高中数学复合函数常考题型2018高三专题复习-函数
- 格式:doc
- 大小:466.66 KB
- 文档页数:5
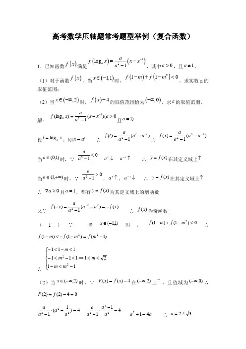
高考数学压轴题常考题型举例(复合函数)1.已知函数()f x 满足()()12log 1a a f x x x a -=--,其中0>a ,且1≠a 。
(1)对于函数()f x ,当()1,1x ∈-时,()()2110f m f m -+-<,求实数m 的取值范围;(2)当(),2x ∈-∞时,()4f x -的取值范围恰为(),0-∞,求a 的取值范围。
解: 0)((1)(log 12>--=-a x x a a x f a 且)1≠a设x t a log =,则t a x = ∴)(1)(2t t a a a a t f ---=∴ )(1)(2x x a a a a x f ---= 当)1,0(∈a 时,∵ 012<-a a x a ↓ x a -↑ ∴ )(x f y =在其定义域上↑当),1(+∞∈a 时,∵ 012>-a a ,x a ↑,x a -↓ ∴ )(x f y =在其定义域上↑∴ 0>∀a 且1≠a ,都有)(x f y =为其定义域上的增函数又∵)()(1)(2x f a a a a x f x x -=--=-- ∴ )(x f 为奇函数 (1)∵ 当)1,1(-∈x 时,0)1()1(2<-+-m f m f ∴ )1()1()1(22-=--<-m f m f m f∴ ⎪⎩⎪⎨⎧-<-<<⇒<-<-<-<-112111111122m m m m m(2)当)2,(-∞∈x 时,∵ 4)()(-=x f x F 在)2,(-∞上↑,且值域为)0,(-∞∴ 04)2()2(=-=f F4)1(1222=-⋅-a a a a 411242=-⋅-a a a a a a 412=+ ∴ 32±=a例 2. 函数()f x 是()1101x y x R =-∈+的反函数,()g x 的图象与函数431xy x -=-的图象关于直线1-=x y 成轴对称图形,记()()()F x f x g x =+。
复合函数问题一、复合函数定义: 设y=f(u)的定义域为A ,u=g(x)的值域为B ,若A ⊇B ,则y 关于x 函数的y=f [g(x)]叫做函数f 与g 的复合函数,u 叫中间量.二、复合函数定义域问题:(1)、已知f x ()的定义域,求[]f g x ()的定义域思路:设函数f x ()的定义域为D ,即x D ∈,所以f 的作用范围为D ,又f 对g x ()作用,作用范围不变,所以D x g ∈)(,解得x E ∈,E 为[]f g x ()的定义域。
例1. 设函数f u ()的定义域为(0,1),则函数f x (ln )的定义域为_____________。
解析:函数f u ()的定义域为(0,1)即u ∈()01,,所以f 的作用范围为(0,1) 又f 对lnx 作用,作用范围不变,所以01<<ln x 解得x e ∈()1,,故函数f x (ln )的定义域为(1,e )例2. 若函数f x x ()=+11,则函数[]f f x ()的定义域为______________。
解析:先求f 的作用范围,由f x x ()=+11,知x ≠-1即f 的作用范围为{}x R x ∈≠-|1,又f 对f(x)作用所以f x R f x ()()∈≠-且1,即[]f f x ()中x 应满足x f x ≠-≠-⎧⎨⎩11()即x x ≠-+≠-⎧⎨⎪⎩⎪1111,解得x x ≠-≠-12且故函数[]f f x ()的定义域为{}x R x x ∈≠-≠-|12且 (2)、已知[]f g x ()的定义域,求f x ()的定义域思路:设[]f g x ()的定义域为D ,即x D ∈,由此得g x E ()∈,所以f 的作用范围为E ,又f 对x 作用,作用范围不变,所以x E E ∈,为f x ()的定义域。
例3. 已知f x ()32-的定义域为[]x ∈-12,,则函数f x ()的定义域为_________。
2018年高考数学复合函数定义域及常见函数解析式的求法总结(1)定义域一定是x的范围,注意力应放在x上,不管已知定义域,还是求定义域,都是指x范围.如f(3x+1)的定义域为[1,2]是指括号内3x+1中的x的范围是[1,2](2)求定义域的方法是:凡是f后面括号内的范围是相同的,不管括号内是什么,通过这个求x范围如f(3x+1)的定义域为[1,2]求f(x)定义域由条件可得整个括号内的范围为[4,7]而f(x)中,括号内只有x,故定义域即为[4,7]再如f(3x+1)的定义域为[1,2]求f(1-2x)定义域由上可知括号内范围[4,7]故1-2x的范围也是[4,7]解不等式4≤1-2x≤7得出的x范围即为所求的定义域函数解析式的七种求法一)求函数的解析式1、函数的解析式表示函数与自变量之间的一种对应关系,是函数与自变量建立联系的一座桥梁,其一般形式是y=f(x),不能把它写成f(x,y)=0;2、求函数解析式一般要写出定义域,但若定义域与由解析式所确定的自变量的范围一致时,可以不标出定义域;一般地,我们可以在求解函数解析式的过程中确保恒等变形;3、求函数解析式的一般方法有:(1)直接法:根据题给条件,合理设置变量,寻找或构造变量之间的等量关系,列出等式,解出y。
(2)待定系数法:若明确了函数的类型,可以设出其一般形式,然后代值求出参数的值;(3)换元法:若给出了复合函数f[g(x)]的表达式,求f(x)的表达式时可以令t=g(x),以换元法解之;(4)构造方程组法:若给出f(x)和f(-x),或f(x)和f(1/x)的一个方程,则可以x 代换-x(或1/x),构造出另一个方程,解此方程组,消去f(-x)(或f(1/x))即可求出f (x)的表达式;(5)根据实际问题求函数解析式:设定或选取自变量与因变量后,寻找或构造它们之间的等量关系,列出等式,解出y的表达式;要注意,此时函数的定义域除了由解析式限定外,还受其实际意义限定。
复合函数常考题型复合函数常考的题型有: (1)求解定义域问题 (已知的定义域,求的定义域;已知的定义域,求的定义域;已知的定义域,求的定义域)遵循等位等效性原则。
(2)判定函数单调性问题:已知函数))((x g f y =.若)(x g u =在区间b a ,( )上是减函数,其值域为(c ,d),又函数 )(u f y =在区间(c,d)上是减函数,那么,原复合函数))((x g f y =在区间b a ,( )上是增 函数.遵循同增异减原则。
一、复合函数定义域问题: (1)、已知的定义域,求的定义域例1. 设函数的定义域为(0,1),则函数的定义域为_____________。
解析:函数的定义域为(0,1)即,所以的作用范围为(0,1)又f 对lnx 作用,作用范围不变,所以解得,故函数的定义域为(1,e )例2. 若函数,则函数的定义域为______________。
答案:(2)、已知的定义域,求的定义域 思路:设的定义域为D ,即,由此得,所以f 的作用范围为E ,又f 对x 作用,作用范围不变,所以为的定义域。
例3. 已知的定义域为,则函数的定义域为_________。
解析:的定义域为,即,由此得所以f 的作用范围为,又f 对x 作用,作用范围不变,所以即函数的定义域为例4. 已知,则函数的定义域为______________。
答案:(3)、已知的定义域,求的定义域思路:设的定义域为D ,即,由此得,的作用范围为E ,又f 对作用,作用范围不变,所以,解得,F 为的定义域。
例5. 若函数的定义域为,则的定义域为____________。
解析:的定义域为,即,由此得的作用范围为又f 对作用,所以,解得即的定义域为。
二、复合函数单调性问题已知函数))((x g f y =.若)(x g u =在区间b a ,( )上是减函数,其值域为(c ,d),又函数)(u f y =在区间(c,d)上是减函数,那么,原复合函数))((x g f y =在区间b a ,( )上是增函数.例、证明:在区间b a ,()内任取两个数21,x x ,使b x x a <<<21因为)(x g u =在区间b a ,()上是减函数,所以)()(21x g x g >,记)(11x g u =, )(22x g u =即),(,21,21d c u u u u ∈>且因为函数)(u f y =在区间(c,d)上是减函数,所以)()(21u f u f <,即))(())((21x g f x g f <,故函数))((x g f y =在区间b a ,()上是增函数.复合函数的单调性是由两个函数共同决定 “同向得增,异向得减”或“同增异减”. 复合函数))((x g f y =的单调性判断例1、 求函数)32(log 221--=x x y 的单调区间,并用单调定义给予证明解:定义域 130322-<>⇒>--x x x x 或单调减区间是),3(+∞ 设2121),3(,x x x x <+∞∈且 则)32(log 121211--=x x y )32(l o g 222212--=x x y---)32(121x x )32(222--x x =)2)((1212-+-x x x x∵312>>x x ∴012>-x x 0212>-+x x∴)32(121--x x >)32(222--x x 又底数1210<<∴012<-y y 即 12y y <∴y 在),3(+∞上是减函数 同理可证:y 在)1,(--∞例2、讨论函数)123(log )(2--=x x x f a 的单调性.[解]由01232>--x x 得函数的定义域为}.31,1|{-<>x x x 或 则当1>a 时,若1>x ,∵1232--=x x u 为增函数,∴)123(log )(2--=x x x f a 为增函数.若31-<x ,∵1232--=x x u 为减函数.∴)123(log )(2--=x x x f a 为减函数。
复合函数问题一、复合函数定义:设y=f(u)的定义域为A ,u=g(x)的值域为B ,若A ⊇B ,则y 关于x 函数的y=f [g(x)]叫做函数f 与g 的复合函数,u 叫中间量.二、复合函数定义域问题: (1)、已知的定义域,求的定义域思路:设函数的定义域为D ,即,所以的作用范围为D ,又f 对作用,作用范围不变,所以D x g ∈)(,解得,E 为的定义域。
例1.设函数的定义域为(0,1),则函数的定义域为_____________。
解析:函数的定义域为(0,1)即,所以的作用范围为(0,1)又f 对lnx 作用,作用范围不变,所以解得,故函数的定义域为(1,e )例2.若函数,则函数的定义域为______________。
解析:先求f 的作用范围,由,知即f 的作用范围为,又f 对f(x)作用所以,即中x 应满足即,解得故函数的定义域为(2)、已知的定义域,求的定义域 思路:设的定义域为D ,即,由此得,所以f 的作用范围为E ,又f 对x 作用,作用范围不变,所以为的定义域。
例3.已知的定义域为,则函数的定义域为_________。
解析:的定义域为,即,由此得所以f 的作用范围为,又f 对x 作用,作用范围不变,所以即函数的定义域为例4.已知,则函数的定义域为-------解析:先求f 的作用范围,由f x x x ()lg 22248-=-,知解得,f 的作用范围为,又f 对x 作用,作用范围不变,所以,即的定义域为 (3)、已知的定义域,求的定义域 思路:设的定义域为D ,即,由此得,的作用范围为E ,又f 对作用,作用范围不变,所以,解得,F 为的定义域。
例5.若函数的定义域为,则的定义域为____________。
解析:的定义域为,即,由此得的作用范围为,又f 对作用,所以,解得即的定义域为评注:函数定义域是自变量x 的取值范围(用集合或区间表示)f 对谁作用,则谁的范围是f 的作用范围,f 的作用对象可以变,但f 的作用范围不会变。
