2017年河南省普通高考本科一批院校投档分数线
- 格式:docx
- 大小:1.77 MB
- 文档页数:13
2017年全国各省高考录取分数线一本分数线二本分数线三本分数线文科分数线理科分数线专科分数线2017年高考分数线将在6月下旬公布,出国留学网高考频道为您第一时间提供2017年全国各省高考录取分数线,欢迎大家参考。
2017年甘肃、河北高考分数线6月22日已公布2017年全国各省市高考分数线一览表省份总分文科理科详情第一批第二批第三批第一批第二批第三批北京750555468150(专科)537439150(专科)详情上海600402(3+3)402(3+3)402(3+3)402(3+3)402(3+3)402(3+3)详情天津750531401521395详情重庆750525436150(专科)492395150(专科)详情山东750483483483433433433详情江苏480/440333281331269详情浙江810/750577480359577480359详情安徽750515 440200(专科)487413200(专科)详情福建750491457307(专科)392342247(专科)详情广西750535473180(专科)387318180(专科)详情广东750514417AB508402AB详情360245330245海南900653577602543详情湖北750532422200(专科)486327200(专科)详情湖南750548485441505424383详情江西750533458503422详情河南750516398180(专科)484342180(专科)详情河北750518396200(专科)486327200(专科)详情山西750518452481400详情内蒙古750472375160(专科)466328160(专科)详情宁夏750519487407439408328详情新疆750487415372464394363详情青海750457415379416380353详情陕西750509457334449397301 详情甘肃750505458383(高职专科180)460408337(高职专科180)详情四川750537470511436详情云南772557472505425详情贵州750545453200(专科)456361200(专科)详情西藏750少汉少汉少汉少汉详情325440285355285425235315辽宁750532428180(专科)480350180(专科)详情吉林750528412286507379260详情黑龙江750481400455335详情高考热点聚焦高考志愿填报高考志愿填报时间高考志愿填报系统征集志愿一本分数线二本分数线三本分数线专科分数线一本大学排名二本大学排名三本大学排名专科学校排名文科热门专业文科大学排名理科热门专业理科大学排名2017全国高考满分作文2017高考真题及答案专题2017高考状元名单专题2017年高考录取分数线。
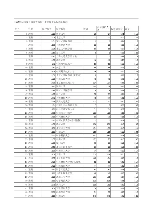
排序科类院校代号院校名称计划实际投档人数投档最低分语文1理科1115清华大学5964673115 2理科1105北京大学2727672121 3理科1131复旦大学医学院33661115 4理科1290上海交通大学1212658118 5理科1106北京大学医学部3333657119 6理科1130复旦大学88656121 7理科2260上海交通大学医学院77655116 8理科1195浙江大学4646653115 9理科175中国科学院大学3131650118 10理科1160南京大学5656648118 11理科1525中国科学技术大学3939647126 12理科1106北京大学医学部(医护类)55646115 13理科1110中国人民大学4345645116 14理科1485北京航空航天大学127127639121 15理科1310同济大学118136637105 16理科1196浙江大学医学院99635122 17理科1165南开大学9599634117 18理科1445上海财经大学4347631119 19理科1185西安交通大学123137630103 20理科191中国社会科学院大学77626107 21理科1450对外经济贸易大学3131625117 22理科1495哈尔滨工业大学116118622106 23理科1460中央财经大学6570621111 24理科1113中国人民大学(苏州校区)33619117 25理科1180武汉大学406406619107 26理科1490北京理工大学121133618111 27理科1215中山大学113113616103 28理科1140华中科技大学387391615128 29理科1125东南大学152152613108 30理科1190厦门大学7986612110 31理科1430北京外国语大学1515610125 32理科1280华南理工大学7779610114 33理科1305天津大学228239610110 34理科1235北京邮电大学115121609117 35理科1460中央财经大学(较高收费)1212606114 36理科1465中国政法大学4444606104 37理科1410华东师范大学9497605112 38理科1440上海外国语大学1515605106 39理科1515西北工业大学191193604115 40理科1250电子科技大学221223603115 41理科1175四川大学183192602111 42理科1605天津医科大学3636601125 43理科2200首都医科大学2425600116 44理科1210中南大学341341598122 2017年河南省普通高招本科一批院校平行投档分数线45理科1355重庆大学133137598113 46理科1120北京交通大学113113598112 47理科1490北京理工大学(较高收费)56597118 48理科1135湖南大学241253596110 49理科1190厦门大学(较高收费)1414595111 50理科1251电子科技大学(沙河校区)4848595109 51理科1245大连理工大学201201594108 52理科1505南京航空航天大学170173593118 53理科1275华东理工大学109114592106 54理科1230北京科技大学137139592104 55理科1470中国传媒大学2526590117 56理科1510南京理工大学123129589113 57理科1375中国农业大学9396589105 58理科1135湖南大学(较高收费)77589103 59理科1100中央民族大学1919588116 60理科1170山东大学218222588112 61理科1320西安电子科技大学232241588109 62理科1496哈尔滨工业大学(威海)133133587118 63理科1145吉林大学(较高收费)2020587106 64理科1790上海大学156159586117 65理科1205中南财经政法大学132132585126 66理科1455西南财经大学5151585117 67理科2025重庆医科大学2021585103 68理科1560北京工业大学1723584115 69理科1255东北大学222233583113 70理科1830苏州大学127132582119 71理科1330中国海洋大学8189582118 72理科1315武汉理工大学360364581113 73理科1173山东大学威海分校10410758111274理科1251电子科技大学(沙河校区)(较高收费)252558110875理科1325西南交通大学150150581106 76理科1520暨南大学3234580115 77理科1415华中师范大学8293580108 78理科1260东华大学97112580102 79理科1965深圳大学2727579107 80理科1225北京化工大学106114579105 81理科1170山东大学(较高收费)2930578114 82理科1237北京邮电大学(宏福校区)2930578109 83理科2500首都经济贸易大学2424577103 84理科1270河海大学176185577102 85理科1155兰州大学12112557798 86理科1248大连理工大学(盘锦校区)5960576112 87理科1145吉林大学526552576111 88理科2815安徽医科大学66576105 89理科2310南方医科大学485457511290理科1173山东大学威海分校(较高收费)202057411991理科1220华北电力大学(北京)95100574110 92理科1200华北电力大学(保定)120126574109 93理科1150江南大学136146574105 94理科1245大连理工大学(其他单列)1919574101 95理科2630山西医科大学5557497 96理科1855南京师范大学7276573110 97理科1455西南财经大学(较高收费)33572112 98理科2090西北大学3637572108 99理科1395中国药科大学9092572107 100理科2030西南政法大学303257299 101理科1790上海大学(较高收费)3136571120 102理科1380北京林业大学100102571113 103理科2605中国医科大学3333571112 104理科1895福州大学5260571108 105理科1355重庆大学(较高收费)11571105 106理科1335中国地质大学(北京)7779570110 107理科3275河北医科大学1516570109 108理科1500哈尔滨工程大学233245570106 109理科1190厦门大学(医护类)3333569113 110理科1810华东政法大学6972569108 111理科1215中山大学(医护类)55569103 112理科1630河北工业大学5050569101 113理科1515西北工业大学(较高收费)252556997 114理科1240长安大学267275568118 115理科1425西南大学94101568112 116理科1295中国石油大学(北京)677056899 117理科1315武汉理工大学(较高收费)2020567113 118理科1340中国地质大学(武汉)199209567100 119理科1435北京语言大学2121566119 120理科2625新疆医科大学22566116 121理科1265合肥工业大学247259566105 122理科1375中国农业大学(较高收费)99566105 123理科1565北京第二外国语学院1515566104 124理科1345中国矿业大学(北京)115115566101 125理科1120北京交通大学(较高收费)1616565116 126理科2315南京邮电大学138141565110 127理科1805上海对外经贸大学6767565106 128理科1285大连海事大学127128564113 129理科1258东北大学秦皇岛分校138141564104 130理科1265合肥工业大学(较高收费)88563111 131理科2240南京审计大学9393563105 132理科1885安徽大学4850562117 133理科1985华南师范大学99562115 134理科1960广东外语外贸大学1415562110 135理科1910南昌大学107118562108 136理科2420杭州电子科技大学110112561115137理科1320西安电子科技大学(较高收费)3030561115138理科6000郑州大学27642817561104 139理科1795上海理工大学11411956197 140理科1420陕西师范大学7981560107 141理科2925上海立信会计金融学院4646559120 142理科2030西南政法大学(较高收费)33559112 143理科2265南京财经大学373955994 144理科1270河海大学(较高收费)1010558115 145理科2415浙江工业大学6567558110 146理科2035重庆邮电大学404255899 147理科1935湖南师范大学3738557112 148理科2080云南大学4444557106 149理科2225首都师范大学1415557105 150理科1350中国矿业大学325325557104 151理科1725东北财经大学2323557101 152理科4060浙江工商大学2727556116 153理科1975广州中医药大学1919556116 154理科1405东北师范大学9292556115 155理科2365太原理工大学101105556113 156理科2115西北政法大学2222556106 157理科1690辽宁大学7676556104 158理科1268合肥工业大学(宣城校区)145145556104 159理科2110西安外国语大学1213556102 160理科2560温州医科大学8080555112 161理科1185西安交通大学(医护类)1616555108 162理科1325西南交通大学(较高收费)1717555107 163理科1370西北农林科技大学371378555105 164理科1175四川大学(医护类)121255596 165理科1915江西财经大学5659554115 166理科1300中国石油大学(华东)239246554115 167理科1245大连理工大学(较高收费)1414554109 168理科1840江苏大学132139554104 169理科1550北京工商大学363755496 170理科1740延边大学6755495 171理科1365南京农业大学221223553122 172理科2600天津中医药大学3232553122 173理科2220武汉科技大学130134553113 174理科4200福建医科大学7171553112 175理科2340汕头大学2424553106 176理科2255浙江理工大学100102553103 177理科2635大连医科大学393955399 178理科1360华中农业大学27128255397 179理科2230天津财经大学6262552116 180理科1330中国海洋大学(较高收费)1011552106 181理科2100西安建筑科技大学3032552106 182理科1830苏州大学(较高收费)1616552101 183理科2380北京信息科技大学3838552100 184理科2305贵州大学464855296185理科2205青岛大学7171551124 186理科2910四川外国语大学66551108 187理科2855广州医科大学1618551106 188理科2105西安邮电大学545555198 189理科1845南京工业大学188188550125 190理科1150江南大学(较高收费)33550114 191理科2000广西大学6262550113 192理科1635燕山大学108112550112 193理科4830广东医科大学1418550109 194理科2805西安理工大学99104550109 195理科2860上海海事大学7677549115 196理科1835扬州大学7580549113 197理科1880宁波大学7575549113 198理科2250天津外国语大学4545549112 199理科2850广州大学2122549111 200理科1795上海理工大学(较高收费)2526549110 201理科1225北京化工大学(较高收费)1618549106 202理科1350中国矿业大学(较高收费)181854996 203理科1145吉林大学(医护类)1010548120 204理科2280北京建筑大学2727548116 205理科2535西安科技大学3840548108 206理科1930湘潭大学133141548107 207理科2320北方工业大学4752548105 208理科1860南京信息工程大学142143548104 209理科1121北京交通大学(威海校区)1819547116 210理科2930广东工业大学5866547114 211理科2210湖北大学9094547111 212理科2300长沙理工大学133******** 213理科1425西南大学(较高收费)3940546110 214理科2550北京联合大学66546104 215理科2290中国计量大学5656546102 216理科2385安徽财经大学6368545110 217理科2390上海师范大学138138545107 218理科2450成都理工大学5858545103 219理科2650广西医科大学242454598 220理科2870天津理工大学17217254597 