b中高一(上)自主学习数学试卷()
- 格式:doc
- 大小:262.00 KB
- 文档页数:8
高一数学自主训练1答案:1-11B A B B B D B A ACBCD ACD12.1(答案不唯一)1314.215.【小问1详解】原式cos cos cos x ===因为π,π2x ⎛⎫∈ ⎪⎝⎭,所以cos 0x <,所以原式cos 1.cos x x ⎛⎫=⋅-=- ⎪⎝⎭【小问2详解】因为1sin cos 5x x +=,所以21(sin cos )25x x +=,即112sin cos 25x x +=,所以12sin cos 25x x =-.所以249(sin cos )12sin cos 25x x x x -=-=.因为π,π2x ⎛⎫∈ ⎪⎝⎭,所以sin 0,cos 0x x ><.所以sin cos 0x x ->.所以7sin cos 5x x -=.所以()()71cos sin cos sin 1cos sin 755tan 12tan sin cos sin cos 1225x x x x x x x x x x x x -⨯-+-=-===-.16.【小问1详解】散点图如下图,最恰当的一个函数模型为②22S av =.将点(30,5)代入22S av =,得2530a =⋅,解得1180a =,所以221180S v =.经检验,表中其余三点的坐标均满足221180S v =,所以最恰当的函数模型为②.【小问2详解】由(1)知,2121115180S S S v v =+=+为v 的增函数.法1:当100v =时,211560100100151809S =⨯+⨯=.因为560519>.所以该车不超速.法2:当51S =时,2115115180v v +=,即212102900v v +-⨯=,所以()()102900v v +-=,又0v ≥.所以90v =.因为90100<.所以该车未超速行驶.17.【小问1详解】依题意,设函数表达式为()32sin 2d A t ωϕ=++,水轮半径为3m ,所以振幅3A =,水轮每分钟按逆时针方向转动1.5圈,故角速度为 1.52ππ6020ω⨯==,水轮上点P 从水中浮现时开始计时,所以π3sin 0020ϕ⎛⎫⨯+= ⎪⎝⎭,且ππ22ϕ-<<,解得π4ϕ=-,所以函数表达式为ππ3sin 2042d t ⎛⎫=-+ ⎪⎝⎭,故ππ323,,,2042A K ωϕ===-=.【小问2详解】根据题意,令πππ2042t -=,可得()15s t =.所以盛水筒出水后至少约15s 就可到达最高点.18.【小问1详解】令0x y ==,代入()()()f x y f x f y +=+可得()00f =,令y x =-,代入()()()f x y f x f y +=+,可得()()()00f x f x f +-==,所以()()f x f x -=-,可得函数()f x 为奇函数;任取12,x x ∈R ,且1221,0x x x x <->,因为()()()f x y f x f y +-=,即()()()()f x y f x f x y x f y ⎡⎤+-=+-=⎣⎦,令21,x x y x x =+=,则21y x x =-,可得()()()2121f x f x f x x -=-,又因为0x >时,()0f x <,且210x x ->,所以()210f x x -<,所以()()210f x f x -<,即()()21f x f x <,所以函数()f x 是R 上的减函数.【小问2详解】()()fx f x -=-,即()()22f x f x -=-,()()()()()()()()22222g x f x m f x f x m f x f x m f x f x =--=-+-=-+-+-()22f x x m =--,令()0g x =,即()()2200f x x m f --==,因为函数()f x 是R 上的减函数,所以220x x m --=,即22m x x =-,令()2222,0,22,0,x x x h x x x x x x ⎧-≥=-=⎨+<⎩则函数()h x 的图象,如图所示,结合图象,可得:当()1,0m ∈-时,函数()g x 有4个零点,即实数m 的取值范围为()1,0-.19.【小问1详解】因为()()1f x f x =--恒成立,得()()111ln 1ln 1x x x a x a x x +--+⎛⎫⎛⎫+=--+ ⎪ ⎪--⎝⎭⎝⎭()()1ln 1ln 1x x x a x a x x +⎛⎫⎛⎫+=--+ ⎪ ⎪+⎝⎭⎝⎭()()11ln 1ln x x x a x a x x ++⎛⎫⎛⎫+=+- ⎪ ⎪⎝⎭⎝⎭所以1a a =-,即12a =.【小问2详解】因为0a =,所以()1ln x f x x x +⎛⎫= ⎪⎝⎭,1ln ln x x t x +⎛⎫= ⎪⎝⎭,得1xx t x +⎛⎫= ⎪⎝⎭1111ln ln ln ln x x x x x sx x x ++++⎛⎫⎛⎫⎛⎫+== ⎪ ⎪ ⎝⎭⎝⎭⎝⎭得11x x s x ++⎛⎫= ⎪⎝⎭因为()111111ln ln ln ln x xx t xx x x x s t s x x x x ++++++⎛⎫⎛⎫⎛⎫===⎪ ⎪⎪⎝⎭⎝⎭⎝⎭;()111111ln ln ln ln x x xsx x x x x t s t x x x x ++++++⎛⎫⎛⎫⎛⎫=== ⎪⎪⎪⎝⎭⎝⎭⎝⎭所以t s s t =.。
高一上数学测试题及答案一、选择题(每题3分,共30分)1. 下列哪个选项是不等式2x - 5 < 0的解集?A. x < 2.5B. x > 2.5C. x < -2.5D. x > -2.5答案:A2. 函数f(x) = 3x^2 - 2x + 5在x = 1处的导数是:A. 4B. 5C. 6D. 7答案:B3. 集合A = {1, 2, 3},集合B = {2, 3, 4},A∩B是:A. {1}B. {2, 3}C. {3, 4}D. {1, 2, 3, 4}答案:B4. 直线y = 2x + 1与x轴的交点坐标是:A. (-0.5, 0)B. (0.5, 0)C. (0, 1)D. (1, 0)答案:A5. 圆x^2 + y^2 = 9的半径是:A. 3B. 6C. 9D. 18答案:A6. 函数y = sin(x)的周期是:A. 2πB. πC. 1D. 4π答案:A7. 抛物线y^2 = 4x的焦点坐标是:A. (1, 0)B. (0, 1)C. (2, 0)D. (0, 2)答案:C8. 等差数列{an}的首项a1 = 2,公差d = 3,其第5项a5是:A. 17B. 14C. 13D. 11答案:A9. 已知三角形ABC的三边长分别为a、b、c,且满足a^2 + b^2 = c^2,那么三角形ABC是:A. 锐角三角形B. 直角三角形C. 钝角三角形D. 不能确定答案:B10. 函数f(x) = x^3 - 3x^2 + 4在区间(1, 2)上是:A. 单调递增B. 单调递减C. 先增后减D. 先减后增答案:D二、填空题(每题4分,共20分)11. 已知等比数列{bn}的首项b1 = 4,公比q = 2,那么b3 =__________。
答案:1612. 函数f(x) = x^2 - 4x + 3的最小值是 __________。
答案:-113. 圆心在原点,半径为5的圆的标准方程是 __________。
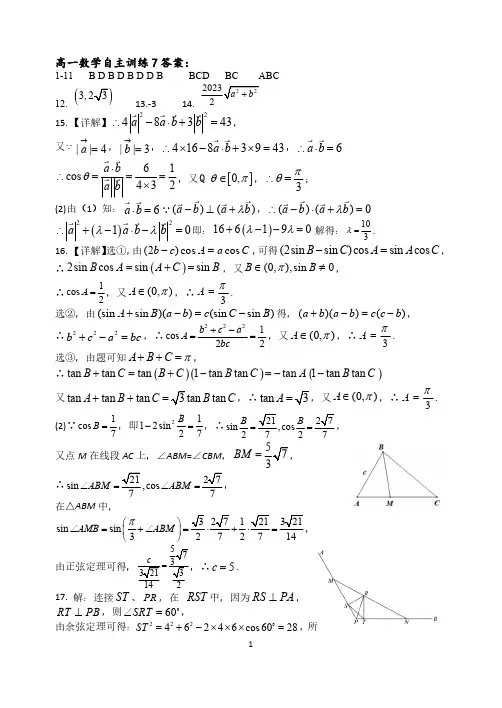
高一数学自主训练7答案:1-11B D B D B D D B BCD BC ABC 12.()3,2313.-314.2220232a b +15.【详解】2248343a b ba -+=⋅∴ ,又 ||4a →=,||3b →=,41683943a b ⋅∴⨯-+⨯= ,6a b ∴⋅= 61cos 432b a b a θ⋅∴===⨯ ,又[]0,θπ∈Q ,3πθ∴=;(2)由(1)知:6a b ⋅= ()()a b a b λ-⊥+ ,()()0a b a b λ∴-⋅+= ()2210a a b b λλ⋅∴+--= 即:()166190λλ+--=解得:103λ=.16.【详解】选①,由(2)cos cos b c A a C -=,可得(2sin sin )cos sin cos B C A A C -=,∴()2sin cos sin sin B A A C B =+=,又(0,),sin 0B B π∈≠,∴1cos 2A =,又(0,)A π∈,∴3A π=.选②,由(sin sin )()(sin sin )AB a b cC B +-=-得,()()()a b a b c c b +-=-,∴222b c a bc +-=,∴2221cos 22b c a A bc +-==,又(0,)A π∈,∴3A π=.