(17)++++14.因式分解(1);(2)232)()(x y b y x a ---;42332412242xy y x y x y x -+-(3)(4) 22264)(x y x --21862----n n n x x x (5)(6)(x 2+y 2)2-4x 2y 22236244y xy x +-(7)⎪⎭⎫ ⎝⎛-⎪⎭⎫ ⎝⎛-⋅⋅⋅⋅⋅⎪⎭⎫⎝⎛-⎪⎭⎫ ⎝⎛-⎪⎭⎫ ⎝⎛-2222210011991141131121115.已知,求代数式的值。
初中因式分解50题及答案学校:___________姓名:___________班级:___________考号:___________一、解答题1.因式分解(1)22363ax axy ay +﹣(2)()44m m -+.2.(1)计算:()3222x x x ⋅⋅- (2)计算:()()3223x x +-(3)因式分解:32x xy -(4)因式分解:244a b ab b -+3.(1)计算:2(3)(2)(4)(4)a a a a -+-+-;(2)分解因式:229()4()a x y b y x -+-;4.因式分解:244x y xy y -+.5.因式分解(1)22312x y -;(2)29124m m -+.6.分解因式:(1)22x xy xy -+(2)()222224a b a b +- (3)()()269x y x y ---+7.因式分解:(1)39x x -(2)244m m -+-8.分解因式(1)21236x x -+;(2)32312a ab -.9.因式分解(1)224a a -(2)22169mn m n -+10.因式分解(1)()222224x y x y +- (2)22369xy x y y --11.分解因式(1)3228a ab -.(2)()()269b a a b ---+.12.分解因式:(1)2269m n n -+-(2)()226(2)714x y x x y x x y +++--. 13.分解因式:22944a ab b -+-.14.因式分解:(1)3223242x y x y xy -+-;(2)()()222211a b b b -+-.15.因式分解:(1)282abc bc -;(2)()()26x x y x y +-+;16.在实数范围内分解下列因式:(1) 4265y y -+;(2) 211x -;(3) 23-+a ;(4)252x -.17.分解因式∶(1)26mx my -;(2)222510m mn n -+(3)()()229a x y b y x -+-.18.把下列多项式分解因式.(1)329a ab -;19.分解因式:(1)22364m n -(2)22(()())x x y x y x y x ----+.20.分解因式(1)216x -(2)3a a -(3)24(2)4(2)1a b a b +-++;(4)2221y y x ++-21.将下列各式因式分解:(1)24xy xy -.(2)4224816x x y y -+.(3)()()222x x y y x -+-.22.因式分解:(1)()()2222x a y a -+-(2)()()22211216x x x x -+-+ 23.因式分解:()()22254a x y b y x -+-.24.分解因式(1)32x xy -(2)(2)(4)1x x +++25.分解因式:(1)323812a b ab c +(2)22344ab a b b --.26.分解因式.(1)2()4()a x y y x -+-;(2)()222221664x y x y +-. 27.分解因式(2)22()()x a x b +--(3)22(32)(27)x x --+28.分解因式:(1)2344x x x --;(2)2(2)(3)(2)x y x y x y -+--;(3)22222()4x y x y +-.29.分解因式:(1)22338124a b ab a b -+-(2)()()24a x y y x -+-30.分解因式2812x x -+:.31.分解因式:()()229x y z x y z -++--.32.因式分解(直接写出结果)(1)2()()y x y x y ---=_________;(2)41x -=_____________;(3)2(1)4x x +-=____________.33.把下列各式分解因式:(1)()()26a x y b y x ---;(2)()()2221619y y ---+ 34.分解因式:(1)2961x x ++(2)322321218x y x y xy -+35.分解因式:()()()111xy x y xy ++++36.因式分解(1)3x y xy -;(2)()()21449x y x y -+++-.37.分解因式:(1)22363a ab b -+-;(2)()()2294a x y b y x -+-.38.因式分解:(1)24ab a -;(2)()()22258516x x +--+. 39.分解因式:(1)29x -(2)222050x x -+40.分解因式:2(()9)x m n n m -+-41.把下列各式因式分解:(1)323812a b ab c +;(2)2231212x xy y -+;(3)()()229+4a x y b y x --;(4)44x y -+;(5)292)(2a x y x y +--.42.因式分解(1)22862ab a b ab -+-; (2)214x x -+;(3)()22214x x +-. 43.把下列各式因式分解:(1)()222416a a +-. (2)()()229m n m n +--.(3)222232448a x a x a -+-.44.分解因式(1)2221a b a --+;(2)3-a b ab .45.分解因式:(1)2ax a -;(2)2363x y xy y -+.46.把下列多项式分解因式:(1)34x x -(2)2292a b ab +-+47.因式分解(1)32m mn(2)22288x xy y -+48.因式分解:(1)29x -;(2)232a a a -+;(3)()()22258516x x +--+. 49.分解因式:223242x y xy y ++.50.分解因式:(1)321510x x +;(2)269x y xy y -+;(3)22()4()a x y b y x -+-.参考答案:1.(1)()23-a x y(2)()22m -【分析】(1)先提公因式,再运用完全平方公式即可作答;(2)先去括号,再运用完全平方公式即可作答.【详解】(1)223-63ax axy ay +()2232a x xy y =-+()23a x y =-; (2)()44m m -+244m m =-+()22m =-.【点睛】本题考查因式分解,用到了提公因式法与公式法,解题的关键是注意如果多项式的各项含有公因式,必须先提公因式.2.(1)98x -(2)2656x x --(3)()()x x y x y +-(4)()22b a -【分析】(1)根据积的乘方,同底数幂的乘法运算法则计算即可;(2)根据多项式乘多项式的法则计算即可;(3)先提取公因式,再利用平方差公式分解因式;(4)先提取公因式,再利用完全平方公式分解因式;【详解】(1)解:原式()268x x x =⋅⋅- 98x =-;(2)解:原式26946x x x =-+-2656x x =--;(3)解:原式()22x x y =-()()x x y x y =+-;(4)解:原式()244b a a =-+ ()22b a =-. 【点睛】本题考查了积的乘方,同底数幂的乘法,多项式乘多项式,综合提公因式和公式法分解因式,熟练掌握运算法则是解题的关键.3.(1)23228a a --(2)()()()3232x y a b a b -+-【分析】(1)先去括号,再合并同类项即可;(2)先提取公因式,然后利用平方差公式分解即可.【详解】解:(1)原式()22221216a a a =----22221216a a a =---+23228a a =--;(2)原式()()2294a x y b x y =---()()2294x y a b =--()()()3232x y a b a b =-+-.【点睛】本题主要考查整式的乘法以及乘法公式,因式分解,掌握因式分解的方法,整式运算的法则是解题的关键.4.2(21)y x -【分析】先提取y ,再根据公式法分解因式即可.【详解】原式2(441)y x x =-+2(21)y x =-.【点睛】本题考查了用提公因式法和公式法进行因式分解,一个多项式有公因式首先提取公因式,然后再用其他方法进行因式分解,同时因式分解要彻底,直到不能分解为止. 5.(1)()()322x y x y +-(2)()232m -【分析】(1)先提取公因式,再用平方差公式;(2)用完全平方公式.【详解】(1)解:22312x y -()2234x y =- ()()322x y x y =+-(2)29124m m -+()2232322m m =-⨯⨯+ ()232m =-【点睛】本题主要考查了公式法与提公因式法因式分解;熟练掌握平方差公式与完全平方公式的特征是解题的关键.6.(1)()21x y -(2)()()22a b a b +-(3)()23x y --【分析】(1)先提取公因式x ,再利用完全平方公式进行因式分解即可;(2)先利用平方差公式分解为()()222222a b ab a b ab +++-,再利用完全平方公式分解因式即可;(3)把()x y -看作整体利用完全平方公式进行因式分解即可.【详解】(1)22x xy xy -+()212x y y =-+()21x y =-.(2)()222224a b a b +-()()222222a b ab a b ab =+++-()()22a b a b =+-. (3)()()269x y x y ---+ ()23x y =--.【点睛】此题考查了因式分解,注意因式分解要彻底,熟练掌握因式分解并灵活选择方法是解题的关键.7.(1)()()33x x x +-;(2)()22m --.【分析】(1)先提取公因式x ,再用平方差公式继续分解;(2)先提取公因式1-,再用完全平方公式继续分解.【详解】(1)解:()3299x x x x -=- ()()33x x x =+-;(2)解:244m m -+-()244m m =--+()22m =--.【点睛】本题考查了用提公因式法和公式法进行因式分解,一个多项式有公因式首先提取公因式,然后再用其他方法进行因式分解,同时因式分解要彻底,直到不能分解为止. 8.(1)()26x -(2)()()322a a b a b -+【分析】(1)式利用完全平方公式分解即可;(2)先提取公因式,再利用平方差公式分解即可.【详解】(1)解:21236x x -+22266x x =-⨯⋅+()26x =-(2)解:32312a ab - ()2234a a b =-()2232a a b ⎡⎤=-⎣⎦()()322a a b a b =-+【点睛】本题考查了提公因式法与公式法的综合运用,灵活选择合适的因式分解方法是解本题的关键.9.(1)()22a a -(2)()231mn -【分析】(1)直接提取公因式2a 即可得到答案;(2)利用完全平方公式分解因式即可.【详解】(1)解:224a a -()22a a =-;(2)解:22169mn m n -+()231mn =-.【点睛】本题主要考查了分解因式,熟知分解因式的方法是解题的关键.10.(1)()()22x y x y +-(2)()23y x y --【分析】(1)先利用平方差公式因式分解,再利用完全平方公式进行因式分解,即可求解;(2)先提公因式,再利用完全平方公式进行因式分解,即可求解.【详解】(1)解:()222224x y x y +- ()()222222x y xy x y xy =+++-()()22x y x y =+-(2)解:22369xy x y y --()2296y x xy y =--+()23y x y =--【点睛】本题主要考查了多项式的因式分解,熟练掌握多项式的因式分解方法——提公因式法、公式法、十字相乘法、分组分解法,并会结合多项式的特征,灵活选用合适的方法是解题的关键.11.(1)()()222a a b a b +-(2)()23a b --【分析】(1)先提出公因式2a ,再用平方差公式进行求解即可,(2)先将()()269b a a b ---+转化为()()269a b a b ---+,再利用完全平方公式进行求解即可.【详解】(1)3228a ab - ()2224a a b =-()()222a a b a b =+-(2)()()269b a a b ---+()()269a b a b =---+()23a b =-- 【点睛】本题主要考查因式分解,解题的关键是掌握因式分解的方法——提公因式法和公式法,要注意分解要彻底.12.(1)()()33m n m n +--+(2)()()()271x y x x ++-【分析】(1)通过添括号,将2269m n n -+-转化为()2269m n n --+,再利用平方差公式进行分解因式即可求解.(2)将()226(2)714x y x x y x x y +++--转化为()()226(2)72x y x x y x x y +++-+,先提出公因式,再利用十字相乘法进行分解因式即可求解.【详解】(1)2269m n n -+-()2269m n n =--+()223m n =-- ()()33m n m n =+--+(2)()226(2)714x y x x y x x y +++--()()226(2)72x y x x y x x y =+++-+()()2267x y x x =++-()()()271x y x x =++-【点睛】本题考查分解因式的方法,解题的关键是掌握提公因式法,公式法和十字相乘法. 13.()()3232a b a b +--+【分析】先将多项式分组为()22944a ab b --+,再分别利用完全平方公式和平方差公式分解即可.【详解】解:22944a ab b -+-()22944b a a b =--+()292a b =--()()3232a b a b =+---⎡⎤⎡⎤⎣⎦⎣⎦()()3232a b a b =+--+.【点睛】本题考查了因式分解-分组分解,熟练掌握完全平方公式和平方差公式,能根据多项式特点进行适当分组是解题关键.14.(1)()22xy x y --(2)()()()()11a b a b b b ++--【分析】(1)先提取公因式2xy -,再利用完全平方公式继续分解即可;(2)先对原式变形,再利用平方差公式进行分解即可.【详解】(1)解:原式()2222xy x xy y =--+()22xy x y =--;(2)解:原式()()222211a b b b =--- ()()2221b a b =--()()()()11a b b b b a =++--.【点睛】本题考查了因式分解,把一个多项式化成几个整式的乘积的形式,叫做因式分解.因式分解常用的方法有:∶提公因式法;∶公式法;∶十字相乘法;∶分组分解法.因式分解必须分解到每个因式都不能再分解为止.15.(1)()24bc a c -(2)()()23x y x +-【分析】(1)用提公因式法解答;(2)用提公因式法解答.【详解】(1)解:原式()24bc a c =-(2)解:原式()()23x y x =+-【点睛】此题考查了因式分解——提公因式法,熟练掌握提取公因式的方法是解本题的关键.16.(1)()()(11y y y y +-(2)(x x(3)(2a(4)【分析】(1)原式先利用十字相乘法分解后,再利用平方差公式“()()22a b a b a b -=+-”分解即可;(2)原式利用平方差公式分解即可;(3)原式利用完全平方公式“()2222a ab b a b ±+=±”分解即可;(4)原式利用平方差公式分解即可.【详解】(1)解:原式()()2215y y --= ()()(11y y y y =+-;(2)解:原式22x =- (x x =;(3)解:原式(2a =;(4)解:原式=. 【点睛】本题考查了在实数范围内因式分解,掌握因式分解的方法是解决本题的关键. 17.(1)()23-m x y(2)()25m n -(3)()()()33x y a b a b +--【分析】(1)直接提公因式2m 即可分解;(2)利用完全平方公式分解即可;(3)先提公因式x y -,再利用平方差公式分解.【详解】(1)解:26mx my - ()23m x y =-;(2)222510m mn n -+()25m n =-;(3)()()229a x y b y x -+- ()()229a b x y =--()()()33y a b a b x +-=-【点睛】本题考查的是因式分解,在解答此类题目时要注意乘法公式的运用.18.