221理科1145吉林大学(农林矿)3232544125 222理科2410青岛理工大学7272544112 223理科2345宁波诺丁汉大学2324544108224理科1370西北农林科技大学(较高收费)57544107225理科3595大连外国语大学3434543110 226理科2215中国民航大学177179543108 227理科2920山西财经大学2828543103228理科2570上海中医药大学(较高收费)2254395229理科9919上海戏剧学院55542111 230理科2750海南大学360367542111231理科1248大连理工大学(盘锦校区)(较高收费)1111542108232理科1895福州大学(农林矿)66542103 233理科2270江苏科技大学909354296 234理科2780山东科技大学5353541121 235理科2325华侨大学98100541114 236理科2525天津工业大学293293541110 237理科2090西北大学(较高收费)1010541106 238理科2275青岛科技大学6767541102 239理科2330西安工业大学343954197 240理科2755宁夏大学353554197 241理科3780上海工程技术大学3840540113 242理科2865重庆交通大学100100540106 243理科2570上海中医药大学2828540100 244理科2505南京林业大学109112539114 245理科2395集美大学117117539113 246理科2095陕西科技大学6467539107 247理科2890重庆工商大学7680539106 248理科195上海海关学院141453999 249理科4055杭州师范大学6767538108 250理科1745长春理工大学7478538106 251理科1715沈阳药科大学5656538101 252理科2430南昌航空大学364053897 253理科1910南昌大学(较高收费)353553894 254理科1415华中师范大学(较高收费)3131537114 255理科1660山西大学7577537112 256理科2400北京物资学院1818537112 257理科1427西南大学(荣昌校区)2020536112 258理科4350济南大学8383536102 259理科5035重庆理工大学8589536101 260理科5610上海政法学院7070535118 261理科2405天津师范大学114119535116 262理科1385东北林业大学320330535105263理科5115西南医科大学(原泸州医学院)4040535105264理科1680内蒙古大学3131534107 265理科2785河北大学7676534105 266理科5230昆明理工大学7781533108 267理科1380北京林业大学(较高收费)22533107 268理科3040上海电力学院(较高收费)1010533103 269理科2895武汉工程大学139139533101 270理科3240天津商业大学3939532111 271理科4550湖北工业大学7070532110 272理科1970华南农业大学105117532110 273理科2555大连交通大学6464532108 274理科2615湖南中医药大学7380532105 275理科2575浙江师范大学2425532103 276理科6005河南大学22392284531117277理科1550北京工商大学(较高收费)23531112 278理科1725东北财经大学(较高收费)1517531109 279理科2885华东交通大学110116531101 280理科2875上海海洋大学115116530119 281理科2620成都中医药大学2020530119 282理科2355四川农业大学162165530114 283理科3040上海电力学院125129530112 284理科4205福建师范大学8585530111 285理科4065浙江财经大学1112530107 286理科2425湖南科技大学95110530100 287理科3200天津科技大学286289529127 288理科2565南通大学7983529115 289理科2580安徽理工大学303052997 290理科2000广西大学(较高收费)88528100 291理科1760东北农业大学16516552899 292理科4395山东师范大学707052895 293理科2655湖北中医药大学5656527107 294理科3890苏州科技大学4143527106 295理科2530中北大学12813852795296理科1860南京信息工程大学(较高收费)111152795297理科1325西南交通大学(异地校区)3139526114 298理科2125青海大学172181526112 299理科2035重庆邮电大学(较高收费)2525526110 300理科2235东北电力大学180185526110 301理科5415兰州交通大学95101526109 302理科2390上海师范大学(较高收费)3535526106 303理科2520西安工程大学111111526105 304理科4020浙江海洋大学88526103 305理科5005海南医学院5151526100 306理科1190厦门大学(异地校区)354052699 307理科2810安徽工业大学596452697 308理科2905三峡大学141155525113 309理科2540河北科技大学7272525111 310理科2295南华大学8791525110 311理科1640石家庄铁道大学9397525107 312理科2915西安石油大学202052599 313理科4925桂林电子科技大学9294524111 314理科2795沈阳工业大学7070524109 315理科2235东北电力大学(较高收费)1515524106 316理科2880常州大学137137524105 317理科2800中南林业科技大学107109524101 318理科2605中国医科大学(较高收费)44523113 319理科5996郑州大学(软件类)14301444523110 320理科2515西南石油大学14014052398 321理科2510西南科技大学879352395 322理科1765哈尔滨医科大学565652384 323理科2105西安邮电大学(较高收费)1010522113324理科3175北京印刷学院2829522109 325理科1360华中农业大学(较高收费)88522105 326理科1189西交利物浦大学108124522104 327理科2350大连民族大学66522100 328理科2285沈阳建筑大学7272521124 329理科3020西南民族大学2121521114 330理科6080河南财经政法大学11611207521102 331理科3545沈阳理工大学6363521100 332理科7501上海第二工业大学505052196333理科5095成都信息工程大学(原成都信息工程学院)4045519112334理科5595上海电机学院6669519105 335理科2610黑龙江中医药大学2020519104 336理科4700湖南农业大学8484519103 337理科5080四川师范大学383851990 338理科2545河北工程大学343451987 339理科2435江西理工大学151154518110 340理科3310华北理工大学6666518106 341理科2895武汉工程大学(较高收费)3351890 342理科4370山东理工大学6060517114 343理科5100西华大学5858517112 344理科2440长江大学219245517104 345理科4195福建农林大学3030516108 346理科2860上海海事大学(较高收费)2222515109 347理科3815上海应用技术大学228228515107 348理科2535西安科技大学(较高收费)7751598 349理科5055重庆师范大学2123514114 350理科4030浙江中医药大学6070514113 351理科2525天津工业大学(较高收费)4040514110 352理科5995郑州大学(中外合作办学)10421052514108 353理科6095华北水利水电大学13421369514103 354理科2935辽宁科技大学2429514101 355理科3705哈尔滨理工大学32032351499 356理科2130石河子大学186******** 357理科2875上海海洋大学(较高收费)1010513114 358理科1405东北师范大学(较高收费)3434513112 359理科3695黑龙江大学3636513106 360理科2900太原科技大学9090513102361理科2100西安建筑科技大学(较高收费)61051299362理科1103中南民族大学188188511115363理科2600天津中医药大学(较高收费)33511114364理科3725哈尔滨商业大学134134511105 365理科4815东莞理工学院424251199 366理科4275东华理工大学788251193 367理科3690吉林财经大学5152510112368理科3060中国民用航空飞行学院595951093369理科2865重庆交通大学(较高收费)77509114 370理科6085河南科技大学21532218509106371理科1640石家庄铁道大学(较高收费)1010509101372理科2360温州肯恩大学121250991 373理科1695辽宁工程技术大学165165508108 374理科2505南京林业大学(较高收费)44508104375理科6080河南财经政法大学(较高收费)17017350897376理科4575武汉纺织大学(原武汉科技学院)101103507113377理科6020新乡医学院19652122507105 378理科1745长春理工大学(较高收费)88507103379理科4890北京师范大学-香港浸会大学联2930507101380理科4555湖北汽车工业学院1214506114 381理科2275青岛科技大学(较高收费)1313506104 382理科5035重庆理工大学(较高收费)2020505104 383理科2385安徽财经大学(较高收费)33504108 384理科4800广东以色列理工学院66503107 385理科2120新疆大学304304502118 386理科4345南昌工程学院3845502110 387理科6105河南工业大学27202829501111 388理科1390北京中医药大学7272501100389理科1296中国石油大学(北京)克拉玛依校区6671500109390理科2790辽宁石油化工大学130130500107 391理科1930湘潭大学(较高收费)55500104 392理科2780山东科技大学(较高收费)121250098 393理科5590成都学院66499109 394理科3690吉林财经大学(较高收费)44498111 395理科3550沈阳航空航天大学151******** 396理科6000郑州大学(医护类)48649149698 397理科1710沈阳农业大学144151495118 398理科6030河南师范大学26692776495110 399理科6090郑州航空工业管理学院507537494104 400理科6009河南大学(中外合作办学)435465492110 401理科4735湖南工业大学184208491113 402理科4550湖北工业大学(较高收费)611491103 403理科6015河南中医药大学18952066491101 404理科6014河南大学(迈阿密学院)808249193 405理科2375东北石油大学12810648999 406理科6110郑州轻工业学院894974488116 407理科6100河南理工大学52315493488108 408理科2750海南大学(较高收费)1411486108409理科2210湖北大学(较高收费)1111484107 410理科6115中原工学院626682484106 411理科2350大连民族大学(少数民族)12748499412理科6007河南大学(与开封大学联合办学)(就读地点:开封大学)402048492413理科2120新疆大学(较高收费)403748491414理科6008河南大学(与濮阳市联办濮阳工学院)1603748484415理科6010河南农业大学23822620482105数学外语听力143814081362142181371412611135121291412415132261261114091298133011827127291332113020131291248118512111130111251113414120151300118141319133913311121111178115111116133011201260113181116112241051713301181413114 12511 11526 1139 11714 12111 1189 11111 12826 1316 11212 12411 12511 13011 12523 12720 1260 11312 12614 12011 12611 11714 11315 11017 13517 12711 10117 11714 1206 1219 12112 1166 10715 1180 11817 1170 13314 12623 12212 12514 11611 13026 1298 11821 1129 1092411911 11829 11211 1296 12211 12511 12426 1120 12724 1099 12123 11217 10912 11611 11811 11012 1226 13311 12112 10814 1118 13212 10311 11627 12211 10811 1130 11618 10111 1159 11311 9726 13215 11227 9424 11412 11726 12511 10026 10923 978 11721 11021 11924 12627 116231239 1080 1000 1158 1180 1069 1149 1045 1118 11720 13012 11926 1220 11111 946 1199 12111 10818 13014 1186 10726 1150 10517 10527 10417 11511 1096 10621 11029 11626 11011 1110 9526 9411 12017 10623 12111 11818 1099 1088 11112 1240 995 11326 11217 106141059 10217 1136 1149 11126 11126 1109 11515 1079 10621 1049 10911 9312 1128 919 1068 11920 10614 12011 930 12217 12011 1159 1126 9414 989 1058 1123 10514 11520 11311 10923 11721 10511 1170 11112 10011 1119 10229 10627 11318 10314 11212 11414 11911 104129926 1008 1158 12512 1138 1098 1106 1198 12014 11311 10915 9614 960 9929 1010 10911 1119 12418 948 11126 10814 1100 978 10314 11211 1090 11215 1180 9712 10924 11311 11321 990 1070 11923 10411 1009 10511 10912 1109 1139 1079 1050 1109 1119 99011115 10323 1026 10414 9311 10111 10618 1129 10129 11618 1076 1065 1110 1159 11811 1049 1110 10611 1188 9514 10311 12312 11912 988 11011 10611 11426 11014 1108 9930 1099 11324 11014 9723 1029 1135 10714 10114 11912 9912 990 11512 8617 1155 1156 13018 130141180 9823 1150 1039 1115 10612 10221 1119 11611 10714 1039 11617 9514 11511 10614 10824 1220 1120 11211 9314 10920 10118 10317 920 1159 10611 1100 1009 9711 968 10718 11914 970 9326 1109 1009 1106 1069 1079 10711 10014 12211 10514 9227104111008 10315 1000 10918 969 9612 1096 11521 1120 10711 1078 8811 949 10021 10711 999 869 9911 980 1010 940 930 9617 10927 10414 9424 10024 980 10214 8714 9917 8824 9911 1139 10911 9511 990 958 1099 11409027 1139 106141089900 9511 9812。
