(全国通用版)2020高考数学二轮复习 压轴大题突破练(四)函数与导数(2)理
- 格式:doc
- 大小:95.50 KB
- 文档页数:8
高中数学学习材料马鸣风萧萧*整理制作专题分层训练(三十三) 压轴大题规范练(2)——函数与导数1.已知函数f (x )=ln x ,g (x )=ax (a >0),设F (x )=f (x )+g (x ). (1)求函数F (x )的单调区间;(2)若以函数y =F (x )(x ∈(0,3])图象上任意一点P (x 0,y 0)为切点的切线的斜率k ≤12恒成立,求实数a 的最小值.解 (1)F (x )=f (x )+g (x )=ln x +ax (x >0), F ′(x )=1x -a x 2=x -ax 2.∵a >0,由F ′(x )>0⇒x ∈(a ,+∞), ∴F (x )在(a ,+∞)上是增函数. 由F ′(x )<0⇒x ∈(0,a ), ∴F (x )在(0,a )上是减函数. 综上,F (x )的单调递减区间为(0,a ), 单调递增区间为(a ,+∞).(2)由F ′(x )=x -a x 2(0<x ≤3),得k =F ′(x )=x -a x 2≤12(0<x 0≤3)恒成立⇒a ≥-12x 20+x 0(0<x 0≤3)恒成立.∵当x 0=1时,-12x 20+x 0取得最大值12, ∴a ≥12,即实数a 的最小值为12.2.(2015·重庆卷)设函数f (x )=3x 2+axe x (a ∈R ).(1)若f (x )在x =0处取得极值,确定a 的值,并求此时曲线y =f (x )在点(1,f (1))处的切线方程;(2)若f (x )在[3,+∞)上为减函数,求a 的取值范围. 解 (1)对f (x )求导得f ′(x )=(6x +a )e x -(3x 2+ax )e x (e x )2=-3x 2+(6-a )x +a e x, 因为f (x )在x =0处取得极值, 所以f ′(0)=0,即a =0.当a =0时,f (x )=3x 2e x ,f ′(x )=-3x 2+6x e x , 故f (1)=3e ,f ′(1)=3e ,从而f (x )在点(1,f (1))处的切线方程为y -3e =3e (x -1), 化简得3x -e y =0.(2)由(1)知f ′(x )=-3x 2+(6-a )x +ae x , 令g (x )=-3x 2+(6-a )x +a ,由g (x )=0解得x 1=6-a -a 2+366,x 2=6-a +a 2+366. 当x <x 1时,g (x )<0,即f ′(x )<0, 故f (x )为减函数;当x 1<x <x 2时,g (x )>0,即f ′(x )>0, 故f (x )为增函数;当x >x 2时,g (x )<0,即f ′(x )<0, 故f (x )为减函数.由f (x )在[3,+∞)上为减函数, 知x 2=6-a +a 2+366≤3, 解得a ≥-92,故a 的取值范围为⎣⎢⎡⎭⎪⎫-92,+∞.3.已知f (x )=x 3+ax 2-a 2x +2.(1)若a =1,求曲线y =f (x )在点(1,f (1))处的切线方程; (2)若a ≠0,求函数f (x )的单调区间;(3)若不等式2x ln x ≤f ′(x )+a 2+1恒成立,求实数a 的取值范围. 解 (1)∵a =1,∴f (x )=x 3+x 2-x +2, ∴f ′(x )=3x 2+2x -1,∴k =f ′(1)=4,又f (1)=3,∴切点坐标为(1,3), ∴所求切线方程为y -3=4(x -1), 即4x -y -1=0.(2)f ′(x )=3x 2+2ax -a 2=(x +a )(3x -a ), 由f ′(x )=0,得x =-a 或x =a3. ①当a >0时,由f ′(x )<0,得-a <x <a3. 由f ′(x )>0,得x <-a 或x >a3, 此时f (x )的单调递减区间为⎝ ⎛⎭⎪⎫-a ,a 3,单调递增区间为(-∞,-a )和⎝ ⎛⎭⎪⎫a 3,+∞. ②当a <0时,由f ′(x )<0,得a3<x <-a . 由f ′(x )>0,得x <a3或x >-a ,此时f (x )的单调递减区间为⎝ ⎛⎭⎪⎫a 3,-a ,单调递增区间为⎝ ⎛⎭⎪⎫-∞,a 3和(-a ,+∞).综上,当a >0时,f (x )的单调递减区间为⎝⎛⎭⎪⎫-a ,a 3,单调递增区间为(-∞,-a )和⎝ ⎛⎭⎪⎫a 3,+∞. 当a <0时,f (x )的单调递减区间为⎝⎛⎭⎪⎫a 3,-a ,单调递增区间为⎝ ⎛⎭⎪⎫-∞,a 3和()-a ,+∞. (3)依题意x ∈(0,+∞),不等式2x ln x ≤f ′(x )+a 2+1恒成立,等价于2x ln x ≤3x 2+2ax +1在(0,+∞)上恒成立,可得a ≥ln x -32x -12x 在(0,+∞)上恒成立, 设h (x )=ln x -3x 2-12x ,则h ′(x )=1x -32+12x 2=-(x -1)(3x +1)2x 2. 令h ′(x )=0,得x =1,x =-13(舍), 当0<x <1时,h ′(x )>0;当x >1时,h ′(x )<0. 当x 变化时,h ′(x )与h (x )变化情况如下表x (0,1) 1 (1,+∞)h ′(x ) + 0 - h (x )单调递增-2单调递减∴当x =1时,h (x )取得最大值,h (x )max =-2, ∴a ≥-2,即a 的取值范围是[-2,+∞). 4.(2015·全国卷Ⅱ)设函数f (x )=e mx +x 2-mx .(1)证明:f (x )在(-∞,0)单调递减,在(0,+∞)单调递增;(2)若对于任意x 1,x 2∈[-1,1],都有|f (x 1)-f (x 2)|≤e -1,求m 的取值范围.解 (1)f ′(x )=m (e mx -1)+2x .若m ≥0,则当x ∈(-∞,0)时,e mx -1≤0,f ′(x )<0; 当x ∈(0,+∞)时,e mx -1≥0,f ′(x )>0.若m <0,则当x ∈(-∞,0)时,e mx -1>0,f ′(x )<0; 当x ∈(0,+∞)时,e mx -1<0,f ′(x )>0.所以,f (x )在(-∞,0)单调递减,在(0,+∞)单调递增.(2)由(1)知,对任意的m ,f (x )在[-1,0]单调递减,在[0,1]单调递增,故f (x )在x =0处取得最小值.所以对于任意x 1,x 2∈[-1,1],|f (x 1)-f (x 2)|≤e-1的充要条件是⎩⎪⎨⎪⎧f (1)-f (0)≤e -1,f (-1)-f (0)≤e -1,即⎩⎪⎨⎪⎧e m-m ≤e -1,e -m +m ≤e -1.① 设函数g (t )=e t -t -e +1,则g ′(t )=e t -1. 当t <0时,g ′(t )<0;当t >0时,g ′(t )>0.故g (t )在(-∞,0)单调递减,在(0,+∞)单调递增. 又g (1)=0,g (-1)=e -1+2-e<0, 故当t ∈[-1,1]时,g (t )≤0.当m ∈[-1,1],g (m )≤0,g (-m )≤0,即①式成立;当m >1时,由g (t )的单调性,g (m )>0,即e m -m >e -1,不符题意; 当m <-1时,g (-m )>0,即e -m +m >e -1,不符题意. 综上,m 的取值范围是[-1,1].5.(2015·全国卷Ⅰ)已知函数f (x )=x 3+ax +14,g (x )=-ln x . (1)当a 为何值时,x 轴为曲线y =f (x )的切线;(2)用min{m ,n }表示m ,n 中的最小值,设函数h (x )=min{f (x ),g (x )}(x >0),讨论h (x )零点的个数.解 (1)设曲线y =f (x )与x 轴相切于点(x 0,0), 则f (x 0)=0,f ′(x 0)=0,即⎩⎨⎧x 30+ax 0+14=0,3x 20+a =0.解得x 0=12,a =-34.因此,当a =-34时,x 轴为曲线y =f (x )的切线. (2)当x ∈(1,+∞)时,g (x )=-ln x <0, 从而h (x )=min{f (x ),g (x )}≤g (x )<0, 故h (x )在(1,+∞)上无零点. 当x =1时,若a ≥-54,则f (1)=a +54≥0,h (1)=min{f (1),g (1)}=g (1)=0, 故x =1是h (x )的零点;若a <-54,则f (1)<0,h (1)=min{f (1),g (1)}=f (1)<0, 故x =1不是h (x )的零点. 当x ∈(0,1)时,g (x )=-ln x >0.所以只需考虑f (x )在(0,1)上的零点个数.①若a ≤-3或a ≥0,则f ′(x )=3x 2+a 在(0,1)上无零点,故f (x )在(0,1)上单调.而f (0)=14,f (1)=a +54,所以当a ≤-3时,f (x )在(0,1)上有一个零点; 当a ≥0时,f (x )在(0,1)上没有零点.②若-3<a <0,则f (x )在⎝⎛⎭⎪⎫0,-a 3上单调递减,在⎝⎛⎭⎪⎫-a 3,1上单调递增,故在(0,1)中,当x = -a3时,f (x )取得最小值,最小值为f ⎝⎛⎭⎪⎫-a 3=2a 3-a 3+14.a .若f ⎝ ⎛⎭⎪⎫-a 3>0,即-34<a <0,f (x )在(0,1)上无零点; b .若f ⎝⎛⎭⎪⎫-a 3=0,即a =-34,则f (x )在(0,1)上有唯一零点;c .若f ⎝ ⎛⎭⎪⎫-a 3<0,即-3<a <-34,由于f (0)=14,f (1)=a +54,所以当-54<a <-34时,f (x )在(0,1)上有两个零点;当-3<a ≤-54时,f (x )在(0,1)上有一个零点.综上,当a >-34或a <-54时,h (x )有一个零点;当a =-34或a =-54时,h (x )有两个零点;当-54<a <-34时,h (x )有三个零点.。
1、函数与导数(1)2、三角函数与解三角形3、函数与导数(2)4、立体几何5、数列(1)6、应用题7、解析几何8、数列(2)9、矩阵与变换10、坐标系与参数方程11、空间向量与立体几何12、曲线与方程、抛物线13、计数原理与二项式分布14、随机变量及其概率分布15、数学归纳法高考压轴大题突破练(一)函数与导数(1)1.已知函数f (x )=a e x x+x . (1)若函数f (x )的图象在(1,f (1))处的切线经过点(0,-1),求a 的值;(2)是否存在负整数a ,使函数f (x )的极大值为正值?若存在,求出所有负整数a 的值;若不存在,请说明理由.解 (1)∵f ′(x )=a e x (x -1)+x 2x 2, ∴f ′(1)=1,f (1)=a e +1.∴函数f (x )在(1,f (1))处的切线方程为y -(a e +1)=x -1,又直线过点(0,-1),∴-1-(a e +1)=-1,解得a =-1e. (2)若a <0,f ′(x )=a e x (x -1)+x 2x 2, 当x ∈(-∞,0)时,f ′(x )>0恒成立,函数在(-∞,0)上无极值;当x ∈(0,1)时,f ′(x )>0恒成立,函数在(0,1)上无极值.方法一 当x ∈(1,+∞)时,若f (x )在x 0处取得符合条件的极大值f (x 0),则⎩⎪⎨⎪⎧ x 0>1,f (x 0)>0,f ′(x 0)=0,则00000200201,e 0,e (1)0,x x x a x x a x x x ⎛ > +> -+ = ⎝①②③ 由③得0e x a =-x 20x 0-1,代入②得-x 0x 0-1+x 0>0, 结合①可解得x 0>2,再由f (x 0)=0e x a x +x 0>0,得a >-020e x x , 设h (x )=-x 2e x ,则h ′(x )=x (x -2)e x, 当x >2时,h ′(x )>0,即h (x )是增函数,∴a >h (x 0)>h (2)=-4e 2.又a <0,故当极大值为正数时,a ∈⎝⎛⎭⎫-4e 2,0, 从而不存在负整数a 满足条件.方法二 当x ∈(1,+∞)时,令H (x )=a e x (x -1)+x 2,则H ′(x )=(a e x +2)x ,∵x ∈(1,+∞),∴e x ∈(e ,+∞),∵a 为负整数,∴a ≤-1,∴a e x ≤a e ≤-e ,∴a e x +2<0,∴H ′(x )<0,∴H (x )在(1,+∞)上单调递减.又H (1)=1>0,H (2)=a e 2+4≤-e 2+4<0,∴∃x 0∈(1,2),使得H (x 0)=0,且当1<x <x 0时,H (x )>0,即f ′(x )>0;当x >x 0时,H (x )<0,即f ′(x )<0.∴f (x )在x 0处取得极大值f (x 0)=0e x a x +x 0.(*) 又H (x 0)=0e x a (x 0-1)+x 20=0, ∴00e x a x =-x 0x 0-1,代入(*)得f (x 0)=-x 0x 0-1+x 0=x 0(x 0-2)x 0-1<0, ∴不存在负整数a 满足条件.2.已知f (x )=ax 3-3x 2+1(a >0),定义h (x )=max{f (x ),g (x )}=⎩⎪⎨⎪⎧f (x ),f (x )≥g (x ),g (x ),f (x )<g (x ). (1)求函数f (x )的极值;(2)若g (x )=xf ′(x ),且∃x ∈[1,2]使h (x )=f (x ),求实数a 的取值范围.解 (1)∵函数f (x )=ax 3-3x 2+1,∴f ′(x )=3ax 2-6x =3x (ax -2),令f ′(x )=0,得x 1=0或x 2=2a, ∵a >0,∴x 1<x 2,当x 变化时,f ′(x ),f (x )的变化情况如下表:∴f (x )的极大值为f (0)=1,极小值为f ⎝⎛⎭⎫2a =8a 2-12a 2+1=1-4a 2. (2)g (x )=xf ′(x )=3ax 3-6x 2,∵∃x ∈[1,2],使h (x )=f (x ),∴f (x )≥g (x )在[1,2]上有解,即ax 3-3x 2+1≥3ax 3-6x 2在[1,2]上有解,即不等式2a ≤1x 3+3x在[1,2]上有解, 设y =1x 3+3x =3x 2+1x3(x ∈[1,2]), ∵y ′=-3x 2-3x 4<0对x ∈[1,2]恒成立, ∴y =1x 3+3x在[1,2]上单调递减, ∴当x =1时,y =1x 3+3x的最大值为4, ∴2a ≤4,即a ≤2.高考中档大题规范练(一)三角函数与解三角形1.(2017·江苏宿迁中学质检)已知函数f (x )=sin 2x +23sin x cos x +sin ⎝⎛⎭⎫x +π4sin ⎝⎛⎭⎫x -π4,x ∈R . (1)求f (x )的最小正周期和值域;(2)若x =x 0⎝⎛⎭⎫0≤x 0≤π2为f (x )的一个零点,求sin 2x 0的值. 解 (1)易得f (x )=sin 2x +3sin 2x +12(sin 2x -cos 2x ) =1-cos 2x 2+3sin 2x -12cos 2x =3sin 2x -cos 2x +12=2sin ⎝⎛⎭⎫2x -π6+12, 所以f (x )的最小正周期为π,值域为⎣⎡⎦⎤-32,52. (2)由f (x 0)=2sin ⎝⎛⎭⎫2x 0-π6+12=0,得 sin ⎝⎛⎭⎫2x 0-π6=-14<0,又由0≤x 0≤π2,得-π6≤2x 0-π6≤5π6, 所以-π6≤2x 0-π6<0,故cos ⎝⎛⎭⎫2x 0-π6=154, 此时sin 2x 0=sin ⎣⎡⎦⎤⎝⎛⎭⎫2x 0-π6+π6 =sin ⎝⎛⎭⎫2x 0-π6cos π6+cos ⎝⎛⎭⎫2x 0-π6sin π6=-14×32+154×12=15-38. 2.(2017·江苏南通四模)已知向量m =⎝⎛⎭⎫sin x 2,1,n =⎝⎛⎭⎫1,3cos x 2,函数f (x )=m ·n . (1)求函数f (x )的最小正周期;(2)若f ⎝⎛⎭⎫α-2π3=23,求f ⎝⎛⎭⎫2α+π3的值. 解 (1)f (x )=m ·n =sin x 2+3cos x 2=2⎝⎛⎭⎫12sin x 2+32cos x 2 =2⎝⎛⎭⎫sin x 2cos π3+cos x 2sin π3 =2sin ⎝⎛⎭⎫x 2+π3,所以函数f (x )的最小正周期为T =2π12=4π. (2)由f ⎝⎛⎭⎫α-2π3=23,得2sin α2=23,即sin α2=13. 所以f ⎝⎛⎭⎫2α+π3=2sin ⎝⎛⎭⎫α+π2=2cos α =2⎝⎛⎭⎫1-2sin 2α2=149. 3.(2017·江苏南师大考前模拟)已知△ABC 为锐角三角形,向量m =⎝⎛⎭⎫cos ⎝⎛⎭⎫A +π3,sin ⎝⎛⎭⎫A +π3,n =(cos B ,sin B ),并且m ⊥n .(1)求A -B ; (2)若cos B =35,AC =8,求BC 的长. 解 (1)因为m ⊥n ,所以m ·n =cos ⎝⎛⎭⎫A +π3cos B +sin ⎝⎛⎭⎫A +π3sin B=cos ⎝⎛⎭⎫A +π3-B =0. 因为0<A ,B <π2,所以-π6<A +π3-B <5π6, 所以A +π3-B =π2,即A -B =π6. (2)因为cos B =35,B ∈⎝⎛⎭⎫0,π2,所以sin B =45, 所以sin A =sin ⎝⎛⎭⎫B +π6=sin B cos π6+cos B sin π6=45×32+35×12=43+310, 由正弦定理可得BC =sin A sin B×AC =43+3. 4.(2017·江苏镇江三模)在△ABC 中,角A ,B ,C 的对边分别为a ,b ,c ,且(a -c )(sin A +sin C )=(b -3c )sin B .(1)求角A ;(2)若f (x )=cos 2(x +A )-sin 2(x -A ),求f (x )的单调递增区间.解 (1)由(a -c )(sin A +sin C )=(b -3c )sin B 及正弦定理,得(a -c )(a +c )=(b -3c )b ,即a 2=b 2+c 2-3bc . 由余弦定理,得cos A =32, 因为0<A <π,所以A =π6. (2)f (x )=cos 2(x +A )-sin 2(x -A )=cos 2⎝⎛⎭⎫x +π6-sin 2⎝⎛⎭⎫x -π6 =1+cos ⎝⎛⎭⎫2x +π32-1-cos ⎝⎛⎭⎫2x -π32=12cos 2x , 令π+2k π≤2x ≤2π+2k π,k ∈Z ,得π2+k π≤x ≤π+k π,k ∈Z . 则f (x )的单调增区间为⎣⎡⎦⎤π2+k π,π+k π,k ∈Z .(二)函数与导数(2)1.设函数f (x )=2(a +1)x (a ∈R ),g (x )=ln x +bx (b ∈R ),直线y =x +1是曲线y =f (x )的一条切线.(1)求a 的值;(2)若函数y =f (x )-g (x )有两个极值点x 1,x 2.①试求b 的取值范围;②证明:g (x 1)+g (x 2)f (x 1)+f (x 2)≤1e 2+12. 解 (1)设直线y =x +1与函数y =f (x )的图象相切于点(x 0,y 0),则y 0=x 0+1,y 0=2(a +1)x 0,a +1x 0=1,解得a =0. (2)记h (x )=f (x )-g (x ),则h (x )=2x -ln x -bx .①函数y =f (x )-g (x )有两个极值点的必要条件是h ′(x )有两个正零点.h ′(x )=1x -1x-b =-bx +x -1x , 令h ′(x )=0,得bx -x +1=0(x >0).令x =t ,则t >0.问题转化为bt 2-t +1=0有两个不等的正实根t 1,t 2,等价于⎩⎪⎨⎪⎧ Δ=1-4b >0,t 1t 2=1b >0,t 1+t 2=1b >0,解得0<b <14. 当0<b <14时,设h ′(x )=0的两正根为x 1,x 2,且x 1<x 2, 则h ′(x )=-bx +x -1x =-b (x -x 1)(x -x 2)x =-b (x -x 1)(x -x 2)x (x +x 1)(x +x 2). 当x ∈(0,x 1)时,h ′(x )<0;当x ∈(x 1,x 2)时,h ′(x )>0;当x ∈(x 2,+∞)时,h ′(x )<0. 所以x 1,x 2是h (x )=f (x )-g (x )的极值点,∴b 的取值范围是⎝⎛⎭⎫0,14. ②由①知x 1x 2=x 1+x 2=1b.可得g (x 1)+g (x 2)=-2ln b +1b -2,f (x 1)+f (x 2)=2b, 所以g (x 1)+g (x 2)f (x 1)+f (x 2)=12-b ln b -b . 记k (b )=12-b ln b -b ⎝⎛⎭⎫0<b <14, 则k ′(b )=-ln b -2,令k ′(b )=0,得b =1e 2∈⎝⎛⎭⎫0,14, 且当b ∈⎝⎛⎭⎫0,1e 2时,k ′(b )>0,k (b )单调递增; 当b ∈⎝⎛⎭⎫1e 2,14时,k ′(b )<0,k (b )单调递减,且当b =1e 2时,k (b )取最大值1e 2+12, 所以g (x 1)+g (x 2)f (x 1)+f (x 2)≤1e 2+12. 2.设函数f (x )=2ax +b x+c ln x . (1)当b =0,c =1时,讨论函数f (x )的单调区间;(2)若函数f (x )在x =1处的切线为y =3x +3a -6且函数f (x )有两个极值点x 1,x 2,x 1<x 2. ①求a 的取值范围;②求f (x 2)的取值范围.解 (1)f (x )=2ax +b x+c ln x ,x >0, f ′(x )=2a -b x 2+c x =2ax 2+cx -b x 2. 当b =0,c =1时,f ′(x )=2ax +1x. 当a ≥0时,由x >0,得f ′(x )=2ax +1x>0恒成立, 所以函数f (x )在(0,+∞)上单调递增.当a <0时,令f ′(x )=2ax +1x >0,解得x <-12a; 令f ′(x )=2ax +1x <0,解得x >-12a, 所以,函数f (x )在⎝⎛⎭⎫0,-12a 上单调递增,在⎝⎛⎭⎫-12a ,+∞上单调递减. 综上所述,①当a ≥0时,函数f (x )在(0,+∞)上单调递增;②当a <0时,函数f (x )在⎝⎛⎭⎫0,-12a上单调递增,在⎝⎛⎭⎫-12a ,+∞上单调递减. (2)①函数f (x )在x =1处的切线为y =3x +3a -6,所以f (1)=2a +b =3a -3,f ′(1)=2a +c -b =3,所以b =a -3,c =-a ,f ′(x )=2a -b x 2+c x =2ax 2-ax +3-a x 2, 函数f (x )有两个极值点x 1,x 2,x 1<x 2,则方程2ax 2-ax +3-a =0有两个大于0的解,⎩⎨⎧ Δ=(-a )2-8a (3-a )>0,a 2a >0,3-a 2a >0,解得83<a <3. 所以a 的取值范围是⎝⎛⎭⎫83,3.②2ax 22-ax 2+3-a =0,x 2=a +9a 2-24a 4a =14⎝⎛⎭⎫1+ 9-24a , 由83<a <3,得x 2∈⎝⎛⎭⎫14,12, 由2ax 22-ax 2+3-a =0,得a =-32x 22-x 2-1. f (x 2)=2ax 2+a -3x 2-a ln x 2 =a ⎝⎛⎭⎫2x 2+1x 2-ln x 2-3x 2=-32x 2+1x 2-ln x 22x 22-x 2-1-3x 2. 设φ(t )=-32t +1t -ln t 2t 2-t -1-3t ,t ∈⎝⎛⎭⎫14,12, φ′(t )=-3⎝⎛⎭⎫2-1t 2-1t (2t 2-t -1)-⎝⎛⎭⎫2t +1t -ln t (4t -1)(2t 2-t -1)2+3t2 =-31t 2(2t 2-t -1)2+3⎝⎛⎭⎫2t +1t -ln t (4t -1)(2t 2-t -1)2+3t 2=3⎝⎛⎭⎫2t +1t -ln t (4t -1)(2t 2-t -1)2. 当t ∈⎝⎛⎭⎫14,12时,2t +1t-ln t >0,4t -1>0,φ′(t )>0,所以φ(t )在⎝⎛⎭⎫14,12上单调递增,φ(t )∈⎝⎛⎭⎫163ln 2,3+3ln 2, 所以f (x 2)的取值范围是⎝⎛⎭⎫163ln 2,3+3ln 2. (二)立体几何1.(2017·江苏扬州调研)如图,在四棱锥P -ABCD 中,底面ABCD 为梯形,CD ∥AB ,AB =2CD ,AC 交BD 于O ,锐角△P AD 所在平面⊥底面ABCD ,P A ⊥BD ,点Q 在侧棱PC 上,且PQ =2QC .求证:(1)P A ∥平面QBD ;(2)BD ⊥AD .证明 (1)如图,连结OQ ,因为AB∥CD,AB=2CD,所以AO=2OC.又PQ=2QC,所以P A∥OQ.又OQ⊂平面QBD,P A⊄平面QBD,所以P A∥平面QBD.(2)在平面P AD内过P作PH⊥AD于点H,因为侧面P AD⊥底面ABCD,平面P AD∩平面ABCD=AD,PH⊂平面P AD,所以PH⊥平面ABCD.又BD⊂平面ABCD,所以PH⊥BD.又P A⊥BD,P A∩PH=P,所以BD⊥平面P AD.又AD⊂平面P AD,所以BD⊥AD.2.如图,在四棱锥P-ABCD中,底面ABCD是正方形,AC与BD交于点O,PC⊥底面ABCD,E为PB上一点,G为PO的中点.(1)若PD∥平面ACE,求证:E为PB的中点;(2)若AB=2PC,求证:CG⊥平面PBD.证明(1)连结OE,由四边形ABCD是正方形知,O为BD的中点,因为PD∥平面ACE,PD⊂平面PBD,平面PBD∩平面ACE=OE,所以PD∥OE.因为O为BD的中点,所以E为PB的中点.(2)在四棱锥P-ABCD中,AB=2PC,因为四边形ABCD是正方形,所以OC=22AB,所以PC=OC.因为G为PO的中点,所以CG⊥PO.又因为PC⊥底面ABCD,BD⊂底面ABCD,所以PC⊥BD.而四边形ABCD是正方形,所以AC⊥BD,因为AC,PC⊂平面P AC,AC∩PC=C,所以BD⊥平面P AC,因为CG⊂平面P AC,所以BD⊥CG.因为PO,BD⊂平面PBD,PO∩BD=O,所以CG⊥平面PBD.3.(2017·江苏怀仁中学模拟)如图,在四棱锥E-ABCD中,△ABD为正三角形,EB=ED,CB=CD.(1)求证:EC⊥BD;(2)若AB⊥BC,M,N分别为线段AE,AB的中点,求证:平面DMN∥平面BCE.证明(1)取BD的中点O,连结EO,CO.∵CD=CB,EB=ED,∴CO⊥BD,EO⊥BD.又CO∩EO=O,CO,EO⊂平面EOC,∴BD⊥平面EOC.又EC⊂平面EOC,∴BD⊥EC.(2)∵N是AB的中点,△ABD为正三角形,∴DN⊥AB,∵BC⊥AB,∴DN∥BC.又BC⊂平面BCE,DN⊄平面BCE,∴DN∥平面BCE.∵M为AE的中点,N为AB的中点,∴MN∥BE,又MN⊄平面BCE,BE⊂平面BCE,∴MN∥平面BCE.∵MN∩DN=N,∴平面DMN∥平面BCE.4.(2017·江苏楚水中学质检)如图,在三棱锥P-ABC中,点E,F分别是棱PC,AC的中点.(1)求证:P A∥平面BEF;(2)若平面P AB⊥平面ABC,PB⊥BC,求证:BC⊥P A.证明(1)在△P AC中,E,F分别是棱PC,AC的中点,所以P A∥EF.又P A⊄平面BEF,EF⊂平面BEF,所以P A∥平面BEF.(2)在平面P AB内过点P作PD⊥AB,垂足为D.因为平面P AB ⊥平面ABC ,平面P AB ∩平面ABC =AB ,PD ⊂平面P AB ,所以PD ⊥平面ABC , 因为BC ⊂平面ABC ,所以PD ⊥BC ,又PB ⊥BC ,PD ∩PB =P ,PD ⊂平面P AB ,PB ⊂平面P AB ,所以BC ⊥平面P AB , 又P A ⊂平面P AB ,所以BC ⊥P A .(三)数 列(1)1.已知数列{a n }的前n 项和为S n ,且S n +a n =4,n ∈N *. (1)求数列{a n }的通项公式;(2)已知c n =2n +3(n ∈N *),记d n =c n +log C a n (C >0且C ≠1),是否存在这样的常数C ,使得数列{d n }是常数列,若存在,求出C 的值;若不存在,请说明理由.(3)若数列{b n },对于任意的正整数n ,均有b 1a n +b 2a n -1+b 3a n -2+…+b n a 1=⎝⎛⎭⎫12n -n +22成立,求证:数列{b n }是等差数列. (1)解 a 1=4-a 1,所以a 1=2,由S n +a n =4,得当n ≥2时,S n -1+a n -1=4, 两式相减,得2a n =a n -1,所以a n a n -1=12,数列{a n }是以2为首项,公比为12的等比数列,所以a n =22-n (n ∈N *). (2)解 由于数列{d n }是常数列, d n =c n +log C a n =2n +3+(2-n )log C 2 =2n +3+2log C 2-n log C 2=(2-log C 2)n +3+2log C 2为常数, 则2-log C 2=0, 解得C =2,此时d n =7.(3)证明 b 1a n +b 2a n -1+b 3a n -2+…+b n a 1 =⎝⎛⎭⎫12n -n +22,①当n =1时,b 1a 1=12-32=-1,其中a 1=2,所以b 1=-12.当n ≥2时,b 1a n -1+b 2a n -2+b 3a n -3+…+b n -1a 1=⎝⎛⎭⎫12n -1-n +12,② ②式两边同时乘以12,得b 1a n +b 2a n -1+b 3a n -2+…+b n -1a 2=⎝⎛⎭⎫12n -n +14,③ 由①-③,得b n a 1=-n -34,所以b n =-n 8-38(n ∈N *,n ≥2),且b n +1-b n =-18,又b 1=-12=-18-38,所以数列{b n }是以-12为首项,公差为-18的等差数列.2.在数列{a n }中,已知a 1=13,a n +1=13a n -23n +1,n ∈N *,设S n 为{a n }的前n 项和.(1)求证:数列{3n a n }是等差数列; (2)求S n ;(3)是否存在正整数p ,q ,r (p <q <r ),使S p ,S q ,S r 成等差数列?若存在,求出p ,q ,r 的值;若不存在,说明理由.(1)证明 因为a n +1=13a n -23n +1,所以3n +1a n +1-3n a n =-2. 又因为a 1=13,所以31·a 1=1,所以{3n a n }是首项为1,公差为-2的等差数列. (2)解 由(1)知3n a n =1+(n -1)·(-2)=3-2n ,所以a n =(3-2n )⎝⎛⎭⎫13n,所以S n =1·⎝⎛⎭⎫131+(-1)·⎝⎛⎭⎫132+(-3)·⎝⎛⎭⎫133+…+(3-2n )·⎝⎛⎭⎫13n , 所以13S n =1·⎝⎛⎭⎫132+(-1)·⎝⎛⎭⎫133+…+(5-2n )·⎝⎛⎭⎫13n +(3-2n )·⎝⎛⎭⎫13n +1, 两式相减,得23S n =13-2⎣⎡⎦⎤⎝⎛⎭⎫132+⎝⎛⎭⎫133+…+⎝⎛⎭⎫13n -(3-2n )·⎝⎛⎭⎫13n +1=13-2⎣⎢⎡⎦⎥⎤19×1-⎝⎛⎭⎫13n -11-13+(2n -3)·⎝⎛⎭⎫13n +1=2n ·⎝⎛⎭⎫13n +1, 所以S n =n 3n .(3)解 假设存在正整数p ,q ,r (p <q <r ),使S p ,S q ,S r 成等差数列,则2S q =S p +S r ,即2q3q =p 3p +r 3r. 当n ≥2时,a n =(3-2n )⎝⎛⎭⎫13n<0,所以数列{S n }单调递减. 又p <q ,所以p ≤q -1且q 至少为2, 所以p 3p ≥q -13q -1,q -13q -1-2q 3q =q -33q .①当q ≥3时,p 3p ≥q -13q -1≥2q 3q ,又r 3r >0,所以p 3p +r 3r >2q3q ,等式不成立. ②当q =2时,p =1,所以49=13+r 3r ,所以r 3r =19,所以r =3({S n }单调递减,解惟一确定). 综上可知,p ,q ,r 的值为1,2,3.(三)应用题1.已知某食品厂需要定期购买食品配料,该厂每天需要食品配料200千克,配料的价格为1.8元/千克,每次购买配料需支付运费236元.每次购买来的配料还需支付保管费用,其标准如下:7天以内(含7天),无论重量多少,均按10元/天支付;超出7天以外的天数,根据实际剩余配料的重量,以每天0.03元/千克支付.(1)当9天购买一次配料时,求该厂用于配料的保管费用P 是多少元?(2)设该厂x 天购买一次配料,求该厂在这x 天中用于配料的总费用y (元)关于x 的函数关系式,并求该厂多少天购买一次配料才能使平均每天支付的费用最少? 解 (1)当9天购买一次时,该厂用于配料的保管费用 P =70+0.03×200×(1+2)=88(元).(2)①当x ≤7时,y =360x +10x +236=370x +236,②当x >7时,y =360x +236+70+6[(x -7)+(x -6)+…+2+1]=3x 2+321x +432,∴y =⎩⎪⎨⎪⎧370x +236,x ≤7,3x 2+321x +432,x >7,∴设该厂x 天购买一次配料平均每天支付的费用为f (x )元.f (x )=⎩⎨⎧370x +236x,x ≤7,3x 2+321x +432x,x >7.当x ≤7时,f (x )=370+236x ,当且仅当x =7时,f (x )有最小值2 8267≈404(元);当x >7时,f (x )=3x 2+321x +432x =3⎝⎛⎭⎫x +144x +321≥393.当且仅当x =12时取等号.∵393<404,∴当x =12时f (x )有最小值393元.2.南半球某地区冰川的体积每年中随时间而变化,现用t 表示时间,以月为单位,年初为起点,根据历年的数据,冰川的体积(亿立方米)关于t 的近似函数的关系式为V (t )=⎩⎪⎨⎪⎧-t 3+11t 2-24t +100,0<t ≤10,4(t -10)(3t -41)+100,10<t ≤12.(1)该冰川的体积小于100亿立方米的时期称为衰退期.以i -1<t <i 表示第i 月份(i =1,2,…,12),问一年内哪几个月是衰退期? (2)求一年内该地区冰川的最大体积.解 (1)当0<t ≤10时,V (t )=-t 3+11t 2-24t +100<100,化简得t 2-11t +24>0,解得t <3或t >8.又0<t ≤10,故0<t <3或8<t ≤10,当10<t ≤12时,V (t )=4(t -10)(3t -41)+100<100, 解得10<t <413,又10<t ≤12,故10<t ≤12.综上得0<t <3或8<t ≤12.所以衰退期为1月,2月,3月,9月,10月,11月,12月共7个月. (2)由(1)知,V (t )的最大值只能在(3,9)内取到.由V ′(t )=(-t 3+11t 2-24t +100)′=-3t 2+22t -24, 令V ′(t )=0,解得t =6或t =43(舍去).当t 变化时,V ′(t )与V (t )的变化情况如下表:由上表,V (t )在t =6时取得最大值V (6)=136(亿立方米). 故该冰川的最大体积为136亿立方米.3.如图,某城市有一条公路从正西方AO 通过市中心O 后转向东偏北α角方向的OB .位于该市的某大学M 与市中心O 的距离OM =313 km ,且∠AOM =β.现要修筑一条铁路L ,L 在OA 上设一站A ,在OB 上设一站B ,铁路在AB 部分为直线段,且经过大学M .其中tan α=2,cos β=313,AO =15 km.(1)求大学M 与站A 的距离AM ; (2)求铁路AB 段的长AB .解 (1)在△AOM 中,AO =15,∠AOM =β且cos β=313,OM =313, 由余弦定理,得AM 2=OA 2+OM 2-2OA ·OM ·cos ∠AOM =152+(313)2-2×15×313×313=13×9+15×15-2×3×15×3=72.∴AM =62,即大学M 与站A 的距离(2)∵cos β=313,且β为锐角,∴sin β=213, 在△AOM 中,由正弦定理,得AM sin β=OMsin ∠MAO ,即62213=313sin ∠MAO ,sin ∠MAO =22, ∴∠MAO =π4,∴∠ABO =α-π4,∵tan α=2,∴sin α=25,cos α=15, ∴sin ∠ABO =sin ⎝⎛⎭⎫α-π4=110, 又∠AOB =π-α,∴sin ∠AOB =sin(π-α)=25. 在△AOB 中,OA =15,由正弦定理,得 AB sin ∠AOB =OA sin ∠ABO,即AB 25=15110,∴AB =302,即铁路AB 段的长为30 2 km.4.(2017·江苏苏州大学指导卷)如图,某地区有一块长方形植物园ABCD ,AB =8(百米),BC =4(百米).植物园西侧有一块荒地,现计划利用该荒地扩大植物园面积,使得新的植物园为HBCEFG ,满足下列要求:E 在CD 的延长线上,H 在BA 的延长线上,DE =0.5(百米),AH =4(百米),N 为AH 的中点,FN ⊥AH ,EF 为曲线段,它上面的任意一点到AD 与AH 的距离的乘积为定值,FG ,GH 均为线段,GH ⊥HA ,GH =0.5(百米).(1)求四边形FGHN 的面积;(2)已知音乐广场M 在AB 上,AM =2(百米),若计划在EFG 的某一处P 开一个植物园大门,在原植物园ABCD 内选一点Q 为中心建一个休息区,使得QM =PM ,且∠QMP =90°,问点P 在何处时,AQ 最小.