对数运算基础练习题
- 格式:docx
- 大小:47.98 KB
- 文档页数:3
对数运算练习题一、基础练习1. 计算以下对数:(1) $\log_3{9}$(2) $\log_5{1}$(3) $\log_2{16}$(4) $\log_{10}{1000}$(5) $\log_4{\frac{1}{64}}$2. 计算以下对数的近似值(保留两位小数):(1) $\log_2{5}$(2) $\log_3{7}$(3) $\log_{10}{2}$(4) $\log_5{2}$(5) $\log_6{49}$3. 求解以下方程:(1) $2^x = 16$(2) $3^{2x} = 9$(3) $10^x = 100$(4) $5^{3x} = 25$(5) $2^{4x} = \frac{1}{16}$二、进阶练习1. 已知 $\log_2{3} \approx 1.585$,计算以下近似值(保留三位小数):(1) $\log_2{12}$(2) $\log_4{9}$(3) $\log_{16}{4}$(4) $\log_2{27}$(5) $\log_{\frac{1}{2}}{8}$2. 求解以下方程组:$\begin{cases} \log_2{x} + \log_3{y} = 3 \\ \log_5{x} - \log_3{y} = 1\end{cases}$3. 已知 $\log_a{p} = m$,$\log_a{q} = n$,求证 $\log_a{\frac{p}{q}} = m - n$。
四、挑战练习1. 已知 $a^2 + b^2 = 25$,且 $\log_2{a} - \log_4{b} = 1$,求解$a$ 和 $b$。
2. $\log_2{p} = \frac{1}{3}$,$\log_p{q} = \frac{4}{5}$,求证$\log_q{\sqrt{p}} = -\frac{1}{2}$。
3. 计算 $\left(\log_3{2}\right)^4 - \left(\log_2{3}\right)^6$。
对数与对数运算练习题及答案一.选择题1.2-3=18化为对数式为( )A .log 182=-3 B .log 18(-3)=2C .log 218=-3D .log 2(-3)=182.log 63+log 62等于( )A .6B .5C .1D .log 65 3.如果lg x =lg a +2lg b -3lg c ,则x 等于( )A .a +2b -3cB .a +b 2-c 3C.ab 2c 3 D.2ab 3c4.已知a =log 32,那么log 38-2log 36用a 表示为( )A .a -2B .5a -2C .3a -(1+a )2D .3a -a 2-15. 的值等于( )A .2+ 5B .2 5C .2+52 D .1+526.Log 22的值为( )A .- 2 B. 2C .-12 D.127.在b =log (a -2)(5-a )中,实数a 的取值范围是( )A .a >5或a <2B .2<a <3或3<a <5C .2<a <5D .3<a <48.方程2log3x =14的解是( )A .x =19 B .x =x3C .x = 3D .x =99.若log 2(log 3x )=log 3(log 4y )=log 4(log 2z )=0,则x +y +z 的值为() A .9 B .8C .7D .610.若102x =25,则x 等于( )A .lg 15B .lg5C .2lg5D .2lg 1511.计算log 89·log 932的结果为( )A .4 B.53 C.14 D.3512.已知log a x =2,log b x =1,log c x =4(a ,b ,c ,x >0且≠1),则log x (abc )=( ) A.47 B.27 C.72 D.74二.填空题1. 2log 510+log 50.25=____.2.方程log 3(2x -1)=1的解为x =_______.3.若lg(ln x )=0,则x =_ ______.4.方程9x -6·3x -7=0的解是_______5.若log 34·log 48·log 8m =log 416,则m =________.6.已知log a 2=m ,log a 3=n ,则log a 18=_______.(用m ,n 表示)7.log 6[log 4(log 381)]=_______.8.使对数式log (x -1)(3-x )有意义的x 的取值范围是_______三.计算题1.计算:(1)2log 210+log 20.04 (2)lg3+2lg2-1lg1.2(3)log 6112-2log 63+13log 627 (4)log 2(3+2)+log 2(2-3);2.已知log 34·log 48·log 8m =log 416,求m 的值.对数与对数运算练习题答案一.选择题1. C 2. C 3. C 4. A 5. B 6. D 7. B 8 A 9. A 10. B11.B 12.D二.填空题1. 22. 23. e4. x =log 375. 96. m +2n7. 08. 1<x <3且x ≠2三.计算题1.解: (1)2log 210+log 20.04=log 2(100×0.04)=log 24=2(2)lg3+2lg2-1lg1.2=lg(3×4÷10)lg1.2=lg1.2lg1.2=1 (3)log 6112-2log 63+13log 627=log 6112-log 69+log 63 =log 6(112×19×3)=log 6136=-2. (4)log 2(3+2)+log 2(2-3)=log 2(2+3)(2-3)=log 21=0.2. [解析] log 416=2,log 34·log 48·log 8m =log 3m =2,∴m =9.。