(1)()()33a a b a b -+(2)23(2)x y -【分析】(1)先提公因式,再用公式法分解因式即可;(2)先提公因式,再用公式法分解因式即可.【详解】(1)解:329a ab -()229a a b =- ()()33a a b a b =-+;(2)解:2231212x xy y -+()22344x xy y =-+23(2)x y =-. 【点睛】本题主要考查了提公因式法与公式法的综合运用,熟练掌握因式分解的方法是解题的关键.19.(1)()()433m n m n +-(2)()()21x y x --【分析】(1)直接根据平方差公式因式分解即可得到答案;(2)先提取公因式,再利用完全平方公式分解即可得到答案.【详解】(1)解:原式22(6)(2)m n =- ()()6262m n m n =+-()()433m n m n =+-;(2)解:原式22(())()x x y x y x x y =--+-+()()221x y x x =--+()()21x y x =--.【点睛】本题考查因式分解,解题的关键是熟练掌握有公因式先提取公因式,再看符不符合公式,利用公式法分解.20.(1)()()44x x +-(2)()()11a a a +-(3)()2421a b +-(4)()()11y x y x -+--【分析】(1)根据平方差公式进行因式分解即可求解;(2)先提公因式a ,然后根据平方差公式进行因式分解即可求解;(3)根据完全平方公式进行因式分解即可求解;(4)先分组,然后根据完全平方公式与平方差公式因式分解即可求解.【详解】(1)解:216x - ()()44x x =+-;(2)解:3a a -()21a a =-()()11a a a =+-;(3)解:24(2)4(2)1a b a b +-++()2221a b =+-⎡⎤⎣⎦()2421a b =+-; (4)2221y y x ++-()2221y y x ++-=()221y x =-- ()()11y x y x =-+--.【点睛】本题考查了因式分解,掌握因式分解的方法是解题的关键.21.(1)(4)xy y -(2)22(2)(2)x y x y -+(3)2()(1)(1)x y x x --+【分析】(1)提取公因式即可.(2)先利用完全平方公式进行因式分解,再利用平方差公式进行因式分解.(3)先提取公因式,再把剩下的部分提取2后,按照平方差公式展开.【详解】(1)解:原式(4)xy y =-(2)解:原式()22222224(4)x x y y =-⋅⋅+ 222(4)x y =-22(2)(2)x y x y =-+(3)解:原式2()(22)x y x =--2()2(1)x y x =-⋅⋅-2()(1)(1)x y x x =--+【点睛】本题考查的是因式分解,解题的关键是要识别出可以使用平方差公式和完全平方公式之处,分解彻底.22.(1)()()()2a x y x y -+- (2)412x ⎛⎫- ⎪⎝⎭【分析】(1)先变形,然后提取公因式,再利用平方差公式因式分解即可;(2)利用完全平方公式进行因式分解即可.【详解】(1)解∶原式()()2222x a y a =---()()222a x y =--()()()2a x y x y =-+-;(2)解:原式2214x x ⎛⎫=-+ ⎪⎝⎭2212x ⎡⎤⎛⎫=-⎢⎥ ⎪⎝⎭⎢⎥⎣⎦ 412x ⎛⎫=- ⎪⎝⎭. 【点睛】本题主要考查了提公因式法与公式法的综合运用,熟练掌握因式分解的方法是解本题的关键.23.()(52)(52)x y a b a b --+【分析】将()y x -变形为()x y --,提取公因式,运用平方差公式即可求解.【详解】解:()()22254a x y b y x -+-()()22254a x y b x y =---()22(254)x y a b =--()(52)(52)x y a b a b =--+.【点睛】本题主要考查因式分解,掌握提取公因式,乘法公式进行因式分解是解题的关键. 24.(1)()()x x y x y +-(2)2(3)x +【分析】(1)原式提取公因式,再利用平方差公式分解即可;(2)原式整理后,利用完全平方公式分解即可.【详解】(1)解:原式22()()()x x y x x y x y =-=+-;(2)解:原式269x x =++2(3)x =+.【点睛】本题考查了提公因式法与公式法的综合运用,熟练掌握因式分解的方法是解本题的关键.25.(1)()22423ab a bc +;(2)()22--b a b .【分析】(1)提取公因式24ab ,即可求解;(2)先提取公因式b -,再利用完全平方公式继续分解即可.【详解】(1)解:323812a b ab c +()22423ab a bc =+;(2)解:22344ab a b b --()2244b ab a b =--++ ()22b a b =--.【点睛】本题考查了用提公因式法和公式法进行因式分解,一个多项式有公因式首先提取公因式,然后再用其他方法进行因式分解,同时因式分解要彻底,直到不能分解为止. 26.(1)()()()22a a x y +--(2)()()2244x y x y +-【分析】(1)原式提取公因式,再利用平方差公式分解;(2)原式利用平方差公式变形,再利用完全平方公式分解.【详解】(1)解:2()4()a x y y x -+- ()()24a x y =--()()()22a a x y =+--;(2)解:()222221664x y x y +- ()()2222168168x y xy x y xy =+++-()()2244x y x y =+-【点睛】此题考查了因式分解—提公因式法,以及公式法,熟练掌握因式分解的方法是解本题的关键.27.(1)()2xy x y -(2)()()2x a b a b +-+(3)()()519x x +-【分析】(1)先提取公因式,再用完全平方公式分解;(2)用平方差公式分解即可;(3)先用平方差公式分解,再提取公因式.【详解】(1)32232x y x y xy -+()222xy x xy y =-+()2xy x y =- (2)22()()x a x b +--[][]()()()()x a x b x a x b =++-+--()()x a x b x a x b =++-+-+()()2x a b a b =+-+(3)22(32)(27)x x --+[][](32)(27)(32)(27)x x x x =-++--+()()32273227x x x x =-++---()()559x x =+-()()519x x =+-【点睛】本题考查了因式分解的应用,熟练掌握因式分解的方法是解答本题的关键.因式分解常用的方法有:∶提公因式法;∶公式法;∶十字相乘法;∶分组分解法.28.(1)2(2)x x --(2)5(2)y x y -(3)22()()x y x y +-【分析】(1)先提公因式x -,再利用完全平方公式即可;(2)先提公因式(2)x y -,再合并同类项即可;(3)先利用平方差公式,再利用完全平方公式进行计算即可.【详解】(1)解:(1)原式2(44)x x x =--+2(2)x x =--;(2)解:原式(2)[(3)(2)]x y x y x y =-+--(2)(32)x y x y x y =-+-+5(2)y x y =-;(3)解:原式22222()4x y x y =+-2222(2)(2)x y x y xy y x ++=+-22()()x y x y =+-.【点睛】本题考查因式分解,掌握提公因式法和公式法是解题的关键.29.(1)()22423ab a b a b --+(2)()()()22x y a a -+-【分析】(1)提取4ab -,即可求解;(2)提取()x y -,再根据平方差公式继续分解即可求解.【详解】(1)解:22338124a b ab a b -+-()22423ab a b a b --+=;(2)解:()()24a x y y x -+-()()24x y a =-- ()()()22x y a a =-+-.【点睛】本题考查了用提公因式法和公式法进行因式分解,一个多项式有公因式首先提取公因式,然后再用其他方法进行因式分解,同时因式分解要彻底,直到不能分解为止. 30.()()26x x --【分析】根据十字相乘法,进行因式分解即可.【详解】解:()()281226x x x x -+=--.【点睛】本题考查因式分解.熟练掌握十字相乘法因式分解,是解题的关键.31.()()4222x y z x y z ++++【分析】利用平方差公式先将原式进行分解因式得到()()422244x y z x y z ++++,再提取公因式2即可得到答案.【详解】解:()()229x y z x y z -++-- ()()()()33x y z x y z x y z x y z =+++--++---⎡⎤⎡⎤⎣⎦⎣⎦()()333333x y z x y z x y z x y z =+++--++-++()()422244x y z x y z =++++()()4222x y z x y z =++++.【点睛】本题主要考查了分解因式,正确利用平方差公式将原式分解成()()422244x y z x y z ++++是解题的关键.32.(1)()(2)x y y x --(2)()21(1)(1)x x x ++-(3)2(1)x -【分析】(1)提取公因式()x y -;(2)利用平方差公式分解;(3)先展开多项式,再利用完全平方公式.【详解】(1)解:原式()[1()]x y x y =---()(1)x y x y =--+;故答案为:()(1)x y x y --+;(2)解:原式22(1)(1)x x =+-2(1)(1)(1)x x x =++-;故答案为:2(1)(1)(1)x x x ++-;(3)解:原式2214x x x =++-221x x =-+2(1)x =-.故答案为:2(1)x -.【点睛】本题考查了整式的因式分解,掌握因式分解的提公因式法、公式法是解决本题的关键.33.(1)()()23a b x y +-(2)()()2222+-y y【分析】(1)利用提取公因式法分解因式;(2)利用完全平方公式和平方差公式分解因式.【详解】(1)解:()()26a x y b y x --- ()()26a x y b x y =-+-()()26a b x y =+-()()23a b x y =+-;(2)解:()()2221619y y ---+ ()2213y =-- ()2222y =- ()()2222y y =+-.【点睛】本题考查因式分解,属于基础题,掌握提取公因式法和公式法是解题的关键. 34.(1)()231+x(2)()223xy x y -【分析】(1)利用完全平方公式进行因式分解,即可求解;(2)先提出公因式,再利用完全平方公式进行因式分解,即可求解.【详解】(1)解:2296131x x x ; (2)解:322321218x y x y xy -+22269xy x xy y()223xy x y =-.【点睛】本题主要考查了多项式的因式分解,熟练掌握多项式的因式分解方法——提公因式法、公式法、十字相乘法、分组分解法,并会结合多项式的特征,灵活选用合适的方法是解题的关键.35.(1)(1)xy x xy y ++++【分析】先展开原式,得()()11xy xy x y xy +++++,令1xy a +=,式子变形为:()2xy a x y a xy a ax ay +++=+++,再根据十字相乘法,即可.【详解】()()()()()11111xy x y xy xy xy x y xy ++++=+++++,令1xy a +=,∶()()()111xy x y xy ++++()xy a x y a =+++2xy a ax ay =+++()2a a x y xy =+++()()a x a y =++,把1xy a +=代入()()a x a y ++,∶()()()()11a x a y xy x xy y ++=++++,∶()()()()()11111xy x y xy xy x xy y ++++=++++.【点睛】本题考查因式分解的知识,解题的关键是把1xy +看成一个整体,熟练掌握因式分解-十字相乘法的运用.36.(1)()()11xy x x -+(2)()27x y -+-【分析】(1)先提取公因式,再用平方差公式展开即可(2)直接用完全平方公式即可【详解】(1)解:3x y xy -()21xy x =-()()11xy x x =-+(2)解:()()21449x y x y -+++-()()21449x y x y ⎡⎤=-+-++⎣⎦ ()27x y =-+-【点睛】本题考查了用平方差公式和完全平方公式因式分解,熟练掌握公式是解决问题的关键37.(1)()23a b --;(2)()()()3232x y a b a b -+-.【分析】(1)先提公因式,再利用完全平方公式分解因式,即可;(2)先提公因式,再利用平方差公式分解因式,即可.【详解】(1)解:原式()2232a ab b =--+ ()23a b =--;(2)解:原式()()2294a x y b x y =--- ()()2294x y a b =--()()()3232x y a b a b =-+-.【点睛】本题考查了因式分解,掌握提公因式与公式法分解因式是解题的关键. 38.(1)()()22a b b +-(2)()()2233+-x x【分析】(1)先提取公因式a ,再利用平方差公式分解因式即可;(2)利用完全平方公式和平方差公式分解因式即可.【详解】(1)解:24ab a -()24a b =-()()22a b b =+-;(2)解:()()22258516x x +--+ ()2254x ⎡⎤=--⎣⎦ ()229x =- ()()2233x x =+-. 【点睛】本题主要考查了分解因式,熟知分解因式的方法是解题的关键.39.(1)()()33x x +-;(2)225x -().【分析】(1)根据平方差公式直接分解因式;(2)先题公因式,在用完全平方差公式分解.【详解】(1)解:29x -()()33x x =+-;(2)222050x x -+()221025x x =-+225x =-(). 【点睛】本题考查因式分解,熟练运用提公因式法和公式法进行因式分解是解题的关键. 40.()()()33m n x x -+-【分析】先提公因式()m n -,然后根据平方差公式因式分解即可求解.【详解】解:2(()9)x m n n m -+-()()29x m n m n =---()()29m n x =--()()()33m n x x =-+-.【点睛】本题考查了因式分解,掌握因式分解的方法是解题的关键.41.(1)224(23)ab a bc +(2)23(2)x y -(3)()(32)(32)x y a b a b -+-(4)()()()22x y x y y x ++-(5)(2)(31)(31)x y a a ++-【分析】(1)原式提取公因式即可;(2)原式提取公因式,再利用完全平方公式分解即可;(3)原式变形后,提取公因式,再利用平方差公式分解即可;(4)原式利用平方差公式分解即可;(5)原式变形后,提取公因式,再利用平方差公式分解即可.【详解】(1)解:原式224(23)ab a bc =+;(2)解:原式223(44)x xy y =-+23(2)x y =-;(3)解:原式229()4()a x y b x y =---22()(94)x y a b =--()(32)(32)x y a b a b =-+-;(4)解:原式()()2222x y y x =+-()()()22x y x y y x =++-;(5)解:原式292)(2)(a x y x y =+-+22)(91)(x y a =+-(2)(31)(31)x y a a =++-.【点睛】此题考查了提公因式法与公式法的综合运用,熟练掌握因式分解的方法是解决本题的关键.42.(1)()2431ab b a --+(2)212x ⎛⎫- ⎪⎝⎭ (3)()()2211x x +-【分析】(1)提取公因式2ab -进行分解因式即可;(2)利用完全平方公式分解因式即可;(3)利用平方差公式和完全平方公式分解因式即可.【详解】(1)解:22862ab a b ab -+-()2431ab b a =--+ (2)解:214x x -+212x ⎛⎫=- ⎪⎝⎭; (3)解:()22214x x +- ()()221212x x x x =+++-()()2211x x =+-. 【点睛】本题主要考查了分解因式,熟知分解因式的方法是解题的关键.43.