选③,由题可知ABC π++=,∴()()()tan tan tan 1tan tan tan 1tan tan B C B C B C A B C +=+-=--又tan tan tan 3tan tan A B C B C ++=,∴tan 3A =,又(0,)A π∈,∴3A π=.(2)∵1cos 7B =,即2112sin 27B -=,∴2127sin ,cos 2727B B ==,又点M 在线段AC 上,∠ABM =∠CBM ,573BM =,∴2127sin ,cos 77ABM ABM ∠=∠=,在△ABM 中,327121321sin sin 3272714AMB ABM π⎛⎫∠=+∠=⋅+⋅= ⎪⎝⎭,由正弦定理可得,3213142573c =,∴5c =.17.解:连接ST 、PR ,在RST 中,因为RS PA ⊥,RT PB ⊥,则60SRT ∠= ,由余弦定理可得:22246246cos 6028ST =+-⨯⨯⨯= ,所以,)m ST =.在RST 中,由余弦定理可得,222cos 27ST RT SR STR ST RT +-∠==⋅.在PST 中,()sin sin 90cos PTS STR STR ∠=-∠=∠=由正弦定理可得sin sin120SP ST PTS =∠ ,解得sin sin120ST PTS SP ∠==在直角SPR △中,22222112433PR RS SP ⎛=+=+= ⎝⎭,所以,)m 3PR =.(2)解:因为1sin12024PMN S PM PN PM PN =⋅⋅=⋅ △11462322PMN PRM PRN S S S PM PN PM PN =+=⨯+⨯=+△△△,因为234PM PN PM PN ⋅=+≥,所以,128PM PN ⋅≥,当且仅当PM =)2m 4PMN S PM PN =⋅≥△.18.。
高一数学IV 自主学习诊断 2016.2.23一、 填空题(每小题5分,共60分)1、 已知51sin +=23πα(),则cos α= 。
2、3x -的解集为 。
3、 设,,,x y z R ∈若233x y z -+=,则222(1)x y z +-+之最小值为 ,又此时y = 。
4、 已知关于x 的不等式34x x a -+-<的解集不是空集,则实数a 的取值范围是 。
5、 已知2sin cos 0αα+=,求222sin 3sin cos 5cos αααα--= 。
6、 已知2弧度的圆心角所对的弦长为2,那么这个圆心角所对的弧长是 。
7、已知2sin cos )3θθθπ+=<<,则tan θ= 。
8、 设0,2t a π<<是大于0的常数,1()cos 1cos af t t t=+-的最小值是16,则a = 。
9、 函数22425(1)1x x x x x ++>++的最小值是 。
10、 已知函数sin[2()]3y x πϕ=-+是偶函数,且0ϕπ<<,则ϕ= 。
11、 ,,,230x y z R x y z ∈-+=,则2y xz 的最下值是 。
12、已知函数())4f x x π+,有下列四个结论:①函数()f x 在区间3,88ππ⎡⎤-⎢⎥⎣⎦上是增函数;②点3,08π⎛⎫⎪⎝⎭是函数()f x 图像的一个对称中心;③函数()f x的图像可以由函数2y x =的图像向左平移4π得到; ④若0,2x π⎡⎤∈⎢⎥⎣⎦,则函数()f x的值域为⎡⎣。
则所有正确结论的序号是 。
二、 解答题(共3小题,共40分)13、 已知函数()()cos (0,0)2f x x πϖϕϖϕ=+>-<<的最小周期为π,且()4f π=。
(1)(5分)求函数()y f x =解析式,并写出周期、振幅; (2)(5分)求函数()y f x =的单调递减区间;(3)(3分)通过列表描点的方法,在给定坐标中作出函数()f x 在[]0,π上的图像。
心尺引州丑巴孔市中潭学校二零二零—二零二壹高一上学期期中自主练习数学试题本卷须知:1.本试题总分值150分,考试时间为120分钟。
2.使用答题纸时,必须使用0.5毫米的黑色签字笔书写,要字迹工整,笔迹清晰。
超出答题区书写的答案无效;在草稿纸、试题卷上答题无效。
3.答卷前将密封线内的工程填写清楚。
一、选择题:本大题共12小题,每题5分,共60分。
在每题给出的四个选项中,只有 一项为哪一项符合题目要求的。
1.集合{}21xA x =>,{}1B x y x ==-,那么()R AC B =A.∅B.(0,1]C.(0,1)D.[1,+∞)2.以下各组函数为相等函数的是A.()f x x =,2()g x x = B.()1f x =,0()(1)g x x =-C.()2()=xf x x,2()()xg x x =D.29()3x f x x -=+,()3g x x =-3.右图是某某年级的三个班在一学期内的六次数学测试的平均成绩y 关于测试序号x 的函数图象,为了容易看出一个班级的成绩变化,将离散的点用虚线连接,根据图象,给出以下结论: ①一班成绩始终高于年级平均水平,整体成绩比较好; ②二班成绩不够稳定,波动程度较大;③三班成绩虽然多数时间低于年级平均水平,但在稳步提升. 其中正确结论的个数为A.OB.1C.2D.34.假设函数2(21)1y x a x =+-+在区间(-∞,2]上是减函数,那么实数a 的取值范围是A.32⎡⎫-+∞⎪⎢⎣⎭, B.3,2⎛⎤-∞-⎥⎝⎦C.3+2⎡⎫∞⎪⎢⎣⎭, D.3,2⎛⎤-∞ ⎥⎝⎦5.假设3log 2a=,lg 0.2b =,0.22c =,那么,,a b c 的大小关系为A.c<b<aB.b<a<cC.a<b<cD.b<c<a6.函数2()2f x ax bx a b =++-是定义在[]1,2a a -上的偶函数,那么a b + =A.13-B.0C.13D.17.幂函数2268()(44)m m f x m m x -+=-+在(0,+∞)为增函数,那么m 的值为A.1或3B.3C.2D.18.函数2220()log 0x x f x x x +⎧≤=⎨>⎩,,,假设0()2f x >,那么0x 的取值范围是A.010x -<≤或04x > B.0014x x <->或 C.004x << D.0-10x <≤9.函数log ()(01)a x xf x a x=<<图象的大致形状是10.函数()lg f x x =,0a b <<,且()()f a f b >,那么A.1ab >B.1ab <C.1ab =D.(1)(1)0a b -->11.设函数1()0x D x x ⎧=⎨⎩,为有理数,为无理数,那么以下结论错误的选项是A.()D x 的定义域为RB.()D x 的值域为{0,1}C.()D x 是偶函数D.()D x 是单调函数A B C D12.设函数()f x 满足对任意的*,N m n ∈,都有()()()f m n f m f n +=⋅,且(1)2f =,那么A.2021B.2017C.4032D.4034二、填空题:本大题共4小题,每题5分,共20分。
第2题乐清中学自主招生考试数学试题卷亲爱的同学:欢迎你参加考试!考试中请注意以下几点:1.全卷共三大题,满分120分,考试时间为100分钟。
2.全卷由试题卷和答题卷两部分组成。
试题的答案必须做在答题卷的相应位置上。
做在试题卷上无效。
3.请用钢笔或圆珠笔在答题卷密封区上填写学校、姓名、试场号和准考证号,请勿遗漏。
4.答题过程不准使用计算器。
祝你成功! 一、选择题(本题共6小题,每小题5分,共30分.在每小题的四个选项中,只有一个符合题目要求) 1.如果一直角三角形的三边为a 、b 、c ,∠B=90°,那么关于x 的方程a(x 2-1)-2cx+b(x 2+1)=0的根的情况为A 有两个相等的实数根B 有两个不相等的实数根C 没有实数根D 无法确定根的情况2.如图,P P P 123、、是双曲线上的三点,过这三点分别作y 轴的垂线,得三个三角形P A O P A O P A O 112233、、,设它们的面积分别是,则A S S S 123<<B S S S 213<<C S S S 132<<D S S S 123==3.如图,以BC 为直径,在半径为2圆心角为900的扇形内作半圆,交弦AB 于点D ,连接CD ,则阴影部分的面积是 A π-1 B π-2 C D4.由得a>-3,则m 的取值范围是A m>-3B m ≥-3C m ≤-3D m<-3 5.如图,矩形ABCG (AB <BC )与矩形CDEF 全等,点B 、C 、D 在同一条直线上,APE ∠的顶点P 在线段BD 上移动,使APE ∠ 为直角的点P 的个数是S S S 123、、121-π221-π第3题A 0B 1C 2D 36.已知抛物线y=ax 2+2ax+4(0<a<3),A (x 1,y 1)B(x 2,y 2)是抛物线上两点,若x 1<x 2, 且x 1+x 2=1-a,则A y 1< y 2B y 1= y 2C y 1> y 2D y 1与y 2的大小不能确定二、填空题(本题共6小题,每小题5分,共30分.把答案填写在题中横线上)7. 