解 (1)以A 为坐标原点,AB 所在直线为x 轴,AD 所在直线为y 轴,建立平面直角坐标系如图所示.则E ⎝⎛⎭⎫-12,4,因为E 到AD 与AH 距离的乘积为2, 所以曲线EF 上的任意一点都在函数y =-2x 的图象上.由题意,N (-2,0),所以F (-2,1).四边形FGHN 的面积为12×⎝⎛⎭⎫12+1×2=32(平方百米). (2)设P (x ,y ),则MP →=(x -2,y ),MQ →=(y ,-x +2),AQ →=(y +2,-x +2),因为点Q 在原植物园内,所以⎩⎪⎨⎪⎧0≤y +2≤8,0≤2-x ≤4,即-2≤x ≤2.又点P 在曲线EFG 上,x ∈⎣⎡⎦⎤-4,-12, 所以-2≤x ≤-12,则点P 在曲线段EF 上,AQ =(y +2)2+(2-x )2, 因为y =-2x ,所以AQ =⎝⎛⎭⎫-2x +22+(2-x )2= x 2+4x 2-4x -8x+8=⎝⎛⎭⎫x +2x 2-4⎝⎛⎭⎫x +2x +4=⎝⎛⎭⎫x +2x -22=-x +2-x+2≥22+2. 当且仅当-x =-2x,即x =-2时等号成立.此时点P (-2,2),即点P 在距离AD 与AH 均为2百米时,AQ 最小.(四)解析几何1.已知点A (x 1,y 1),B (x 2,y 2)(x 1x 2≠0),O 是坐标原点,P 是线段AB 的中点,若C 是点A 关于原点的对称点,Q 是线段BC 的中点,且OP =OQ ,设圆P 的方程为x 2+y 2-(x 1+x 2)x -(y 1+y 2)y =0.(1)证明:线段AB 是圆P 的直径;(2)若存在正数p 使得2p (x 1+x 2)=y 21+y 22+8p 2+2y 1y 2成立,当圆P 的圆心到直线x -2y =0的距离的最小值为255时,求p 的值.(1)证明 由题意知,点P 的坐标为⎝⎛⎭⎫x 1+x 22,y 1+y 22,点A (x 1,y 1)关于原点的对称点为C (-x 1,-y 1),那么点Q 的坐标为⎝⎛⎭⎫-x 1+x 22,-y 1+y 22,由OP =OQ ,得OP 2=OQ 2, 即⎝⎛⎭⎫x 1+x 222+⎝⎛⎭⎫y 1+y 222=⎝⎛⎭⎫-x 1+x 222+⎝⎛⎭⎫-y 1+y 222,得(x 1+x 2)2+(y 1+y 2)2=(x 1-x 2)2+(y 1-y 2)2, 从而x 1x 2+y 1y 2=0,由此得OA ⊥OB ,由方程x 2+y 2-(x 1+x 2)x -(y 1+y 2)y =0知,圆P 过原点,且点A ,B 在圆P 上, 故线段AB 是圆P 的直径.(2)解 由2p (x 1+x 2)=y 21+y 22+8p 2+2y 1y 2,得x 1+x 2=12p [(y 1+y 2)2+8p 2],又圆心P ⎝⎛⎭⎫x 1+x 22,y 1+y 22到直线x -2y =0的距离为d =⎪⎪⎪⎪x 1+x 22-(y 1+y 2)5=⎪⎪⎪⎪14p [(y 1+y 2)2+8p 2]-(y 1+y 2)5=[(y 1+y 2)-2p ]2+4p 245p ≥4p 245p,当且仅当y 1+y 2=2p 时,等号成立,所以4p 245p =255,从而得p =2.2.如图,F 是椭圆x 2a 2+y 2b 2=1(a >b >0)的右焦点,O 是坐标原点,OF =5,过点F 作OF 的垂线交椭圆C 于P 0,Q 0两点,△OP 0Q 0的面积为453.(1)求椭圆的标准方程;(2)若过点M (-5,0)的直线l 与上、下半椭圆分别交于点P ,Q ,且PM =2MQ ,求直线l 的方程.解 (1)由题设条件,P 0F =00OP Q S OF∆=4535=43.易知P 0F =b 2a ,所以b 2a =43.又c =OF =5,即a 2-b 2=5,因此a 2-43a -5=0,解得a =3或a =-53,又a >0,所以a =3,从而b =2. 故所求椭圆的标准方程为x 29+y 24=1.(2)设P (x 1,y 1),Q (x 2,y 2),由题意y 1>0,y 2<0, 并可设直线l :x =ty -5, 代入椭圆方程得(ty -5)29+y 24=1,即(4t 2+9)y 2-85ty -16=0. 从而y 1+y 2=85t 4t 2+9,y 1y 2=-164t 2+9.又由PM =2MQ ,得y 1-y 2=PMMQ=2,即y 1=-2y 2.因此y 1+y 2=-y 2,y 1y 2=-2y 22, 故-164t 2+9=-2⎝ ⎛⎭⎪⎫-85t 4t 2+92,可解得t 2=14.注意到y 2=-85t 4t 2+9且y 2<0,知t >0,因此t =12.故满足题意的直线l 的方程为2x -y +25=0.3.如图,在平面直角坐标系xOy 中,椭圆E :x 2a 2+y 2b 2=1(a >b >0)的离心率为32,直线l :y =-12x 与椭圆E 相交于A ,B 两点,AB =210,C ,D 是椭圆E 上异于A ,B 的两点,且直线AC ,BD 相交于点P ,直线AD ,BC 相交于点Q .(1)求椭圆E 的标准方程; (2)求证:直线PQ 的斜率为定值. (1)解 因为e =c a =32,所以c 2=34a 2,即a 2-b 2=34a 2,所以a =2b .所以椭圆方程为x 24b 2+y 2b2=1.由题意不妨设点A 在第二象限,点B 在第四象限,由⎩⎨⎧y =-12x ,x 24b 2+y2b 2=1,得A (-2b ,22b ). 又AB =210,所以OA =10, 则2b 2+12b 2=52b 2=10,得b =2,a =4.所以椭圆E 的标准方程为x 216+y 24=1.(2)证明 由(1)知,椭圆E 的方程为x 216+y 24=1,A (-22,2),B (22,-2).①当直线CA ,CB ,DA ,DB 的斜率都存在,且不为零时,设直线CA ,DA 的斜率分别为k 1,k 2,C (x 0,y 0),显然k 1≠k 2.从而k 1·k CB =y 0-2x 0+22·y 0+2x 0-22=y 20-2x 20-8=4⎝⎛⎭⎫1-x 2016-2x 20-8=2-x 204x 20-8=-14,所以k CB =-14k 1.同理k DB =-14k 2.所以直线AD 的方程为y -2=k 2(x +22),直线BC 的方程为y +2=-14k 1(x -22), 由⎩⎪⎨⎪⎧y +2=-14k 1(x -22),y -2=k 2(x +22), 解得⎩⎪⎨⎪⎧x =22(-4k 1k 2-4k 1+1)4k 1k 2+1,y =2(-4k 1k 2+4k 2+1)4k 1k 2+1,从而点Q 的坐标为⎝ ⎛⎭⎪⎫22(-4k 1k 2-4k 1+1)4k 1k 2+1,2(-4k 1k 2+4k 2+1)4k 1k 2+1.用k 2代替k 1,k 1代替k 2得点P 的坐标为⎝ ⎛⎭⎪⎫22(-4k 1k 2-4k 2+1)4k 1k 2+1,2(-4k 1k 2+4k 1+1)4k 1k 2+1.所以k PQ =2(-4k 1k 2+4k 2+1)4k 1k 2+1-2(-4k 1k 2+4k 1+1)4k 1k 2+122(-4k 1k 2-4k 1+1)4k 1k 2+1-22(-4k 1k 2-4k 2+1)4k 1k 2+1=42(k 2-k 1)82(k 2-k 1)=12.即直线PQ 的斜率为定值,其定值为12.②当直线CA ,CB ,DA ,DB 中,有直线的斜率不存在时,由题意得,至多有一条直线的斜率不存在,不妨设直线CA 的斜率不存在,从而C (-22,-2). 设DA 的斜率为k ,由①知,k DB =-14k.因为直线CA :x =-22,直线DB :y +2=-14k (x -22),得P ⎝⎛⎭⎫-22,-2+2k . 又直线BC :y =-2,直线AD :y -2=k (x +22), 得Q ⎝⎛⎭⎫-22-22k ,-2, 所以k PQ =12.由①②可知,直线PQ 的斜率为定值,其定值为12.4.(2017·江苏预测卷)平面直角坐标系xOy 中,椭圆C :x 2a 2+y 2b 2=1(a >b >0)的离心率是32,右准线的方程为x =433.(1)求椭圆C 的方程;(2)已知点P ⎝⎛⎭⎫12,2,过x 轴上的一个定点M 作直线l 与椭圆C 交于A ,B 两点,若三条直线P A ,PM ,PB 的斜率成等差数列,求点M 的坐标. 解 (1)因为椭圆的离心率为32,右准线的方程为x =433, 所以e =c a =32,a 2c =433,则a =2,c =3,b =1,椭圆C 的方程为x 24+y 2=1.(2)设M (m,0),当直线l 为y =0时,A (-2,0),B (2,0), P A ,PM ,PB 的斜率分别为 k P A =45,k PM =41-2m,k PB =-43,因为直线P A ,PM ,PB 的斜率成等差数列, 所以81-2m =45-43,m =8.证明如下:当M (8,0)时,直线P A ,PM ,PB 的斜率构成等差数列, 设AB :y =k (x -8),代入椭圆方程x 2+4y 2-4=0, 得x 2+4k 2(x -8)2-4=0,即(1+4k 2)x 2-64k 2x +256k 2-4=0, 设A (x 1,y 1),B (x 2,y 2),则 x 1+x 2=64k 21+4k 2,x 1x 2=256k 2-41+4k 2,又k PM =0-28-12=-415, 所以k P A +k PB =y 1-2x 1-12+y 2-2x 2-12=kx 1-8k -2x 1-12+kx 2-8k -2x 2-12=2k +⎝⎛⎭⎫-152k -2⎝ ⎛⎭⎪⎫1x 1-12+1x 2-12 =2k +⎝⎛⎭⎫-152k -2(x 1+x 2)-1x 1x 2-12(x 1+x 2)+14=2k +⎝⎛⎭⎫-152k -264k 21+4k 2-1256k 2-41+4k 2-12×64k 21+4k 2+14=2k +⎝⎛⎭⎫-152k -260k 2-1154(60k 2-1)=-815=2k PM ,即证. (四)数 列(2)1.已知{a n },{b n },{c n }都是各项不为零的数列,且满足a 1b 1+a 2b 2+…+a n b n =c n S n ,n ∈N *,其中S n 是数列{a n }的前n 项和,{c n }是公差为d (d ≠0)的等差数列. (1)若数列{a n }是常数列,d =2,c 2=3,求数列{b n }的通项公式; (2)若a n =λn (λ是不为零的常数),求证:数列{b n }是等差数列;(3)若a 1=c 1=d =k (k 为常数,k ∈N *),b n =c n +k (n ≥2,n ∈N *),求证:对任意的n ≥2,n ∈N *,数列⎩⎨⎧⎭⎬⎫b n a n 单调递减.(1)解 因为d =2,c 2=3,所以c n =2n -1. 因为数列{a n }是各项不为零的常数列, 所以a 1=a 2=…=a n ,S n =na 1.则由c n S n =a 1b 1+a 2b 2+…+a n b n 及c n =2n -1,得 n (2n -1)=b 1+b 2+…+b n ,当n ≥2时,(n -1)(2n -3)=b 1+b 2+…+b n -1, 两式相减得b n =4n -3.当n =1时,b 1=1也满足b n =4n -3. 故b n =4n -3(n ∈N *).(2)证明 因为a 1b 1+a 2b 2+…+a n b n =c n S n , 当n ≥2时,c n -1S n -1=a 1b 1+a 2b 2+…+a n -1b n -1, 两式相减得c n S n -c n -1S n -1=a n b n , 即(S n -1+a n )c n -S n -1c n -1=a n b n , S n -1(c n -c n -1)+a n c n =a n b n , 所以S n -1d +λnc n =λnb n .又S n -1=λ+λ(n -1)2(n -1)=λn (n -1)2,所以λn (n -1)2d +λnc n =λnb n ,即(n -1)2d +c n =b n ,(*) 所以当n ≥3时,(n -2)2d +c n -1=b n -1,两式相减得b n -b n -1=32d (n ≥3),所以数列{b n }从第二项起是公差为32d 的等差数列.又当n =1时,由c 1S 1=a 1b 1,得c 1=b 1. 当n =2时,由(*)得b 2=(2-1)2d +c 2=12d +(c 1+d )=b 1+32d ,得b 2-b 1=32d .故数列{b n }是公差为32d 的等差数列.(3)证明 由(2)得当n ≥2时,S n -1(c n -c n -1)+a n c n =a n b n ,即S n -1d =a n (b n -c n ). 因为b n =c n +k ,所以b n =c n +kd , 即b n -c n =kd , 所以S n -1d =a n ·kd , 即S n -1=ka n ,所以S n =S n -1+a n =(k +1)a n . 当n ≥3时,S n -1=(k +1)a n -1, 两式相减得a n =(k +1)a n -(k +1)a n -1, 即a n =k +1k a n -1,故从第二项起数列{a n }是等比数列, 所以当n ≥2时,a n =a 2⎝⎛⎭⎫k +1k n -2,b n =c n +k =c n +kd =c 1+(n -1)k +k 2=k +(n -1)k +k 2=k (n +k ), 另外由已知条件得(a 1+a 2)c 2=a 1b 1+a 2b 2. 又c 2=2k ,b 1=k ,b 2=k (2+k ), 所以a 2=1,因而a n =⎝⎛⎭⎫k +1k n -2.令d n =b na n ,则d n +1d n =b n +1a n a n +1b n =(n +k +1)k (n +k )(k +1).因为(n +k +1)k -(n +k )(k +1)=-n <0, 所以d n +1d n<1,所以对任意的n ≥2,n ∈N *,数列⎩⎨⎧⎭⎬⎫b n a n 单调递减.2.已知数列{a n }的前n 项和为S n ,且a 1=1,a 2=2,设b n =a n +a n +1,c n =a n ·a n +1(n ∈N *). (1)若数列{b 2n -1}是公比为3的等比数列,求S 2n ; (2)若数列{b n }是公差为3的等差数列,求S n ;(3)是否存在这样的数列{a n },使得{b n }成等差数列和{c n }成等比数列同时成立,若存在,求出{a n }的通项公式;若不存在,请说明理由. 解 (1)b 1=a 1+a 2=1+2=3,S 2n =(a 1+a 2)+(a 3+a 4)+…+(a 2n -1+a 2n )=b 1+b 3+…+b 2n -1=3(1-3n )1-3=3n +1-32.(2)∵b n +1-b n =a n +2-a n =3,∴{a 2k -1},{a 2k }均是公差为3的等差数列,a 2k -1=a 1+(k -1)·3=3k -2,a 2k =a 2+(k -1)·3=3k -1,当n =2k (k ∈N *)时,S n =S 2k =(a 1+a 3+…+a 2k -1)+(a 2+a 4+…+a 2k )=k (1+3k -2)2+k (2+3k -1)2=3k 2=3n 24;当n =2k -1(k ∈N *)时,Sn =S 2k -1=S 2k -a 2k =3k 2-3k +1=3×⎝⎛⎭⎫n +122-3·n +12+1=3n 2+14.综上可知,S n=⎩⎨⎧3n 24,n =2k ,k ∈N *,3n 2+14,n =2k -1,k ∈N *.(3)∵{b n }成等差数列,∴2b 2=b 1+b 3,即2(a 2+a 3)=(a 1+a 2)+(a 3+a 4),a 2+a 3=a 1+a 4,① ∵{c n }成等比数列,∴c 22=c 1c 3. 即(a 2a 3)2=(a 1a 2)·(a 3a 4), ∵c 2=a 2a 3≠0,∴a 2a 3=a 1a 4,②由①②及a 1=1,a 2=2,得a 3=1,a 4=2,设{b n }的公差为d ,则b n +1-b n =(a n +1+a n +2)-(a n +a n +1)=d ,即a n +2-a n =d ,即数列{a n }的奇数项和偶数项都构成公差为d 的等差数列, 又d =a 3-a 1=a 4-a 2=0, ∴数列{a n }=1,2,1,2,1,2,…,即a n =⎩⎪⎨⎪⎧1,n =2k -1,k ∈N *,2,n =2k ,k ∈N *.此时c n =2,{c n }是公比为1的等比数列,满足题意.∴存在数列{a n },a n =⎩⎪⎨⎪⎧1,n =2k -1,k ∈N *,2,n =2k ,k ∈N *, 使得{b n }成等差数列和{c n }成等比数列同时成立.高考附加题加分练 1.矩阵与变换1.已知矩阵M =⎣⎢⎡⎦⎥⎤a 1b 0,点A (1,0)在矩阵M 对应的变换作用下变为A ′(1,2),求矩阵M 的逆矩阵M -1. 解 ∵⎣⎢⎡⎦⎥⎤a 1b0 ⎣⎢⎡⎦⎥⎤10=⎣⎢⎡⎦⎥⎤12, ∴a =1,b =2.∴M =⎣⎢⎡⎦⎥⎤1 120,∴M -1=⎣⎢⎡⎦⎥⎤0 121 -12.2.(2017·江苏徐州一中检测)已知曲线C :y 2=12x ,在矩阵M =⎣⎢⎡⎦⎥⎤1 00 -2对应的变换作用下得到曲线C 1,C 1在矩阵N =⎣⎢⎡⎦⎥⎤0110对应的变换作用下得到曲线C 2,求曲线C 2的方程.解 设A =NM ,则A =⎣⎢⎡⎦⎥⎤0 11 0 ⎣⎢⎡⎦⎥⎤1 00 -2=⎣⎢⎡⎦⎥⎤0 -21 0, 设P (x ′,y ′)是曲线C 上任一点,在两次变换下,在曲线C 2上对应的点为P (x ,y ), 则⎣⎢⎡⎦⎥⎤x y =⎣⎢⎡⎦⎥⎤0 -21 0 ⎣⎢⎡⎦⎥⎤x ′y ′=⎣⎢⎡⎦⎥⎤-2y ′ x ′, 即⎩⎪⎨⎪⎧x =-2y ′,y =x ′,∴⎩⎪⎨⎪⎧x ′=y ,y ′=-12x .又点P (x ′,y ′)在曲线C :y 2=12x 上,∴⎝⎛⎭⎫-12x 2=12y ,即x 2=2y .3.已知矩阵M =⎣⎢⎡⎦⎥⎤1 22x 的一个特征值为3,求M 的另一个特征值及其对应的一个特征向量. 解 矩阵M 的特征多项式为f (λ)=⎣⎢⎡⎦⎥⎤λ-1 -2-2 λ-x =(λ-1)(λ-x )-4.因为λ1=3是方程f (λ)=0的一根,所以x =1. 由(λ-1)(λ-1)-4=0,得λ2=-1. 设λ2=-1对应的一个特征向量为α=⎣⎢⎡⎦⎥⎤x y , 则⎩⎪⎨⎪⎧-2x -2y =0,-2x -2y =0,得x =-y . 令x =1,则y =-1,所以矩阵M 的另一个特征值为-1,对应的一个特征向量为α=⎣⎢⎡⎦⎥⎤ 1-1.4.(2017·江苏江阴中学质检)若点A (2,2)在矩阵M =⎣⎢⎡⎦⎥⎤cos α -sin αsin α cos α对应变换的作用下得到的点为B (-2,2),求矩阵M 的逆矩阵.解 M ⎣⎢⎡⎦⎥⎤22=⎣⎢⎡⎦⎥⎤-2 2,即⎣⎢⎡⎦⎥⎤2cos α-2sin α2sin α+2cos α=⎣⎢⎡⎦⎥⎤-2 2, 所以⎩⎪⎨⎪⎧cos α-sin α=-1,sin α+cos α=1,解得⎩⎪⎨⎪⎧cos α=0,sin α=1.所以M =⎣⎢⎡⎦⎥⎤0 -11 0.由M -1M =⎣⎢⎡⎦⎥⎤1 001,得M -1=⎣⎢⎡⎦⎥⎤1-10. 2.坐标系与参数方程1.(2017·江苏兴化中学调研)已知曲线C 1的极坐标方程为ρcos ⎝⎛⎭⎫θ-π3=-1,曲线C 2的极坐标方程为ρ=22cos ⎝⎛⎭⎫θ-π4,判断两曲线的位置关系. 解 将曲线C 1,C 2化为直角坐标方程,得 C 1:x +3y +2=0,C 2:x 2+y 2-2x -2y =0, 即C 2:(x -1)2+(y -1)2=2. 圆心到直线的距离d =|1+3+2|12+(3)2=∴曲线C 1与C 2相离.2.(2017·江苏金坛一中期中)已知在极坐标系下,圆C :ρ=2cos ⎝⎛⎭⎫θ+π2与直线l :ρsin ⎝⎛⎭⎫θ+π4=2,点M 为圆C 上的动点,求点M 到直线l 的距离的最大值. 解 圆C 化为直角坐标方程,得x 2+(y +1)2=1. 直线l 化为直角坐标方程,得x +y =2. 圆心C 到直线l 的距离d =|-1-2|2=322,所以点M 到直线l 的距离的最大值为1+322.3.已知直线l :⎩⎪⎨⎪⎧ x =1+t ,y =-t (t 为参数)与圆C :⎩⎪⎨⎪⎧x =2cos θ,y =m +2sin θ(θ为参数)相交于A ,B 两点,m 为常数. (1)当m =0时,求线段AB 的长;(2)当圆C 上恰有三点到直线的距离为1时,求m 的值. 解 (1)直线l :x +y -1=0,曲线C :x 2+y 2=4, 圆心到直线的距离d =12, 故AB =2r 2-d 2=14.(2)圆C 的直角坐标方程为x 2+(y -m )2=4, 直线l :x +y -1=0,由题意,知圆心到直线的距离d =|m -1|2=1,∴m =1± 2.4.(2017·江苏昆山中学质检)已知极坐标系的极点在直角坐标系的原点,极轴与x 轴的正半轴重合.曲线C 的极坐标方程为ρ2cos 2θ+3ρ2sin 2θ=3,直线l 的参数方程为⎩⎨⎧x =-3t ,y =1+t(t 为参数,t ∈R ).试在曲线C 上求一点M ,使它到直线l 的距离最大. 解 曲线C 的普通方程是x 23+y 2=1,直线l 的普通方程是x +3y -3=0.设点M 的直角坐标是(3cos θ,sin θ),则点M 到直线l 的距离是d =|3cos θ+3sin θ-3|2=3⎪⎪⎪⎪2sin ⎝⎛⎭⎫θ+π4-12.因为-2≤2sin ⎝⎛⎭⎫θ+π4≤2,所以当sin ⎝⎛⎭⎫ θ+π4=-1,即θ=2k π-3π4(k ∈Z )时,d 取得最大值.此时3cos θ=-62,sin θ=-22. 设点M 的极角为φ,则⎩⎨⎧ρcos φ=-62,ρsin φ=-22,所以⎩⎪⎨⎪⎧ρ=2,φ=7π6. 综上,当点M 的极坐标为⎝⎛⎭⎫2,7π6时,该点到直线l 的距离最大. 3.空间向量与立体几何1.(2017·江苏南通中学月考)如图,已知三棱锥O -ABC 的侧棱OA ,OB ,OC 两两垂直,且OA =1,OB =OC =2,E 是OC 的中点.(1)求异面直线BE 与AC 所成角的余弦值; (2)求二面角A -BE -C 的正弦值.解 (1)以O 为原点,分别以OB ,OC ,OA 为x 轴,y 轴,z 轴建立空间直角坐标系,则A (0,0,1),B (2,0,0),C (0,2,0),E (0,1,0). EB →=(2,-1,0),AC →=(0,2,-1), ∴cos 〈EB →,AC →〉=-25,即异面直线BE 与AC 所成角的余弦值为25.(2)AB →=(2,0,-1),AE →=(0,1,-1), 设平面ABE 的法向量为n 1=(x ,y ,z ), 则由n 1⊥AB →,n 1⊥AE →,得⎩⎪⎨⎪⎧2x -z =0,y -z =0,取n 1=(1,2,2), 平面BEC 的法向量为n 2=(0,0,1), ∴cos 〈n 1,n 2〉=23,∴二面角A -BE -C 的余弦值cos θ=23,∴sin θ=53, 即二面角A -BE -C 的正弦值为53.2.(2017·江苏宜兴中学质检)三棱柱ABC -A 1B 1C 1在如图所示的空间直角坐标系中,已知AB =2,AC =4,AA 1=3,D 是BC 的中点.(1)求直线DB 1与平面A 1C 1D 所成角的正弦值; (2)求二面角B 1-A 1D -C 1的正弦值.解 (1)由题意知,B (2,0,0),C (0,4,0),D (1,2,0),A 1(0,0,3),B 1(2,0,3),C 1(0,4,3),则A 1D →=(1,2,-3),A 1C 1→=(0,4,0),DB 1→=(1,-2,3). 设平面A 1C 1D 的一个法向量为n =(x ,y ,z ). 由n ·A 1D →=x +2y -3z =0,n ·A 1C 1→=4y =0, 得y =0,x =3z ,令z =1,得x =3,n =(3,0,1).设直线DB 1与平面A 1C 1D 所成的角为θ, 则sin θ=|cos 〈DB 1→,n 〉|=|3+3|10×14=33535.(2)设平面A 1B 1D 的一个法向量为m =(a ,b ,c ),A 1B 1→=(2,0,0). 由m ·A 1D →=a +2b -3c =0,m ·A 1B 1→=2a =0, 得a =0,2b =3c ,令c =2,得b =3,m =(0,3,2). 设二面角B 1-A 1D -C 1的大小为α, |cos α|=|cos 〈m ,n 〉|=|m ·n ||m ||n |=265, sin α=3765=345565.所以二面角B 1-A 1D -C 13.(2017·江苏运河中学质检)PCD ⊥底面ABCD ,PD ⊥CD ,底面ABCD 是直角梯形,AB ∥CD ,∠ADC =π2,AB =AD =PD =1,CD =2.设Q 为侧棱PC 上一点,PQ →=λPC →.试确定λ的值,使得二面角Q -BD -P 为π4.解 因为侧面PCD ⊥底面ABCD , 平面PCD ∩平面ABCD =CD ,PD ⊥CD , 所以PD ⊥平面ABCD ,所以PD ⊥AD , 又∠ADC =π2,故DA ,DC ,DP 两两互相垂直.如图,以D 为坐标原点,DA ,DC ,DP 分别为x 轴,y 轴,z 轴建立直角坐标系,A (1,0,0),B (1,1,0),C (0,2,0),P (0,0,1),则平面PBD 的一个法向量为n =(-1,1,0),PC →=(0,2,-1),PQ →=λPC →,λ∈(0,1), 所以Q (0,2λ,1-λ).设平面QBD 的一个法向量为m =(a ,b ,c ), 由m ·BD →=0,m ·DQ →=0,得⎩⎪⎨⎪⎧a +b =0,2λb +(1-λ)c =0, 所以取b =1,得m =⎝⎛⎭⎫-1,1,2λλ-1,所以cos π4=|m ·n ||m ||n |,即22·2+⎝⎛⎭⎫2λλ-12=22. 注意到λ∈(0,1),解得λ=2-1.4.在三棱锥S -ABC 中,底面是边长为23的正三角形,点S 在底面ABC 上的射影O 是AC 的中点,侧棱SB 和底面成45°角.(1)若D 为棱SB 上一点,当SDDB为何值时,CD ⊥AB ; (2)求二面角S -BC -A 的余弦值的大小.解 以O 点为原点,OB 为x 轴,OC 为y 轴,OS 为z 轴建立空间直角坐标系. 由题意知∠SBO =45°,SO =3.。
《函数与导数》知识点汇总一、选择题1.已知函数()()1110x x e f x x e++-=<与()()1ln x xg x e x ae =+-的图象上存在关于y 轴对称的点,则实数a 的取值范围是( )A .1,1e ⎛⎫-∞+ ⎪⎝⎭B .1,e ⎛⎫-+∞ ⎪⎝⎭C .1,1e ⎛⎫-∞- ⎪⎝⎭D .11,e⎛⎫-+∞ ⎪⎝⎭【答案】D 【解析】 【分析】先求得()f x 关于y 轴对称的函数()h x ,则()()h x g x =,整理可得()11ln 1e ex x a ++-=在()0,∞+上有解,设()()11ln 1e ex x x ϕ=++-,可转化问题为()y x ϕ=与y a =的图象在()0,∞+上有交点,再利用导函数求得()x ϕ的范围,进而求解.【详解】由()f x 关于y 轴对称的函数为()()()1111e e 10ex x x h x f x x -+--+-=-==->, 令()()h x g x =,得()1e 1e ln 1e x x x x a --=+-()0x >,则方程()1e 1e ln 1e x x x x a --=+-在()0,∞+上有解,即方程()11ln 1e ex x a ++-=在()0,∞+上有解, 设()()11ln 1e ex x x ϕ=++-, 即可转化为()y x ϕ=与y a =的图象在()0,∞+上有交点,()()11e 1e 1e 1x x x x x x x ϕ--=-+='++Q ,令()=e 1xm x x --,则()=e 10xm x '->在()0,∞+上恒成立,所以()=e 1xm x x --在()0,∞+上为增函数,∴()()00m x m >=,即()0x ϕ'>Q 在()0,∞+上恒成立, ∴()x ϕ在()0,∞+上为增函数,当0x >时,则()()101x eϕϕ>=-, 所以11ea >-,故选:D 【点睛】本题考查利用导函数判断函数单调性,考查利用导函数处理函数的零点问题,考查转化思想.2.已知()f x 是定义在R 上的偶函数,其图象关于点(1,0)对称.以下关于()f x 的结论:①()f x 是周期函数;②()f x 满足()(4)f x f x =-;③()f x 在(0,2)单调递减;④()cos 2xf x π=是满足条件的一个函数.其中正确结论的个数是( ) A .4 B .3C .2D .1【答案】B 【解析】 【分析】题目中条件:(2)()f x f x +=-可得(4)()f x f x +=知其周期,利用奇函数图象的对称性,及函数图象的平移变换,可得函数的对称中心,结合这些条件可探讨函数的奇偶性,及单调性. 【详解】解:对于①:()()f x f x -=Q ,其图象关于点(1,0)对称(2)()f x f x +=- 所以(4)(2)()f x f x f x +=-+=,∴函数()f x 是周期函数且其周期为4,故①正确;对于②:由①知,对于任意的x ∈R ,都有()f x 满足()(4)f x f x -=-, 函数是偶函数,即()(4)f x f x =-,故②正确. 对于③:反例:如图所示的函数,关于y 轴对称,图象关于点(1,0)对称,函数的周期为4,但是()f x 在(0,2)上不是单调函数,故③不正确;对于④:()cos 2xf x π=是定义在R 上的偶函数,其图象关于点(1,0)对称的一个函数,故④正确. 故选:B . 【点睛】本题考查函数的基本性质,包括单调性、奇偶性、对称性和周期性,属于基础题.3.三个数0.20.40.44,3,log 0.5的大小顺序是 ( ) A .0.40.20.43<4log 0.5<B .0.40.20.43<log 0.5<4C .0.40.20.4log 0.534<<D .0.20.40.4log 0.543<<【答案】D 【解析】由题意得,120.20.4550.40log0.514433<<<==== D.4.已知3215()632f x x ax ax b =-++的两个极值点分别为()1212,x x x x ≠,且2132x x =,则函数12()()f x f x -=( ) A .1- B .16C .1D .与b 有关【答案】B 【解析】 【分析】求出函数的导数,利用韦达定理得到12,,a x x 满足的方程组,解方程组可以得到12,,a x x ,从而可求()()12f x f x -. 【详解】()2'56f x x ax a =-+,故125x x a +=,126x x a =,且225240a a ->,又2132x x =,所以122,3x a x a ==,故266a a =,解得0a =(舎)或者1a =. 此时122,3x x ==, ()3215632f x x x x b =-++, 故()()()()()1215182749623326f x f x -=⨯---+-= 故选B . 【点睛】如果()f x 在0x 处及附近可导且0x 的左右两侧导数的符号发生变化,则0x x =必为函数的极值点且()00f x =.极大值点、极小值点的判断方法如下:(1)在0x 的左侧附近,有()'0f x >,在0x 的右侧附近,有()'0f x <,则0x x =为函数的极大值点;(2)在0x 的左侧附近,有()'0f x <,在0x 的右侧附近()'0f x >,有,则0x x =为函数的极小值点.5.已知定义在R 上的函数()f x 满足()()242f x f x x +-=+,设()()22g x f x x =-,若()g x 的最大值和最小值分别为M 和m ,则M m +=( ) A .1 B .2 C .3 D .4【答案】B 【解析】∵()()242f x f x x +-=+,()()22g x f x x =-∴2222()()()2()24242g x g x f x x f x x x x +-=-+--=+-= ∴函数()g x 关于点(0,1)对称∵()g x 的最大值和最小值分别为M 和m ∴122M m +=⨯= 故选B.6.已知()ln xf x x=,则下列结论中错误的是( ) A .()f x 在()0,e 上单调递增 B .()()24f f = C .当01a b <<<时,b a a b < D .20192020log 20202019>【答案】D 【解析】 【分析】根据21ln (),(0,)xf x x x -'=∈+∞,可得()f x 在()0,e 上单调递增,在(),e +∞上单调递减,进而判断得出结论. 【详解】21ln (),(0,)xf x x x-'=∈+∞Q ∴对于选项A ,可得()f x 在()0,e 上单调递增,在(),e +∞上单调递减,故A 正确;对于选项B ,()2ln 4ln 2ln 24(2)442f f ====,故B 正确;对于选项C ,由选项A 知()f x 在()0,1上也是单调递增的,01a b <<<Q ,ln ln a ba b∴<,可得b a a b <,故选项C 正确; 对于选项D ,由选项A 知()f x 在(),e +∞上单调递减,(2019)(2020)f f ∴>,即ln 2019ln 202022019020>⇒20192020ln 2020log 2020ln 02019219>=,故选项D 不正确. 故选:D 【点睛】本题考查导数与函数单调性、极值与最值的应用及方程与不等式的解法,考查了理解辨析能力与运算求解能力,属于中档题.7.已知定义在R 上的可导函数()f x ,对于任意实数x ,都有()()2f x f x x -+=成立,且当()0,x ∈+∞时,都有()'f x x >成立,若()()112f a f a a -≥+-,则实数a 的取值范围为( ) A .1,2⎛⎤-∞ ⎥⎝⎦B .1,2⎡⎫+∞⎪⎢⎣⎭C .(],2-∞D .[)2,+∞【答案】A 【解析】 【分析】构造函数21()()2g x f x x =-,可判断函数()g x 为奇函数且在R 上是增函数,由函数的性质可得a 的不等式,解不等式即可得答案. 【详解】 令21()()2g x f x x =-,则()()g x f x x ''=-, ()0,x ∈+∞Q 时,都有()'f x x >成立,即有()0g x '>,∴在()0,∞+,()g x 单调递增,Q 定义在R 上的函数()f x ,对于任意实数x ,都有()()2f x f x x -+=成立,所以(0)0f =,2222111()()()()()222g x f x x x f x x x f x g x ⎡⎤∴-=--=--=-=-⎣⎦, ()g x ∴是定义在R 上的奇函数,又(0)(0)0g f == ∴在R 上()g x 单调递增.又()()112f a f a a -≥+-Q ()()()2211111222g a a g a a a ∴-+-≥++-, 即()()1112g a g a a a a -≥⇒-≥⇒≤. 因此实数a 的取值范围为1,2⎛⎤-∞ ⎥⎝⎦.故选:A 【点睛】本题考查构造函数、奇函数的判断,及导数与单调性的应用,且已知条件构造出21()()2g x f x x =-是解决本题的关键,考查了理解辨析能力与运算求解能力,属于中档题.8.曲线2y x =与直线y x =所围成的封闭图形的面积为( ) A .16B .13C .12D .56【答案】A 【解析】曲线2y x =与直线y x =的交点坐标为()()0,0,1,1 ,由定积分的几何意义可得曲线2y x=与直线y x =所围成的封闭图形的面积为()1223100111|236x x dx x x ⎛⎫-=-= ⎪⎝⎭⎰ ,故选A.9.函数()2sin f x x x x =-的图象大致为( )A .B .C .D .【答案】A 【解析】【分析】分析函数()y f x =的奇偶性,并利用导数分析该函数在区间()0,+∞上的单调性,结合排除法可得出合适的选项. 【详解】因为()()()()()22sin sin f x x x x x x x f x -=----=-=,且定义域R 关于原点对称,所以函数()y f x =为偶函数,故排除B 项;()()2sin sin f x x x x x x x =-=-,设()sin g x x x =-,则()1cos 0g x x ='-≥恒成立,所以函数()y g x =单调递增,所以当0x >时,()()00g x g >=, 任取120x x >>,则()()120g x g x >>,所以,()()1122x g x x g x >,()()12f x f x ∴>,所以,函数()y f x =在()0,+∞上为增函数,故排除C 、D 选项. 故选:A. 【点睛】本题考查利用函数解析式选择图象,一般分析函数的定义域、奇偶性、单调性、函数零点以及函数值符号,结合排除法得出合适的选项,考查分析问题和解决问题的能力,属于中等题.10.函数()1ln f x x x ⎛⎫=-⎪⎝⎭的图象大致是( ) A . B .C .D .【答案】B 【解析】 【分析】通过函数在2x =处函数有意义,在2x =-处函数无意义,可排除A 、D ;通过判断当1x >时,函数的单调性可排除C ,即可得结果.