2018高考一轮复习函数知识点及题型归纳一、函数的及其表示题型一:函数的概念映射的概念:设A ,B 是两个集合,如果按照某种对应法则f ,对于集合A 中的每一个元素在集合B 中都有唯一确定的元素和它对应,那么这样的对应叫做从集合A 到集合B 的映射,记作f :A →B .函数的概念:如果A 、B 都是非空的数集.....,那么A 到B 的映射f :A →B 就叫做A 到B 的函数,记作()y f x = ,其中x ∈A ,y ∈B ,原象的集合A 叫做定义域,象的集合C 叫做函数()y f x =的值域. 映射的基本条件:1. 可以多个x 对应一个y ,但不可一个x 对应多个y 。
2. 每个x 必定有y 与之对应,但反过来,有的y 没有x 与之对应。
函数是一种特殊的映射,必须是数集和数集之间的对应。
例1:已知集合P={40≤≤x x },Q={20≤≤y y },下列不表示从P 到Q 的映射是( ) A. f ∶x →y=21x B. f ∶x →y=x 31 C. f ∶x →y=x 32 D. f ∶x →y=x例2:设M ={x |-2≤x ≤2},N ={y |0≤y ≤2},函数f (x )的定义域为M ,值域为N , 则f (x )的图象可以是( )例3:下列各组函数中,函数)(x f 与)(x g 表示同一函数的是(1))(x f =x ,)(x g =xx 2; (2))(x f =3x -1,)(t g =3t -1;(3))(x f =0x ,)(x g =1; (4))(x f =2x ,)(x g =2)(x ;题型二:函数的表达式1. 解析式法例4:已知函数()32,0,4tan ,0,2x x f x f f x x ππ⎧<⎛⎫⎪⎛⎫==⎨ ⎪ ⎪-≤≤⎝⎭⎝⎭⎪⎩则 .真题:【2017年山东卷第9题】设()(),0121,1x x f x x x ⎧<<⎪=⎨-≥⎪⎩,若()()1f a f a =+,则1f a ⎛⎫= ⎪⎝⎭(A )2 (B ) 4 (C ) 6 (D ) 8[2014·江西卷] 已知函数f (x )=⎩⎪⎨⎪⎧a ·2x ,x ≥0,2-x ,x <0(a ∈R ).若f [f (-1)]=1,则a =( )A.14B.12C .1D .2 【2015高考新课标1文10】已知函数1222,1()log (1),1x x f x x x -⎧-≤=⎨-+>⎩ ,且()3f a =-,则(6)f a -=( )(A )74-(B )54- (C )34- (D )14- 2. 图象法例5:汽车经过启动、加速行驶、匀速行驶、减速行驶之后停车,若把这一过程中汽车的行驶路程s 看作时间t 的函数,其图像可能是_______________ 例6:向高为H 的水瓶中注水,注满为止.如果注水量V 与水深h 的函数关系的图象如图2—4所示,那么水瓶的形状是( )例7:如图,半径为1的半圆O 与等边三角形ABC 夹在两平行线1l ,2l 之间,l //1l ,l 与半圆相交于F,G 两点,与三角形ABC 两边相交于E,D 两点.设弧FG 的长为x(0<x <π),y=EB+BC+CD ,若l 从1l 平行移动到2l ,则函数y=f(x)的图像大致是( )真题:【2015高考北京】汽车的“燃油效率”是指汽车每消耗1升汽油行驶的里程,下图描述了甲、乙、丙三辆汽车在不同速度下的燃油效率情况. 下列叙述中正确的是st OA .st Ost OstOB .C .D .A .消耗1升汽油,乙车最多可行驶5千米B .以相同速度行驶相同路程,三辆车中,甲车消耗汽油最多C .甲车以80千米/小时的速度行驶1小时,消耗10升汽油D .某城市机动车最高限速80千米/小时. 相同条件下,在该市用丙车比用乙车更省油【2015年新课标2文科】如图,长方形的边AB =2,BC =1,O 是AB 的中点,点P 沿着边BC ,CD 与DA 运动,记BOP x ∠= ,将动点P 到A ,B 两点距离之和表示为x 的函数()f x ,则的图像大致为( )A .B .C .D .3.表格法例8:已知函数()f x ,()g x 分别由下表给出x 123x 123f(x)131g(x)321则[(1)]f g 的值为;满足[()][()]f g x g f x >的x 的值是.题型三:求函数的解析式.1. 换元法例9:已知1)1(+=+x x f ,则函数)(x f =变式1:已知x x x f 2)12(2-=+,则)3(f =变式2:已知f (x 6)=log 2x ,那么f (8)等于2.待定系数法例10:已知二次函数f (x)满足条件f (0)=1及f (x+1)-f (x)=2x 。
复合函数复习题复合函数复习题复合函数是数学中的一个重要概念,它在数学分析、微积分等领域中有着广泛的应用。
本文将通过一些复合函数的复习题来帮助读者巩固和加深对复合函数的理解。
题目一:设函数f(x)=2x+3,g(x)=x^2-1,求复合函数f(g(x))和g(f(x))。
解答:首先计算f(g(x)),将g(x)代入f(x)中得到f(g(x))=2(g(x))+3=2(x^2-1)+3=2x^2-2+3=2x^2+1。
接下来计算g(f(x)),将f(x)代入g(x)中得到g(f(x))=(f(x))^2-1=(2x+3)^2-1=4x^2+12x+9-1=4x^2+12x+8。
题目二:设函数f(x)=sin(x),g(x)=cos(x),求复合函数f(g(x))和g(f(x))。
解答:首先计算f(g(x)),将g(x)代入f(x)中得到f(g(x))=sin(g(x))=sin(cos(x))。
接下来计算g(f(x)),将f(x)代入g(x)中得到g(f(x))=cos(f(x))=cos(sin(x))。
题目三:设函数f(x)=e^x,g(x)=ln(x),求复合函数f(g(x))和g(f(x))。
解答:首先计算f(g(x)),将g(x)代入f(x)中得到f(g(x))=e^(g(x))=e^(ln(x))=x。
接下来计算g(f(x)),将f(x)代入g(x)中得到g(f(x))=ln(f(x))=ln(e^x)=x。
通过以上的题目,我们可以看出,复合函数的计算方法就是将内层函数的结果代入外层函数中。
在计算过程中,需要注意函数的定义域和值域,以避免出现无定义或者不符合实际的结果。
除了上述的题目,还可以通过一些实际问题来深入理解复合函数的概念。
例如,假设有一个汽车在以恒定的速度行驶,速度为v,时间为t,我们可以定义一个函数f(t)=vt来表示汽车行驶的距离。
现在假设汽车的速度是随时间变化的,速度函数是g(t)=2t+3,我们可以求出复合函数f(g(t))来表示汽车行驶的距离与时间的关系。
复合函数习题大全
1.基本概念
复合函数是由两个或多个函数组合而成的函数。
设有函数f(x)
和g(x),则两个函数的复合函数可以表示为f(g(x))。
2.复合函数的求导
对于两个函数的复合函数,可以通过链式法则来求导。
设有函
数f(x)和g(x),则复合函数f(g(x))的导数可以表示为f'(g(x)) * g'(x)。
3.复合函数的求值
要求复合函数的值,需要先将内层函数的输出作为外层函数的
输入。
计算复合函数的值时,需要按照函数的定义顺序依次进行计算。
4.复合函数的题示例
题1:
已知函数f(x) = 2x^2 + 3x,g(x) = x + 1,求复合函数f(g(x))的
表达式。
题2:
已知函数f(x) = 3x - 1,g(x) = 2x^2,求复合函数f(g(x))的导数
f'(g(x)) * g'(x)。
题3:
给定函数f(x) = sin(x),g(x) = cos(x),求复合函数f(g(x))的值。
题4:
已知函数f(x) = x^2,g(x) = x + 1,求复合函数f(g(x))的值。
题5:
已知函数f(x) = 2x,g(x) = x^3,求复合函数f(g(x))的导数
f'(g(x)) * g'(x)。
以上是一些关于复合函数的题示例,通过解答这些题,可以帮
助理解和掌握复合函数的基本概念、求导方法和求值过程。
让我们通过练习习题,加深对复合函数的理解吧!。
高考数学经典常考题型第12专题复合函数零点问题第12专题训练:复合函数零点问题一、基础知识:1、复合函数定义:设 $y=f(t),t=g(x)$,且函数 $g(x)$ 的值域为 $f(t)$ 的定义域的子集,那么 $y$ 通过 $t$ 的联系而得到自变量 $x$ 的函数,称 $y$ 是 $x$ 的复合函数,记为$y=f(g(x))$。
2、复合函数函数值计算的步骤:求 $y=g(f(x))$ 函数值遵循“由内到外”的顺序,一层层求出函数值。
例如:已知$f(x)=2x,g(x)=x^2-x$,计算 $g(f(2))$。
解:$f(2)=2\times 2=4$,$\therefore g(f(2))=g(4)=12$3、已知函数值求自变量的步骤:若已知函数值求 $x$ 的解,则遵循“由外到内”的顺序,一层层拆解直到求出 $x$ 的值。
例如:已知 $f(x)=2x,g(x)=x^2-2x$,若 $g(f(x))=0$,求 $x$。
解:令 $t=f(x)$,则 $g(t)=0$,$\therefore t=0$ 或 $t=2$。
当 $t=0$ 时,$f(x)=0$,XXX;当 $t=2$ 时,$f(x)=2$,$\therefore x=1$。
综上所述,$x=1$。
由上例可得,要想求出 $g(f(x))=0$ 的根,则需要先将$f(x)$ 视为整体,先求出 $f(x)$ 的值,再求对应 $x$ 的解。
这种思路也用来解决复合函数零点问题。
先回顾零点的定义:4、函数的零点:设 $f(x)$ 的定义域为 $D$,若存在 $x\in D$,使得 $f(x)=0$,则称 $x$ 是 $f(x)$ 的一个零点。
5、复合函数零点问题的特点:考虑关于 $x$ 的方程$g(f(x))=0$ 的根的个数,在解此类问题时,要分为两层来分析。
第一层是解关于 $f(x)$ 的方程,观察有几个 $f(x)$ 的值使得等式成立;第二层是结合着第一层 $f(x)$ 的值求出每一个$f(x)$ 被几个 $x$ 对应,将 $x$ 的个数汇总后即为$g(f(x))=0$ 的根的个数。
所以f 的作用范围为 ,又f 对x 作用,作用范围不变,所以的定义域;已知的定义域,求的定义域;的定义域)遵循等位等效性原则。
y f (u )在区间(c,d )上是减函数,那么,原复合函数函数.遵循同增异减原则 '、复合函数定义域问题:(1)、已知 的定义域,求 的定义域又f 对lnx 作用,作用范围不变,所以例2.若函数 ,则函数 的定义域为 。
答案:(2 )、已知 的定义域,求 的定义域思路:设 的定义域为D ,即 ,由此得,所以f 的作用范围为 E ,又f 对x 作用,作用范围不变,所以 为 的定义域。
例3.已知 的定义域为 ,则函数 的定义域为 。
解析: 的定义域为 ,即 ,由此得高中数学-复合函数常考题型复合函数常考的题型有: (1 )求解定义域问题已知函数y f (g(x)).若 u g(x)在区间(a,b)上是减函数,其值域为 (c ,d ),又函数(已知的定义域,求已知的定义域,求 (2 )判定函数单调性问题:y f (g (x ))在区间(a, b )上是增例1.设函数 的定义域为(o , 1),则函数 的定义域为 ___________________解析:函数的定义域为(o ,1)即 ,所以 的作用范围为(0,1)解得,故函数 的定义域为(1,e )作用,所以的定义域为二、复合函数单调性问题间(c,d)上是减函数,那么,原复合函数y f(g(x))在区间(a,b )例、证明:在区间(a,b )内任取两个数 x 1 ,x 2,使a x 1 x 2 因为u g(x)在区间(a, b )上是减函数,所以 g(x i ) g(x 2),记u ig(x i ), U 2 g(X 2)即U i u 2,且 u i ,u 2 (c,d)因为函数y f(u)在区间(c,d)上是减函数,所以f(ujf(U 2),即卩f(g(xj ) f(g(X 2)),故函数y f(g(x))在区间(a,b )上是增函数即函数 的定义域为例4.已知 ,则函数 的定义域为答案:(3 )、已知 的定义域,求 的定义域思路:设 的定义域为D , ,由此得 , 的作用范围为E ,又f 对 作用,作用范围不变,所以 ,解得 的定义域。