二次函数y =a x 2+(a -b )x —b 的图象如图所示, 那么化简的结果是______▲________.8. 如图所示,在正方形 ABCD 中,AO ⊥BD 、OE 、FG 、HI 都垂 直于 AD ,EF 、GH 、IJ 都垂直于AO ,若已知 S ΔA JI =1, 则S正方形ABCD =▲9.将一个棱长为8、各个面上均涂有颜色的正方体,锯成64个同样大小的小正方体,其中所有恰有2面涂有颜色的小正方体表面积之和为 ▲ 10.用黑白两种颜色正方形的纸片按黑色纸片数逐渐加l 的规律拼成一列图案: (1)第4个图案中有白色纸片 ▲ 张 (2)第n 个图案中有白色纸片 ▲ 张(3)从第1个图案到第100个图案,总共有白色纸片 ▲ 张11.如图所示,线段AB 与CD 都是⊙O 中的弦,其中108,,36,O O AB AB a CD CD b ====,则⊙O 的半径R= ▲12.阅读下列证明过程: 已知,如图四边形ABCD 中,AB =DC ,AC =BD ,AD ≠BC ,求证:四边形ABCD 是等腰梯形.第10题第11题第7题第8题第12题读后完成下列各小题.(1)证明过程是否有错误?如有,错在第几步上,答:▲.(2)作DE∥AB的目的是:▲.(3) 判断四边形ABED为平行四边形的依据是:▲.(4)判断四边形ABCD是等腰梯形的依据是▲.(5)若题设中没有AD≠BC,那么四边形ABCD一定是等腰梯形吗?为什么?答▲.乐清中学自主招生考试数学标准答案题号 1 2 3 4 5 6答案 A D A C C A二、填空题(本题共6小题,每小题5分,共30分.把答案填写在题中横线上)7. ______-1__________ 8.256 9.576或10.(1)13 (2)3n+1 (3)15250 11. a b ab12.(1)没有错误(2)为了证明AD∥BC(3) 一组对边平行且相等的四边形是平行四边形(4)梯形及等腰梯形的定义(5)不一定,因为当AD=BC时,四边形ABCD是矩形三、解答题(本题共5小题,共60分.解答应写出必要的计算过程、推演步骤或文字说明)13.(本小题10分)某公园门票每张10元,只供一次使用,考虑到人们的不同需求,也为了吸引更多游客,该公园除保留原有的售票方法外,还推出一种“购个人年票”的售票方法(个人年票从购买之日起,可供持票者使用一年)。
安徽省芜湖市第一中学2020-2021学年高一自主招生考试数学试题学校:___________姓名:___________班级:___________考号:___________A.E B.F3.已知圆O与直线l相切于点A,点沿圆周按逆时针方向以相同的速率运动,当点止运动,连接OQ,OP,则阴影部分的面积A .23B .22二、填空题8.关于x 的一元二次方程()2640x ax a -+-=的两个正实数根分别为12,x x ,且1228x x +=,则a 的值是__________.9.在分别标有号码2,3,4,,10 的9个球中,随机取出两个球,记下它们的标号,则较大标号被较小标号整除的概率为__________.10.在平面直角坐标系xOy 中,给出如下定义:对于点(),P x y ,若点Q 坐标为()2,2x y --,则称点Q 为点P 的“朋友点”.例如,点()3,2的“朋友点”为点()1,0.已知点M 的坐标为()1,2,点M 的“朋友点”为点1M ,点1M 的“朋友点”为点2M ,点2M 的“朋友点”为点3,M ,点2019M 的“朋友点”为点2020M ,则点2020M 的坐标是__________.11.因式分解:323832x x x -++=__________.12.已知二次函数2(0)y ax bx c a =++<的图象与x 轴交于不同的两点,A B C 为二次函数的图象的顶点,3AB =,若ABC 是边长为3的等边三角形,则=a __________.13.中医药,是包括汉族和少数民族医药在内的我国各民族医药的统称,反映了中华民族对生命健康和疾病的认识,具有悠久历史传统和独特理论及技术方法的医药学体系.三、解答题15.(1)已知103a =+,求函数5432767a a a a -+-+(1)请直接写出B C 两点的坐标,抛物线的解析式及顶点(2)设抛物线的对称轴交线段垂线,交线段BC 于点F (3)Q 是第一象限内抛物线上一点,连接两点的圆的切线交于点P ,连接AP ,分别与BC 和O 相交于 D 、E 两点.(1)若O 半径为5,3OM =,求PC 长;(2)求证:A 、O 、M 、E 四点共圆;(3)求证:AT 为MAE ∠平分线.参考答案:14D D 上的点在正视图中都对应点M ,直线34B C 上的点在俯视图中对应的点为∴在正视图中对应M ,在俯视图中对应N 的点是D如图4,如图所示:设圆心为O ,GH 与AB 交点为P ,连接PG 垂直平分NF ,OA OB ON ==,O ∴在PG 上,AP PB =设OG x =,则10OP PG OG x =-=-,在Rt APO 中,222OA AP OP =+,在Rt NGO 中,2ON NG =因为2(510)(10>故选:C5.C【分析】根据题意得到8.5【分析】由题得到韦达定理,结合已知得再检验即得解.中,在PAH和PQM,所以HM=≅PQMPQN≅(3)过点Q 向x 轴作垂线,交线段设200033,3,84Q x x x R ⎛⎫-++ ⎪⎝⎭则20033||82QR x x =-+,则S (4)由(3)知:(2,3Q 2,MM MN M N ='=',以于是CM MN NB SM ++=【点睛】关键点睛:解答本题的关键是熟练利用方程和函数的思想、数形结合的数学思想研究数学问题.求值一般利用方程的思想,求最值一般利用函数和数形结合思想18.(1)20 3(2)证明见解析(2)证明:因为OB 由切割线定理可得PB 又OPA EPM ∠∠=,所以故A 、O 、M 、E 四点共圆(3)证明:过点C 作。
2021高中高一自主招生数学试题1、已知,2a a a a =÷,求a 的值2、已知,x 、y 均为正数,且511=+++yx y x , 求y x +的最值3、设正数a 、b 满足111=+b a ,求aba b a 25++的最小值4、已知,122=+y x ,求22122-+-++-y x xy x x 的值5、如图,ABCD 为正方形,DE=5,EF=3, DF=4,求正方形的面积6、若5433=+y x ,求y x +的最大值7、若0=++c b a ,求abc c ac b b bc a a +++++222222222的值8、已知正数a 、b 满足14522=-+b ab a ,则22812b ab a -+的最小值是多少9、如图,在矩形ABCD 中,AB=3 ,AE=1, P 是AB 上一动点,EP EF ⊥,G 为PF 的中点,求点G 运动路径的长度10、如图,在ABC ∆中,090=∠ACB ,060=∠B ,CB=2 , D 为AB 上一动点,则2CD+AD 的最小值是多少11、如图,在矩形ABCD 中,AB=20, BC=10,若AC 、 AB 上各取一点M 、N ,使BM+MN 的值最小,求这个最小值。
12、如图,已知平行四边形ABCD ,a AB =,b BC =(b a >) P 为AB 边上的一动点,直线DP 交CB 延长线于Q ,求AP+BQ 的最小值13、等腰直角三角形ABC 中,090=∠ACB ,030=∠CAD ,AD = AC ,则∠DBC= .14、如图,在四边形ABCD 中,AD=DC=1 ,090=∠=∠DCB DAB ,BC 、AD 的延长线交于P ,求PAB S AB ∆⋅的最大值15、如图,求∠DAC 的度数16、如图,已知正方形ABCD 的边长为1,求阴影部分的面积17、自然数n 使得n 222118++是一个完全平方数,求n18、解方程:2213+=-+x x x19、已知1=xyz ,2=++z y x ,3222=++z y x ,求111111-++-++-+y xz x yz z xy 的值20、ABD ∆是等边三角形,在ABC ∆中,a BC = b CA = 问:当ACB ∠为何值时,CD 两点间的距离最大,最大值是多少21、如图,正方形ABCD 的对角线交于点O ,以AD 为边向外作ADE Rt ∆,090=∠AED ,连OE ,DE=6,OE=28,求AE 的长。