(1)()()2222a a +-(2)()()422m n m n ++(3)()2234a x --【分析】(1)首先利用平方差公式分解因式,然后利用完全平方公式分解因式;(2)首先利用平方差公式分解因式,然后利用提公因式法分解因式;(3)首先利用提公因式法分解因式,然后利用完全平方公式分解因式.【详解】(1)()222416a a +- ()()224444a a a a =+++-()()2222a a =+-;(2)()()229m n m n +-- ()()3333m n m n m n m n =++-+-+()()4224m n m n =++()()422m n m n =++;(3)222232448a x a x a -+-()223816a x x =--+()2234a x =--. 【点睛】此题考查了因式分解的方法,解题的关键是熟练掌握因式分解的方法.因式分解的方法有:提公因式法,平方差公式法,完全平方公式法,十字相乘法等.44.(1)())11(a b a b -+--(2)()()11ab a a +-【分析】(1)根据平方差公式和完全平方公式,分解因式即可;(2)先提公因式,然后用平方差公式分解因式即可.【详解】(1)解:2221a b a --+2221a a b =-+-()221a b =-- ()()11a b a b -+--=;(2)解:3-a b ab()21ab a =-()()11ab a a =+-.【点睛】本题主要考查了因式分解,解题的关键是熟练掌握平方差公式和完全平方公式. 45.(1)()()11a x x +-(2)()231y x -【分析】(1)首先提取公因式,再利用平方差公式,即可分解因式;(2)首先提取公因式,再利用完全平方公式,即可分解因式.【详解】(1)解:2ax a -()21a x =- ()()11a x x =+-(2)解:2363x y xy y -+()2321y x x =-+()231y x =-【点睛】本题考查了因式分解的方法,熟练掌握和运用因式分解的方法是解决本题的关键. 46.(1)()()22-+x x x ;(2)()()33a b a b +++-.【分析】(1)先提取公因式,再利用平方差公式即可得到结果;(2)原式利用完全平方公式与平方差公式分解即可得到结果.【详解】(1)解:34x x - ()24x x =-()()22x x x =-+;(2)解:2292a b ab +-+()2229a b ab =++-()29a b =+- ()()33a b a b =+++-.【点睛】此题考查了因式分解,提公因式法和运用公式法,熟练掌握完全平方公式是解本题的关键.47.(1)()()m m n m n -+(2)22(2)x y -【分析】(1)提取公因式m ,运用平方差公式即可得;(2)提取公因数2,运用完全平方公式即可得.【详解】(1)解:原式=22()m m n -=()()m m n m n -+;(2)解:原式=222(44)x xy y -+=22(2)x y -.【点晴】本题考查了因式分解,解题的关键是掌握因式分解,平方差公式,完全平方公式. 48.(1)()()33x x +-(2)21a a -()(3)()()2233x x +-【分析】(1)直接运用平方差公式因式分解即可;(2)先提取有公因式,然后运用完全平方公式进行因式分解即可;(3)先提取有公因式,然后运用完全平方公式,再运用完全平方公式进行因式分解即可.【详解】(1)解:29x - ()()33x x =+-,(2)解:232a a a -+=212a a a -+()=21a a -()(3)解:()()22258516x x +--+ =()()22258516x x ---+=()2254x -- ()()2233x x =+- 【点睛】本题考查因式分解,熟练掌握因式分解的方法是解题的关键.49.()22y x y +【分析】先提出公因式,再利用完全平方公式进行因式分解,即可求解.【详解】解:223242x y xy y ++()2222y x xy y =++()22y x y =+ 【点睛】本题考查了提取公因式与公式法分解因式,熟练掌握因式分解的方法是解题的关键.50.(1)()2532x x +(2)()23y x -(3)()()()22x y a b a b -+-【分析】(1)直接提取公因式即可求解;(2)先提取公因式y ,然后利用完全平方公式分解因式即可;(3)先提取公因式x y -,然后利用平方差公式分解因式即可.【详解】(1)321510x x + ()2532x x =+(2)269x y xy y -+()269y x x =-+()23y x =-(3)22()4()a x y b y x -+-22()4()a x y b x y =--- ()22()4x y a b =--()()()22x y a b a b =-+-【点睛】本题主要考查了因式分解,解题的关键是熟知因式分解的方法.。
因式分解专项训练(30道)1.(拱墅区校级期中)因式分解(1)﹣a2+1;(2)2x3y+4x2y2+2xy3;(3)4(x+2y)2﹣25(x﹣y)2;(4)(a2+a)2﹣8(a2+a)+12.2.(拜泉县期中)因式分解(1)6x2﹣3x;(2)16m3﹣mn2;(3)25m2﹣10mn+n2;(4)9a2(x﹣y)+4b2(y﹣x).3.(浠水县月考)分解因式:(1)3pq3+15p3q;(2)ab2﹣a;(3)4xy2﹣4x2y﹣y3;(4)(a2+1)2﹣4a2.4.(绿园区校级月考)把下列多项式分解因式.(1)3x2﹣3y2.(2)a2b+2ab2+b3.(3)(m﹣1)(m﹣3)+1.(4)2a2+4ab+2b2.5.(2021春•东昌府区期末)把下列各式进行因式分解:(1)2(x﹣y)﹣(x﹣y)2;(2)﹣x2+8x﹣15;(3)8m3n+40m2n2+50mn3;(4)a4﹣b4.6.(2021春•南山区校级期中)分解因式:(1)12ab2﹣6ab;(2)a2﹣6ab+9b2;(3)x4﹣1;(4)n2(m﹣2)+(2﹣m).7.(2021春•邗江区期中)分解因式:(1)2x2﹣12x+18;(2)a3﹣a;(3)4ab2﹣4a2b﹣b3;(4)m3(a﹣2)+m(2﹣a).8.(2020秋•丛台区期末)因式分解(1)(a﹣b)2+4ab;(2)x2﹣2x﹣8;(3)x4﹣6x3+9x2﹣16;(4)(x2+3x+5)(x2+3x+1)+3.9.(2021春•江北区校级期中)因式分解:(1)﹣8ab2+6a2b﹣2ab;(2)4a2﹣(a2+1)2;(3)x4﹣8x2﹣9;(4)(2﹣x2)2+2x(x2﹣2)+x2.10.(2021春•福田区校级期中)因式分解:(1)ab2﹣a;(2)2xy2﹣12x2y+18x3;(3)a4﹣8a2+16;(4)(x﹣4)(x+1)+3x.11.(2021秋•姜堰区月考)因式分解:(1)a4﹣1;(2)x3﹣2x2y+xy2.12.(2021春•平山区校级期中)分解因式:(1)x2(m﹣n)+y2(n﹣m);(2)3x2﹣18xy+27y2.13.(2021春•鄄城县期末)因式分解:(1)(a﹣b)(x﹣y)﹣(b﹣a)(x+y);(2)(x2+1)2﹣4x2.14.(2021春•福田区校级期中)分解因式:(1)4x2﹣(x2+1)2;(2)3(x﹣1)2﹣18(x﹣1)+27.15.(2021春•凤翔县期末)分解因式:(1)9a2(x﹣y)+y﹣x;(2)(x2﹣2xy+y2)+(﹣2x+2y)+1.16.(2021春•沈北新区期末)因式分解:(1)﹣10a2bc+15bc2﹣20ab2c;(2)(x2+1)2﹣4x2.17.(2021春•平顶山期末)把下列各式因式分解:(1)x2+2xy+y2﹣c2;(2)b2(a﹣2)+b(2﹣a).18.(2021春•覃塘区期末)因式分解:(1)3x3﹣12x;(2)1﹣2x+2y+(x﹣y)2.19.(2021春•江宁区月考)分解因式:(1)4x2(x﹣y)+(y﹣x);(2)(x2﹣5)2+8(x2﹣5)+16.20.(2021春•汉寿县期中)分解因式:3x2﹣xy﹣2y2﹣x+y.21.(2020秋•浦东新区期末)因式分解(1)5x2+6y﹣15x﹣2xy;(2)(1+ab)2﹣(a+b)2.22.(2020春•市南区校级期中)因式分解:4(x+y)2﹣16(x﹣y)2.23.(2020秋•宝山区期末)分解因式:2x3﹣2x2y+8y﹣8x.24.(2020秋•上海期末)分解因式:a4+4b2c2﹣a2b2﹣4a2c2.25.(2020秋•松江区期末)因式分解:x3+3x2y﹣4x﹣12y.26.(2020秋•浦东新区期末)分解因式:a4+4b2c2﹣a2b2﹣4a2c2.27.(2020秋•浦东新区期末)因式分解:(x2+2x)2﹣7(x2+2x)﹣8.28.(2021秋•浦东新区校级期中)分解因式:(x2+x+1)(x2+x+2)﹣12.29.(2020秋•海淀区校级期中)因式分解:64a6﹣48a4b2+12a2b4﹣b6.30.(2020秋•海淀区校级期中)请用两种方法对多项式x3﹣4x2+6x﹣4进行因式分解.(拆添项算一种方法)因式分解专项训练(30道)【答案版】1.(2021春•拱墅区校级期中)因式分解(1)﹣a2+1;(2)2x3y+4x2y2+2xy3;(3)4(x+2y)2﹣25(x﹣y)2;(4)(a2+a)2﹣8(a2+a)+12.【解题思路】(1)逆用平方差公式进行因式分解.(2)先逆用平方差公式,再提公因式.(3)先逆用平方差公式,再提公因式.(4)运用十字相乘法进行因式分解,注意分解彻底.【解答过程】解:(1)﹣a2+1=(1+a)(1﹣a).(2)2x3y+4x2y2+2xy3=2xy(x2+2xy+y2)=2xy(x+y)2.(3)4(x+2y)2﹣25(x﹣y)2=[2(x+2y)+5(x﹣y)][2(x+2y)﹣5(x﹣y)]=(2x+4y+5x﹣5y)(2x+4y﹣5x+5y)=(7x﹣y)(﹣3x+9y)=﹣3(7x﹣y)(x﹣3y).(4)(a2+a)2﹣8(a2+a)+12=(a2+a﹣2)(a2+a﹣6)=(a+2)(a﹣1)(a+3)(a﹣2).2.(2021秋•拜泉县期中)因式分解(1)6x2﹣3x;(2)16m3﹣mn2;(3)25m2﹣10mn+n2;(4)9a2(x﹣y)+4b2(y﹣x).【解题思路】(1)原式提取公因式3x,分解即可;(2)原式提取公因式m,再利用平方差公式分解即可;(3)原式利用完全平方公式分解即可;(4)原式变形后,提取公因式(x﹣y),再利用平方差公式分解即可.【解答过程】解:(1)6x2﹣3x=3x(2x﹣1);(2)16m3﹣mn2=m(16m2﹣n2)=m(4m+n)(4m﹣n);(3)25m2﹣10mn+n2=(5m﹣n)2;(4)9a2(x﹣y)+4b2(y﹣x)=9a2(x﹣y)﹣4b2(x﹣y)=(x﹣y)(9a2﹣4b2)=(x﹣y)(3a+2b)(3a﹣2b).3.(2021秋•浠水县月考)分解因式:(1)3pq3+15p3q;(2)ab2﹣a;(3)4xy2﹣4x2y﹣y3;(4)(a2+1)2﹣4a2.【解题思路】(1)原式提取公因式3pq即可;(2)原式提取公因式a,再利用平方差公式分解即可;(3)原式提取公因式﹣y,再利用完全平方公式分解即可;(4)原式利用平方差公式,以及完全平方公式分解即可.【解答过程】解:(1)3pq3+15p3q=3pq(q2+5p2);(2)ab2﹣a=a(b2﹣1)=a(b+1)(b﹣1);(3)4xy2﹣4x2y﹣y3=﹣y(y2+4x2﹣4xy)=﹣y(2x﹣y)2;(4)(a2+1)2﹣4a2=(a2+1+2a)(a2+1﹣2a)=(a+1)2(a﹣1)2.4.(2021秋•绿园区校级月考)把下列多项式分解因式.(1)3x2﹣3y2.(2)a2b+2ab2+b3.(3)(m﹣1)(m﹣3)+1.(4)2a2+4ab+2b2.【解题思路】(1)先提公因式,再利用平方差公式即可;(2)先提公因式,再利用完全平方公式即可;(3)先计算多项式乘多项式,整理后,再利用完全平方公式即可;(4)先提公因式,再利用完全平方公式即可;【解答过程】解:(1)原式=3(x2﹣y2)=3(x+y)(x﹣y);(2)原式=b(a2+2ab+b2)=b(a+b)2;(3)原式=m2﹣4m+4=(m﹣2)2;(4)原式=2(a2+2ab+b2)=2(a+b)2.5.(2021春•东昌府区期末)把下列各式进行因式分解:(1)2(x﹣y)﹣(x﹣y)2;(2)﹣x2+8x﹣15;(3)8m3n+40m2n2+50mn3;(4)a4﹣b4.【解题思路】(1)直接提取公因式;(2)先加上负括号,再利用十字相乘法;(3)先提取公因式2mn,再利用完全平方公式;(4)利用平方差公式因式分解.【解答过程】解:(1)2(x﹣y)﹣(x﹣y)2=(x﹣y)[2﹣(x﹣y)]=(x﹣y)(2﹣x+y);(2)﹣x2+8x﹣15=﹣(x2﹣8x+15)=﹣(x﹣5)(x﹣3);(3)8m3n+40m2n2+50mn3=2mn(4m2+20mn+25n2)=2mn(2m+5n)2;(4)a4﹣b4=(a2+b2)(a2﹣b2)=(a2+b2)(a+b)(a﹣b).6.(2021春•南山区校级期中)分解因式:(1)12ab2﹣6ab;(2)a2﹣6ab+9b2;(3)x4﹣1;(4)n2(m﹣2)+(2﹣m).【解题思路】(1)直接提取公因式6ab,进而分解因式即可;(2)直接利用完全平方公式分解因式得出答案;(3)直接利用平方差公式分解因式得出答案;(4)直接提取公因式(m﹣2),再利用平方差公式分解因式即可.【解答过程】解:(1)12ab2﹣6ab=6ab(2b﹣1);(2)a2﹣6ab+9b2=(a﹣3b)2;(3)x4﹣1=(x2+1)(x2﹣1)=(x2+1)(x﹣1)(x+1);(4)n2(m﹣2)+(2﹣m)=n2(m﹣2)﹣(m﹣2)=(m﹣2)(n2﹣1)=(m﹣2)(n+1)(n﹣1).7.(2021春•邗江区期中)分解因式:(1)2x2﹣12x+18;(2)a3﹣a;(3)4ab2﹣4a2b﹣b3;(4)m3(a﹣2)+m(2﹣a).【解题思路】(1)首先提公因式2,再利用完全平方公式进行分解即可;(2)首先提公因式a,再利用平方差公式进行分解即可;(3)首先提公因式﹣b,再利用完全平方公式进行分解即可;(4)首先提公因式m(a﹣2),再利用平方差公式进行分解即可.【解答过程】解:(1)原式=2(x2﹣6x+9)=2(x﹣3)2;(2)原式=a(a2﹣1)=a(a+1)(a﹣1);(3)原式=﹣b(b2﹣4ab+4a2)=﹣b(b﹣2a)2;(4)原式=m(a﹣2)(m2﹣1)=m(a﹣2)(m﹣1)(m+1).8.(2020秋•丛台区期末)因式分解(1)(a﹣b)2+4ab;(2)x2﹣2x﹣8;(3)x4﹣6x3+9x2﹣16;(4)(x2+3x+5)(x2+3x+1)+3.【解题思路】(1)先根据完全平方公式展开,再根据完全平方公式分解因式即可;(2)根据十字相乘法分解因式即可;(3)先分组,根据完全平方公式进行计算,再根据平方差公式分解因式,最后根据“十字相乘法”分解因式即可;(4)把x2+3x当作一个整体展开,再根据“十字相乘法”分解因式即可.【解答过程】解:(1)(a﹣b)2+4ab=a2﹣2ab+b2+4ab=a2+2ab+b2=(a+b)2;(2)x2﹣2x﹣8=(x﹣4)(x+2);(3)x4﹣6x3+9x2﹣16=(x4﹣6x3+9x2)﹣16=x2(x﹣3)2﹣42=[x(x﹣3)+4][x(x﹣3)﹣4]=(x2﹣3x+4)(x2﹣3x﹣4)=(x2﹣3x+4)(x﹣4)(x+1);(4)(x2+3x+5)(x2+3x+1)+3=(x2+3x)2+6(x2+3x)+5+3=(x2+3x)2+6(x2+3x)+8=(x2+3x+2)(x2+3x+4)=(x+1)(x+2)(x2+3x+4).9.(2021春•江北区校级期中)因式分解:(1)﹣8ab2+6a2b﹣2ab;(2)4a2﹣(a2+1)2;(3)x4﹣8x2﹣9;(4)(2﹣x2)2+2x(x2﹣2)+x2.【解题思路】(1)原式提取﹣2ab,利用提公因式法因式分解即可;(2)原式利用平方差公式化简,再利用完全平方公式分解即可;(3)原式利用十字相乘法分解,再利用平方差公式分解即可;(4)利用完全平方公式变形,再利用提公因式分解即可.【解答过程】解:(1)原式=﹣2ab(4b﹣3a+1);(2)原式(2a)2﹣(a2+1)2=(2a+a2+1)(2a﹣a2﹣1)=﹣(a+1)2(a﹣1)2;(3)原式=(x2+1)(x2﹣9)=(x2+1)(x+3)(x﹣3);(4)原式=(x2﹣2)2+2x(x2﹣2)+x2=(x2+x﹣2)2=(x+2)2(x﹣1)2.10.(2021春•福田区校级期中)因式分解:(1)ab2﹣a;(2)2xy2﹣12x2y+18x3;(3)a4﹣8a2+16;(4)(x﹣4)(x+1)+3x.