【详解】当2x =时,110x x-=>,函数有意义,可排除A ; 当2x =-时,1302x x -=-<,函数无意义,可排除D ; 又∵当1x >时,函数1y x x=-单调递增, 结合对数函数的单调性可得函数()1ln f x x x ⎛⎫=- ⎪⎝⎭单调递增,可排除C ; 故选:B. 【点睛】本题主要考查函数的图象,考查同学们对函数基础知识的把握程度以及数形结合与分类讨论的思维能力,属于中档题.11.已知函数f (x )(x ∈R )满足f (x )=f (2−x ),若函数 y=|x 2−2x−3|与y=f (x )图像的交点为(x 1,y 1),(x 2,y 2),…,(x m ,y m ),则1=mi i x =∑A .0B .mC .2mD .4m【答案】B 【解析】试题分析:因为2(),23y f x y x x ==--的图像都关于1x =对称,所以它们图像的交点也关于1x =对称,当m 为偶数时,其和为22mm ⨯=;当m 为奇数时,其和为1212m m -⨯+=,因此选B. 【考点】 函数图像的对称性 【名师点睛】如果函数()f x ,x D ∀∈,满足x D ∀∈,恒有()()f a x f b x +=-,那么函数的图象有对称轴2a bx +=;如果函数()f x ,x D ∀∈,满足x D ∀∈,恒有()()f a x f b x -=-+,那么函数()f x 的图象有对称中心(,0)2a b+.12.已知定义在R 上的函数()f x 满足()01f =,且()f x 的导函数'()f x 满足'()1f x >,则不等式()()ln ln f x ex <的解集为( ) A .()0,1 B .()1,eC .()0,eD .(),e +∞【答案】A 【解析】【分析】设()()g x f x x =-,由题得()g x 在R 上递增,求不等式()()ln ln f x ex <的解集,即求不等式(ln )(0)g x g <的解集,由此即可得到本题答案. 【详解】设()()g x f x x =-,则(0)(0)01g f =-=,()()1g x f x '='-, 因为()1f x '>,所以()0g x '>,则()g x 在R 上递增,又(ln )ln()1ln f x ex x <=+,所以(ln )ln 1f x x -<,即(ln )(0)g x g <, 所以ln 0x <,得01x <<. 故选:A 【点睛】本题主要考查利用导数研究函数的单调性,以及利用函数的单调性解不等式,其中涉及到构造函数.13.如图,将边长为1的正六边形铁皮的六个角各切去一个全等的四边形,再沿虚线折起,做成一个无盖的正六棱柱容器.当这个正六棱柱容器的底面边长为( )时,其容积最大.A .34B .23C .13D .12【答案】B 【解析】 【分析】设正六棱柱容器的底面边长为x ,则正六棱柱容器的高为)312x -,则可得正六棱柱容器的容积为()())()3233921224V x x x x x x x =+⋅⋅-=-+,再利用导函数求得最值,即可求解. 【详解】设正六棱柱容器的底面边长为x ,则正六棱柱容器的高为)312x -, 所以正六棱柱容器的容积为()()()()3233921224V x x x x x x x =+⋅⋅-=-+, 所以()227942V x x x '=-+,则在20,3⎛⎫⎪⎝⎭上,()0V x '>;在2,13⎛⎫ ⎪⎝⎭上,()0V x '<,所以()V x 在20,3⎛⎫ ⎪⎝⎭上单调递增,在2,13⎛⎫⎪⎝⎭上单调递减, 所以当23x =时,()V x 取得最大值, 故选:B 【点睛】本题考查利用导函数求最值,考查棱柱的体积,考查运算能力.14.已知函数()2943,02log 9,0x x x f x x x ⎧+≤=⎨+->⎩,则函数()()y f f x =的零点所在区间为( )A .73,2⎛⎫ ⎪⎝⎭B .()1,0-C .7,42⎛⎫ ⎪⎝⎭D .()4,5【答案】A 【解析】 【分析】首先求得0x ≤时,()f x 的取值范围.然后求得0x >时,()f x 的单调性和零点,令()()0f f x =,根据“0x ≤时,()f x 的取值范围”得到()32log 93x f x x =+-=,利用零点存在性定理,求得函数()()y f f x =的零点所在区间.【详解】当0x ≤时,()34f x <≤.当0x ≥时,()2932log 92log 9xxx f x x =+-=+-为增函数,且()30f =,则3x =是()f x 唯一零点.由于“当0x ≤时,()34f x <≤.”,所以 令()()0ff x =,得()32log 93xf x x =+-=,因为()303f =<,3377log 98 1.414log 39 3.312322f ⎛⎫=->⨯+-=> ⎪⎝⎭,所以函数()()y f f x =的零点所在区间为73,2⎛⎫⎪⎝⎭. 故选:A 【点睛】本小题主要考查分段函数的性质,考查符合函数零点,考查零点存在性定理,考查函数的单调性,考查化归与转化的数学思想方法,属于中档题.15.已知定义在R 上的函数()f x 满足()()3221f x f x -=-,且()f x 在[1, )+∞上单调递增,则( )A .()()()0.31.130. 20.54f f log f << B .()()()0.31.130. 240.5f f f log <<C .()()()1.10.3340.20.5f f f log << D .()()()0.3 1.130.50.24f log f f << 【答案】A 【解析】 【分析】由已知可得()f x 的图象关于直线1x =对称.因为0.31.130.21log 0.5141-<-<-,又()f x 在[1,)+∞上单调递增,即可得解.【详解】解:依题意可得,()f x 的图象关于直线1x =对称. 因为()()()0.31.1330.20,1,0.5 2 1,,044,8log log ∈=-∈-∈,则0.31.130.21log 0.5141-<-<-,又()f x 在[1,)+∞上单调递增, 所以()()()0.31.130.20.54f f log f <<.故选:A. 【点睛】本题考查了函数的对称性及单调性,重点考查了利用函数的性质判断函数值的大小关系,属中档题.16.()f x 是定义在R 上的奇函数,对任意x ∈R 总有3()()2f x f x +=-,则9()2f -的值为( ) A .0 B .3C .32D .92-【答案】A 【解析】 【分析】首先确定函数的周期,然后结合函数的周期性和函数的奇偶性求解92f ⎛⎫- ⎪⎝⎭的值即可. 【详解】函数()f x 是定义在R 上的奇函数,对任意x R ∈总有()32f x f x ⎛⎫+=- ⎪⎝⎭,则函数的周期3T =,据此可知:()993360002222f f f f f ⎛⎫⎛⎫⎛⎫⎛⎫-=-+==+=-= ⎪ ⎪ ⎪ ⎪⎝⎭⎝⎭⎝⎭⎝⎭. 本题选择A 选项. 【点睛】本题主要考查函数的周期性,函数的奇偶性,奇函数的性质等知识,意在考查学生的转化能力和计算求解能力.17.函数()3ln 2xf x x x=+的图象在点()()1,1f 处的切线方程为( ) A .64y x =- B .75y x =- C .63=-y x D .74y x =-【答案】B 【解析】 【分析】首先求得切线的斜率,然后求解切线方程即可. 【详解】由函数的解析式可得:()221ln '6xf x x x-=+, 则所求切线的斜率()221ln1'16171k f -==+⨯=, 且:()012121f =+⨯=,即切点坐标为()1,2, 由点斜式方程可得切线方程为:()271y x -=-,即75y x =-. 本题选择B 选项. 【点睛】导数运算及切线的理解应注意的问题一是利用公式求导时要特别注意除法公式中分子的符号,防止与乘法公式混淆. 二是直线与曲线公共点的个数不是切线的本质,直线与曲线只有一个公共点,直线不一定是曲线的切线,同样,直线是曲线的切线,则直线与曲线可能有两个或两个以上的公共点.三是复合函数求导的关键是分清函数的结构形式.由外向内逐层求导,其导数为两层导数之积.18.已知函数()lg f x x =,0a b >>,()()f a f b =,则22a b a b+-的最小值等于( ).A B .C .2D .【答案】D 【解析】试题分析:因为函数()lg f x x =,0a b >>,()()f a f b =所以lg lg a b =- 所以1a b=,即1ab =,0a b >> 22a b a b+-22()2()22()a b ab a b a b a b a b a b -+-+===-+---22()22a b a b ≥-⨯=- 当且仅当2a b a b-=-,即2a b -=时等号成立 所以22a b a b +-的最下值为22故答案选D考点:基本不等式.19.科赫曲线是一种外形像雪花的几何曲线,一段科赫曲线可以通过下列操作步骤构造得到,任画一条线段,然后把它均分成三等分,以中间一段为边向外作正三角形,并把中间一段去掉,这样,原来的一条线段就变成了4条小线段构成的折线,称为“一次构造”;用同样的方法把每条小线段重复上述步骤,得到16条更小的线段构成的折线,称为“二次构造”,…,如此进行“n 次构造”,就可以得到一条科赫曲线.若要在构造过程中使得到的折线的长度达到初始线段的1000倍,则至少需要通过构造的次数是( ).(取lg30.4771≈,lg 20.3010≈)A .16B .17C .24D .25【答案】D 【解析】 【分析】由折线长度变化规律可知“n 次构造”后的折线长度为43na ⎛⎫ ⎪⎝⎭,由此得到410003n⎛⎫≥ ⎪⎝⎭,利用运算法则可知32lg 2lg 3n ≥⨯-,由此计算得到结果.【详解】记初始线段长度为a ,则“一次构造”后的折线长度为43a ,“二次构造”后的折线长度为243a ⎛⎫ ⎪⎝⎭,以此类推,“n 次构造”后的折线长度为43na ⎛⎫ ⎪⎝⎭, 若得到的折线长度为初始线段长度的1000倍,则410003na a ⎛⎫≥ ⎪⎝⎭,即410003n⎛⎫≥ ⎪⎝⎭,()()44lg lg lg 4lg32lg 2lg3lg1000333nn n n ⎛⎫∴==-=-≥= ⎪⎝⎭,即324.0220.30100.4771n ≥≈⨯-,∴至少需要25次构造.故选:D . 【点睛】本题考查数列新定义运算的问题,涉及到对数运算法则的应用,关键是能够通过构造原则得到每次构造后所得折线长度成等比数列的特点.20.已知函数221,0()log ,0x x f x x x ⎧+-≤=⎨>⎩,若()1f a ≤,则实数a 的取值范围是( )A .(4][2,)-∞-+∞UB .[1,2]-C .[4,0)(0,2]-UD .[4,2]-【答案】D 【解析】 【分析】不等式()1f a ≤等价于0,211,a a ≤⎧⎨+-≤⎩或20,log 1,a a >⎧⎨≤⎩分别解不等式组后,取并集可求得a的取值范围. 【详解】()1f a ≤⇔0,211,a a ≤⎧⎨+-≤⎩或20,log 1,a a >⎧⎨≤⎩,解得:40a -≤≤或02a <≤,即[4,2]a ∈-,故选D.【点睛】本题考查与分段函数有关的不等式,会对a 进行分类讨论,使()f a 取不同的解析式,从而将不等式转化为解绝对值不等式和对数不等式.。
(四)函数与导数(2)1.(2018·江西省重点中学协作体联考)已知f (x )=e x ,g (x )=x 2+ax -2x sin x +1.(1)证明:1+x ≤e x ≤11-x (x ∈[0,1));(2)若x ∈[0,1)时,f (x )≥g (x )恒成立,求实数a 的取值范围.(1)证明 设h (x )=e x -1-x ,则h ′(x )=e x -1,故h (x )在(-∞,0)上单调递减,在(0,+∞)上单调递增.从而h (x )≥h (0)=0,即e x ≥1+x .而当x ∈[0,1)时,e -x ≥1-x ,即e x ≤11-x .(2)解 设F (x )=f (x )-g (x )=e x -(x 2+ax -2x sin x +1),则F (0)=0,F ′(x )=e x -(2x +a -2x cos x -2sin x ).要求F (x )≥0在[0,1)上恒成立,必须有F ′(0)≥0.即a ≤1.以下证明:当a ≤1时,f (x )≥g (x ).只要证1+x ≥x 2+x -2x sin x +1,只要证2sin x ≥x 在[0,1)上恒成立.令φ(x )=2sin x -x ,则φ′(x )=2cos x -1>0对x ∈[0,1)恒成立,又φ(0)=0,所以2sin x ≥x ,从而不等式得证.2.(2018·宿州质检)设函数f (x )=x +ax ln x (a ∈R ).(1)讨论函数f (x )的单调性;(2)若函数f (x )的极大值点为x =1,证明:f (x )≤e -x +x 2.(1)解 f (x )的定义域为(0,+∞),f ′(x )=1+a ln x +a ,当a =0时,f (x )=x ,则函数f (x )在区间(0,+∞)上单调递增;当a >0时,由f ′(x )>0得x >1e a a +-,由f ′(x )<0得0<x <1e a a +-.所以f (x )在区间⎝⎛⎭⎫0,1e a a +-上单调递减,在区间⎝⎛⎭⎫1e a a +-,+∞上单调递增;当a <0时,由f ′(x )>0得0<x <1e a a +-,由f ′(x )<0得x >1e a a +-,所以函数f (x )在区间⎝⎛⎭⎫0,1e a a +-上单调递增,在区间⎝⎛⎭⎫1e a a +-,+∞上单调递减.综上所述,当a =0时,函数f (x )在区间(0,+∞)上单调递增;当a >0时,函数f (x )在区间⎝⎛⎭⎫0,1e a a +-上单调递减,在区间⎝⎛⎭⎫1e a a +-,+∞上单调递增;当a <0时,函数f (x )在区间⎝⎛⎭⎫0,1e a a +-上单调递增,在区间⎝⎛⎭⎫1e a a +-,+∞上单调递减.(2)证明 由(1)知a <0且1e a a +-=1,解得a =-1,f (x )=x -x ln x .要证f (x )≤e -x +x 2,即证x -x ln x ≤e -x +x 2,即证1-ln x ≤e-x x +x .令F (x )=ln x +e-x x +x -1(x >0),则F ′(x )=1x +-e -x x -e-xx 2+1=(x +1)(x -e -x)x 2.令g (x )=x -e -x ,得函数g (x )在区间(0,+∞)上单调递增.而g (1)=1-1e >0,g (0)=-1<0,所以在区间(0,+∞)上存在唯一的实数x 0,使得g (x 0)=x 0-0e x -=0,即x 0=0e x -,且x ∈(0,x 0)时,g (x )<0,x ∈(x 0,+∞)时,g (x )>0.故F (x )在(0,x 0)上单调递减,在(x 0,+∞)上单调递增.∴F (x )min =F (x 0)=ln x 0 +0e x -x 0+x 0-1.又0e x -=x 0,∴F (x )min =ln x 0+0e x -x 0+x 0-1=-x 0+1+x 0-1=0.∴F (x )≥F (x 0)=0成立,即f (x )≤e -x +x 2成立.3.(2018·皖江八校联考)已知函数f (x )=ax 2+x +a2e x .(1)若a ≥0,函数f (x )的极大值为52e ,求实数a 的值;(2)若对任意的a ≤0,f (x )≤b ln (x +1)2在x ∈[0,+∞)上恒成立,求实数b 的取值范围.解 (1)由题意,f ′(x )=12[(2ax +1)e -x -(ax 2+x +a )e -x ]=-12e -x [ax 2+(1-2a )x +a -1]=-12e -x(x -1)(ax +1-a ).①当a =0时,f ′(x )=-12e -x(x -1),令f ′(x )>0,得x <1;令f ′(x )<0,得x >1,所以f (x )在(-∞,1)上单调递增,在(1,+∞)上单调递减.所以f (x )的极大值为f (1)=12e ≠52e ,不合题意.②当a >0时,1-1a <1,令f ′(x )>0,得1-1a <x <1;令f ′(x )<0,得x <1-1a 或x >1,所以f (x )在⎝ ⎛⎭⎪⎫1-1a ,1上单调递增,在⎝ ⎛⎭⎪⎫-∞,1-1a ,(1,+∞)上单调递减.所以f (x )的极大值为f (1)=2a +12e =52e ,得a =2.综上所述a =2.(2)令g (a )=(x 2+1)a 2e x +x2e x ,a ∈(-∞,0],当x ∈[0,+∞)时,x 2+12e x >0,则g (a )≤b ln (x +1)2对∀a ∈(-∞,0]恒成立等价于g (a )≤g (0)≤b ln (x +1)2,即xe x ≤b ln(x +1)对x ∈[0,+∞)恒成立.①当b =0时,显然xe x ≤b ln(x +1)在[0,+∞)上不恒成立.②当b <0时,∀x ∈(0,+∞),b ln(x +1)<0,xe x >0,此时xe x >b ln(x +1),不合题意.③当b >0时,令h (x )=b ln(x +1)-xe x ,x ∈[0,+∞),则h ′(x )=b x +1-(e -x -x e -x )=b e x +x 2-1(x +1)e x ,其中(x +1)e x >0,∀x ∈[0,+∞),令p (x )=b e x +x 2-1,x ∈[0,+∞),则p (x )在区间[0,+∞)上单调递增,b ≥1时,p (x )≥p (0)=b -1≥0,所以对∀x ∈[0,+∞),h ′(x )≥0,从而h (x )在[0,+∞)上单调递增,所以对任意x ∈[0,+∞),h (x )≥h (0)=0,即不等式b ln(x +1)≥x e -x 在[0,+∞)上恒成立.0<b <1时,由p (0)=b -1<0,p (1)=b e>0及p (x )在区间[0,+∞)上单调递增,所以存在唯一的x 0∈(0,1),使得p (x 0)=0,且x ∈(0,x 0)时,p (x )<0.从而x ∈(0,x 0)时,h ′(x )<0,所以h (x )在区间(0,x 0)上单调递减,则x ∈(0,x 0)时,h (x )<h (0)=0,即b ln(x +1)<x e -x ,不符合题意.综上所述,b 的取值范围为[1,+∞).4.(2018·合肥模拟)已知函数f (x )=ln xx -ax .(1)讨论函数f (x )的零点个数;(2)已知g (x )=(2-x )e x ,证明:当x ∈(0,1)时,g (x )-f (x )-ax -2>0.(1)解 xf (x )=ln x -a x ·x .令x 32=t ,∴x =23t (t >0).令h (t )=ln t -32at ,则函数y =h (t )与y =f (x )的零点个数情况一致.h ′(t )=1t -32a .(ⅰ)当a ≤0时,h ′(t )>0,∴h (t )在(0,+∞)上单调递增. 又h (1)=-32a ≥0,1e a a h +⎛⎫ ⎪⎝⎭=a +1a -32a e 1a a +≤a +1a -32a ·1e 2=⎝ ⎛⎭⎪⎫1-32e 2a +1a <0,∴此时有1个零点.(ⅱ)当a >0时,h (t )在⎝ ⎛⎭⎪⎫0,23a 上单调递增,在⎝ ⎛⎭⎪⎫23a ,+∞上单调递减.∴h (t )max =h ⎝ ⎛⎭⎪⎫23a =ln 23a -1.①当ln 23a <1即a >23e 时,h ⎝ ⎛⎭⎪⎫23a <0,无零点.②当ln 23a =1即a =23e 时,h ⎝ ⎛⎭⎪⎫23a =0,1个零点.③当ln 23a >1即0<a <23e 时,h ⎝ ⎛⎭⎪⎫23a >0,又23a >e>1,h (1)=-32a <0.又23a -49a 2=23a ⎝ ⎛⎭⎪⎫1-23a <23a (1-e)<0,h ⎝ ⎛⎭⎪⎫49a 2=ln ⎝ ⎛⎭⎪⎫23a 2-32a ·49a 2=2ln 23a -23a ,令φ(a )=2ln 23a -23a ,φ′(a )=2·3a 2⎝ ⎛⎭⎪⎫-23·1a 2+23a 2=2-6a3a 2>0,∴φ(a )在⎝ ⎛⎭⎪⎫0,23e 上单调递增,∴φ(a )<φ⎝ ⎛⎭⎪⎫23e =2-e<0,∴此时有两个零点.综上,当a ≤0或a =23e 时,有1个零点;当0<a <23e 时,有2个零点;当a >23e 时,无零点.(2)要证g (x )-f (x )-ax -2>0, 只需证ln x x +2<(2-x )e x.令x =m ∈(0,1),只需证2ln mm +2<(2-m 2)e m .令l (m )=(2-m 2)e m ,l ′(m )=(-m 2-2m +2)e m ,∴l (m )在(0,3-1)上单调递增,在(3-1,1)上单调递减, 又∵l (1)=e ,l (0)=2,∴l (m )>2.令t (m )=ln mm ,t ′(m )=1-ln mm 2>0,∴t (m )在(0,1)上单调递增,∴t (m )<t (1)=0,∴2ln mm +2<2,故g (x )-f (x )-ax -2>0.5.(2018·洛阳模拟)已知函数f (x )=(x -1)e x -t 2x 2,其中t ∈R .(1)讨论函数f (x )的单调性;(2)当t =3时,证明:不等式f (x 1+x 2)-f (x 1-x 2)>-2x 2恒成立(其中x 1∈R ,x 2>0).(1)解 由于f ′(x )=x e x -tx =x (e x -t ).(ⅰ)当t ≤0时,e x -t >0,当x >0时,f ′(x )>0,f (x )单调递增,当x <0时,f ′(x )<0,f (x )单调递减;(ⅱ)当t >0时,由f ′(x )=0得x =0或x =ln t .①当0<t <1时,ln t <0,当x >0时,f ′(x )>0,f (x )单调递增,当ln t <x <0时,f ′(x )<0,f (x )单调递减,当x <ln t 时,f ′(x )>0,f (x )单调递增;②当t =1时,f ′(x )≥0,f (x )单调递增;③当t >1时,ln t >0.当x >ln t 时,f ′(x )>0,f (x )单调递增,当0<x <ln t 时,f ′(x )<0,f (x )单调递减,当x <0时,f ′(x )>0,f (x )单调递增.综上,当t ≤0时,f (x )在(-∞,0)上是减函数,在(0,+∞)上是增函数;当0<t <1时,f (x )在(-∞,ln t ),(0,+∞)上是增函数, 在(ln t,0)上是减函数;当t =1时,f (x )在(-∞,+∞)上是增函数;当t >1时,f (x )在(-∞,0),(ln t ,+∞)上是增函数, 在(0,ln t )上是减函数.(2)证明 依题意f (x 1+x 2)-f (x 1-x 2)>(x 1-x 2)-(x 1+x 2)⇔f (x 1+x 2)+(x 1+x 2)>f (x 1-x 2)+(x 1-x 2)恒成立.设g (x )=f (x )+x ,则上式等价于g (x 1+x 2)>g (x 1-x 2),要证明g (x 1+x 2)>g (x 1-x 2)对任意x 1∈R ,x 2∈(0,+∞)恒成立,即证明g (x )=(x -1)e x -32x 2+x 在R 上单调递增, 又g ′(x )=x e x -3x +1,只需证明x e x -3x +1≥0即可.令h (x )=e x -x -1,则h ′(x )=e x -1,当x <0时,h ′(x )<0,当x >0时,h ′(x )>0,∴h (x )min =h (0)=0,即∀x ∈R ,e x≥x +1,那么,当x ≥0时,x e x ≥x 2+x ,∴x e x -3x +1≥ x 2-2x +1=(x -1)2≥0;当x <0时,e x <1,x e x -3x +1=x ⎝ ⎛⎭⎪⎫e x -3+1x >0, ∴x e x -3x +1>0恒成立.从而原不等式成立.。
函数与导数压轴题题型与解题方法(高考必备)题型与方法(选择、填空题)一、函数与导数1、抽象函数与性质主要知识点:定义域、值域(最值)、单调性、奇偶性、周期性、对称性、趋势线(渐近线)对策与方法:赋值法、特例法、数形结合例1:已知定义在$[0,+\infty)$上的函数$f(x)$,当$x\in[0,1]$时,$f(x)=\frac{2}{3}-4x$;当$x>1$时,$f(x)=af(x-1)$,$a\in R$,$a$为常数。
下列有关函数$f(x)$的描述:①当$a=2$时,$f(\frac{3}{2})=4$;②当$a<\frac{1}{2}$时,函数$f(x)$的值域为$[-2,2]$;③当$a>\frac{1}{2}$时,不等式$f(x)\leq 2a$恒成立;④当$-\frac{1}{2}<a<\frac{1}{2}$时,函数$f(x)$的图像与直线$y=2an-1$($n\in N^*$)在$[1,n]$内的交点个数为$n-\frac{1+(-1)^n}{2}$。
其中描述正确的个数有(。
)【答案】C分析:根据题意,当$x>1$时,$f(x)$的值由$f(x-1)$决定,因此可以考虑特例法。
当$a=2$时,$f(x)$的值域为$[0,4]$,因此①正确。
当$a\frac{1}{2}$时,$f(x)$在$[0,1]$上单调递减,在$[1,+\infty)$上单调递增,因此不等式$f(x)\leq 2a$恒成立,③正确。
当$-\frac{1}{2}<a<\frac{1}{2}$时,$f(x)$在$[0,1]$上单调递减,在$[1,+\infty)$上单调递增,因此$f(x)$与直线$y=2an-1$($n\in N^*$)在$[1,n]$内的交点个数为$n-\frac{1+(-1)^n}{2}$,④正确。
因此,答案为$\boxed{\textbf{(C) }2}$。
新高考数学《函数与导数》专题解析一、选择题1.若函数f (x )=()x 1222a x 1log x 1x 1⎧++≤⎪⎨+⎪⎩,,>有最大值,则a 的取值范围为( ) A .()5,∞-+ B .[)5,∞-+ C .(),5∞-- D .(],5∞-- 【答案】B 【解析】 【分析】分析函数每段的单调性确定其最值,列a 的不等式即可求解. 【详解】由题()xf x 22a,x 1=++≤,单调递增,故()()f x f 14a,;≤=+()()12f x log x 1,x 1,=+>单调递减,故()()f x f 11>=-,因为函数存在最大值,所以4a 1+≥-,解a 5≥-. 故选B. 【点睛】本题考查分段函数最值,函数单调性,确定每段函数单调性及最值是关键,是基础题.2.已知定义在R 上的函数()f x 满足()()242f x f x x +-=+,设()()22g x f x x =-,若()g x 的最大值和最小值分别为M 和m ,则M m +=( ) A .1 B .2 C .3 D .4【答案】B 【解析】∵()()242f x f x x +-=+,()()22g x f x x =-∴2222()()()2()24242g x g x f x x f x x x x +-=-+--=+-= ∴函数()g x 关于点(0,1)对称∵()g x 的最大值和最小值分别为M 和m ∴122M m +=⨯= 故选B.3.已知()ln xf x x=,则下列结论中错误的是( ) A .()f x 在()0,e 上单调递增 B .()()24f f = C .当01a b <<<时,b a a b <D .20192020log 20202019>【答案】D 【解析】 【分析】根据21ln (),(0,)xf x x x-'=∈+∞,可得()f x 在()0,e 上单调递增,在(),e +∞上单调递减,进而判断得出结论. 【详解】21ln (),(0,)xf x x x -'=∈+∞Q ∴对于选项A ,可得()f x 在()0,e 上单调递增,在(),e +∞上单调递减,故A 正确;对于选项B ,()2ln 4ln 2ln 24(2)442f f ====,故B 正确;对于选项C ,由选项A 知()f x 在()0,1上也是单调递增的,01a b <<<Q ,ln ln a ba b∴<,可得b a a b <,故选项C 正确; 对于选项D ,由选项A 知()f x 在(),e +∞上单调递减,(2019)(2020)f f ∴>,即ln 2019ln 202022019020>⇒20192020ln 2020log 2020ln 02019219>=, 故选项D 不正确. 故选:D 【点睛】本题考查导数与函数单调性、极值与最值的应用及方程与不等式的解法,考查了理解辨析能力与运算求解能力,属于中档题.4.已知21()cos 4f x x x =+,'()f x 为()f x 的导函数,则'()f x 的图像是( ) A . B .C .D .【答案】A 【解析】Q ()21f cos 4x x x =+,()()1'sin ,'2f x x x y f x ∴=-=为奇函数,∴图象关于原点对称,排除,B D ,又()'10f <Q ,可排除C ,故选A.【方法点晴】本题通过对多个图象的选择主要考查考查函数的图象与性质,属于中档题. 这类题型也是近年高考常见的命题方向,该题型的特点是综合性较强较强、考查知识点较多,但是并不是无路可循.解答这类题型可以从多方面入手,根据函数的定义域、值域、单调性、奇偶性、特殊点以及0,0,,x x x x +-→→→+∞→-∞时函数图象的变化趋势,利用排除法,将不合题意的选项一一排除.5.曲线2y x =与直线y x =所围成的封闭图形的面积为( ) A .16B .13C .12D .56【答案】A 【解析】曲线2y x =与直线y x =的交点坐标为()()0,0,1,1 ,由定积分的几何意义可得曲线2y x=与直线y x =所围成的封闭图形的面积为()1223100111|236x x dx x x ⎛⎫-=-= ⎪⎝⎭⎰ ,故选A.6.已知函数()()1110x x e f x x e++-=<与()()1ln x xg x e x ae =+-的图象上存在关于y 轴对称的点,则实数a 的取值范围是( )A .1,1e ⎛⎫-∞+ ⎪⎝⎭B .1,e ⎛⎫-+∞ ⎪⎝⎭C .1,1e ⎛⎫-∞- ⎪⎝⎭D .11,e⎛⎫-+∞ ⎪⎝⎭【答案】D 【解析】 【分析】先求得()f x 关于y 轴对称的函数()h x ,则()()h x g x =,整理可得()11ln 1e ex x a ++-=在()0,∞+上有解,设()()11ln 1e ex x x ϕ=++-,可转化问题为()y x ϕ=与y a =的图象在()0,∞+上有交点,再利用导函数求得()x ϕ的范围,进而求解.【详解】由()f x 关于y 轴对称的函数为()()()1111ee 10ex x x h x f x x -+--+-=-==->, 令()()h x g x =,得()1e 1e ln 1e x x x x a --=+-()0x >,则方程()1e 1e ln 1e x x x x a --=+-在()0,∞+上有解,即方程()11ln 1e e x x a ++-=在()0,∞+上有解, 设()()11ln 1e ex x x ϕ=++-, 即可转化为()y x ϕ=与y a =的图象在()0,∞+上有交点,()()11e 1e 1e 1x x x x x x x ϕ--=-+='++Q ,令()=e 1xm x x --,则()=e 10xm x '->在()0,∞+上恒成立,所以()=e 1xm x x --在()0,∞+上为增函数,∴()()00m x m >=,即()0x ϕ'>Q 在()0,∞+上恒成立, ∴()x ϕ在()0,∞+上为增函数,当0x >时,则()()101x eϕϕ>=-, 所以11ea >-, 故选:D 【点睛】本题考查利用导函数判断函数单调性,考查利用导函数处理函数的零点问题,考查转化思想.7.已知定义在R 上的函数()f x 满足()01f =,且()f x 的导函数'()f x 满足'()1f x >,则不等式()()ln ln f x ex <的解集为( ) A .()0,1 B .()1,eC .()0,eD .(),e +∞【答案】A 【解析】 【分析】设()()g x f x x =-,由题得()g x 在R 上递增,求不等式()()ln ln f x ex <的解集,即求不等式(ln )(0)g x g <的解集,由此即可得到本题答案. 【详解】设()()g x f x x =-,则(0)(0)01g f =-=,()()1g x f x '='-, 因为()1f x '>,所以()0g x '>,则()g x 在R 上递增,又(ln )ln()1ln f x ex x <=+,所以(ln )ln 1f x x -<,即(ln )(0)g x g <, 所以ln 0x <,得01x <<. 故选:A 【点睛】本题主要考查利用导数研究函数的单调性,以及利用函数的单调性解不等式,其中涉及到构造函数.8.函数()1sin cos 1sin cos 1tan 01sin cos 1sin cos 32x x x x f x x x x x x x π+-++⎛⎫=++<< ⎪+++-⎝⎭的最小值为( )A.13+ B.3C.23+ D.3【答案】B 【解析】 【分析】利用二倍角公式化简函数()f x ,求导数,利用导数求函数的最小值即可. 【详解】22222sin 2sin cos 2cos 2sin cos1sin cos 1sin cos 2222221sin cos 1sin cos 2cos 2sin cos 2sin 2sin cos 222222x x x x x x x x x x x x x x x xx x x x +++-+++=++++-++ 2sin sin cos 2cos sin cos sin cos 222222222sin cos sin 2cos sin cos 2sin sin cos 22222222x x x x x x x xx x x x x x x x x ⎛⎫⎛⎫++ ⎪ ⎪⎝⎭⎝⎭=+=+=⎛⎫⎛⎫++ ⎪ ⎪⎝⎭⎝⎭, 则()21tan 0sin 32f x x x x π⎛⎫=+<< ⎪⎝⎭, 32222221sin 2cos 16cos cos 1()sin 3cos sin 3cos 3sin cos x x x x f x x x x x x x '''--+⎛⎫⎛⎫=+=-+= ⎪ ⎪⎝⎭⎝⎭. 令()cos 0,1t x =∈,()3261g t t t =--+为减函数,且102g ⎛⎫=⎪⎝⎭, 所以当03x π<<时,()11,02t g t <<<,从而()'0f x <; 当32x ππ<<时,()10,02t g t <<>,从而()'0f x >. 故()min 3f x f π⎛⎫==⎪⎝⎭. 故选:A 【点睛】本题主要考查了三角函数的恒等变换,利用导数求函数的最小值,换元法,属于中档题.9.[]0x a,b ∃∈使得()f x m ≥成立,等价于[]()0x a,b ,[f x ]m max ∈≥10.函数()3ln xf x x =的部分图象是( )A .B .C .D .【答案】A 【解析】 【分析】根据奇偶性排除B ,当1x >时,()3ln 0xf x x=>,排除CD ,得到答案. 【详解】()()()33ln ln ,x xf x f x f x x x=-==--, ()f x 为奇函数,排除B 当1x >时,()3ln 0xf x x =>恒成立,排除CD 故答案选A 【点睛】本题考查了函数图像的判断,通过奇偶性,特殊值法排除选项是解题的关键.11.已知函数()()2f x x +∈R 为奇函数,且函数()y f x =的图象关于直线1x =对称,当[]0,1x ∈时,()2020xf x =,则()2020f =( ) A .2020 B .12020C .11010D .0【答案】D 【解析】 【分析】根据题意,由函数()f x 的对称性可得()()42f x f x +=-+,即()()2f x f x +=-,进而可得()()4f x f x +=,即函数()f x 是周期为4的周期函数,据此可得()()20200f f =,由函数的解析式计算可得答案.【详解】解:根据题意,函数()2f x +为奇函数,即函数()f x 的图象关于点()2,0对称,则有()()4f x f x -=-+,函数()y f x =的图象关于直线1x =对称,则()()2f x f x -=+, 变形可得:()()42f x f x +=-+,即()()2f x f x +=-, 则有()()4f x f x +=,即函数()f x 是周期为4的周期函数,()()()20200505400f f f ∴=+⨯==;故选:D . 【点睛】本题考查函数的奇偶性、对称性、周期性的综合应用,难度一般.一般地,若一个奇函数有对称轴(或一个偶函数有对称中心),可分析出函数具有周期性.12.已知ln 3ln 4ln ,,34a b e c e===(e是自然对数的底数),则,,a b c 的大小关系是( ) A .c a b << B .a c b <<C .b a c <<D .c b a <<【答案】C 【解析】 【分析】根据ln 3ln 4ln ,,34a b e c e===的结构特点,令()ln x f x x =,求导()21ln xf x x-'=,可得()f x 在()0,e 上递增,在(),+e ∞上递减,再利用单调性求解. 【详解】令()ln xf x x=,所以()21ln xf x x-'=, 当0x e <<时, ()0f x '>,当x e >时,()0f x '<, 所以()f x 在()0,e 上递增,在(),+e ∞上递减. 因为34e <<,所以 ()()()34>>f e f f , 即b a c <<.