2017年河南省普通高校招生本科一批院校平行投档分数线(文科)院校代号院校名称计划实际人数最低分语文数学外语听力1115清华大学2366212814811 1105北京大学313164********* 1290上海交通大学1164312914015 1130复旦大学111264011714521 1110中国人民大学424663313013529 1160南京大学171763111513418 1195浙江大学191963012414311 1445上海财经大学141562311514223 1165南开大学505362012214112 1180武汉大学80806171221343 1215中山大学292961611814011 1310同济大学151561212413814 1450对外经济贸易大学31316121131249 1460中央财经大学272961212613515 1465中国政法大学484861211213424 0191中国社会科学院大学151561112911829 1430北京外国语大学151561011414612 1440上海外国语大学8861012714718 1485北京航空航天大学7761011114811 1190厦门大学20206091171329 1410华东师范大学363860911613618 1113中国人民大学(苏州校区)5560812212714 1125东南大学20206071101359 1175四川大学222360712213911 1140华中科技大学424360611513611 1185西安交通大学14156061171376 1490北京理工大学9116061251310 1470中国传媒大学202060511714129 1135湖南大学293060411613514 1210中南大学202060211514217 1355重庆大学20216021141488 1120北京交通大学9960010913627 1375中国农业大学12126001261320 1100中央民族大学24245991151339 1280华南理工大学20205991111430 1455西南财经大学333359911812618 1790上海大学15155981201258 1145吉林大学676859711413617 1205中南财经政法大学949459712014114 1495哈尔滨工业大学10115971101359 1390北京中医药大学555961111439 1520暨南大学232459612511814 1190厦门大学(较高收费)995941141260 1235北京邮电大学121359411812727 1415华中师范大学505759********* 1830苏州大学505559312012212 1173山东大学威海分校33335921231460 1173山东大学威海分校(较高收费)2259210813212 1230北京科技大学232459211812015 1330中国海洋大学27305921251150 1455西南财经大学(较高收费)22592110124271250电子科技大学6659112312212 1515西北工业大学9959111713311 1855南京师范大学272859112312615 1155兰州大学404159012512215 1425西南大学192059011711429 1100中央民族大学(其他单列)225891111230 1255东北大学252558911913311 1380北京林业大学14145891171338 1810华东政法大学56575891161206 1275华东理工大学384058811113018 2090西北大学19195881161415 1150江南大学192058710914211 1270河海大学28295871151309 1790上海大学(较高收费)5558711013329 2030西南政法大学404258712512811 1340中国地质大学(武汉)151658********* 1420陕西师范大学242458611112417 1505南京航空航天大学151558********* 1960广东外语外贸大学13145861161216 1315武汉理工大学35355851221378 1335中国地质大学(北京)555851191338 1435北京语言大学202058510912020 1725东北财经大学101058511211215 1220华北电力大学(北京)11125841171146 1295中国石油大学(北京)6658410213312 1965深圳大学131358411612023 1985华南师范大学8858411511420 1325西南交通大学161858312012830 1805上海对外经贸大学464658311312621 1375中国农业大学(较高收费)665821201246 1405东北师范大学373758212111611 1895福州大学191958211811911 1225北京化工大学151558111912111 1395中国药科大学2458111312812 2030西南政法大学(较高收费)6658111611411 1285大连海事大学8858011613011 1345中国矿业大学(北京)11115801071320 1240长安大学15155791081212 1565北京第二外国语学院121257********* 1935湖南师范大学20235791141289 2225首都师范大学6757911812426 2500首都经济贸易大学8857910812911 1150江南大学(较高收费)2257811212715 2240南京审计大学555657810613526 2925上海立信会计金融学院181857811913014 2265南京财经大学20215771121149 1365南京农业大学303157611312924 1315武汉理工大学(较高收费)225751141359 2620成都中医药大学8857412412511 1360华中农业大学373957********* 1370西北农林科技大学333457********* 1550北京工商大学9957212012011 1885安徽大学353757*********1975广州中医药大学9957111512714 1300中国石油大学(华东)313157********* 1910南昌大学27305701011280 2080云南大学191957011312323 2230天津财经大学434357012212318 6000郑州大学7667845701171129 1190厦门大学(异地校区)5656911611729 1320西安电子科技大学313356********* 1425西南大学(较高收费)6656912211427 2115西北政法大学353756********* 4060浙江工商大学232356********* 1200华北电力大学(保定)16175681051220 1690辽宁大学565656811512114 2340汕头大学141456812810812 2910四川外国语大学775681171180 1350中国矿业大学252556710912720 2110西安外国语大学131456********* 1605天津医科大学5556612211726 1630河北工业大学101056610813318 2310南方医科大学171756611113023 1330中国海洋大学(较高收费)455651161250 1795上海理工大学283056510113015 1880宁波大学272756511512312 2250天津外国语大学585856511912314 2315南京邮电大学323256********* 2860上海海事大学242556510612212 2205青岛大学19195641141316 2365太原理工大学18185641091359 2390上海师范大学939356411011914 1500哈尔滨工程大学232456********* 2850广州大学151556311510718 1265合肥工业大学151556********* 1835扬州大学111256********* 1840江苏大学333356********* 1915江西财经大学262756210711211 2305贵州大学121356********* 2345宁波诺丁汉大学16165611101226 2405天津师范大学464656011612817 2890重庆工商大学343656********* 1427西南大学(荣昌校区)9955911011721 1635燕山大学12135591221218 1930湘潭大学707455910411912 2210湖北大学29315591209214 2395集美大学212155911611620 2575浙江师范大学131455********* 2750海南大学1171185591141199 1415华中师范大学(较高收费)18185581221219 2000广西大学5555811911526 2325华侨大学212155********* 3595大连外国语大学464655812712023 1970华南农业大学24265571131219 2385安徽财经大学262855710912812 1385东北林业大学434555612494261845南京工业大学16165561111185 1860南京信息工程大学212155********* 2255浙江理工大学20205561141038 2320北方工业大学995561211389 4055杭州师范大学33335561031249 5610上海政法学院606055611013124 1268合肥工业大学(宣城校区)24245551061026 2380北京信息科技大学121255********* 2415浙江工业大学151655********* 3240天津商业大学191955511213111 1740延边大学12135541241188 1795上海理工大学(较高收费)8955411411011 2035重庆邮电大学445541051308 2105西安邮电大学8855411511611 2280北京建筑大学6655411411927 2920山西财经大学20225541131096 2505南京林业大学8855310912012 2215中国民航大学131355********* 2290中国计量大学19195521111129 2550北京联合大学775521111208 2785河北大学34345521011119 2875上海海洋大学242455211112524 4205福建师范大学393955210311020 1680内蒙古大学9955110410912 1760东北农业大学313155********* 2655湖北中医药大学25255511001269 4350济南大学323255********* 0195上海海关学院9955010610718 2100西安建筑科技大学8955011711020 2525天津工业大学272755010913311 2755宁夏大学21215501129617 5035重庆理工大学15155501071270 2390上海师范大学(较高收费)151554910010814 2400北京物资学院14145491141270 2300长沙理工大学242554811410718 2865重庆交通大学775481021106 6005河南大学1097113054810311515 1660山西大学495054711311114 2270江苏科技大学24245471051249 2780山东科技大学202054710312412 1360华中农业大学(较高收费)885461081158 3175北京印刷学院8854611210615 4395山东师范大学40405461121030 2095陕西科技大学101054511711111 2425湖南科技大学242554510312215 2615湖南中医药大学313454********* 2450成都理工大学262654410712511 2800中南林业科技大学394054411210412 2875上海海洋大学(较高收费)555441041069 2895武汉工程大学13135441061280 3020西南民族大学141454*********3060中国民用航空飞行学院225441101116 1725东北财经大学(较高收费)15155431161259 2220武汉科技大学393954311311011 2330西安工业大学222354310011111 2880常州大学282854310911711 4065浙江财经大学192154311211911 2295南华大学131354********* 2535西安科技大学665421161199 5055重庆师范大学91054211410517 5080四川师范大学262654210512820 2410青岛理工大学555419912612 3725哈尔滨商业大学35355411111129 5230昆明理工大学6654010112812 2515西南石油大学252553911712118 2610黑龙江中医药大学101053911311012 2855广州医科大学555391138627 2885华东交通大学22225391131170 6080河南财经政法大学92094853910710521 2000广西大学(较高收费)4453811411218 3040上海电力学院191953811012014 4550湖北工业大学36365381141179 2125青海大学18205371041268 2510西南科技大学18195371201009 3695黑龙江大学383853710910823 5100西华大学22225371031186 2530中北大学895361141015 3815上海应用技术大学28285351091018 4700湖南农业大学212153********* 1103中南民族大学949453411111111 2130石河子大学52555341081289 2520西安工程大学31315341209911 2905三峡大学434553********* 1640石家庄铁道大学10105339912424 1745长春理工大学10105331051195 2350大连民族大学335331061019 3200天津科技大学38385331149814 4195福建农林大学2253311012612 5995郑州大学(中外合作办学)404408533114996 1189西交利物浦大学424653211610026 2385安徽财经大学(较高收费)115321189517 4575武汉纺织大学(原武汉科技学院)272753210911124 2120新疆大学323253********* 2435江西理工大学19195311199115 2540河北科技大学885301129612 3690吉林财经大学353753********* 5095成都信息工程大学(原成都信息10105301159726 2795沈阳工业大学99529109968 1765哈尔滨医科大学33528991010 2375东北石油大学8852810512312 2430南昌航空大学1252811296126085河南科技大学91965281051130 2360温州肯恩大学88527931269 1296中国石油大学(北京)克拉玛依校4552610112311 1710沈阳农业大学22225261171076 4890北京师范大学-香港浸会大学联11125269710911 5115西南医科大学(原泸州医学院)555261189312 2790辽宁石油化工大学775241151099 2870天津理工大学40405241019911 6000郑州大学(医护类)15015852411110912 6030河南师范大学15901654524117805 4275东华理工大学8852311111112 6080河南财经政法大学(较高收费)10010252310410211 6095华北水利水电大学2342395231101078 1405东北师范大学(较高收费)10105221091150 2285沈阳建筑大学7752210811911 2440长江大学192352211010311 4370山东理工大学20205221191056 1695辽宁工程技术大学232352111311511 2210湖北大学(较高收费)5452110810011 2350大连民族大学(少数民族)535211111056 6090郑州航空工业管理学院161652110411712 6105河南工业大学55357052111011115 5590成都学院555201001309 6010河南农业大学3133225201198715 6015河南中医药大学41644952011110111 4735湖南工业大学23285199810115 6115中原工学院88905191071240 2780山东科技大学(较高收费)52518106980 3690吉林财经大学(较高收费)4351810811217 6100河南理工大学42243951710310621 6110郑州轻工业学院85895171081070 1170山东大学515151********* 2750海南大学(较高收费)141451********* 6009河南大学(中外合作办学)303304516901270 6020新乡医学院420555169710611 1190厦门大学(其他单列)200000。