对数函数及其性质1.函数<x)=lg(χ-l)+∙√H的定义域为( )A.(1,4]B.(1,4)C.[1,4]D.[1,4)2.函数y=亩log2∣x∣的大致图象是()3.若log∙2<1.则实数。
的取值范围是()A.(1,2)B.(0,1)U(2,+∞)C.(0,DU(1.2)D.(0,1)4.设α=log32,b=Iog6-,C=IogS6,贝∣J( )2A.a<c<bB.h<c<a C∙a<b<c D.b<a<c5.已知0>0且αWl,则函数y=0t与y=log rt(一χ)的图象可能是()6.函数y=log2x在[1,2]上的值域是()A.RB.[0,+∞)C.(一8,1]D.[0,1]7.函数卜=[10号(;1—1)的定义域是.8.若函数yω=logd(0<4<l)在区间[α,2α]上的最大值是最小值的3倍,则a的值为14A.O<α<b<1B.O<b<a<1C.a>b>∖D.b>a>∖15己知函数Ar)=21ogU的值域为则函数Ar)的定义域是()2A.咨,√2]B.[-1,1]C.[1,2]D.(-8,^]U[√2,+∞)5.若函数∕tr)="+log”(x+l)在[0,1]上的最大值和最小值之和为m则。
的值为()A.;B.∣C.2D.46.函数y=log√x+2)+3(α>0且α≠l)的图象过定点.7.函数丁=1。
8乂-%2+以+12)的单调递减区间是.38.将函数y=Iog?X的图象向左平移3个单位,得到图象C一再将C1向上平移2个单位得到图象C2,则C2的解析式为.9.若函数y=l0g2(左,+4人工+3)的定义域为比则4的取值范围是._ 1-X10.已知函^5f(x)=Iog a -------- (a>0且a≠1)1+X⑴求“W的定义域;i)判断f(χ的奇偶性并证明⑶当a>l时,求传(x)>0的X的取值范围。
4.3.2 对数的运算1.对数运算性质如果a >0,且a ≠1,M >0,N >0,那么 (1)log a (MN )=log a M +log a N ; (2)log a MN =log a M -log a N ;(3)log a M n =n log a M (n ∈R). 2.换底公式若a >0,且a ≠1,b >0,c >0,且c ≠1, 则有log a b =log c blog c a.1.计算log 84+log 82等于( ) A .log 86 B .8 C .6D .1D 解析:log 84+log 82=log 88=1. 2.计算log 510-log 52等于( ) A .log 58 B .lg 5 C .1D .2 C 解析:log 510-log 52=log 55=1. 3.计算2log 510+log 50.25=( ) A .0 B .1 C .2D .4 C 解析:2log 510+log 50.25=log 5100+log 50.25=log 525=2. 4.计算log 23·log 32=________. 1 解析:log 23·log 32=lg 3lg 2×lg 2lg 3=1. 5.计算log 225·log 322·log 59=________. 6 解析:原式=lg 25lg 2·lg 22lg 3·lg 9lg 5=2lg 5lg 2·32lg 2lg 3·2lg 3lg 5=6.【例1】(1)若lg 2=a ,lg 3=b ,则lg 45lg 12=( ) A.a +2b 2a +b B.1-a +2b 2a +bC.1-b +2a 2a +bD.1-a +2b a +2b(2)计算:lg 52+2lg 2-⎝⎛⎭⎫12-1=________.(1)B (2)-1 解析:(1)lg 45lg 12=lg 5+lg 9lg 3+lg 4=1-lg 2+2lg 3lg 3+2lg 2=1-a +2b2a +b .(2)lg 52+2lg 2-⎝⎛⎭⎫12-1=lg 5-lg 2+2lg 2-2=(lg 5+lg 2)-2=1-2=-1.【例2】计算:(1)log 345-log 35; (2)log 2(23×45);(3)lg 27+lg 8-lg 1 000lg 1.2;(4)log 29·log 38.解:(1)log 345-log 35=log 3455=log 39=log 332=2.(2)log 2(23×45)=log 2(23×210)=log 2(213) =13log 22=13. (3)原式=lg (27×8)-lg 1032lg 1210=lg (332×23÷1032)lg 1210=lg⎝⎛⎭⎫3×41032lg 1210=32lg1210lg 1210=32.(4)log 29·log 38=log 232·log 323 =2log 23·3log 32=6log 23·1log 23=6.利用对数运算性质化简与求值的原则和方法(1)基本原则:①正用或逆用公式,对真数进行处理;②选哪种策略化简,取决于问题的实际情况,一般本着便于化简的原则进行. (2)两种常用的方法:①“收”,将同底的两对数的和(差)收成积(商)的对数; ②“拆”,将积(商)的对数拆成同底的两对数的和(差).提醒:对于对数的运算性质要熟练掌握,并能够灵活运用,在求值过程中,要注意公式的正用和逆用.