考点测试5 函数的定义域和值域一、基础小题1.函数f(x)=1lg x+2-x的定义域为( )A.(0,2] B.(0,2) C.(0,1)∪(1,2] D.(-∞,2] 答案 C解析f(x)=1lg x+2-x是复合函数,所以定义域要满足lg x≠0且2-x≥0且x>0,所以0<x≤2且x≠1.2.若函数y=x2-4x的定义域是{x|1≤x<5,x∈N},则其值域为( )A.[-3,5) B.[-4,5)C.{-4,-3,0} D.{0,1,2,3,4}答案 C解析分别将x=1,2,3,4代入函数解析式,解得y=-3,-4,-3,0,由集合中元素的互异性可知值域是{-4,-3,0}.3.函数y=16-4x的值域是( )A.[0,+∞)B.[0,4]C.[0,4) D.(0,4)答案 C解析由已知得0≤16-4x<16,0≤16-4x<16=4,即函数y=16-4x的值域是[0,4).4.若函数y =kx 2-6x +k +8的定义域为R ,则实数k 的取值范围是( ) A .(-∞,-9]∪[0,+∞) B .[1,+∞) C .[-9,1] D .(0,1]答案 B解析 由题意知kx 2-6x +k +8≥0对于x ∈R 恒成立,当k ≤0时显然不符合,所以⎩⎪⎨⎪⎧k >0,Δ=36-4k k +,解得k ≥1,故选B.5.若函数y =f (x )的值域是[1,3],则函数F (x )=1-f (x +3)的值域是( ) A .[-8,-3] B .[-5,-1] C .[-2,0] D .[1,3]答案 C解析 ∵1≤f (x )≤3,∴-3≤-f (x +3)≤-1,∴-2≤1-f (x +3)≤0,即F (x )的值域为[-2,0].6.已知函数f (x )=⎩⎪⎨⎪⎧-2a x +3a ,x <1,ln x ,x ≥1的值域为R ,那么实数a 的取值范围是( )A .(-∞,-1]B .⎝⎛⎭⎪⎫-1,12C .⎣⎢⎡⎭⎪⎫-1,12D .⎝ ⎛⎭⎪⎫0,12 答案 C解析 由题意知y =ln x (x ≥1)的值域为[0,+∞),故要使f (x )的值域为R ,则y =(1-2a )x +3a 为增函数,所以1-2a >0,即a <12,同时,1-2a +3a ≥0,即a ≥-1,综上,-1≤a <12,故选C.7.函数f (x )=a x+log a (x +1)在[0,1]上的最大值和最小值之和为a ,则a 的值为( ) A .14 B .12 C .2 D .4答案 B解析 当a >1时,a +log a 2+1=a ,log a 2=-1,所以a =12,与a >1矛盾;当0<a <1时,1+a +log a 2=a ,log a 2=-1,所以a =12.8.若函数f (x )的值域是⎣⎢⎡⎦⎥⎤12,3,则函数F (x )=f (x )+1f x 的值域是( ) A .⎣⎢⎡⎦⎥⎤12,3B .⎣⎢⎡⎦⎥⎤2,103C .⎣⎢⎡⎦⎥⎤52,103D .⎣⎢⎡⎦⎥⎤3,103答案 B解析 因为F (x )=f (x )+1f x≥2,当且仅当f (x )=1f x,即f (x )=1时取等号,所以F (x )min =2;又函数F (x )为连续函数,当f (x )=12时,F (x )=52;当f (x )=3时,F (x )=103,故F (x )max =103,所以F (x )的值域为⎣⎢⎡⎦⎥⎤2,103.故选B.9.下列函数中,值域是(0,+∞)的是( ) A .y =15-x+1B .y =⎝ ⎛⎭⎪⎫12x -1 C .y =⎝ ⎛⎭⎪⎫131-xD .y =1-2x答案 C解析 因为5-x+1>1,所以A 项中函数的值域为(0,1);B 、D 项中函数的值域均为[0,+∞);因为1-x ∈R ,根据指数函数性质可知C 项中函数的值域为(0,+∞),故选C.10.若函数y =f (x )的定义域为[0,2],则函数g (x )=f (x +1)-f (x -1)的定义域为________.答案 {1}解析 由条件可得⎩⎪⎨⎪⎧0≤x +1≤2,0≤x -1≤2,解得x =1,所以g (x )的定义域为{1}.11.若函数y =log 2(ax 2+2x +1)的值域为R ,则a 的取值范围为________. 答案 [0,1]解析 设f (x )=ax 2+2x +1,由题意知,f (x )取遍所有的正实数.当a =0时,f (x )=2x +1符合条件;当a ≠0时,则⎩⎪⎨⎪⎧a >0,Δ=4-4a ≥0,解得0<a ≤1.所以0≤a ≤1.12.已知函数f (x )与g (x )分别由下表给出:则函数y =g (f (x ))的值域为________. 答案 {2,3,5}解析 由表格可知,函数f (x )的定义域是{1,2,3,4}.则当x =1时,y =g (f (1))=g (2)=3;当x =2时,y =g (f (2))=g (1)=2;当x =3时,y =g (f (3))=g (4)=5;当x =4时,y=g (f (4))=g (2)=3.所以函数y =g (f (x ))的值域为{2,3,5}.二、高考小题13.[2014·山东高考]函数f (x )=12x2-1的定义域为( ) A .⎝ ⎛⎭⎪⎫0,12 B .(2,+∞)C .⎝ ⎛⎭⎪⎫0,12∪(2,+∞) D .⎝ ⎛⎦⎥⎤0,12∪[2,+∞) 答案 C解析 要使函数f (x )有意义,需使(log 2x )2-1>0,即(log 2x )2>1,∴log 2x >1或log 2x <-1,解得x >2或0<x <12.故f (x )的定义域为⎝ ⎛⎭⎪⎫0,12∪(2,+∞). 14.[2014·上海高考]设f (x )=⎩⎪⎨⎪⎧x -a 2,x ≤0,x +1x +a ,x >0.若f (0)是f (x )的最小值,则a 的取值范围为( )A .[-1,2]B .[-1,0]C .[1,2]D .[0,2]答案 D解析 ∵当x ≤0时,f (x )=(x -a )2,又f (0)是f (x )的最小值,∴a ≥0.当x >0时,f (x )=x +1x+a ≥2+a ,当且仅当x =1时取“=”.要满足f (0)是f (x )的最小值,需2+a ≥f (0)=a 2,即a 2-a -2≤0,解之,得-1≤a ≤2,∴a 的取值范围是0≤a ≤2.选D.15.[2016·江苏高考]函数y =3-2x -x 2的定义域是________. 答案 [-3,1]解析 若函数有意义,则3-2x -x 2≥0,即x 2+2x -3≤0,解得-3≤x ≤1. 16.[2015·浙江高考]已知函数f (x )=⎩⎪⎨⎪⎧x +2x-3,x ≥1,x 2+,x <1,则f (f (-3))=________,f (x )的最小值是________.答案 0 22-3解析 由题知,f (-3)=1,f (1)=0,即f (f (-3))=0.又f (x )在(-∞,0)上单调递减,在(0,1)上单调递增,在(1,2)上单调递减,在(2,+∞)上单调递增,所以f (x )min =min{f (0),f (2)}=22-3.17.[2015·山东高考]已知函数f (x )=a x+b (a >0,a ≠1)的定义域和值域都是[-1,0],则a +b =________.答案 -32解析 ①当a >1时,f (x )在[-1,0]上单调递增,则⎩⎪⎨⎪⎧a -1+b =-1,a 0+b =0,无解.②当0<a <1时,f (x )在[-1,0]上单调递减,则⎩⎪⎨⎪⎧a -1+b =0,a 0+b =-1,解得⎩⎪⎨⎪⎧a =12,b =-2,∴a+b =-32.18.[2015·福建高考]若函数f (x )=⎩⎪⎨⎪⎧-x +6,x ≤2,3+log a x ,x >2(a >0,且a ≠1)的值域是[4,+∞),则实数a 的取值范围是________.答案 (1,2]解析 当x ≤2时,f (x )=-x +6,f (x )在(-∞,2]上为减函数,∴f (x )∈[4,+∞).当x >2时,若a ∈(0,1),则f (x )=3+log a x 在(2,+∞)上为减函数,f (x )∈(-∞,3+log a 2),显然不满足题意,∴a >1,此时f (x )在(2,+∞)上为增函数,f (x )∈(3+log a 2,+∞),由题意可知(3+log a 2,+∞)⊆[4,+∞),则3+log a 2≥4,即log a 2≥1,∴1<a ≤2.三、模拟小题19.[2016·湖南三校联考]函数f (x )=-x 2+3x +4+lg (x -1)的定义域是( ) A .[-1,4] B .(-1,4] C .[1,4] D .(1,4]答案 D解析 由题意,得⎩⎪⎨⎪⎧-x 2+3x +4≥0,x -1>0,解得1<x ≤4.20.[2017·内蒙古包头一中模拟]若函数f (x )=1log 3x +c 的定义域为⎝ ⎛⎭⎪⎫12,1∪(1,+∞),则实数c 的值为( )A .1B .-1C .-2D .-12答案 B解析 依题意,不等式组⎩⎪⎨⎪⎧2x +c >0,2x +c ≠1的解集应为⎝ ⎛⎭⎪⎫12,1∪(1,+∞),所以c =-1,故选B.21.[2017·杭州联考]设f (x )=lg 2+x 2-x ,则f ⎝ ⎛⎭⎪⎫x 2+f ⎝ ⎛⎭⎪⎫2x 的定义域为( ) A .(-4,0)∪(0,4) B .(-4,-1)∪(1,4) C .(-2,-1)∪(1,2) D .(-4,-2)∪(2,4)答案 B解析 ∵2+x 2-x >0,∴-2<x <2,∴-2<x 2<2且-2<2x <2,取x =1,则2x=2不合题意(舍去),故排除A ,取x =2,满足题意,排除C 、D ,故选B.22.[2017·邵阳石齐中学月考]已知函数f (x )=4|x |+2-1的定义域是[a ,b ](a ,b ∈Z ),值域是[0,1],那么满足条件的整数数对(a ,b )共有( )A .2个B .3个C .5个D .无数个答案 C解析 ∵函数f (x )=4|x |+2-1的值域是[0,1],∴1≤4|x |+2≤2,∴0≤|x |≤2,∴-2≤x ≤2,∴[a ,b ]⊆[-2,2].又由于仅当x =0时,f (x )=1,当x =±2时,f (x )=0,故在定义域中一定有0,且2,-2中必有其一,故满足条件的整数数对(a ,b )有(-2,0),(-2,1),(-2,2),(-1,2),(0,2)共5个.23.[2017·东北三校联考]已知函数f (x )=⎩⎪⎨⎪⎧xx +,x >0,x x -,x ≤0,则f (a )的值不可能为( )A .2017B .12016C .0D .-2答案 D解析 如图作出y =f (x )的图象,则f (x )的值域为[0,+∞),故f (a )不可能为-2. 24.[2016·汕头模拟]函数y =3|x |-1的定义域为[-1,2],则函数的值域为________. 答案 [0,8]解析 当x =0时,y min =3|x |-1=30-1=0,当x =2时,y max =3|x |-1=32-1=8,故值域为[0,8].一、高考大题1.[2016·浙江高考]已知a ≥3,函数F (x )=min{2|x -1|,x 2-2ax +4a -2},其中min{p ,q }=⎩⎪⎨⎪⎧p ,p ≤q ,q ,p >q .(1)求使得等式F (x )=x 2-2ax +4a -2成立的x 的取值范围; (2)①求F (x )的最小值m (a );②求F (x )在区间[0,6]上的最大值M (a ). 