2017年河南省本科一批院校平行投档分数线(理科)院校代号院校名称计划实际投档人数投档最低分语文数学外语听力0175 中国科学院大学31 31 650 118 124 15 0191 中国社会科学院大学7 7 626 107 124 08 0195 上海海关学院14 14 539 099 124 18 1100 中央民族大学19 19 588 116 125 23 1103 中南民族大学188 188 511 115 107 09 1105 北京大学27 27 672 121 140 08 1106 北京大学医学部33 33 657 119 137 14 1106 北京大学医学部(医护类) 5 5 646 115 140 09 1110 中国人民大学43 45 645 116 129 08 1113 中国人民大学(苏州校区) 3 3 619 117 125 11 1115 清华大学59 64 673 115 143 08 1120 北京交通大学113 113 598 112 125 11 1120 北京交通大学(较高收费) 16 16 565 116 112 27 1121 北京交通大学(威海校区) 18 19 547 116 094 14 1125 东南大学152 152 613 108 131 09 1130 复旦大学8 8 656 121 126 11 1131 复旦大学医学院 3 3 661 115 136 02 1135 湖南大学241 253 596 110 113 09 1135 湖南大学(较高收费) 7 7 589 103 130 11 1140 华中科技大学387 391 615 128 118 14 1145 吉林大学526 552 576 111 129 08 1145 吉林大学(较高收费) 20 20 587 106 126 14 1145 吉林大学(医护类) 10 10 548 120 120 11 1145 吉林大学(农林矿) 32 32 544 125 100 11 1150 江南大学136 146 574 105 118 29 1150 江南大学(较高收费) 3 3 550 114 111 26 1155 兰州大学121 125 577 098 116 11 1160 南京大学56 56 648 118 132 26 1165 南开大学95 99 634 117 133 21 1170 山东大学218 222 588 112 127 20 1170 山东大学(较高收费) 29 30 578 114 133 14 1173 山东大学威海分校104 107 581 112 120 06 1173 山东大学威海分校(较高收费) 20 20 574 119 109 24 1175 四川大学183 192 602 111 112 24 1175 四川大学(医护类) 12 12 555 096 115 11 1180 武汉大学406 406 619 107 134 14 1185 西安交通大学123 137 630 103 131 29 1185 西安交通大学(医护类) 16 16 555 108 105 17 1189 西交利物浦大学108 124 522 104 115 00 1190 厦门大学79 86 612 110 133 091190 厦门大学(较高收费) 14 14 595 111 117 14 1190 厦门大学(医护类) 33 33 569 113 133 11 1190 厦门大学(异地校区) 35 40 526 099 099 30 1195 浙江大学46 46 653 115 129 14 1196 浙江大学医学院9 9 635 122 127 29 1200 华北电力大学(保定) 120 126 574 109 119 11 1205 中南财经政法大学132 132 585 126 126 11 1210 中南大学341 341 598 122 118 14 1215 中山大学113 113 616 103 130 00 1215 中山大学(医护类) 5 5 569 103 108 14 1220 华北电力大学(北京) 95 100 574 110 122 18 1225 北京化工大学106 114 579 105 117 00 1225 北京化工大学(较高收费) 16 18 549 106 119 20 1230 北京科技大学137 139 592 104 131 06 1235 北京邮电大学115 121 609 117 115 11 1237 北京邮电大学(宏福校区) 29 30 578 109 126 23 1240 长安大学267 275 568 118 103 11 1245 大连理工大学201 201 594 108 118 09 1245 大连理工大学(较高收费) 14 14 554 109 110 29 1245 大连理工大学(其他单列) 19 19 574 101 112 11 1248 大连理工大学(盘锦校区) 59 60 576 112 130 2611 11 542 108 099 26 1248 大连理工大学(盘锦校区)(较高收费)1250 电子科技大学221 223 603 115 111 06 1251 电子科技大学(沙河校区) 48 48 595 109 121 1125 25 581 108 121 09 1251 电子科技大学(沙河校区)(较高收费)1255 东北大学222 233 583 113 135 17 1258 东北大学秦皇岛分校138 141 564 104 125 11 1260 东华大学97 112 580 102 118 00 1265 合肥工业大学247 259 566 105 115 09 1265 合肥工业大学(较高收费) 8 8 563 111 100 26 1268 合肥工业大学(宣城校区) 145 145 556 104 118 06 1270 河海大学176 185 577 102 125 14 1270 河海大学(较高收费) 10 10 558 115 106 09 1275 华东理工大学109 114 592 106 128 26 1280 华南理工大学77 79 610 114 121 11 1285 大连海事大学127 128 564 113 117 26 1290 上海交通大学12 12 658 118 142 18 1295 中国石油大学(北京) 67 70 568 099 122 11 1296 中国石油大学(北京)克拉玛依66 71 500 109 094 00校区1300 中国石油大学(华东) 239 246 554 115 106 21 1305 天津大学228 239 610 110 117 081310 同济大学118 136 637 105 118 27 1315 武汉理工大学360 364 581 113 117 14 1315 武汉理工大学(较高收费) 20 20 567 113 108 11 1320 西安电子科技大学232 241 588 109 126 00 1320 西安电子科技大学(较高收费) 30 30 561 115 116 23 1325 西南交通大学150 150 581 106 121 12 1325 西南交通大学(较高收费) 17 17 555 107 105 27 1325 西南交通大学(异地校区) 31 39 526 114 103 11 1330 中国海洋大学81 89 582 118 101 17 1330 中国海洋大学(较高收费) 10 11 552 106 124 00 1335 中国地质大学(北京) 77 79 570 110 118 11 1340 中国地质大学(武汉) 199 209 567 100 113 00 1345 中国矿业大学(北京) 115 115 566 101 132 15 1350 中国矿业大学325 325 557 104 119 26 1350 中国矿业大学(较高收费) 18 18 549 096 106 14 1355 重庆大学133 137 598 113 131 14 1355 重庆大学(较高收费) 1 1 571 105 116 11 1360 华中农业大学271 282 553 097 108 08 1360 华中农业大学(较高收费) 8 8 522 105 098 23 1365 南京农业大学221 223 553 122 095 26 1370 西北农林科技大学371 378 555 105 104 17 1370 西北农林科技大学(较高收费) 5 7 544 107 106 27 1375 中国农业大学93 96 589 105 125 11 1375 中国农业大学(较高收费) 9 9 566 105 113 11 1380 北京林业大学100 102 571 113 121 23 1380 北京林业大学(较高收费) 2 2 533 107 100 09 1385 东北林业大学320 330 535 105 113 21 1390 北京中医药大学72 72 501 100 101 00 1395 中国药科大学90 92 572 107 112 00 1405 东北师范大学92 92 556 115 119 09 1405 东北师范大学(较高收费) 34 34 513 112 110 09 1410 华东师范大学94 97 605 112 112 00 1415 华中师范大学82 93 580 108 107 15 1415 华中师范大学(较高收费) 31 31 537 114 103 14 1420 陕西师范大学79 81 560 107 108 00 1425 西南大学94 101 568 112 116 27 1425 西南大学(较高收费) 39 40 546 110 105 14 1427 西南大学(荣昌校区) 20 20 536 112 112 15 1430 北京外国语大学15 15 610 125 133 11 1435 北京语言大学21 21 566 119 116 18 1440 上海外国语大学15 15 605 106 126 00 1445 上海财经大学43 47 631 119 130 20 1450 对外经济贸易大学31 31 625 117 118 05 1455 西南财经大学51 51 585 117 117 141455 西南财经大学(较高收费) 3 3 572 112 125 11 1460 中央财经大学65 70 621 111 130 11 1460 中央财经大学(较高收费) 12 12 606 114 111 06 1465 中国政法大学44 44 606 104 133 00 1470 中国传媒大学25 26 590 117 112 12 1485 北京航空航天大学127 127 639 121 133 00 1490 北京理工大学121 133 618 111 120 15 1490 北京理工大学(较高收费) 5 6 597 118 115 26 1495 哈尔滨工业大学116 118 622 106 121 11 1496 哈尔滨工业大学(威海) 133 133 587 118 113 12 1500 哈尔滨工程大学233 245 570 106 122 06 1505 南京航空航天大学170 173 593 118 111 11 1510 南京理工大学123 129 589 113 124 11 1515 西北工业大学191 193 604 115 113 18 1515 西北工业大学(较高收费) 25 25 569 097 132 12 1520 暨南大学32 34 580 115 116 06 1525 中国科学技术大学39 39 647 126 126 11 1550 北京工商大学36 37 554 096 110 11 1550 北京工商大学(较高收费) 2 3 531 112 111 15 1560 北京工业大学17 23 584 115 110 17 1565 北京第二外国语学院15 15 566 104 097 26 1605 天津医科大学36 36 601 125 105 17 1630 河北工业大学50 50 569 101 111 08 1635 燕山大学108 112 550 112 115 15 1640 石家庄铁道大学93 97 525 107 102 09 1640 石家庄铁道大学(较高收费) 10 10 509 101 100 00 1660 山西大学75 77 537 112 112 11 1680 内蒙古大学31 31 534 107 107 00 1690 辽宁大学76 76 556 104 130 14 1695 辽宁工程技术大学165 165 508 108 096 09 1710 沈阳农业大学144 151 495 118 102 14 1715 沈阳药科大学56 56 538 101 108 14 1725 东北财经大学23 23 557 101 122 00 1725 东北财经大学(较高收费) 15 17 531 109 103 23 1740 延边大学 6 7 554 095 111 00 1745 长春理工大学74 78 538 106 111 26 1745 长春理工大学(较高收费) 8 8 507 103 107 11 1760 东北农业大学165 165 528 099 118 11 1765 哈尔滨医科大学56 56 523 084 130 18 1790 上海大学156 159 586 117 120 11 1790 上海大学(较高收费) 31 36 571 120 109 09 1795 上海理工大学114 119 561 097 123 09 1795 上海理工大学(较高收费) 25 26 549 110 106 08 1805 上海对外经贸大学67 67 565 106 114 121810 华东政法大学69 72 569 108 121 12 1830 苏州大学127 132 582 119 127 11 1830 苏州大学(较高收费) 16 16 552 101 113 26 1835 扬州大学75 80 549 113 109 11 1840 江苏大学132 139 554 104 116 26 1845 南京工业大学188 188 550 125 111 26 1855 南京师范大学72 76 573 110 122 11 1860 南京信息工程大学142 143 548 104 112 06 1860 南京信息工程大学(较高收费) 11 11 527 095 095 14 1880 宁波大学75 75 549 113 093 12 1885 安徽大学48 50 562 117 097 08 1895 福州大学52 60 571 108 109 12 1895 福州大学(农林矿) 6 6 542 103 100 08 1910 南昌大学107 118 562 108 119 24 1910 南昌大学(较高收费) 35 35 538 094 097 08 1915 江西财经大学56 59 554 115 109 06 1930 湘潭大学133 141 548 107 120 11 1930 湘潭大学(较高收费) 5 5 500 104 096 17 1935 湖南师范大学37 38 