故选:C 【点睛】本题主要考查导数与函数的单调性比较大小,还考查了推理论证的能力,属于中档题.13.已知函数()1f x +是偶函数,当()1,x ∈+∞时,函数()f x 单调递减,设12a f ⎛⎫=- ⎪⎝⎭,()3b f =,()0c f =,则a b c 、、的大小关系为()A .b a c <<B .c b d <<C .b c a <<D .a b c <<【答案】A 【解析】 【分析】 根据()1f x +图象关于y 轴对称可知()f x 关于1x =对称,从而得到()f x 在(),1-∞上单调递增且()()31f f =-;再根据自变量的大小关系得到函数值的大小关系. 【详解】()1f x +Q 为偶函数 ()1f x ∴+图象关于y 轴对称()f x ∴图象关于1x =对称()1,x ∈+∞Q 时,()f x 单调递减 (),1x ∈-∞∴时,()f x 单调递增又()()31f f =-且1102-<-< ()()1102f f f ⎛⎫∴-<-< ⎪⎝⎭,即b a c << 本题正确选项:A 【点睛】本题考查利用函数奇偶性、对称性和单调性比较函数值的大小关系问题,关键是能够通过奇偶性和对称性得到函数的单调性,通过自变量的大小关系求得结果.14.()f x 是定义在R 上的奇函数,对任意x ∈R 总有3()()2f x f x +=-,则9()2f -的值为( ) A .0 B .3C .32D .92-【答案】A 【解析】 【分析】首先确定函数的周期,然后结合函数的周期性和函数的奇偶性求解92f ⎛⎫- ⎪⎝⎭的值即可. 【详解】函数()f x 是定义在R 上的奇函数,对任意x R ∈总有()32f x f x ⎛⎫+=- ⎪⎝⎭,则函数的周期3T =, 据此可知:()993360002222f f f f f ⎛⎫⎛⎫⎛⎫⎛⎫-=-+==+=-= ⎪ ⎪ ⎪ ⎪⎝⎭⎝⎭⎝⎭⎝⎭. 本题选择A 选项. 【点睛】本题主要考查函数的周期性,函数的奇偶性,奇函数的性质等知识,意在考查学生的转化能力和计算求解能力.15.若函数()()sin xf x e x a =+在区间,22ππ⎛⎫- ⎪⎝⎭上单调递增,则实数a 的取值范围是()A .)+∞ B .[)1,+∞ C .()1,+∞D .()+∞【答案】B 【解析】 【分析】将问题转化为()0f x '≥在,22ππ⎛⎫- ⎪⎝⎭上恒成立;根据导函数解析式可知问题可进一步转化04x a π⎛⎫++≥ ⎪⎝⎭在,22ππ⎛⎫-⎪⎝⎭上恒成立;利用正弦型函数值域求法可求得(14x a a a π⎛⎫⎤++∈-+ ⎪⎦⎝⎭,则只需10a -+?即可,解不等式求得结果. 【详解】由题意得:()()sin cos 4x x x f x e x a e x e x a π⎫⎛⎫'=++=++ ⎪⎪⎝⎭⎭ ()f x Q 在,22ππ⎛⎫- ⎪⎝⎭上单调递增 ()0f x '∴≥在,22ππ⎛⎫- ⎪⎝⎭上恒成立又0x e > 04x a π⎛⎫++≥ ⎪⎝⎭在,22ππ⎛⎫-⎪⎝⎭上恒成立当,22x ππ⎛⎫∈- ⎪⎝⎭时,3,444x πππ⎛⎫+∈- ⎪⎝⎭ sin ,142x π⎛⎤⎛⎫∴+∈- ⎥ ⎪ ⎝⎭⎝⎦ (14x a a a π⎛⎫⎤++∈-+ ⎪⎦⎝⎭ 10a ∴-+≥,解得:[)1,a ∈+∞ 本题正确选项:B 【点睛】本题考查根据函数在一段区间内的单调性求解参数范围问题,涉及到正弦型函数值域的求解问题;本题解题关键是能够将问题转化为导函数在区间内恒大于等于零的问题,从而利用三角函数的最值来求得结果.16.已知函数()f x 是定义在R 上的偶函数,且在()0,∞+上单调递增,则( ) A .()()()0.633log 132f f f -<-<B .()()()0.6332log 13f f f -<<-C .()()()0.632log 133f f f <-<- D .()()()0.6323log 13f f f <-<【答案】C 【解析】 【分析】利用指数函数和对数函数单调性可得到0.632log 133<<,结合单调性和偶函数的性质可得大小关系. 【详解】()f x Q 为R 上的偶函数,()()33f f ∴-=,()()33log 13log 13f f -=,0.633322log 9log 13log 273<=<<=Q 且()f x 在()0,∞+上单调递增,()()()0.632log 133f f f ∴<<,()()()0.632log 133f f f ∴<-<-.故选:C . 【点睛】本题考查函数值大小关系的比较,关键是能够利用奇偶性将自变量转化到同一单调区间内,由自变量的大小关系,利用函数单调性即可得到函数值的大小关系.17.设函数()xf x x e =⋅,则( )A .()f x 有极大值1eB .()f x 有极小值1e-C .()f x 有极大值eD .()f x 有极小值e -【答案】B 【解析】 【分析】利用导数求出函数()y f x =的极值点,分析导数符号的变化,即可得出结论. 【详解】()x f x x e =⋅Q ,定义域为R ,()()1x f x x e '∴=+,令()0f x '=,可得1x =-.当1x <-时,()0f x '<;当1x >-时,()0f x '>. 所以,函数()xf x x e =⋅在1x =-处取得极小值()11f e-=-, 故选:B.本题考查利用导数求函数的极值,在求出极值点后,还应分析出导数符号的变化,考查计算能力,属于中等题.18.若函数()f x 的定义域为R ,其导函数为()f x '.若()3f x '<恒成立,()20f -=,则()36f x x <+ 解集为( )A .(),2-∞-B .()2,2-C .(),2-∞D .()2,-+∞【答案】D【解析】【分析】设()()36g x f x x =--,求导后可得()g x 在R 上单调递减,再结合()20g -=即可得解.【详解】设()()36g x f x x =--, Q ()3f x '<,∴()()30g x f x ''=-<,∴()g x 在R 上单调递减,又()()22660g f -=-+-=,不等式()36f x x <+即()0g x <,∴2x >-,∴不等式()36f x x <+的解集为()2,-+∞.故选:D.【点睛】本题考查了导数的应用,关键是由题意构造出新函数,属于中档题.19.函数2ln x xy x =的图象大致是( )A .B .C .D .【答案】D【分析】根据函数为偶函数排除B ,当0x >时,利用导数得()f x 在1(0,)e 上递减,在1(,)e+∞上递增,根据单调性分析,A C 不正确,故只能选D .【详解】 令2ln ||()||x x f x x =,则2()ln ||()()||x x f x f x x ---==-, 所以函数()f x 为偶函数,其图像关于y 轴对称,故B 不正确,当0x >时,2ln ()ln x x f x x x x==,()1ln f x x '=+, 由()0f x '>,得1x e >,由()0f x '<,得10x e<<, 所以()f x 在1(0,)e上递减,在1(,)e +∞上递增,结合图像分析,,A C 不正确.故选:D【点睛】 本题考查了利用函数的奇偶性判断函数的图象,考查了利用导数研究函数的单调性,利用单调性判断函数的图象,属于中档题.20.科赫曲线是一种外形像雪花的几何曲线,一段科赫曲线可以通过下列操作步骤构造得到,任画一条线段,然后把它均分成三等分,以中间一段为边向外作正三角形,并把中间一段去掉,这样,原来的一条线段就变成了4条小线段构成的折线,称为“一次构造”;用同样的方法把每条小线段重复上述步骤,得到16条更小的线段构成的折线,称为“二次构造”,…,如此进行“n 次构造”,就可以得到一条科赫曲线.若要在构造过程中使得到的折线的长度达到初始线段的1000倍,则至少需要通过构造的次数是( ).(取lg30.4771≈,lg 20.3010≈)A .16B .17C .24D .25 【答案】D【解析】【分析】由折线长度变化规律可知“n 次构造”后的折线长度为43n a ⎛⎫ ⎪⎝⎭,由此得到410003n ⎛⎫≥ ⎪⎝⎭,利用运算法则可知32lg 2lg 3n ≥⨯-,由此计算得到结果. 【详解】 记初始线段长度为a ,则“一次构造”后的折线长度为43a ,“二次构造”后的折线长度为243a ⎛⎫ ⎪⎝⎭,以此类推,“n 次构造”后的折线长度为43n a ⎛⎫ ⎪⎝⎭, 若得到的折线长度为初始线段长度的1000倍,则410003n a a ⎛⎫≥ ⎪⎝⎭,即410003n⎛⎫≥ ⎪⎝⎭, ()()44lg lg lg 4lg32lg 2lg3lg1000333nn n n ⎛⎫∴==-=-≥= ⎪⎝⎭, 即324.0220.30100.4771n ≥≈⨯-,∴至少需要25次构造. 故选:D .【点睛】 本题考查数列新定义运算的问题,涉及到对数运算法则的应用,关键是能够通过构造原则得到每次构造后所得折线长度成等比数列的特点.。
2020年高考数学导数压轴题考前押题20道1.已知函数()214ln 22x a x f x x =---,其中a 为正实数. (1)求函数()y f x =的单调区间;(2)若函数()y f x =有两个极值点1x ,2x ,求证:()()126ln f x f x a +<-. 2.已知函数2()2ln (0)f x x x a x a =-+>. (1)讨论()f x 的单调性;(2)若()f x 存在两个极值点1212,()x x x x <,证明:12()3ln 22f x x >--. 3.已知函数()ln xa xf x e a x=--(e 自然对数的底数)有两个零点. (1)求实数a 的取值范围;(2)若()f x 的两个零点分别为1x 2x ,证明:12212x x e x x e+>.4.己知函数21()ln ,2f x x ax x a R =-+∈ (1)若(1)0f =,求函数()f x 的单调递减区间;(2)若关于x 的不等式()1f x ax ≤-恒成立,求整数 a 的最小值:(3)若2a =-,正实数12,x x 满足1212()()0f x f x x x ++=,证明:1212x x +≥ 5.已知函数()1ln (2)(1),f x a x a a R x=+-+∈. (Ⅰ)试求函数()f x 的单调区间;(Ⅱ)若不等式()(ln )xf x a x e ≥-对任意的(0,)x ∈+∞恒成立,求实数a 的取值范围.6.已知函数2()ln (1)1(,).f x x ax a b x b a b R =-+--++∈ (1)若0a =,试讨论()f x 的单调性;(2)若对1[,]x e e∀∈,()0f x ≤恒成立,求实数a 的取值范围. 7.已知函数()()()22112ln 1ln 242f x x x ax x x =----. (1)讨论()f x 的单调性.(2)试问是否存在(],a e ∈-∞,使得()13sin 44a f x π>+对[)1,x ∈+∞恒成立?若存在,求a 的取值范围;若不存在,请说明理由. 8.已知函数()()ln 21g x x x =--.(1)若过点()0,1的直线l 与曲线()y g x =相切,求直线l 的斜率的值; (2)设()()()21f x g x a x =+-,若()()10x f x -≥,求实数a 的取值范围.9.已知函数2()(R)x f x e ax a =-∈.(1)若曲线()f x 与直线:(2)(R)l y e x b b =-+∈在1x =处相切. ①求a b +的值;②求证:当0x ≥时,()(2)f x e x b ≥-+;(2)当0a =且(0,)x ∈+∞时,关于的x 不等式2()2ln 1x f x mx x ≤++有解,求实数m 的取值范围.10.已知函数()ln f x x x a =-+. (1)求函数()f x 的最大值;(2)若函数()f x 存在两个零点()1212,x x x x <,证明:122ln ln 0x x +<. 11.已知函数()xax b f x e x+=,a ,b R ∈,且0a > (1)若函数()f x 在1x =-处取得极值1e,试求函数()f x 的解析式及单调区间; (2)设()(1)()x g x a x e f x =--,()g x '为()g x 的导函数,若存在0(1,)x ∈+∞,使00()()0g x g x +'=成立,求ba的取值范围. 12.设函数()ln 1f x x ax =--,a R ∈. (1)求函数()f x 的单调区间;(2)当0a >时,若函数()f x 没有零点,求a 的取值范围. 13.设()()2sin cos ,4f x x x x g x x =+=+.(1)讨论()f x 在[],ππ-上的单调性;(2)令()()()4h x g x f x =-,试证明()h x 在R 上有且仅有三个零点.14.已知函数()ln f x x =,()()1g x ax a R =-∈. (1)讨论函数()()()h x f x g x =-的单调性;(2)若函数()f x 与()g x 的图象有两个不同的交点()11,A x y ,()()2212,B x y x x <,求实数a 的取值范围.15.若函数3()4=-+f x ax bx ,当2x =时,函数()f x 有极值43-. (1)求函数的解析式; (2)求函数的极值;(3)若关于x 的方程()f x k =有三个零点,求实数k 的取值范围. 16.已知函数2()ln ()f x x x ax a R =-∈. (1)讨论函数的极值点个数;(2)若()()g x f x x =-有两个极值点12,x x ,试判断12x x +与12x x ⋅的大小关系并证明. 17.已知函数()()ln f x x ax a R =+∈,()2e x g x x x =+-. (1)求 函数()f x 的单调区间;(2)定义:对于函数()f x ,若存在0x ,使()00f x x =成立,则称0x 为函数()f x 的不动点. 如果函数()()()F x f x g x =-存在两个不同的不动点,求实数a 的取值范围. 18.已知函数()(,)ax b f x e a b R +=∈的图象与直线:1l y x =+相切,()f x '是()f x 的导函数,且(1)e f ¢=. (1)求()f x ;(2)函数()g x 的图象与曲线()()y kf x k R =∈关于y 轴对称,若直线l 与函数()g x 的图象有两个不同的交点()()()()1122,,,A x g x B x g x ,求证:124x x +<-.19.已知函数()ln f x x x =,2()2g x x ax =-+-(e 为自然对数的底数,a R ∈). (1)判断曲线()y f x =在点(1,(1))f 处的切线与曲线()y g x =的公共点个数; (2)当1,x e e⎡⎤∈⎢⎥⎣⎦时,若函数()()y f x g x =-有两个零点,求a 的取值范围.。
《函数与导数》考试知识点一、选择题1.函数()2log ,0,2,0,x x x f x x ⎧>=⎨≤⎩则函数()()()2384g x f x f x =-+的零点个数是( )A .5B .4C .3D .6【答案】A 【解析】 【分析】通过对()g x 式子的分析,把求零点个数转化成求方程的根,结合图象,数形结合得到根的个数,即可得到零点个数. 【详解】 函数()()()2384g x f x f x =-+=()()322f x f x --⎡⎤⎡⎤⎣⎦⎣⎦的零点即方程()23f x =和()2f x =的根, 函数()2log ,0,2,0xx x f x x ⎧>=⎨≤⎩的图象如图所示:由图可得方程()23f x =和()2f x =共有5个根, 即函数()()()2384g x f x f x =-+有5个零点,故选:A. 【点睛】本题考查函数的零点与方程的根的个数的关系,注意结合图象,利用数形结合求得结果时作图很关键,要标准.2.已知全集U =R ,函数()ln 1y x =-的定义域为M ,集合{}2|0?N x x x =-<,则下列结论正确的是 A .M N N =I B .()U M N =∅I ð C .M N U =U D .()U M N ⊆ð【答案】A【解析】 【分析】求函数定义域得集合M ,N 后,再判断. 【详解】由题意{|1}M x x =<,{|01}N x x =<<,∴M N N =I . 故选A . 【点睛】本题考查集合的运算,解题关键是确定集合中的元素.确定集合的元素时要注意代表元形式,集合是函数的定义域,还是函数的值域,是不等式的解集还是曲线上的点集,都由代表元决定.3.三个数0.20.40.44,3,log 0.5的大小顺序是 ( ) A .0.40.20.43<4log 0.5<B .0.40.20.43<log 0.5<4C .0.40.20.4log 0.534<<D .0.20.40.4log 0.543<<【答案】D 【解析】由题意得,120.20.4550.40log0.514433<<<==== D.4.函数f (x )=x ﹣g (x )的图象在点x =2处的切线方程是y =﹣x ﹣1,则g (2)+g '(2)=( ) A .7 B .4C .0D .﹣4【答案】A 【解析】()()()(),'1'f x x g x f x g x =-∴=-Q ,因为函数()()f x x g x =-的图像在点2x =处的切线方程是1y x =--,所以()()23,'21f f =-=-,()()()()2'2221'27g g f f ∴+=-+-=,故选A .5.已知()ln xf x x=,则下列结论中错误的是( ) A .()f x 在()0,e 上单调递增 B .()()24f f = C .当01a b <<<时,b a a b < D .20192020log 20202019>【答案】D 【解析】 【分析】根据21ln (),(0,)xf x x x-'=∈+∞,可得()f x 在()0,e 上单调递增,在(),e +∞上单调递减,进而判断得出结论. 【详解】21ln (),(0,)xf x x x -'=∈+∞Q ∴对于选项A ,可得()f x 在()0,e 上单调递增,在(),e +∞上单调递减,故A 正确;对于选项B ,()2ln 4ln 2ln 24(2)442f f ====,故B 正确;对于选项C ,由选项A 知()f x 在()0,1上也是单调递增的,01a b <<<Q ,ln ln a ba b∴<,可得b a a b <,故选项C 正确; 对于选项D ,由选项A 知()f x 在(),e +∞上单调递减,(2019)(2020)f f ∴>,即ln 2019ln 202022019020>⇒20192020ln 2020log 2020ln 02019219>=, 故选项D 不正确. 故选:D 【点睛】本题考查导数与函数单调性、极值与最值的应用及方程与不等式的解法,考查了理解辨析能力与运算求解能力,属于中档题.6.已知函数()()1110x x e f x x e++-=<与()()1ln x xg x e x ae =+-的图象上存在关于y 轴对称的点,则实数a 的取值范围是( ) A .1,1e ⎛⎫-∞+ ⎪⎝⎭B .1,e ⎛⎫-+∞ ⎪⎝⎭C .1,1e ⎛⎫-∞- ⎪⎝⎭D .11,e ⎛⎫-+∞ ⎪⎝⎭【答案】D 【解析】 【分析】先求得()f x 关于y 轴对称的函数()h x ,则()()h x g x =,整理可得()11ln 1e ex x a ++-=在()0,∞+上有解,设()()11ln 1e ex x x ϕ=++-,可转化问题为()y x ϕ=与y a =的图象在()0,∞+上有交点,再利用导函数求得()x ϕ的范围,进而求解.【详解】由()f x 关于y 轴对称的函数为()()()1111ee 10ex x x h x f x x -+--+-=-==->,令()()h x g x =,得()1e 1e ln 1e x x x x a --=+-()0x >,则方程()1e 1e ln 1e x x x x a --=+-在()0,∞+上有解,即方程()11ln 1e e x x a ++-=在()0,∞+上有解, 设()()11ln 1e ex x x ϕ=++-, 即可转化为()y x ϕ=与y a =的图象在()0,∞+上有交点,()()11e 1e 1e 1x x x x x x x ϕ--=-+='++Q ,令()=e 1xm x x --,则()=e 10xm x '->在()0,∞+上恒成立,所以()=e 1xm x x --在()0,∞+上为增函数,∴()()00m x m >=,即()0x ϕ'>Q 在()0,∞+上恒成立, ∴()x ϕ在()0,∞+上为增函数,当0x >时,则()()101x eϕϕ>=-, 所以11ea >-, 故选:D 【点睛】本题考查利用导函数判断函数单调性,考查利用导函数处理函数的零点问题,考查转化思想.7.已知函数()f x 是定义在R 上的偶函数,当0x ≥时,2()4f x x x =-,则不等式(2)5f x +<的解集为( )A .(3,7)-B .()4,5-C .(7,3)-D .()2,6-【答案】C 【解析】 【分析】首先求出当0x ≥时不等式的解集,在根据偶函数的对称性求出当0x <时不等式的解集,从而求出()5f x <的解集,则525x -<+<,即可得解. 【详解】当0x ≥时,2()45f x x x =-<的解为05x <≤;当0x <时,根据偶函数图像的对称性知不等式()5f x <的解为5x 0-<<, 所以不等式()5f x <的解集为{}55x x -<<,所以不等式(2)5f x +<的解集为{}{}52573x x x x -<+<=-<<.故选:C 【点睛】本题考查偶函数的性质,涉及一元二次不等式,属于基础题.8.已知函数f (x )(x ∈R )满足f (x )=f (2−x ),若函数 y=|x 2−2x−3|与y=f (x )图像的交点为(x 1,y 1),(x 2,y 2),…,(x m ,y m ),则1=mi i x =∑A .0B .mC .2mD .4m【答案】B 【解析】试题分析:因为2(),23y f x y x x ==--的图像都关于1x =对称,所以它们图像的交点也关于1x =对称,当m 为偶数时,其和为22mm ⨯=;当m 为奇数时,其和为1212m m -⨯+=,因此选B. 【考点】 函数图像的对称性 【名师点睛】如果函数()f x ,x D ∀∈,满足x D ∀∈,恒有()()f a x f b x +=-,那么函数的图象有对称轴2a bx +=;如果函数()f x ,x D ∀∈,满足x D ∀∈,恒有()()f a x f b x -=-+,那么函数()f x 的图象有对称中心(,0)2a b+.9.已知函数()0,1ln ,1x f x x x <⎧=⎨≥⎩,若不等式()≤-f x x k 对任意的x ∈R 恒成立,则实数k 的取值范围是( ) A .(],1-∞ B .[)1,+∞C .[)0,1D .(]1,0-【答案】A 【解析】 【分析】先求出函数()f x 在(1,0)处的切线方程,在同一直角坐标系内画出函数()0,1ln ,1x f x x x <⎧=⎨≥⎩和()g x x k =-的图象,利用数形结合进行求解即可.【详解】当1x ≥时,()''1ln ,()(1)1f x x f x f x=⇒=⇒=,所以函数()f x 在(1,0)处的切线方程为:1y x =-,令()g x x k =-,它与横轴的交点坐标为(,0)k .在同一直角坐标系内画出函数()0,1ln ,1x f x x x <⎧=⎨≥⎩和()g x x k =-的图象如下图的所示:利用数形结合思想可知:不等式()≤-f x x k 对任意的x ∈R 恒成立,则实数k 的取值范围是1k ≤. 故选:A 【点睛】本题考查了利用数形结合思想解决不等式恒成立问题,考查了导数的应用,属于中档题.10.函数()||()af x x a R x=-∈的图象不可能是( ) A . B .C .D .【答案】C 【解析】 【分析】变成分段函数后分段求导,通过对a 分类讨论,得到函数的单调性,根据单调性结合四个选项可得答案.【详解】,0(),0a x x xf x a x x x ⎧->⎪⎪=⎨⎪--<⎪⎩,∴221,0()1,0a x x f x a x x ⎧+>⎪⎪=⎨⎪-+<⎩'⎪.(1)当0a =时,,0(),0x x f x x x >⎧=⎨-<⎩,图象为A; (2)当0a >时,210ax+>,∴()f x 在(0,)+∞上单调递增,令210ax-+=得x =∴当x <,210ax -+<,当0x <<时,210ax-+>,∴()f x在(,-∞上单调递减,在(上单调递增,图象为D; (3)当0a <时,210ax-+<,∴()f x 在(,0)-∞上单调递减, 令210ax+=得x =∴当x >时,210ax +>,当0x <<,210ax+<,∴()f x在上单调递减,在)+∞上单调递增,图象为B; 故选:C. 【点睛】本题考查了分段函数的图像的识别,考查了分类讨论思想,考查了利用导数研究函数的单调性,属于中档题.11.()263,034,0x x x x f x x ⎧---≤=⎨->⎩,则函数()y f f x =⎡⎤⎣⎦的零点个数为( )A .3B .5C .6D .7 【答案】D 【解析】 【分析】作出()f x 的图像,将()y f f x =⎡⎤⎣⎦的零点个数即()0f f x =⎡⎤⎣⎦的实数根个数,令()t f x =,解()0f t =有三个实数根,再结合图像即可得到答案.【详解】由题意,()y f f x =⎡⎤⎣⎦的零点个数即()0f f x =⎡⎤⎣⎦的实数根个数, 作()f x 的图像如图所示,设()t f x =,则()0f t =,当0t ≤时,即2630t t ---=,解得,1236,36t t =-=- 当0t >时,即340t -=,解得33log 4t =; 结合图像知,()36f x =-()36f x =-+3()log 4f x =时有三个根,所以()0f f x =⎡⎤⎣⎦有7个根,即()y f f x =⎡⎤⎣⎦的零点个数为7. 故选:D 【点睛】本题主要考查函数的零点问题、解函数值以及一元二次函数和指数函数的图像,考查学生数形结合的思想,属于中档题.12.已知ln 3ln 4ln ,,34a b e c e===(e是自然对数的底数),则,,a b c 的大小关系是( ) A .c a b << B .a c b <<C .b a c <<D .c b a <<【答案】C 【解析】 【分析】 根据ln 3ln 4ln ,,34a b e c e===的结构特点,令()ln x f x x =,求导()21ln xf x x-'=,可得()f x 在()0,e 上递增,在(),+e ∞上递减,再利用单调性求解. 【详解】 令()ln xf x x=, 所以()21ln xf x x-'=, 当0x e <<时, ()0f x '>,当x e >时,()0f x '<, 所以()f x 在()0,e 上递增,在(),+e ∞上递减. 因为34e <<,所以 ()()()34>>f e f f , 即b a c <<. 故选:C 【点睛】本题主要考查导数与函数的单调性比较大小,还考查了推理论证的能力,属于中档题.13.已知定义在R 上的奇函数()y f x =满足()()80f x f x ++=,且()55f =,则()()20192024f f +=( )A .-5B .5C .0D .4043【答案】B 【解析】 【分析】根据(8)()0f x f x ++=得函数的周期为16,结合()55f =,(0)0f =即可求解. 【详解】由(8)()0f x f x ++=,得(8)()f x f x +=-,所以(16)(8)()f x f x f x +=-+=.故函数()y f x =是以16为周期的周期函数. 又在(8)()0f x f x ++=中,令0x =,得(8)(0)0f f +=, 且奇函数()y f x =是定义在R 上的函数,所以(0)0f =.故(8)0f =.故(2024)(161268)(8)0f f f =⨯+==. 又在(8)()0f x f x ++=中,令3x =-,得(5)(3)0f f +-=.得(5)(3)(3)5f f f =--==,则(2019)(161263)(3)5f f f =⨯+==. 所以(2019)(2024)5f f +=. 故选:B. 【点睛】此题考查根据函数的周期性求抽象函数的函数值,关键在于根据函数关系准确得出函数周期,结合定义在R 上的奇函数的特征求值.14.函数()3ln 2xf x x x=+的图象在点()()1,1f 处的切线方程为( ) A .64y x =- B .75y x =- C .63=-y x D .74y x =-【答案】B 【解析】 【分析】首先求得切线的斜率,然后求解切线方程即可. 【详解】由函数的解析式可得:()221ln '6x f x x x-=+, 则所求切线的斜率()221ln1'16171k f -==+⨯=, 且:()012121f =+⨯=,即切点坐标为()1,2, 由点斜式方程可得切线方程为:()271y x -=-,即75y x =-. 本题选择B 选项. 【点睛】导数运算及切线的理解应注意的问题一是利用公式求导时要特别注意除法公式中分子的符号,防止与乘法公式混淆. 二是直线与曲线公共点的个数不是切线的本质,直线与曲线只有一个公共点,直线不一定是曲线的切线,同样,直线是曲线的切线,则直线与曲线可能有两个或两个以上的公共点.三是复合函数求导的关键是分清函数的结构形式.由外向内逐层求导,其导数为两层导数之积.15.已知函数()2943,02log 9,0x x x f x x x ⎧+≤=⎨+->⎩,则函数()()y f f x =的零点所在区间为( )A .73,2⎛⎫ ⎪⎝⎭B .()1,0-C .7,42⎛⎫ ⎪⎝⎭D .()4,5【答案】A 【解析】 【分析】首先求得0x ≤时,()f x 的取值范围.然后求得0x >时,()f x 的单调性和零点,令()()0f f x =,根据“0x ≤时,()f x 的取值范围”得到()32log 93x f x x =+-=,利用零点存在性定理,求得函数()()y ff x =的零点所在区间.【详解】当0x ≤时,()34f x <≤.当0x ≥时,()2932log 92log 9x xx f x x =+-=+-为增函数,且()30f =,则3x =是()f x 唯一零点.由于“当0x ≤时,()34f x <≤.”,所以令()()0f f x =,得()32log 93x f x x =+-=,因为()303f =<,3377log 98 1.414log 39 3.312322f ⎛⎫=->⨯+-=> ⎪⎝⎭, 所以函数()()y ff x =的零点所在区间为73,2⎛⎫ ⎪⎝⎭. 故选:A【点睛】本小题主要考查分段函数的性质,考查符合函数零点,考查零点存在性定理,考查函数的单调性,考查化归与转化的数学思想方法,属于中档题.16.已知函数()f x 的导函数为()f x ',在()0,∞+上满足()()xf x f x '>,则下列一定成立的是( )A .()()2019202020202019f f >B .()()20192020f f >C .()()2019202020202019f f <D .()()20192020f f < 【答案】A【解析】【分析】构造函数()()f x g x x=,利用导数判断函数()y g x =在()0,∞+上的单调性,可得出()2019g 和()2020g 的大小关系,由此可得出结论.【详解】令()()()0f x g x x x =>,则()()()2xf x f x g x x'-'=. 由已知得,当0x >时,()0g x '>.故函数()y g x =在()0,∞+上是增函数,所以()()20202019g g >,即()()2020201920202019f f >,所以()()2019202020202019f f >. 故选:A.【点睛】 本题考查利用构造函数法得出不等式的大小关系,根据导数不等式的结构构造新函数是解答的关键,考查推理能力,属于中等题.17.已知函数()2f x x mx =+图象在点()()1,1A f 处的切线l 与直线320x y ++=垂直,若数列()1f n ⎧⎫⎪⎪⎨⎬⎪⎪⎩⎭的前n 项和为n S ,则2018S 的值为( ) A .20152016B .20162017C .20172018D .20182019【答案】D【解析】【分析】 求出原函数的导函数,得到()y f x =在1x =时的导数值,进一步求得m ,可得函数解析式,然后利用裂项相消法可计算出2018S 的值.【详解】由()2f x x mx =+,得()2f x x m '=+,()12f m '∴=+, 因为函数()2f x x mx =+图象在点()()1,1A f 处的切线l 与直线320x y ++=垂直, ()123f m '∴=+=,解得1m =,()2f x x x ∴=+,则()()21111111f n n n n n n n ===-+++. 因此,20181111112018112232018201920192019S =-+-++-=-=L . 故选:D.【点睛】本题考查利用导数研究过曲线上某点处的切线方程,训练了利用裂项相消法求数列的前n 项和,是中档题.18.已知函数f (x )=2x -1,()2cos 2,0?2,0a x x g x x a x +≥⎧=⎨+<⎩(a ∈R ),若对任意x 1∈[1,+∞),总存在x 2∈R ,使f (x 1)=g (x 2),则实数a 的取值范围是() A .1,2⎛⎫-∞ ⎪⎝⎭ B .2,3⎛⎫+∞ ⎪⎝⎭ C .[]1,1,22⎛⎫-∞ ⎪⎝⎭U D .371,,224⎡⎤⎡⎤⎢⎥⎢⎥⎣⎦⎣⎦U 【答案】C【解析】【分析】对a 分a=0,a <0和a >0讨论,a >0时分两种情况讨论,比较两个函数的值域的关系,即得实数a 的取值范围.【详解】当a =0时,函数f (x )=2x -1的值域为[1,+∞),函数()g x 的值域为[0,++∞),满足题意.当a <0时,y =22(0)x a x +<的值域为(2a ,+∞), y =()cos 20a x x +≥的值域为[a +2,-a +2], 因为a +2-2a =2-a >0,所以a +2>2a ,所以此时函数g (x )的值域为(2a ,+∞),由题得2a <1,即a <12,即a <0. 当a >0时,y =22(0)x a x +<的值域为(2a ,+∞),y =()cos 20a x x +≥的值域为[-a +2,a +2],当a ≥23时,-a +2≤2a ,由题得21,1222a a a a-+≤⎧∴≤≤⎨+≥⎩. 当0<a <23时,-a +2>2a ,由题得2a <1,所以a <12.所以0<a <12. 综合得a 的范围为a <12或1≤a ≤2, 故选C .【点睛】本题主要考查函数的图象和性质,考查指数函数和三角函数的图象和性质,意在考查学生对这些知识的理解掌握水平和分析推理能力.19.对于任意性和存在性问题的处理,遵循以下规则:20.设123log 2,ln 2,5a b c -===则A .a b c <<B .b c a <<C .c a b <<D .c b a << 【答案】C【解析】【分析】由ln 2ln 2ln 3a b =<=及311log ,22a c >==<=可比较大小. 【详解】∵2031a ln ln =>,>,∴ln 2ln 2ln 3a b =<=,即a b <.又3311log 2log ,22a c =>==<=.∴a c >.综上可知:c a b << 故选C.【点睛】本题主要考查了指数与对数的运算性质及对数函数的单调性比较大小,属于中档题.。