计算下列各式的值: (1)12lg 3249-43lg 8+lg 245; (2)lg 52+23lg 8+lg 5·lg 20+(lg 2)2;(3)lg 2+lg 3-lg 10lg 1.8.解:(1)原式=12(5lg 2-2lg 7)-43×32lg 2+12(2lg 7+lg 5)=52lg 2-lg 7-2lg 2+lg 7+12lg 5=12lg 2+12lg 5=12(lg 2+lg 5) =12lg 10=12. (2)原式=2lg 5+2lg 2+lg 5(2lg 2+lg 5)+(lg 2)2 =2lg 10+(lg 5+lg 2)2=2+(lg 10)2=2+1=3. (3)原式=12(lg 2+lg 9-lg 10)lg 1.8=lg 18102lg 1.8=lg 1.82lg 1.8=12.【例3】已知log 189=a ,18b =5,求log 3645. 解:因为18b =5,所以log 185=b . (方法一)log 3645=log 1845log 1836=log 18(9×5)log 181829=log 189+log 1852log 1818-log 189=a +b2-a.(方法二)因为lg 9lg 18=log 189=a , 所以lg 9=a lg 18,同理得lg 5=b lg 18, 所以log 3645=lg 45lg 36=lg (9×5)lg 1829=lg 9+lg 52lg 18-lg 9=a lg 18+b lg 182lg 18-a lg 18=a +b2-a.应用换底公式应注意的两个方面(1)化成同底的对数时,要注意换底公式的正用、逆用以及变形应用. (2)题目中有指数式和对数式时,要注意将指数式与对数式统一成一种形式.1.已知2x =3y =a ,且1x +1y =2,则a 的值为( )A .36B .6C .2 6 D. 6D 解析:因为2x =3y =a , 所以x =log 2a ,y =log 3a ,所以1x +1y =1log 2a +1log 3a =log a 2+log a 3=log a 6=2,所以a 2=6,解得a =±6.又a >0,所以a = 6. 2.求值:(1)log 23·log 35·log 516; (2)(log 32+log 92)(log 43+log 83).解:(1)原式=lg 3lg 2·lg 5lg 3·lg 16lg 5=lg 16lg 2=4lg 2lg 2=4.(2)原式=⎝⎛⎭⎫lg 2lg 3+lg 2lg 9⎝⎛⎭⎫lg 3lg 4+lg 3lg 8 =⎝⎛⎭⎫lg 2lg 3+lg 22lg 3⎝⎛⎭⎫lg 32lg 2+lg 33lg 2 =3lg 22lg 3·5lg 36lg 2=54.探究题1 若log 23=a ,log 25=b ,则用a ,b 表示log 415=________. a +b 2 解析:log 415=log 215log 24=log 23+log 252=a +b2.探究题2 已知3a =5b =c ,且1a +1b =2,求c 的值.解:∵3a =5b =c , ∴a =log 3c ,b =log 5c , ∴1a =log c 3,1b=log c 5, ∴1a +1b =logc 3+log c 5=log c 15=2. 得c 2=15, 即c =15.解决对数的运算问题,主要依据是对数的运算性质.常用方法有: (1)将真数化为“底数”;(2)将同底数的对数的和、差、倍合并; (3)利用常用对数中的lg 2+lg 5=1.已知x ,y ,z 为正数,3x =4y =6z ,且2x =py . (1)求p 的值; (2)证明:1z -1x =12y.解析:设3x =4y =6z =k (显然k >0,且k ≠1),则x =log 3k ,y =log 4k ,z =log 6k .(1)由2x =py ,得2log 3k =p log 4k =p ·log 3klog 34,因为log 3k ≠0,所以p =2log 34=4log 32. (2)证明:1z -1x =1log 6k -1log 3k=log k 6-log k 3=log k 2=12log k 4=12y .对数的运算练习(30分钟60分)1.(5分)计算:log153-log62+log155-log63=()A.-2B.0C.1 D.2B解析:原式=log15(3×5)-log6(2×3)=1-1=0.2.(5分)设10a=2,lg 3=b,则log26=()A.baB.a+baC.ab D.a+bB解析:∵10a=2,∴lg 2=a,∴log26=lg 6lg 2=lg 2+lg 3lg 2=a+ba.3.(5分)设a,b,c均为不等于1的正实数,则下列等式中恒成立的是() A.logab•logcb=logcaB.logab•logca=logcbC.loga(bc)=logab•logacD.loga(b+c)=logab+logacB解析:由logab•logcb=lg blg a•lg blg c≠logca,故A错;由logab•logca=lg blg a•lg alg c =lg blg c=logcb;loga(bc)=logab+logac,故C,D错.故选B.4.(5分)如果lg x=lg a+3lg b-5lg c,那么()A.x=ab3c5 B.x=3ab5cC.x=a+3b-5c D.x=a+b3-c3A解析:lg a+3lg b-5lg c=lg a+lg b3-lg c5=lgab3c5,由lg x=lgab3c5,可得x=ab3c5. 5.