解 (1)由于a ≥3,故当x ≤1时,(x 2-2ax +4a -2)-2|x -1|=x 2+2(a -1)(2-x )>0, 当x >1时,(x 2-2ax +4a -2)-2|x -1|=(x -2)(x -2a ).所以,使得等式F (x )=x 2-2ax +4a -2成立的x 的取值范围为[2,2a ]. (2)设函数f (x )=2|x -1|,g (x )=x 2-2ax +4a -2. ①f (x )min =f (1)=0,g (x )min =g (a )=-a 2+4a -2, 所以,由F (x )的定义知m (a )=min{f (1),g (a )},即m (a )=⎩⎨⎧0,3≤a ≤2+2,-a 2+4a -2,a >2+ 2.②当0≤x ≤2时,F (x )≤f (x )≤max{f (0),f (2)}=2=F (2),当2≤x ≤6时,F (x )≤g (x )≤max{g (2),g (6)}=max{2,34-8a }=max{F (2),F (6)}.所以,M (a )=⎩⎪⎨⎪⎧34-8a ,3≤a <4,2,a ≥4.二、模拟大题2.[2017·贵州六盘水二中月考]已知f (x )=2+log 3x ,x ∈[1,9],试求函数y =[f (x )]2+f (x 2)的值域.解 ∵f (x )=2+log 3x 的定义域为[1,9],要使[f (x )]2+f (x 2)有意义,必有1≤x ≤9且1≤x 2≤9,∴1≤x ≤3,∴y =[f (x )]2+f (x 2)的定义域为[1,3].又y =(2+log 3x )2+2+log 3x 2=(log 3x +3)2-3.∵x ∈[1,3],∴log 3x ∈[0,1],∴y max =(1+3)2-3=13,y min =(0+3)2-3=6. ∴函数y =[f (x )]2+f (x 2)的值域为[6,13].3.[2017·云南师大附中月考]已知函数f (x )=x 2-4ax +2a +6,x ∈R . (1)若函数的值域为[0,+∞),求a 的值;(2)若函数的值域为非负数集,求函数f (a )=2-a |a +3|的值域. 解 f (x )=x 2-4ax +2a +6=(x -2a )2+2a +6-4a 2. (1)∵函数值域为[0,+∞),∴2a +6-4a 2=0. 解得a =-1或a =32.(2)∵函数值域为非负数集,∴2a +6-4a 2≥0, 即2a 2-a -3≤0,解得-1≤a ≤32.∴f (a )=2-a |a +3|=2-a (a +3)=-⎝ ⎛⎭⎪⎫a +322+174,∴f (a )在⎣⎢⎡⎦⎥⎤-1,32上单调递减, ∴-194≤f (a )≤4,即f (a )值域为⎣⎢⎡⎦⎥⎤-194,4. 4.[2016·山西质检]已知函数g (x )=x +1,h (x )=1x +3,x ∈(-3,a ],其中a 为常数且a >0,令函数f (x )=g (x )·h (x ).(1)求函数f (x )的表达式,并求其定义域; (2)当a =14时,求函数f (x )的值域.解 (1)∵g (x )=x +1,h (x )=1x +3,x ∈(-3,a ], ∴f (x )=g (x )·h (x )=(x +1)·1x +3=x +1x +3, 即f (x )=x +1x +3,x ∈[0,a ](a >0). (2)当a =14时,函数f (x )的定义域为⎣⎢⎡⎦⎥⎤0,14, 令x +1=t ,则x =(t -1)2,t ∈⎣⎢⎡⎦⎥⎤1,32.∴f (x )=F (t )=t t 2-2t +4=1t +4t-2,当t =4t 时,t =±2∉⎣⎢⎡⎦⎥⎤1,32, 又t ∈⎣⎢⎡⎦⎥⎤1,32时,y =t +4t 单调递减, 则F (t )单调递增,∴F (t )∈⎣⎢⎡⎦⎥⎤13,613,即函数f (x )的值域为⎣⎢⎡⎦⎥⎤13,613.。
千里之行,始于足下。
复合函数(知识点总结、例题分类讲解)复合函数是指由两个或多个函数相互作用形成的新函数。
在数学中,复合函数是一种常见的概念,并且在高等数学、线性代数、微积分等多个领域中都有应用。
本文将对复合函数的知识点进行总结,并通过分类讲解一些例题。
一、复合函数的定义:设有函数f和g,对于g的定义域中的每个x,存在f的定义域中的y,使得y=g(x),则有一个复合函数h(x)=f(g(x)),它的定义域是所有能使得g(x)的值能成为f(x)定义域中的自变量的值的x。
二、复合函数的求解步骤:1. 确定复合函数的形式h(x)=f(g(x))。
2. 确定g(x)的定义域和f(x)的定义域,并找到能使得g(x)的值成为f(x)的自变量的值。
3. 将g(x)的值代入f(x)中,得到新的函数h(x)。
三、复合函数的性质:1. 复合函数的定义域是g(x)的定义域和f(x)的定义域的交集。
2. 复合函数的值域是f(x)的值域的子集。
四、复合函数的例题分类讲解:1. 简单的复合函数求导:例题1:已知f(x)=x²和g(x)=2x+1,求复合函数h(x)=f(g(x))的导函数h'(x)。
第1页/共2页锲而不舍,金石可镂。
解析:首先计算g'(x)=2,然后计算f'的导函数f'(x)=2x。
根据链式法则,h'(x)=f'(g(x))*g'(x)=2(2x+1)*2=8x+4。
2. 复合函数中含有指数函数:例题2:已知f(x)=eˣ和g(x)=ln(x),求复合函数h(x)=f(g(x))的导函数h'(x)。
解析:首先计算g'(x)=1/x,然后计算f'的导函数f'(x)=eˣ。
根据链式法则,h'(x)=f'(g(x))*g'(x)=eˣ*(1/x)=eˣ/x。
3. 复合函数中含有三角函数:例题3:已知f(x)=sin(x)和g(x)=x²,求复合函数h(x)=f(g(x))的导函数h'(x)。
复合函数问题一、复合函数定义:设y=f(u)的定义域为A, u=g(x)的值域为B,若A=B,则y关于X函数的y=f[g(x)]叫做函数f与g的复合函数,U叫中间量.二、复合函数定义域问题:(1)、已知f (χ)的定义域,求f[g(χ) 1的定义域思路:设函数f (X)的定义域为D,即X ∙ D ,所以f的作用范围为D,又f对g(χ)作用,作用范围不变,所以g(x)∙ D ,解得X ∙E,E为f Ig(X)]的定义域。
例1.设函数f (u)的定义域为(O,1),贝U函数f (Inx)的定义域为___________________ 。
解析:函数f (U)的定义域为(0,1)即u • (0,1),所以f的作用范围为(0,1)又f对InX作用,作用范围不变,所以0 ::: In X ::: 1解得X • (1, e),故函数f (In x)的定义域为(1, e)1例2.若函数f (X)= ----------- ,则函数f [f (x)]的定义域为 ___________________ 。
X +11解析:先求f的作用范围,由f (X) ,知X = -1X +1即f的作用范围为■ RlX= ,又f对f(χ)作用所以f (X) ∙R且f (x) - -1 ,即f If(X) 1中X应r d x≠-1X 式一1 L满足彳即{1 ,解得x≠一1且x≠一2I f(X)H—1 —≠-1ιX +1故函数f If (X) 的定义域为CX R|x = -1且Xn -2(2)、已知f Ig(X)】的定义域,求f (x)的定义域思路:设f Ig(X) 1的定义域为D,即X ∙D ,由此得g(x) ∙E ,所以f的作用范围为E,又f对X作用,作用范围不变,所以X ∙E, E为f (X)的定义域。
例3.已知f (3 —2x)的定义域为X E[―1, 2 ],则函数f (x)的定义域为 _________________ 。
2018年高考数学分类汇编函数一.选择题1、(2018年高考全国卷I文科5)(5分)设函数f(x)=x3+(a﹣1)x2+ax.若f(x)为奇函数,则曲线y=f(x)在点(0,0)处的切线方程为()A.y=﹣2x B.y=﹣x C.y=2x D.y=x【解答】解:函数f(x)=x3+(a﹣1)x2+ax,若f(x)为奇函数,可得a=1,所以函数f(x)=x3+x,可得f′(x)=3x2+1,曲线y=f(x)在点(0,0)处的切线的斜率为:1,则曲线y=f(x)在点(0,0)处的切线方程为:y=x.故选:D.2、(2018年高考全国卷1文科9)(5分)已知函数f(x)=,g(x)=f(x)+x+a.若g(x)存在2个零点,则a的取值范围是()A.[﹣1,0)B.[0,+∞)C.[﹣1,+∞)D.[1,+∞)【解答】解:由g(x)=0得f(x)=﹣x﹣a,作出函数f(x)和y=﹣x﹣a的图象如图:当直线y=﹣x﹣a的截距﹣a≤1,即a≥﹣1时,两个函数的图象都有2个交点,即函数g(x)存在2个零点,故实数a的取值范围是[﹣1,+∞),故选:C.3、(2018年高考全国卷1理科2)(5分)已知集合A={x|x2﹣x﹣2>0},则∁R A=()A.{x|﹣1<x<2}B.{x|﹣1≤x≤2}C.{x|x<﹣1}∪{x|x>2}D.{x|x≤﹣1}∪{x|x≥2}【解答】解:集合A={x|x2﹣x﹣2>0},可得A={x|x<﹣1或x>2},则:∁R A={x|﹣1≤x≤2}.故选:B.4、(2018年高考全国卷1理科5)(5分)设函数f(x)=x3+(a﹣1)x2+ax.若f(x)为奇函数,则曲线y=f(x)在点(0,0)处的切线方程为()A.y=﹣2x B.y=﹣x C.y=2x D.y=x【解答】解:函数f(x)=x3+(a﹣1)x2+ax,若f(x)为奇函数,可得a=1,所以函数f(x)=x3+x,可得f′(x)=3x2+1,曲线y=f(x)在点(0,0)处的切线的斜率为:1,则曲线y=f(x)在点(0,0)处的切线方程为:y=x.故选:D.5、(2018年高考全国卷1理科9)(5分)已知函数f(x)=,g(x)=f(x)+x+a.若g(x)存在2个零点,则a的取值范围是()A.[﹣1,0)B.[0,+∞)C.[﹣1,+∞)D.[1,+∞)【解答】解:由g(x)=0得f(x)=﹣x﹣a,作出函数f(x)和y=﹣x﹣a的图象如图:当直线y=﹣x﹣a的截距﹣a≤1,即a≥﹣1时,两个函数的图象都有2个交点,即函数g(x)存在2个零点,故实数a的取值范围是[﹣1,+∞),故选:C.6、(2018年高考全国卷2文科3)(5分)函数f(x)=的图象大致为()A.B.CD.【解答】解:函数f(﹣x)==﹣=﹣f(x),则函数f(x)为奇函数,图象关于原点对称,排除A,当x=1时,f(1)=e﹣>0,排除D.当x→+∞时,f(x)→+∞,排除C,故选:B.7、(2018年高考全国卷2文科12)(5分)已知f(x)是定义域为(﹣∞,+∞)的奇函数,满足f(1﹣x)=f(1+x),若f(1)=2,则f(1)+f(2)+f(3)+…+f(50)=()A.﹣50 B.0 C.2 D.50【解答】解:∵f(x)是奇函数,且f(1﹣x)=f(1+x),∴f(1﹣x)=f(1+x)=﹣f(x﹣1),f(0)=0,则f(x+2)=﹣f(x),则f(x+4)=﹣f(x+2)=f(x),即函数f(x)是周期为4的周期函数,∵f(1)=2,∴f(2)=f(0)=0,f(3)=f(1﹣2)=f(﹣1)=﹣f(1)=﹣2,f(4)=f(0)=0,则f(1)+f(2)+f(3)+f(4)=2+0﹣2+0=0,则f(1)+f(2)+f(3)+…+f(50)=12[f(1)+f(2)+f(3)+f(4)]+f(49)+f(50)=f(1)+f(2)=2+0=2,故选:C.8、(2018年高考全国卷2理科3)(5分)函数f(x)=的图象大致为()A.B.C.D.【解答】解:函数f(﹣x)==﹣=﹣f(x),则函数f(x)为奇函数,图象关于原点对称,排除A,当x=1时,f(1)=e﹣>0,排除D.当x→+∞时,f(x)→+∞,排除C,故选:B.9.