压轴题04函数与导数常见经典压轴大题函数与导数是高中数学的重要考查内容,同时也是高等数学的基础,其试题的难度呈逐年上升趋势,通过对近十年的高考数学试题,分析并归纳出五大考点:(1)含参函数的单调性、极值与最值;(2)函数的零点问题;(3)不等式恒成立与存在性问题;(4)函数不等式的证明.(5)导数中含三角函数形式的问题其中,对于函数不等式证明中极值点偏移、隐零点问题、含三角函数形式的问题探究和不等式的放缩应用这四类问题是目前高考函数与导数压轴题的热点.考向一:导数与数列不等式的综合问题考向二:双变量问题考向三:证明不等式考向四:零点问题考向五:不等式恒成立问题考向六:极值点偏移问题与拐点偏移问题考向七:导数中的同构问题考向八:导数与三角函数结合问题1、对称变换主要用来解决与两个极值点之和、积相关的不等式的证明问题.其解题要点如下:(1)定函数(极值点为0x ),即利用导函数符号的变化判断函数单调性,进而确定函数的极值点0x .(2)构造函数,即根据极值点构造对称函数0()()(2)F x f x f x x =--,若证2120x x x >,则令02()()()x F x f x f x=-.(3)判断单调性,即利用导数讨论()F x 的单调性.(4)比较大小,即判断函数()F x 在某段区间上的正负,并得出()f x 与0(2)f x x -的大小关系.(5)转化,即利用函数()f x 的单调性,将()f x 与0(2)f x x -的大小关系转化为x 与02x x -之间的关系,进而得到所证或所求.【注意】若要证明122x x f +⎛⎫' ⎪⎝⎭的符号问题,还需进一步讨论122x x +与x 0的大小,得出122x x +所在的单调区间,从而得出该处导数值的正负.构造差函数是解决极值点偏移的一种有效方法,函数的单调性是函数的重要性质之一,它的应用贯穿于整个高中数学的教学之中.某些数学问题从表面上看似乎与函数的单调性无关,但如果我们能挖掘其内在联系,抓住其本质,那么运用函数的单调性解题,能起到化难为易、化繁为简的作用.因此对函数的单调性进行全面、准确的认识,并掌握好使用的技巧和方法,这是非常必要的.根据题目的特点,构造一个适当的函数,利用它的单调性进行解题,是一种常用技巧.许多问题,如果运用这种思想去解决,往往能获得简洁明快的思路,有着非凡的功效2121212ln ln 2x x x x x x -+<-证明极值点偏移:①由题中等式中产生对数;②将所得含对数的等式进行变形得到1212ln ln x x x x --;③利用对数平均不等式来证明相应的问题.3、比值代换是一种将双变量问题化为单变量问题的有效途径,然后构造函数利用函数的单调性证明题中的不等式即可.1.(2023·全国·校联考二模)已知函数()()2ln R 2a f x x x x x a a =--+∈,()f x '为()f x 的导函数.(1)当12a =时,若()()g x f x ='在[[],1(0)t t t +>上的最大值为()h t ,求()h t ;(2)已知12,x x 是函数f (x )的两个极值点,且12x x <,若不等式112e mmx x +<恒成立,求正数m的取值范围.2.(2023·河南·校联考二模)已知函数()22ln f x x x x =+.(1)求()f x 的极值;(2)若不等式()2e x f x x m x≥+在1,e ∞⎡⎫+⎪⎢⎣⎭上恒成立,求实数m 的取值范围.3.(2023·全国·模拟预测)已知函数()21ln (0)2f x x x x a a=-+>.(1)若1a =,求函数()f x 在点()()1,1f 处的切线方程;(2)若函数()21ln (0)2f x x x x a a=-+>在其定义域上有唯一零点,求实数a 的值.4.(2023·广西柳州·柳州高级中学校联考模拟预测)已知函数()ln eaf x x x =-(其中a ∈R ,e 为自然对数的底数).(1)若函数()f x 存在极大值,且极大值不小于1,求a 的取值范围;(2)当e a =时,证明()121e 2102x x f x x -⎛⎫+-++< ⎪⎝⎭.5.(2023·湖北·校联考模拟预测)已知函数2sin ()π,[0,π]ex xf x x x x =-+∈.(1)求()f x 在(0,(0))f 处的切线方程;(2)若()f x m =存在两个非负零点12,x x ,求证:212ππ1mx x -≤-+.6.(2023·上海静安·统考二模)已知函数()()211ln 2f x x a x a x =-++.(其中a 为常数)(1)若2a =-,求曲线()y f x =在点(2,(2))f 处的切线方程;(2)当a<0时,求函数()y f x =的最小值;(3)当01a ≤<时,试讨论函数()y f x =的零点个数,并说明理由.7.(2023·河北沧州·统考模拟预测)已知函数()()ln 1f x x ax a =--∈R .(1)若函数()y f x =在区间[)1,+∞上单调递减,求实数a 的取值范围;(2)若方程()20f x +=有两个实根1x ,2x ,且212x x >,求证:212332e x x >.参考数据:ln 20.693≈,ln 3 1.099≈.8.(2023·广东湛江·统考一模)已知函数()e cos 2xf x x =+-.(1)证明:函数()f x 只有一个零点;(2)在区间()0,∞+上函数()sin f x ax x >-恒成立,求a 的取值范围.9.(2023·重庆九龙坡·统考二模)已知函数()ln ax ax f x x=+-,函数()2ln 2e 2e 12xx x a g x a x x-=+-+.(1)当0a >时,求()f x 的单调区间;(2)已知12a ≥,1e 2x x>,求证:()0g x <;(3)已知n 为正整数,求证:11111ln 212212n n n n n+++⋅⋅⋅+>++-.10.(2023·广东梅州·统考二模)已知函数()1e ln -=-xf x a x ,其中R a ∈.(1)当1a =时,讨论()f x 的单调性;(2)当[]0,πx ∈时,()21cos 1f x x +-≥恒成立,求实数a 的取值范围.11.(2023·上海松江·统考二模)已知0x >,记()e xf x =,()xg x x =,()ln ()h x g x =.(1)试将()y f x =、()y g x =、()y h x =中的一个函数表示为另外两个函数复合而成的复合函数;(2)借助(1)的结果,求函数()2y g x =的导函数和最小值;(3)记()()()f x h x H x x a x-=++,a 是实常数,函数()y H x =的导函数是()y H x '='.已知函数()()y H x H x =⋅'有三个不相同的零点123x x x 、、.求证:1231x x x ⋅⋅<.12.(2023·浙江宁波·统考二模)已知函数2()ln f x x ax =-.(1)讨论函数()f x 的单调性:(2)若12,x x 是方程()0f x =的两不等实根,求证:(i )22122e x x +>;(ii )12x x >13.(2023·河北保定·统考一模)已知函数()()sin ln 1f x x a x =-+.(1)当1a =时,证明:当[]0,1x ∈时,()0f x ≥;(2)当[]0,πx ∈时,()2e 2xf x ≤-恒成立,求a 的取值范围.14.(2023·浙江金华·模拟预测)已知函数()()sin ln 1,R f x a x x a =-+∈.(1)若对(1,0]x ∀∈-时,()0f x ≥,求正实数a 的最大值;(2)证明:221sinln 2ni i =<∑;(3)若函数()()1e sin x g x f x a x +=+-的最小值为m ,证明:方程()1eln 10x mx +--+=有唯一的实数根,(其中e 2.71828= 是自然对数的底数)15.(2023·青海西宁·统考二模)已知()()e ln R xf x a x a =-∈.(1)若()f x 在[)1,+∞上单调递增,求a 的取值范围,(2)证明:当21e a ≥时,()0f x >.16.(2023·江西·统考模拟预测)已知函数()ln af x x x=+的图象在1x =处的切线方程为y b =.(1)求a ,b 的值及()f x 的单调区间.(2)已知()()2e e x x xf x mxF x x x-+=-,是否存在实数m ,使得曲线()y F x =恒在直线1y x =+的上方?若存在,求出实数m 的值;若不存在,请说明理由.17.(2023·山东德州·统考一模)已知1()sin (1)1f x a x x x x =-+>-+,且0为()f x 的一个极值点.(1)求实数a 的值;(2)证明:①函数()f x 在区间(1,)-+∞上存在唯一零点;②22111sin 121nk n k=-<<+∑,其中*N n ∈且2n ≥.18.(2023·江西吉安·统考一模)已知函数()()ln ,e e x xf x xg x -=-=-.(1)若[]()()0,1,x g x f a ∃∈>成立,求实数a 的取值范围;(2)证明:()()πcos 2e x h x f x =+有且只有一个零点0x,且20π1e cos e 2e x g -⎛⎫<< ⎝⎭19.(2023·河南·郑州一中校联考模拟预测)已知函数()1ln m f x m x x x+=++.(1)求函数()f x 的单调区间;(2)当1m =时,证明:()23e x xf x x <+.20.(2023·陕西渭南·统考二模)已知函数()()1ln e ,xxf xg x m x+==-.()m ∈R (1)证明:()1f x x ≥+;(2)若()()f x g x ≥,求实数m 的取值范围;(3)证明:11e e 1knk k =⎛⎫< ⎪-⎝⎭∑.()N n +∈21.(2023·全国·东北师大附中校联考模拟预测)已知函数()()ln 10f x x ax a =-->.(1)当1a =时,求过原点且与()f x 相切的直线方程;(2)若()()()e 0ax g x x f x a =+⋅>有两个不同的零点()1212,0x x x x <<,不等式212e mx x ⋅>恒成立,求实数m 的取值范围.22.(2023·青海·校联考模拟预测)已知函数()()21e xf x ax x =+-.(1)当12a =-时,讨论函数()f x 在()0,∞+上的单调性;(2)当0x >时,()1f x <,求实数a 的取值范围.23.(2023·天津·校联考一模)设函数()()()21e 2,R x f x x m x m =+++∈.(1)讨论()f x 的单调性;(2)若当[2,)x ∈-+∞时,不等式()()213e f x m x x -≥+-恒成立,求m 的取值范围.。
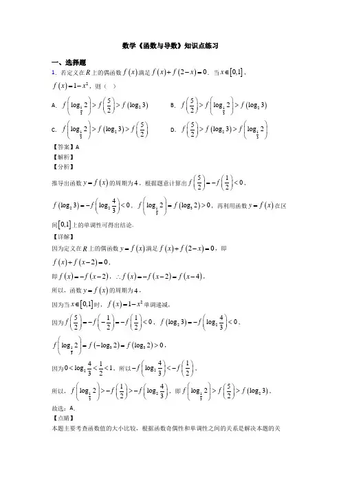
数学《函数与导数》知识点练习一、选择题1.若定义在R 上的偶函数()f x 满足()()20f x f x +-=.当[]0,1x ∈,()21f x x =-,则( )A .()1235log 2log 32f f f ⎛⎫⎛⎫>> ⎪⎪⎝⎭⎝⎭B .()1235log 2log 32f f f ⎛⎫⎛⎫>> ⎪⎪⎝⎭⎝⎭C .()1235log 2log 32f f f ⎛⎫⎛⎫>> ⎪ ⎪⎝⎭⎝⎭D .()2135log 3log 22f f f ⎛⎫⎛⎫>> ⎪ ⎪⎝⎭⎝⎭【答案】A 【解析】 【分析】推导出函数()y f x =的周期为4,根据题意计算出51022f f ⎛⎫⎛⎫=-<⎪ ⎪⎝⎭⎝⎭,()224log 3log 03f f ⎛⎫=-< ⎪⎝⎭,()133log 2log 20f f ⎛⎫=> ⎪⎝⎭,再利用函数()y f x =在区间[]0,1上的单调性可得出结论. 【详解】因为定义在R 上的偶函数()y f x =满足()()20f x f x +-=,即()()20f x f x +-=,即()()2f x f x =--,()()()24f x f x f x ∴=--=-, 所以,函数()y f x =的周期为4,因为当[]0,1x ∈时,()21f x x =-单调递减,因为5110222f f f ⎛⎫⎛⎫⎛⎫=--=-<⎪ ⎪ ⎪⎝⎭⎝⎭⎝⎭,()224log 3log 03f f ⎛⎫=-< ⎪⎝⎭, ()()1333log 2log 2log 20f f f ⎛⎫=-=> ⎪⎝⎭, 因为2410log 132<<<,所以241log 32f f ⎛⎫⎛⎫-<- ⎪ ⎪⎝⎭⎝⎭, 所以,12314log 2log 23f f f ⎛⎫⎛⎫⎛⎫>->- ⎪ ⎪ ⎪⎝⎭⎝⎭⎝⎭,即()1235log 2log 32f f f ⎛⎫⎛⎫>> ⎪ ⎪⎝⎭⎝⎭,故选:A . 【点睛】本题主要考查函数值的大小比较,根据函数奇偶性和单调性之间的关系是解决本题的关键,属于中等题.2.设()f x 为R 上的奇函数,满足(2)(2)f x f x -=+,且当02x ≤≤时,()x f x xe =,则(1)(2)(3)(100)f f f f ++++=L ( ) A .222e e + B .25050e e + C .2100100e e + D .222e e --【答案】A 【解析】 【分析】由()()22f x f x -=+可得对称轴,结合奇偶性可知()f x 周期为8;可将所求式子通过周期化为()()()()1234f f f f +++,结合解析式可求得函数值. 【详解】由()()22f x f x -=+得:()f x 关于2x =对称又()f x Q 为R 上的奇函数 ()f x ∴是以8为周期的周期函数()()()()()()()()()1281241240f f f f f f f f f ++⋅⋅⋅+=++⋅⋅⋅++-+-+⋅⋅⋅+-=Q 且()()()()2123422f f f f e e +++=+()()()()()()()()()()12100121281234f f f f f f f f f f ∴++⋅⋅⋅+=++⋅⋅⋅+++++⎡⎤⎡⎤⎣⎦⎣⎦222e e =+故选:A 【点睛】本题考查利用函数的奇偶性、对称性和周期性求解函数值的问题,关键是能够利用奇偶性和对称轴得到函数的周期,并求得基础区间内的函数值.3.已知3215()632f x x ax ax b =-++的两个极值点分别为()1212,x x x x ≠,且2132x x =,则函数12()()f x f x -=( ) A .1- B .16C .1D .与b 有关【答案】B 【解析】 【分析】求出函数的导数,利用韦达定理得到12,,a x x 满足的方程组,解方程组可以得到12,,a x x ,从而可求()()12f x f x -. 【详解】()2'56f x x ax a =-+,故125x x a +=,126x x a =,且225240a a ->,又2132x x =,所以122,3x a x a ==,故266a a =,解得0a =(舎)或者1a =. 此时122,3x x ==, ()3215632f x x x x b =-++, 故()()()()()1215182749623326f x f x -=⨯---+-= 故选B . 【点睛】如果()f x 在0x 处及附近可导且0x 的左右两侧导数的符号发生变化,则0x x =必为函数的极值点且()00f x =.极大值点、极小值点的判断方法如下:(1)在0x 的左侧附近,有()'0f x >,在0x 的右侧附近,有()'0f x <,则0x x =为函数的极大值点;(2)在0x 的左侧附近,有()'0f x <,在0x 的右侧附近()'0f x >,有,则0x x =为函数的极小值点.4.已知直线2y kx =-与曲线ln y x x =相切,则实数k 的值为( ) A .ln 2 B .1C .1ln2-D .1ln2+【答案】D 【解析】由ln y x x =得'ln 1y x =+,设切点为()00,x y ,则0ln 1k x =+,000002ln y kx y x x =-⎧⎨=⎩,0002ln kx x x ∴-=,002ln k x x ∴=+,对比0ln 1k x =+,02x ∴=,ln 21k ∴=+,故选D.5.已知定义在R 上的可导函数()f x ,对于任意实数x ,都有()()2f x f x x -+=成立,且当()0,x ∈+∞时,都有()'f x x >成立,若()()112f a f a a -≥+-,则实数a 的取值范围为( ) A .1,2⎛⎤-∞ ⎥⎝⎦B .1,2⎡⎫+∞⎪⎢⎣⎭C .(],2-∞D .[)2,+∞【答案】A 【解析】 【分析】构造函数21()()2g x f x x =-,可判断函数()g x 为奇函数且在R 上是增函数,由函数的性质可得a 的不等式,解不等式即可得答案.【详解】 令21()()2g x f x x =-,则()()g x f x x ''=-, ()0,x ∈+∞Q 时,都有()'f x x >成立,即有()0g x '>,∴在()0,∞+,()g x 单调递增,Q 定义在R 上的函数()f x ,对于任意实数x ,都有()()2f x f x x -+=成立,所以(0)0f =,2222111()()()()()222g x f x x x f x x x f x g x ⎡⎤∴-=--=--=-=-⎣⎦, ()g x ∴是定义在R 上的奇函数,又(0)(0)0g f == ∴在R 上()g x 单调递增.又()()112f a f a a -≥+-Q ()()()2211111222g a a g a a a ∴-+-≥++-, 即()()1112g a g a a a a -≥⇒-≥⇒≤. 因此实数a 的取值范围为1,2⎛⎤-∞ ⎥⎝⎦. 故选:A 【点睛】本题考查构造函数、奇函数的判断,及导数与单调性的应用,且已知条件构造出21()()2g x f x x =-是解决本题的关键,考查了理解辨析能力与运算求解能力,属于中档题.6.曲线21x y e -=+在点(0,2)处的切线与直线y 0=和y x =所围成图形的面积( ) A .1 B .13C .23D .12【答案】B 【解析】 【分析】利用导数的几何意义,求得曲线在点(0,2)处的切线方程,再求得三线的交点坐标,利用三角形的面积公式,即可求解,得到答案. 【详解】 由题意,曲线21xy e -=+,则22x y e -'=-,所以200|2|2x x x y e -=='=-=-,所以曲线21xy e-=+在点(0,2)处的切线方程为22(0)y x -=--,即220x y +-=,令0y =,解得1x =,令y x =,解得23x y ==, 所以切线与直线y 0=和y x =所围成图形的面积为1211233⨯⨯=,故选B .【点睛】本题主要考查了利用导数研究曲线在某点处的切线方程,以及两直线的位置关系的应用,着重考查了推理与运算能力,属于基础题.7.已知定义在R 上的函数()f x 满足(2)(2)f x f x +=-,且当2x >时,()()2()x f x f x f x ''⋅+>,若(1)1f =.则不等式1()2f x x <-的解集是( ) A .(2,3) B .(,1)-∞C .()(1,2)2,3⋃D .()(,1)3,-∞⋃+∞【答案】C 【解析】 【分析】令()|2|()F x x f x =-,当2x >时,则()(2)()F x x f x =-,利用导数可得当2x >时,()F x 单调递增,根据题意可得()F x 的图象关于2x =对称,不等式1()|2|f x x <-等价于|2|()1(2)x f x x -<≠,从而()(1)F x F <,利用对称性可得|2||12|x -<-,解不等式即可. 【详解】当2x >时,()()2()x f x f x f x ''⋅+>,∴(2)()()0x f x f x '-+>, 令()|2|()F x x f x =-.当2x >时,则()(2)()F x x f x =-,()(2)()()0F x x f x f x ''=-+>, 即当2x >时,()F x 单调递增. 函数()f x 满足(2)(2)f x f x +=-,所以(2)(2)F x F x +=-,即()F x 的图象关于2x =对称, 不等式1()|2|f x x <-等价于|2|()1(2)x f x x -<≠, (1)|12|(1)(1)1F f f =-==,即()(1)F x F <,所以|2||12|x -<-,解得13x <<且2x ≠,解集为(1,2)(2,3)U . 故选:C 【点睛】本题考查了导数在解不等式中的应用、函数的对称性的应用以及绝对值不等式的解法,属于中档题.8.已知函数()322f x x ax bx a =+++在1x =处取极值10,则a =( )A .4或3-B .4或11-C .4D .3-【答案】C 【解析】分析:根据函数的极值点和极值得到关于,a b 的方程组,解方程组并进行验证可得所求. 详解:∵322()f x x ax bx a =+++, ∴2()32f x x ax b '=++.由题意得2(1)320(1)110f a b f a b a =++=⎧⎨=+++='⎩, 即2239a b a b a +=-⎧⎨++=⎩,解得33a b =-⎧⎨=⎩或411a b =⎧⎨=-⎩. 当33a b =-⎧⎨=⎩时,22()3633(1)0f x x x x '=-+=-≥,故函数()f x 单调递增,无极值.不符合题意. ∴4a =. 故选C .点睛:(1)导函数的零点并不一定就是函数的极值点,所以在求出导函数的零点后一定要注意分析这个零点是不是函数的极值点.(2)对于可导函数f (x ),f ′(x 0)=0是函数f (x )在x =x 0处有极值的必要不充分条件,因此在根据函数的极值点或极值求得参数的值后需要进行验证,舍掉不符合题意的值.9.已知函数()2100ax x f x lnx x ⎧+≤=⎨⎩,,>,,下列关于函数()()0f f x m +=的零点个数的判断,正确的是( )A .当a =0,m ∈R 时,有且只有1个B .当a >0,m ≤﹣1时,都有3个C .当a <0,m <﹣1时,都有4个D .当a <0,﹣1<m <0时,都有4个 【答案】B 【解析】 【分析】分别画出0a =,0a >,0a <时,()y f x =的图象,结合()t f x =,()0f t m +=的解的情况,数形结合可得所求零点个数. 【详解】令()t f x =,则()0f t m +=,当0a =时, 若1m =-,则0t ≤或t e =,即01x <≤或e x e =,即当0a =,m R ∈时,不是有且只有1个零点,故A 错误;当0a >时,1m ≤-时,可得0t ≤或m t e e -=≥,可得x 的个数为123+=个,即B 正确;当0a <,1m <-或10m -<<时,由0m ->,且1m -≠,可得零点的个数为1个或3个,故C ,D 错误. 故选:B .【点睛】本题考查了函数零点的相关问题,考查了数形结合思想,属于中档题.10.已知函数()2943,02log 9,0x x x f x x x ⎧+≤=⎨+->⎩,则函数()()y f f x =的零点所在区间为( )A .73,2⎛⎫ ⎪⎝⎭B .()1,0-C .7,42⎛⎫ ⎪⎝⎭D .()4,5【答案】A 【解析】 【分析】首先求得0x ≤时,()f x 的取值范围.然后求得0x >时,()f x 的单调性和零点,令()()0f f x =,根据“0x ≤时,()f x 的取值范围”得到()32log 93x f x x =+-=,利用零点存在性定理,求得函数()()y f f x =的零点所在区间.【详解】当0x ≤时,()34f x <≤.当0x ≥时,()2932log 92log 9xxx f x x =+-=+-为增函数,且()30f =,则3x =是()f x 唯一零点.由于“当0x ≤时,()34f x <≤.”,所以 令()()0ff x =,得()32log 93xf x x =+-=,因为()303f =<,3377log 98 1.414log 39 3.312322f ⎛⎫=->⨯+-=> ⎪⎝⎭,所以函数()()y f f x =的零点所在区间为73,2⎛⎫⎪⎝⎭.故选:A 【点睛】本小题主要考查分段函数的性质,考查符合函数零点,考查零点存在性定理,考查函数的单调性,考查化归与转化的数学思想方法,属于中档题.11.若点1414(log 7,log 56)在函数()3f x kx =+的图象上,则()f x 的零点为( ) A .1 B .32C .2D .34【答案】B 【解析】 【分析】将点的坐标代入函数()y f x =的解析式,利用对数的运算性质得出k 的值,再解方程()0f x =可得出函数()y f x =的零点.【详解】141414141414log 56log 4log 1412log 212(1log 7)32log 7=+=+=+-=-Q ,2k ∴=-,()2 3.f x x =-+故()f x 的零点为32,故选B.【点睛】本题考查对数的运算性质以及函数零点的概念,解题的关键在于利用对数的运算性质求出参数的值,解题时要正确把握零点的概念,考查运算求解能力,属于中等题.12.已知函数()f x 的导函数为()f x '且满足()()21ln f x x f x '=⋅+,则1f e ⎛⎫'= ⎪⎝⎭( ) A .12e- B .2e - C .1-D .e【答案】B 【解析】 【分析】对函数求导得到导函数,代入1x =可求得()11f '=-,从而得到()f x ',代入1x e=求得结果. 【详解】由题意得:()()121f x f x''=+令1x =得:()()1211f f ''=+,解得:()11f '=-()12f x x '∴=-+12f e e ⎛⎫'∴=- ⎪⎝⎭本题正确选项:B 【点睛】本题考查导数值的求解,关键是能够通过赋值的方式求得()1f ',易错点是忽略()1f '为常数,导致求导错误.13.已知定义在R 上的奇函数()y f x =满足()()80f x f x ++=,且()55f =,则()()20192024f f +=( )A .-5B .5C .0D .4043【答案】B 【解析】 【分析】根据(8)()0f x f x ++=得函数的周期为16,结合()55f =,(0)0f =即可求解. 【详解】由(8)()0f x f x ++=,得(8)()f x f x +=-,所以(16)(8)()f x f x f x +=-+=.故函数()y f x =是以16为周期的周期函数. 又在(8)()0f x f x ++=中,令0x =,得(8)(0)0f f +=, 且奇函数()y f x =是定义在R 上的函数,所以(0)0f =.故(8)0f =.故(2024)(161268)(8)0f f f =⨯+==. 又在(8)()0f x f x ++=中,令3x =-,得(5)(3)0f f +-=.得(5)(3)(3)5f f f =--==,则(2019)(161263)(3)5f f f =⨯+==. 所以(2019)(2024)5f f +=. 故选:B. 【点睛】此题考查根据函数的周期性求抽象函数的函数值,关键在于根据函数关系准确得出函数周期,结合定义在R 上的奇函数的特征求值.14.已知定义在R 上的函数(f x ),其导函数为()f x ',若()()3f x f x '-<-,()04f =,则不等式()3x f x e >+的解集是( )A .(),1-∞B .(),0-∞C .()0,+∞D .()1,+∞【答案】B【解析】不等式()3xf x e >+得()()3311xx xf x f x e e e ->+∴>, ()()()()()330xxf x f x f xg x g x e e --+=∴='<'设,所以()g x 在R 上是减函数,因为()()()4301001g g x g x -==∴>∴<. 故选B .点睛:本题的难点在于解题的思路. 已知条件和探究的问题看起来好像没有分析联系,这里主要利用了分析法,通过分析构造函数,利用导数的知识解答.15.已知函数()f x 为偶函数,当x <0时,2()ln()f x x x =--,则曲线()y f x =在x =1处的切线方程为( ) A .x -y =0 B .x -y -2=0 C .x +y -2=0 D .3x -y -2=0【答案】A 【解析】 【分析】先求出当0x >时,()f x 的解析式,再利用导数的几何意义计算即可得到答案. 【详解】当0x >时,0x -<,2()ln f x x x -=-,又函数()f x 为偶函数,所以2()ln f x x x =-,(1)1f =,所以'1()2f x x x=-,'(1)1f =,故切线方程为11y x -=-,即y x =.故选:A .【点睛】本题考查导数的几何意义,涉及到函数的奇偶性求对称区间的解析式,考查学生的数学运算能力,是一道中档题.16.已知函数()2814f x x x =++,()()2log 4g x x =,若[]()15,4x a a ∀∈-≥-,(]20,1x ∃∈,使得()()12f x g x =成立,则a 的最大值为( )A .-4B .-3C .-2D .-1【答案】C 【解析】 【分析】由[]()15,4x a a ∀∈-≥-,(]20,1x ∃∈,使得()()12f x g x =成立得:()f x 的值域为()g x 的值域的子集,从而28142a a ++≤,故可求a 的最大值为2-.【详解】由[]()15,4x a a ∀∈-≥-,(]20,1x ∃∈,使得()()12f x g x =成立,得:()f x 的值域为()g x 的值域的子集,由()()2log 4g x x =(]20,1x ∈()2g x ⇒≤ ,所以(](),2g x ∈-∞当43a --≤≤ 时,()21f x -#-,此时()f x 的值域为()g x 的值域的子集成立.当3a >-时,()22814f x a a -≤≤++,须满足()f x 的值域为()g x 的值域的子集,即28142a a ++≤,得62a -≤≤-所以a 的最大值为2-.故选:C.【点睛】本题主要考查恒成立和存在性问题,注意把两类问题转化为函数值域的包含关系,此问题属于中档题目.17.已知函数()f x 是定义在R 上的偶函数,且在()0,∞+上单调递增,则( ) A .()()()0.633log 132f f f -<-< B .()()()0.6332log 13f f f -<<- C .()()()0.632log 133f f f <-<- D .()()()0.6323log 13f f f <-<【答案】C【解析】【分析】利用指数函数和对数函数单调性可得到0.632log 133<<,结合单调性和偶函数的性质可得大小关系.【详解】 ()f x Q 为R 上的偶函数,()()33f f ∴-=,()()33log 13log 13f f -=,0.633322log 9log 13log 273<=<<=Q 且()f x 在()0,∞+上单调递增,()()()0.632log 133f f f ∴<<,()()()0.632log 133f f f ∴<-<-.故选:C .【点睛】本题考查函数值大小关系的比较,关键是能够利用奇偶性将自变量转化到同一单调区间内,由自变量的大小关系,利用函数单调性即可得到函数值的大小关系.18.如图,对应此函数图象的函数可能是( )A .21(1)2x y x ⎛⎫=- ⎪⎝⎭B .22(1)x y x =-C .ln y x =D .1x y xe =-【答案】B【解析】【分析】 观察图象,从函数的定义域,零点,以及零点个数,特征函数值判断,排除选项,得到正确答案.【详解】由图象可知当0x =时,1y =-,C 不满足;当1x =时,0y =,D 不满足条件;A.由函数性质可知当2x =-时,()2141122y -⎛⎫=⨯-= ⎪⎝⎭,显然A 不成立; 而B 都成立.故选:B【点睛】本题考查根据函数图象,判断函数的解析式,重点考查函数性质的判断,包含函数的定义域,函数零点,零点个数,单调性,特殊值,等信息排除选项,本题属于中档题型.19.已知函数f (x )=2x -1,()2cos 2,0?2,0a x x g x x a x +≥⎧=⎨+<⎩(a ∈R ),若对任意x 1∈[1,+∞),总存在x 2∈R ,使f (x 1)=g (x 2),则实数a 的取值范围是() A .1,2⎛⎫-∞ ⎪⎝⎭ B .2,3⎛⎫+∞ ⎪⎝⎭ C .[]1,1,22⎛⎫-∞ ⎪⎝⎭U D .371,,224⎡⎤⎡⎤⎢⎥⎢⎥⎣⎦⎣⎦U 【答案】C【解析】【分析】对a 分a=0,a <0和a >0讨论,a >0时分两种情况讨论,比较两个函数的值域的关系,即得实数a 的取值范围.【详解】当a =0时,函数f (x )=2x -1的值域为[1,+∞),函数()g x 的值域为[0,++∞),满足题意.当a <0时,y =22(0)x a x +<的值域为(2a ,+∞), y =()cos 20a x x +≥的值域为[a +2,-a +2], 因为a +2-2a =2-a >0,所以a +2>2a ,所以此时函数g (x )的值域为(2a ,+∞),由题得2a <1,即a <12,即a <0. 当a >0时,y =22(0)x a x +<的值域为(2a ,+∞),y =()cos 20a x x +≥的值域为[-a +2,a +2],当a ≥23时,-a +2≤2a ,由题得21,1222a a a a-+≤⎧∴≤≤⎨+≥⎩. 当0<a <23时,-a +2>2a ,由题得2a <1,所以a <12.所以0<a <12. 综合得a 的范围为a <12或1≤a ≤2, 故选C .【点睛】本题主要考查函数的图象和性质,考查指数函数和三角函数的图象和性质,意在考查学生对这些知识的理解掌握水平和分析推理能力.20.已知函数221,0()log ,0x x f x x x ⎧+-≤=⎨>⎩,若()1f a ≤,则实数a 的取值范围是( ) A .(4][2,)-∞-+∞U B .[1,2]-C .[4,0)(0,2]-UD .[4,2]- 【答案】D【解析】【分析】不等式()1f a ≤等价于0,211,a a ≤⎧⎨+-≤⎩或20,log 1,a a >⎧⎨≤⎩分别解不等式组后,取并集可求得a的取值范围.【详解】()1f a ≤⇔0,211,a a ≤⎧⎨+-≤⎩或20,log 1,a a >⎧⎨≤⎩, 解得:40a -≤≤或02a <≤,即[4,2]a ∈-,故选D.【点睛】本题考查与分段函数有关的不等式,会对a 进行分类讨论,使()f a 取不同的解析式,从而将不等式转化为解绝对值不等式和对数不等式.。