(5分)log2 4等于()A.12B.14C.2 D.4D解析:log2 4=log2 (2)4=4.6.(5分)已知lg 2=a,lg 3=b,则用a,b表示lg 15为()A.b-a+1B.b(a-1)C.b-a-1D.b(1-a)A解析:lg 15=lg(3×5)=lg 3+lg 5=lg 3+lg 102=lg 3+1-lg 2=b-a+1.7.(5分)方程lg x+lg(x+3)=1的解是x=________.2解析:原方程可化为lg(x2+3x)=1,∴x>0,x+3>0,x2+3x-10=0,解得x=2.8.(5分)若3x=4y=36,则2x+1y=________.1解析:3x=4y=36,两边取以6为底的对数,得xlog63=ylog64=2,∴2x=log63,2y=log64,即1y=log62,故2x+1y=log63+log62=1.9.(5分)已知log23=a,log37=b,则log1456=________(用a,b表示).3+ab1+ab解析:由log23=a,log37=b,得log27=ab,则log1456=log256log214=log28+log27log22+log27=3+log271+log27=3+ab1+ab. 10.(15分)计算.(1)log535-2log573+log57-log51.8;(2)log2748+log212-12log242-1.解:(1)原式=log5(5×7)-2(log57-log53)+log57-log595=log55+log57-2log57+2log53+log57-2log53+log55=2.(2)原式=log2748+log212-log242-log22=log27×1248×42×2=log2122=log22-23=-32.。
对数运算练习题1.将下列指数式改为对数式:(1)12316 _________________( 2)814x __________________ 42.将下列对数式改为指数式:(1)log483( 2)log1x 5 ______________ ___________________423. 3log33log37149___________ 24log3 4 log3124.log a x2log a n log a p ,则x___________ log a m25. lg 0.0622lg 61_____________ lg 66. 下列指数式与对数式互化不正确的一组是()A 10011与 log 2711 1与 lg10B27 3333 11与51C log392与 923D log 5 557. 已知log x16 2 ,则 x 的值为()A 4B4C4D 1 48. 下列各等式中,正确运用对数运算性质的是()A lg x2 y z lg x 2lg z B lg x2 y z2lg y2lg z lg y lg xC lg x2 y z2lg x lg y2lg zD lg x2 y z2lg x lg y 1lg z9. 以下运算中结果正确的是2()A log102log 10 5 1B log 4 6log 4 21 log 4 32131log 2 8C log52lg x lg y2lg z D3 log 2 8 3 35310. 已知a log 3 2 ,那么 log 3 82log 3 6 ,用 a 表示是()A a2B5a2C 3a12D3a a21 a11.计算:11lg9lg 240(1)lg 4 lg5lg20 lg522( 2)2lg 27lg3613512. 已知log a2x,log a 3y ,求 a2 x y的值13. 设在海拔x米处的大气压强是yPa ,已知 y ce kx,其中 c, k 为常数,若沿海某地元旦那天,在海平面的大气压强为 1.01105 Pa ,100米高空的大气压强是0.90 105 Pa ,求8000米高空的大气压强(结果保留 4 为有效数字)答案: 1. (1)log11623(2)log81x44 352. ( 1)448( 2)1x23.34.m15.n2 p6.C7.B8.D9.A10.A11.(1)2(2)112.1213.4.015 104 Pa。
对数运算-计算题练习(含答案)作者: 日期:2017-2018学年高一数学必修一对数运算计算题练习1、计算:LgV27 + lg8-31og42 .lgl-22、计算:l Cfi32EL+i E25+lfi4+7lwa +log a3»lo^43、计算:■ - v' ■: ■■_.•匕:1 -.4、计算:- 45、计算:U8^1gl25-1^2-U5 lg丽湮0」6、计算:log2 24 lg 0.5 log 3^27 lg 2 log2 3&计算:v'lg 23 lg9 1 (lg V27 lg 8 lg J1000) lg0.3lg1.2 9、计算:2lg25 + lg2 • lg 50 + lg 2;10、计算: (log t3+log83)(log3 2+lofo 2)11、计算: 农1^5 +临20_严+12、计算:2f吁25+汝13、计算:| : ; . : ' I ■ : 114、计算:2(lg..2)2 Ig._2lg5「(lg —2)2一lg 2一121og 3 2 - log 3 #+ log 3 8-17、计算::.!_ : : I + _ - I - I J15、计算: 16、计算:@劄0十治5 +殛2 + w -(占詁第5页共10页18、计算:I 上‘ +_.“:+_ 厂;-寸堆25-hlg2-lg^/OJ -log2 ^xlog^S20、计算:21、计算: L2 l_41g3+4+te 6-1^0.0222、计算:| 丁― .「•・「+ y ‘「—..■;21g2 + lg323、计算:l + |lg0.3fi+24、计算:⑵捱25+lg 2-lg7ol25、计算: 呃扮+1吧卫-拖曲26、计算: 迢25 +葩-泸昭+Qog昇+ 1。