557 112 111 08 1960 广东外语外贸大学14 15 562 110 110 21 1965 深圳大学27 27 579 107 118 17 1970 华南农业大学105 117 532 110 107 09 1975 广州中医药大学19 19 556 116 094 06 1985 华南师范大学9 9 562 115 117 21 2000 广西大学62 62 550 113 110 09 2000 广西大学(较高收费) 8 8 528 100 115 09 2025 重庆医科大学20 21 585 103 113 15 2030 西南政法大学30 32 572 099 127 24 2030 西南政法大学(较高收费) 3 3 559 112 115 08 2035 重庆邮电大学40 42 558 099 104 05 2035 重庆邮电大学(较高收费) 25 25 526 110 119 12 2080 云南大学44 44 557 106 117 20 2090 西北大学36 37 572 108 124 26 2090 西北大学(较高收费) 10 10 541 106 110 06 2095 陕西科技大学64 67 539 107 109 11 2100 西安建筑科技大学30 32 552 106 099 05 2100 西安建筑科技大学(较高收费) 6 10 512 099 106 09 2105 西安邮电大学54 55 551 098 114 09 2105 西安邮电大学(较高收费) 10 10 522 113 130 14 2110 西安外国语大学12 13 556 102 107 26 2115 西北政法大学22 22 556 106 108 18 2120 新疆大学304 304 502 118 086 09 2120 新疆大学(较高收费) 40 37 484 091 090 00 2125 青海大学172 181 526 112 123 122130 石河子大学186 216 514 097 097 00 2200 首都医科大学24 25 600 116 133 00 2205 青岛大学71 71 551 124 105 09 2210 湖北大学90 94 547 111 105 08 2210 湖北大学(较高收费) 11 11 484 107 090 27 2215 中国民航大学177 179 543 108 103 14 2220 武汉科技大学130 134 553 113 120 17 2225 首都师范大学14 15 557 105 130 12 2230 天津财经大学62 62 552 116 111 12 2235 东北电力大学180 185 526 110 098 08 2235 东北电力大学(较高收费) 15 15 524 106 119 12 2240 南京审计大学93 93 563 105 109 23 2250 天津外国语大学45 45 549 112 112 08 2255 浙江理工大学100 102 553 103 118 18 2260 上海交通大学医学院7 7 655 116 135 12 2265 南京财经大学37 39 559 094 118 00 2270 江苏科技大学90 93 542 096 115 08 2275 青岛科技大学67 67 541 102 119 08 2275 青岛科技大学(较高收费) 13 13 506 104 094 09 2280 北京建筑大学27 27 548 116 093 00 2285 沈阳建筑大学72 72 521 124 111 05 2290 中国计量大学56 56 546 102 113 11 2295 南华大学87 91 525 110 097 23 2300 长沙理工大学133 137 547 096 112 03 2305 贵州大学46 48 552 096 106 14 2310 南方医科大学48 54 575 112 112 09 2315 南京邮电大学138 141 565 110 094 24 2320 北方工业大学47 52 548 105 115 09 2325 华侨大学98 100 541 114 113 08 2330 西安工业大学34 39 541 097 120 14 2340 汕头大学24 24 553 106 121 11 2345 宁波诺丁汉大学23 24 544 108 102 29 2350 大连民族大学 6 6 522 100 103 09 2350 大连民族大学(少数民族) 12 7 484 099 106 14 2355 四川农业大学162 165 530 114 101 11 2360 温州肯恩大学12 12 509 091 109 18 2365 太原理工大学101 105 556 113 121 11 2375 东北石油大学128 106 489 099 099 00 2380 北京信息科技大学38 38 552 100 112 17 2385 安徽财经大学63 68 545 110 109 23 2385 安徽财经大学(较高收费) 3 3 504 108 107 11 2390 上海师范大学138 138 545 107 117 21 2390 上海师范大学(较高收费) 35 35 526 106 106 11 2395 集美大学117 117 539 113 101 002400 北京物资学院18 18 537 112 109 00 2405 天津师范大学114 119 535 116 113 11 2410 青岛理工大学72 72 544 112 111 09 2415 浙江工业大学65 67 558 110 114 09 2420 杭州电子科技大学110 112 561 115 126 27 2425 湖南科技大学95 110 530 100 116 18 2430 南昌航空大学36 40 538 097 110 00 2435 江西理工大学151 154 518 110 108 24 2440 长江大学219 245 517 104 109 20 2450 成都理工大学58 58 545 103 105 11 2500 首都经济贸易大学24 24 577 103 122 12 2505 南京林业大学109 112 539 114 099 29 2505 南京林业大学(较高收费) 4 4 508 104 096 12 2510 西南科技大学87 93 523 095 115 06 2515 西南石油大学140 140 523 098 115 05 2520 西安工程大学111 111 526 105 114 26 2525 天津工业大学293 293 541 110 109 08 2525 天津工业大学(较高收费) 40 40 514 110 100 09 2530 中北大学128 138 527 095 118 08 2535 西安科技大学38 40 548 108 122 17 2535 西安科技大学(较高收费) 7 7 515 098 115 09 2540 河北科技大学72 72 525 111 110 14 2545 河北工程大学34 34 519 087 106 14 2550 北京联合大学 6 6 546 104 115 20 2555 大连交通大学64 64 532 108 105 00 2560 温州医科大学80 80 555 112 115 00 2565 南通大学79 83 529 115 106 05 2570 上海中医药大学28 28 540 100 096 00 2570 上海中医药大学(较高收费) 2 2 543 095 114 14 2575 浙江师范大学24 25 532 103 111 09 2580 安徽理工大学30 30 529 097 111 00 2600 天津中医药大学32 32 553 122 094 11 2600 天津中医药大学(较高收费) 3 3 511 114 107 11 2605 中国医科大学33 33 571 112 112 17 2605 中国医科大学(较高收费) 4 4 523 113 115 12 2610 黑龙江中医药大学20 20 519 104 116 17 2615 湖南中医药大学73 80 532 105 110 09 2620 成都中医药大学20 20 530 119 093 11 2625 新疆医科大学 2 2 566 116 101 11 2630 山西医科大学 5 5 574 097 129 06 2635 大连医科大学39 39 553 099 109 09 2650 广西医科大学24 24 545 098 117 00 2655 湖北中医药大学56 56 527 107 111 00 2750 海南大学360 367 542 111 104 122750 海南大学(较高收费) 14 11 486 108 114 00 2755 宁夏大学35 35 541 097 113 11 2780 山东科技大学53 53 541 121 125 12 2780 山东科技大学(较高收费) 12 12 500 098 109 27 2785 河北大学76 76 534 105 119 23 2790 辽宁石油化工大学130 130 500 107 093 00 2795 沈阳工业大学70 70 524 109 101 14 2800 中南林业科技大学107 109 524 101 099 00 2805 西安理工大学99 104 550 109 106 21 2810 安徽工业大学59 64 526 097 109 09 2815 安徽医科大学 6 6 576 105 118 21 2850 广州大学21 22 549 111 091 09 2855 广州医科大学16 18 551 106 113 06 2860 上海海事大学76 77 549 115 104 09 2860 上海海事大学(较高收费) 22 22 515 109 103 17 2865 重庆交通大学100 100 540 106 096 14 2865 重庆交通大学(较高收费) 7 7 509 114 100 08 2870 天津理工大学172 172 545 097 111 12 2875 上海海洋大学115 116 530 119 104 14 2875 上海海洋大学(较高收费) 10 10 513 114 093 26 2880 常州大学137 137 524 105 099 12 2885 华东交通大学110 116 531 101 102 06 2890 重庆工商大学76 80 539 106 111 09 2895 武汉工程大学139 139 533 101 109 12 2895 武汉工程大学(较高收费) 3 3 518 090 112 00 2900 太原科技大学90 90 513 102 110 06 2905 三峡大学141 155 525 113 113 24 2910 四川外国语大学 6 6 551 108 102 17 2915 西安石油大学20 20 525 099 113 05 2920 山西财经大学28 28 543 103 112 12 2925 上海立信会计金融学院46 46 559 120 100 00 2930 广东工业大学58 66 547 114 098 09 2935 辽宁科技大学24 29 514 101 107 18 3020 西南民族大学21 21 521 114 106 12 3040 上海电力学院125 129 530 112 106 18 3040 上海电力学院(较高收费) 10 10 533 103 105 11 3060 中国民用航空飞行学院59 59 510 093 104 11 3175 北京印刷学院28 29 522 109 118 00 3200 天津科技大学286 289 529 127 107 06 3240 天津商业大学39 39 532 111 110 09 3275 河北医科大学15 16 570 109 110 12 3310 华北理工大学66 66 518 106 122 00 3545 沈阳理工大学63 63 521 100 111 09 3550 沈阳航空航天大学151 151 497 098 100 243595 大连外国语大学34 34 543 110 113 18 3690 吉林财经大学51 52 510 112 092 27 3690 吉林财经大学(较高收费) 4 4 498 111 094 24 3695 黑龙江大学36 36 513 106 100 09 3705 哈尔滨理工大学320 323 514 099 119 14 3725 哈尔滨商业大学134 134 511 105 100 14 3780 上海工程技术大学38 40 540 113 109 15 3815 上海应用技术大学228 228 515 107 092 00 3890 苏州科技大学41 43 527 106 106 11 4020 浙江海洋大学8 8 526 103 110 14 4030 浙江中医药大学60 70 514 113 110 00 4055 杭州师范大学67 67 538 108 094 08 4060 浙江工商大学27 27 556 116 111 11 4065 浙江财经大学11 12 530 107 101 29 4195 福建农林大学30 30 516 108 101 18 4200 福建医科大学71 71 553 112 106 23 4205 福建师范大学85 85 530 111 112 09 4275 东华理工大学78 82 511 093 105 14 4345 南昌工程学院38 45 502 110 099 11 4350 济南大学83 83 536 102 118 00 4370 山东理工大学60 60 517 114 112 11 4395 山东师范大学70 70 528 095 104 09 4550 湖北工业大学70 70 532 110 113 09 4550 湖北工业大学(较高收费) 6 11 491 103 113 09 4555 湖北汽车工业学院12 14 506 114 088 11 4575 武汉纺织大学(武汉科技学院) 101 103 507 113 115 21 4700 湖南农业大学84 84 519 103 095 14 4735 湖南工业大学184 208 491 113 099 11 4800 广东以色列理工学院 6 6 503 107 099 09 4815 东莞理工学院42 42 511 099 122 11 4830 广东医科大学14 18 550 109 107 0929 30 507 101 107 08 4890 北京师范大学-香港浸会大学联合国际学院4925 桂林电子科技大学92 94 524 111 107 14 5005 海南医学院51 51 526 100 110 08 5035 重庆理工大学85 89 536 101 097 12 5035 重庆理工大学(较高收费) 20 20 505 104 100 21 5055 重庆师范大学21 23 514 114 106 11 5080 四川师范大学38 38 519 090 115 1140 45 519 112 107 14 5095 成都信息工程大学(原成都信息工程学院)5100 西华大学58 58 517 112 093 14 5115 西南医科大学(原泸州医学院) 40 40 535 105 099 00 5230 昆明理工大学77 81 533 108 104 115415 兰州交通大学95 101 526 109 110 11 5590 成都学院 6 6 499 109 104 14 5595 上海电机学院66 69 519 105 103 09 5610 上海政法学院70 70 535 118 109 24 5995 郑州大学(中外合作办学) 1042 1052 514 108 097 11 5996 郑州大学(软件类) 1430 1444 523 110 086 17 6000 郑州大学2764 2817 561 104 112 14 6000 郑州大学(医护类) 486 491 496 098 098 00 6005 河南大学2239 2284 531 117 099 00 6007 河南大学(联办地点:开封大学) 40 20 484 092 108 09 6008 河南大学(联办濮阳工学院) 160 37 484 084 095 11 6009 河南大学(中外合作办学) 435 465 492 110 088 24 6010 河南农业大学2382 2620 482 105 098 12 6014 河南大学(迈阿密学院) 80 82 491 093 095 11 6015 河南中医药大学1895 2066 491 101 109 11 6020 新乡医学院1965 2122 507 105 112 00 6030 河南师范大学2669 2776 495 110 087 14 6080 河南财经政法大学1161 1207 521 102 102 21 6080 河南财经政法大学(较高收费) 170 173 508 097 109 06 6085 河南科技大学2153 2218 509 106 103 15 6090 郑州航空工业管理学院507 537 494 104 099 17 6095 华北水利水电大学1342 1369 514 103 096 08 6100 河南理工大学5231 5493 488 108 109 09 6105 河南工业大学2720 2829 501 111 098 00 6110 郑州轻工业学院894 974 488 116 095 08 6115 中原工学院626 682 484 106 113 09 7501 上海第二工业大学50 50 521 096 116 11 9919 上海戏剧学院 5 5 542 111 119 11。