(2018年高考全国卷2理科11)(5分)已知f(x)是定义域为(﹣∞,+∞)的奇函数,满足f(1﹣x)=f(1+x),若f(1)=2,则f(1)+f(2)+f(3)+…+f(50)=()A.﹣50 B.0 C.2 D.50【解答】解:∵f(x)是奇函数,且f(1﹣x)=f(1+x),∴f(1﹣x)=f(1+x)=﹣f(x﹣1),f(0)=0,则f(x+2)=﹣f(x),则f(x+4)=﹣f(x+2)=f(x),即函数f(x)是周期为4的周期函数,∵f(1)=2,∴f(2)=f(0)=0,f(3)=f(1﹣2)=f(﹣1)=﹣f(1)=﹣2,f(4)=f(0)=0,则f(1)+f(2)+f(3)+f(4)=2+0﹣2+0=0,则f(1)+f(2)+f(3)+…+f(50)=12[f(1)+f(2)+f(3)+f(4)]+f(49)+f(50)=f(1)+f(2)=2+0=2,故选:C.10.(2018年高考全国卷3文科7)(5分)下列函数中,其图象与函数y=lnx的图象关于直线x=1对称的是()A.y=ln(1﹣x)B.y=ln(2﹣x)C.y=ln(1+x) D.y=ln(2+x)【解答】解:首先根据函数y=lnx的图象,则:函数y=lnx的图象与y=ln(﹣x)的图象关于y轴对称.由于函数y=lnx的图象关于直线x=1对称.则:把函数y=ln(﹣x)的图象向右平移2个单位即可得到:y=ln(2﹣x).即所求得解析式为:y=ln(2﹣x).故选:B.11.(2018年高考全国卷3文科9)(5分)函数y=﹣x4+x2+2的图象大致为()A.B.C.D.【解答】解:函数过定点(0,2),排除A,B.函数的导数f′(x)=﹣4x3+2x=﹣2x(2x2﹣1),由f′(x)>0得2x(2x2﹣1)<0,得x<﹣或0<x<,此时函数单调递增,排除C,故选:D.12.(2018年高考全国卷3理科7)(5分)函数y=﹣x4+x2+2的图象大致为()A.B.C.D.【解答】解:函数过定点(0,2),排除A,B.函数的导数f′(x)=﹣4x3+2x=﹣2x(2x2﹣1),由f′(x)>0得2x(2x2﹣1)<0,得x<﹣或0<x<,此时函数单调递增,排除C,故选:D.13.(2018年高考全国卷3理科12)(5分)设a=log0.20.3,b=log20.3,则()A.a+b<ab<0 B.ab<a+b<0 C.a+b<0<ab D.ab<0<a+b【解答】解:∵a=log0.20.3=,b=log20.3=,∴=,,∵,,∴ab<a+b<0.故选:B.14.(2018年北京市高考数学试卷文科8)(5分)设集合A={(x,y)|x﹣y≥1,ax+y>4,x﹣ay≤2},则()A.对任意实数a,(2,1)∈A B.对任意实数a,(2,1)∉AC.当且仅当a<0时,(2,1)∉A D.当且仅当a≤时,(2,1)∉A【解答】解:当a=﹣1时,集合A={(x,y)|x﹣y≥1,ax+y>4,x﹣ay≤2}={(x,y)|x﹣y ≥1,﹣x+y>4,x+y≤2},显然(2,1)不满足,﹣x+y>4,x+y≤2,所以A,C不正确;当a=4,集合A={(x,y)|x﹣y≥1,ax+y>4,x﹣ay≤2}={(x,y)|x﹣y≥1,4x+y>4,x ﹣4y≤2},显然(2,1)在可行域内,满足不等式,所以B不正确;故选:D.15.(2018年北京市高考数学试卷理科8)(5分)设集合A={(x,y)|x﹣y≥1,ax+y>4,x﹣ay ≤2},则()A.对任意实数a,(2,1)∈A B.对任意实数a,(2,1)∉AC.当且仅当a<0时,(2,1)∉A D.当且仅当a≤时,(2,1)∉A【解答】解:当a=﹣1时,集合A={(x,y)|x﹣y≥1,ax+y>4,x﹣ay≤2}={(x,y)|x﹣y ≥1,﹣x+y>4,x+y≤2},显然(2,1)不满足,﹣x+y>4,x+y≤2,所以A,C不正确;当a=4,集合A={(x,y)|x﹣y≥1,ax+y>4,x﹣ay≤2}={(x,y)|x﹣y≥1,4x+y>4,x ﹣4y≤2},显然(2,1)在可行域内,满足不等式,所以B不正确;故选:D.16.(2018年上海市高考数学试卷16)(5分)设D是含数1的有限实数集,f(x)是定义在D上的函数,若f(x)的图象绕原点逆时针旋转后与原图象重合,则在以下各项中,f(1)的可能取值只能是()A.B.C.D.0【解答】解:设D是含数1的有限实数集,f(x)是定义在D上的函数,若f(x)的图象绕原点逆时针旋转后与原图象重合,故f(1)=cos=,故选:B.17.(2018年浙江省高考数学试卷5)(4分)函数y=2|x|sin2x的图象可能是()A.B.C.D.【解答】解:根据函数的解析式y=2|x|sin2x,得到:函数的图象为奇函数,故排除A和B.当x=时,函数的值也为0,故排除C.故选:D.18.(2018年天津市高考数学试卷文科3)(5分)设x∈R,则“x3>8”是“|x|>2”的()A.充分而不必要条件B.必要而不充分条件C.充要条件D.既不充分也不必要条件【解答】解:由x3>8,得x>2,则|x|>2,反之,由|x|>2,得x<﹣2或x>2,则x3<﹣8或x3>8.即“x3>8”是“|x|>2”的充分不必要条件.故选:A.19.(2018年天津市高考数学试卷文科5)(5分)已知a=log3,b=(),c=log,则a,b,c的大小关系为()A.a>b>c B.b>a>c C.c>b>a D.c>a>b【解答】解:∵a=log 3,c=log=log35,且5,∴,则b=()<,∴c>a>b.故选:D.20.(2018年天津市高考数学试卷理科5)(5分)已知a=log2e,b=ln2,c=log,则a,b,c的大小关系为()A.a>b>c B.b>a>c C.c>b>a D.c>a>b【解答】解:a=log 2e>1,0<b=ln2<1,c=log=log23>log2e=a,则a,b,c的大小关系c>a>b,故选:D.二.填空题1.(2018年高考全国卷I文科13)(5分)已知函数f(x)=log2(x2+a),若f(3)=1,则a=.【解答】解:函数f(x)=log2(x2+a),若f(3)=1,可得:log2(9+a)=1,可得a=﹣7.故答案为:﹣7.2.(2018年高考全国卷2文科13)(5分)曲线y=2lnx在点(1,0)处的切线方程为.【解答】解:∵y=2lnx,∴y′=,当x=1时,y′=2∴曲线y=2lnx在点(1,0)处的切线方程为y=2x﹣2.故答案为:y=2x﹣2.3.(2018年高考全国卷2理科13)(5分)曲线y=2ln(x+1)在点(0,0)处的切线方程为.【解答】解:∵y=2ln(x+1),∴y′=,当x=0时,y′=2,∴曲线y=2ln(x+1)在点(0,0)处的切线方程为y=2x.故答案为:y=2x.4.(2018年高考全国卷3文科16)(5分)已知函数f(x)=ln(﹣x)+1,f(a)=4,则f(﹣a)=.【解答】解:函数g(x)=ln(﹣x)满足g(﹣x)=ln(+x)==﹣ln(﹣x)=﹣g(x),所以g(x)是奇函数.函数f(x)=ln(﹣x)+1,f(a)=4,可得f(a)=4=ln(﹣a)+1,可得ln(﹣a)=3,则f(﹣a)=﹣ln(﹣a)+1=﹣3+1=﹣2.故答案为:﹣2.5.(2018年高考全国卷3理科14)(5分)曲线y=(ax+1)e x在点(0,1)处的切线的斜率为﹣2,则a=.【解答】解:曲线y=(ax+1)e x,可得y′=ae x+(ax+1)e x,曲线y=(ax+1)e x在点(0,1)处的切线的斜率为﹣2,可得:a+1=﹣2,解得a=﹣3.故答案为:﹣3.6.(2018年北京市高考数学试卷理科13)(5分)能说明“若f(x)>f(0)对任意的x∈(0,2]都成立,则f(x)在[0,2]上是增函数”为假命题的一个函数是.【解答】解:例如f(x)=sinx,尽管f(x)>f(0)对任意的x∈(0,2]都成立,当x∈[0,)上为增函数,在(,2]为减函数,故答案为:f(x)=sinx.7.(2018年江苏省高考数学试卷5)(5分)函数f(x)=的定义域为.【解答】解:由题意得:≥1,解得:x≥2,∴函数f(x)的定义域是[2,+∞).故答案为:[2,+∞).8.(2018年江苏省高考数学试卷9)(5分)函数f(x)满足f(x+4)=f(x)(x∈R),且在区间(﹣2,2]上,f(x)=,则f(f(15))的值为.【解答】解:由f(x+4)=f(x)得函数是周期为4的周期函数,则f(15)=f(16﹣1)=f(﹣1)=|﹣1+|=,f()=cos()=cos=,即f(f(15))=,故答案为:9.(2018年江苏省高考数学试卷11)(5分)若函数f(x)=2x3﹣ax2+1(a∈R)在(0,+∞)内有且只有一个零点,则f(x)在[﹣1,1]上的最大值与最小值的和为.【解答】解:∵函数f(x)=2x3﹣ax2+1(a∈R)在(0,+∞)内有且只有一个零点,∴f′(x)=2x(3x﹣a),x∈(0,+∞),①当a≤0时,f′(x)=2x(3x﹣a)>0,函数f(x)在(0,+∞)上单调递增,f(0)=1,f(x)在(0,+∞)上没有零点,舍去;②当a>0时,f′(x)=2x(3x﹣a)>0的解为x>,∴f(x)在(0,)上递减,在(,+∞)递增,又f(x)只有一个零点,∴f()=﹣+1=0,解得a=3,f(x)=2x3﹣3x2+1,f′(x)=6x(x﹣1),x∈[﹣1,1],f′(x)>0的解集为(﹣1,0),f(x)在(﹣1,0)上递增,在(0,1)上递减,f(﹣1)=﹣4,f(0)=1,f(1)=0,∴f(x)min=f(﹣1)=﹣4,f(x)max=f(0)=1,∴f(x)在[﹣1,1]上的最大值与最小值的和为:f(x)max+f(x)min=﹣4+1=﹣3.10(2018年上海市高考数学试卷4)(4分)设常数a∈R,函数f(x)=1og2(x+a).若f(x)的反函数的图象经过点(3,1),则a=.【解答】解:∵常数a∈R,函数f(x)=1og2(x+a).f(x)的反函数的图象经过点(3,1),∴函数f(x)=1og2(x+a)的图象经过点(1,3),∴log2(1+a)=3,解得a=7.故答案为:7.10.(2018年上海市高考数学试卷7)(5分)已知α∈{﹣2,﹣1,﹣,1,2,3},若幂函数f(x)=xα为奇函数,且在(0,+∞)上递减,则α=.【解答】解:∵α∈{﹣2,﹣1,,1,2,3},幂函数f(x)=xα为奇函数,且在(0,+∞)上递减,∴a是奇数,且a<0,∴a=﹣1.故答案为:﹣1.11.(2018年上海市高考数学试卷11)(5分)已知常数a>0,函数f(x)=的图象经过点P(p,),Q(q,).若2p+q=36pq,则a=.【解答】解:函数f(x)=的图象经过点P(p,),Q(q,).则:,整理得:=1,解得:2p+q=a2pq,由于:2p+q=36pq,所以:a2=36,由于a>0,故:a=6.故答案为:612.(2018年上海市高考数学试卷12)(5分)已知实数x1、x2、y1、y2满足:x12+y12=1,x22+y22=1,x1x2+y1y2=,则+的最大值为.【解答】解:设A(x1,y1),B(x2,y2),=(x1,y1),=(x2,y2),由x12+y12=1,x22+y22=1,x1x2+y1y2=,可得A,B两点在圆x2+y2=1上,且•=1×1×cos∠AOB=,即有∠AOB=60°,即三角形OAB为等边三角形,AB=1,+的几何意义为点A,B两点到直线x+y﹣1=0的距离d1与d2之和,显然d1+d2≤AB=1,即+的最大值为1,故答案为:1.13.(2018年天津市高考数学试卷文科10)(5分)已知函数f(x)=e x lnx,f′(x)为f(x)的导函数,则f′(1)的值为.【解答】解:函数f(x)=e x lnx,则f′(x)=e x lnx+•e x;∴f′(1)=e•ln1+1•e=e.故答案为:e.14.