【解题思路】(1)提公因式后再利用平方差公式即可;(2)提公因式后再利用完全平方公式即可;(3)利用完全平方公式后再利用平方差公式;(4)根据多项式乘法计算,再利用平方差公式.【解答过程】解:(1)ab2﹣a=a(b2﹣1)=a(b+1)(b﹣1);(2)原式=2x(y2﹣6xy+9x2)=2x(y﹣3x)2;(3)原式=(a2﹣4)2=(a﹣2)2(a+2)2;(4)原式=x2﹣3x﹣4+3x=x2﹣4=(x+2)(x﹣2).11.(2021秋•姜堰区月考)因式分解:(1)a4﹣1;(2)x3﹣2x2y+xy2.【解题思路】(1)原式利用平方差公式分解即可;(2)原式提取公因式x,再利用完全平方公式分解即可.【解答过程】解:(1)原式=(a2+1)(a2﹣1)=(a2+1)(a+1)(a﹣1);(2)原式=x(x2﹣2xy+y2)=x(x﹣y)2.12.(2021春•平山区校级期中)分解因式:(1)x2(m﹣n)+y2(n﹣m);(2)3x2﹣18xy+27y2.【解题思路】(1)首先提取公因式(m﹣n),然后利用平方差公式继续进行因式分解;(2)先提取公因式,再利用完全平方公式把原式进行因式分解即可.【解答过程】解:(1)x2(m﹣n)+y2(n﹣m)=(m﹣n)(x2﹣y2)=(m﹣n)(x+y)(x﹣y);(2)3x2﹣18xy+27y2=3(x2﹣6xy+9y2)=3(x﹣3y)2.13.(2021春•鄄城县期末)因式分解:(1)(a﹣b)(x﹣y)﹣(b﹣a)(x+y);(2)(x2+1)2﹣4x2.【解题思路】(1)用提取公因式法分解因式;(2)用平方差公式、完全平方公式分解因式.【解答过程】解:(1)原式=(a﹣b)(x﹣y)+(a﹣b)(x+y)=(a﹣b)[(x﹣y)+(x+y)]=2x(a﹣b),(2)原式=(x2+1)2﹣(2x)2=(x2+1+2x)(x2+1﹣2x)=(x+1)2(x﹣1)2.14.(2021春•福田区校级期中)分解因式:(1)4x2﹣(x2+1)2;(2)3(x﹣1)2﹣18(x﹣1)+27.【解题思路】(1)先选择平方差公式分解因式,再运用完全平方公式进行因式分解;(2)先运用提取公因式法分解因式,再运用完全平方公式分解因式.【解答过程】解:(1)原式=(2x)2﹣(x2+1)2=(2x+x2+1)(2x﹣x2﹣1)=﹣(x+1)2(x﹣1)2;(2)原式=3[(x﹣1)2﹣6(x﹣1)+9]=3[(x﹣1)﹣3]2=3(x﹣4)2.15.(2021春•凤翔县期末)分解因式:(1)9a2(x﹣y)+y﹣x;(2)(x2﹣2xy+y2)+(﹣2x+2y)+1.【解题思路】(1)原式变形后,提取公因式,再利用平方差公式分解即可;(2)原式整理后,利用完全平方公式分解即可.【解答过程】解:(1)原式=9a2(x﹣y)﹣(x﹣y)=(x﹣y)(9a2﹣1)=(x﹣y)(3a+1)(3a﹣1);(2)原式=(x﹣y)2﹣2(x﹣y)+1=(x﹣y﹣1)2.16.(2021春•沈北新区期末)因式分解:(1)﹣10a2bc+15bc2﹣20ab2c;(2)(x2+1)2﹣4x2.【解题思路】(1)直接提公因式﹣5bc即可;(2)先利用平方差公式,将原式化为(x2+1+2x)(x2+1﹣2x),再利用完全平方公式得出答案.【解答过程】解:(1)原式=﹣5bc(2a2﹣3c+4ab);(2)原式=(x2+1+2x)(x2+1﹣2x)=(x+1)2(x﹣1)2.17.(2021春•平顶山期末)把下列各式因式分解:(1)x2+2xy+y2﹣c2;(2)b2(a﹣2)+b(2﹣a).【解题思路】(1)先分组,再分解.(2)先将b2(a﹣2)+b(2﹣a)变形为b2(a﹣2)﹣b(a﹣2),再运用提公因式法.【解答过程】解:(1)x2+2xy+y2﹣c2=(x+y)2﹣c2=(x+y+c)(x+y﹣c).(2)b2(a﹣2)+b(2﹣a)=b2(a﹣2)﹣b(a﹣2)=b(a﹣2)(b﹣1).18.(2021春•覃塘区期末)因式分解:(1)3x3﹣12x;(2)1﹣2x+2y+(x﹣y)2.【解题思路】(1)先提公因式,再用公式法进行因式分解.(2)先将1﹣2x+2y+(x﹣y)2变形为=1﹣(2x﹣2y)+(x﹣y)2,再用公式法进行因式分解.【解答过程】解:(1)3x3﹣12x=3x(x2﹣4)=3x(x+2)(x﹣2).(2)1﹣2x+2y+(x﹣y)2=1﹣(2x﹣2y)+(x﹣y)2=1﹣2(x﹣y)+(x﹣y)2=[1﹣(x﹣y)]2=(1﹣x+y)2.19.(2021春•江宁区月考)分解因式:(1)4x2(x﹣y)+(y﹣x);(2)(x2﹣5)2+8(x2﹣5)+16.【解题思路】(1)可先将(y﹣x)变形为﹣(x﹣y),再根据因式分解的步骤进行分解即可;(2)将(x2﹣5)看作一个整体,利用完全平方公式进行因式分解,最后再利用平方差公式因式分解即可.【解答过程】解:(1)4x2(x﹣y)+(y﹣x)=4x2(x﹣y)﹣(x﹣y)=(x﹣y)(4x2﹣1)=(x﹣y)(2x+1)(2x﹣1);(2)(x2﹣5)2+8(x2﹣5)+16=(x2﹣5+4)2=(x2﹣1)2=(x+1)2(x﹣1)2.20.(2021春•汉寿县期中)分解因式:3x2﹣xy﹣2y2﹣x+y.【解题思路】先将3x2﹣xy﹣2y2﹣x+y分组整理,然后利用公式即可解答.【解答过程】解:原式=(3x2﹣xy﹣2y2)﹣(x﹣y)=(3x+2y)(x﹣y)﹣(x﹣y)=(x﹣y)(3x+2y﹣1).21.(2020秋•浦东新区期末)因式分解(1)5x2+6y﹣15x﹣2xy;(2)(1+ab)2﹣(a+b)2.【解题思路】(1)将原式分为两组:(5x2﹣15x)、﹣(2xy﹣6y),然后利用提取公因式法进行因式分解;(2)利用平方差公式进行因式分解.【解答过程】解:(1)原式=(5x2﹣15x)﹣(2xy﹣6y)=5x(x﹣3)﹣2y(x﹣3)=(x﹣3)(5x﹣2y);(2)原式=(1+ab﹣a﹣b)(1+ab+a+b)=[(1﹣a)﹣b(1﹣a)][(1+a)+b(1+a)]=(1﹣a)(1﹣b)(1+a)(1+b).22.(2020春•市南区校级期中)因式分解:4(x+y)2﹣16(x﹣y)2.【解题思路】首先提公因式4,再利用平方差公式进行分解即可.【解答过程】解:4(x+y)2﹣16(x﹣y)2=4[(x+y)2﹣4(x﹣y)2]=4(x+y+2x﹣2y)(x+y﹣2x+2y)=4(3x﹣y)(3y﹣x).23.(2020秋•宝山区期末)分解因式:2x3﹣2x2y+8y﹣8x.【解题思路】两两分组:先分别提取公因式2x2,8;再提取公因式2(y﹣x)进行二次分解;最后利用平方差公式再次进行因式分解即可求得答案.【解答过程】解:原式=2x2(x﹣y)﹣8(x﹣y)=2(x﹣y)(x2﹣4)=2(x﹣y)(x+2)(x﹣2).24.(2020秋•上海期末)分解因式:a4+4b2c2﹣a2b2﹣4a2c2.【解题思路】先利用分组分解法进行恰当的分组,再利用提公因式法和公式法进行因式分解即可.【解答过程】解:原式=(a4﹣a2b2)﹣(4a2c2﹣4b2c2)=a2(a2﹣b2)﹣4c2(a2﹣b2)=(a2﹣b2)(a2﹣4c2)=(a+b)(a﹣b)(a+2c)(a﹣2c).25.(2020秋•松江区期末)因式分解:x3+3x2y﹣4x﹣12y.【解题思路】分为两组:(x3+3x2y)和(﹣4x﹣12y),然后运用完全平方公式和平方差公式进行因式分解.【解答过程】解:x3+3x2y﹣4x﹣12y=(x3+3x2y)﹣(4x+12y)=x2(x+3y)﹣4(x+3y)=(x+3y)(x2﹣4)=(x+3y)(x+2)(x﹣2).26.(2020秋•浦东新区期末)分解因式:a4+4b2c2﹣a2b2﹣4a2c2.【解题思路】利用加法的结合律和交换律,把整式的第一项和第三项,第四项和第二项分组,提取公因式后再利用公式.【解答过程】解:原式=(a4﹣a2b2)﹣(4a2c2﹣4b2c2)=a2(a2﹣b2)+4c2(a2﹣b2)=(a2﹣b2)(a2﹣4c2)=(a+b)(a﹣b)(a+2c)(a﹣2c).27.(2020秋•浦东新区期末)因式分解:(x2+2x)2﹣7(x2+2x)﹣8.【解题思路】原式利用十字相乘法分解后,再利用完全平方公式分解即可.【解答过程】解:原式=(x2+2x﹣8)(x2+2x+1)=(x﹣2)(x+4)(x+1)2.28.(2021秋•浦东新区校级期中)分解因式:(x2+x+1)(x2+x+2)﹣12.【解题思路】将原式展开,是关于x的四次多项式,分解因式较困难.我们不妨将x2+x看作一个整体,并用字母y来替代,于是原题转化为关于y的二次三项式的因式分解问题了.【解答过程】解:设x2+x=y,则原式=(y+1)(y+2)﹣12=y2+3y﹣10=(y﹣2)(y+5)=(x2+x﹣2)(x2+x+5)=(x﹣1)(x+2)(x2+x+5).说明本题也可将x2+x+1看作一个整体,比如令x2+x+1=u,一样可以得到同样的结果,有兴趣的同学不妨试一试.故答案为(x﹣1)(x+2)(x2+x+5)29.(2020秋•海淀区校级期中)因式分解:64a6﹣48a4b2+12a2b4﹣b6.【解题思路】先利用分组分解法分解,再分别利用公式法和提取公因式法分解即可得出答案.【解答过程】解:64a6﹣48a4b2+12a2b4﹣b6=(64a6﹣b6)﹣(48a4b2﹣12a2b4)=(8a3+b3)(8a3﹣b3)﹣12a2b2(4a2﹣b2)=(2a+b)(4a2﹣2ab+b2)(2a﹣b)(4a2+2ab+b2)﹣12a2b2(2a+b)(2a﹣b)=(2a+b)(2a﹣b)[(4a2﹣2ab+b2)(4a2+2ab+b2)﹣12a2b2]=(2a+b)(2a﹣b)[(4a2+b2)2﹣4a2b2﹣12a2b2]=(2a+b)(2a﹣b)[(4a2+b2)2﹣16a2b2]=(2a+b)(2a﹣b)(4a2﹣b2)2=(2a+b)3(2a﹣b)3.30.(2020秋•海淀区校级期中)请用两种方法对多项式x3﹣4x2+6x﹣4进行因式分解.(拆添项算一种方法)【解题思路】分别利用拆添项及配方法和提取公因式法进行分解即可.【解答过程】解:方法一:x3﹣4x2+6x﹣4=(x3﹣2x2)﹣(2x2﹣4x)+(2x﹣4)=x2(x﹣2)﹣2x(x﹣2)+2(x﹣2)=(x﹣2)(x2﹣2x+2);方法二:x3﹣4x2+6x﹣4=x(x2﹣4x2+4+2)﹣4=x(x﹣2)2+2x﹣4=(x﹣2)(x2﹣2x+2).。
初二因式分解经典题35题一、提取公因式法相关(10题)1. 分解因式:6ab + 3ac- 你看这里面每一项都有个3a呢。
就像大家都有个共同的小秘密一样。
那我们就把3a提出来呀,提出来之后就变成3a(2b + c)啦。
2. 分解因式:15x^2y−5xy^2- 哟,这里面5xy是公共的部分哦。
把5xy提出来,就剩下5xy(3x - y)啦,是不是很简单呢?3. 分解因式:4m^3n - 16m^2n^2+8mn^3- 仔细瞧瞧,8mn是都能提出来的。
提出来后就变成8mn(m^2 - 2mn + n^2)啦。
4. 分解因式:−3x^2y+6xy^2−9xy- 这里面−3xy是公因式哦。
把它提出来,就得到−3xy(x - 2y+3)啦。
5. 分解因式:2a(x - y)-3b(x - y)- 看呀,(x - y)是公共的部分呢。
提出来就变成(x - y)(2a - 3b)啦。
6. 分解因式:a(x - y)^2 - b(y - x)^2- 注意哦,(y - x)^2=(x - y)^2。
那这里面(x - y)^2是公因式,提出来就得到(x - y)^2(a - b)啦。
7. 分解因式:x(x - y)+y(y - x)- 先把y(y - x)变成-y(x - y),这样公因式就是(x - y)啦,提出来就是(x - y)(x - y)=(x - y)^2。
8. 分解因式:3a(a - b)+b(b - a)- 把b(b - a)变成-b(a - b),公因式(a - b)提出来,就得到(a - b)(3a - b)啦。
9. 分解因式:2x(x + y)-3(x + y)^2- 公因式是(x + y),提出来就变成(x + y)[2x-3(x + y)]=(x + y)(2x - 3x - 3y)=(x + y)(-x - 3y)=-(x + y)(x + 3y)。
10. 分解因式:5(x - y)^3+10(y - x)^2- 把(y - x)^2变成(x - y)^2,公因式5(x - y)^2提出来,得到5(x - y)^2[(x -y)+2]=5(x - y)^2(x - y + 2)。
14.3 因式分解专题训练(附答案)1.因式分解:(1)a4﹣1;(2)x3﹣2x2y+xy2.2.因式分解:(1)(a﹣b)(x﹣y)﹣(b﹣a)(x+y);(2)(x2+1)2﹣4x2.3.分解因式:(1)mn﹣2n;(2)4x2﹣36;(3)(a2+b2)2﹣4a2b2.4.分解因式:(1)8m2n+2mn;(2)2a2﹣4a+2;(3)3m(2x﹣y)2﹣3mn2;(4)x4﹣2x2+1.5.因式分解:(1)9x2﹣81.(2)m3﹣8m2+16m.6.分解因式:(1)x2(m﹣n)+y2(n﹣m);(2)3x2﹣18xy+27y2.7.计算与因式分解:(1)a3﹣4a2+4a;(2)x4﹣16.8.把下列各式进行因式分解:(1)2(x﹣y)﹣(x﹣y)2;(2)﹣x2+8x﹣15;(3)8m3n+40m2n2+50mn3;(4)a4﹣b4.(1)2m2﹣2n2;(2)a3b﹣4a2b+4ab.10.分解因式:(1)12ab2﹣6ab;(2)a2﹣6ab+9b2;(3)x4﹣1;(4)n2(m﹣2)+(2﹣m).11.分解因式:(1)4x2﹣(x2+1)2;(2)3(x﹣1)2﹣18(x﹣1)+27.12.在实数范围内因式分解:(1)4y2+4y﹣2;(2)3x2﹣5xy﹣y2.13.分解因式:(1)3ab3﹣30a2b2+75a3b;(2)a2(x﹣y)+16(y﹣x).14.因式分解:(1)9abc﹣6a2b2+12abc2.(2)3x2(x﹣y)+6x(y﹣x).15.分解因式:(1)16x2﹣8xy+y2;(2)a2(x﹣y)+b2(y﹣x).16.分解因式:(1)(x+3)2﹣25;(2)﹣x3y+6x2y﹣9xy.17.分解因式:(1)8a﹣2a3;(2)(x2+1)2﹣4x2.(1)(x﹣y)m﹣(y﹣x).(2)2x3y﹣4x2y2+2xy3.19.分解因式:(1)2x2﹣12x+18;(2)a3﹣a;(3)4ab2﹣4a2b﹣b3;(4)m3(a﹣2)+m(2﹣a).20.把下面各式分解因式(1)x2﹣4xy+4y2;(2)4x2(x﹣y)+(y﹣x).21.因式分解:(1)x3y﹣2x2y2+xy3;(2)2a3﹣18a.22.因式分解:(1)x2﹣4;(2)6ab2﹣9a2b﹣b3.23.因式分解:(1)12m3n﹣3mn;(2)(x+y)2﹣2(x+y)+1.24.把下列各式分解因式:(1)a2b﹣4ab+4b;(2)x4﹣8x2y2+16y4.25.把下列多项式因式分解.(1)m(m﹣2)﹣3(2﹣m);(2)n4﹣2n2+1.26.分解因式:(1)m3(x﹣2)+m(2﹣x);(2)4(a﹣b)2+1+4(a﹣b).27.因式分解:(1)2(x+2)2+8(x+2)+8;(2)﹣2m4+32m².28.因式分解:(1)﹣a2+2a3﹣a4;(2)(m2﹣5)2+8(m2﹣5)+16.29.分解因式:(1)a3﹣2a2+a;(2)(2x+y)2﹣(x+2y)2.30.因式分解:(1)x2y﹣2xy2+y3;(2)(x²+y2)2﹣4x2y2.参考答案1.解:(1)原式=(a2+1)(a2﹣1)=(a2+1)(a+1)(a﹣1);(2)原式=x(x2﹣2xy+y2)=x(x﹣y)2.2.解:(1)原式=(a﹣b)(x﹣y)+(a﹣b)(x+y)=(a﹣b)[(x﹣y)+(x+y)]=2x(a﹣b),(2)原式=(x2+1)2﹣(2x)2=(x2+1+2x)(x2+1﹣2x)=(x+1)2(x﹣1)2.3.解:(1)mn﹣2n=n(m﹣2);(2)4x2﹣36=4(x2﹣9)=4(x+3)(x﹣3);(3)(a2+b2)2﹣4a2b2=(a2+b2+2ab)(a2+b2﹣2ab)=(a+b)2(a﹣b)2.4.解:①原式=2mn(4m+1);②原式=2(a2﹣2a+1)=2(a﹣1)2;③原式=3m[(2x﹣y)2﹣n2]=3m(2x﹣y+n)(2x﹣y﹣n);④原式=(x2﹣1)2=(x+1)2(x﹣1)2.5.解:(1)9x2﹣81=9(x2﹣9)=9(x+3)(x﹣3);(2)m3﹣8m2+16m=m(m2﹣8m+16)=m(m﹣4)2.6.解:(1)x2(m﹣n)+y2(n﹣m)=(m﹣n)(x2﹣y2)=(m﹣n)(x+y)(x﹣y);(2)3x2﹣18xy+27y2=3(x2﹣6xy+9y2)=3(x﹣3y)2.7.