高考数学《函数与导数》练习题一、选择题1.函数()2log ,0,2,0,x x x f x x ⎧>=⎨≤⎩则函数()()()2384g x f x f x =-+的零点个数是( ) A .5B .4C .3D .6 【答案】A【解析】【分析】通过对()g x 式子的分析,把求零点个数转化成求方程的根,结合图象,数形结合得到根的个数,即可得到零点个数.【详解】函数()()()2384g x fx f x =-+=()()322f x f x --⎡⎤⎡⎤⎣⎦⎣⎦的零点 即方程()23f x =和()2f x =的根, 函数()2log ,0,2,0x x x f x x ⎧>=⎨≤⎩的图象如图所示:由图可得方程()23f x =和()2f x =共有5个根, 即函数()()()2384g x fx f x =-+有5个零点,故选:A.【点睛】 本题考查函数的零点与方程的根的个数的关系,注意结合图象,利用数形结合求得结果时作图很关键,要标准.2.33ax ⎛ ⎝⎭的展开式中,第三项的系数为1,则11a dx x =⎰( ) A .2ln 2B .ln 2C .2D .1【答案】A【解析】【分析】首先根据二项式定理求出a ,把a 的值带入11a dx x⎰即可求出结果. 【详解】 解题分析根据二项式36ax ⎛- ⎝⎭的展开式的通项公式得221213()4a T C ax x +⎛== ⎝⎭. Q 第三项的系数为1,1,44aa ∴=∴=, 则4411111d d ln 2ln 2a x x x x x ===⎰⎰. 故选:A【点睛】本题考查二项式定理及定积分. 需要记住二项式定理展开公式:1C k n k k k n T a b -+=.属于中等题.3.已知()f x 是定义在R 上的偶函数,其图象关于点(1,0)对称.以下关于()f x 的结论:①()f x 是周期函数;②()f x 满足()(4)f x f x =-;③()f x 在(0,2)单调递减;④()cos2x f x π=是满足条件的一个函数.其中正确结论的个数是( ) A .4B .3C .2D .1【答案】B【解析】【分析】题目中条件:(2)()f x f x +=-可得(4)()f x f x +=知其周期,利用奇函数图象的对称性,及函数图象的平移变换,可得函数的对称中心,结合这些条件可探讨函数的奇偶性,及单调性.【详解】解:对于①:()()f x f x -=Q ,其图象关于点(1,0)对称(2)()f x f x +=-所以(4)(2)()f x f x f x +=-+=, ∴函数()f x 是周期函数且其周期为4,故①正确;对于②:由①知,对于任意的x ∈R ,都有()f x 满足()(4)f x f x -=-,函数是偶函数,即()(4)f x f x =-,故②正确.对于③:反例:如图所示的函数,关于y 轴对称,图象关于点(1,0)对称,函数的周期为4,但是()f x 在(0,2)上不是单调函数,故③不正确;对于④:()cos2x f x π=是定义在R 上的偶函数,其图象关于点(1,0)对称的一个函数,故④正确.故选:B .【点睛】 本题考查函数的基本性质,包括单调性、奇偶性、对称性和周期性,属于基础题.4.已知函数f (x )=e b ﹣x ﹣e x ﹣b +c (b ,c 均为常数)的图象关于点(2,1)对称,则f (5)+f (﹣1)=( )A .﹣2B .﹣1C .2D .4【答案】C【解析】【分析】根据对称性即可求出答案.【详解】解:∵点(5,f (5))与点(﹣1,f (﹣1))满足(5﹣1)÷2=2,故它们关于点(2,1)对称,所以f (5)+f (﹣1)=2,故选:C .【点睛】本题主要考查函数的对称性的应用,属于中档题.5.在二项式26()2a x x+的展开式中,其常数项是15.如下图所示,阴影部分是由曲线2y x =和圆22x y a +=及x 轴围成的封闭图形,则封闭图形的面积为( )A .146π+ B .146π- C .4π D .16【答案】B【解析】【分析】 用二项式定理得到中间项系数,解得a ,然后利用定积分求阴影部分的面积.【详解】(x 2+a 2x )6展开式中,由通项公式可得122r 162r r r r a T C x x --+⎛⎫= ⎪⎝⎭, 令12﹣3r =0,可得r =4,即常数项为4462a C ⎛⎫ ⎪⎝⎭,可得4462a C ⎛⎫ ⎪⎝⎭=15,解得a =2. 曲线y =x 2和圆x 2+y 2=2的在第一象限的交点为(1,1) 所以阴影部分的面积为()1223100111-x-x |442346dx x x πππ⎛⎫=--=- ⎪⎝⎭⎰. 故选:B【点睛】本题主要考查二项式定理的应用,二项式展开式的通项公式,属于基础题.6.已知函数()lg f x x =,0a b >>,()()f a f b =,则22a b a b+-的最小值等于( ). A 5B .3C .23 D .22【答案】D【解析】 试题分析:因为函数()lg f x x =,0a b >>,()()f a f b =所以lg lg a b =- 所以1a b=,即1ab =,0a b >> 22a b a b+-22()2()22()a b ab a b a b a b a b a b -+-+===-+---2()22a b a b ≥-⨯=-当且仅当2a b a b-=-,即a b -=时等号成立所以22a b a b+-的最下值为故答案选D考点:基本不等式.7.已知()2ln33,33ln3,ln3a b c ==+=,则,,a b c 的大小关系是( )A .c b a <<B .c a b <<C .a c b <<D .a b c << 【答案】B【解析】【分析】根据,,a b c 与中间值3和6的大小关系,即可得到本题答案.【详解】 因为323e e <<,所以31ln 32<<, 则3ln3223336,33ln 36,(ln 3)3a b c <=<=<=+>=<, 所以c a b <<.故选:B【点睛】本题主要考查利用中间值比较几个式子的大小关系,属基础题.8.设复数z a bi =+(i 为虚数单位,,a b ∈R ),若,a b 满足关系式2a b t =-,且z 在复平面上的轨迹经过三个象限,则t 的取值范围是( )A .[0,1]B .[1,1]-C .(0,1)(1,)⋃+∞D .(1,)-+∞【答案】C【解析】【分析】首先根据复数的几何意义得到z 的轨迹方程2x y t =-,再根据指数函数的图象,得到关于t 的不等式,求解.【详解】由复数的几何意义可知,设复数对应的复平面内的点为(),x y ,2a x a y b t=⎧⎨==-⎩ ,即2x y t =- , 因为z 在复平面上的轨迹经过三个象限,则当0x =时,11t -< 且10t -≠ ,解得0t >且1t ≠ ,即t 的取值范围是()()0,11,+∞U .故选:C【点睛】本题考查复数的几何意义,以及轨迹方程,函数图象,重点考查数形结合分析问题的能力,属于基础题型.9.已知定义在R 上的函数()f x 满足()()3221f x f x -=-,且()f x 在[1, )+∞上单调递增,则( )A .()()()0.3 1.130. 20.54f f log f <<B .()()()0.3 1.130. 240.5f f f log <<C .()()()1.10.3340.20.5f f f log << D .()()()0.3 1.130.50.24f log f f << 【答案】A【解析】【分析】由已知可得()f x 的图象关于直线1x =对称.因为0.3 1.130.21log 0.5141-<-<-,又()f x 在[1,)+∞上单调递增,即可得解.【详解】解:依题意可得,()f x 的图象关于直线1x =对称.因为()()()0.3 1.1330.20,1,0.5 2 1,,044,8log log ∈=-∈-∈, 则0.3 1.130.21log 0.5141-<-<-,又()f x 在[1,)+∞上单调递增,所以()()()0.3 1.130.20.54f f log f <<. 故选:A.【点睛】本题考查了函数的对称性及单调性,重点考查了利用函数的性质判断函数值的大小关系,属中档题.10.若关于x 的不等式220x ax -+>在区间[1,5]上有解,则a 的取值范围是( )A .)+∞B .(,-∞C .(,3)-∞D .27(,)5-∞ 【答案】D【解析】【分析】把220x ax -+>在区间[]1,5上有解,转化为存在一个[]1,5x ∈使得22x 2ax x a x +>⇒+>,解出()f x 的最大值. 【详解】 220x ax -+>在区间[]1,5上有解,转化为存在一个[]1,5x ∈使得22x 2ax x a x +>⇒+>,设()2f x x x =+,即是()f x 的最大值a >,()f x 的最大值275=,当5x =时取得,故选D 【点睛】11.若点1414(log 7,log 56)在函数()3f x kx =+的图象上,则()f x 的零点为( ) A .1B .32C .2D .34 【答案】B【解析】【分析】将点的坐标代入函数()y f x =的解析式,利用对数的运算性质得出k 的值,再解方程 ()0f x =可得出函数()y f x =的零点.【详解】141414141414log 56log 4log 1412log 212(1log 7)32log 7=+=+=+-=-Q ,2k ∴=-,()2 3.f x x =-+故()f x 的零点为32,故选B. 【点睛】本题考查对数的运算性质以及函数零点的概念,解题的关键在于利用对数的运算性质求出参数的值,解题时要正确把握零点的概念,考查运算求解能力,属于中等题.12.函数()3ln x f x x=的部分图象是( ) A . B .C .D .【答案】A【解析】【分析】根据奇偶性排除B ,当1x >时,()3ln 0x f x x =>,排除CD ,得到答案. 【详解】 ()()()33ln ln ,x x f x f x f x x x=-==--, ()f x 为奇函数,排除B 当1x >时,()3ln 0x f x x=>恒成立,排除CD 故答案选A【点睛】 本题考查了函数图像的判断,通过奇偶性,特殊值法排除选项是解题的关键.13.函数()||()a f x x a R x=-∈的图象不可能是( ) A . B .C .D .【答案】C【解析】【分析】变成分段函数后分段求导,通过对a 分类讨论,得到函数的单调性,根据单调性结合四个选项可得答案.【详解】,0(),0a x x x f x a x x x ⎧->⎪⎪=⎨⎪--<⎪⎩,∴221,0()1,0a x x f x a x x ⎧+>⎪⎪=⎨⎪-+<⎩'⎪. (1)当0a =时,,0(),0x x f x x x >⎧=⎨-<⎩,图象为A; (2)当0a >时,210a x+>,∴()f x 在(0,)+∞上单调递增, 令210a x-+=得x =∴当x <,210a x-+<,当0x <<时,210a x-+>, ∴()f x在(,-∞上单调递减,在(上单调递增,图象为D;(3)当0a <时,210a x -+<,∴()f x 在(,0)-∞上单调递减, 令210a x+=得x =∴当x >时,210a x+>,当0x <<,210a x+<, ∴()f x在上单调递减,在)+∞上单调递增,图象为B;故选:C.【点睛】本题考查了分段函数的图像的识别,考查了分类讨论思想,考查了利用导数研究函数的单调性,属于中档题.14.已知函数()()2f x x +∈R 为奇函数,且函数()y f x =的图象关于直线1x =对称,当[]0,1x ∈时,()2020x f x =,则()2020f =( ) A .2020B .12020C .11010D .0【答案】D【解析】【分析】 根据题意,由函数()f x 的对称性可得()()42f x f x +=-+,即()()2f x f x +=-,进而可得()()4f x f x +=,即函数()f x 是周期为4的周期函数,据此可得()()20200f f =,由函数的解析式计算可得答案.【详解】解:根据题意,函数()2f x +为奇函数,即函数()f x 的图象关于点()2,0对称,则有()()4f x f x -=-+,函数()y f x =的图象关于直线1x =对称,则()()2f x f x -=+,变形可得:()()42f x f x +=-+,即()()2f x f x +=-,则有()()4f x f x +=,即函数()f x 是周期为4的周期函数,()()()20200505400f f f ∴=+⨯==;故选:D .【点睛】本题考查函数的奇偶性、对称性、周期性的综合应用,难度一般.一般地,若一个奇函数有对称轴(或一个偶函数有对称中心),可分析出函数具有周期性.15.函数()3ln 2x f x x x =+的图象在点()()1,1f 处的切线方程为( ) A .64y x =-B .75y x =-C .63=-y xD .74y x =- 【答案】B【解析】【分析】首先求得切线的斜率,然后求解切线方程即可.【详解】由函数的解析式可得:()221ln '6x f x x x -=+, 则所求切线的斜率()221ln1'16171k f -==+⨯=, 且:()012121f =+⨯=,即切点坐标为()1,2, 由点斜式方程可得切线方程为:()271y x -=-,即75y x =-.本题选择B 选项.【点睛】导数运算及切线的理解应注意的问题一是利用公式求导时要特别注意除法公式中分子的符号,防止与乘法公式混淆.二是直线与曲线公共点的个数不是切线的本质,直线与曲线只有一个公共点,直线不一定是曲线的切线,同样,直线是曲线的切线,则直线与曲线可能有两个或两个以上的公共点.三是复合函数求导的关键是分清函数的结构形式.由外向内逐层求导,其导数为两层导数之积.16.下列求导运算正确的是( )A .()cos sin x x '=B .()1ln 2x x '=C .()333log x x e '=D .()22x x x e xe '= 【答案】B【解析】分析:利用基本初等函数的导数公式、导数的运算法则对给出的四种运算逐一验证,即可得到正确答案.详解:()'cos sin x x =-,A 不正确;()'11ln222x x x =⨯= ,B 正确;()'33ln3x x =,C 不正确;()'222x x x x e xe x e =+,D 不正确,故选B.点睛:本题主要考查基本初等函数的导数公式、导数的运算法以及简单的复合函数求导法则,属于基础题.17.一对夫妇为了给他们的独生孩子支付将来上大学的费用,从孩子一周岁生日开始,每年到银行储蓄a 元一年定期,若年利率为r 保持不变,且每年到期时存款(含利息)自动转为新的一年定期,当孩子18岁生日时不再存入,将所有存款(含利息)全部取回,则取回的钱的总数为( )A .17(1)a r +B .17[(1)(1)]a r r r +-+C .18(1)a r +D .18[(1)(1)]a r r r+-+ 【答案】D【解析】【分析】由题意可得:孩子18岁生日时将所有存款(含利息)全部取回,可以看成是以(1)a r +为首项,(1)r +为公比的等比数列的前17项的和,再由等比数列前n 项和公式求解即可.【详解】解:根据题意,当孩子18岁生日时,孩子在一周岁生日时存入的a 元产生的本利合计为17(1)a r +, 同理:孩子在2周岁生日时存入的a 元产生的本利合计为16(1)a r +,孩子在3周岁生日时存入的a 元产生的本利合计为15(1)a r +, ⋯⋯孩子在17周岁生日时存入的a 元产生的本利合计为(1)a r +,可以看成是以(1)a r +为首项,(1)r +为公比的等比数列的前17项的和,此时将存款(含利息)全部取回,则取回的钱的总数:17171618(1)[(1)1](1)(1)(1)[(1)(1)]11a r r a S a r a r a r r r r r ++-=++++⋯⋯++==+-++-; 故选:D .【点睛】本题考查了不完全归纳法及等比数列前n 项和,属中档题.18.对于任意性和存在性问题的处理,遵循以下规则:19.已知函数()f x 是定义在R 上的偶函数,当0x ≥,3()3f x x x =+,则32(2)a f =,31(log )27b f =,c f =的大小关系为( ) A .a b c >>B .a c b >>C .b a c >>D .b c a >>【答案】C【解析】【分析】 利用导数判断3()3f x x x =+在[0,)+∞上单调递增,再根据自变量的大小得到函数值的大小.【详解】 Q 函数()f x 是定义在R 上的偶函数,31(log )(3)(3)27b f f f ∴==-=, 32023<<=<Q ,当0x ≥,'2()330f x x =+>恒成立,∴3()3f x x x =+在[0,)+∞上单调递增,3231(log )(2)27f f f ∴>>,即b a c >>. 故选:C.【点睛】 本题考查利用函数的性质比较数的大小,考查函数与方程思想、转化与化归思想,考查逻辑推理能力和运算求解能力,求解时注意将自变量化到同一个单调区间中.20.已知函数()2ln 2xx f x e x =+-的极值点为1x ,函数()2x g x e x =+-的零点为2x ,函数()ln 2x h x x=的最大值为3x ,则( ) A .123x x x >>B .213x x x >>C .312x x x >>D .321x x x >>【答案】A【解析】【分析】根据()f x '在()0,∞+上单调递增,且11024f f ⎛⎫⎛⎫''⋅< ⎪ ⎪⎝⎭⎝⎭,可知导函数零点在区间11,42⎛⎫ ⎪⎝⎭内,即()f x 的极值点111,42x ⎛⎫∈ ⎪⎝⎭;根据()g x 单调递增且11024g g ⎛⎫⎛⎫⋅< ⎪ ⎪⎝⎭⎝⎭可知211,42x ⎛⎫∈ ⎪⎝⎭;通过判断()()12g x g x >,结合()g x 单调性可得12x x >;利用导数可求得()max 1124h x e =<,即314x <,从而可得三者的大小关系. 【详解】 ()1x f x e x x'=+-Q 在()0,∞+上单调递增 且1213022f e ⎛⎫'=-> ⎪⎝⎭,14115044f e ⎛⎫'=-< ⎪⎝⎭ 111,42x ⎛⎫∴∈ ⎪⎝⎭且11110x e x x +-= Q 函数()2x g x e x =+-在()0,∞+上单调递增 且1213022g e ⎛⎫=-> ⎪⎝⎭,14112044g e ⎛⎫=+-< ⎪⎝⎭ 211,42x ⎛⎫∴∈ ⎪⎝⎭ 又()()11111211112220x g x e x x x g x x x ⎛⎫=+-=-+-=->= ⎪⎝⎭且()g x 单调递增 12x x ∴>由()21ln 2x h x x -'=可得:()()max 12h x h e e ==,即31124x e =< 123x x x ∴>>本题正确选项:A【点睛】本题考查函数极值点、零点、最值的判断和求解问题,涉及到零点存在定理的应用,易错点是判断12,x x 大小关系时,未结合()g x 单调性判断出()()12g x g x >,造成求解困难.。
2020年高考数学 大题专项练习导数与函数 二1.已知函数f(x)=e x -x 2-ax 有两个极值点x 1,x 2(e 为自然对数的底数).12(1)求实数a 的取值范围;(2)求证:f(x 1)+f(x 2)>2.2.设函数f(x)=lnx-0.5ax 2-bx.(1)当a=b=0.5时,求f(x)的最大值;(2)令,其图像上任意一点P(x 0,y 0)处切线的斜率k ≤0.5恒成立,求实数a 的取值范围.3.已知函数f(x)=e x -(x+a)ln(x+a)+x,(x ∈R).(1)当a=1时,求函数f(x)的图像在x=0处的切线方程;(2)若函数f(x)在定义域上为单调递增函数,①求a 的最大整数;②证明:4.已知函数f(x)=kx 3+3(k ﹣1)x 2﹣k 2+1在x=0,x=4处取得极值.(1)求常数k 的值;(2)求函数f(x)的单调区间与极值;(3)设g(x)=f(x)+c ,且∀x ∈[﹣1,2],g(x)≥2c+1恒成立,求c 的取值范围.5. (1)已知函数f(x)=x 3+bx 2+cx +d 的单调减区间为[-1,2],求b ,c 的值.(2)设f(x)=ax 3+x 恰好有三个单调区间,求实数a 的取值范围.6.已知函数f (x )=+x 在x=1处的切线方程为2x ﹣y+b=0.(Ⅰ)求实数a ,b 的值;(Ⅱ)设函数g (x )=f (x )+x 2﹣kx ,且g (x )在其定义域上存在单调递减区间(即g /(x )<0在其定义域上有解),求实数k 的取值范围.7.已知f(x)=x 2-a 2ln x ,a>0.12(1)若f(x)≥0,求a 的取值范围;(2)若f(x 1)=f(x 2),且x 1≠x 2,证明:x 1+x 2>2a.8.若函数f(x)+g(x)和f(x)·g(x)同时在x=t 处取得极小值,则称f(x)和g(x)为一对“P(t)函数”.(1)试判断f(x)=x 与g(x)=x 2+ax+b 是否是一对“P(1)函数”;(2)若f(x)=e x 与g(x)=x 2+ax+1是一对“P(t)函数”.①求a 和t 的值;②若a <0,若对于任意x ∈ [1,+∞),恒有f(x)+g(x)<m·f(x)g(x),求实数m 的取值范围.9.已知函数f(x)=ae x -ln x -1.(1)设x=2是f(x)的极值点,求a ,并求f(x)的单调区间;(2)证明:当a≥时,f(x)≥0.1e10.已知函数f(x)=x-1-alnx(其中a 为参数).(1) 求函数f(x)的单调区间;(2) 若对任意x ∈(0,+∞)都有f(x)≥0成立,求实数a 的取值集合;(3) 证明:n <e<n +1(其中n ∈N *,e 为自然对数的底数).(1+1n )(1+1n )11.已知函数.(1)若a=e ,求函数f(x)的极值;(2)若函数f(x)有两个零点,求实数a 的取值范围.12.设函数f(x)=e 2x -aln x.(1)讨论f(x)的导函数f′(x)零点的个数;(2)证明:当a>0时,f(x)≥2a+aln .2a 13.已知函数在处的切线与轴平行,()(1)试讨论在上的单调性;(2)①设,求的最小值;②证明:.14.已知函数①若函数f(x)在定义域内单调递增,求的取值范围;②若且关于x的方程在[1,4]上恰有两个不相等的实数根,求实数b 取值范围;③设各项为正的数列满足:求证:.15.设函数f(x)=x2e x-1+ax3+bx2,已知x=-2和x=1为f(x)的极值点.(1)求a和b的值.(2)设试比较f(x)与g(x)的大小.答案解析1.解:(1)∵f(x)=e x -x 2-ax ,∴f′(x)=e x -x -a .12设g(x)=e x -x -a ,则g′(x)=e x -1.令g′(x)=e x -1=0,解得x=0.∴当x ∈(-∞,0)时,g′(x)<0,函数g(x)单调递减;当x ∈(0,+∞)时,g′(x)>0,函数g(x)单调递增.∴g(x)min =g(0)=1-a .当a≤1时,f′(x)=g(x)≥0,函数f(x)单调递增,无极值点;当a>1时,g(0)=1-a<0,且当x→+∞时,g(x)→+∞;当x→-∞时,g(x)→+∞.∴当a>1时,f′(x)=g(x)=e x -x -a 有两个零点x 1,x 2.不妨设x 1<x 2,则x 1<0<x 2.∴函数f(x)有两个极值点时,实数a 的取值范围是(1,+∞).(2)证明:由(1)知,x 1,x 2为g(x)=0的两个实数根,x 1<0<x 2,且g(x)在(-∞,0)上单调递减.下面先证x 1<-x 2<0,只需证g(-x 2)<0.∵g(x 2)=ex2-x 2-a=0,得a=ex2-x 2,∴g(-x 2)=e -x2+x 2-a=e -x2-ex2+2x 2.设h(x)=e -x -e x +2x(x>0),则h′(x)=--e x +2<0,1ex∴h(x)在(0,+∞)上单调递减,∴h(x)<h(0)=0,∴g(-x 2)<0,即x 1<-x 2<0.∵函数f(x)在(x 1,0)上单调递减,∴f(x 1)>f(-x 2),∴要证f(x 1)+f(x 2)>2,只需证f(-x 2)+f(x 2)>2,即证ex2+e -x2-x -2>0.2设函数k(x)=e x +e -x -x 2-2(x>0),则k′(x)=e x -e -x -2x .设φ(x)=k′(x)=e x -e -x -2x ,φ′(x)=e x +e -x -2>0,∴φ(x)在(0,+∞)上单调递增,∴φ(x)>φ(0)=0,即k′(x)>0,∴k(x)在(0,+∞)上单调递增,k(x)>k(0)=0,∴当x ∈(0,+∞)时,e x +e -x -x 2-2>0,则ex2+e -x 2-x -2>0,2∴f(-x 2)+f(x 2)>2,∴f(x 1)+f(x 2)>2.2.解:3.解:4.解:5.解:(1)∵函数f(x)的导函数f ′(x)=3x 2+2bx +c ,由题设知-1<x<2是不等式3x 2+2bx +c<0的解集.∴-1,2是方程3x 2+2bx +c=0的两个实根,∴-1+2=-b ,(-1)×2=,即b=-1.5,c=-6.23c 3(2)∵f ′(x)=3ax 2+1,且f(x)有三个单调区间,∴方程f ′(x)=3ax 2+1=0有两个不等的实根,∴Δ=02-4×1×3a>0,∴a<0.∴a 的取值范围为(-∞,0).6.7.解:(1)f′(x)=x-=(x>0).a2x x +a x -a x当x ∈(0,a)时,f′(x)<0,f(x)单调递减;当x ∈(a ,+∞)时,f′(x)>0,f(x)单调递增.当x=a 时,f(x)取最小值f(a)=a 2-a 2ln a.12令a 2-a 2ln a≥0,解得0<a<.12e 故a 的取值范围是(0,].e (2)证明:由(1)知,f(x)在(0,a)上单调递减,在(a ,+∞)上单调递增,不失一般性,设0<x 1<a<x 2<2a ,则2a-x 2<a.要证x 1+x 2>2a ,即x 1>2a-x 2,则只需证f(x 1)<f(2a-x 2).因为f(x 1)=f(x 2),则只需证f(x 2)<f(2a-x 2).设g(x)=f(x)-f(2a-x),a≤x≤2a.则g′(x)=x-+2a-x-=-≤0,a2x a22a -x 2a a -x 2x 2a -x所以g(x)在[a,2a)上单调递减,从而g(x)≤g(a)=0.又a<x 2<2a ,于是g(x 2)=f(x 2)-f(2a-x 2)<0,即f(x 2)<f(2a-x 2).因此x 1+x 2>2a.8.解:9.解:(1)f(x)的定义域为(0,+∞),f ′(x)=ae x -.1x由题设知,f ′(2)=0,所以a=.12e2从而f(x)=e x -ln x -1,f ′(x)=e x -.12e212e21x当0<x <2时,f ′(x)<0;当x >2时,f ′(x)>0.所以f(x)在(0,2)单调递减,在(2,+∞)单调递增.(2)证明:当a≥时,f(x)≥-ln x -1.1e ex e设g(x)=-ln x -1,则g′(x)=-.ex e ex e 1x当0<x <1时,g ′(x)<0;当x >1时,g ′(x)>0.所以x=1是g(x)的最小值点.故当x >0时,g(x)≥g(1)=0.因此,当a≥时,f(x)≥0.1e10.解:(1) f ′(x)=1-=(x>0),a x x -a x当a ≤0时,f ′(x)=1-=>0,所以f(x)在(0,+∞)上是增函数;a x x -a x当a>0时,所以f(x)的增区间是(a ,+∞),减区间是(0,a).综上所述, 当a ≤0时,f(x)的单调递增区间是(0,+∞);当a>0时,f(x)的单调递增区间是(a ,+∞),单调递减区间是(0,a).(2) 由题意得f(x)min ≥0.当a ≤0时,由(1)知f(x)在(0,+∞)上是增函数,当x →0时,f(x)→-∞,故不合题意;(6分)当a>0时,由(1)知f(x)min =f(a)=a-1-alna ≥0.令g(a)=a-1-alna ,则由g ′(a)=-lna=0,得a=1,所以g(a)=a-1-alna ≤0,又f(x)min =f(a)=a-1-alna ≥0,所以a-1-alna=0,所以a=1,即实数a 的取值集合是{1}.(10分)(3) 要证不等式1+n <e<1+n +1,1n 1n两边取对数后,只要证nln1+<1<(n +1)ln1+,即只要证<ln1+<,1n 1n 1n +11n 1n令x=1+,则只要证1-<lnx<x-1(1<x ≤2).1n 1x由(1)知当a=1时,f(x)=x-1-lnx 在(1,2]上递增,因此f(x)>f(1),即x-1-lnx>0,所以lnx<x-1(1<x ≤2)令φ(x)=lnx +-1(1<x ≤2),则φ′(x)=>0,1x x -1x2所以φ(x)在(1,2]上递增,故φ(x)>φ(1),即lnx +-1>0,所以1-<lnx(1<x ≤2).1x 1x综上,原命题得证.11.解:12.解:(1)f(x)的定义域为(0,+∞),f′(x)=2e 2x -(x >0).a x当a≤0时,f ′(x)>0,f ′(x)没有零点;当a >0时,设u(x)=e 2x ,v(x)=-,a x因为u(x)=e 2x 在(0,+∞)上单调递增,v(x)=-在(0,+∞)上单调递增,a x所以f′(x)在(0,+∞)上单调递增.又f′(a)>0,当b 满足0<b <且b <时,f ′(b)<0,a 414故当a >0时,f ′(x)存在唯一零点.(2)证明:由(1)可设f′(x)在(0,+∞)上的唯一零点为x 0,当x∈(0,x 0)时,f ′(x)<0;当x∈(x 0,+∞)时,f ′(x)>0.故f(x)在(0,x 0)上单调递减,在(x 0,+∞)上单调递增,所以当x=x 0时,f(x)取得最小值,最小值为f(x 0).由于2e2x 0-=0,所以f(x 0)=+2ax 0+aln ≥2a +aln .a x0a 2x02a 2a故当a >0时,f(x)≥2a+aln .2a 13.14.解:15.解:。
【高中数学】数学《函数与导数》复习知识要点一、选择题1.设函数()f x 在R 上存在导数()f x ',x R ∀∈有()()22f x f x x +-=,在()0+∞,上()2f x x '<,若()()4168f m f m m --≥-,则实数m 的取值范围是( )A .[)2+∞,B .[)0+∞,C .[]22-,D .(][)22-∞-⋃+∞,, 【答案】A 【解析】 【分析】通过x R ∀∈有()()22f x f x x +-=,构造新函数()()2g x f x x =-,可得()g x 为奇函数;利用()2f x x '<,求()g x 的导函数得出()g x 的单调性,再将不等式()()4168f m f m m --≥-转化,可求实数m 的取值范围.【详解】设()()2g x f x x =-,∵()()()()220g x g x f x x f x x +-=-+--=,∴函数()g x 为奇函数,∵在()0,x ∈+∞上,()2f x x '<,即()20f x x '-<, ∴()()20g x f x x ''=-<,∴函数()g x 在()0,x ∈+∞上是减函数, ∴函数()g x 在(),0x ∈-∞上也是减函数, 且()00g =,∴函数()g x 在x ∈R 上是减函数, ∵()()4168f m f m m --≥-,∴()()()2244168g m m g m m m ⎡⎤⎡⎤-+--+≥-⎣⎦⎣⎦, ∴()()4g m g m -≥, ∴4m m -≤, 即2m ≥. 故选:A. 【点睛】本题考查函数的奇偶性、单调性的应用,考查运算求解能力、转化与化归的数学思想,是中档题.2.已知()(1)|ln |xf x x x =≠,若关于x 方程22[()](21)()0f x m f x m m -+++=恰有4个不相等的实根,则实数m 的取值范围是( ) A .1,2(2,)e e⎛⎫⋃ ⎪⎝⎭B .11,e e ⎛⎫+⎪⎝⎭C .(1,)e e -D .1e e ⎛⎫ ⎪⎝⎭,【答案】C 【解析】 【分析】由已知易知()f x m =与()1f x m =+的根一共有4个,作出()f x 图象,数形结合即可得到答案. 【详解】由22[()](21)()0f x m f x m m -+++=,得()f x m =或()1f x m =+,由题意()f x m =与()1f x m =+两个方程的根一共有4个,又()f x 的定义域为(0,1)(1,)⋃+∞,所以()|ln |ln x x f x x x ==,令()ln x g x x=,则'2ln 1()(ln )x g x x -=,由'()0g x >得x e >, 由'()0g x <得1x e <<或01x <<,故()g x 在(0,1),(1,)e 单调递减,在(,)e +∞上单调递 增,由图象变换作出()f x 图象如图所示要使原方程有4个根,则01m em e <<⎧⎨+>⎩,解得1e m e -<<.故选:C 【点睛】本题考查函数与方程的应用,涉及到方程根的个数问题,考查学生等价转化、数形结合的思想,是一道中档题.3.函数22()41x x x f x ⋅=-的图像大致为( )A .B .C .D .【答案】A 【解析】∵函数()22?41x x x f x =-的定义域为(,0)(0,)-∞+∞U∴222()2()()4114x x x xx x f x f x --⋅-⋅-===--- ∴函数()f x 为奇函数,故排除B ,C. ∵2(1)03f =>,故排除D. 故选A.点睛:函数图象的识辨可从以下方面入手:(1)从函数的定义域,判断图象的左右位置;从函数的值域,判断图象的上下位置.(2)从函数的单调性,判断图象的变化趋势.(3)从函数的奇偶性,判断图象的对称性.(4)从函数的特征点,排除不合要求的图象.利用上述方法排除、筛选选项.4.已知函数()()1110x x e f x x e++-=<与()()1ln x xg x e x ae =+-的图象上存在关于y 轴对称的点,则实数a 的取值范围是( )A .1,1e ⎛⎫-∞+ ⎪⎝⎭B .1,e ⎛⎫-+∞ ⎪⎝⎭C .1,1e ⎛⎫-∞- ⎪⎝⎭D .11,e⎛⎫-+∞ ⎪⎝⎭【答案】D 【解析】 【分析】先求得()f x 关于y 轴对称的函数()h x ,则()()h x g x =,整理可得()11ln 1e ex x a ++-=在()0,∞+上有解,设()()11ln 1e ex x x ϕ=++-,可转化问题为()y x ϕ=与y a =的图象在()0,∞+上有交点,再利用导函数求得()x ϕ的范围,进而求解.【详解】由()f x 关于y 轴对称的函数为()()()1111e e 10ex x x h x f x x -+--+-=-==->, 令()()h x g x =,得()1e 1e ln 1e x x x x a --=+-()0x >,则方程()1e 1e ln 1e x x x x a --=+-在()0,∞+上有解,即方程()11ln 1e ex x a ++-=在()0,∞+上有解, 设()()11ln 1e ex x x ϕ=++-, 即可转化为()y x ϕ=与y a =的图象在()0,∞+上有交点,()()11e 1e 1e 1x x x x x x x ϕ--=-+='++Q ,令()=e 1xm x x --,则()=e 10xm x '->在()0,∞+上恒成立,所以()=e 1xm x x --在()0,∞+上为增函数,∴()()00m x m >=,即()0x ϕ'>Q 在()0,∞+上恒成立, ∴()x ϕ在()0,∞+上为增函数,当0x >时,则()()101x eϕϕ>=-, 所以11ea >-, 故选:D 【点睛】本题考查利用导函数判断函数单调性,考查利用导函数处理函数的零点问题,考查转化思想.5.函数()()2ln 43f x x x =+-的单调递减区间是( )A .3,2⎛⎤-∞ ⎥⎝⎦B .32⎡⎫+∞⎪⎢⎣⎭,C .31,2⎛⎤- ⎥⎝⎦D .342⎡⎫⎪⎢⎣⎭,【答案】D 【解析】 【分析】先求函数定义域,再由复合函数单调性得结论. 【详解】由2430x x +->得14x -<<,即函数定义域是(1,4)-,2232543()24u x x x =+-=--+在3(1,]2-上递增,在3[,4)2上递减,而ln y u =是增函数,∴()f x 的减区间是3[,4)2. 故选:D . 【点睛】本题考查对数型复合函数的单调性,解题时先求出函数的定义域,函数的单调区间应在定义域内考虑.6.已知函数()2100ax x f x lnx x ⎧+≤=⎨⎩,,>,,下列关于函数()()0f f x m +=的零点个数的判断,正确的是( )A .当a =0,m ∈R 时,有且只有1个B .当a >0,m ≤﹣1时,都有3个C .当a <0,m <﹣1时,都有4个D .当a <0,﹣1<m <0时,都有4个 【答案】B 【解析】 【分析】分别画出0a =,0a >,0a <时,()y f x =的图象,结合()t f x =,()0f t m +=的解的情况,数形结合可得所求零点个数. 【详解】令()t f x =,则()0f t m +=,当0a =时, 若1m =-,则0t ≤或t e =,即01x <≤或e x e =, 即当0a =,m R ∈时,不是有且只有1个零点,故A 错误;当0a >时,1m ≤-时,可得0t ≤或m t e e -=≥,可得x 的个数为123+=个,即B 正确;当0a <,1m <-或10m -<<时,由0m ->,且1m -≠,可得零点的个数为1个或3个,故C ,D 错误. 故选:B .【点睛】本题考查了函数零点的相关问题,考查了数形结合思想,属于中档题.7.已知函数()2943,02log 9,0x x x f x x x ⎧+≤=⎨+->⎩,则函数()()y f f x =的零点所在区间为( )A .73,2⎛⎫ ⎪⎝⎭B .()1,0-C .7,42⎛⎫ ⎪⎝⎭D .()4,5【答案】A 【解析】 【分析】首先求得0x ≤时,()f x 的取值范围.然后求得0x >时,()f x 的单调性和零点,令()()0f f x =,根据“0x ≤时,()f x 的取值范围”得到()32log 93x f x x =+-=,利用零点存在性定理,求得函数()()y f f x =的零点所在区间.【详解】当0x ≤时,()34f x <≤.当0x ≥时,()2932log 92log 9xxx f x x =+-=+-为增函数,且()30f =,则3x =是()f x 唯一零点.由于“当0x ≤时,()34f x <≤.”,所以 令()()0ff x =,得()32log 93xf x x =+-=,因为()303f =<,337782log 98 1.414log 39 3.312322f ⎛⎫=->⨯+-=> ⎪⎝⎭,所以函数()()y f f x =的零点所在区间为73,2⎛⎫⎪⎝⎭. 故选:A 【点睛】本小题主要考查分段函数的性质,考查符合函数零点,考查零点存在性定理,考查函数的单调性,考查化归与转化的数学思想方法,属于中档题.8.设()f x 为R 上的奇函数,满足(2)(2)f x f x -=+,且当02x ≤≤时,()x f x xe =,则(1)(2)(3)(100)f f f f ++++=L ( ) A .222e e + B .25050e e + C .2100100e e + D .222e e --【答案】A 【解析】 【分析】由()()22f x f x -=+可得对称轴,结合奇偶性可知()f x 周期为8;可将所求式子通过周期化为()()()()1234f f f f +++,结合解析式可求得函数值. 【详解】由()()22f x f x -=+得:()f x 关于2x =对称又()f x Q 为R 上的奇函数 ()f x ∴是以8为周期的周期函数()()()()()()()()()1281241240f f f f f f f f f ++⋅⋅⋅+=++⋅⋅⋅++-+-+⋅⋅⋅+-=Q 且()()()()2123422f f f f e e +++=+()()()()()()()()()()12100121281234f f f f f f f f f f ∴++⋅⋅⋅+=++⋅⋅⋅+++++⎡⎤⎡⎤⎣⎦⎣⎦222e e =+故选:A 【点睛】本题考查利用函数的奇偶性、对称性和周期性求解函数值的问题,关键是能够利用奇偶性和对称轴得到函数的周期,并求得基础区间内的函数值.9.在平面直角坐标系中,若P ,Q 满足条件:(1)P ,Q 都在函数f (x )的图象上;(2)P ,Q 两点关于直线y=x 对称,则称点对{P ,Q}是函数f(x)的一对“可交换点对”.({P ,Q}与{Q,P}看作同一“可交换点”.试问函数2232(0)(){log (0)x x x f x x x ++≤=>的“可交换点对有( )A .0对B .1对C .2对D .3对【答案】C 【解析】试题分析:设p (x ,y )是满足条件的“可交换点”,则对应的关于直线y=x 的对称点Q 是(y ,x ),所以232x x ++=2x ,由于函数y=232x x ++和y=2x 的图象由两个交点,因此满足条件的“可交换点对”有两个,故选C. 考点:函数的性质10.函数()3ln 2xf x x x=+的图象在点()()1,1f 处的切线方程为( ) A .64y x =- B .75y x =- C .63=-y x D .74y x =-【答案】B 【解析】 【分析】首先求得切线的斜率,然后求解切线方程即可. 【详解】由函数的解析式可得:()221ln '6x f x x x -=+, 则所求切线的斜率()221ln1'16171k f -==+⨯=, 且:()012121f =+⨯=,即切点坐标为()1,2, 由点斜式方程可得切线方程为:()271y x -=-,即75y x =-. 本题选择B 选项. 【点睛】导数运算及切线的理解应注意的问题一是利用公式求导时要特别注意除法公式中分子的符号,防止与乘法公式混淆. 二是直线与曲线公共点的个数不是切线的本质,直线与曲线只有一个公共点,直线不一定是曲线的切线,同样,直线是曲线的切线,则直线与曲线可能有两个或两个以上的公共点.三是复合函数求导的关键是分清函数的结构形式.由外向内逐层求导,其导数为两层导数之积.11.已知函数()0,1ln ,1x f x x x <⎧=⎨≥⎩,若不等式()≤-f x x k 对任意的x ∈R 恒成立,则实数k 的取值范围是( ) A .(],1-∞ B .[)1,+∞C .[)0,1D .(]1,0-【答案】A 【解析】 【分析】先求出函数()f x 在(1,0)处的切线方程,在同一直角坐标系内画出函数()0,1ln ,1x f x x x <⎧=⎨≥⎩和()g x x k =-的图象,利用数形结合进行求解即可.【详解】当1x ≥时,()''1ln ,()(1)1f x x f x f x=⇒=⇒=,所以函数()f x 在(1,0)处的切线方程为:1y x =-,令()g x x k =-,它与横轴的交点坐标为(,0)k .