河南一本大学排名及分数线河南一本大学排名及分数线(理科+文科)1、2022河南一本大学排名及分数线【理科】序号院校代码院校名称投档分数备注16000郑州大学613其他单列专业26000郑州大学57936005河南大学57245995郑州大学571中外合作办学56006河南大学561软件类66000郑州大学555护理76080河南财经政法大学54786009河南大学544中外合作办学96095华北水利水电大学541106085河南科技大学539116030河南师范大学539126110郑州轻工业大学532136035洛阳师范学院531146105河南工业大学530156020新乡医学院530166005河南大学529护理176125平顶山学院529186070南阳师范学院525196007河南大学525与开封大学联合办学,就读地点:开封大学206100河南理工大学525216105河南工业大学523较高收费226080河南财经政法大学522其他单列专业236008河南大学520与濮阳市联办濮阳工学院246010河南农业大学520中外合作办学256100河南理工大学519较高收费266090郑州航空工业管理学院519 276025河南科技学院518286150黄淮学院517296115中原工学院517306085河南科技大学515护理316160洛阳理工学院515326120河南城建学院515336015河南中医药大学514346135安阳工学院514356165新乡学院514366075南阳理工学院513376050安阳师范学院512386117中原工学院511软件类396396河南科技大学511农林类406080河南财经政法大学509较高收费416130黄河科技学院509426113郑州轻工业大学509中外合作办学436012河南农业大学509446085河南科技大学492较高收费456015河南中医药大学489较高收费466013河南农业大学489办学就读地点在许昌2、2022河南一本大学排名及分数线【文科】序号院校代码院校名称投档分数备注16000郑州大学57826005河南大学56735995郑州大学567中外合作办学46080河南财经政法大学55056030河南师范大学54666085河南科技大学54376105河南工业大学54086005河南大学540护理96010河南农业大学538106095华北水利水电大学536116035洛阳师范学院535126110郑州轻工业大学534136009河南大学534中外合作办学146100河南理工大学533156070南阳师范学院533166075南阳理工学院532176015河南中医药大学531186008河南大学530与濮阳市联办濮阳工学院196090郑州航空工业管理学院530206115中原工学院529216025河南科技学院528226080河南财经政法大学527较高收费236020新乡医学院527246012河南农业大学519中外合作办学3、2021河南一本大学排名及分数线【理科】序号院校代码院校名称投档分数备注16000郑州大学60326005河南大学58636000郑州大学567(医护类)46006河南大学566(软件类)56080河南财经政法大学55966030河南师范大学55376095华北水利水电大学54786085河南科技大学54696105河南工业大学545106020新乡医学院541116110郑州轻工业大学541126065信阳师范学院540136035洛阳师范学院536146100河南理工大学536156075南阳理工学院535166007河南大学534(与开封大学联合办学)就读地点:开封大学176070南阳师范学院534186015河南中医药大学533(异地校区)196005河南大学532(医护类)206125平顶山学院531216015河南中医药大学529226008河南大学527(与濮阳市联办濮阳工学院)236010河南农业大学527 246115中原工学院526256090郑州航空工业管理学院525266010河南农业大学523(较高收费)276025河南科技学院523286085河南科技大学522(医护类)296105河南工业大学522(较高收费)306165新乡学院522316100河南理工大学520(较高收费)326150黄淮学院520336120河南城建学院519346130黄河科技学院519356080河南财经政法大学518(较高收费)366117中原工学院518(软件类)376135安阳工学院518386160洛阳理工学院518396396河南科技大学506(农林类)4、2021河南一本大学排名及分数线【文科】序号院校代码院校名称投档分数备注16000郑州大学61336005河南大学59846080河南财经政法大学58356030河南师范大学57676105河南工业大学57386085河南科技大学57296010河南农业大学569106005河南大学568(医护类)116095华北水利水电大学568126110郑州轻工业大学566136100河南理工大学565146065信阳师范学院564156070南阳师范学院564166075南阳理工学院563176035洛阳师范学院562186080河南财经政法大学562(较高收费)196015河南中医药大学561 206090郑州航空工业管理学院561216115中原工学院561226025河南科技学院559236015河南中医药大学558(异地校区)246020新乡医学院5585、2020河南一本大学排名及分数线【理科】河南省理科一本大学排名院校代号院校名称最低投档分数线6000郑州大学6246005河南大学6076080河南财经政法大学5856020新乡医学院5776030河南师范大学5766085河南科技大学5766095华北水利水电大学5716105河南工业大学5706065信阳师范学院5656110郑州轻工业大学5616015河南中医药大学5596100河南理工大学5596075南阳理工学院5576070南阳师范学院5566007河南大学(与开封大学联合办学)(就读于开封大学)5556010河南农业大学5526115中原工学院5526090郑州航空工业管理学院5496008河南大学(与濮阳市联办濮阳工学院)5486025河南科技学院5476120河南城建学院5446165新乡学院5446、2020河南一本大学排名及分数线【文科】河南省文科一本大学排名院校代号院校名称最低投档分数线6000郑州大学6066005河南大学5916080河南财经政法大学5796030河南师范大学5736085河南科技大学5696105河南工业大学5696010河南农业大学5656065信阳师范学院5636095华北水利水电大学5636100河南理工大学5616110郑州轻工业大学5616015河南中医药大学5606070南阳师范学院5606090郑州航空工业管理学院5606075南阳理工学院5596115中原工学院5596020新乡医学院5566025河南科技学院556说明:1、有些二本大学的部分专业也在本科一批招生,这里的数据为各学校本科一批专业的最低投档分。
2016河南理科一分一段表
摘要:
1.2016 河南理科高考报名人数
2.河南近三年普通高招录取控制分数线
3.河南近三年普通高招一分一段统计表(理科)
4.2017 河南高考理科一分一段表
5.2020 河南高考一分一段表(理科)
正文:
2016 河南理科高考报名人数约为75 万人。
在高考录取过程中,录取控制分数线是至关重要的参考数据。
河南近三年普通高招录取控制分数线分别为:2016 年理科一本线为523 分,二本线为447 分;2017 年理科一本线为517 分,二本线为430 分;2018 年理科一本线为522 分,二本线为436 分。
为了帮助考生更好地了解自己的位次排名,河南近三年普通高招一分一段统计表(理科)详细地记录了每一分的考生人数。
以2016 年为例,理科675 分以上的考生人数为54 人,674 分以上的考生人数为108 人,673 分以上的考生人数为217 人,以此类推。
2017 河南高考理科一分一段表显示,理科695 分以上的考生人数为36 人,694 分以上的考生人数为44 人,693 分以上的考生人数为69 人,等等。
通过查看这份表格,考生可以更准确地了解自己在全省的排名情况,从而有针对性地选择适合自己的高校和专业。
2020 河南高考一分一段表(理科)已经公布。
这份表格为考生提供了详细的分数段位信息,有助于考生了解自己在全省的排名,为志愿填报提供参考。
总之,河南高考一分一段表是考生了解自己成绩位次排名的重要依据,也是填报高考志愿的重要参考资料。
30北京外国语大学(其他单列)6251401厦门大学(较高收费)6071334北京交通大学6311266中南大学6021236 31对外经济贸易大学6251401山东大学6061422重庆大学6311266重庆大学6021236 32湖南大学6241479上海大学6061422中国农业大学6301341北京交通大学6001363 33武汉大学(其他单列)6231563中国农业大学6051501湖南大学6301341中国农业大学6001363 34华南理工大学6231563华南理工大学6041582中央民族大学6301341华南理工大学5991428 35哈尔滨工业大学6231563吉林大学6031670山东大学6291415中央民族大学5991428 36中央民族大学6221657中南财经政法大学6031670华南理工大学6291415西南财经大学5991428 37中国传继大学6221657苏州大学6031670厦门大学(较高收费)6281496上海大学5981495 38吉林大学6211757中国社会科学院大学6021769上海大学6281496吉林大学5971569 39电子科技大学6211757湖南大学6021769哈尔滨工业大学6281496中南财经政法大学5971569 40北京交通大学6201856北京邮电大学6011874吉林大学6271582哈尔滨工业大学5971569 41山东大学威海分校6201856电子科技大学6011874中南财经政法大学6271582暨南大学5961663 42中南财经政法大学6201856西北工业大学6011874山东大学威海分校(较高收费)6261662北京中医药大学5961663 43上海大学6201856中央民族大学6001980北京邮电大学6251761厦门大学(较高收费)5941819 44山东大学威海分校(较高收费)6191981山东大学威海分校6001980北京外国语大学(较高收费)6251761北京邮电大学5941819 45中国海洋大学6191981中国海洋大学6001980上海大学(较高收费)6241836华中师范大学5941819 46西南财经大学6191981华中师范大学6001980苏州大学6231919苏州大学5931899 47苏州大学6191981西南财经大学6001980电子科技大学6222011中国海洋大学5921991 48兰州大学6182080哈尔滨工业大学6001980西北工业大学6222011北京科技大学5921991 49北京科技大学6182080上海大学(较高收费)6001980山东大学威海分校6222011山东大学威海分校(较高收费)5921991 50北京外国语大学(较高收费)6182080西南大学5992092中国海洋大学6222011电子科技大学5912070 51南京师范大学6182080暨南大学5992092北京科技大学6222011西北工业大学5912070 52华中师范大学6172213南京师范大学5992092中央民族大学(少数民族)6222011南京师范大学5912070 53上海大学(较高收费)6172213兰州大学5982198华中师范大学6212097西南大学5902174 54西南政法大学6172213北京科技大学5982198西南财经大学6212097兰州大学5902174 55东北大学6162360北京林业大学5982198西南大学6212097北京林业大学5892268 56西北工业大学6152509华东政法大学5982198暨南大学6212097华东政法大学5892268 57西南大学6142635西南政法大学5972323南京师范大学6212097东北大学5892268 58暨南大学6142635北京中医药大学5962454兰州大学6202197中国地质大学(北京)5852361 59西南政法大学(较高收费)6142635陕西师范大学5962454西南财经大学(较高收费)6202197华东理工大学5882361 60中国地质大学(北京)6132756北京外国语大学(较高收费)5962454中央财经大学6192343上海大学(较高收费)5872458 61北京林业大学6132756苏州大学(较高收费)5962454华东政法大学6192343西南政法大学587245862华东政法大学6132756东北大学5952584西南政法大学6192343河海大学5872458 63深圳大学6132756河海大学5952584东北大学6192343华南师范大学5842458 64武汉大学(医护类)6122903中国药科大学5952584华东理工大学6192343陕西师范大学5862559 65华东理工大学6122903北京语言大学5952584北京林业大学6182441南京航空航天大学5862559 66北京中医药大学6122903西南财经大学(较高收费)5952584苏州大学(较高收费)6182441中国地质大学(武汉)5862559 67南京航空航天大学6122903深圳大学5952584河海大学6182441广东外语外贸大学5862559 68江南大学6113072华南师范大学5952584江南大学6182441北京语言大学5852658 69武汉理工大学(较高收费)6113072江南大学5942721陕西师范大学6172562西南政法大学(较高收费)5812658 70中国地质大学(武汉)6113072西南政法大学(较高收费)5942721北京语言大学6172562武汉理工大学(较高收费)5752658 71中国农业大学(较高收费)6113072中国地质大学(北京)5932851深圳大学6172562东北财经大学5852658 72陕西师范大学6113072西北大学5932851南京航空航天大学6172562西南财经大学(较高收费)5922746 73湖南师范大学6113072武汉理工大学(较高收费)5922999华南师范大学6162693深圳大学5842746 74西北大学6113072武汉理工大学5922999西南政法大学(较高收费)6162693华北电力大学(北京)5842746 75华北电力大学挑或6103216西南交通大学5922999西北大学6162693中国石油大学(北京)5842746 76西南交通大学6103216中国农业大学(较高收费)5922999中国农业大学(较高收费)6162693武汉理工大学5852857 77华南师范大学6103216中国传媒大学5922999华北电力大学(北京)6162693上海对外经贸大学5832857 78中国人民公安大学6093375南京航空航天大学5922999北京中医药大学6152801西南交通大学5832970 79中国海洋大学(较高收费)6093375湖南师范大学5922999武汉理工大学6152801中国农业大学(较高收费)5822970 80西南大学(较高收费)6093375华北电力大学(北京)5913133西南交通大学6152801福州大学5822970 81福州大学6093375华东理工大学5913133中国地质大学(武汉)6152801东北师范大学5822970 82武汉理工大学6083546中国石油大学(北京)5913133中国药科大学6142927中国药科大学5813082 83中国矿业大学(北京)6083546对外经济贸易大学5913133中国地质大学(北京)6142927江南大学5873082 