毀9) log s227、计算:l 盯+ _ __ ■:;21s2+lg328、计算1+-1?O.^+-1S82 63 &29、计算: 1' L - f■-…- :'- "L',.1-. .21s2+lg330、计算: .1 ' .7 1 -'31、计算:(¥启 + + In 苕-畑232、计算:322log 32 —log 3 ' + log 38—■■:;33、计算: .x J U计算 34 计算 35、 (log 32+log i>2)(kg 43+kg 3?) 计算 36 lg 计算 37、 0.06^1 计算 38、 计算 39、n s> + 16* 4-0.25a d-21o536-log 312—log 25 2也 70-lg 3- 2(Ig5) + lg2 • lg50 + 21 + l+-lg^-lg24Q l-|lg27+lg^+1参考答案1、答案为 1.5.2、答案为 4.753、答案为 6.5.4、答案为 4.5.5、答案为-4.6、答案为 1.5.&答案为-1.5.9、答案为 2.10、答案为 1.25.11、答案为212、答案为513、答案为1+ 2书14、答案为 1.15、答案为-7.16、答案为 5.17、答案为0.18、答案为320、答案为0.5.21、答案为 4.22、答案为-2 a .23、答案为 1.24、答案为 1.5.25、答案为0.5.26、答案为7/6.27、答案为 6.28、答案为 1.29、答案为 3.5.30、答案为 1.31、答案为 3.5.32、答案为-7.33、答案为 2.34、答案为035、答案为 1.25.36、答案为lg3.37、答案为1+ 2搭38、答案为11.39、答案为 2.。
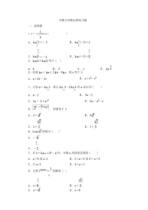
对数与对数运算练习题一.选择题- 1 )1.2 3=化为对数式为 (8A.log12=- 3 B.log1(-3)=28 81 1 C.log28 =- 3 D.log2(-3)=8 2.log63+log62 等于 ( )A.6 B. 5 C. 16 D. log 53.如果 lgx= lga+ 2lgb-3lgc,则 x 等于 ()A.a+2b- 3c B. a+ b2-c3 4.已知 a= log 2,那么 log 8-2log 6 用 a 表示为 ( )3 3 3A.a-2 B. 5a-2C.3a- (1+a)2 D.3a- a2-1 5.的值等于 ()A.2+ 5 B.2 55 5 C.2+2 D.1+2 6.Log2 2的值为 ( )A.- 21C.-27.在 b=log(a-2)(5- a)中,实数 a 的取值范围是 ( ) A.a>5 或 a<2 B.2<a<3 或 3< a<5 C.2<a<5 D.3<a<48.方程 2log3x=1的解是 ( )41 x A.x=9 B.x=3 C.x= 3 D.x=99.若 log 2(log 3x)=log 3(log 4y)=log 4(log 2z)=0,则 x +y +z 的值为 ( )A .9B .8C .7D .6 .若 10 2x = 25,则 x 等于 ( )1011A .lg 5B .lg5C . 2lg5D .2lg 511.计算 log 89·log 932 的结果为 ()A .412.已知 log a x =2,log b x =1,log c x =4(a ,b ,c ,x >0 且≠ 1),则 log x (abc)= ()二.填空题1. 2log 510+= ____.2.方程 log 3(2x -1)=1 的解为 x =_______.3.若 lg(lnx)=0,则 x = _ ______.4.方程 9x -6·3x - 7= 0 的解是 _______5.若 log 34·log 48·log 8m =log 416,则 m = ________.6.已知 log 2=m ,log 3=n ,则 log 18= _______.(用 m ,n 表示 )aaa7.log 6[log 4(log 381)]=_______.8.使对数式 log (x -1) (3-x)有意义的 x 的取值范围是 _______三.计算题 1.计算:(1)2log 210+(2)错误 !61-2log 6 +1 6 2+ + 2 -(3)log 1233log 27(4)log ( 3 2) log (23);2.已知 log34·log48·log8m=log416,求 m 的值.对数与对数运算练习题答案一.选择题1. C 2. C 3. C 4. A 5. B 6. D 7. B 8 A 9. A 10.二.填空题1. 22. 23. e4. x= log 735. 96. m+2n7. 08. 1<x<3 且 x≠2三.计算题1.解:(1)2log210+= log2(100 ×=log24=2(2)错误!=错误!=错误!=16 1- 2log6 +1 6 = 61-log6 +6(3)log 12 3 3log 27 log 12 9 log 31 1 1=log6( × × 3)=log6=- 2.12 936(4)log2( 3+2)+log2(2-3)=l og2(2+ 3)(2- 3)=log21=0.2.[解析 ] log416= 2, log34·log48·log8m=log3m=2,∴m= 9.。