—1—2024初升高自主招生数学模拟试卷(一)1.方程43||||x x x x -=实数根的个数为()A .1B .2C .3D .42.如图,△ABC 中,点D 在BC 边上,已知AB =AD =2,AC =4,且BD :DC =2:3,则△ABC 是()A .锐角三角形B .直角三角形C .钝角三角形D .等腰三角形3.已知G 是面积为24的△ABC 的重心,D 、E 分别为边AB 、BC 的中点,则△DEG 的面积为()A .1B .2C .3D .44.如图,在Rt △ABC 中,AB =35,一个边长为12的正方形CDEF 内接于△ABC ,则△ABC 的周长为()A .35B .40C .81D .845.已知2()6f x x ax a =+-,()y f x =的图象与x 轴有两个不同的交点(x 1,0),(x 2,0),且1212383(1)()1)(16)(16)a a x x a x a x -=-++----,则a 的值是()A .1B .2C .0或12D .126.如图,梯形ABCD 中,AB //CD ,AB =a ,CD =b .若∠ADC =∠BFE ,且四边形ABFE 的面积与四边形CDEF 的面积相等,则EF 的长等于()A .2a b+B .abC .2ab a b +D .222a b +—2—7.在△ABC 中,BD 平分∠ABC 交AC 于点D ,CE 平分∠ACB 交AB 于点E .若BE +CD =BC ,则∠A 的度数为()A .30°B .45°C .60°D .90°8.设23a =,26b =,212c =.现给出实数a 、b 、c 三者之间所满足的四个关系式:①2a c b +=;②23a b c +=-;③23b c a +=+;④21b ac -=.其中,正确关系式的个数是()A .1B .2C .3D .49.已知m 、n 是有理数,方程20x mx n ++=2,则m +n =.10.正方形ABCD 的边长为5,E 为边BC 上一点,使得BE =3,P 是对角线BD 上的一点,使得PE +PC 的值最小,则PB =.11.已知x y ≠,22()()3x y z y z x +=+=.则2()z x y xyz +-=.12.如图,四边形ABCD 的对角线相交于点O ,∠BAD =∠BCD =60°,∠CBD =55°,∠ADB =50°.则∠AOB 的度数为.13.两个质数p 、q 满足235517p q +=,则p q +=.14.如图,四边形ABCD 是矩形,且AB =2BC ,M 、N 分别为边BC 、CD 的中点,AM 与BN 交于点E .若阴影部分的面积为a ,那么矩形ABCD 的面积为.第12题图第14题图15.设k 为常数,关于x 的方程2223923222k k x x k x x k --+=---有四个不同的实数根,求k 的取值范围.—3—16.已知实数a 、b 、c 、d 互不相等,并且满足1111a b c d x b c d a+=+=+=+=,求x 的值.17.已知抛物线2y x =与动直线(21)y t x c =--有公共点(x 1,y 1),(x 2,y 2),且2221223x x t t +=+-.(1)求t 的取值范围;(2)求c 的最小值,并求出c 取最小值时t 的取值.—4—18.如图,已知在⊙O 中,AB 、CD 是两条互相垂直的直径,点E 在半径OA 上,点F 在半径OB 延长线上,且OE=BF ,直线CE 、CF 与⊙O 分别交于点G 、H ,直线AG 、AH 分别与直线CD 交于点N 、M .求证:1DM DN MC NC-=.参考答案。
辽宁省 2021 年高一上学期期中数学试卷 B 卷姓名:________班级:________成绩:________一、 填空题 (共 14 题;共 15 分)1. (1 分) (2019 高三上·吴中月考) 函数 ,则 ________.是奇函数,当时,,且2. (1 分) (2019 高一上·汤原月考) 若函数 是________.的定义域是 R , 则实数 的取值范围3. (1 分) (2020 高二下·天津期中) 已知函数则的值是________.4. (1 分) (2020 高三上·深圳月考) 已知 则实数 x 的取值范围为________.,对任意的实数 a,b 都有成立,5. (1 分) 2﹣3 , , log25 三个数中最大数的是________ . 6. (1 分) (2018 高一上·河南月考) 下列结论:①y=πx 是指数函数②函数既是偶函数又是奇函数③函数的单调递减区间是④在增函数与减函数的定义中,可以把任意两个自变量”改为“存在两个自变量⑤与表示同一个集合⑥所有的单调函数都有最值其中正确命题的序号是________。
7. (1 分) (2020 高一上·天津月考) 设集合 个数为________.,B={x|1≤x≤5,x∈Z},则 A∩B 非空真子集8. (1 分) (2017 高一上·启东期末) 已知函数 y=f(x),x∈R,对于任意的 x,y∈R,f(x+y)=f(x)+f (y),若 f(1)= ,则 f(﹣2016)=________.9. (1 分) (2019 高三上·吴江月考) 函数第 1 页 共 16 页的定义域为________.10.(1 分)(2019·鞍山模拟) 若函数,则不等式的解集为________.11. (1 分) (2019 高一上·威远月考) 求函数的单减区间________.12. (1 分) (2016 高三上·浦东期中) 不等式的解集是________.13. (2 分) (2016 高一上·湖州期中) 已知函数 f(x)=(x﹣a)(x+2)为偶函数,若 g(x)=,则 a=________,g[g(﹣ )]=________14. (1 分) (2019 高三上·通州月考) 函数有两个零点,则 k 的取值范围是________.二、 解答题 (共 6 题;共 65 分)15. (10 分) (2019 高一上·汪清月考) 如图,一个圆锥的底面半径为 2cm,高为 6cm,其中有一个高为 xcm 的内接圆柱.(1) 试用 x 表示圆柱的侧面积; (2) 当 x 为何值时,圆柱的侧面积最大.16. (5 分) 已知函数 f(x)= 的值域为集合 B.的定义域为集合 A,函数 g(x)=( ) x , (﹣1≤x≤0)(1)求 A∩B;(2)若集合 C={x|a≤x≤2a﹣1},且 C∩B=C,求实数 a 的取值范围.17. (10 分) (2019·新乡模拟) 已知函数.第 2 页 共 16 页(1) 求的单调区间;(2) 当时,恒成立,求 的取值范围.18. (15 分) 某沿海地区养殖的一种特色海鲜上市时间仅能持续 5 个月,预测上市初期和后期会因供不应不 足使价格呈持续上涨态势,而中期又将出现供大于求使价格连续下跌.现有三种价格模拟函数:①;②;③.(以上三式中、 均为常数,且)(1) 为准确研究其价格走势,应选哪种价格模拟函数(不必说明理由)(2) 若,,求出所选函数8 月 1 日,表示 9 月 1 日,…,以此类推);的解析式(注:函数定义域是.其中表示(3) 在(2)的条件下研究下面课题:为保证养殖户的经济效益,当地政府计划在价格下跌期间积极拓宽外 销,请你预测该海鲜将在哪几个月份内价格下跌.19. (10 分) (2020 高二下·宿迁期末) 已知函数 一个条件,求出 的值,并解答后面的问题.,,从下面三个条件中任选①已知函数 ②已知函数,满足;在上的值域为③已知函数,若在定义域上为偶函数.(1) 证明在上的单调性;(2) 解不等式.20. (15 分) (2018·长宁模拟) 已知函数.(1) 求证:函数是偶函数;(2) 设,求关于 的函数在第 3 页 共 16 页时的值域的表达式;(3) 若关于 的不等式在时恒成立,求实数 的取值范围.第 4 页 共 16 页一、 填空题 (共 14 题;共 15 分)答案:1-1、 考点:参考答案解析:答案:2-1、 考点: 解析:答案:3-1、 考点:第 5 页 共 16 页解析: 答案:4-1、 考点: 解析:答案:5-1、 考点:第 6 页 共 16 页解析: 答案:6-1、 考点: 解析:答案:7-1、 考点:第 7 页 共 16 页解析: 答案:8-1、 考点:解析: 答案:9-1、 考点:解析: 答案:10-1、 考点:第 8 页 共 16 页解析: 答案:11-1、 考点:解析: 答案:12-1、 考点:解析:第 9 页 共 16 页答案:13-1、 考点: 解析:答案:14-1、 考点: 解析:第 10 页 共 16 页二、解答题 (共6题;共65分)答案:15-1、答案:15-2、考点:解析:答案:16-1、考点:解析:答案:17-1、答案:17-2、考点:解析:答案:18-1、答案:18-2、答案:18-3、考点:解析:答案:19-1、答案:19-2、考点:解析:答案:20-1、答案:20-2、答案:20-3、考点:解析:。