84首都师范大学6083546山东大学威海分校(较高收费)5903276中国石油大学(北京)6142927北京化工大学5813082 85首都经济贸易大学6083546北京化工大学5903276北京化工大学6142927中国矿业大学(北京)5803205 86河海大学6073712江南大学(较高收费)5893439首都经济贸易大学6142927大连海事大学5803205 87东北财经大学6073712中国海洋大学(较高收费)5893439湖南师范大学6133045湖南师范大学5793320 88北京化工大学6063880中国矿业大学(北京)5893439大连海事大学6133045首都师范大学5793320 89西北农林科技大学6063880西南大学(较高收费)5893439武汉理工大学(较高收费)6123169首都经济贸易大学5793320 90郑州大学6063880上海对外经贸大学5893439福州大学6123169北京第二外国语学院5793320 91北京邮电大学6054047首都师范大学5883613北京第二外国语学院6123169长安大学5793320 92东北师范大学6054047首都经济贸易大学5883613南京农业大学6123169江南大学(较高收费)5783421 93安徽大学6054047中国地质大学(武汉)5873798江南大学(较高收费)6113297上海立信会计金融学院578342194南昌大学6054047西北农林科技大学5873798东北财经大学6113297南京审计大学5783421 95云南大学6054047东北财经大学5873798厦门大学(异地校区)6113297南京财经大学5773529 96西北政法大学6054047华中农业大学5863996中国矿业大学(北京)6103437南京农业大学5763634 97中国石油大学(华东)6044240福州大学5863996上海对外经贸大学6103437西北大学5883767 98西安电子科技大学6044240广东外语外贸大学5863996首都师范大学6103437成都中医药大学5743894 99南京农业大学6044240上海立信会计金融学院5863996东北师范大学6103437西北农林科技大学5734021 100北京外国语大学6044240东北师范大学5854158上海立信会计金融学院6093596华中农业大学5734021 101长安大学6034444云南大学5854158长安大学6093596北京工商大学5724140 102华中农业大学6034444安徽大学5844346华中农业大学6083752安徽大学5714282 103河北工业大学6034444郑州大学5844346上海对大学(较高收费)6083752广州中医药大学5714282 104辽宁大学6034444西安电子科技大学5834534西南大学(较高收费)6073912云南大学5704432 105上海对外经贸大学(较高收费)6034444北京第二外国语学院5834534西北农林科技大学6073912郑州大学5704432 106上海对外经贸大学6034444上海对大学(较高收费)5834534南京审计大学6073912南昌大学5704432 107华北电力大学(保定)6024631南昌大学5834534云南大学6054254中国石油大学(华东)5704432 108中国矿业大学6024631西北政法大学5834534郑州大学6054254天津财经大学5704432 109中国药科大学6024631武汉工程大学5834534西安电子科技大学6054254西南大学(较高收费)5694566 110北京第二外国语学院6024631华中师范大学(较高收费)5824720北京工商大学6044423西安电子科技大学5694566 111合肥工业大学6014835北京工商大学5824720浙江工商大学6044423西北政法大学5694566 112江西财经大学6014835天津医科大学5824720南京财经大学6044423浙江工商大学5694566 113广东外语外贸大学6014835河北工业大学5824720中国海洋大学(较高收费)6034574厦门大学(异地校区)5694566 114西安外国语大学欢6014835辽宁大学5824720安徽大学6034574辽宁大学5684738 115南京财经大学6014835宁波大学5824720南昌大学6034574华北电力大学(保定)5684738 116贵州大学6014835武汉大学(医护类)5814920中国石油大学(华东)6034574汕头大学5684738 117南京邮电大学6014835西安外国语大学5814920西北政法大学6024718四川国语大学5684738 118海南大学6014835浙江工商大学5814920辽宁大学6024718西安外国语大学5674900 119吉林大学(异地校区)6005041华北电力大学(保定)5805130宁波大学6024718中国矿业大学5674900 120西南大学(荣昌校区)6005041长安大学5805130中国矿业大学6024718天津医科大学5665054 121哈尔滨工程大学6005041江西财经大学5805130四川国语大学6024718河北工业大学5665054 122广西大学6005041南京财经大学5805130河北工业大学6014905南方医科大学5665054 123太原理工大学6005041合肥工业大学5795335西安外国语大学6014905中国海洋大学(较高收费)5655214 124浙江工商大学6005041中国石油大学(华东)5795335华北电力大学(保定)6014905宁波大学5655214 125南京信息工程大学5995253广西大学5795335南京邮电大学6005089南京邮电大学5655214126广州大学5995253南京邮电大学5795335汕头大学6005089上海海事大学5655214 127东北林业大学5985502广州大学5795335上海理工大学6005089上海理工大学5655214 128宁波大学5985502北京交通大学(威海校区)5785568天津医科大学5995282天津外国语大学5655214 129中国计量大学5985502中国矿业大学5785568合肥工业大学5995282上海师范大学5645378 130上海师范大学5985502西南大学(荣昌校区)5785568北京交通大学(威海校区)5995282太原理工大学5645378 131北京交通大学(威海校区)5975757哈尔滨工程大学5785568西南大学(荣昌校区)5995282青岛大学5645378 132厦门大学(异地校区)5975757扬州大学5785568哈尔滨工程大学5995282广州大学5635558 133合肥工业大学(宜城校区)5975757广州中医药大学5785568青岛大学5995282哈尔滨工程大学5635558 134江苏大学5975757贵州大学5785568广东外语外贸大学5985469江西财经大学5625715 135浙江师范大学5975757汕头大学5785568江西财经大学5985469合肥工业大学5625715 136杭州师范大学5975757上海师范大学5785568广西大学5985469扬州大学5625715 137浙江财经大学5975757太原理工大学5775801广州大学5985469江苏大学5625715 138上海海关学院5966006浙江师范大学5775801扬州大学5985469贵州大学5615889 139大连海事大学5966006合肥工业大学(宣城校区)5766019上海师范大学5985469宁波诺丁汉大学5615889 140天津财经大学5966006江苏大学5766019太原理工大学5985469天津师范大学5606069 141南京林业大学5966006南京信息工程大学5766019宁波诺丁汉大学5985469重庆工商大学5606069 142上海政法学院5966006宁波诺丁汉大学5766019贵州大学5975642西南大学(荣昌校区)5596248 143郑州大学(中外合作)5966006海南大学5766019江苏大学5975642浙江师范大学5596248 144东北农业大学5956277杭州师范大学5756265天津外国语大学5965874海南大学5596248 145东北师范大学(较高收费)5946558吉林大学(异地校区)5746530浙江师范大学5956071集美大学5596248 146扬州大学5946558东北林业大学5746530天津师范大学5956071湘潭大学5596248 147广州中医药大学5946558天津财经大学5746530合肥工业大学(宣城校区)5946301湖北大学5596248 148南京审计大学(较高收费)5946558华侨大学5746530南京信息工程大学5946301燕山大学5596248 149天津师范大学5946558集美大学5746530海南大学5946301广西大学5586463 150内蒙古大学5936823南京农业大学5736809上海海事大学5946301华侨大学5586463 151南京工业大学5936823东北师范大学(其他单列)5736809杭州师范大学5936485大连外国语大学5586463 152重庆邮电大学5936823上海海关学院5727095东北林业大学5936485华南农业大学5576661 153浙江理工大学5936823南京工业大学5727095集美大学5936485安徽财经大学5576661 154集美大学5936823湘潭大学5727095湘潭大学5936485南京信息工程大学5566877 155宁夏大学5936823青岛大学5727095大连外国语大学5936485杭州师范大学5566877 156四川外国语大学5936823湖北大学5727095上海政法学院5936485东北林业大学5566877 157上海立信会计金融学院5936823浙江理工大学5727095华侨大学5926688南京工业大学5566877158天津财经大学(较高收费)5927135中国计量大学5727095南京工业大学5926688浙江理工大学5566877 159南京审计大学5927135浙江工业大学5727095湖北大学5926688上海政法学院5566877 160南方医科大学5927135南京林业大学5727095华南农业大学5926688北方工业大学5566877 161北方工业大学5927135大连外国语大学5727095成都中医药大学5926688合肥工业大学(宣城校区)5557077 162上海海事大学5927135上海政法学院5727095浙江理工大学5916913浙江工业大学5557077 163上海海洋大学5927135华中农业大学(较高收费)5717330浙江工业大学5916913北京信息科技大学5557077 164中南民族大学5917416东北农业大学5717330南京林业大学5916913天津商业大学5557077 165延边大学5917416华南农业大学5717330上海理工大学(较高收费)5916913延边大学5547281 166上海理工大学5917416南方医科大学5717330中国计量大学5907122重庆邮电大学5547281 167湘潭大学5917416天津师范大学5717330福建师范大学5907122西安邮电大学5547281 168中国民航大学5917416浙江财经大学5717330西安邮电大学5907122北京建筑大学5547281 169天津工业大学5917416福建师范大学5717330北京信息科技大学5907122山西财经大学5547281 170南京中医药大学5917416延边大学5707586上海海洋大学5907122上海理工大学(较高收费)5547281 171河南大学5917416北方工业大学5707586上海海关学院5897332南京林业大学5537479 172东北师范大学(期他单列)5907699上海海事大学5707586延边大学5897332中国计量大学5527706 173西安建筑科技大学5907699中南民族大学5697861重庆工商大学5897332福建师范大学5527706 174西安邮电大学5907699内蒙古大学5697861上海师范大学(较高收费)5897332中国民航大学5527706 175湖北大学5907699上海理工大学5697861华中农业大学(较高收费)5887575上海海洋大学5527706 176北京建筑大学5907699重庆邮电大学5697861中国民航大学5887575河北大学5527706 177成都理工大学5907699西安邮电大学5697861燕山大学5887575北京联合大学5527706 178四川师范大学5907699中国民航大学5697861济南大学5887575东北农业大学5517926 179西南交通大学(异地校区)5897989北京信息科技大学5697861东北农业大学5877823内蒙古大学5517926 180燕山大学5897989上海海洋大学5697861浙江财经大学5877823济南大学5517926 181山西大学5897989燕山大学5688150北方工业大学5877823湖北中医药大学5517926 182华南农业大学5897989宁夏大学5688150河北大学5877823上海海关学院5508153 183青岛大学5897989山西中医药大学5688150天津工业大学5877823宁夏大学5508153 184武汉科技大学5897989济南大学5688150北京联合大学5877823天津工业大学5508153 185天津外国语天学5897989河南大学5688150上海海洋大学(高收费)5877823西安建筑科技大学5508153 186上海师范大学(较高收费)5897989武汉科技大学5678467天津商业大学5877823重庆理工大学5508153 187河北大学5897989天津财经大学(较高收费)5678467内蒙古大学5868067北京物资学院5498382 188浙江财经大学(较高收费)5897989河北大学5678467南方医科大学5858346上海师范大学(较高收费)5498382 189福建师范大学5897989广东工业大学5678467宁夏大学5858346河南大学5488606190|山东师范大学5897989四川师范大学5678467北京物资学院5858346重庆交通大学5488606 191山东财经大学5897989郑州大学(中外合作办学)5678467中南民族大学5848565长沙理工大学5488606 192北京语言大学5888305山西大学5668791西南民族大学5848565山西大学5478873 193上海理工大学(较高收费)5888305北京物资学院5668791重庆交通大学5848565江苏科技大学5478873 194北京信息科技大学5888305天津工业大学5668791长沙理工大学5848565山东科技大学5478873 195北京联合大学5888305河北科技大学5668791重庆邮电大学5838825华中农业大学(较高收费)5469122 196广东工业大学5888305湖南中医药大学5668791武汉科技大学5838825山东师范大学5469122 197西南民族大学5888305山东师范大学5668791山西大学5838825北京印刷学院5469122 198山西中医药大学5888305山东财经大学5668791山东师范大学5838825湖南中医药大学5459374 199大连外国语大学5888305西安建筑科技大学5659096山西财经大学5838825湖南科技大学5459374 200济南大学5888305成都理工大学5659096河南大学5829086陕西科技大学5459374 201重庆师范大学5888305西南民族大学5659096四川师范大学5829086武汉工程大学5449622 202北京物资学院5878623天津科技大学5659096郑州大学(中外合作办学)5829086成都理工大学5449622 203西南石油大学5878623江西师范大学5659096成都理工大学5829086西南民族大学5449622 204山西财经大学5878623重庆师范大学5659096西安科技大学5829086中南林业科技大学5449622 205上海电力大学5878623北京建筑大学5649433北京印刷学院5829086上海海洋大学(高收费)5449622 206西安外国语大学(较高收题)5868914重庆工商大学5649433山东科技大学5829086中国民用航空飞行学院5449622 207长沙理工大学5868914上海电力学院5649433武汉工程大学5819342浙江财经大学5439885 208重庆交通大学5868914福建农林大学5649433山西中医药大学5819342武汉科技大学5439885 209重庆工商大学5868914西交利物浦大学5639781重庆师范大学5819342常州大学5439885 