解:(1)原式=(x+y)2﹣12=x2+2xy+y2﹣1;(2)原式=a(a2﹣4a+4)=a(a﹣2)2;(3)原式=(x2+4)(x2﹣4)=(x2+4)(x+2)(x﹣2).8.解:(1)2(x﹣y)﹣(x﹣y)2=(x﹣y)[2﹣(x﹣y)]=(x﹣y)(2﹣x+y);(2)﹣x2+8x﹣15=﹣(x2﹣8x+15)=﹣(x﹣5)(x﹣3);(3)8m3n+40m2n2+50mn3=2mn(4m2+20mn+25n2)=2mn(2m+5n)2;(4)a4﹣b4=(a2+b2)(a2﹣b2)=(a2+b2)(a+b)(a﹣b).9.解:(1)2m2﹣2n2=2(m2﹣n2)=2(m+n)(m﹣n);(2)a3b﹣4a2b+4ab=ab(a2﹣4a+4)=ab(a﹣2)2.10.解:(1)12ab2﹣6ab=6ab(2b﹣1);(2)a2﹣6ab+9b2=(a﹣3b)2;(3)x4﹣1=(x2+1)(x2﹣1)=(x2+1)(x﹣1)(x+1);(4)n2(m﹣2)+(2﹣m)=n2(m﹣2)﹣(m﹣2)=(m﹣2)(n2﹣1)=(m﹣2)(n+1)(n﹣1).11.解:(1)原式=(2x)2﹣(x2+1)2=(2x+x2+1)(2x﹣x2﹣1)=﹣(x+1)2(x﹣1)2;(2)原式=3[(x﹣1)2﹣6(x﹣1)+9]=3[(x﹣1)﹣3]2=3(x﹣4)2.12.解:(1)原式=(2y)2+2•2y•1+12﹣3=(2y+1)2﹣()2=(2y+1+)(2y+1﹣);(2)=3(x﹣y)(x﹣y).13.解:(1)3ab3﹣30a2b2+75a3b=3ab(b2﹣10ab+25a2)=3ab(b﹣5a)2;(2)原式=a2(x﹣y)﹣16(x﹣y)=(x﹣y)(a2﹣16)=(x﹣y)(a+4)(a﹣4).14.解:(1)9abc﹣6a2b2+12abc2=3ab(3c﹣2ab+4c2);(2)3x2(x﹣y)+6x(y﹣x)=3x2(x﹣y)﹣6x(x﹣y)=3x(x﹣y)(x﹣2).15.解:(1)原式=(4x﹣y)2;(2)原式=a2(x﹣y)﹣b2(x﹣y)=(x﹣y)(a2﹣b2)=(a+b)(a﹣b)(x﹣y).16.解:(1)原式=(x+3﹣5)(x+3+5)=(x+8)(x﹣2);(2)原式=﹣xy(x2﹣6x+9)=﹣xy(x﹣3)2.17.解:(1)原式=2a(4﹣a2)=2a(2+a)(2﹣a);(2)原式=(x2+1﹣2x)(x2+1+2x)=(x﹣1)2(x+1)2.18.解:(1)原式=(x﹣y)m+(x﹣y)=(x﹣y)(m+1);(2)原式=2xy(x2﹣2xy+y2)=2xy(x﹣y)2.19.解:(1)原式=2(x2﹣6x+9)=2(x﹣3)2;(2)原式=a(a2﹣1)=a(a+1)(a﹣1);(3)原式=﹣b(b2﹣4ab+4a2)=﹣b(b﹣2a)2;(4)原式=m(a﹣2)(m2﹣1)=m(a﹣2)(m﹣1)(m+1).20.解:(1)原式=x2﹣2×x×2y+(2y)2=(x﹣2y)2;(2)原式=4x2(x﹣y)﹣(x﹣y)=(x﹣y)(4x2﹣1)=(x﹣y)(2x+1)(2x﹣1).21.解:(1)原式=xy(x2﹣2xy+y2)=xy(x﹣y)2;(2)原式=2a(a2﹣9)=2a(a+3)(a﹣3).22.解:(1)x2﹣4=(x+2)(x﹣2);(2)6ab2﹣9a2b﹣b3=﹣b(9a2﹣6ab+b2)=﹣b(3a﹣b)2.23.解:(1)12m3n﹣3mn=3mn(4m2﹣1)=3mn(2m﹣1)(2m+1);(2)(x+y)2﹣2(x+y)+1=(x+y﹣1)2.24.解:(1)原式=b(a2﹣4a+4)=b(a﹣2)2;(2)原式=(x2﹣4y2)2=[(x+2y)(x﹣2y)]2=(x+2y)2(x﹣2y)2.25.解:(1)原式=m(m﹣2)+3(m﹣2)=(m﹣2)(m+3);(2)原式=(n2﹣1)2=(n+1)2(n﹣1)2.26.解:(1)m3(x﹣2)+m(2﹣x)=m3(x﹣2)﹣m(x﹣2)=m(x﹣2)(m2﹣1)=m(m+1)(m﹣1)(x﹣2);(2)4(a﹣b)2+1+4(a﹣b)=[2(a﹣b)+1]2=(2a﹣2b+1)2.27.解:(1)2(x+2)2+8(x+2)+8=2[(x+2)2+4(x+2)+4]=2(x+2+2)2=2(x+4)2;(2)﹣2m4+32m2=﹣2m2(m2﹣16)=﹣2m2(m+4)(m﹣4).28.解:(1)原式=﹣a2(1﹣2a+a2)=﹣a2(1﹣a)2;(2)原式=[(m2﹣5)+4]2=(m2﹣1)2=(m+1)2(m﹣1)2.29.(1)原式=a(a2﹣2a+1)=a(a﹣1)2;(2)原式=(2x+y+x+2y)(2x+y﹣x﹣2y)=(3x+3y)(x﹣y)=3(x+y)(x﹣y).30.解:(1)原式=y(x2﹣2xy+y2)=y(x﹣y)2;(2)原式=(x2+y2+2xy)(x2+y2﹣2xy)=(x+y)2(x﹣y)2.。
因式分解题目及答案100道题题目1:若x^2+12x+27=0,则x的值是多少?答案:x=-3或x=9题目2:若a^2-35a+154=0,则a的值是多少?答案:a=9或a=17题目3:若2x^2-8x+5=0,则x的值是多少?答案:x=1或x=2.5题目4:若6x^2+17x+6=0,则x的值是多少?答案:x=-1或x=-3题目5:若4x^2+14x+7=0,则x的值是多少?答案:x=-1或x=-7/2题目6:若2x^2+13x+14=0,则x的值是多少?答案:x=-7或x=-2题目7:若6x^2+19x+8=0,则x的值是多少?答案:x=-1或x=-4/3题目8:若3x^2-13x-14=0,则x的值是多少?答案:x=2或x=7题目9:若4x^2-12x-21=0,则x的值是多少?答案:x=3或x=7/2题目10:若5x^2+35x+50=0,则x的值是多少?答案:x=-5或x=-10题目11:若3x^2-17x-18=0,则x的值是多少?答案:x=3或x=6题目12:若2x^2+14x+15=0,则x的值是多少?答案:x=-5或x=-3题目13:若4x^2-8x-30=0,则x的值是多少?答案:x=3或x=7/2题目14:若5x^2+20x+15=0,则x的值是多少?答案:x=-3或x=-3题目15:若x^2+15x+56=0,则x的值是多少?答案:x=-8或x=7题目16:若x^2+20x+100=0,则x的值是多少?答案:x=-10或x=-10题目17:若2x^2+18x+72=0,则x的值是多少?答案:x=-6或x=-8题目18:若3x^2+19x+90=0,则x的值是多少?答案:x=-3或x=-10题目19:若x^2+10x+24=0,则x的值是多少?答案:x=-4或x=-6题目20:若4x^2-16x-64=0,则x的值是多少?答案:x=4或x=8题目21:若7x^2+49x+56=0,则x的值是多少?答案:x=-7或x=-8题目22:若x^2-13x+36=0,则x的值是多少?答案:x=6或x=9题目23:若2x^2-23x+72=0,则x的值是多少?答案:x=6或x=12题目24:若5x^2+25x+50=0,则x的值是多少?答案:x=-5或x=-10题目25:若x^2+18x+81=0,则x的值是多少?答案:x=-9或x=-9题目26:若4x^2+20x+45=0,则x的值是多少?答案:x=-5或x=-5/2题目27:若3x^2+21x+66=0,则x的值是多少?答案:x=-3或x=-11题目28:若x^2-17x+60=0,则x的值是多少?答案:x=9或x=15题目29:若2x^2+15x+39=0,则x的值是多少?答案:x=-3或x=-9/2题目30:若4x^2-19x-72=0,则x的值是多少?答案:x=4或x=9题目31:若7x^2+35x+60=0,则x的值是多少?答案:x=-5或x=-8题目32:若x^2+12x+36=0,则x的值是多少?答案:x=-6或x=-6题目33:若2x^2-11x+30=0,则x的值是多少?答案:x=5或x=6题目34:若5x^2+20x+25=0,则x的值是多少?答案:x=-1或x=-5题目35:若x^2+18x+45=0,则x的值是多少?答案:x=-9或x=-5题目36:若3x^2+15x+54=0,则x的值是多少?答案:x=-3或x=-6题目37:若4x^2-24x-72=0,则x的值是多少?答案:x=6或x=9题目38:若x^2+21x+84=0,则x的值是多少?答案:x=-7或x=-12题目39:若2x^2+13x+30=0,则x的值是多少?答案:x=-5或x=-6题目40:若7x^2+28x+56=0,则x的值是多少?答案:x=-4或x=-8题目41:若5x^2-18x+45=0,则x的值是多少?答案:x=3或x=9题目42:若x^2-17x+80=0,则x的值是多少?答案:x=8或x=10题目43:若4x^2+24x+64=0,则x的值是多少?答案:x=-4或x=-8题目44:若3x^2-14x+36=0,则x的值是多少?答案:x=6或x=12题目45:若x^2+11x+30=0,则x的值是多少?答案:x=-5或x=-6题目46:若2x^2+19x+90=0,则x的值是多少?答案:x=-9或x=-10题目47:若6x^2-27x-90=0,则x的值是多少?答案:x=3或x=15题目48:若x^2+15x+54=0,则x的值是多少?答案:x=-6或x=-9题目49:若4x^2-21x-60=0,则x的值是多少?答案:x=3或x=15题目50:若5x^2+30x+75=0,则x的值是多少?答案:x=-5或x=-15题目51:若2x^2-12x-45=0,则x的值是多少?答案:x=5或x=15题目52:若x^2+20x+100=0,则x的值是多少?答案:x=-10或x=-20题目53:若3x^2-15x-60=0,则x的值是多少?答案:x=4或x=20题目54:若4x^2+18x+45=0,则x的值是多少?答案:x=-3或x=-9题目55:若5x^2-25x+90=0,则x的值是多少?答案:x=3或x=18题目56:若x^2+17x+72=0,则x的值是多少?答案:x=-8或x=-12题目57:若2x^2+11x+24=0,则x的值是多少?答案:x=-4或x=-6题目58:若3x^2-18x+54=0,则x的值是多少?答案:x=3或x=9题目59:若4x^2+21x-70=0,则x的值是多少?答案:x=-3或x=7题目60:若5x^2-30x+105=0,则x的值是多少?答案:x=3或x=21题目61:若x^2+19x+90=0,则x的值是多少?答案:x=-10或x=-9题目62:若2x^2-13x-42=0,则x的值是多少?答案:x=6或x=14题目63:若3x^2+22x+105=0,则x的值是多少?答案:x=-5或x=-15题目64:若4x^2-23x-72=0,则x的值是多少?答案:x=6或x=12题目65:若5x^2+25x+90=0,则x的值是多少?答案:x=-3或x=-18题目66:若x^2-20x-100=0,则x的值是多少?答案:x=10或x=20题目67:若2x^2+13x+36=0,则x的值是多少?答案:x=-6或x=-9题目68:若3x^2-16x-48=0,则x的值是多少?答案:x=4或x=12题目69:若4x^2+17x+45=0,则x的值是多少?答案:x=-3或x=-9题目70:若5x^2-28x+105=0,则x的值是多少?答案:x=5或x=21题目71:若x^2+18x+87=0,则x的值是多少?答案:x=-9或x=-11题目72:若2x^2-14x-45=0,则x的值是多少?答案:x=5或x=15题目73:若3x^2+20x+105=0,则x的值是多少?答案:x=-5或x=-17题目74:若4x^2-22x-84=0,则x的值是多少?答案:x=7或x=12题目75:若5x^2+24x+95=0,则x的值是多少?答案:x=-4或x=-19题目76:若x^2-21x-98=0,则x的值是多少?答案:x=7或x=14题目77:若2x^2+14x+35=0,则x的值是多少?答案:x=-7或x=-5题目78:若3x^2-17x-54=0,则x的值是多少?答案:x=3或x=9题目79:若4x^2+18x+63=0,则x的值是多少?答案:x=-3或x=-9题目80:若5x^2-26x+99=0,则x的值是多少?答案:x=4或x=19题目81:若x^2+20x+90=0,则x的值是多少?答案:x=-10或x=-9题目82:若2x^2-16x-48=0,则x的值是多少?答案:x=4或x=12题目83:若3x^2+18x+63=0,则x的值是多少?答案:x=-3或x=-9题目84:若4x^2-20x-80=0,则x的值是多少?答案:x=5或x=16题目85:若5x^2+22x+85=0,则x的值是多少?答案:x=-4或x=-17题目86:若x^2-22x-97=0,则x的值是多少?答案:x=7或x=13题目87:若2x^2+12x+25=0,则x的值是多少?答案:x=-5或x=-6题目88:若3x^2-15x-42=0,则x的值是多少?答案:x=3或x=14题目89:若4x^2+16x+48=0,则x的值是多少?答案:x=-4或x=-12题目90:若5x^2-24x+93=0,则x的值是多少?答案:x=3或x=19题目91:若x^2+18x+75=0,则x的值是多少?答案:x=-9或x=-8题目92:若2x^2-14x-35=0,则x的值是多少?答案:x=5或x=7题目93:若3x^2+17x+54=0,则x的值是多少?答案:x=-5或x=-9题目94:若4x^2-20x+82=0,则x的值是多少?答案:x=4或x=13题目95:若5x^2+26x-99=0,则x的值是多少?答案:x=-4或x=-19题目96:若x^2-20x+90=0,则x的值是多少?答案:x=9或x=10题目97:若2x^2+16x-48=0,则x的值是多少?答案:x=-6或x=-8题目98:若3x^2-18x+63=0,则x的值是多少?答案:x=3或x=9题目99:若4x^2+20x-80=0,则x的值是多少?答案:x=-5或x=-16题目100:若5x^2-22x-85=0,则x的值是多少?答案:x=4或x=17。
因式分解初二练习题和答案1. 将下列各式进行因式分解:(1) 3x + 6y解:先提取公因式3,得到 3(x + 2y)。
(2) 4a - 8ab解:先提取公因式4a,得到 4a(1 - 2b)。
(3) xy - x^2解:先提取公因式x,得到 x(y - x)。
(4) 16x^2 - 4xy + 8xy^2解:先提取公因式4,得到 4(4x^2 - xy + 2xy^2)。
2. 分解下列各式:(1) x^2 - 4解:这是一个差的平方,因此可以分解为 (x + 2)(x - 2)。
(2) y^2 - 9解:这是一个差的平方,因此可以分解为 (y + 3)(y - 3)。
(3) 9x^2 - 4y^2解:这是一个差的平方,可以使用公式 a^2 - b^2 = (a + b)(a - b) 分解为 (3x + 2y)(3x - 2y)。
(4) 4x^2 - 12xy + 9y^2解:这是一个完全平方,可以分解为 (2x - 3y)^2。
3. 计算下列各式的积:(1) (2x - 5)(3x + 4)解:使用分配率,计算得到 6x^2 + 8x - 15x - 20 = 6x^2 - 7x - 20。
(2) (x + 2)(x - 3)解:使用分配率,计算得到 x^2 - 3x + 2x - 6 = x^2 - x - 6。
(3) (2a + 3)(2a - 3)解:使用分配率,计算得到 4a^2 - 6a + 6a - 9 = 4a^2 - 9。
4. 解方程:(1) 2x + 8 = 12解:首先移动常数项,得到 2x = 4。
然后除以系数2,解得 x = 2。
(2) 3(x - 4) = 21解:先使用分配率,得到 3x - 12 = 21。
然后移动常数项,解得 3x = 33。
最后除以系数3,解得 x = 11。
(3) 4(2x - 1) = 20 - 2x解:先使用分配率,得到 8x - 4 = 20 - 2x。
初二因式分解练习题及答案初二因式分解练习题及答案数学是一门需要不断练习和巩固的学科,而因式分解作为数学中的一个重要概念和技巧,对于初二学生来说尤为重要。
因式分解不仅在解方程、求最大公因数、最小公倍数等问题中起着重要作用,还是后续学习代数的基础。
下面将给大家提供一些初二因式分解的练习题及答案,希望能够帮助大家更好地掌握这一知识点。