(2018年天津市高考数学试卷文科13)(5分)已知a,b∈R,且a﹣3b+6=0,则2a+的最小值为.【解答】解:a,b∈R,且a﹣3b+6=0,可得:3b=a+6,则2a+==≥2=,当且仅当2a=.即a=﹣3时取等号.函数的最小值为:.故答案为:.15.(2018年天津市高考数学试卷文科14)(5分)己知a∈R,函数f(x)=.若对任意x∈[﹣3,+∞),f(x)≤|x|恒成立,则a的取值范围是.【解答】解:当x≤0时,函数f(x)=x2+2x+a﹣2的对称轴为x=﹣1,抛物线开口向上,要使x≤0时,对任意x∈[﹣3,+∞),f(x)≤|x|恒成立,则只需要f(﹣3)≤|﹣3|=3,即9﹣6+a﹣2≤3,得a≤2,当x>0时,要使f(x)≤|x|恒成立,即f(x)=﹣x2+2x﹣2a,则直线y=x的下方或在y=x上,由﹣x2+2x﹣2a=x,即x2﹣x+2a=0,由判别式△=1﹣8a≤0,得a≥,综上≤a≤2,故答案为:[,2].16.(2018年天津市高考数学试卷理科13)(5分)已知a,b∈R,且a﹣3b+6=0,则2a+的最小值为.【解答】解:a,b∈R,且a﹣3b+6=0,可得:3b=a+6,则2a+==≥2=,当且仅当2a=.即a=﹣3时取等号.函数的最小值为:.故答案为:.17.(2018年天津市高考数学试卷理科14)(5分)已知a>0,函数f(x)=.若关于x的方程f(x)=ax恰有2个互异的实数解,则a的取值范围是.【解答】解:当x≤0时,由f(x)=ax得x2+2ax+a=ax,得x2+ax+a=0,得a(x+1)=﹣x2,得a=﹣,设g(x)=﹣,则g′(x)=﹣=﹣,由g(x)>0得﹣2<x<﹣1或﹣1<x<0,此时递增,由g(x)<0得x<﹣2,此时递减,即当x=﹣2时,g(x)取得极小值为g(﹣2)=4,当x>0时,由f(x)=ax得﹣x2+2ax﹣2a=ax,得x2﹣ax+2a=0,得a(x﹣2)=x2,当x=2时,方程不成立,当x≠2时,a=设h(x)=,则h′(x)==,由h(x)>0得x>4,此时递增,由h(x)<0得0<x<2或2<x<4,此时递减,即当x=4时,h(x)取得极小值为h(4)=8,要使f(x)=ax恰有2个互异的实数解,则由图象知4<a<8,故答案为:(4,8)19(2018年浙江省高考数学试卷15)(6分)已知λ∈R,函数f(x)=,当λ=2时,不等式f(x)<0的解集是.若函数f(x)恰有2个零点,则λ的取值范围是.【解答】解:当λ=2时函数f(x)=,显然x≥2时,不等式x﹣4<0的解集:{x|2≤x<4};x<2时,不等式f(x)<0化为:x2﹣4x+3<0,解得1<x<2,综上,不等式的解集为:{x|1<x<4}.函数f(x)恰有2个零点,函数f(x)=的草图如图:函数f(x)恰有2个零点,则λ∈(1,3].故答案为:{x|1<x<4};(1,3].三.解答题1.(2018年高考全国卷I文科21)(12分)已知函数f(x)=ae x﹣lnx﹣1.(1)设x=2是f(x)的极值点,求a,并求f(x)的单调区间;(2)证明:当a≥时,f(x)≥0.【解答】解:(1)∵函数f(x)=ae x﹣lnx﹣1.∴x>0,f′(x)=ae x﹣,∵x=2是f(x)的极值点,∴f′(2)=ae2﹣=0,解得a=,∴f(x)=e x﹣lnx﹣1,∴f′(x)=,当0<x<2时,f′(x)<0,当x>2时,f′(x)>0,∴f(x)在(0,2)单调递减,在(2,+∞)单调递增.证明:(2)当a≥时,f(x)≥﹣lnx﹣1,设g(x)=﹣lnx﹣1,则﹣,当0<x<1时,g′(x)<0,当x>1时,g′(x)>0,∴x=1是g(x)的最小值点,故当x>0时,g(x)≥g(1)=0,∴当a≥时,f(x)≥0.2.(2018年高考全国卷I理科21)(12分)已知函数f(x)=﹣x+alnx.(1)讨论f(x)的单调性;(2)若f(x)存在两个极值点x1,x2,证明:<a﹣2.【解答】解:(1)函数的定义域为(0,+∞),函数的导数f′(x)=﹣﹣1+=﹣,设g(x)=x2﹣ax+1,当a≤0时,g(x)>0恒成立,即f′(x)<0恒成立,此时函数f(x)在(0,+∞)上是减函数,当a>0时,判别式△=a2﹣4,①当0<a≤4时,△≤0,即g(x)>0,即f′(x)<0恒成立,此时函数f(x)在(0,+∞)上是减函数,②当a>2时,x,f′(x),f(x)的变化如下表:x(0,)(,)(,+∞)f′(x)﹣0+0﹣f(x)递减递增递减综上当a≤2时,f(x)在(0,+∞)上是减函数,当a>2时,在(0,),和(,+∞)上是减函数,则(,)上是增函数.(2)由(1)知a>2,0<x1<1<x2,x1x2=1,则f(x1)﹣f(x2)=(x2﹣x1)(1+)+a(lnx1﹣lnx2)=2(x2﹣x1)+a(lnx1﹣lnx2),则=﹣2+,则问题转为证明<1即可,即证明lnx1﹣lnx2>x1﹣x2,即证2lnx1>x1﹣在(0,1)上恒成立,设h(x)=2lnx﹣x +,(0<x<1),其中h(1)=0,求导得h′(x)=﹣1﹣=﹣=﹣<0,则h(x)在(0,1)上单调递减,∴h(x)>h(1),即2lnx﹣x +>0,故2lnx>x﹣,则<a﹣2成立.3.(2018年高考全国卷2文科21)(12分)已知函数f(x)=x3﹣a(x2+x+1).(1)若a=3,求f(x)的单调区间;(2)证明:f(x)只有一个零点.【解答】解:(1)当a=3时,f(x)=x3﹣a(x2+x+1),所以f′(x)=x2﹣6x﹣3时,令f′(x)=0解得x=3,当x∈(﹣∞,3﹣2),x∈(3﹣2,+∞)时,f′(x)>0,函数是增函数,当x∈(3﹣2时,f′(x)<0,函数是单调递减,综上,f(x)在(﹣∞,3﹣2),(3﹣2,+∞),上是增函数,在(3﹣2上递减.(2)证明:因为x2+x+1=(x+)2+,所以f(x)=0等价于,令,则,所以g(x)在R上是增函数;取x=max{9a,1},则有=,取x=min{9a,﹣1},则有=,所以g(x)在(min{9a,﹣1},max{9a,1})上有一个零点,由单调性则可知,f(x)只有一个零点.4.(2018年高考全国卷2理科21)(12分)已知函数f(x)=e x﹣ax2.(1)若a=1,证明:当x≥0时,f(x)≥1;(2)若f(x)在(0,+∞)只有一个零点,求a.【解答】证明:(1)当a=1时,函数f(x)=e x﹣x2.则f′(x)=e x﹣2x,令g(x)=e x﹣2x,则g′(x)=e x﹣2,令g′(x)=0,得x=ln2.当∈(0,ln2)时,h′(x)<0,当∈(ln2,+∞)时,h′(x)>0,∴h(x)≥h(ln2)=e ln2﹣2•ln2=2﹣2ln2>0,∴f(x)在[0,+∞)单调递增,∴f(x)≥f(0)=1,解:(2),f(x)在(0,+∞)只有一个零点⇔方程e x﹣ax2=0在(0,+∞)只有一个根,⇔a=在(0,+∞)只有一个根,即函数y=a与G(x)=的图象在(0,+∞)只有一个交点.G,当x∈(0,2)时,G′(x)<0,当∈(2,+∞)时,G′(x)>0,∴G(x)在(0,2)递增,在(2,+∞)递增,当→0时,G(x)→+∞,当→+∞时,G(x)→+∞,∴f(x)在(0,+∞)只有一个零点时,a=G(2)=.5.(2018年高考全国卷3文科21)(12分)已知函数f(x)=.(1)求曲线y=f(x)在点(0,﹣1)处的切线方程;(2)证明:当a≥1时,f(x)+e≥0.【解答】解:(1)=﹣.∴f′(0)=2,即曲线y=f(x)在点(0,﹣1)处的切线斜率k=2,∴曲线y=f(x)在点(0,﹣1)处的切线方程方程为y﹣(﹣1)=2x.即2x﹣y﹣1=0为所求.(2)证明:函数f(x)的定义域为:R,可得=﹣.令f′(x)=0,可得,当x时,f′(x)<0,x时,f′(x)>0,x∈(2,+∞)时,f′(x)<0.∴f(x)在(﹣),(2,+∞)递减,在(﹣,2)递增,注意到a≥1时,函数g(x)=ax2+x﹣1在(2,+∞)单调递增,且g(@)=4a+1>0函数g(x)的图象如下:∵a≥1,∴,则≥﹣e,∴f(x)≥﹣e,∴当a≥1时,f(x)+e≥0.6.(2018年高考全国卷3理科21)(12分)已知函数f(x)=(2+x+ax2)ln(1+x)﹣2x.(1)若a=0,证明:当﹣1<x<0时,f(x)<0;当x>0时,f(x)>0;(2)若x=0是f(x)的极大值点,求a.【解答】(1)证明:当a=0时,f(x)=(2+x)ln(1+x)﹣2x,(x>﹣1).,,可得x∈(﹣1,0)时,f″(x)≤0,x∈(0,+∞)时,f″(x)≥0∴f′(x)在(﹣1,0)递减,在(0,+∞)递增,∴f′(x)≥f′(0)=0,∴f(x)=(2+x)ln(1+x)﹣2x在(﹣1,+∞)上单调递增,又f(0)=0.∴当﹣1<x<0时,f(x)<0;当x>0时,f(x)>0.(2)解:由f(x)=(2+x+ax2)ln(1+x)﹣2x,得f′(x)=(1+2ax)ln(1+x)+﹣2=,令h(x)=ax2﹣x+(1+2ax)(1+x)ln(x+1),h′(x)=4ax+(4ax+2a+1)ln(x+1).当a≥0,x>0时,h′(x)>0,h(x)单调递增,∴h(x)>h(0)=0,即f′(x)>0,∴f(x)在(0,+∞)上单调递增,故x=0不是f(x)的极大值点,不符合题意.当a<0时,h″(x)=8a+4aln(x+1)+,显然h″(x)单调递减,①令h″(0)=0,解得a=﹣.∴当﹣1<x<0时,h″(x)>0,当x>0时,h″(x)<0,∴h′(x)在(﹣1,0)上单调递增,在(0,+∞)上单调递减,∴h′(x)≤h′(0)=0,∴h(x)单调递减,又h(0)=0,∴当﹣1<x<0时,h(x)>0,即f′(x)>0,当x>0时,h(x)<0,即f′(x)<0,∴f(x)在(﹣1,0)上单调递增,在(0,+∞)上单调递减,∴x=0是f(x)的极大值点,符合题意;②若﹣<a<0,则h″(0)=1+6a>0,h″(e﹣1)=(2a﹣1)(1﹣e)<0,∴h″(x)=0在(0,+∞)上有唯一一个零点,设为x0,∴当0<x<x0时,h″(x)>0,h′(x)单调递增,∴h′(x)>h′(0)=0,即f′(x)>0,∴f(x)在(0,x0)上单调递增,不符合题意;③若a<﹣,则h″(0)=1+6a<0,h″(﹣1)=(1﹣2a)e2>0,∴h″(x)=0在(﹣1,0)上有唯一一个零点,设为x1,∴当x1<x<0时,h″(x)<0,h′(x)单调递减,∴h′(x)>h′(0)=0,∴h(x)单调递增,∴h(x)<h(0)=0,即f′(x)<0,∴f(x)在(x1,0)上单调递减,不符合题意.综上,a=﹣.7.(2018年北京市高考数学试卷文科19)(13分)设函数f(x)=[ax2﹣(3a+1)x+3a+2]e x.(Ⅰ)若曲线y=f(x)在点(2,f(2))处的切线斜率为0,求a;(Ⅱ)若f(x)在x=1处取得极小值,求a的取值范围.【解答】解:(Ⅰ)函数f(x)=[ax2﹣(3a+1)x+3a+2]e x的导数为f′(x)=[ax2﹣(a+1)x+1]e x.曲线y=f(x)在点(2,f(2))处的切线斜率为0,可得(4a﹣2a﹣2+1)e2=0,解得a=;(Ⅱ)f(x)的导数为f′(x)=[ax2﹣(a+1)x+1]e x=(x﹣1)(ax﹣1)e x,若a=0则x<1时,f′(x)>0,f(x)递增;x>1,f′(x)<0,f(x)递减.x=1处f(x)取得极大值,不符题意;若a>0,且a=1,则f′(x)=(x﹣1)2e x≥0,f(x)递增,无极值;若a>1,则<1,f(x)在(,1)递减;在(1,+∞),(﹣∞,)递增,可得f(x)在x=1处取得极小值;若0<a<1,则>1,f(x)在(1,)递减;在(,+∞),(﹣∞,1)递增,可得f(x)在x=1处取得极大值,不符题意;若a<0,则<1,f(x)在(,1)递增;在(1,+∞),(﹣∞,)递减,可得f(x)在x=1处取得极大值,不符题意.