在同一直角坐标系内画出函数()0,1ln ,1x f x x x <⎧=⎨≥⎩和()g x x k =-的图象如下图的所示:利用数形结合思想可知:不等式()≤-f x x k 对任意的x ∈R 恒成立,则实数k 的取值范围是1k ≤. 故选:A 【点睛】本题考查了利用数形结合思想解决不等式恒成立问题,考查了导数的应用,属于中档题.12.已知函数()()2ln1f x x x =+,设()3log 0.2a f =,()0.23b f -=,()1.13c f =-,则( )A .a b c >>B .b a c >>C .c b a >>D .c a b >>【答案】D 【解析】 ∵())2ln1f x x x =+∴221()1)1f x x x x x=+=++∴2()ln(1)f x x x -=+∵当0x >211x x +>;当0x <时,2011x x +<∴当0x >时,())))f x x x x ==-=,())f x x -=;当0x <时()))f x x x ==;()))f x x x -=-=.∴()()f x f x =- ∴函数()f x 是偶函数∴当0x >时,易得())f x x =为增函数∴33(log 0.2)(log 5)a f f ==, 1.1 1.1(3)(3)c f f =-=∵31log 52<<,0.2031-<<, 1.133>∴ 1.10.23(3)(log 5)(3)f f f ->>∴c a b >> 故选D.13.已知函数()f x 为偶函数,当x <0时,2()ln()f x x x =--,则曲线()y f x =在x =1处的切线方程为( ) A .x -y =0 B .x -y -2=0 C .x +y -2=0 D .3x -y -2=0【答案】A 【解析】 【分析】先求出当0x >时,()f x 的解析式,再利用导数的几何意义计算即可得到答案. 【详解】当0x >时,0x -<,2()ln f x x x -=-,又函数()f x 为偶函数,所以2()ln f x x x =-,(1)1f =,所以'1()2f x x x=-,'(1)1f =,故切线方程为11y x -=-,即y x =.故选:A .【点睛】本题考查导数的几何意义,涉及到函数的奇偶性求对称区间的解析式,考查学生的数学运算能力,是一道中档题.14.已知函数()2814f x x x =++,()()2log 4g x x =,若[]()15,4x a a ∀∈-≥-,(]20,1x ∃∈,使得()()12f x g x =成立,则a 的最大值为( )A .-4B .-3C .-2D .-1【答案】C 【解析】 【分析】由[]()15,4x a a ∀∈-≥-,(]20,1x ∃∈,使得()()12f x g x =成立得:()f x 的值域为()g x 的值域的子集,从而28142a a ++≤,故可求a 的最大值为2-.【详解】由[]()15,4x a a ∀∈-≥-,(]20,1x ∃∈,使得()()12f x g x =成立, 得:()f x 的值域为()g x 的值域的子集,由()()2log 4g x x =(]20,1x ∈()2g x ⇒≤ ,所以(](),2g x ∈-∞ 当43a --≤≤ 时,()21f x-#-,此时()f x 的值域为()g x 的值域的子集成立.当3a >-时,()22814f x a a -≤≤++,须满足()f x 的值域为()g x 的值域的子集,即28142a a ++≤,得62a -≤≤- 所以a 的最大值为2-. 故选:C. 【点睛】本题主要考查恒成立和存在性问题,注意把两类问题转化为函数值域的包含关系,此问题属于中档题目.15.已知函数()f x 是定义在R 上的偶函数,当0x ≥时,2()4f x x x =-,则不等式(2)5f x +<的解集为( )A .(3,7)-B .()4,5-C .(7,3)-D .()2,6-【答案】C 【解析】 【分析】首先求出当0x ≥时不等式的解集,在根据偶函数的对称性求出当0x <时不等式的解集,从而求出()5f x <的解集,则525x -<+<,即可得解. 【详解】当0x ≥时,2()45f x x x =-<的解为05x <≤;当0x <时,根据偶函数图像的对称性知不等式()5f x <的解为5x 0-<<, 所以不等式()5f x <的解集为{}55x x -<<,所以不等式(2)5f x +<的解集为{}{}52573x x x x -<+<=-<<. 故选:C 【点睛】本题考查偶函数的性质,涉及一元二次不等式,属于基础题.16.函数2ln x x y x=的图象大致是( )A .B .C .D .【答案】D 【解析】 【分析】根据函数为偶函数排除B ,当0x >时,利用导数得()f x 在1(0,)e上递减,在1(,)e+∞上递增,根据单调性分析,A C 不正确,故只能选D . 【详解】令2ln ||()||x x f x x =,则2()ln ||()()||x x f x f x x ---==-, 所以函数()f x 为偶函数,其图像关于y 轴对称,故B 不正确,当0x >时,2ln ()ln x xf x x x x==,()1ln f x x '=+,由()0f x '>,得1x e >,由()0f x '<,得10x e<<, 所以()f x 在1(0,)e上递减,在1(,)e +∞上递增,结合图像分析,,A C 不正确.故选:D 【点睛】本题考查了利用函数的奇偶性判断函数的图象,考查了利用导数研究函数的单调性,利用单调性判断函数的图象,属于中档题.17.函数()()()log 5,0,1a f x ax a a =->≠在()1,3上是减函数,则a 的取值范围是( )A .5,3⎛⎫+∞ ⎪⎝⎭B .1,15⎛⎫ ⎪⎝⎭C .51,3⎛⎫ ⎪⎝⎭D .51,3⎛⎤ ⎥⎝⎦【答案】D 【解析】 【分析】根据0a >可知5y ax =-在定义域内单调递减,若使得函数()()()log 5,0,1a f x ax a a =->≠在()1,3上是减函数,则需1530a a >⎧⎨-≥⎩,解不等式即可.【详解】 0a >Q5y ax ∴=-在定义域内单调递减若使得函数()()()log 5,0,1a f x ax a a =->≠在()1,3上是减函数则需1530a a >⎧⎨-≥⎩,解得513a <≤故选:D 【点睛】本题考查对数函数的单调性,属于中档题.18.科赫曲线是一种外形像雪花的几何曲线,一段科赫曲线可以通过下列操作步骤构造得到,任画一条线段,然后把它均分成三等分,以中间一段为边向外作正三角形,并把中间一段去掉,这样,原来的一条线段就变成了4条小线段构成的折线,称为“一次构造”;用同样的方法把每条小线段重复上述步骤,得到16条更小的线段构成的折线,称为“二次构造”,…,如此进行“n 次构造”,就可以得到一条科赫曲线.若要在构造过程中使得到的折线的长度达到初始线段的1000倍,则至少需要通过构造的次数是( ).(取lg30.4771≈,lg 20.3010≈)A .16B .17C .24D .25【答案】D 【解析】 【分析】由折线长度变化规律可知“n 次构造”后的折线长度为43na ⎛⎫ ⎪⎝⎭,由此得到410003n⎛⎫≥ ⎪⎝⎭,利用运算法则可知32lg 2lg 3n ≥⨯-,由此计算得到结果.【详解】记初始线段长度为a ,则“一次构造”后的折线长度为43a ,“二次构造”后的折线长度为243a ⎛⎫ ⎪⎝⎭,以此类推,“n 次构造”后的折线长度为43na ⎛⎫ ⎪⎝⎭, 若得到的折线长度为初始线段长度的1000倍,则410003na a ⎛⎫≥ ⎪⎝⎭,即410003n⎛⎫≥ ⎪⎝⎭,()()44lg lg lg 4lg32lg 2lg3lg1000333nn n n ⎛⎫∴==-=-≥= ⎪⎝⎭,即324.0220.30100.4771n ≥≈⨯-,∴至少需要25次构造.故选:D . 【点睛】本题考查数列新定义运算的问题,涉及到对数运算法则的应用,关键是能够通过构造原则得到每次构造后所得折线长度成等比数列的特点.19.已知函数()2ln 2xx f x e x =+-的极值点为1x ,函数()2xg x e x =+-的零点为2x ,函数()ln 2xh x x=的最大值为3x ,则( ) A .123x x x >> B .213x x x >>C .312x x x >>D .321x x x >>【答案】A 【解析】 【分析】根据()f x '在()0,∞+上单调递增,且11024f f ⎛⎫⎛⎫''⋅< ⎪ ⎪⎝⎭⎝⎭,可知导函数零点在区间11,42⎛⎫⎪⎝⎭内,即()f x 的极值点111,42x ⎛⎫∈ ⎪⎝⎭;根据()g x 单调递增且11024g g ⎛⎫⎛⎫⋅< ⎪⎪⎝⎭⎝⎭可知211,42x ⎛⎫∈ ⎪⎝⎭;通过判断()()12g x g x >,结合()g x 单调性可得12x x >;利用导数可求得()max 1124h x e =<,即314x <,从而可得三者的大小关系. 【详解】()1x f x e x x'=+-Q 在()0,∞+上单调递增且1213022f e ⎛⎫'=-> ⎪⎝⎭,14115044f e ⎛⎫'=-< ⎪⎝⎭111,42x ⎛⎫∴∈ ⎪⎝⎭且11110x e x x +-= Q 函数()2x g x e x =+-在()0,∞+上单调递增且1213022g e ⎛⎫=-> ⎪⎝⎭,14112044g e ⎛⎫=+-< ⎪⎝⎭211,42x ⎛⎫∴∈ ⎪⎝⎭ 又()()11111211112220x g x e x x x g x x x ⎛⎫=+-=-+-=->= ⎪⎝⎭且()g x 单调递增 12x x ∴> 由()21ln 2x h x x-'=可得:()()max12h x h e e ==,即31124x e =< 123x x x ∴>>本题正确选项:A 【点睛】本题考查函数极值点、零点、最值的判断和求解问题,涉及到零点存在定理的应用,易错点是判断12,x x 大小关系时,未结合()g x 单调性判断出()()12g x g x >,造成求解困难.20.设1130,,a b xdx c x dx ===⎰⎰,则,,a b c 的大小关系为( )A .b c a >>B .b a c >>C .a c b >>D .a b c >>【答案】D 【解析】根据微积分定理,3120022|33a x ⎛⎫=== ⎪⎝⎭,121011|22b xdx x ⎛⎫=== ⎪⎝⎭⎰,13410011|44c x dx x ⎛⎫=== ⎪⎝⎭⎰,所以a b c >>,故选择D 。
高考数学《函数与导数》练习题一、选择题1.设函数()f x 在R 上存在导数()f x ',x R ∀∈有()()22f x f x x +-=,在()0+∞,上()2f x x '<,若()()4168f m f m m --≥-,则实数m 的取值范围是( )A .[)2+∞,B .[)0+∞,C .[]22-,D .(][)22-∞-⋃+∞,, 【答案】A 【解析】 【分析】通过x R ∀∈有()()22f x f x x +-=,构造新函数()()2g x f x x =-,可得()g x 为奇函数;利用()2f x x '<,求()g x 的导函数得出()g x 的单调性,再将不等式()()4168f m f m m --≥-转化,可求实数m 的取值范围.【详解】设()()2g x f x x =-,∵()()()()220g x g x f x x f x x +-=-+--=,∴函数()g x 为奇函数,∵在()0,x ∈+∞上,()2f x x '<,即()20f x x '-<, ∴()()20g x f x x ''=-<,∴函数()g x 在()0,x ∈+∞上是减函数, ∴函数()g x 在(),0x ∈-∞上也是减函数, 且()00g =,∴函数()g x 在x ∈R 上是减函数, ∵()()4168f m f m m --≥-,∴()()()2244168g m m g m m m ⎡⎤⎡⎤-+--+≥-⎣⎦⎣⎦, ∴()()4g m g m -≥, ∴4m m -≤, 即2m ≥. 故选:A. 【点睛】本题考查函数的奇偶性、单调性的应用,考查运算求解能力、转化与化归的数学思想,是中档题.2.给出下列说法: ①“tan 1x =”是“4x π=”的充分不必要条件;②定义在[],a b 上的偶函数2()(5)f x x a x b =+++的最大值为30; ③命题“0001,2x x x ∃∈+≥R ”的否定形式是“1,2x x x ∀∈+>R ”. 其中错误说法的个数为( ) A .0 B .1C .2D .3【答案】C 【解析】 【分析】利用充分条件与必要条件的定义判断①;利用函数奇偶性的性质以及二次函数的性质判断②;利用特称命题的否定判断③,进而可得结果. 【详解】 对于①,当4x π=时,一定有tan 1x =,但是当tan 1x =时,,4x k k ππ=+∈Z ,所以“tan 1x =”是“4x π=”的必要不充分条件,所以①不正确;对于②,因为()f x 为偶函数,所以5a =-.因为定义域[],a b 关于原点对称,所以5b =,所以函数2()5,[5,5]f x x x =+∈-的最大值为()()5530f f -==,所以②正确;对于③,命题“0001,2x x x ∃∈+≥R ”的否定形式是“1,2x x x∀∈+<R ”,所以③不正确; 故错误说法的个数为2. 故选:C. 【点睛】本题考查了特称命题的否定、充分条件与必要条件,考查了函数奇偶性的性质,同时考查了二次函数的性质,属于中档题..3.已知定义在R 上的函数()f x 满足()()242f x f x x +-=+,设()()22g x f x x =-,若()g x 的最大值和最小值分别为M 和m ,则M m +=( ) A .1 B .2 C .3 D .4【答案】B 【解析】∵()()242f x f x x +-=+,()()22g x f x x =-∴2222()()()2()24242g x g x f x x f x x x x +-=-+--=+-=∴函数()g x 关于点(0,1)对称∵()g x 的最大值和最小值分别为M 和m ∴122M m +=⨯= 故选B.4.已知直线2y kx =-与曲线ln y x x =相切,则实数k 的值为( ) A .ln 2 B .1C .1ln2-D .1ln2+【答案】D 【解析】由ln y x x =得'ln 1y x =+,设切点为()00,x y ,则0ln 1k x =+,000002ln y kx y x x =-⎧⎨=⎩,0002ln kx x x ∴-=,002ln k x x ∴=+,对比0ln 1k x =+,02x ∴=,ln 21k ∴=+,故选D.5.已知函数()32f x x x x a =--+,若曲线()y f x =与x 轴有三个不同交点,则实数a的取值范围为( ) A .11,27⎛⎫-∞- ⎪⎝⎭B .()1,+?C .5,127⎛⎫-⎪⎝⎭D .11,127⎛⎫-⎪⎝⎭【答案】C 【解析】 【分析】根据曲线()y f x =与x 轴有三个不同交点,可转化为函数()32g x x x x =-++与y a =的图象有三个不同的交点,即可求出实数a 的取值范围. 【详解】Q 函数()32f x x x x a =--+与x 轴有三个不同交点,可转化为函数()32g x x x x =-++与y a =的图象有三个不同的交点.又()2321(31)(1)g x x x x x '=-++=-+-Q ,∴在1,,(1,)3⎛⎫-∞-+∞ ⎪⎝⎭上,()0g x '<;在1,13⎛⎫- ⎪⎝⎭上,()0g x '>.∴()15327g x g ⎛⎫=-=- ⎪⎝⎭极小值,()()11g x g ==极大值,5127a ∴-<<. 故选:C【点睛】本题考查函数的零点及导数与极值的应用,考查了转化思想和数形结合思想,属于中档题.6.已知函数f (x )=(k +4k )lnx +24x x-,k ∈[4,+∞),曲线y =f (x )上总存在两点M (x 1,y 1),N (x 2,y 2),使曲线y =f (x )在M ,N 两点处的切线互相平行,则x 1+x 2的取值范围为A .(85,+∞) B .(165,+∞) C .[85,+∞) D .[165,+∞) 【答案】B 【解析】 【分析】利用过M 、N 点处的切线互相平行,建立方程,结合基本不等式,再求最值,即可求x 1+x 2的取值范围. 【详解】由题得f′(x )=4k k x +﹣24x ﹣1=﹣2244x k x k x ⎛⎫-++ ⎪⎝⎭=﹣()24x k x k x ⎛⎫-- ⎪⎝⎭,(x >0,k >0)由题意,可得f′(x 1)=f′(x 2)(x 1,x 2>0,且x 1≠x 2),即21144k k x x +-﹣1=24k k x +﹣224x ﹣1,化简得4(x 1+x 2)=(k+4k)x 1x 2, 而x 1x 2<212()2x x +, 4(x 1+x 2)<(k+4k )212()2x x +, 即x 1+x 2>164k k+对k ∈[4,+∞)恒成立, 令g (k )=k+4k, 则g′(k )=1﹣24k =()()222k k k +->0对k ∈[4,+∞)恒成立, ∴g (k )≥g (4)=5, ∴164k k+≤165,∴x 1+x 2>165, 故x 1+x 2的取值范围为(165,+∞). 故答案为B 【点睛】本题运用导数可以解决曲线的切线问题,函数的单调性、极值与最值,正确求导是我们解题的关键,属于中档题.7.函数()xe f x x=的图象大致为( )A .B .C .D .【答案】B 【解析】函数()xe f x x=的定义域为(,0)(0,)-∞+∞U ,排除选项A ;当0x >时,()0f x >,且()2(1)'xx e f x x-= ,故当()0,1x ∈时,函数单调递减,当()1,x ∈+∞时,函数单调递增,排除选项C ;当0x <时,函数()0xe f x x=<,排除选项D ,选项B 正确.选B .点睛:函数图象的识别可从以下方面入手:(1)从函数的定义域,判断图象的左右位置;从函数的值域,判断图象的上下位置; (2)从函数的单调性,判断图象的变化趋势; (3)从函数的奇偶性,判断图象的对称性; (4)从函数的周期性,判断图象的循环往复;(5)从函数的特征点,排除不合要求的图象.8.函数()()2ln 43f x x x =+-的单调递减区间是( )A .3,2⎛⎤-∞ ⎥⎝⎦B .32⎡⎫+∞⎪⎢⎣⎭,C .31,2⎛⎤- ⎥⎝⎦D .342⎡⎫⎪⎢⎣⎭,【答案】D 【解析】 【分析】先求函数定义域,再由复合函数单调性得结论. 【详解】由2430x x +->得14x -<<,即函数定义域是(1,4)-,2232543()24u x x x =+-=--+在3(1,]2-上递增,在3[,4)2上递减,而ln y u =是增函数,∴()f x 的减区间是3[,4)2. 故选:D . 【点睛】本题考查对数型复合函数的单调性,解题时先求出函数的定义域,函数的单调区间应在定义域内考虑.9.已知函数在区间上有最小值,则函数在区间上一定( )A .有最小值B .有最大值C .是减函数D .是增函数【答案】D 【解析】 【分析】 由二次函数在区间上有最小值得知其对称轴,再由基本初等函数的单调性或单调性的性质可得出函数在区间上的单调性.【详解】由于二次函数在区间上有最小值,可知其对称轴,.当时,由于函数和函数在上都为增函数,此时,函数在上为增函数;当时,在上为增函数;当时,由双勾函数的单调性知,函数在上单调递增,,所以,函数在上为增函数.综上所述:函数在区间上为增函数,故选D.【点睛】本题考查二次函数的最值,同时也考查了型函数单调性的分析,解题时要注意对的符号进行分类讨论,考查分类讨论数学思想,属于中等题.10.函数()||()af x x a R x=-∈的图象不可能是( ) A . B .C .D .【答案】C 【解析】 【分析】变成分段函数后分段求导,通过对a 分类讨论,得到函数的单调性,根据单调性结合四个选项可得答案. 【详解】,0(),0a x x x f x a x x x ⎧->⎪⎪=⎨⎪--<⎪⎩,∴221,0()1,0a x xf x a x x ⎧+>⎪⎪=⎨⎪-+<⎩'⎪.(1)当0a =时,,0(),0x x f x x x >⎧=⎨-<⎩,图象为A;(2)当0a >时,210ax+>,∴()f x 在(0,)+∞上单调递增,令210ax-+=得x =∴当x <,210ax -+<,当0x <<时,210ax-+>,∴()f x在(,-∞上单调递减,在(上单调递增,图象为D; (3)当0a <时,210ax-+<,∴()f x 在(,0)-∞上单调递减, 令210ax+=得x =∴当x >时,210ax +>,当0x <<,210ax+<,∴()f x在上单调递减,在)+∞上单调递增,图象为B; 故选:C. 【点睛】本题考查了分段函数的图像的识别,考查了分类讨论思想,考查了利用导数研究函数的单调性,属于中档题.11.三个数0.377,0.3,ln 0.3a b c ===大小的顺序是( ) A .a c b >> B .a b c >>C .b a c >>D .c a b >>【答案】B 【解析】试题分析:根据指数函数和对数函数的单调性知:0.30771a =>=,即1a >;7000.30.31b <=<=,即01b <<;ln0.3ln10c =<=,即0c <;所以a b c >>,故正确答案为选项B .考点:指数函数和对数函数的单调性;间接比较法.12.()263,034,0x x x x f x x ⎧---≤=⎨->⎩,则函数()y f f x =⎡⎤⎣⎦的零点个数为( )A .3B .5C .6D .7 【答案】D 【解析】 【分析】作出()f x 的图像,将()y f f x =⎡⎤⎣⎦的零点个数即()0f f x =⎡⎤⎣⎦的实数根个数,令()t f x =,解()0f t =有三个实数根,再结合图像即可得到答案.【详解】由题意,()y f f x =⎡⎤⎣⎦的零点个数即()0f f x =⎡⎤⎣⎦的实数根个数, 作()f x 的图像如图所示,设()t f x =,则()0f t =,当0t ≤时,即2630t t ---=,解得,1236,36t t =-=- 当0t >时,即340t -=,解得33log 4t =; 结合图像知,()36f x =-()36f x =-+3()log 4f x =时有三个根,所以()0f f x =⎡⎤⎣⎦有7个根,即()y f f x =⎡⎤⎣⎦的零点个数为7. 故选:D 【点睛】本题主要考查函数的零点问题、解函数值以及一元二次函数和指数函数的图像,考查学生数形结合的思想,属于中档题.13.已知函数2()f x x m =+与函数1()ln 3g x x x =--,1,22x ⎡∈⎤⎢⎥⎣⎦的图象上恰有两对关于x 轴对称的点,则实数m 的取值范围是( ) A .5ln )4[2,2+ B .5[2ln 2,ln 2)4-+ C .5(ln 2,2ln 2)4+- D .(]2ln2,2-【答案】A 【解析】 【分析】将问题转化为()()f x g x =-在1,22⎡⎤⎢⎥⎣⎦恰有两个不同的解,令()()()h x f x g x =+,将问题转化为()h x 在1,22⎡⎤⎢⎥⎣⎦上有两个零点的问题,利用导数可求得()h x 的单调性,进而确定区间端点值和最值,由此构造不等式求得结果. 【详解】()f x Q 与()g x 在1,22x ⎡∈⎤⎢⎥⎣⎦的图象上恰有两对关于x 轴对称的点,()()f x g x ∴=-在1,22⎡⎤⎢⎥⎣⎦恰有两个不同的解,即221ln 3ln 30x m x x x x m x +--=+-+=在1,22⎡⎤⎢⎥⎣⎦上恰有两个不同的解,令()2ln 3h x x x x m =+-+,则()()()2211123123x x x x h x x x x x---+'=+-==, ∴当1,12x ⎛⎫∈ ⎪⎝⎭时,()0h x '<;当()1,2x ∈时,()0h x '>,()h x ∴在1,12⎛⎫⎪⎝⎭上单调递减,在()1,2上单调递增,又15ln 224h m ⎛⎫=--+⎪⎝⎭,()12h m =-,()2ln 22h m =-+, 原问题等价于()h x 在1,22⎡⎤⎢⎥⎣⎦上恰有两个零点,则5ln 2024m m --+≥>-,解得:5ln 224m +≤<,即m 的取值范围为5ln 2,24⎡⎫+⎪⎢⎣⎭.故选:A . 【点睛】本题考查根据函数零点个数求解参数范围的问题,关键是能够将两函数图象对称点个数的问题转化为方程根的个数的问题,进一步通过构造函数的方式将问题转化为函数零点个数的问题.14.已知函数()2cos f x x x =-,若15log 3a f ⎛⎫= ⎪⎝⎭,31log 5b f ⎛⎫= ⎪⎝⎭,315c f ⎛⎫⎛⎫ ⎪ ⎪ ⎝⎭⎝⎭=⎪,则( )A .a b c >>B .b a c >>C .c b a >>D .c a b >>【答案】B【解析】【分析】 判断()f x 为偶函数,利用导数得出()f x 在()0,π上单调递增,由对数函数的性质,结合函数()f x 的单调性和奇偶性,即可得出答案.【详解】()()()()22cos cos f x x x x x f x -=---=-=,故()f x 为偶函数 故只需考虑()0,x ∈+∞的单调性即可.()'2sin f x x x =+,当()0,x π∈时,易得()'0f x >故()f x 在()0,π上单调递增,()155log 3log 3a f f ⎛⎫== ⎪⎝⎭,()331log log 55b f f ⎛⎫== ⎪⎝⎭, 由函数单调性可知()()3531log 3log 55f f f ⎛⎫⎛⎫<< ⎪ ⎪ ⎪⎝⎭⎝⎭,即c a b << 故选:B【点睛】本题主要考查了利用函数的奇偶性以及单调性比较大小,属于中档题.15.已知函数()f x 为偶函数,当x <0时,2()ln()f x x x =--,则曲线()y f x =在x =1处的切线方程为( )A .x -y =0B .x -y -2=0C .x +y -2=0D .3x -y -2=0【答案】A【解析】【分析】先求出当0x >时,()f x 的解析式,再利用导数的几何意义计算即可得到答案.【详解】当0x >时,0x -<,2()ln f x x x -=-,又函数()f x 为偶函数,所以2()ln f x x x =-,(1)1f =,所以'1()2f x x x=-,'(1)1f =,故切线方程为11y x -=-,即y x =. 故选:A .【点睛】本题考查导数的几何意义,涉及到函数的奇偶性求对称区间的解析式,考查学生的数学运算能力,是一道中档题.16.函数()3ln 2x f x x x =+的图象在点()()1,1f 处的切线方程为( ) A .64y x =-B .75y x =-C .63=-y xD .74y x =- 【答案】B【解析】【分析】首先求得切线的斜率,然后求解切线方程即可.【详解】由函数的解析式可得:()221ln '6x f x x x -=+, 则所求切线的斜率()221ln1'16171k f -==+⨯=, 且:()012121f =+⨯=,即切点坐标为()1,2, 由点斜式方程可得切线方程为:()271y x -=-,即75y x =-.本题选择B 选项.【点睛】导数运算及切线的理解应注意的问题一是利用公式求导时要特别注意除法公式中分子的符号,防止与乘法公式混淆.二是直线与曲线公共点的个数不是切线的本质,直线与曲线只有一个公共点,直线不一定是曲线的切线,同样,直线是曲线的切线,则直线与曲线可能有两个或两个以上的公共点.三是复合函数求导的关键是分清函数的结构形式.由外向内逐层求导,其导数为两层导数之积.17.曲线21x y e -=+在点(0,2)处的切线与直线y 0=和y x =所围成图形的面积( ) A .1B .13C .23D .12【答案】B【解析】【分析】利用导数的几何意义,求得曲线在点(0,2)处的切线方程,再求得三线的交点坐标,利用三角形的面积公式,即可求解,得到答案.【详解】由题意,曲线21x y e-=+,则22x y e -'=-,所以200|2|2x x x y e -=='=-=-, 所以曲线21x y e -=+在点(0,2)处的切线方程为22(0)y x -=--,即220x y +-=,令0y =,解得1x =,令y x =,解得23x y ==, 所以切线与直线y 0=和y x =所围成图形的面积为1211233⨯⨯=,故选B . 【点睛】 本题主要考查了利用导数研究曲线在某点处的切线方程,以及两直线的位置关系的应用,着重考查了推理与运算能力,属于基础题.18.若函数()f x 的定义域为R ,其导函数为()f x '.若()3f x '<恒成立,()20f -=,则()36f x x <+ 解集为( )A .(),2-∞-B .()2,2-C .(),2-∞D .()2,-+∞【答案】D【解析】【分析】设()()36g x f x x =--,求导后可得()g x 在R 上单调递减,再结合()20g -=即可得解.【详解】设()()36g x f x x =--, Q ()3f x '<,∴()()30g x f x ''=-<,∴()g x 在R 上单调递减,又()()22660g f -=-+-=,不等式()36f x x <+即()0g x <,∴2x >-,∴不等式()36f x x <+的解集为()2,-+∞.故选:D.【点睛】本题考查了导数的应用,关键是由题意构造出新函数,属于中档题.19.已知函数f (x )=2x -1,()2cos 2,0?2,0a x x g x x a x +≥⎧=⎨+<⎩(a ∈R ),若对任意x 1∈[1,+∞),总存在x 2∈R ,使f (x 1)=g (x 2),则实数a 的取值范围是() A .1,2⎛⎫-∞ ⎪⎝⎭ B .2,3⎛⎫+∞ ⎪⎝⎭ C .[]1,1,22⎛⎫-∞ ⎪⎝⎭U D .371,,224⎡⎤⎡⎤⎢⎥⎢⎥⎣⎦⎣⎦U【答案】C【解析】【分析】对a 分a=0,a <0和a >0讨论,a >0时分两种情况讨论,比较两个函数的值域的关系,即得实数a 的取值范围.【详解】当a =0时,函数f (x )=2x -1的值域为[1,+∞),函数()g x 的值域为[0,++∞),满足题意. 当a <0时,y =22(0)x a x +<的值域为(2a ,+∞), y =()cos 20a x x +≥的值域为[a +2,-a +2], 因为a +2-2a =2-a >0,所以a +2>2a ,所以此时函数g (x )的值域为(2a ,+∞),由题得2a <1,即a <12,即a <0. 当a >0时,y =22(0)x a x +<的值域为(2a ,+∞),y =()cos 20a x x +≥的值域为[-a +2,a +2],当a ≥23时,-a +2≤2a ,由题得21,1222a a a a -+≤⎧∴≤≤⎨+≥⎩. 当0<a <23时,-a +2>2a ,由题得2a <1,所以a <12.所以0<a <12. 综合得a 的范围为a <12或1≤a ≤2, 故选C .【点睛】本题主要考查函数的图象和性质,考查指数函数和三角函数的图象和性质,意在考查学生对这些知识的理解掌握水平和分析推理能力.20.已知函数()2ln 2xx f x e x =+-的极值点为1x ,函数()2x g x e x =+-的零点为2x ,函数()ln 2x h x x=的最大值为3x ,则( ) A .123x x x >>B .213x x x >>C .312x x x >>D .321x x x >> 【答案】A【解析】【分析】根据()f x '在()0,∞+上单调递增,且11024f f ⎛⎫⎛⎫''⋅< ⎪ ⎪⎝⎭⎝⎭,可知导函数零点在区间11,42⎛⎫ ⎪⎝⎭内,即()f x 的极值点111,42x ⎛⎫∈ ⎪⎝⎭;根据()g x 单调递增且11024g g ⎛⎫⎛⎫⋅< ⎪ ⎪⎝⎭⎝⎭可知211,42x ⎛⎫∈ ⎪⎝⎭;通过判断()()12g x g x >,结合()g x 单调性可得12x x >;利用导数可求得()max 1124h x e =<,即314x <,从而可得三者的大小关系. 【详解】 ()1x f x e x x'=+-Q 在()0,∞+上单调递增 且1213022f e ⎛⎫'=-> ⎪⎝⎭,14115044f e ⎛⎫'=-< ⎪⎝⎭ 111,42x ⎛⎫∴∈ ⎪⎝⎭且11110x e x x +-= Q 函数()2x g x e x =+-在()0,∞+上单调递增 且1213022g e ⎛⎫=-> ⎪⎝⎭,14112044g e ⎛⎫=+-< ⎪⎝⎭ 211,42x ⎛⎫∴∈ ⎪⎝⎭ 又()()11111211112220x g x e x x x g x x x ⎛⎫=+-=-+-=->= ⎪⎝⎭ 且()g x 单调递增 12x x ∴>由()21ln 2x h x x-'=可得:()()max 12h x h e e ==,即31124x e =< 123x x x ∴>>本题正确选项:A【点睛】本题考查函数极值点、零点、最值的判断和求解问题,涉及到零点存在定理的应用,易错点是判断12,x x 大小关系时,未结合()g x 单调性判断出()()12g x g x >,造成求解困难.。