对数函数练习一、选择题1.函数y=-x +1的反函数是( C )=log 5x+1=klog x 5+1 =log 5(x-1) =log 5x-12.函数y=(1-x)(x <1=的反函数是( B ).=1+2-x (x ∈R)=1-2-x (x ∈R) =1+2x (x ∈R) =1-2x (x ∈R)3.当a >1时,函数y=log a x 和y=(1-a)x 的图像只可能是( B )4.函数f(x)=lg(x 2-3x+2)的定义域为F ,函数g(x)=lg(x-1)+lg(x-2)定义域为G ,那么( D )∩G= =G5.已知0<a <1,b >1,且ab >1,则下列不等式中成立的是( B )b 1<log a b <log a b 1 <log b b 1<log a b1 <log a b 1<log b b 1 b 1<log a b1<log a b 6.函数f(x)=2log 21x 的值域是[-1,1],则函数f -1(x)的值域是( A )A.[22,2]B.[-1,1]C.[21,2]D.(-∞,22 )∪2,+∞) 7.函数f(x)=log 31 (5-4x-x 2)的单调减区间为( C )A.(-∞,-2)B.[-2,+∞]C.(-5,-2)D.[-2,1]=log 0.50.6,b=2,c=log 35,则( B ) <b <c <a <c <c <b <a <b二、填空题1.将(61)0,2,log221,23由小到大排顺序: 答案:21<(log 232)<(61)0<2 2.已知函数f(x)=(log41x)2-log 41x+5,x ∈[2,4],则当x= ,f(x)有最大值 ;当x= 时,f(x)有最小值 .答案:4,7,2,423 3.函数y=)x log 1(log 2221+的定义域为 ,值域为 .答案:( 22,1)∪[-1,-22],[0,+∞] 4.函数y=log 312x+log 31x 的单调递减区间是 .答案:(0,33) 三、解答题1.求函数y=log 21(x 2-x-2)的单调递减区间.答案:(21,+∞) 2.求函数f(x)=log a (a x +1)(a >1且a ≠1)的反函数.答案:(i)当a >1时,由a x -1>0⇒x >0;log a (a x +1)的反函数为f -1(x)=log a (a x -1),x >0;当0<a <1时,f -1(x)=log a (a x -1),x <0.3.求函数f(x)=log 211-+x x +log 2(x-1)+log 2(p-x)的值域.答案: (-∞,2log 2(p+1)-2]【素质优化训练】1.已知正实数x 、y 、z 满足3x =4y =6z(1)求证:z 1-x 1=zy1;(2)比较3x,4y,6z 的大小 解:(1) z 1-x 1=log t 6-log t 3=log t 2=21log t 4=y 21 (2)3x <4y <6z.2.已知log m 5>log n 5,试确定m 和n 的大小关系.答案:得n >m >1,或0<m <n <1,或0<n <1<m.3.设常数a >1>b >0,则当a,b 满足什么关系时,lg(a x -b x )>0的解集为{x |x >1}.答案:a=b+1【生活实际运用】美国的物价从1939年的100增加到40年后1979年的500.如果每年物价增长率相同,问每年增长百分之几(注意:自然对数lnx 是以e=…为底的对数.本题中增长率x <,可用自然对数的近似公式:ln(1+x)≈x,取lg 2=,ln10=来计算=答案:美国物价每年增长约百分之四.【知识探究学习】某城市现有人口总数为100万人,如果年自然增长率为%,试解答下面的问题:(1)写出该城市人口总数x(万人)与年份x(年)的函数关系式;(2)计算10年以后该城市人口总数(精确到万人);(3)计算大约多少年以后该城市人口将达到120万人(精确到1年). 解:(1)1年后该城市人口总数y=100+100×%=100×(1+%)2年后该城市人口总数为y =100×(1+%)2+100×(1+%)2×%=100×(1+%)2同理,3年后该市人口总数为y =100×(1+%)3.x 年后该城市人口总数为y =100×(1+%)x ;(2)10年后该城市人口总数为y =100×(1+%)10=100×≈(万人)(3)设x 年后该城市人口将达到120万人,即100×(1+%)x =120, x=100120 =年)。
对数与对数运算练习题一.选择题1.2-3=18化为对数式为( ) A .log 182=-3B .log 18(-3)=2C .log 218=-3 D .log 2(-3)=182.log 63+log 62等于( )A .6B .5C .1D .log 65 3.如果lg x =lg a +2lg b -3lg c ,则x 等于( ) A .a +2b -3cB .a +b 2-c 3C.ab 2c 3D.2ab 3c4.已知a =log 32,那么log 38-2log 36用a 表示为( ) A .a -2B .5a -2C .3a -(1+a )2D .3a -a 2-15.的值等于( ) A .2+ 5 B .2 5 C .2+52D .1+526.Log 22的值为( ) A .- 2 B. 2 C .-12D.127.在b =log (a -2)(5-a )中,实数a 的取值范围是( ) A .a >5或a <2 B .2<a <3或3<a <5 C .2<a <5D .3<a <48.