1. 将下列各式因式分解:a) 2x^2 + 8xb) 3x^2 - 12c) x^2 - 4y^2d) 4x^2 - 9y^2答案:a) 2x(x + 4)b) 3(x - 2)(x + 2)c) (x - 2y)(x + 2y)d) (2x - 3y)(2x + 3y)2. 将下列各式因式分解:a) 4x^2 - 12x + 9b) x^2 - 5x + 6c) 6x^2 + 5x - 6答案:b) (x - 2)(x - 3)c) (2x - 3)(3x + 2)3. 将下列各式因式分解:a) x^3 - 8b) x^3 + 8c) x^2 + 4x + 4d) x^3 + 6x^2 + 12x + 8 答案:a) (x - 2)(x^2 + 2x + 4)b) (x + 2)(x^2 - 2x + 4)c) (x + 2)^2d) (x + 2)^34. 将下列各式因式分解:a) 2x^4 - 18x^2 + 32b) 3x^4 - 48x^2 + 192c) x^4 - 16x^2 + 64答案:a) (x^2 - 4)(2x^2 - 8)b) 3(x^2 - 4)(x^2 - 16)c) (x^2 - 8)^25. 将下列各式因式分解:b) x^4 - 16c) 16x^4 - 81答案:a) (x^2 - 9)(x^2 + 9)b) (x^2 - 4)(x^2 + 4)c) (4x^2 - 9)(4x^2 + 9)通过以上的练习题,我们可以发现因式分解的方法和技巧是多种多样的。
100题搞定因式分解计算因式分解100题(试题版)日期:________时间:________姓名:________成绩:________一、解答题(共100小题)1.因式分解:4a2b﹣b.2.因式分解:a2(a﹣b)+25(b﹣a).3.因式分解:x3+3x2y﹣4x﹣12y.4.因式分解:9(x+y)2﹣(x﹣y)2.5.因式分解:2a2b﹣12ab+18b.6.因式分解:﹣x3y+4x2y2﹣4xy3.7.因式分解:a2(x﹣y)+4b2(y﹣x).8.因式分解:4a3b+4a2b2+ab3.9.因式分解:(a+b)2﹣4a2.10.因式分解:3ax2﹣6axy+3ay2.11.因式分解:6x4﹣5x3﹣4x2.12.因式分解:(x﹣3y)(x﹣y)﹣(﹣x﹣y)213.因式分解:2m(a﹣b)﹣3n(b﹣a)14.因式分解:m2﹣(2m+3)2.16.因式分解:x2﹣4xy+4y2﹣117.因式分解:(9x+y)(2y﹣x)﹣(3x+2y)(x﹣2y)18.因式分解:a2﹣4﹣3(a+2)19.因式分解:(x﹣1)2+2(x﹣5).20.因式分解:4x3﹣8x2+4x.21.因式分解:x3﹣2x2﹣3x22.因式分解:2x2﹣4xy+3x﹣6y24.因式分解:9x2﹣6x+1.25.因式分解:4ma2﹣mb2.26.因式分解:x2﹣2xy﹣8y2.27.因式分解:a2+4a(b+c)+4(b+c)2.28.因式分解:x2﹣4y2+4﹣4x29.因式分解:xy2﹣4xy+4x.30.因式分解:x4﹣5x2﹣36.31.因式分解:x3﹣2x2y+xy2.32.在实数范围内因式分解:x2﹣4xy﹣3y2.33.因式分解:9a2(x﹣y)+4b2(y﹣x)34.因式分解:x4﹣10x2+9.35.因式分解:x2﹣y2﹣2x+1.36.因式分解:(2x﹣y)(x+3y)﹣(x+y)(y﹣2x).37.因式分解:6(x+y)2﹣2(x﹣y)(x+y).38.因式分解:2m4n﹣12m3n2+18m2n3.39.因式分解:a2(x﹣y)+4(y﹣x).40.在实数范围内因式分解:﹣2a2b2+ab+2.41.因式分解:x2﹣9+3x(x﹣3)42.因式分解:4xy2+4x2y+y3.43.因式分解:(x2+4x)2﹣2(x2+4x)﹣15.44.因式分解:6xy2+9x2y+y3.45.因式分解:x3﹣3x2+2x.46.因式分解:x(a﹣b)+y(b﹣a)﹣3(b﹣a).47.因式分解:3ax﹣18by+6bx﹣9ay48.因式分解:(2a﹣b)(3a﹣2)+b(2﹣3a)49.因式分解:(a﹣3)2+(3﹣a)50.因式分解:(a+b)﹣2a(a+b)+a2(a+b)51.因式分解:12x4﹣6x3﹣168x252.因式分解:(2m+3n)(2m﹣n)﹣n(2m﹣n)53.因式分解:3x2(x﹣2y)﹣18x(x﹣2y)﹣27(2y﹣x)54.因式分解:(x﹣1)(x+1)(x﹣2)﹣(x﹣2)(x2+2x+4)55.因式分解:8x2y2﹣10xy﹣1256.因式分解:6(x+y)2﹣2(x+y)(x﹣y)57.因式分解:9(a﹣b)(a+b)﹣3(a﹣b)258.因式分解:4xy(x+y)2﹣6x2y(x+y)59.因式分解:﹣24m2x﹣16n2x.60.因式分解:4a(x﹣y)﹣2b(y﹣x)61.因式分解:ax4﹣14ax2﹣32a.62.因式分解:x3+5x2y﹣24xy2.63.因式分解:(1﹣3a)2﹣3(1﹣3a)64.因式分解:x(x﹣y)3+2x2(y﹣x)2﹣2xy(x﹣y)2.65.因式分解:x5﹣2x3﹣8x.366.因式分解:x2-y2+2x+y+467.因式分解:2(x+y)2﹣20(x+y)+50.68.因式分解:1+a+a(1+a)+a(1+a)2+a(1+a)3.69.因式分解:x2y﹣x2z+xy﹣xz.70.因式分解:(x2﹣x)2﹣8x2+8x+12.71.因式分解:x4﹣(3x﹣2)2.72.因式分解:(3m﹣1)2﹣(2m﹣3)2.73.因式分解:(2x+5)2﹣(2x﹣5)2.74.因式分解:(﹣2x﹣1)2(2x﹣1)2﹣(4x2﹣2x﹣1)275.因式分解:(m+1)(m﹣9)+8m.76.因式分解:9(a﹣b)2+36(b2﹣ab)+36b277.因式分解:(a2+4)2﹣16a2.78.因式分解:9(m+n)2﹣(m﹣n)279.因式分解:x4﹣8x2y2+16y4.80.因式分解:25x2﹣9(x﹣2y)281.因式分解:4x2y2﹣(x2+y2)2.82.因式分解:x(x﹣12)+4(3x﹣1).83.因式分解:(x2﹣3)2+2(3﹣x2)+1.84.因式分解:(x+2)(x﹣6)+16.85.因式分解:2m(2m﹣3)+6m﹣1.86.因式分解:x4﹣16y4.87.因式分解:(a2+1)2﹣4a2.88.因式分解:(2x+y)2﹣(x+2y)2.89.因式分解:(x2﹣6)2﹣6(x2﹣6)+990.因式分解:(x2+x)2﹣(x+1)2.91.因式分解:8(x2﹣2y2)﹣x(7x+y)+xy.92.因式分解:x4﹣10x2y2+9y4.93.因式分解:(x2+x﹣5)(x2+x﹣3)﹣394.因式分解:(m2+2m)2﹣7(m2+2m)﹣895.因式分解:(x2+2x)2﹣2(x2+2x)﹣396.因式分解:2x2+6x﹣3.5.97.因式分解:3x2﹣12x+998.因式分解:(x﹣4)(x+7)+18.99.因式分解:5a2b2+23ab﹣10.100.因式分解:(x+y)2﹣(4x+4y)﹣32.因式分解100题参考答案部分可能有误仅供参考一、解答题(共100小题)1.【解答】解:4a2b﹣b=b(4a2﹣1)=b(2a+1)(2a﹣1).2.【解答】解:a2(a﹣b)+25(b﹣a)=a2(a﹣b)﹣25(a﹣b)=(a﹣b)(a2﹣52)=(a﹣b)(a+5)(a﹣5).3.【解答】解:x3+3x2y﹣4x﹣12y=(x3+3x2y)﹣(4x+12y)=x2(x+3y)﹣4(x+3y)=(x+3y)(x2﹣4)=(x+3y)(x+2)(x﹣2).4.【解答】解:9(x+y)2﹣(x﹣y)2=[3(x+y)﹣(x﹣y)][3(x+y)+(x﹣y)]=(2x+4y)(4x+2y)=4(x+2y)(2x+y).5.【解答】解:原式=2b(a2﹣6a+9)=2b(a﹣3)2.6.【解答】解:原式=﹣xy(x2﹣4xy+4y2)=﹣xy(x﹣2y)2.7.【解答】解:原式=(x﹣y)(a2﹣4b2)=(x﹣y)(a+2b)(a﹣2b).故答案为:(x﹣y)(a+2b)(a﹣2b).8.【解答】解:原式=ab(4a2+4ab+b2)=ab(2a+b)2.9.【解答】解:原式=(a+b+2a)(a+b﹣2a)=(3a+b)(b﹣a).10.【解答】解:原式=3a(x2﹣2xy+y2)=3a(x﹣y)2.11.【解答】解:6x4﹣5x3﹣4x2=x2(6x2﹣5x﹣4)=x2(2x+1)(3x﹣4).12.【解答】解:原式=x2﹣xy﹣3xy+y2﹣(x2+xy+y2),=x2﹣xy﹣3xy+y2﹣x2﹣xy﹣y2,=﹣xy+y2,=﹣y(x﹣y).13.【解答】解:2m(a﹣b)﹣3n(b﹣a)=(a﹣b)(2m+3n).14.【解答】解:原式=(m+2m+3)(m﹣2m﹣3)=(3m+3)(﹣m﹣3)=﹣3(m+1)(m+3).15.【解答】解:原式=[3(x﹣y)+2]2=(3x﹣3y+2)2.16.【解答】解:x2﹣4xy+4y2﹣1=(x2﹣4xy+4y2)﹣1=(x﹣2y)2﹣1=(x﹣2y+1)(x﹣2y﹣1).17.【解答】解:(9x+y)(2y﹣x)﹣(3x+2y)(x﹣2y)=(2y﹣x)(9x+y+3x+2y)=3(2y﹣x)(4x+y).18.【解答】解:原式=(a+2)(a﹣2)﹣3(a+2)=(a+2)(a﹣5).19.【解答】解:原式=x2﹣2x+1+2x﹣10=x2﹣9=(x+3)(x﹣3).20.【解答】解:原式=4x(x2﹣2x+1)=4x(x﹣1)2.21.【解答】解:x3﹣2x2﹣3x=x(x2﹣2x﹣3)=x(x﹣3)(x+1).22.【解答】解:原式=2x(x﹣2y)+3(x﹣2y)=(x﹣2y)(2x+3).23.【解答】解:(x﹣2y)(x+3y)﹣(x﹣2y)2=(x﹣2y)(x+3y﹣x+2y)=5y(x﹣2y).24.【解答】解:原式=(3x﹣1)2.25.【解答】解:4ma2﹣mb2,=m(4a2﹣b2),=m(2a+b)(2a﹣b).26.【解答】解:x2﹣2xy﹣8y2=(x﹣4y)(x+2y).27.【解答】解:原式=[a+2(b+c)]2=(a+2b+2c)2.28.【解答】解:x2﹣4y2+4﹣4x=(x2﹣4x+4)﹣4y2=(x﹣2)2﹣4y2=(x+2y﹣2)(x﹣2y﹣2).29.【解答】解:xy2﹣4xy+4x=x(y2﹣4y+4)=x(y﹣2)2.30.【解答】解:原式=(x2﹣9)(x2+4)=(x+3)(x﹣3)(x2+4).31.【解答】解:x3﹣2x2y+xy2,=x(x2﹣2xy+y2),=x(x﹣y)2.32.【解答】解:x2﹣4xy﹣3y2=x2﹣4xy+4y2﹣7y2=(x﹣2y)2﹣7y2=(x﹣2y+y)(x﹣2y﹣y).33.【解答】解:9a2(x﹣y)+4b2(y﹣x)=9a2(x﹣y)﹣4b2(x﹣y)=(x﹣y)(9a2﹣4b2)=(x﹣y)(3a+2b)(3a﹣2b).34.【解答】解:原式=(x2﹣1)(x2﹣9)=(x+1)(x﹣1)(x+3)(x﹣3).35.【解答】解:原式=(x2﹣2x+1)﹣y2=(x﹣1)2﹣y236.【解答】解:原式=(2x﹣y)(x+3y)+(x+y)(2x﹣y)=(2x﹣y)(x+3y+x+y)=(2x﹣y)(2x+4y)=2(2x﹣y)(x+2y).37.【解答】解:6(x+y)2﹣2(x﹣y)(x+y)=2(x+y)[3(x+y)﹣(x﹣y)]=2(x+y)(2x+4y)=4(x+y)(x+2y)38.【解答】解:2m4n﹣12m3n2+18m2n3=2m2n(m2﹣6mn+9n2)=2m2n(m﹣3n)2.39.【解答】原式=a2(x﹣y)﹣4(x﹣y)=(x﹣y)(a2﹣4)=(x﹣y)(a+2)(a﹣2).40.【解答】解:令﹣2a2b2+ab+2=0,则ab=,所以﹣2a2b2+ab+2=﹣2(ab﹣)(ab﹣).41.【解答】解:x2﹣9+3x(x﹣3)=(x﹣3)(x+3)+3x(x﹣3)=(x﹣3)(x+3+3x)=(x﹣3)(4x+3).42.【解答】解:4xy2+4x2y+y3=y(4xy+4x2+y2)=y(y+2x)2.43.【解答】解:原式=(x2+4x﹣5)(x2+4x+3)=(x+5)(x﹣1)(x+3)(x+1).44.【解答】解:原式=y(6xy+9x2+y2)=y(3x+y)2.45.【解答】解:x3﹣3x2+2x=x(x2﹣3x+2)=x(x﹣1)(x﹣2)46.【解答】解:原式=x(a﹣b)﹣y(a﹣b)+3(a﹣b)=(a﹣b)(x﹣y+3).47.【解答】解:原式=(3ax﹣9ay)+(6bx﹣18by)=3a(x﹣y)+6b(x﹣y)=3(x﹣y)(a+2b).48.【解答】解:(2a﹣b)(3a﹣2)+b(2﹣3a)=(2a﹣b)(3a﹣2)﹣b(3a﹣2)=(3a﹣2)(2a﹣b﹣b)=2(3a﹣2)(a﹣b).49.【解答】解:原式=(3﹣a)2+(3﹣a)=(3﹣a)(3﹣a+1)=(3﹣a)(4﹣a).50.【解答】解:原式=(a+b)(1﹣2a+a2)=(a+b)(1﹣a)251.【解答】解:12x4﹣6x3﹣168x2=6x2(2x2﹣x﹣28)52.【解答】解:原式=(2m ﹣n )(2m +3n ﹣n )=(2m ﹣n )(2m +2n )=2(2m ﹣n )(m +n ).53.【解答】解:3x 2(x ﹣2y )﹣18x (x ﹣2y )﹣27(2y ﹣x )=3x 2(x ﹣2y )﹣18x (x ﹣2y )+27(x ﹣2y )=3(x ﹣2y )(x 2﹣6x +9)=3(x ﹣2y )(x ﹣3)2.54.【解答】解:原式=(x ﹣2)(x 2﹣1﹣x 2﹣2x ﹣4)=(x ﹣2)(﹣2x ﹣5)=﹣2x 2﹣x +10.55.【解答】解:原式=2(4x 2y 2﹣5xy ﹣6)=2(4xy +3)(xy ﹣2).56.【解答】解:6(x +y )2﹣2(x +y )(x ﹣y )=2(x +y )[3(x +y )﹣(x ﹣y )]=2(x +y )(2x +4y )=4(x +y )(x +2y ).57.【解答】解:原式=3(a ﹣b )[3(a +b )﹣(a ﹣b )]=6(a ﹣b )(a +2b ).58.【解答】解:原式=2xy (x +y )•2(x +y )﹣2xy (x +y )•3x =2xy (x +y )•[2(x +y )﹣3x ]=2xy (x +y )(2y ﹣x ).59.【解答】解:原式=﹣8x (3m 2+2n 2).60.【解答】解:4a (x ﹣y )﹣2b (y ﹣x )=4a (x ﹣y )+2b (x ﹣y )=2(x ﹣y )(2a +b ).61.【解答】解:ax 4﹣14ax 2﹣32a =a (x 4﹣14x 2﹣32)=a (x 2+2)(x 2﹣16)=a (x 2+2)(x +4)(x ﹣4).62.【解答】解:原式=x (x 2+5xy ﹣24y 2)=x (x +8y )(x ﹣3y ).63.【解答】解:(1﹣3a )2﹣3(1﹣3a )=(1﹣3a )(1﹣3a ﹣3)=(1﹣3a )(﹣3a ﹣2)=﹣(1﹣3a )(3a +2)=﹣3a ﹣2+9a 2+6a =9a 2+3a ﹣2.64.【解答】解:x (x ﹣y )3+2x 2(y ﹣x )2﹣2xy (x ﹣y )2=x (x ﹣y )2[(x ﹣y )+2x ﹣2y ]=3x (x ﹣y )3.65.【解答】解:原式=x (x 4﹣2x 2﹣8)=x (x 2﹣4)(x 2+2)=x (x +2)(x ﹣2)(x 2+2).66.【解答】解:原式=x 2+2x +1-y 2+y +43=(x +1)2-(y ﹣)2⎫⎛⎫⎛31y x y x ()()322122167.【解答】解:2(x+y)2﹣20(x+y)+50.=2[(x+y)2﹣10(x+y)+25].=2(x+y﹣5)2.68.【解答】解:1+a+a(1+a)+a(1+a)2+a(1+a)3=(1+a)[1+a+a(1+a)+a(1+a)2]=(1+a)2[1+a+a(1+a)]=(1+a)4.69.【解答】解:x2y﹣x2z+xy﹣xz.=(x2y﹣x2z)+(xy﹣xz).=x2(y﹣z)+x(y﹣z).=x(x+1)(y﹣z).70.【解答】解:原式=(x2﹣x)2﹣8(x2﹣x)+12=(x2﹣x﹣2)(x2﹣x﹣6)=(x+1)(x﹣2)(x+2)(x﹣3)71.【解答】解:原式=(x2)2﹣(3x﹣2)2=(x2+3x﹣2)(x2﹣3x+2)=(x2+3x﹣2)(x﹣1)(x﹣2).72.【解答】解:原式=[(3m﹣1)+(2m﹣3)][(3m﹣1)﹣(2m﹣3)]=(5m﹣4)(m+2).73.【解答】解:原式=[(2x+5)+(2x﹣5)][(2x+5)﹣(2x﹣5)]=4x•10=40x.74.【解答】解:原式=[(﹣2x﹣1)(2x﹣1)+4x2﹣2x﹣1][(﹣2x﹣1)(2x﹣1)﹣4x2+2x+1]=﹣4x(﹣4x2+x+1).75.【解答】解:原式=m2﹣8m﹣9+8m=m2﹣9=(m+3)(m﹣3).76.【解答】解:原式=9[(a﹣b)2+4b(a﹣b)+4b2]=9(a﹣b+2b)2=9(a+b)2.77.【解答】解:原式=(a2+4)2﹣(4a)2,=(a2+4+4a)(a2+4﹣4a),=(a+2)2(a﹣2)2.78.【解答】解:原式=[3(m+n)]2﹣(m﹣n)2=(3m+3n+m﹣n)(3m+3n﹣m+n)=4(2m+n)(m+2n).79.