辽宁省2020版高一上学期数学期中考试试卷B卷姓名:________ 班级:________ 成绩:________一、单选题 (共12题;共24分)1. (2分)已知集合则()A .B .C .D .2. (2分) (2020高一上·郑州期中) 下列各组函数中表示同一函数的是()A . ,B . ,C . ,D . ,3. (2分) (2019高三上·黄山月考) 函数f(x)=的定义域为()A . (0,2)B . [0,2]C . (0,2]D . [0,2)4. (2分)(2017·黑龙江模拟) 设函数f(x)= ,则f(27)+f(﹣log43)的值为()A . 6B . 9C . 10D . 125. (2分)定义域为R的函数f(x)=ax2+b|x|+c有四个单调区间,则实数a,b,c满足()A .B .C .D .6. (2分)若函数f(x)=2x3﹣3mx2+6x在区间(2,+∞)上为增函数,则实数m的取值范围是()A . (﹣∞,2)B . (﹣∞,2]C . (﹣∞,)D . (﹣∞,]7. (2分)(2018·安徽模拟) 下列四个命题:;;;.其中的真命题是()A . ,B . ,C . ,D . ,8. (2分) (2019高一上·浙江期中) 函数(且)的图象不可能是()A .B .C .D .9. (2分)函数f(x)=x3+3x﹣1在以下哪个区间一定有零点()A . (﹣1,0)B . (0,1)C . (1,2)D . (2,3)10. (2分) (2015高二上·怀仁期末) 已知P(x,y)为函数y=xsinx+cosx上的任意一点,f(x)为该函数在点P处切线的斜率,则f(x)的部分图象是()A .B .C .D .11. (2分) (2019高一上·镇海期中) 已知函数,函数有四个不同的零点,从小到大依次为,,,,则的取值范围为()A .B .C .D .12. (2分)函数在区间上的最大值为2,则实数a的值为()A . 1或B .C .D . 1或二、填空题 (共6题;共6分)13. (1分)对于任意x,[x]表示不超过x的最大整数,如[1.1]=1,[﹣2.1]=﹣3.定义R上的函数f(x)=[2x]+[4x]+[8x],若A={y|y=f(x),0≤x≤1},则A中所有元素的和为________ .14. (1分)已知定义在R上的函数f(x)的图象关于原点对称,当x>0时,有f(x)=2x﹣log3(x2﹣3x+5),则f(﹣2)=________.15. (1分) (2020高三上·双鸭山开学考) 若幂函数f(x)=(m2﹣5m+7)xm在R上为增函数,则=________.16. (1分) (2018高一上·浙江期中) ________;________17. (1分)(2016·温岭模拟) 设f(x)= 则f(f(2))的值为________;若f(x)=a 有两个不等的实数根,则实数a的取值范围为________.18. (1分) (2019高三上·淮安期中) 函数的定义域是________.三、解答题 (共5题;共50分)19. (10分) (2018高一上·黑龙江期中) 求下列各式的值.(1);(2) .20. (5分)已知集合A={x|x2+3x+2<0,或x>0},B={x|a≤x≤b},满足A∩B={x|0<x≤2},A∪B={x|x>﹣2},求a,b的值.21. (15分) (2016高一上·东营期中) 已知函数f(x)是奇函数,g(x)是偶函数,且在公共定义域{x|x∈R 且x≠±1}上满足f(x)+g(x)= .(1)求f(x)和g(x)的解析式;(2)设h(x)=f(x)﹣g(x),求h();(3)求值:h(2)+h(3)+h(4)+…+h(2016)+h()+h()+h()+…+h().22. (10分) (2019高一上·哈尔滨期中) 已知函数的图象过点,且对任意实数都成立,函数与的图象关于原点对称.(1)求与的解析式;(2)若在上是增函数,求实数的取值范围.23. (10分) (2019高一上·宁波期中) 已知函数(其中常数,且,均不为1)的图象经过点, .(1)求函数的解析式;(2)若关于的方程在区间上有两个不相等的实数根,求实数的取值范围.参考答案一、单选题 (共12题;共24分)答案:1-1、考点:解析:答案:2-1、考点:解析:答案:3-1、考点:解析:答案:4-1、考点:解析:答案:5-1、考点:解析:答案:6-1、考点:解析:答案:7-1、考点:解析:答案:8-1、考点:解析:答案:9-1、考点:解析:答案:10-1、考点:解析:答案:11-1、考点:解析:答案:12-1、考点:解析:二、填空题 (共6题;共6分)答案:13-1、考点:解析:答案:14-1、考点:解析:答案:15-1、考点:解析:答案:16-1、考点:解析:答案:17-1、考点:解析:答案:18-1、考点:解析:三、解答题 (共5题;共50分)答案:19-1、答案:19-2、考点:解析:答案:20-1、考点:解析:答案:21-1、答案:21-2、答案:21-3、考点:解析:答案:22-1、答案:22-2、考点:解析:答案:23-1、答案:23-2、考点:解析:。
师大附中高一自主招生考试数学测试题本卷满分150分 考试时间100分钟题号 一 二 三总 分 复 核 1 2 3 4 5 得分 阅卷教师一、选择题(每小题6分,共30分。
每小题均给出了代号为A 、B 、C 、D 的四个选项,其中有且只有一个选项是正确的。
请将正确选项的代号填入题后的括号里,不填、多填或错填均得0分)一、选择题(每小题5分,满分40分。
以下每小题均给出了代号为A ,B ,C ,D 的四个1、已知四边形1S 的两条对角线相等,但不垂直,顺次连结1S 各边中点得四边形2S ,顺次连结2S 各边中点得四边形3S ,以此类推,则2006S 为( )A .是矩形但不是菱形; B. 是菱形但不是矩形; C.既是菱形又是矩形; D.既非矩形又非菱形. 2、方程1)1(32=-++x x x 的所有整数解的个数是( ) A..5个 B.4个 C.3个 D.2个3、若1xy ≠,且有272009130x x ++=及213200970y y ++=,则xy的值是 ( ) A .137 B .713 C .20097- D .200913- 4.如图,△AOB 和△ACD 均为正三角形,且顶点B 、D 均在双曲线)0(4>=x xy 上,则图中S △OBP = .A .32B .33C .34D .4二、填空题(每小题6分,共36分)(3)=33134=+,f (13)=1131413=+, 1、对于正数x ,规定f (x )=x1x+,例如f 计算f (12006)+ f (12005)+ f (12004)+ …f (13)+ f (12)+ f (1)+ f (1)+ f (2)+ f (3)+ … + f (2004)+ f (2005)+ f (2006)= .2、函数y =224548x x x x +++-+的最小值是____________3.=+++34716251 .三、解答题(共6题,10+10+13+13+15+15=74分)15、已知关于x 的方程022=-++a a x x 和0)2)(12()13(2=-++--a a x a x 。
2021年高一上学期国庆自主学习情况调查数学试题含答案一、填空题:本大题共14小题;每小题5分,共70分.1.如果全集,,,那么()等于▲.2.右边图中阴影部分表示的集合是▲3.下列各组函数中,表示同一函数的序号是▲①和②和③和④和4.已知集合{}{}42,,222+==∈++-==xyxNRxxxyyM,那么集合为▲.5.下列四个图像中,表示是函数图像的序号是▲.6.函数的定义域为▲7.设A={x| 1<x<4},B={x|x-a<0},若AB,则a的取值范围是_____▲________ 8.已知函数,则▲.9.若函数是偶函数,则函数的单调递减区间是▲10.若函数为奇函数,则实数的值是▲.11.若函数的最小值为2,则函数的最小值为▲12.已知奇函数的定义域为,在y轴右侧的图像如图,且则不等式的解集为▲.UA B13.若的定义域和值域都是[1,],则▲;14. 函数满足对任意都有成立,则的取值范围是▲ .二、解答题:本大题共6小题;共90分.15、(本题满分14分)已知集合, ,且,求a的值.(答案写在答卷纸上相应的位置)16、(本题满分14分)已知全集为U=,,,求:(1),;(2),.(答案写在答卷纸上相应的位置)17、(本题满分14分)已知函数(1)设集合,求集合;(2)若,求的值域;(3)画出的图象,写出其单调区间。
(答案写在答卷纸上相应的位置)18、(本题满分16分)某产品生产厂家根据以往的生产销售经验得到下面有关生产销售的统计规律:每生产产品(百台),其总成本为(万元),其中固定成本为2.8万元,并且每生产1百台的生产成本为1万元(总成本=固定成本+生产成本).销售收入(万元)满足,假定该产品产销平衡(即生产的产品都能卖掉),根据上述统计规律,请完成下列问题:(1)写出利润函数的解析式(利润=销售收入-总成本);(2)工厂生产多少台产品时,可使盈利最多?(答案写在答卷纸上相应的位置)19、(本题满分16分)已知函数(Ⅰ)当时,利用函数单调性的定义证明在区间上是单调减函数;(Ⅱ)若函数在区间上是单调增函数,求实数的取值范围。
2021年高一数学上学期10月自主抽验试题
考生注意:
1、本试卷共150分,考试时间120分钟。
2、请将各题答案填在试卷后面的答题卷上。
3、本试卷注意考试内容:高考全部内容。
第Ⅰ卷
一、选择题(本大题共12个小题,每小题5分,共60分,在每小题给出的四个选项中,只有一项是符合题目要求的)
A.B.C.D.