210安徽师范大学5868914重庆交通大学5639781江苏科技大学5819342西安工业大学5439885 211青海大学5859226山西财经大学5639781广州中医药大学5809633东北财经大学(较高收费)5439885 212四川外国语大学(较高收费)5859226黑龙江大学5639781重庆理工大学5809633四川师范大学54210156 213天津科技大学5859226安徽师范大学5639781广东工业大学5799905重庆师范大学54210156 214江西师范大学5859226湖北工业大学5639781湖南中医药大学5799905西安科技大学54210156 215湖北工业大学5859226昆明理工大学5639781山东财经大学5799905南华大学54210156 216湖南科技大学5849521湖南科技大学56210145天津科技大学5799905青岛理工大学54110436 217黑龙江中医药大学5849521西南石油大学56210145昆明理工大学5799905哈尔滨商业大学54110436 218武汉工程大学5849521西安科技大学56210145陕西科技大学5799905昆明理工大学54010686 219西华大学5849521华东交通大学56210145西安工业大学5799905西南石油大学53910963 220昆明理工大学5849521上海应用技术大学56210145黑龙江大学57810192华东交通大学53910963 221新疆大学5839896西华大学56210145湖北工业大学57810192黑龙江中医药大学53910963222青岛理工大学5839896中国石油大学(北京)克拉玛依区56110480湖南科技大学57810192河南财经政法大学53910963 223西安科技大学5839896上海理工大学(较高收费)56110480西南石油大学57810192广州医科大学53910963 224南通大学5839896陕西科技大学56110480华东交通大学57810192上海电力学院53811236 225河北师范大学5839896西安外国语大学(较高收费)56110480西华大学57810192湖北工业大学53811236 226苏州科技大学5839896新疆大学56110480青海大学57810192黑龙江大学53711522 227重庆理工大学5839896南华大学56110480青岛理工大学57810192西华大学53711522 228成都大学5839896中北大学56110480黑龙江中医药大学57810192青海大学53711522 229中国石油大学(北京)58210223常州大学56110480广州医科大学57810192西南科技大学53711522 230陕西科技大学58210223北京印刷学院56110480中南林业科技大学57810192中北大学53611818 231北京印刷学院58210223河北师范大学56110480上海电力学院57710474上海应用技术大学53512138 232黑龙江大学58210223中央民族大学(少数民族)56010833福建农林大学57710474湖南农业大学53512138 233延边大学(较高收费)58110573青海大学56010833南华大学57710474中南民族大学53412434 234深圳技术大学58110573江苏科技大学56010833常州大学57710474西安工程大学53412434 235西安工业大学58110573西安工业大学56010833哈尔滨商业大学57710474石河子大学53412434 236安徽财经大学58110573青岛理工大学56010833西交利物浦大学57610788三峡大学53412434 237成都中医药大学58110573黑龙江中医药大学56010833成都信息工程大学57610788郑州大学(中外合作办学)53312740 238湖南工商大学58110573苏州科技大学56010833西安建筑科技大学57511112天津科技大学53312740 239中国石油大学(北京)(克拉玛依校区)58010935东北财经大学(较高收费)55911213上海应用技术大学57511112福建农林大学53312740 240东北财经大学(较高收费)58010935南昌航空大学55911213河南财经政法大学57511112大连民族大学53312740 241江苏科技大学58010935天津理工大学55911213西南科技大学57511112石家庄铁道大学53312740 242天津理工大学58010935北京师范大学-香港浸会大学联合国际学院55911213天津财经大学57411428长春理工大学53312740 243曲阜师范大学58010935安徽财经大学55811576中北大学57411428西交利物浦大学53213099 244山东建筑大学58010935上海师范大学(较高收费)55811576北京师范大学-香港浸会大学联合国际学院57411428武汉大学(原武汉科技学院)53213099 245天津中医药大学57911327长江大学55811576吉林财经大学57411428新疆大学53113403 246上海海洋大学(较高收费)57911327北京联合大学55811576武汉大学(原武汉科技学院)57411428江西理工大学53113403 247西安石油大学57911327山东科技大学55811576湖北中医药大学57411428河北科技大学53013743 248上海应用技术大学57911327南京中医药大学55811576三峡大学57411428成都信息工程大学53013743 249浙江农林大学57911327成都信息工程大学55811576湖南农业大学57411428吉林财经大学53013743 250河南财经政法大学57911327成都大学(原成都学院)55811576哈尔滨医科大学57411428沈阳工业大学52914050 251石家庄铁道大学57811728大连民族大学55711925江西师范大学57311698南昌航空大学52814369 252石河子大学57811728西安工程大学55711925西安外国语大学(较高收费)57311698河南科技大学52814369 253南方医科大学(医护类)57811728四川国语大学55711925新疆大学57311698东北石油大学52814369254长江大学57811728西安石油大学55711925天津理工大学57311698哈尔滨医科大学52814369 255山东科技大学57811728吉林财经大学55711925大连民族大学57311698温州肯恩大学52714688 256中南林业科技大学57811728武汉大学(原武汉科技学院)55711925西安工程大学57311698中国石油大学(北京)克拉玛依区52615055 257常州大学57811728湖南商学院55711925南昌航空大学57212003北京师范大学-香港浸会大学联合国际学院52615055 258吉林财经大学57811728西北师范大学55711925长春理工大学57212003河南科技学院52615055 259西北师范大学57811728河南财经政法大学55711925江西理工大学57212003天津理工大学52415767 260宁波大学(较高收费)57712113天津外国语大学55612293石河子大学57112332河南师范大学52415767 261汕头大学57712113湖北中医药大学55612293河北科技大学57012654辽宁石油化工大学52415767 262西安工程大学57712113广州医科大学55612293苏州科技大学56912983东华理工大学52316145 263广州医科大学57712113曲阜师范大学55612293湖南商学院56912983河南财经政法大学(较高收费)52316145 264华东交通大学57712113湖南工业大学55612293山东理工大学56912983华北水利水电大学52316145 265三峡大学57712113中南民族大学(少数民族)55512684安徽师范大学56813302长江大学52216519 266天津商业大学57712113大连海事大学55512684中国石油大学(北京)克拉玛依区56813302山东理工大学52216519 267中国戏曲学院57712113石家庄铁道大学55512684河北师范大学56813302沈阳建筑大学52216519 268天津外国语天学(较高收费)57612523石河子大学55512684长江大学56813302辽宁工程技术大学52116933 269南华大学57612523西南科技大学55512684中南民族大学(少数民族)56813302河南工业大学52116933 270西南科技大学57612523成都中医药大学55512684温州肯恩大学56813302大连民族大学(少数民族)52116933 271海南大学(较高收费)57612523中南林业科技大学55512684西北师范大学56713662郑州航空工业管理学院52116933 272宁夏大学(较高收费)57612523三峡大学55512684石家庄铁道大学56713662河南农业大学52017348 273天津科技大学(较高收费)57612523山东理工大学55512684海南大学(较高收费)56713662河南中医药大学52017348 274浙大城市学院57612523海南大学(较高收费)55413072沈阳工业大学56713662湖南工业大学51917731 275湖南中医药大学57512939宁夏大学(较高收费)55413072东华理工大学56713662中原工学院51917731 276湖北中医药大学57512939沈阳工业大学55413072西安石油大学56614018吉林财经大学(较高收费)51818137 277东华理工大学57512939东华理工大学55413072湖南工业大学56614018山东科技大学(较高收费)51818137 278湖南农业大学57512939浙江大学城市学院55413072安徽财经大学56514401河南理工大学51718518 279湖南工业大学57512939南京审计大学55313502河南财经政法大学(较高收费)56514401山东大学51618951 280成都信息工程大学57512939浙江师范大学(较高收费)55313502沈阳建筑大学56514401海南大学(较高收费)51618951 281沈阳工业大学57413354上海海洋大学(高收费)55313502吉林财经大学(高收费)56414785河南大学(中外合作办学)51618951 282西安财经大学57413354吉林财经大学(高收费)55313502浙江大学城市学院56315188新乡医学院51618951 283安徽工业大学57313776山东建筑大学55313502东北石油大学56315188284哈尔滨商业大学57313776天津科技大学(较高收费)55213923曲阜师范大学56215581285河南师范大学57313776长春理工大学55114347山东科技大学(较高收费)56215581286江西理工大学57214212温州肯恩大学55114347河南师范大学55916708 287大连工业大学57214212安徽工业大学55114347沈阳农业大学55916708 288浙大宁波理工学院57214212大连工业大学55114347安徽工业大学55817091 289上海体育学院57114622浙江农林大学55114347大连工业大学55817091 290长春理工大学57114622重庆理工大学55114347山东建筑大学55717500 291南京工程学院57114622河南财经政法大学(较高收费)55114347河南科技大学55717500 292安徽建筑大学57114622延边大学(较高收费)55014816安徽理工大学55717500 293上海电机学院57114622湖南农业大学55014816辽宁工程技术大学55617891 294贵州大学(较高收费)57015089江西理工大学54915243河南工业大学55617891 295南昌航空大学57015089山东科技大学(较高收费)54915243河南大学(中外合作办学)55518319 296湖州师范学院57015089河南师范大学54915243华北水利水电大学55518319 297山东理工大学57015089浙江大学宁波理工学院54915243北京建筑大学55418786 298北京师范大学-香港浸会大学联合国际学院57015089福建医科大学54815742浙江大学宁波理工学院55418786 299海南师范大学57015089上海电机学院54815742上海电机学院55319215 300中南民族大学(少数民族)56915522河南科技大学54716220辽宁石油化工大学55319215 301华北理工大学56915522海南师范大学54616694河南农业大学55319215 302齐鲁工业大学56915522辽宁工程技术大学54517222东北财大学(较高收费)55219630 303河南科技大学56915522辽宁石油化工大学54517222大连民族大学(少数民族)55219630 304河南工业大学56915522天津商业大学54517222南昌工程学院55120054 305西交利物浦大学56815995湖州师范学院54517222郑州航空工业管理学院55120054 306沈阳建筑大学56815995河南工业大学54517222河南理工大学55020481 307中北大学56815995安徽理工大学54417701福建医科大学54821437 308山东科技大学(较高收费)56815995南京工程学院54417701海南师范大学54821437 309西华师范大学56815995安徽建筑大学54417701中原工学院54821437 310上海工程技术大学56716461南昌工程学院54417701南阳理工学院54821437 311武汉纺织大学56716461河南大学(中外合作办学)54417701湖州师范学院54721887 312贵州大学(其他单列)56616955河南农业大学54318264河南中医药大学54721887 313中国民用航空飞行学院56616955华北水利水电大学54318264新乡医学院54721887 314吉林财经大学(较高收费)56616955长沙理工大学54218748河南科技学院52732212 315赣南师范大学56616955贵州大学(较高收费)54218748河南农业大学(中外合作办学)52732212 316南昌工程学院56616955大连民族大学(少数民族)54218748317江汉大学56616955东北石油大学54218748。
2017河南农业大学录取分数线河南农业大学位于河南省省会郑州市,是农业部、国家林业局、国家烟草专卖局与河南省人民政府共同重点建设的一所以生命科学为特色的综合性高等院校。
下面店铺为你整理了2017河南农业大学录取分数线,希望对你有帮助。
2017河南农业大学录取分数线【文科】大学名称招生地区文理类别录取批次最低分数省控线河南农业大学北京文科本科二批559 527 河南农业大学甘肃文科本科二批465 465 河南农业大学湖南文科本科二批501 482 河南农业大学青海文科本科二批435 420 河南农业大学海南文科本科二批642 588 河南农业大学重庆文科本科二批539 532 河南农业大学浙江文科本科二批536 472 河南农业大学山东文科本科二批545 510 河南农业大学湖北文科本科二批501 477 河南农业大学福建文科本科二批529 462 河南农业大学四川文科本科二批521 473 河南农业大学天津文科本科二批495 486 河南农业大学贵州文科本科二批507 472 河南农业大学辽宁文科本科二批486 460 2017河南农业大学录取分数线【理科】大学名称招生地区文理类别录取批次最低分数省控线河南农业大学北京理科本科二批489 495 河南农业大学湖南理科本科二批489 455 河南农业大学青海理科本科二批343 363河南农业大学海南理科本科二批581 - 河南农业大学重庆理科本科二批542 527 河南农业大学浙江理科本科二批501 428 河南农业大学山东理科本科二批527 490 河南农业大学湖北理科本科二批479 448 河南农业大学福建理科本科二批493 410 河南农业大学四川理科本科二批492 445 河南农业大学天津理科本科二批467 459 河南农业大学贵州理科本科二批401 372 河南农业大学辽宁理科本科二批437 419 河南农业大学上海理科本科二批336 348 河南农业大学简介河南农业大学位于河南省省会郑州市,是农业部、国家林业局、国家烟草专卖局与河南省人民政府共同重点建设的一所以生命科学为特色的综合性高等院校,是首批2011计划牵头高校,是教育部“特色重点学科建设项目”高校,也是中西部高校基础能力建设工程重点建设大学。