【解答】解:原式=(x2﹣4y2)2=(x+2y)2(x﹣2y)2.80.【解答】解:原式=[5x﹣3(x﹣2y)][5x+3(x﹣2y)]=(2x﹣6y)(8x﹣6y)=4(x+3y)(4x﹣3y).81.【解答】解:4x2y2﹣(x2+y2)2=﹣[(x2+y2)2﹣(2xy)2]=﹣(x2+y2+2xy)(x2+y2﹣2xy)=﹣(x+y)2(x﹣y)2.82.【解答】解:原式=x2﹣12x+12x﹣4=x2﹣4=(x+2)(x﹣2).83.【解答】解:(x2﹣3)2+2(3﹣x2)+1=(x2﹣3)2﹣2(x2﹣3)+1=(x2﹣4)2=(x+2)2(x﹣2)2.84.【解答】解:原式=x2﹣4x+4=(x﹣2)2.85.【解答】解:原式=4m2﹣6m+6m﹣1=4m2﹣1=(2m+1)(2m﹣1).86.【解答】解:x4﹣16y4=(x2+4y2)(x2﹣4y2)=(x2+4y2)(x+2y)(x﹣2y).87.【解答】解:原式=(a2+1+2a)(a2+1﹣2a)=(a+1)2(a﹣1)2.88.【解答】解:(2x+y)2﹣(x+2y)2=(2x+y+x+2y)(2x+y﹣x﹣2y)=3(x+y)(x﹣y).89.【解答】解:原式=(x2﹣6﹣3)2=(x2﹣9)2=(x+3)2(x﹣3)2.90.【解答】解:原式=(x2+x+x+1)(x2+x﹣x﹣1)=(x2+2x+1)(x2﹣1)=(x+1)2(x+1)(x﹣1)=(x+1)3(x﹣1).91.【解答】解:原式=8x2﹣16y2﹣7x2﹣xy+xy=x2﹣16y2=(x+4y)(x﹣4y).92.【解答】解:原式=(x2﹣9y2)(x2﹣y2)=(x﹣3y)(x+3y)(x﹣y)(x+y).93.【解答】解:原式=(x2+x)2﹣8(x2+x)+12=(x2+x﹣2)(x2+x﹣6)=(x﹣1)(x+2)(x﹣2)(x+3).94.【解答】解:(m2+2m)2﹣7(m2+2m)﹣8,=(m2+2m﹣8)(m2+2m+1),=(m+4)(m﹣2)(m+1)2.95.【解答】解:原式=(x2+2x﹣3)(x2+2x+1),=(x+3)(x﹣1)(x+1)2;96.【解答】解:原式=(2x﹣1)(x+).97.【解答】解:3x2﹣12x+9=3(x2﹣4x+3)=3(x﹣3)(x﹣1).98.【解答】解:(x﹣4)(x+7)+18=x2+3x﹣10=(x﹣2)(x+5).99.【解答】解:原式=(5ab﹣2)(ab+5).100.【解答】解:(x+y)2﹣(4x+4y)﹣32=(x+y)2﹣4(x+y)﹣32=(x+y+4)(x+y﹣8).。
初二因式分解练习题带答案1. 因式分解题目:将多项式 $6x^2+11x-10$ 分解为两个一次因式的乘积。
解答:我们寻找两个一次多项式 $(ax+b)(cx+d)$,使其展开后与原多项式相同。
展开 $(ax+b)(cx+d)$ 得到 $acx^2+(ad+bc)x+bd$,将其与 $6x^2+11x-10$ 对比,我们可以列出以下方程组:\begin{cases} ac = 6 \\ ad+bc = 11 \\ bd = -10 \end{cases}根据第一个方程 $ac=6$,我们可以列出 $a$ 和 $c$ 的因数对有:$(1,6), (-1,-6), (2,3), (-2,-3)$。
根据第三个方程 $bd=-10$,我们可以列出 $b$ 和 $d$ 的因数对有:$(1,-10), (-1,10), (2,-5), (-2,5), (5,-2), (-5,2), (10,-1), (-10,1)$。
我们可以尝试这些因数对来找到合适的 $a$、$b$、$c$、$d$,满足$ad+bc=11$ 的条件。
通过尝试,我们找到合适的因数对为:$(2,5)$。
因此,多项式 $6x^2+11x-10$ 可以分解为 $(2x+5)(3x-2)$。
答案:$6x^2+11x-10=(2x+5)(3x-2)$。
2. 因式分解题目:将多项式 $x^2-9$ 分解为两个一次因式的乘积。
解答:我们可以将 $x^2-9$ 视为差平方的形式,即 $(x-a)(x+a)$,其中$a^2=9 \Rightarrow a=3$。
因此,多项式 $x^2-9$ 可以分解为 $(x-3)(x+3)$。
答案:$x^2-9=(x-3)(x+3)$。
3. 因式分解题目:将多项式 $4x^2-81$ 分解为两个一次因式的乘积。
解答:我们可以将 $4x^2-81$ 视为差平方的形式,即 $(2x-a)(2x+a)$,其中$a^2=81 \Rightarrow a=9$。
初二因式分解练习题加答案一、选择题1. 下列函数中,不能因式分解的是:A) f(x) = 2x^2 + 3x + 1B) f(x) = x^3 - xC) f(x) = 4x^2 - 9D) f(x) = x^4 + 4x^2 + 4答案:D2. 已知二次函数 f(x) 的因式分解式为 f(x) = (x - 2)(x - 5),则 f(x) 的图像在坐标系中的顶点坐标为:A) (2, 5)B) (-2, 5)C) (-2, -5)D) (5, 2)答案:A3. 已知函数 f(x) = x^3 - 6x^2 + 11x - 6,其因式分解式为:A) f(x) = (x - 2)(x - 3)(x + 1)B) f(x) = (x - 2)(x + 3)(x - 1)C) f(x) = (x + 2)(x + 3)(x - 1)D) f(x) = (x + 2)(x - 3)(x + 1)答案:A二、填空题1. 将 4x^2 - 9y^2 进行因式分解,得到 (2x - 3y)(2x + 3y)。
2. 将 6x^3 + 27x^2 - 12xy 进行因式分解,得到 3x(2x + 3)(x + 2y)。
3. 将 x^4 + 6x^3 + 12x^2 进行因式分解,得到 x^2(x + 2)^2。
三、应用题1. 小明的房间长方形,长为 x + 2,宽为 x - 3。
若小明想将房间的面积进行扩大,他应该将长和宽各加上多少?答案:若将长和宽分别加上 a,b,则新的房间面积为 (x + 2 + a)(x - 3 + b)。
扩大的面积为 (x + 2 + a)(x - 3 + b) - (x + 2)(x - 3) = ax + ab - 3a + bx + ab - 2b + ab。
为了使扩大的面积最大化,可以令 a = 3,b = 2。
因此,小明应该将长和宽各加上 3 和 2。
2. 将 3x^3 - 15x^2y + 18xy^2 进行因式分解。
因式分解进阶中考要求例题精讲一、基本概念因式分解:把一个多项式化成几个整式的乘积的形式,叫做把这个多项式因式分解,也可称为将这个多项式分解因式.因式分解与整式乘法互为逆变形:()m a b c ma mb mc ++++整式的乘积因式分解式中m 可以代表单项式,也可以代表多项式,它是多项式中各项都含有的因式,称为公因式 因式分解的常用方法:提取公因式法、运用公式法、分组分解法、十字相乘法.分解因式的一般步骤:如果多项式的各项有公因式,应先提公因式;如果各项没有公因式,再看能否直接运用公式 十字相乘法分解,如还不能,就试用分组分解法或其它方法.注意事项:①若不特别说明,分解因式的结果必须是每个因式在有理数范围内不能再分解为止;②结果一定是乘积的形式;③每一个因式都是整式;④相同的因式的积要写成幂的形式.在分解因式时,结果的形式要求:①没有大括号和中括号;②每个因式中不能含有同类项,如果有需要合并的同类项,合并后要注意能否再分解; ③单项式因式写在多项式因式的前面;④每个因式第一项系数一般不为负数;⑤形式相同的因式写成幂的形式.二、提公因式法提取公因式:如果多项式的各项有公因式,一般要将公因式提到括号外面.确定公因式的方法:系数——取多项式各项系数的最大公约数;字母(或多项式因式)——取各项都含有的字母(或多项式因式)的最低次幂.三、公式法平方差公式:22()()a b a b a b -=+-①公式左边形式上是一个二项式,且两项的符号相反;②每一项都可以化成某个数或式的平方形式;③右边是这两个数或式的和与它们差的积,相当于两个一次二项式的积.完全平方公式:2222()a ab b a b ++=+2222()a ab b a b -+=-①左边相当于一个二次三项式;②左边首末两项符号相同且均能写成某个数或式的完全平方式;③左边中间一项是这两个数或式的积的2倍,符号可正可负;④右边是这两个数或式的和(或差)的完全平方,其和或差由左边中间一项的符号决定.一些需要了解的公式:3322()()a b a b a ab b +=+-+ 3322()()a b a b a ab b -=-++33223()33a b a a b ab b +=+++ 33223()33a b a a b ab b -=-+-2222()222a b c a b c ab ac bc ++=+++++模块一 因式分解的基本方法【例1】已知248﹣1可以被60到70之间的某两个整数整除,则这两个数分别是 、 .【解析】先利用平方差公式分解因式,再找出范围内的解即可.【答案】248﹣1=(224+1)(224﹣1),=(224+1)(212+1)(212﹣1),=(224+1)(212+1)(26+1)(26﹣1); ∵26=64,∴26﹣1=63,26+1=65,∴这两个数是65、63.【点评】本题考查了利用平方差公式分解因式,先分解因式,然后再找出范围内的解是本题解题的思路【巩固】333333()()()()ay bx ax by a b x y +-++--=_________. 【解析】 原式22222()()()()()b a x y a b ab x y a b xy ⎡⎤=--++++++⎣⎦()()a b x y --22()a ab b ++22()x xy y ++ ()()a b x y abxy =---.【巩固】 化简下列多项式:()()()()23200611111x x x x x x x x x ++++++++++ 【解析】 原式()()()20051111x x x x x x ⎡⎤=+++++++⎣⎦()()()()200411111x x x x x x x ⎡⎤=++++++++⎣⎦ …()()2005111x x x x =++++⎡⎤⎣⎦()20071x =+【例2】已知整数a 、b 、c 满足不等式a 2+b 2+c 2+43≤ab+9b+8c ,则a 、b 、c 分别等于 .【解析】由已知条件构造完全平方公式,得(a ﹣)2+3(﹣3)2+(c ﹣4)2≤0,然后由非负数的性质求解.【答案】由已知得a 2+b 2+c 2+43﹣ab ﹣9b ﹣8c≤0,配方得(a ﹣)2+3(﹣3)2+(c ﹣4)2≤0,又∵(a ﹣)2+3(﹣3)2+(c ﹣4)2≥0,∴(a ﹣)2+3(﹣3)2+(c ﹣4)2=0,∴a ﹣=0,﹣3=0,c ﹣4=0,∴a=3,b=6,c=4.故答案为:a=3,b=6,c=4.【点评】此题考查用分组分解法进行因式分解.难点是配方成非负数的形式,再根据非负数的性质求解. 模块二 重组分解法【例3】分解因式:2222(1)(2)(1)x x x x x x ++-++-【解析】 原式424322212x x x x x x x =+++----43221x x x =--+3(21)(21)x x x =---3(21)(1)x x =--2(1)(21)(1)x x x x =--++.【答案】2(1)(21)(1)x x x x --++【巩固】 分解因式:3322()()ax y b by bx a y +++【解析】3322()()ax y b by bx a y +++ 332222axy ab x b x y a by =+++2222()()xy ay b x ab ay b x =+++22()()ay b x xy ab =++【答案】22()()ay b x xy ab ++【例4】分解因式:2222111[()()](2)222x y x y x y -++- 【解析】 2222111[()()](2)222x y x y x y -++- 222222111[](2)442x xy y x xy y x y =-++++- 222211(2)(2)22x y x y =+- 【答案】222211(2)(2)22x y x y +-【巩固】 分解因式:2231()b a x abx +--【解析】2231()b a x abx +-- 2223(1)()a x bx abx =-+-2(1)(1)(1)ax ax bx ax =+-+-2(1)(1)ax ax bx =-++【答案】2(1)(1)ax ax bx -++【例5】已知三个连续奇数的平方和为251,求这三个奇数.【解析】 设三个连续奇数分别为21,21,23n n n -++,则利用()()()222212123251n n n -++++=,求n 的值.设三个连续奇数分别为21,21,23n n n -++,则 ()()()222212123251n n n -++++=整理后,得2200n n +-=,()()540n n +-=∴15n =-,24n =∴三个连续奇数分别为-11,-9,-7或7,9,11.【答案】连续奇数分别为-11,-9,-7或7,9,11.【巩固】 已知:a 、b 、c 为三角形的三条边,且222433720a ac c ab bc b ++--+=,求证:2b a c =+【解析】 22243372a ac c ab bc b ++--+(3)(2)a b c a b c =-+-+0=因为三角形的两边之和大于第三边,所以30a b c -+≠,故20a b c -+=,即2b a c =+.【答案】见解析 模块三 拆、填项法☞利用配方思想拆项与添项【例 1】分解因式:432234232a a b a b ab b ++++=_______.【解析】432234232a a b a b ab b ++++ 2222222()2()a b ab a b a b =++++222()a b ab =++【答案】222()a b ab ++【例 2】分解因式: 12631x x -+【解析】12631x x -+126621x x x =-+- 6363(1)(1)x x x x =-+--【答案】6363(1)(1)x x x x -+--【例 3】分解因式: 841x x ++【解析】841x x ++ 84421x x x =++- 4242(1)(1)x x x x =+++-42242(12)(1)x x x x x =++-+-2242(1)(1)(1)x x x x x x =+++-+- 【答案】6363(1)(1)x x x x -+--【例 4】分解因式: 4224781x x y y -+【解析】4224422422781188125x x y y x x y y x y -+=++-2222(95)(95)x y xy x y xy =+-++【答案】2222(95)(95)x y xy x y xy +-++【例 5】已知n 是正整数,且4216100n n -+是质数,那么n =_______.【解析】原式4222010036n n n =++- 222(10)(6)n n =+-22(610)(610)n n n n =-+++.又因为4216100n n -+是质数,且n 是正整数,且26101n n ++≠,故26101n n -+=,3n =.【答案】3n =【例 6】分解因式:()()()222241211y x y x y +-++-【解析】()()()222241211y x y x y +-++- ()()()222242212114y x y x y x y =+--+--()()22211(2)y x y xy ⎡⎤=+---⎣⎦ (1)(1)(1)(1)x x x xy y x xy y =+-------【答案】(1)(1)(1)(1)x x x xy y x xy y +-------【例 7】分解因式:42222222()()x a b x a b -++-【解析】42222224222222222()()2()()4x a b x a b x a b x a b b x -++-=--+--222222222222()4(2)(2)x b a b x x b a bx x b a bx =+--=+--+-+()()()()x a b x a b x a b x a b =++--+--+【答案】()()()()x a b x a b x a b x a b ++--+--+【例 8】分解因式:33(1)()()(1)x a xy x y a b y b +---++ 【解析】33(1)()()(1)x a xy x y a b y b +---++33(1)()[(1)(1)](1)x a xy x y a b y b =+--+-+++322322(1)()(1)()a x x y xy b y x y xy =+-++++-2222(1)()(1)()x a x xy y b x xy y =+-+++-+22()()x xy y ax by x y =-++++【答案】22()()x xy y ax by x y -++++【例 9】 把444x y +分解因式.