A.B.C.D.
A.B.C.D.
A.B.C.D.
A.B.C.D.A.B.C.D.A.B.C.D.
A.B.C.D.A.B.C.D.A.B.C.D.
A.B.C.D.
A.B.C.D.
A.B.C.D.
第Ⅱ卷
二、填空题:本大题共4小题,每小题5分,共20分,把答案填在答题卷的横线上。
.
三、解答题:本大题共5小题,满分65分,解答应写出文字说明、证明过程或演算步骤
17、(本小题满分12分)
(1)
(2)
18、(本小题满分12分)
(1)
(2)
19、(本小题满分12分)
(1)
(2)
20、(本小题满分12分)
(1)
(2)
21、(本小题满分12分)
(1)
(2)
22、(本小题满分12分)
(1)
(2)
23、(本小题满分12分)。
高一数学 IV 自主学习诊疗一、 填空题(每题5 分,共 60 分)1、 已知 sin (5+ )= 1,则 cos 。
2 32、 不等式 x 3 3 x 的解集为。
3、 设 x, y, z R, 若 2x 3 y z3 ,则 x 2( y 1)2z 2 之最小值为,又此时 y。
4、 已知对于 x 的不等式x 3x4a 的解集不是空集,则实数a 的取值范围是。
5、 已知 2sincos0 ,求23sin cos2。
2sin5cos 6、 已知 2 弧度的圆心角所对的弦长为 2,那么这个圆心角所对的弧长是 。
7、 已知 2sincos2 (0) ,则 tan。
38、 设 0 t, a 是 大 于 0 的 常 数 , f (t ) 1 a的最小值是 16,则1 cost2cost a。
29、 函数4 x22 x 5 ( x 1) 的最小值是。
xx 110、 已知函数 y sin[2( x) ] 是偶函数,且 0,则。
3211、 x, y, z R, x 2 y 3z 0 ,则y的最下值是。
xz12、 已知函数 f (x)2 sin(2 x) ,有以下四个结论:4①函数 f ( x) 在区间 3上是增函数;,88②点3,0 是函数 f (x) 图像的一个对称中心;8③函数 f ( x) 的图像能够由函数 y2 sin 2 x 的图像向左平移4获得;④若 x0,2 ,则函数 f (x) 的值域为0, 2 。
则全部正确结论的序号是。
二、 解答题(共 3 小题,共 40 分)13、 已知函数 f (x) cosx(0, 0) 的最小周期为,且 f ()3 。
242(1)(5 分)求函数 y f (x) 分析式,并写出周期、振幅;(2)(5 分)求函数 yf (x) 的单一递减区间;( 3)( 3 分)经过列表描点的方法, 在给定坐标中作出函数f (x) 在 0, 上的图像。
14、 已知等差数列 a n 的公差为 2,前 n 项和为 S n ,且 S 1 , S 2 ,S 4 成等差数列。
高一数学上学期自主学习一、填空题(本大题包括14小题;每小题5分,满分70分)1.已知2()f x x px q =++满足(1)(2)0f f ==,则(1)f -=2.已知函数)1(,12)(2++=x f x x f 则函数的值域为3. 函数[)+∞∈-=,1,2)(2x ax x x f 是增函数,则实数a 的取值范围是4.设)(x f y =在[]1,0∈x 上的图象如上右图所示,且)(x f 满足)1()1(x f x f +=-,则)(x f在[ 1,2 ]上的解析式为5. 函数],0[,4)(2a x x x x f ∈-=的值域是]0,4[-,则a 的取值范围为6. 函数2 3 (02)[1,1]y x ax a =++<<-在上的最大值是7. 已知22121()2f x x x x x x -=+-+,则()f x =8.已知函数()224,0,4,0.x x x f x x x x ⎧+≥=⎨-<⎩ 若()()22f a f a ->,则实数a 的取值范围是 9.函数22y ax x =-图象上有且仅有两个点到x 轴的距离等于1,则a 的取值范围是10.若函数y =R ,则实数m 的取值范围是 .11. 函数24y x ax =-+在区间[]2,4上为单调函数,则实数a 的取值范围是12.函数b a bx ax x f +++=3)(2[](1,2)x a a ∈-的图象关于y 轴对称,则)(x f 的值域为13.规定记号”△”表示一种运算,即a b a b ∆=++,其中,a b 为正实数,若13k ∆=, 则函数()f x k x =∆的值域是14.已知t 为常数,函数t x x y --=22,当03x ≤≤时,y 的最大值为2,则t =______填空题答案填写处:1. . 2. . 3. . 4. .5. . 6. . 7. . 8. .9. . 10. . 11. . 12. .13. . 14. .二、解答题(本大题包括3小题;每小题10分,满分30分)解答时要有答题过程!15.用单调性定义证明:函数22()f x x x =+在区间()0,1内单调递减。
2011-2012学年江苏省徐州一中高一(上)自主学习数学试卷(3)一、填空题(本大题包括14小题;每小题5分,满分70分)1.(5分)已知f(x)=x2+ax+b,满足f(1)=0,f(2)=0,则f(﹣1)=_________.2.(5分)已知函数f(x)=2x+1,则函数f(x2+1)的值域为_________.3.(5分)函数f(x)=x2﹣2ax,x∈[1,+∞)是增函数,则实数a的取值范围是_________.4.(5分)设y=f(x)在x∈[0,1]上的图象如图所示,且f(x)满足f(1﹣x)=f(1+x),则f(x)在[1,2]上的解析式为_________.5.(5分)函数f(x)=x2﹣4x,x∈[0,a]的值域是[﹣4,0],则a的取值范围为_________.6.(5分)函数y=x2+ax+3(0<a<2)在[﹣1,1]的最大值是_________,最小值是_________.7.(5分)已知,则f(x)=_________.8.(5分)已知函数f(x)=若f(2﹣a2)>f(a),则实数a的取值范围为_________.9.(5分)(2009•黄冈模拟)函数y=ax2﹣2x图象上有且仅有两个点到x轴的距离等于1,则a的取值范围是_________.10.(5分)若函数的定义域为R,则实数m的取值范围是_________.11.(5分)函数y=﹣x2+4ax在区间[2,4]上为单调函数,则实数a的取值范围是_________.12.(5分)函数f(x)=ax2+bx+3a+b(x∈[a﹣1,2a])的图象关于y轴对称,则f(x)的值域为_________.13.(5分)(2011•安徽模拟)规定符号“△”表示一种运算,即,其中a、b∈R+;若1△k=3,则函数f (x)=k△x的值域_________.14.(5分)(2008•浙江)已知t为常数,函数y=|x2﹣2x﹣t|在区间[0,3]上的最大值为2,则t=_________.二、解答题(本大题包括3小题;每小题10分,满分30分)解答时要有答题过程!15.(10分)用单调性定义证明:函数在区间(0,1)内单调递减.16.(10分)已知函数y=f(x)=x2+ax+3在区间[﹣1,1]上的最小值为﹣3,求实数a的值.17.