方程2log3x =14的解是( ) A .x =19B .x =x3C.x= 3 D.x=99.若log2(log3x)=log3(log4y)=log4(log2z)=0,则x+y+z的值为() A.9 B.8C.7 D.610.若102x=25,则x等于()A.lg 15B.lg5 C.2lg5 D.2lg1511.计算log89·log932的结果为()A.4 B.53C.14D.3512.已知log a x=2,log b x=1,log c x=4(a,b,c,x>0且≠1),则log x(abc)=()A.47 B.27C.72 D.74二.填空题1.2log510+log50.25=____.2.方程log3(2x-1)=1的解为x=_______.3.若lg(ln x)=0,则x=_ ______.4.方程9x-6·3x-7=0的解是_______5.若log34·log48·log8m=log416,则m=________.6.已知log a2=m,log a3=n,则log a18=_______.(用m,n表示) 7.log6[log4(log381)]=_______.8.使对数式log(x-1)(3-x)有意义的x的取值范围是_______三.计算题1.计算:(1)2log210+log20.04 (2)lg3+2lg2-1lg1.2(3)log6112-2log63+13log627 (4)log2(3+2)+log2(2-3);2.已知log34·log48·log8m=log416,求m的值.对数与对数运算练习题答案一.选择题1.C 2. C 3. C 4. A 5. B 6. D 7. B 8 A 9. A 10. B11.B 12.D二.填空题1. 22. 23. e4. x=log375. 96. m+2n7. 08. 1<x<3且x≠2三.计算题1.解:(1)2log210+log20.04=log2(100×0.04)=log24=2(2)lg3+2lg2-1lg1.2=lg(3×4÷10)lg1.2=lg1.2lg1.2=1(3)log6112-2log63+13log627=log6112-log69+log63=log6(112×19×3)=log6136=-2.(4)log2(3+2)+log2(2-3)=log2(2+3)(2-3)=log21=0.2. [解析] log 416=2,log 34·log 48·log 8m =log 3m =2, ∴m =9.对 数一、选择题 1、25)(log 5a -(a ≠0)化简得结果是( ) A 、-aB 、a 2C 、|a |D 、a2、 log 7[log 3(log 2x )]=0,则21-x 等于( )A 、31B 、321 C 、221 D 、3313、 nn ++1log(n n -+1)等于( ) A 、1B 、-1C 、2D 、-24、 已知32a =,那么33log 82log 6-用表示是( )A 、2a -B 、52a -C 、23(1)a a -+ D 、 23a a - 5、 2log (2)log log a a a M N M N -=+,则NM的值为( ) A 、41B 、4C 、1D 、4或1 6、 若log m 9<log n 9<0,那么m,n 满足的条件是( ) A 、m>n>1 B 、n>m>1 C 、0<n<m<1 D 、0<m<n<17、 若1<x<b,a=log 2b x,c=log a x,则a,b,c 的关系是( ) A 、a<b<c B 、 a<c<b C 、c<b<a D 、c<a<b 8、在)5(log 2a b a -=-中,实数a 的范围是( ) A 、 a >5或a <2B 、 25<<aC 、 23<<a 或35<<aD 、 34<<a9、 已知23834x y ==,log ,则x y +2的值为( ) A 、 3B 、 8C 、 4D 、 log 4810、 设a 、b 、c 都是正数,且c b a 643==,则( ) A 、111c a b=+ B 、221c a b =+ C 、 122c a b=+ D 、212c a b=+ 二、填空题11 、若lg2=a ,lg3=b ,则log 512=________ 12、3a=2,则log 38-2log 36=__________ 13、若2log 2,log 3,m na a m n a+===___________________14、若f x x ()log ()=-31,且f a ()=2,则a=____________ 15、2342923232log ()log ()+-+=___________三、解答题16、计算:(1) 12lg )2(lg 5lg 2lg )2(lg 222+-+⋅+(2)(log 2125+log 425+log 85)(log 52+log 254+log 1258)17、 若lga 、lgb 是方程01422=+-x x 的两个实根,求2)(lg )lg(baab ⋅的值。