综上可得,a的范围是(1,+∞).8.(2018年北京市高考数学试卷理科18)(13分)设函数f(x)=[ax2﹣(4a+1)x+4a+3]e x.(Ⅰ)若曲线y=f(x)在点(1,f(1))处的切线与x轴平行,求a;(Ⅱ)若f(x)在x=2处取得极小值,求a的取值范围.【解答】解:(Ⅰ)函数f(x)=[ax2﹣(4a+1)x+4a+3]e x的导数为f′(x)=[ax2﹣(2a+1)x+2]e x.由题意可得曲线y=f(x)在点(1,f(1))处的切线斜率为0,可得(a﹣2a﹣1+2)e=0,解得a=1;(Ⅱ)f(x)的导数为f′(x)=[ax2﹣(2a+1)x+2]e x=(x﹣2)(ax﹣1)e x,若a=0则x<2时,f′(x)>0,f(x)递增;x>2,f′(x)<0,f(x)递减.x=2处f(x)取得极大值,不符题意;若a>0,且a=,则f′(x)=(x﹣2)2e x≥0,f(x)递增,无极值;若a>,则<2,f(x)在(,2)递减;在(2,+∞),(﹣∞,)递增,可得f(x)在x=2处取得极小值;若0<a<,则>2,f(x)在(2,)递减;在(,+∞),(﹣∞,2)递增,可得f(x)在x=2处取得极大值,不符题意;若a<0,则<2,f(x)在(,2)递增;在(2,+∞),(﹣∞,)递减,可得f(x)在x=2处取得极大值,不符题意.综上可得,a的范围是(,+∞).9.(2018年江苏省高考数学试卷19)(16分)记f′(x),g′(x)分别为函数f(x),g(x)的导函数.若存在x0∈R,满足f(x0)=g(x0)且f′(x0)=g′(x0),则称x0为函数f(x)与g (x)的一个“S点”.(1)证明:函数f(x)=x与g(x)=x2+2x﹣2不存在“S点”;(2)若函数f(x)=ax2﹣1与g(x)=lnx存在“S点”,求实数a的值;(3)已知函数f(x)=﹣x2+a,g(x)=.对任意a>0,判断是否存在b>0,使函数f(x)与g(x)在区间(0,+∞)内存在“S点”,并说明理由.【解答】解:(1)证明:f′(x)=1,g′(x)=2x+2,则由定义得,得方程无解,则f(x)=x与g(x)=x2+2x﹣2不存在“S点”;(2)f′(x)=2ax,g′(x)=,x>0,由f′(x)=g′(x)得=2ax,得x=,f()=﹣=g()=﹣lna2,得a=;(3)f′(x)=﹣2x,g′(x)=,(x≠0),由f′(x0)=g′(x0),得b=﹣>0,得0<x0<1,由f(x0)=g(x0),得﹣x02+a==﹣,得a=x02﹣,令h(x)=x2﹣﹣a=,(a>0,0<x<1),设m(x)=﹣x3+3x2+ax﹣a,(a>0,0<x<1),则m(0)=﹣a<0,m(1)=2>0,得m(0)m(1)<0,又m(x)的图象在(0,1)上连续不断,则m(x)在(0,1)上有零点,则h(x)在(0,1)上有零点,则f(x)与g(x)在区间(0,+∞)内存在“S”点.10.(2018年天津市高考数学试卷文科20)(14分)设函数f(x)=(x﹣t1)(x﹣t2)(x﹣t3),其中t1,t2,t3∈R,且t1,t2,t3是公差为d的等差数列.(Ⅰ)若t2=0,d=1,求曲线y=f(x)在点(0,f(0))处的切线方程;(Ⅱ)若d=3,求f(x)的极值;(Ⅲ)若曲线y=f(x)与直线y=﹣(x﹣t2)﹣6有三个互异的公共点,求d的取值范围.【解答】解:(Ⅰ)函数f(x)=(x﹣t1)(x﹣t2)(x﹣t3),t2=0,d=1时,f(x)=x(x+1)(x﹣1)=x3﹣x,∴f′(x)=3x2﹣1,f(0)=0,f′(0)=﹣1,∴y=f(x)在点(0,f(0))处的切线方程为y﹣0=﹣1×(x﹣0),即x+y=0;(Ⅱ)d=3时,f(x)=(x﹣t2+3)(x﹣t2)(x﹣t2﹣3)=﹣9(x﹣t2)=x3﹣3t2x2+(3﹣9)x ﹣+9t2;∴f′(x)=3x2﹣6t2x+3﹣9,令f′(x)=0,解得x=t2﹣或x=t2+;当x变化时,f′(x),f(x)的变化情况如下表;x(﹣∞,t2﹣)t2﹣(t2﹣,t2+)t2+(t2+,+∞)f′(x)+0﹣0+f(x)单调增极大值单调减极小值单调增∴f(x)的极大值为f(t2﹣)=﹣9×(﹣)=6,极小值为f(t2+)=﹣9×=﹣6;(Ⅲ)曲线y=f(x)与直线y=﹣(x﹣t2)﹣6有三个互异的公共点,等价于关于x的方程(x﹣t2+d)(x﹣t2)(x﹣t2﹣d)+(x﹣t2)﹣6=0有三个互异的实数根,令u=x﹣t2,可得u3+(1﹣d2)u+6=0;设函数g(x)=x3+(1﹣d2)x+6,则曲线y=f(x)与直线y=﹣(x﹣t2)﹣6有3个互异的公共点,等价于函数y=g(x)有三个不同的零点;又g′(x)=3x2+(1﹣d2),当d2≤1时,g′(x)≥0恒成立,此时g(x)在R上单调递增,不合题意;当d2>1时,令g′(x)=0,解得x1=﹣,x2=;∴g(x)在(﹣∞,x1)上单调递增,在(x1,x2)上单调递减,在(x2,+∞)上也单调递增;∴g(x)的极大值为g(x1)=g (﹣)=+6>0;极小值为g(x2)=g ()=﹣+6;若g(x2)≥0,由g(x)的单调性可知,函数g(x)至多有两个零点,不合题意;若g(x2)<0,即>27,解得|d|>,此时|d|>x2,g(|d|)=|d|+6>0,且﹣2|d|<x1;g(﹣2|d|)=﹣6|d|3﹣2|d|+6<0,从而由g(x)的单调性可知,函数y=g(x)在区间(﹣2|d|,x1),(x1,x2),(x2,|d|)内各有一个零点,符合题意;∴d的取值范围是(﹣∞,﹣)∪(,+∞).11.(2018年天津市高考数学试卷理科20)(14分)已知函数f(x)=a x,g(x)=log a x,其中a>1.(Ⅰ)求函数h(x)=f(x)﹣xlna的单调区间;(Ⅱ)若曲线y=f(x)在点(x1,f(x1))处的切线与曲线y=g(x)在点(x2,g(x2))处的切线平行,证明x1+g(x2)=;(Ⅲ)证明当a≥e时,存在直线l,使l是曲线y=f(x)的切线,也是曲线y=g(x)的切线.【解答】(Ⅰ)解:由已知,h(x)=a x﹣xlna,有h′(x)=a x lna﹣lna,令h′(x)=0,解得x=0.由a>1,可知当x变化时,h′(x),h(x)的变化情况如下表:x(﹣∞,0)0(0,+∞)h′(x)﹣0+h(x)↓极小值↑∴函数h(x)的单调减区间为(﹣∞,0),单调递增区间为(0,+∞);(Ⅱ)证明:由f′(x)=a x lna,可得曲线y=f(x)在点(x1,f(x1))处的切线的斜率为lna.由g′(x)=,可得曲线y=g(x)在点(x2,g(x2))处的切线的斜率为.∵这两条切线平行,故有,即,两边取以a为底数的对数,得log a x2+x1+2log a lna=0,∴x1+g(x2)=;(Ⅲ)证明:曲线y=f(x)在点()处的切线l1:,曲线y=g(x)在点(x2,log a x2)处的切线l2:.要证明当a≥时,存在直线l,使l是曲线y=f(x)的切线,也是曲线y=g(x)的切线,只需证明当a≥时,存在x1∈(﹣∞,+∞),x2∈(0,+∞)使得l1与l2重合,即只需证明当a≥时,方程组由①得,代入②得:,③因此,只需证明当a≥时,关于x1的方程③存在实数解.设函数u(x)=,既要证明当a≥时,函数y=u(x)存在零点.u′(x)=1﹣(lna)2xa x,可知x∈(﹣∞,0)时,u′(x)>0;x∈(0,+∞)时,u′(x)单调递减,又u′(0)=1>0,u′=<0,故存在唯一的x0,且x0>0,使得u′(x0)=0,即.由此可得,u(x)在(﹣∞,x0)上单调递增,在(x0,+∞)上单调递减,u(x)在x=x0处取得极大值u(x0).∵,故lnlna≥﹣1.∴=.下面证明存在实数t,使得u(t)<0,由(Ⅰ)可得a x≥1+xlna,当时,有u(x)≤=.∴存在实数t,使得u(t)<0.因此,当a≥时,存在x1∈(﹣∞,+∞),使得u(x1)=0.∴当a≥时,存在直线l,使l是曲线y=f(x)的切线,也是曲线y=g(x)的切线.12.(2018年浙江省高考数学试卷22)(15分)已知函数f(x)=﹣lnx.(Ⅰ)若f(x)在x=x1,x2(x1≠x2)处导数相等,证明:f(x1)+f(x2)>8﹣8ln2;(Ⅱ)若a≤3﹣4ln2,证明:对于任意k>0,直线y=kx+a与曲线y=f(x)有唯一公共点.【解答】证明:(Ⅰ)∵函数f(x)=﹣lnx,∴x>0,f′(x)=﹣,∵f(x)在x=x1,x2(x1≠x2)处导数相等,∴=﹣,∵x1≠x2,∴+=,由基本不等式得:=≥,∵x1≠x2,∴x1x2>256,由题意得f(x 1)+f(x2)==﹣ln(x1x2),设g(x)=,则,∴列表讨论:x(0,16)16(16,+∞)g′(x)﹣0+g(x)↓2﹣4ln2↑∴g(x)在[256,+∞)上单调递增,∴g(x1x2)>g(256)=8﹣8ln2,∴f(x1)+f(x2)>8﹣8ln2.(Ⅱ)令m=e﹣(|a|+k),n=()2+1,则f(m)﹣km﹣a>|a|+k﹣k﹣a≥0,f(n)﹣kn﹣a<n(﹣﹣k)≤n(﹣k)<0,∴存在x0∈(m,n),使f(x0)=kx0+a,∴对于任意的a∈R及k∈(0,+∞),直线y=kx+a与曲线y=f(x)有公共点,由f(x)=kx+a,得k=,设h(x)=,则h′(x)==,其中g(x)=﹣lnx,由(1)知g(x)≥g(16),又a≤3﹣4ln2,∴﹣g(x)﹣1+a≤﹣g(16)﹣1+a=﹣3+4ln2+a≤0,∴h′(x)≤0,即函数h(x)在(0,+∞)上单调递减,∴方程f(x)﹣kx﹣a=0至多有一个实根,综上,a≤3﹣4ln2时,对于任意k>0,直线y=kx+a与曲线y=f(x)有唯一公共点.312018高考数学汇编函数第页共页。
复合函数 抽象函数1. 抽象函数是指没有给出函数的具体解析式,只给出了一些体现函数特征的式子的一类函数。
由于抽象函数表现形式的抽象性,使得这类问题成为函数内容的难点之一。
2. 复合函数的构成:设u =g(x)是A 到B 的函数,y =f(u)是B’到C’上的函数,且B ⊆B′,当u 取遍B 中的元素时,y 取遍C ,那么y =f[g (x )]就是A 到C 上的函数。
此函数称为由外函数y =f(x)和内函数u =g(x)复合而成的复合函数。
说明:⑴ 函数f(x)的定义域是指x 的取值范围。
⑵ 复合函数的定义域,就是复合函数y =f[g (x )]中x 的取值范围。
而不是g(x)的取值范围。
⑶ x 称为直接变量,u 称为中间变量,u 的取值范围即为g(x)的值域. ⑷ f[g (x )]与g[f (x )]表示不同的复合函数。
求定义域题目类型及做法:⑴ 已知f(x)的定义域为A ,求f[g (x )]的定义域,其实是已知g(x)的取值范围A ,求x的取值范围。
⑵ 已知f[g (x )]的定义域为B ,求f(x)的定义域,其实质是已知f[g (x )]中的x 的取值范围为B ,求出g(x)的取值范围(值域)。
此范围就是f(x)的定义域。
⑶ 在相同对应法则f 下的变量的范围相同,即f(t)、f[φ(x )]、f[g (x )]三个函数中t,φ(x),g(x)的范围(值域)相同。
⑷ 已知f[g (x )]的定义域,求f[g (x )]的定义域,先由x 的取值范围,求出g(x)的取值范围,即f(x)中的x 的取值范围,再由此确定g(x)的取值范围,进而根据g(x)的取值范围,求出g(x)中x 的取值范围。