(10分)(2013•嘉定区一模)已知a∈R,函数f(x)=x|x﹣a|,(Ⅰ)当a=2时,写出函数y=f(x)的单调递增区间;(Ⅱ)当a>2时,求函数y=f(x)在区间[1,2]上的最小值;(Ⅲ)设a≠0,函数f(x)在(m,n)上既有最大值又有最小值,请分别求出m、n的取值范围(用a表示).2011-2012学年江苏省徐州一中高一(上)自主学习数学试卷(3)参考答案与试题解析一、填空题(本大题包括14小题;每小题5分,满分70分)1.(5分)已知f(x)=x2+ax+b,满足f(1)=0,f(2)=0,则f(﹣1)=6.考点:二次函数的性质.专题:计算题.分析:由题设可知,由此能求出f(x)=x2﹣3x+2,进而能够求出f(﹣1).解答:解:∵f(x)=x2+ax+b,满足f(1)=0,f(2)=0,∴,解得a=﹣3,b=2.∴f(x)=x2﹣3x+2,∴f(﹣1)=1+3+2=6.故答案为:6.点评:本昰考查二次函数的性质和应用,解题时要认真审题,合理地建立方程组,先求出f(x),再解f(﹣1).2.(5分)已知函数f(x)=2x+1,则函数f(x2+1)的值域为[3,+∞).考点:函数的值域.专题:计算题.分析:根据已知函数先求出函数f(x2+1),再求出函数的值域即可.解答:解:因为函数f(x)=2x+1所以函数f(x2+1)=2(x2+1)+1=2x2+3因为x2≥0所以f(x2+1)=2x2+3≥3所以函数f(x2+1)的值域为[3,+∞)故答案为:[3,+∞)点评:本题以已知函数为载体,考查二次函数的值域,关键是确定函数的解析式,利用二次函数最值的求解方法求函数的值域.3.(5分)函数f(x)=x2﹣2ax,x∈[1,+∞)是增函数,则实数a的取值范围是(﹣∞,1].考点:二次函数的性质.专题:计算题.分析:f(x)=x2﹣2ax开口向上,对称轴方程x=a,由x∈[1,+∞)是增函数,可得到a所满足的不等式,从而求出实数a的取值范围.解答:解:∵f(x)=x2﹣2ax,∴抛物线开口向上,对称轴方程x=a,∵x∈[1,+∞)是增函数,∴a≤1.故答案为:(﹣∞,1].点评:本题考查二次函数的性质的应用,解题时要认真审题,仔细解答,注意对称轴和抛物线单调区间的关系的应用.4.(5分)设y=f(x)在x∈[0,1]上的图象如图所示,且f(x)满足f(1﹣x)=f(1+x),则f(x)在[1,2]上的解析式为f(x)=x,x∈[1,2].考点:函数解析式的求解及常用方法.专题:计算题.分析:从要求的结论f(x)在[1,2]上的解析式不难知道:本题需要知道利用函数的对称性,恰好题中给出了条件f (1﹣x)=f(1+x),因此可知函数的对称性,所以只需求出f(x)在[0,1]上的解析式即可求解.解答:解:由图知,f(x)在[0,1]上的图象是过两点(1,1),(0,2)的线段,斜率为﹣1,在y轴上的截距为2,其解析式为:f(x)=﹣x+2,x∈[0,1];∵f(x)满足f(1﹣x)=f(1+x),可得f(x)=f(﹣x+2),当1≤x≤2时,0≤﹣x+2≤1,∴f(﹣x+2)=﹣(﹣x+2)+2=x,∴f(x)=x,x∈[1,2];故答案为:f(x)=x,x∈[1,2].点评:本题是中档题.考查函数解析式的求解及常用方法、函数的对称性,是道综合题,其中探讨函数的对称性是难点.5.(5分)函数f(x)=x2﹣4x,x∈[0,a]的值域是[﹣4,0],则a的取值范围为[2,4].考点:二次函数在闭区间上的最值.专题:计算题.分析:由已知函数的解析式,我们可以判断出函数图象的形状,单调性及最值,根据函数f(x)=x2﹣4x,x∈[0,a]的值域是[﹣4,0],易结合二次函数的图象和性质得到答案.解答:解:∵函数f(x)=x2﹣4x的图象是开口方向朝上,以直线x=2为对称轴的抛物线;在区间[0,2]上是减函数,在[2,+∞)上是增函数,且f(0)=f(4)=0,f(x)min=f(2)=﹣4,若定义域为[0,a],值域为[﹣4,0],则2≤a≤4故答案为:[2,4].点评:本题考查的知识点是二次函数的性质,其中根据已知条件确定二次函数的图象和性质,是解答本题的关键.6.(5分)函数y=x2+ax+3(0<a<2)在[﹣1,1]的最大值是4+a,最小值是.考点:函数的最值及其几何意义.专题:计算题;数形结合.分析:函数y=x2+ax+3(0<a<2)的对称轴为x=﹣∈(﹣1,0),其图象开口向上,故最大值为y,最小值为(1)解答:解:函数y=x2+ax+3(0<a<2)的对称轴为x=﹣∈(﹣1,0),其图象开口向上,故最大值在x=1时取到,其值为4+a,最小值在x=﹣处取到,其值为,故答案为:4+a,点评:本题考点是函数的最值及其几何意义,考查由图象特征判断并求出函数的最大值与最小值,二次函数在闭区间上的最值问题是高考的热点,做完本题后应认真总结本题的做题规律.7.(5分)已知,则f(x)=x2+2x+2.考点:函数解析式的求解及常用方法.专题:计算题.分析:把式子分组,然后凑完全平方式,最后把原来的换为x即可.解答:解:因为==所以f(x)=x2+2x+2.故答案为:x2+2x+2.点评:本题主要考查凑完全平方式,拼凑法求函数解析式.8.(5分)已知函数f(x)=若f(2﹣a2)>f(a),则实数a的取值范围为(﹣2,1).考点:分段函数的解析式求法及其图象的作法;二次函数的性质.专题:计算题.分析:先根据二次函数的解析式分别研究分段函数在各自区间上的单调性,从而得到函数f(x)的单调性,由此性质转化求解不等式,解出参数范围即可.解答:解:函数f(x),当x≥0 时,f(x)=x2+4x,由二次函数的性质知,它在[0,+∞)上是增函数,当x<0时,f(x)=4x﹣x2,由二次函数的性质知,它在(﹣∞,0)上是增函数,该函数连续,则函数f(x)是定义在R 上的增函数∵f(2﹣a2)>f(a),∴2﹣a2>a解得﹣2<a<1实数a 的取值范围是(﹣2,1)故答案为:(﹣2,1)点评:本题是奇偶性与单调性结合的一类最主要的题型,利用单调性将不等式f(2﹣a2)>f(a)转化为一元二次不等式,求出实数a 的取值范围,属于中档题.9.(5分)(2009•黄冈模拟)函数y=ax2﹣2x图象上有且仅有两个点到x轴的距离等于1,则a的取值范围是a>1或a=0或a<﹣1.考点:二次函数的图象.专题:数形结合;分类讨论.分析:将a分成a=0,a>0,与a<0三种情形分别研究,再结合图象,把握解题的实质,建立关系式,解之即可.解答:解:当a=0时,函数y=﹣2x图象上有且仅有两个点到x轴的距离等于1,满足条件当a>0时,使函数的最小值即a>1当a<0时,使函数的最大值,即a<﹣1综上所述:a的取值范围是a>1或a=0或a<﹣1故答案为:a>1或a=0或a<﹣1点评:本题考查了二次函数的图象,通过讨论开口方向,数形结合有助于我们的解题,形象直观.10.(5分)若函数的定义域为R,则实数m的取值范围是.考点:二次函数的性质;一元二次方程的根的分布与系数的关系.专题:计算题.分析:函数的定义域为R等价于mx2﹣6x+2≥0的解集为R,所以,由此能求出实数m的取值范围.解答:解:当m=0时,不符合题意当m≠0时,∵函数的定义域为R,∴mx2﹣6x+2≥0的解集为R,∴,解得m.故答案为:[).