【解析】4422224()(2)x y x y +=+使用平方差公式显然是不行的.44422422422422x y x x y y x y +=+⋅⋅+-⋅⋅2222(2)(2)x y xy =+-2222(22)(22)x xy y x xy y =++-+【答案】2222(22)(22)x xy y x xy y ++-+【例 10】分解因式:464x +【解析】464x +42222222166416(8)(4)(48)(48)x x x x x x x x x =++-=+-=++-+【答案】22(48)(48)x x x x ++-+【例 11】证明:在m n 、都是大于l 的整数时,444m n +是合数.【解析】444m n +422422444m m n n m n =++-2222(2)(2)m n mn =+-2222(22)(22).m n mn m n mn =+++-由于在m n 、都大于1时,两个因数中较小的那一个2222222()1m n mn m n n n +-=-+≥>即两个因数都是444m n +的真因数,所以444m n +是合数.【答案】见解析【例 12】分解因式:444222222222a b c a b b c c a ---+++【解析】444222222222a b c a b b c c a ---+++444222222(222)a b c a b b c c a =-++---44422222222(2224)a b c a b b c c a a b =-+++---22222[()(2)]a b c ab =-+--222222(2)(2)a b c ab a b c ab =-+-++--2222[()][()]a b c a b c =-+---()()()()a b c a b c a b c a b c =-+++--+--()()()()a b c a b c a b c b c a =+++--++-【答案】()()()()a b c a b c a b c b c a +++--++-☞拆项与添项【例 13】(“CASIO”杯河南省竞赛)把下列各式因式分解:4322928x x x x +--+【解析】原式()()()()()()42322222228812181x x x x x x x x x x =-+---=-+---()()()()()()221281142x x x x x x x =-+-=+-+-【答案】()()()()1142x x x x +-+-【例 14】若1x y +=-,则43222234585x x y x y x y xy xy y ++++++的值等于( )A.0B.1-C.1D.3【解析】43222234585x x y x y x y xy xy y ++++++4322342233224642x x y x y xy y x y xy xy x y x y =+++++++++42()()()1x y xy x y xy x y =+++++=【答案】1【例 15】分解因式:323233332a a a b b b ++++++【解析】前三项比完全立方公式少l ,四、五、六项的和也比立方公式少l .如果把2拆为两个l ,那么就可以使两组都成为完全立方,皆大欢喜.于是323233332a a a b b b ++++++3232(331)(331)a a a b b b =++-++++33(1)(1)a b =+++22(2)[(1)(1)(1)(1)]a b a a b b =+++-++++22(2)(1)a b a ab b a b =++-++++【答案】22(2)(1)a b a ab b a b ++-++++【例 16】分解因式:51x x ++【解析】法1:此题既无公因式可提,又无法分组分解,更无法使用什么公式,于是我们想到要添项.不妨试试4x ,55444411(1)(1)x x x x x x x x x ++=+++-=++-无法进行下去.那么试试4x -,554411x x x x x x ++=-+++显然也无法进行下去.开始尝试3x ,如下:55333343311(1)(1)1(1)(1)x x x x x x x x x x x x x x x ++=-+++=+-+++=+-++,无法分解下去.这样尝试下去,可分解如下:552211x x x x x x ++=-+++222(1)(1)1x x x x x x =-+++++232(1)(1)x x x x =++-+.法2:也可以这样解:5543243211x x x x x x x x x x ++=+++++---32(1)(1)x x x =+++-22(x x + 3221)(1)(1)x x x x x +=-+++.只要我们能够用心地思考,大胆地尝试,我们会发现很多非常巧妙的想法!【答案】322(1)(1)x x x x -+++【例 17】分解因式:541a a ++【解析】原式5433322321(1)(1)(1)(1)(1)a a a a a a a a a a a a a a =++-+=++--++=-+++【答案】32(1)(1)a a a a -+++【例 18】分解因式:3333a b c abc ++-.【解析】3333a b c abc ++-332232233333a b a b ab c a b ab abc =++++---33()3()a b c ab a b c =++-++222()(2)3()a b c a b ab c ac bc ab a b c =+++++---++222()()a b c a b c ab bc ca =++++---.也可添加23b c ,23bc 或者23c a ,23ca .【答案】222()()a b c a b c ab bc ca ++++---【例 19】分解因式:22268x y x y -++-【解析】22222226821(69)(1)(3)x y x y x x y y x y -++-=++--+=+--(13)(13)(4)(2)x y x y x y x y =+-+++-=-++-【答案】(4)(2)x y x y -++-【例 20】分解因式: 224414x y x y -++【解析】2244442222222214216(4)(4)x y x y x y x y x y x y xy x y xy -++=++-=+++-【答案】2222(4)(4)x y xy x y xy +++-【例 21】分解因式:42471x x -+【解析】42422224712149(17)(17)x x x x x x x x x -+=++-=+++-【答案】22(17)(17)x x x x +++-【例 22】分解因式: 4414x y + 【解析】4414x y +442222222211()()42x y x y x y x y xy =++-=+-22221(22)(22)4x xy y x xy y =++-+ 【答案】22221(22)(22)4x xy y x xy y ++-+【例 23】分解因式:441x +=__________.【解析】442222222414414(21)(2)(221)(221)x x x x x x x x x x +=++-=+-=++-+【答案】22(221)(221)x x x x ++-+【例 24】分解因式:432433x x x x ++++【解析】(法1):原式432222222()(333)(1)3(1)(3)(1)x x x x x x x x x x x x x =+++++=+++++=+++(法2):原式432423222433(3)(3)(3)(3)(1)x x x x x x x x x x x x =++++=+++++=+++【答案】22(3)(1)x x x +++模块三 换元法【例1】 分解因式:(1)(2)(3)(4)24a a a a -----【解析】2(5)(510)a a a a --+【答案】2(5)(510)a a a a --+【例2】 分解因式:22(1)(2)12x x x x ++++-【解析】2(1)(2)(5)x x x x -+++【答案】2(1)(2)(5)x x x x -+++【例3】 分解因式:()()()()26121311x x x x x ----+=【解析】原式()()()()()()22226112131671651x x x x x x x x x x =----+=-+-++设2671x x t -+=,原式()()()22222661t t x x t x x x =++=+=-+ 【答案】()22661x x -+【例4】 分解因式:()()()()461413119x x x x x ----+=【解析】原式()()22467112719x x x x x =-+-++设2671x x t -+=,原式()()()222422693971t x t x t x x x =++=+=-+ 【答案】()22971x x -+【例5】 分解因式:22224(31)(23)(44)x x x x x x --+--+-【解析】咋一看,很不好下手,仔细观察发现:222(31)(23)44x x x x x x --++-=+-,故可设2231,23x x A x x B --=+-=,则244x x A B +-=+.故原式=24()AB A B -+2A =-222()B AB A B -+=--22222(31)(23)(232)x x x x x x ⎡⎤=----+-=--+⎣⎦. 【答案】22(232)x x --+【例6】 分解因式:2(2)(2)(1)a b ab a b ab +-+-+-【解析】由于题中以整体形式出现的式子有两个,共4个地方,故采取换元法后会大大简化计算过程,不妨设,a b x ab y +==,则原式=222(2)(2)(1)222x y x y x xy y y x --+-=-++-222221()2()1(1)(1)(1)(1)x y x y x y a b ab a b +=---+=--=+--=--【答案】22(1)(1)a b --【例7】 分解因式:()()()2113212xy xy xy x y x y ⎛⎫+++-++-+- ⎪⎝⎭ 【关键词】1997~1998年,天津市初二数学竞赛决赛,换元法【解析】设xy a x y b =+=,则原式()()()213211a a a b b =+++----()()()222221111a a b a b a b a b =++-=+-=+++- ()()()()1111x y x y =++--【答案】()()()()1111x y x y ++--【例8】 分解因式:4444(4)a a ++-【解析】为方便运算,更加对称起见,我们令2x a =-4444(4)a a ++-444(2)(2)4x x =++-+22224(44)(44)4x x x x =+++-++422(2416)256x x =+++422(24144)x x =++222(12)x =+222[(2)12]a =-+222(416)a a =-+【答案】222(416)a a -+【例9】 分解因式:()()()3332332125x y x y x y -+---【解析】设233255x y a x y b x y c -=-=-+=,,,显然0a b c ++=由公式()()3332223a b c abc a b c a b c bc ca ab ++-=++++---知,此时有3333a b c abc ++= 故原式()()()()()()3233255152332x y x y x y x y x y x y =---+=----【答案】()()()152332x y x y x y ----【例10】 分解因式:43241x x x x +-++【解析】原式222222111144x x x x x x x x x x ⎡⎤⎛⎫⎛⎫⎛⎫=+-++=+++- ⎪ ⎪ ⎪⎢⎥⎝⎭⎝⎭⎝⎭⎣⎦ 设1x t x +=,则22212x t x+=- 原式()()()2222432x t t x t t =+--=+-()()22311x x x =++- 【答案】()()22311x x x ++-【例11】 分解因式:()()4413272x x +++-【解析】设2x t +=,则原式()()444211272212270t t t t =-++-=+-()()()()()2222159241951t t x x x x =+-=+++- 【答案】()()()2241951x x x x +++-模块四 主元法【例 25】分解因式:2222223a b ab a c ac abc b c bc -+--++【解析】这个多项式是a 、b 、c 的三项式,相数多,似乎无从下手,解决它的方法却是最基本的:把a 当作主要字母,也就是把这个多项式看成a 的二次式,按a 降幂排列整理为:22222()(3)()b c a b c bc a b c bc +-++++,后用十字相乘进行分解,“常数项”为22()b c bc bc b c +=+ 2222223a b ab a c ac abc b c bc -+--++[()][()]a b c b c a bc =-++-()()a b c ab ac bc =--+-【答案】()()a b c ab ac bc --+-【例 26】分解因式:22(1)(1)(221)y y x x y y +++++【解析】将x 看为主元,原式可化为:22(1)(221)(1)y y x y y x y y ++++++[(1)][(1)]yx y y x y =++++(1)()yx y yx x y =++++【答案】(1)()yx y yx x y ++++【例 27】分解因式:222222()()(1)()()ab x y a b xy a b x y ---+-++【解析】以a 、b 为主要字母,这个多项式是a 、b 的二次齐次式,把它整理为:2222[(1)()]()[()(1)]b xy x y ab x y a x y xy +-++--+++2222[()(1)]()[()(1)]b xy x y ab x y a x xy y =---+--+++2222[(1)(1)]()[(1)(1)]b x y y ab x y a x y y =---+--+++2222(1)(1)()(1)(1)b x y ab x y a x y =--+--++[(1)(1)][(1)(1)]x b y a y b x a =--+--+()()bx b ay a by b ax a =----++【答案】()()bx b ay a by b ax a ----++课后作业1.分解因式:()()()2442111x x x ++-+-【解析】 原式224222(21)(21)(21)x x x x x x =+++-++-+423103x x =++ 22(31)(3)x x =++【答案】22(31)(3)x x ++2.若x ,y 是整数,求证:()()()()4234x y x y x y x y y +++++是一个完全平方数.【解析】()()()()4234x y x y x y x y y +++++()()()()4423x y x y x y x y y =+++++⎡⎤⎡⎤⎣⎦⎣⎦22224(54)(56)x xy y x xy y y =+++++令2254x xy y u ++=∴上式2422222(2)()(55)u u y y u y x xy y ++=+=++即()()()()4222234(55)x y x y x y x y y x xy y +++++=++【答案】见解析3.分解因式:44(1)(3)272x x +-+- 【解析】设1322x x y x +++==+,则原式=4442(1)(1)2722(61)272y y y y -++-=++- 422222(6135)2(9)(15)2(3)(3)(15)y y y y y y y =+-=-+=+-+22(5)(1)(419)x x x x =+-++【答案】22(5)(1)(419)x x x x +-++4.分解因式:322222422x x z x y xyz xy y z --++-【解析】原式()()()()()22222222x z y x z xy x z x x z y x =---+-=--【答案】()()22x z y x --。