题型一 求复合函数f[φ(x )]1. 设函数53)(,32)(-=+=x x g x x f ,求))(()),((x f g x g f .2. 已知f (x )=1−x 1+x ( x ∈R,且x ≠−1),g (x )=x 2−1 (x ∈R ).⑴ 求f(2),g(3)d 的值;⑵ 求f [g (3)]的值及f [g (x )].⑶ 求f(1x )3.设f(x)=2x−1,g(x)=2x+1,求f[f(x)],f[g(x)],g[g(x)],g[f(x)].题型二根据抽象函数求f(x)4.若f(1x )=x1−x,求f(x).5.已知函数f(x)满足2f(x)−f(−x)=1x,求f(x).6.(1) 已知函数f(x)=x2,求f(x−1).(2) 已知函数f(x−1)=x2,求f(x).7. 已知f(x)是一次函数,且满足3f (x +1)−2f (x −1)=2x +17,求f(x).题型三 求复合函数的定义域8. ⑴若函数)(x f 的定义域是[0,1],求)21(x f -的定义域;⑵若)12(-x f 的定义域是[-1,1],求函数)(x f 的定义域;(3)已知)3(+x f 定义域是[)5,4-,求)32(-x f 定义域.9. (1)已知函数f(x)的定义域是[0,1],求f(x 2+1)的定义域;(2)已知函数f(2x −1)的定义域为[0,1),求f (1−3x )的定义域.10.已知函数y=f(x)的定义域是[-2,4],求g(x)=f(x)+f(−x)的定义域.附:函数值域1.求f(x)=2x−1(x∈(1,2))的值域的值域2.求f(x)=x+1x3.求f(x)=x+2的值域x+14.求f(x)=x2+2x+1的值域5.求f(x)=√2x+1的值域6.求f(x)=√x−1+x的值域。
专题五 复合函数问题一、复合函数定义: 设y=f(u)的定义域为A ,u=g(x)的值域为B ,若A ⊇B ,则y 关于x 函数的y=f [g(x)]叫做函数f 与g 的复合函数,u 叫中间量. 二、复合函数定义域问题:题型一、已知f x ()的定义域,求[]f g x ()的定义域思路:设函数f x ()的定义域为D ,即x D ∈,所以f 的作用范围为D ,又f 对g x ()作用,作用范围不变,所以D x g ∈)(,解得x E ∈,E 为[]f g x ()的定义域。
例1. 设函数f u ()的定义域为(0,1),则函数f x (ln )的定义域为__________。
解:函数f u ()的定义域为(0,1)即u ∈()01,,所以f 的作用范围为(0,1) 又f 对lnx 作用,作用范围不变,所以01<<ln x 解得x e ∈()1,,故函数f x (ln )的定义域为(1,e )例2. 若函数f x x ()=+11,则函数[]f f x ()的定义域为______________。
解:先求f 的作用范围,由f x x ()=+11,知x ≠-1即f 的作用范围为{}x R x ∈≠-|1,又f 对f(x)作用所以f x R f x ()()∈≠-且1,即[]f f x ()中x 应满足x f x ≠-≠-⎧⎨⎩11()即x x ≠-+≠-⎧⎨⎪⎩⎪1111,解得x x ≠-≠-12且故函数[]f f x ()的定义域为{}x R x x ∈≠-≠-|12且 题型二、已知[]f g x ()的定义域,求f x ()的定义域思路:设[]f g x ()的定义域为D ,即x D ∈,由此得g x E ()∈,所以f 的作用范围为E ,又f 对x 作用,作用范围不变,所以x E E ∈,为f x ()的定义域。
例3. 已知f x ()32-的定义域为[]x ∈-12,,则函数f x ()的定义域为_____。
高中数学复合函数常考题型
2018高三专题复习-函数(2)
复合函数常考的题型有:
(1)求解定义域问题
(已知f x ()的定义域,求[]f g x ()的定义域;已知[]f g x ()的定义域,求f x ()的定义域; 已知[]f g x ()的定义域,求[]f h x ()的定义域)遵循等位等效性原则。
(2)判定函数单调性问题:
已知函数))((x g f y =.若)(x g u =在区间b a ,( )上是减函数,其值域为(c ,d),又函数 )(u f y =在区间(c,d)上是减函数,那么,原复合函数))((x g f y =在区间b a ,( )上是增 函数.遵循同增异减原则。
一、复合函数定义域问题:
(1)、已知f x ()的定义域,求[]f g
x ()的定义域 例1. 设函数f u ()的定义域为(0,1),则函数f x (ln )的定义域为_____________。
解析:函数f u ()的定义域为(0,1)即u ∈()01,,所以f 的作用范围为(0,1) 又f 对lnx 作用,作用范围不变,所以01
<<l n x 解得x e ∈()1,,故函数f x (ln )的定义域为(1,e )
例2. 若函数f x x ()=+11
,则函数[]f f x ()的定义域为______________。
答案:{}
xR x x ∈≠-≠-|12且 (2)、已知[]f g
x ()的定义域,求f x ()的定义域 思路:设[]f g x ()的定义域为D ,即x D
∈,由此得g x E ()∈,所以f 的作用范围为E ,又f 对x 作用,作用范围不变,所以x E
E ∈,为f x ()的定义域。
例3. 已知f x ()32-的定义域为[]x ∈-12,,则函数f x ()的定义域为_________。
解析:f x ()32-的定义域为[]-12,,即[]x ∈-12,,由此得[]
3215-∈-x , 所以f 的作用范围为[]-15,,又f 对x 作用,作用范围不变,所以[]x ∈-15,
即函数f x ()的定义域为[]-15,
例4. 已知f x x x ()l g 2
2248-=-,则函数f x ()的定义域为______________。
答案:()4,+∞
(3)、已知[]f g x ()的定义域,求[]f h x ()的定义域
思路:设[]f g x ()的定义域为D ,即x D
∈,由此得g x E ()∈,f 的作用范围为E ,又f 对h x ()作用,作用范围不变,所以h x E ()∈,解得x F ∈
,F 为[]f h x ()的定义域。
例5. 若函数f x ()2的定义域为[]-11,,则f x
(l o g )2的定义域为____________。
解析:f x ()2的定义域为[]-11,,即[]x ∈-11,, 由此得2122x ∈⎡⎣⎢⎤⎦⎥,f 的作用范围为122,⎡⎣⎢⎤⎦
⎥ 又f 对log 2x 作用,所以log 2122x ∈⎡⎣⎢⎤⎦⎥,,解得[]
x ∈24, 即f x (l o g )2的定义域为[]
24,。
二、复合函数单调性问题
已知函数))((x g f y =.若)(x g u =在区间b a ,( )上是减函数,其值域为(c ,d),又函数)(u f y =在区间(c,d)上是减函数,那么,原复合函数))((x g f y =在区间b a ,( )上是增函数.
例、证明:在区间b a ,()内任取两个数21,x x ,使b x x a <<<21
因为)(x g u =在区间b a ,()上是减函数,所以)()(21x g x g >,记)(11x g u =, )(22x g u =即),(,21,21d c u u u u ∈>且
因为函数)(u f y =在区间(c,d)上是减函数,所以)()(21u f u f <,即))(())((21x g f x g f <, 故函数))((x g f y =在区间b a ,()上是增函数.
复合函数的单调性是由两个函数共同决定 “同向得增,异向得减”或“同增异减”. 复合函数))((x g f y =的单调性判断
例1、 求函数)32(log 22
1--=x x y 的单调区间,并用单调定义给予证明
解:定义域 130322-<>⇒>--x x x x 或
单调减区间是),3(+∞ 设2121),3(,x x x x <+∞∈且 则
)32(log 121211--=x x y )32(l o g 22
2212--=x x y
---)32(121x x )32(222--x x =)2)((1212-+-x x x x
∵312>>x x ∴012>-x x 0212>-+x x
∴)32(121--x x >)32(222--x x 又底数12
10<<
∴012<-y y 即 12y y <
∴y 在),3(+∞上是减函数 同理可证:y 在)1,(--∞上是增函数 例2、讨论函数)123(log )(2--=x x x f a 的单调性.
[解]由01232>--x x 得函数的定义域为}.3
1,1|{-<>x x x 或 则当1>a 时,若1>x ,∵1232--=x x u 为增函数,∴)123(log )(2--=x x x f a 为增函数. 若3
1-<x ,∵1232--=x x u 为减函数.∴)123(log )(2--=x x x f a 为减函数。
当10<<a 时,若1>x ,则)123(log )(2--=x x x f a 为减函数,
若3
1-<x ,则)123(log )(2--=x x x f a 为增函数. 例3、.已知y=a log (2-x a )在[0,1]上是x 的减函数,求a 的取值范围. 答案:0<a<1或1<a <2例4、已知函数2)3()2(2-+--=-a x a ax x f (a 为负整数)的图象经过点R m m ∈-),0,2(,设)()()()],([)(x f x pg x F x f f x g +==.问是否存在实数)0(<p p 使得)(x F 在区间)]2(,(f -∞上是减函数,且在区间)0),2((f 上是减函数?并证明你的结论。
[解析]由已知0)2(=-m f ,得02)3(2=-+--a m a am , 其中.0,≠∈a R m ∴0≥∆即09232≤--a a , 解得.37213721+≤≤-a ∵a 为负整数,∴.1-=a
∴1)2(34)2(2+--=-+-=-2x x x x f ,即.1)(2+-=x x f 242221)1()]([)(x x x x f f x g +-=++--==,
∴.1)12()()()(24+-+-=+=x p px x f x pg x F 假设存在实数)0(<p p ,使得)(x F 满足条件,设21x x <,
∴].12)()[()()(22
21222121-++--=-p x x p x x x F x F ∵3)2(-=f ,当)3,(,21--∞∈x x 时,)(x F 为减函数,
∴0)()(21>-x F x F ,∴.012)(,022
212221>-++->-p x x p x x ∵3,321-<-<x x ,∴182221>+x x ,∴11612)(22
21-->-++-p p x x p , ∴.0116≥--p ①
当)0,3(,21-∈x x 时,)(x F 增函数,∴.0)()(21<-x F x F
∵02221>-x x ,∴11612)(22
21--<-++-p p x x p , ∴0116≤--p .
② 由①、②可知161-=p ,故存在.16
1-=p
针对性课堂训练
一、复合函数定义域问题部分
1、 已知函数)x (f 的定义域为]1,0[,求函数)x (f 2的定义域。
答案:]1,1[-
2、 已知函数)x 23(f -的定义域为]3,3[-,求)x (f 的定义域。
答案:]9,3[-
3、 已知函数)2x (f y +=的定义域为)0,1(-,求|)1x 2(|f -的定义域。
答案:)23,1()0,21(⋃-
二、复合函数单调性问题:
1、函数y =2
1log (x 2-3x +2)的单调递减区间是( )
答案(2,+∞)
2、找单调区间. (1))1(232>=++-a a y x x ; (2).2322++-=x x y
答案:(1)在]23,(-∞上是增函数,在),2
3[+∞上是减函数。
(2)单调增区间是]1,1[-,减区间是]3,1[。
3、讨论)0,0(),1(log ≠>-=a a a y x a 且的单调性。
答案:,1>a 时),0(+∞为增函数,01>>a 时,)0,(-∞为增函数。