点评:本题考查函数的定义域的逆运算,解题时要认真审题,注意二次函数的性质和一元二次不等式的性质的灵活运用.11.(5分)函数y=﹣x2+4ax在区间[2,4]上为单调函数,则实数a的取值范围是a≤1或a≥2.考点:二次函数的性质.专题:计算题.分析:由已知中函数的解析式y=﹣x2+4ax,根据二次函数的图象和性质,判断出函数y=﹣x2+4ax在区间(﹣∞,2a]为增函数,在区间[2a,+∞)上为减函数,由函数y=﹣x2+4ax在区间[2,4]上为单调函数,可得区间在对称轴的同一侧,进而构造关于a的不等式,解不等式即可得到实数a的取值范围.解答:解:∵函数y=﹣x2+4ax的图象是开口方向朝下,且以x=2a为对称轴的抛物线故函数y=﹣x2+4ax在区间(﹣∞,2a]为增函数,在区间[2a,+∞)上为减函数若函数y=﹣x2+4ax在区间[2,4]上为单调函数,则2a≤2,或2a≥4解得a≤1或a≥2故答案为:a≤1或a≥2点评:本题考查的知识点是二次函数的性质,其中根据函数y=﹣x2+4ax在区间[2,4]上为单调函数,判断出区间在对称轴的同一侧,进而构造关于a的不等式是解答本题的关键.12.(5分)函数f(x)=ax2+bx+3a+b(x∈[a﹣1,2a])的图象关于y轴对称,则f(x)的值域为.考点:二次函数的性质;二次函数在闭区间上的最值.专题:计算题.分析:由题意可知函数一定为二次函数即a≠0,图象关于y轴对称可判断出b=0,即函数解析式化简成f(x)=ax2+3a,由定义域[a﹣1,2a]关于Y轴对称,得出a的值,求f(x)的值域.解答:解:由题意可知函数一定为二次函数即a≠0,而图象关于y轴对称可判断出b=0,即函数解析式化简成f(x)=ax2+3a.由定义域[a﹣1,2a]关于Y轴对称,故有a﹣1+2a=0,得出a=,即函数解析式化简成f(x)=x2+1,x∈[﹣,]f(x)的值域为[1,].故答案为:[1,].点评:此题主要考查函数二次函数图象对称的性质以及二次函数的值域的求法,求解的关键是熟练掌握二次函数的性质,本题理解对称性很关键.13.(5分)(2011•安徽模拟)规定符号“△”表示一种运算,即,其中a、b∈R+;若1△k=3,则函数f (x)=k△x的值域[1,+∞).考点:函数的值域.专题:计算题;压轴题.分析:先根据1△k=,求得,进而求得k.把k代入f(x)=k△x得出f(x)=+x+1,进而可求得函数f(x)的定义域,再利用配方法求得函数f(x)的值域.解答:解:1△k=,解得=1,∴k=1∴f(x)=k△x==+x+1对于需x≥0,∴对于f(x)=+x+1=(+)2+≥1故函数f(x)的值域为[1,+∞)故答案为:[1,+∞)点评:本题主要考查了函数的值域的问题,以及考查阅读题意的能力,属于创新题.14.(5分)(2008•浙江)已知t为常数,函数y=|x2﹣2x﹣t|在区间[0,3]上的最大值为2,则t=1.考点:分段函数的解析式求法及其图象的作法.专题:压轴题.分析:本题应先画出函数的大体图象,利用数形结合的方法寻找解题的思路.画出大体图象后不难发现函数的最大值只能在x=1或x=3处取得,因此分情况讨论解决此题.解答:解:记g(x)=x2﹣2x﹣t,x∈[0,3],则y=f(x)=|g(x)|,x∈[0,3]f(x)图象是把函数g(x)图象在x轴下方的部分翻折到x轴上方得到,其对称轴为x=1,则f(x)最大值必定在x=3或x=1处取得(1)当在x=3处取得最大值时f(3)=|32﹣2×3﹣t|=2,解得t=1或5,当t=5时,此时,f(0)=5>2不符条件,当t=1时,此时,f(0)=1,f(1)=2,符合条件.(2)当最大值在x=1处取得时f(1)=|12﹣2×1﹣t|=2,解得t=1或﹣3,当t=﹣3时,f(0)=3>2不符条件,当t=1此时,f(0)=1,f(1)=2,符合条件.综上t=1时故答案为:1.点评:本题主要考查二次函数的图象性质和绝对值对函数图象的影响变化.二、解答题(本大题包括3小题;每小题10分,满分30分)解答时要有答题过程!15.(10分)用单调性定义证明:函数在区间(0,1)内单调递减.考点:函数单调性的判断与证明.专题:证明题.分析:任取区间(0,1)内两个实数x1,x2,且x1<x2,进而根据函数,作差f(x1)﹣f(x2),分解因式后,根据实数的性质,判断f(x1)﹣f(x2)的符号,进而根据函数单调性的定义,即可得到结论.解答:证明:任取区间(0,1)内两个实数x1,x2,且x1<x2则x1+x2<2<,即x1+x2﹣<0,x1﹣x2<0 则f(x1)﹣f(x2)=()﹣()=(x1+x2﹣)(x1﹣x2)>0即f(x1)>f(x2)故函数在区间(0,1)内单调递减点评:本题考查的知识点是函数单调性的判断与证明,其中对作差后的式子,进行因式分解,是利用定义法(作差法)证明函数单调性的难点.16.(10分)已知函数y=f(x)=x2+ax+3在区间[﹣1,1]上的最小值为﹣3,求实数a的值.考点:二次函数在闭区间上的最值.专题:计算题;分类讨论.分析:函数f(x)=x2+ax+3在区间[﹣1,1]上有最小值3,对函数进行配方,对对称轴是否在区间内进行讨论,从而可知函数在何处取得最小值,利用最小值为3建立方程,解出相应的a的值.解答:解:,(1),解得:a=7(2)当,即﹣2≤a≤2时,,解得(舍去)(3)当,即a<﹣2时,y min=f(1)=4+a=﹣3,解得:a=﹣7.综合(1)(2)(3)可得:a=±7.点评:考查二次函数在闭区间上的最值问题中的动轴定区间上的最值问题,体现了分类讨论和运动变化的思想方法,属中档题.17.(10分)(2013•嘉定区一模)已知a∈R,函数f(x)=x|x﹣a|,(Ⅰ)当a=2时,写出函数y=f(x)的单调递增区间;(Ⅱ)当a>2时,求函数y=f(x)在区间[1,2]上的最小值;(Ⅲ)设a≠0,函数f(x)在(m,n)上既有最大值又有最小值,请分别求出m、n的取值范围(用a表示).考点:函数的最值及其几何意义;函数的单调性及单调区间.专题:综合题;数形结合;转化思想;数形结合法;综合法.分析:(I)将a=2代入函数的解析得出f(x)=x|x﹣2|,将其变为分段函数,利用二次函数的图象与性质研究其单调性即可(Ⅱ)当a>2时,函数y=f(x)在区间[1,2]上解析式是确定的,去掉绝对号后根据二次函数的性质确定其单调性,再求最值.(Ⅲ)a≠0,函数f(x)在(m,n)上既有最大值又有最小值说明在函数最值不在区间端点处取得,在这个区间内必有两个极值,由函数的性质确定出极值,由于极值即为最值,故可借助函数的图象得m、n的取值范围.解答:解:(Ⅰ)当a=2时,f(x)=x|x﹣2|=由二次函数的性质知,单调递增区间为(﹣∞,1],[2,+∞)(开区间不扣分)(Ⅱ)因为a>2,x∈[1,2]时,所以f(x)=x(a﹣x)=﹣x2+ax=当1<≤,即2<a≤3时,f(x)min=f(2)=2a﹣4当,即a>3时,f(x)min=f(1)=a﹣1∴(Ⅲ)①当a>0时,图象如上图左所示由得∴,②当a<0时,图象如上图右所示由得∴,点评:本题考点是函数的最值及其几何意义,综合考查了二次函数的图象,最值等知识以及配方法求最值的技巧.解题时数形结合,转化灵活,综合性很强.。