对数与对数函数练习题题型一、对数的运算1.已知13log 82x =,则=x2.若()()2334log log log log 0x y ==,则x y +=3.设()()()8112=1log x x f x x x -≤⎧⎨>⎩,则满足()1=4f x 的x 的值为4.设2=5=a bm ,且11+=2a b,则=m5.已知lg 2=a ,lg3=b ,则lg12=lg156.计算:2lg 2+lg2lg50+lg25=⋅7.计算:()()3948log 2+log 2log 3+log 3=8.计算:235log 25log 4log 9=⋅⋅9.计算:⑴()(21lg5lg8lg100lg lg lg 0.006=6⋅++++⑵211log 522+=⑶lg1.2-=10. 已知()()()()22log 01012x x x f x x x x ⎧>⎪=-<≤⎨⎪≤--⎩,则({}2f f f ⎡⎤-=⎣⎦11.已知()5=lg f x x ,则()2f =12.设函数()1=lg 1f x f x x ⎛⎫+⎪⎝⎭,则()10=f 13.如果αβ,是关于x 的方程()()lg 3lg 50x x ⋅=的两实根,则=αβ( )A.115B. lg15C. lg3lg5⋅D.15 14.已知18log 9=a ,185b=,用,a b 表示36log 45可写成15.已知lg 2=0.3010,lg3=0.4771,则 16.设方程()2lg lg 2lg3lg lg 2lg30x x ++⋅+⋅=的两个根是12x x ,,则12=x x ⋅题型二:对数型函数的定义域、值域问题 1.求下列函数的定义域.⑴()f x ⑵()()()1=log 164x x f x +- ⑶y =⑷()2log 2y x =+⑸()()121log 21f x x =+ ⑹()f x =2.函数()21142=log log 5f x x ⎛⎫-+ ⎪⎝⎭在区间[]2,4上的最小值是3.求下列函数的值域。
一、对数的基本概念1. 下列各数中,哪些是正数、负数、零?log₂3log₃9log₄16log₅25log₆362. 判断下列各对数是否成立:log₂4 = 2log₃27 = 3log₄16 = 4log₅25 = 5log₆36 = 63. 求下列各对数的底数:logₐ16 = 4logₐ25 = 2logₐ36 = 2logₐ49 = 2logₐ64 = 34. 求下列各对数的真数:log₂8 = alog₃27 = blog₄16 = clog₆36 = e5. 求下列各对数的对数底数: logₐ16 = 4logₐ25 = 2logₐ36 = 2logₐ49 = 2logₐ64 = 3二、对数的运算1. 求下列各对数的值:log₂(8 ÷ 4)log₃(27 ÷ 9)log₄(16 ÷ 4)log₅(25 ÷ 5)log₆(36 ÷ 6)2. 求下列各对数的值:log₂(8 × 4)log₃(27 × 9)log₄(16 × 4)log₅(25 × 5)log₆(36 × 6)3. 求下列各对数的值:log₂(8 + 4)log₃(27 + 9)log₅(25 + 5)log₆(36 + 6)4. 求下列各对数的值:log₂(8 4)log₃(27 9)log₄(16 4)log₅(25 5)log₆(36 6)5. 求下列各对数的值:log₂(8 ÷ 4) + log₂4log₃(27 ÷ 9) + log₃3log₄(16 ÷ 4) + log₄4log₅(25 ÷ 5) + log₅5log₆(36 ÷ 6) + log₆6三、对数的应用1. 某商品原价为100元,现在打八折,求打折后的价格。
2. 某人存款10000元,年利率为5%,求2年后存款的利息。
2.2对数函数一、选择题 1、25)(log 5a -(a ≠0)化简得结果是( )A 、-aB 、a 2C 、|a |D 、a 2、log 7[log 3(log 2x )]=0,则21-x 等于( ) A 、31 B 、321 C 、221 D 、3313、nn ++1log(n n -+1)等于( )A 、1B 、-1C 、2D 、-2 4、已知32a =,那么33log 82log 6-用表示是() A 、2a -B 、52a -C 、23(1)a a -+D 、23a a - 5、2log (2)log log a a a M N M N -=+,则NM的值为() A 、41B 、4C 、1D 、4或16、若log m 9<log n 9<0,那么m,n 满足的条件是() A 、m>n>1B 、n>m>1 C 、0<n<m<1D 、0<m<n<17、若1<x<b,a=log 2b x,c=log a x,则a,b,c 的关系是() A 、a<b<cB 、a<c<bC 、c<b<aD 、c<a<b 8、在)5(log 2a b a -=-中,实数a 的范围是() A 、a >5或a <2 B 、25<<a C 、23<<a 或35<<a D 、34<<a9、已知23834xy ==,l o g ,则x y +2的值为() A 、3 B 、8 C 、4 D 、lo g 4810、设a 、b 、c 都是正数,且c b a 643==,则() A 、111c a b =+ B 、221c a b =+C 、122c a b =+ D 、212c a b=+ 二、填空题11、若lg2=a ,lg3=b ,则log 512=________ 13、若2log 2,log 3,m n a a m n a +===___________________ 14、若fx x ()l o g ()=-31,且f a ()=2,则a=____________ 15、2342923232l o g ()l o g ()+-+=___________三、解答题16、计算:(1)12lg )2(lg 5lg 2lg )2(lg 222+-+⋅+ (2)(log 2125+log 425+log 85)(log 52+log 254+log 1258)17、若lga 、lgb 是方程01422=+-x x 的两个实根,求2)(lg )lg(baab ⋅的值。