【高中数学】数学《函数与导数》试卷含答案一、选择题1.设函数()f x 在R 上存在导数()f x ',x R ∀∈有()()22f x f x x +-=,在()0+∞,上()2f x x '<,若()()4168f m f m m --≥-,则实数m 的取值范围是( )A .[)2+∞,B .[)0+∞,C .[]22-,D .(][)22-∞-⋃+∞,, 【答案】A 【解析】 【分析】通过x R ∀∈有()()22f x f x x +-=,构造新函数()()2g x f x x =-,可得()g x 为奇函数;利用()2f x x '<,求()g x 的导函数得出()g x 的单调性,再将不等式()()4168f m f m m --≥-转化,可求实数m 的取值范围.【详解】设()()2g x f x x =-,∵()()()()220g x g x f x x f x x +-=-+--=,∴函数()g x 为奇函数,∵在()0,x ∈+∞上,()2f x x '<,即()20f x x '-<, ∴()()20g x f x x ''=-<,∴函数()g x 在()0,x ∈+∞上是减函数, ∴函数()g x 在(),0x ∈-∞上也是减函数, 且()00g =,∴函数()g x 在x ∈R 上是减函数, ∵()()4168f m f m m --≥-,∴()()()2244168g m m g m m m ⎡⎤⎡⎤-+--+≥-⎣⎦⎣⎦, ∴()()4g m g m -≥, ∴4m m -≤, 即2m ≥. 故选:A. 【点睛】本题考查函数的奇偶性、单调性的应用,考查运算求解能力、转化与化归的数学思想,是中档题.2.设复数z a bi =+(i 为虚数单位,,a b ∈R ),若,a b 满足关系式2a b t =-,且z 在复平面上的轨迹经过三个象限,则t 的取值范围是( ) A .[0,1] B .[1,1]-C .(0,1)(1,)⋃+∞D .(1,)-+∞【答案】C 【解析】 【分析】首先根据复数的几何意义得到z 的轨迹方程2x y t =-,再根据指数函数的图象,得到关于t 的不等式,求解.【详解】由复数的几何意义可知,设复数对应的复平面内的点为(),x y ,2ax ay b t=⎧⎨==-⎩ ,即2x y t =- , 因为z 在复平面上的轨迹经过三个象限, 则当0x =时,11t -< 且10t -≠ , 解得0t >且1t ≠ ,即t 的取值范围是()()0,11,+∞U . 故选:C 【点睛】本题考查复数的几何意义,以及轨迹方程,函数图象,重点考查数形结合分析问题的能力,属于基础题型.3.函数()2sin f x x x x =-的图象大致为( )A .B .C .D .【答案】A 【解析】 【分析】分析函数()y f x =的奇偶性,并利用导数分析该函数在区间()0,+∞上的单调性,结合排除法可得出合适的选项. 【详解】因为()()()()()22sin sin f x x x x x x x f x -=----=-=,且定义域R 关于原点对称,所以函数()y f x =为偶函数,故排除B 项;()()2sin sin f x x x x x x x =-=-,设()sin g x x x =-,则()1cos 0g x x ='-≥恒成立,所以函数()y g x =单调递增,所以当0x >时,()()00g x g >=, 任取120x x >>,则()()120g x g x >>,所以,()()1122x g x x g x >,()()12f x f x ∴>,所以,函数()y f x =在()0,+∞上为增函数,故排除C 、D 选项. 故选:A. 【点睛】本题考查利用函数解析式选择图象,一般分析函数的定义域、奇偶性、单调性、函数零点以及函数值符号,结合排除法得出合适的选项,考查分析问题和解决问题的能力,属于中等题.4.已知奇函数()f x 在R 上是增函数,若21log 5a f ⎛⎫=- ⎪⎝⎭,()2log 4.1b f =,()0.82c f =,则,,a b c 的大小关系为( )A .a b c <<B .b a c <<C .c b a <<D .c a b <<【答案】C 【解析】由题意:()221log log 55a f f ⎛⎫=-= ⎪⎝⎭, 且:0.822log 5log 4.12,122>><<,据此:0.822log 5log 4.12>>,结合函数的单调性有:()()()0.822log 5log 4.12f f f >>,即,a b c c b a >><<. 本题选择C 选项.【考点】 指数、对数、函数的单调性【名师点睛】比较大小是高考常见题,指数式、对数式的比较大小要结合指数函数、对数函数,借助指数函数和对数函数的图象,利用函数的单调性进行比较大小,特别是灵活利用函数的奇偶性和单调性数形结合不仅能比较大小,还可以解不等式.5.曲线2y x =与直线y x =所围成的封闭图形的面积为( ) A .16B .13C .12D .56【答案】A 【解析】曲线2y x =与直线y x =的交点坐标为()()0,0,1,1 ,由定积分的几何意义可得曲线2y x=与直线y x =所围成的封闭图形的面积为()1223100111|236x x dx x x ⎛⎫-=-= ⎪⎝⎭⎰ ,故选A.6.已知定义在R 上的函数()f x 满足(2)(2)f x f x +=-,且当2x >时,()()2()x f x f x f x ''⋅+>,若(1)1f =.则不等式1()2f x x <-的解集是( ) A .(2,3) B .(,1)-∞C .()(1,2)2,3⋃D .()(,1)3,-∞⋃+∞【答案】C 【解析】 【分析】令()|2|()F x x f x =-,当2x >时,则()(2)()F x x f x =-,利用导数可得当2x >时,()F x 单调递增,根据题意可得()F x 的图象关于2x =对称,不等式1()|2|f x x <-等价于|2|()1(2)x f x x -<≠,从而()(1)F x F <,利用对称性可得|2||12|x -<-,解不等式即可. 【详解】当2x >时,()()2()x f x f x f x ''⋅+>,∴(2)()()0x f x f x '-+>,令()|2|()F x x f x =-.当2x >时,则()(2)()F x x f x =-,()(2)()()0F x x f x f x ''=-+>, 即当2x >时,()F x 单调递增. 函数()f x 满足(2)(2)f x f x +=-,所以(2)(2)F x F x +=-,即()F x 的图象关于2x =对称, 不等式1()|2|f x x <-等价于|2|()1(2)x f x x -<≠, (1)|12|(1)(1)1F f f =-==,即()(1)F x F <,所以|2||12|x -<-,解得13x <<且2x ≠,解集为(1,2)(2,3)U . 故选:C 【点睛】本题考查了导数在解不等式中的应用、函数的对称性的应用以及绝对值不等式的解法,属于中档题.7.已知函数()2100ax x f x lnx x ⎧+≤=⎨⎩,,>,,下列关于函数()()0f f x m +=的零点个数的判断,正确的是( )A .当a =0,m ∈R 时,有且只有1个B .当a >0,m ≤﹣1时,都有3个C .当a <0,m <﹣1时,都有4个D .当a <0,﹣1<m <0时,都有4个 【答案】B 【解析】 【分析】分别画出0a =,0a >,0a <时,()y f x =的图象,结合()t f x =,()0f t m +=的解的情况,数形结合可得所求零点个数. 【详解】令()t f x =,则()0f t m +=,当0a =时, 若1m =-,则0t ≤或t e =,即01x <≤或e x e =, 即当0a =,m R ∈时,不是有且只有1个零点,故A 错误;当0a >时,1m ≤-时,可得0t ≤或m t e e -=≥,可得x 的个数为123+=个,即B 正确;当0a <,1m <-或10m -<<时,由0m ->,且1m -≠,可得零点的个数为1个或3个,故C ,D 错误. 故选:B .【点睛】本题考查了函数零点的相关问题,考查了数形结合思想,属于中档题.8.若曲线43y x x ax =-+(0x >)存在斜率小于1的切线,则a 的取值范围为( ) A .3,2⎛⎫-∞ ⎪⎝⎭B .1,2⎛⎫-∞ ⎪⎝⎭C .5,4⎛⎫-∞ ⎪⎝⎭D .1,4⎛⎫-∞ ⎪⎝⎭【答案】C 【解析】 【分析】对函数进行求导,将问题转化为不等式有解问题,再构造函数利用导数研究函数的最值,即可得答案; 【详解】由题意可得32431y x x a '=-+<在()0,x ∈+∞上有解,设()3243f x x x a =-+(0x >),()()2126621f x x x x x '=-=-,令()0f x '<,得102x <<;令()0f x '>,得12x >, ∴()f x 在1(0,)2单调递减,在1(,)2+∞单调递增,∴()min 11124f x f a ⎛⎫==-< ⎪⎝⎭,解得:54a <.故选:C. 【点睛】本题考查导数的几何意义、不等式有解问题,考查函数与方程思想、转化与化归思想,考查逻辑推理能力、运算求解能力.9.函数()xe f x x=的图象大致为( )A .B .C .D .【答案】B 【解析】函数()xe f x x=的定义域为(,0)(0,)-∞+∞U ,排除选项A ;当0x >时,()0f x >,且()2(1)'xx e f x x-= ,故当()0,1x ∈时,函数单调递减,当()1,x ∈+∞时,函数单调递增,排除选项C ;当0x <时,函数()0xe f x x=<,排除选项D ,选项B 正确.选B .点睛:函数图象的识别可从以下方面入手:(1)从函数的定义域,判断图象的左右位置;从函数的值域,判断图象的上下位置; (2)从函数的单调性,判断图象的变化趋势; (3)从函数的奇偶性,判断图象的对称性; (4)从函数的周期性,判断图象的循环往复; (5)从函数的特征点,排除不合要求的图象.10.设奇函数()f x 在[]11-,上为增函数,且()11f =,若[]11x ∃∈-,,使[]11a ∀∈-,,不等式()221f x t at ≤--成立,则t 的取值范围是( )A .22t -≤≤B .1122t -≤≤C .2t ≥或2t ≤-或0t =D .12t ≥或12t ≤-或0t =【答案】C 【解析】 【分析】()f x 在[]11x ∈-,上为增函数,[]11x ∃∈-,,使[]11a ∀∈-,,不等式()221f x t at ≤--成立,只需对于[]11a ∀∈-,,()2121f t at -≤--即可.【详解】∵奇函数()f x 在[]11x ∈-,上为增函数,且()11f =, ∴函数在[]11x ∈-,上的最小值为()()111f f -=-=-,又∵[]11x ∃∈-,,使[]11a ∀∈-,,不等式()221f x t at ≤--成立,∴()22111t at f --≥-=-,即220t at -≥, ①0t =时,不等式成立;②0t >时,()2220t at t t a -=-≥恒成立,从而2t a ≥,解得2t ≥;③0t <时,()2220t at t t a -=-≥恒成立,从而2t a ≤,解得2t ≤-故选:C. 【点睛】本题考查了含参数不等式恒成立问题,需要将不等式问题转化为函数最值问题,考查了理解辨析能力、运算求解能力和分类讨论思想,是中档题.11.二次函数,二次方程,一元二次不等式三个二次的相互转换是解决一元二次不等式问题的常用方法,数形结合是解决函数问题的基本思想.12.若点1414(log 7,log 56)在函数()3f x kx =+的图象上,则()f x 的零点为( ) A .1 B .32C .2D .34【答案】B 【解析】 【分析】将点的坐标代入函数()y f x =的解析式,利用对数的运算性质得出k 的值,再解方程()0f x =可得出函数()y f x =的零点.【详解】141414141414log 56log 4log 1412log 212(1log 7)32log 7=+=+=+-=-Q ,2k ∴=-,()2 3.f x x =-+故()f x 的零点为32,故选B.【点睛】本题考查对数的运算性质以及函数零点的概念,解题的关键在于利用对数的运算性质求出参数的值,解题时要正确把握零点的概念,考查运算求解能力,属于中等题.13.函数()||()af x x a R x=-∈的图象不可能是( ) A . B .C .D .【答案】C 【解析】 【分析】变成分段函数后分段求导,通过对a 分类讨论,得到函数的单调性,根据单调性结合四个选项可得答案. 【详解】,0(),0a x x xf x a x x x ⎧->⎪⎪=⎨⎪--<⎪⎩,∴221,0()1,0a x x f x a x x ⎧+>⎪⎪=⎨⎪-+<⎩'⎪.(1)当0a =时,,0(),0x x f x x x >⎧=⎨-<⎩,图象为A;(2)当0a >时,210ax+>,∴()f x 在(0,)+∞上单调递增, 令210ax-+=得x a = ∴当x a <,210ax -+<,当0a x <<时,210ax-+>,∴()f x 在(,a -∞上单调递减,在(,0)a 上单调递增,图象为D;(3)当0a <时,210ax-+<,∴()f x 在(,0)-∞上单调递减,令210ax +=得x =∴当x >时,210ax +>,当0x <<,210ax+<,∴()f x 在上单调递减,在)+∞上单调递增,图象为B; 故选:C. 【点睛】本题考查了分段函数的图像的识别,考查了分类讨论思想,考查了利用导数研究函数的单调性,属于中档题.14.已知函数()ln xf x x=,则使ln ()()()f x g x a f x =-有2个零点的a 的取值范围( ) A .(0,1) B .10,e ⎛⎫ ⎪⎝⎭C .1,1e ⎛⎫ ⎪⎝⎭D .1,e ⎛⎫-∞ ⎪⎝⎭【答案】B 【解析】 【分析】 令()ln xt f x x==,利用导数研究其图象和值域,再将ln ()()()f x g x a f x =-有2个零点,转化为ln ta t=在[),e +∞上只有一解求解. 【详解】 令()ln x t f x x ==,当01x <<时,()0ln xt f x x==<, 当1x >时,()2ln 1()ln x t f x x -''==,当1x e <<时,0t '<,当x e >时,0t '>,所以当x e =时,t 取得最小值e ,所以t e ≥, 如图所示:所以ln ()()()f x g x a f x =-有2个零点,转化为ln ta t=在[),e +∞上只有一解, 令ln t m t =,21ln 0t m t -'=≤,所以ln tm t=在[),e +∞上递减, 所以10m e <≤, 所以10a e <≤,当1a e=时,x e =,只有一个零点,不合题意,所以10a e<< 故选:B 【点睛】本题主要考查导数与函数的零点,还考查了数形结合的思想和运算求解的能力,属于中档题.15.三个数0.377,0.3,ln 0.3a b c ===大小的顺序是( ) A .a c b >> B .a b c >>C .b a c >>D .c a b >>【答案】B 【解析】试题分析:根据指数函数和对数函数的单调性知:0.30771a =>=,即1a >;7000.30.31b <=<=,即01b <<;ln0.3ln10c =<=,即0c <;所以a b c >>,故正确答案为选项B .考点:指数函数和对数函数的单调性;间接比较法.16.已知函数()f x 的导函数为()f x '且满足()()21ln f x x f x '=⋅+,则1f e ⎛⎫'= ⎪⎝⎭( ) A .12e- B .2e - C .1-D .e【答案】B 【解析】【分析】对函数求导得到导函数,代入1x =可求得()11f '=-,从而得到()f x ',代入1x e=求得结果. 【详解】由题意得:()()121f x f x''=+令1x =得:()()1211f f ''=+,解得:()11f '=-()12f x x '∴=-+12f e e ⎛⎫'∴=- ⎪⎝⎭本题正确选项:B 【点睛】本题考查导数值的求解,关键是能够通过赋值的方式求得()1f ',易错点是忽略()1f '为常数,导致求导错误.17.已知函数()2814f x x x =++,()()2log 4g x x =,若[]()15,4x a a ∀∈-≥-,(]20,1x ∃∈,使得()()12f x g x =成立,则a 的最大值为( )A .-4B .-3C .-2D .-1【答案】C 【解析】 【分析】由[]()15,4x a a ∀∈-≥-,(]20,1x ∃∈,使得()()12f x g x =成立得:()f x 的值域为()g x 的值域的子集,从而28142a a ++≤,故可求a 的最大值为2-.【详解】由[]()15,4x a a ∀∈-≥-,(]20,1x ∃∈,使得()()12f x g x =成立, 得:()f x 的值域为()g x 的值域的子集,由()()2log 4g x x =(]20,1x ∈()2g x ⇒≤ ,所以(](),2g x ∈-∞ 当43a --≤≤ 时,()21f x-#-,此时()f x 的值域为()g x 的值域的子集成立.当3a >-时,()22814f x a a -≤≤++,须满足()f x 的值域为()g x 的值域的子集,即28142a a ++≤,得62a -≤≤- 所以a 的最大值为2-. 故选:C. 【点睛】本题主要考查恒成立和存在性问题,注意把两类问题转化为函数值域的包含关系,此问题属于中档题目.18.在平面直角坐标系中,若P ,Q 满足条件:(1)P ,Q 都在函数f (x )的图象上;(2)P ,Q 两点关于直线y=x 对称,则称点对{P ,Q}是函数f(x)的一对“可交换点对”.({P ,Q}与{Q,P}看作同一“可交换点”.试问函数2232(0)(){log (0)x x x f x x x ++≤=>的“可交换点对有( )A .0对B .1对C .2对D .3对【答案】C 【解析】试题分析:设p (x ,y )是满足条件的“可交换点”,则对应的关于直线y=x 的对称点Q 是(y ,x ),所以232x x ++=2x ,由于函数y=232x x ++和y=2x 的图象由两个交点,因此满足条件的“可交换点对”有两个,故选C. 考点:函数的性质19.函数2ln x x y x=的图象大致是( )A .B .C .D .【答案】D 【解析】 【分析】根据函数为偶函数排除B ,当0x >时,利用导数得()f x 在1(0,)e上递减,在1(,)e+∞上递增,根据单调性分析,A C 不正确,故只能选D . 【详解】令2ln ||()||x x f x x =,则2()ln ||()()||x x f x f x x ---==-, 所以函数()f x 为偶函数,其图像关于y 轴对称,故B 不正确,当0x >时,2ln ()ln x xf x x x x==,()1ln f x x '=+,由()0f x '>,得1x e >,由()0f x '<,得10x e<<, 所以()f x 在1(0,)e上递减,在1(,)e +∞上递增,结合图像分析,,A C 不正确. 故选:D 【点睛】本题考查了利用函数的奇偶性判断函数的图象,考查了利用导数研究函数的单调性,利用单调性判断函数的图象,属于中档题.20.函数()()()log 5,0,1a f x ax a a =->≠在()1,3上是减函数,则a 的取值范围是( ) A .5,3⎛⎫+∞ ⎪⎝⎭B .1,15⎛⎫ ⎪⎝⎭C .51,3⎛⎫ ⎪⎝⎭D .51,3⎛⎤ ⎥⎝⎦【答案】D 【解析】 【分析】根据0a >可知5y ax =-在定义域内单调递减,若使得函数()()()log 5,0,1a f x ax a a =->≠在()1,3上是减函数,则需1530a a >⎧⎨-≥⎩,解不等式即可.【详解】 0a >Q5y ax ∴=-在定义域内单调递减若使得函数()()()log 5,0,1a f x ax a a =->≠在()1,3上是减函数则需1530a a >⎧⎨-≥⎩,解得513a <≤故选:D 【点睛】本题考查对数函数的单调性,属于中档题.。
函数与导数经典常考压轴大题命题预测本节内容在高考中通常以压轴题形式出现,常见的有函数零点个数问题、不等式证明问题、不等式存在性问题等,综合性较强,难度较大.在求解导数综合问题时,通常要综合利用分类讨论、构造函数、等价转化、设而不求等思想方法,同时联系不等式、方程等知识,思维难度大,运算量不低.可以说,只要考生啃下本节这个硬骨头,就具有了强大的逻辑推理、数学运算、数据分析、直观想象等核心素养.预计预测2024年高考,函数与导数是高中数学的重要考查内容,同时也是高等数学的基础,其试题的难度呈逐年上升趋势,通过对近十年的高考数学试题,分析并归纳出五大考点:(1)含参函数的单调性、极值与最值;(2)函数的零点问题;(3)不等式恒成立与存在性问题;(4)函数不等式的证明.(5)导数中含三角函数形式的问题其中,对于函数不等式证明中极值点偏移、隐零点问题、含三角函数形式的问题探究和不等式的放缩应用这四类问题是目前高考函数与导数压轴题的热点.高频考法(1)双变量问题(2)证明不等式(3)不等式恒成立与有解问题(4)零点问题(5)导数与三角函数结合问题01双变量问题破解双参数不等式的方法:一是转化,即由已知条件入手,寻找双参数满足的关系式,并把含双参数的不等式转化为含单参数的不等式;二是巧构函数,再借用导数,判断函数的单调性,从而求其最值;三是回归双参的不等式的证明,把所求的最值应用到双参不等式,即可证得结果.1(2024·广东·二模)已知f x =12ax 2+1-2a x -2ln x ,a >0.(1)求f x 的单调区间;(2)函数f x 的图象上是否存在两点A x 1,y 1 ,B x 2,y 2 (其中x 1≠x 2),使得直线AB 与函数f x 的图象在x 0=x 1+x 22处的切线平行?若存在,请求出直线AB ;若不存在,请说明理由.2(2024·四川·模拟预测)已知函数f x =a +1 e x -12x 2+1a ∈R .(1)当a =1时,求曲线y =f x 在点0,f 0 处的切线方程;(2)设x 1,x 2x 1<x 2 是函数y =f x 的两个零点,求证:x 1+x 2>2.3(2024·四川德阳·二模)已知函数f x =ln x +x 2-2ax ,a ∈R ,(1)当a >0时,讨论f x 的单调性;(2)若函数f x 有两个极值点x 1,x 2x 1<x 2 ,求2f x 1 -f x 2 的最小值.02证明不等式利用导数证明不等式问题,方法如下:(1)直接构造函数法:证明不等式f x >g x (或f x <g x )转化为证明f x -g x >0(或f x -g x <0),进而构造辅助函数h x =f x -g x ;(2)适当放缩构造法:一是根据已知条件适当放缩;二是利用常见放缩结论;(3)构造“形似”函数,稍作变形再构造,对原不等式同解变形,根据相似结构构造辅助函数.(4)对数单身狗,指数找基友(5)凹凸反转,转化为最值问题(6)同构变形1(2024·青海·模拟预测)已知质数f x =me x -x 2+mx -m ,且曲线y =f x 在点2,f 2 处的切线方程为4e 2x -y -4e 2=0.(1)求m 的值;(2)证明:对一切x ≥0,都有f x ≥e 2x 2.2(2024·山西晋城·二模)已知函数f (x )=(x -a )e x +x +a (a ∈R ).(1)若a =4,求f (x )的图象在x =0处的切线方程;(2)若f x ≥0对于任意的x ∈0,+∞ 恒成立,求a 的取值范围;(3)若数列a n 满足a 1=1且a n +1=2a n a n +2(n ∈N *),记数列a n 的前n 项和为S n ,求证:S n +13<ln (n +1)(n +2) .3(2024·上海松江·二模)已知函数y =x ⋅ln x +a (a 为常数),记y =f (x )=x ⋅g (x ).(1)若函数y =g (x )在x =1处的切线过原点,求实数a 的值;(2)对于正实数t ,求证:f (x )+f (t -x )≥f (t )-t ln2+a ;(3)当a =1时,求证:g (x )+cos x <e x x.03不等式恒成立与有解问题1、利用导数研究不等式恒成立问题的求解策略:(1)通常要构造新函数,利用导数研究函数的单调性,求出最值,从而求出参数的取值范围;(2)利用可分离变量,构造新函数,直接把问题转化为函数的最值问题;(3)根据恒成立或有解求解参数的取值时,一般涉及分离参数法,但压轴试题中很少碰到分离参数后构造的新函数能直接求出最值点的情况,进行求解,若参变分离不易求解问题,就要考虑利用分类讨论法和放缩法,注意恒成立与存在性问题的区别.2、利用参变量分离法求解函数不等式恒(能)成立,可根据以下原则进行求解:(1)∀x ∈D ,m ≤f x ⇔m ≤f x min ;(2)∀x ∈D ,m ≥f x ⇔m ≥f x max ;(3)∃x ∈D ,m ≤f x ⇔m ≤f x max ;(4)∃x ∈D ,m ≥f x ⇔m ≥f x min .3、不等式的恒成立与有解问题,可按如下规则转化:一般地,已知函数y =f x ,x ∈a ,b ,y =g x ,x ∈c ,d .(1)若∀x 1∈a ,b ,∀x 2∈c ,d ,有f x 1 <g x 2 成立,则f x max <g x min ;(2)若∀x 1∈a ,b ,∃x 2∈c ,d ,有f x 1 <g x 2 成立,则f x max <g x max ;(3)若∃x 1∈a ,b ,∃x 2∈c ,d ,有f x 1 <g x 2 成立,则f x min <g x max ;(4)若∀x 1∈a ,b ,∃x 2∈c ,d ,有f x 1 =g x 2 成立,则f x 的值域是g x 的值域的子集.1(2024·北京朝阳·一模)已知函数f x =1-axe x a∈R.(1)讨论f x 的单调性;(2)若关于x的不等式f x >a1-x无整数解,求a的取值范围.2(2024·黑龙江哈尔滨·一模)已知函数f x =xe x-ae x,a∈R.(1)当a=0时,求f x 在x=1处的切线方程;(2)当a=1时,求f x 的单调区间和极值;(3)若对任意x∈R,有f x ≤e x-1恒成立,求a的取值范围.3(2024·陕西安康·模拟预测)已知函数f x =ln x+1,g x =e x-1.(1)求曲线y=f x 与y=g x 的公切线的条数;(2)若a>0,∀x∈-1,+∞,f x+1≤a2g x +a2-a+1,求a的取值范围.04零点问题函数零点问题的常见题型:判断函数是否存在零点或者求零点的个数;根据含参函数零点情况,求参数的值或取值范围.求解步骤:第一步:将问题转化为函数的零点问题,进而转化为函数的图像与x轴(或直线y=k)在某区间上的交点问题;第二步:利用导数研究该函数在此区间上的单调性、极值、端点值等性质,进而画出其图像;第三步:结合图像判断零点或根据零点分析参数.1(2024·四川泸州·三模)设函数f x =e x-1,g x =ln x+b.(1)求函数F x =x-1f x 的单调区间;(2)若总存在两条直线和曲线y=f x 与y=g x 都相切,求b的取值范围.2(2024·北京房山·一模)已知函数f(x)=e ax+1 x.(1)当a=0时,求曲线y=f(x)在点(1,f(1))处的切线方程;(2)设g(x)=f (x)⋅x2,求函数g(x)的极大值;(3)若a<-e,求函数f(x)的零点个数.3(2024·浙江·二模)定义max a,b=a,a≥bb,a<b,已知函数f x =max ln x,-4x3+mx-1,其中m∈R.(1)当m=5时,求过原点的切线方程;(2)若函数f x 只有一个零点,求实数m的取值范围.05导数与三角函数结合问题分段分析法1(2024·全国·模拟预测)已知函数f x =13x3-12a x2+2cos x+x cos x-sin x.(1)讨论f x 的单调性(2)若a>0,求证:①函数f x 在0,+∞上只有1个零点;②f x >1-16a3-12a2-2sin a+π4.2(2024·河北沧州·一模)已知函数f x =x a e2x ,a >0.(1)当a =2时,求函数f x 的单调区间和极值;(2)当x >0时,不等式f x -cos ln f x ≥a ln x 2-4x 恒成立,求a 的取值范围.3(2024·全国·模拟预测)已知函数f (x )=e x -sin x .(1)若f (x )≥ax 2+1对于任意x ∈[0,+∞)恒成立,求a 的取值范围;(2)若函数f (x )的零点按照从大到小的顺序构成数列x n ,n ∈N *,证明:2ni =1x i <-2n 2+n π;(3)对于任意正实数x 1,x 2,证明:e x 2-x 2-1 e x 1>sin x 1+x 2 -sin x 1-x 2cos x 1.1已知函数f x =ax -ln x x ,a >0.(1)若f x 存在零点,求a 的取值范围;(2)若x 1,x 2为f x 的零点,且x 1<x 2,证明:a x 1+x 2 2>2.2已知函数f x =3ln x -ax .(1)讨论f x 的单调性.(2)已知x 1,x 2是函数f x 的两个零点x 1<x 2 .(ⅰ)求实数a 的取值范围.(ⅱ)λ∈0,12 ,f x 是f x 的导函数.证明:f λx 1+1-λ x 2 <0.3如图,对于曲线Γ,存在圆C 满足如下条件:①圆C 与曲线Γ有公共点A ,且圆心在曲线Γ凹的一侧;②圆C 与曲线Γ在点A 处有相同的切线;③曲线Γ的导函数在点A 处的导数(即曲线Γ的二阶导数)等于圆C 在点A 处的二阶导数(已知圆x -a 2+y -b 2=r 2在点A x 0,y 0 处的二阶导数等于r 2b -y 0 3);则称圆C 为曲线Γ在A 点处的曲率圆,其半径r 称为曲率半径.(1)求抛物线y =x 2在原点的曲率圆的方程;(2)求曲线y =1x的曲率半径的最小值;(3)若曲线y =e x 在x 1,e x 1 和x 2,e x 2x 1≠x 2 处有相同的曲率半径,求证:x 1+x 2<-ln2.4已知函数f x =ax2+x-ln x-a.(1)若a=1,求f x 的最小值;(2)若f x 有2个零点x1,x2,证明:a x1+x22+x1+x2>2.5已知函数f x =12e2x+a-2e x-2ax.(1)若曲线y=f x 在0,a-32处的切线方程为4ax+2y+1=0,求a的值及f x 的单调区间.(2)若f x 的极大值为f ln2,求a的取值范围.(3)当a=0时,求证:f x +5e x-52>32x2+x ln x.6已知函数f x =12x2+x+a ln x+1,a∈R.(1)讨论f x 的单调性;(2)证明:当a<-1时,a2+f x >1.7已知函数f x =x ln x+ax+1a∈R.(1)若f x ≥0恒成立,求a的取值范围;(2)当x>1时,证明:e x ln x>e(x-1).(1)判断函数f(x)的单调性(2)证明:①当a≥0时,f(x)≤0;②sin1n+1+sin1n+2+⋯+sin12n<ln2,n∈N*.9牛顿迭代法是牛顿在17世纪提出的一种在实数域和复数域上近似求解方程的方法.比如,我们可以先猜想某个方程f x =0的其中一个根r在x=x0的附近,如图6所示,然后在点x0,f x0处作f x 的切线,切线与x轴交点的横坐标就是x1,用x1代替x0重复上面的过程得到x2;一直继续下去,得到x0,x1,x2,⋯,x n.从图形上我们可以看到x1较x0接近r,x2较x1接近r,等等.显然,它们会越来越逼近r.于是,求r近似解的过程转化为求x n,若设精度为ε,则把首次满足x n-x n-1<ε的x n称为r的近似解.已知函数f x =x3-x+1,a∈R.(1)试用牛顿迭代法求方程f x =0满足精度ε=0.5的近似解(取x0=-1,且结果保留小数点后第二位);(2)若f x +3x2+6x+5+ae x≤0对任意x∈R都成立,求整数a的最大值.(计算参考数值:e≈2.72,e1.35≈3.86,e1.5≈4.48,1.353≈2.46,1.352≈1.82)(1)讨论f x 的单调性;(2)若∀x>0,f x ≤xe2x-2ax恒成立,求实数a的取值范围.11已知函数f x =x2-2a ln x-2(a∈R).(1)讨论f x 的单调性;(2)若不等式f x ≤2ln x2+x2-2x在区间(1,+∞)上有解,求实数a的取值范围.12已知函数f x =xe x,其中e=2.71828⋯为自然对数的底数.(1)求函数f x 的单调区间;(2)证明:f x ≤e x-1;(3)设g x =f x -e2x+2ae x-4a2+1a∈R,若存在实数x0使得g x0≥0,求a的最大值.13已知函数f x =e x-1-ax a∈R.(1)若函数f x 在点1,f1处的切线与直线x+2ey+1=0垂直,求a的值;(2)当x∈0,2时,讨论函数F x =f x -x ln x零点的个数.14已知函数f(x)=e2x-(2a-1)e x-ax.(1)讨论f(x)的单调性;(2)若f(x)有两个零点,求a的取值范围.15已知函数f x =e x-x2+a,x∈R,φx =f x +x2-x.(1)若φx 的最小值为0,求a的值;(2)当a<0.25时,证明:方程f x =2x在0,+∞上有解.16已知f (x )=x ex,g (x )=ln x x .(1)求函数y =f (x )、y =g (x )的单调区间和极值;(2)请严格证明曲线y =f (x )、y =g (x )有唯一交点;(3)对于常数a ∈0,1e,若直线y =a 和曲线y =f (x )、y =g (x )共有三个不同交点x 1,a 、x 2,a 、x 3,a ,其中x 1<x 2<x 3,求证:x 1、x 2、x 3成等比数列.17已知函数f x =sin x -ax ⋅cos x ,a ∈R .(1)当a =1时,求函数f x 在x =π2处的切线方程;(2)x ∈0,π2时;(ⅰ)若f x +sin2x >0,求a 的取值范围;(ⅱ)证明:sin 2x ⋅tan x >x 3.18f(x)=2sin(x+φ)-a+e-x,φ∈0,π2,已知f(x)的图象在(0,f(0))处的切线与x轴平行或重合.(1)求φ的值;(2)若对∀x≥0,f(x)≤0恒成立,求a的取值范围;(3)利用如表数据证明:157k=1sinkπ314<106.eπ314e-π314e78π314e-78π314e79π314e-79π314 1.0100.990 2.1820.458 2.2040.45419数值线性代数又称矩阵计算,是计算数学的一个重要分支,其主要研究对象包括向量和矩阵.对于平面向量a =(x ,y ),其模定义为|a |=x 2+y 2.类似地,对于n 行n 列的矩阵A nn =a 11a 12a 13⋯a 1n a 21a 22a 23⋯a 2n a 31a 32a 33⋯a 3n ⋮⋮⋮⋮,其模可由向量模拓展为A =∑ni =1∑nj =1a 2ij12(其中a ij为矩阵中第i 行第j 列的数,∑为求和符号),记作A F,我们称这样的矩阵模为弗罗贝尼乌斯范数,例如对于矩阵A 22=a 11a 12a21a 22=2435,其矩阵模A F =∑n i =1∑nj =1a 2ij12=22+42+32+52=3 6.弗罗贝尼乌斯范数在机器学习等前沿领域有重要的应用.(1)∀n ∈N *,n ≥3,矩阵B nn =100⋯0020⋯0003⋯0⋮⋮⋮⋮00⋯n,求使B F >35的n 的最小值.(2)∀n ∈N *,n ≥3,,矩阵C nn =1cos θcos θcos θ⋯cos θcos θ0-sin θ-sin θcos θ-sin θcos θ⋯-sin θcos θ-sin θcos θ00sin 2θsin 2θcos θ⋯sin 2θcos θsin 2θcos θ⋮⋮⋮⋮⋮⋮0000⋯(-1)n -2sin n -2θ(-1)n -2sin n -2θcos θ0000⋯0(-1)n -1sin n -1θ求C F.(3)矩阵D mn =ln n +2n +100⋅⋅⋅0ln n +1n 22ln n +1n 220⋅⋅⋅0⋮ln 43n -1n -1ln 43 n -1n -1ln 43 n -1n -1⋅⋅⋅0ln 32 n n ln 32 n n ln 32 nn ⋅⋅⋅ln 32nn,证明:∀n ∈N *,n ≥3,D F >n 3n +9.20已知函数f x =sin x -ln 1+ax .(1)若x ∈0,π2时,f x ≥0,求实数a 的取值范围;(2)设n ∈N *,证明:sin 13+ln 32-ln n +2n +1<nk =1sin 1k k +2 <34.1函数与导数经典常考压轴大题命题预测本节内容在高考中通常以压轴题形式出现,常见的有函数零点个数问题、不等式证明问题、不等式存在性问题等,综合性较强,难度较大.在求解导数综合问题时,通常要综合利用分类讨论、构造函数、等价转化、设而不求等思想方法,同时联系不等式、方程等知识,思维难度大,运算量不低.可以说,只要考生啃下本节这个硬骨头,就具有了强大的逻辑推理、数学运算、数据分析、直观想象等核心素养.预计预测2024年高考,函数与导数是高中数学的重要考查内容,同时也是高等数学的基础,其试题的难度呈逐年上升趋势,通过对近十年的高考数学试题,分析并归纳出五大考点:(1)含参函数的单调性、极值与最值;(2)函数的零点问题;(3)不等式恒成立与存在性问题;(4)函数不等式的证明.(5)导数中含三角函数形式的问题其中,对于函数不等式证明中极值点偏移、隐零点问题、含三角函数形式的问题探究和不等式的放缩应用这四类问题是目前高考函数与导数压轴题的热点.高频考法(1)双变量问题(2)证明不等式(3)不等式恒成立与有解问题(4)零点问题(5)导数与三角函数结合问题01双变量问题破解双参数不等式的方法:一是转化,即由已知条件入手,寻找双参数满足的关系式,并把含双参数的不等式转化为含单参数的不等式;二是巧构函数,再借用导数,判断函数的单调性,从而求其最值;三是回归双参的不等式的证明,把所求的最值应用到双参不等式,即可证得结果.1(2024·广东·二模)已知f x =12ax 2+1-2a x -2ln x ,a >0.(1)求f x 的单调区间;2(2)函数f x 的图象上是否存在两点A x 1,y 1 ,B x 2,y 2 (其中x 1≠x 2),使得直线AB 与函数f x 的图象在x 0=x 1+x22处的切线平行?若存在,请求出直线AB ;若不存在,请说明理由.【解析】(1)由题可得f(x )=ax +1-2a -2x =ax 2+(1-2a )x -2x =(ax +1)(x -2)x(x >0)因为a >0,所以ax +1>0,所以当x ∈(0,2)时,f (x )<0,f (x )在(0,2)上单调递减,当x ∈(2,+∞)时,f (x )>0,f (x )在(2,+∞)上单调递增.综上,f (x )在(0,2)上单调递减,在(2,+∞)上单调递增.(2)由题意得,斜率k =y 2-y 1x 2-x 1=12ax 22+(1-2a )x 2-2ln x 2 -12ax 21+(1-2a )x 1-2ln x 1 x 2-x 1=12a (x 22-x 21)+(1-2a )(x 2-x 1)-2ln x 2x 1x 2-x 1=a 2(x 1+x 2)+1-2a -2ln x2x 1x 2-x 1,f x 1+x 22 =a (x 1+x 2)2+1-2a -4x 1+x 2,由k =f x 1+x22 得,ln x2x 1x 2-x 1=2x 1+x 2,即ln x 2x 1=2(x 2-x 1)x 1+x 2,即ln x 2x 1-2x2x 1-1 x 2x1+1=0令t =x 2x 1,不妨设x 2>x 1,则t >1,记g (t )=ln t -2(t -1)t +1=ln t +4t +1-2(t >1)所以g(t )=1t -4(t +1)2=(t -1)2t (t +1)>0,所以g (t )在(1,+∞)上是增函数,所以g (t )>g (1)=0,所以方程g (t )=0无解,则满足条件的两点A ,B 不存在.2(2024·四川·模拟预测)已知函数f x =a +1 e x -12x 2+1a ∈R .(1)当a =1时,求曲线y =f x 在点0,f 0 处的切线方程;(2)设x 1,x 2x 1<x 2 是函数y =f x 的两个零点,求证:x 1+x 2>2.【解析】(1)当a =1时,f x =2e x -12x 2+1,f x =2e x -x ,则f 0 =3,f 0 =2,则切线方程为y -3=2x ,因此曲线y =f x 在点0,f 0 处的切线方程为2x -y +3=0.(2)证明:函数f x =a +1 e x -x ,x 1,x 2是y =f x 的两个零点,所以x 1=a +1 e x 1,x 2=a +1 e x 2,则有x 1+x 2=a +1 e x 1+e x 2,且x 2-x 1=a +1 e x 2-e x1,由x 1<x 2,得a +1=x 2-x 1e x 2-ex 1.要证x 1+x 2>2,只要证明a +1 e x 1+e x 2>2,即证x 2-x 1 e x 2+ex1e x 2-ex 1>2.记t =x 2-x 1,则t >0,e t >1,因此只要证明t ⋅e t +1e t -1>2,即t -2 e t +t +2>0.记h t =t -2 e t +t +2(t >0),则h t =t -1 e t +1,令φt =t -1 e t +1,则φ t =te t ,当t >0时,φ t =te t >0,3所以函数φt =t -1 e t +1在0,+∞ 上递增,则φt >φ0 =0,即h t >h 0 =0,则h t 在0,+∞ 上单调递增,∴h t >h 0 =0,即t -2 e t +t +2>0成立.3(2024·四川德阳·二模)已知函数f x =ln x +x 2-2ax ,a ∈R ,(1)当a >0时,讨论f x 的单调性;(2)若函数f x 有两个极值点x 1,x 2x 1<x 2 ,求2f x 1 -f x 2 的最小值.【解析】(1)因为f x =ln x +x 2-2ax ,x >0,所以f(x )=1x +2x -2a =2x 2-2ax +1x,令g (x )=2x 2-2ax +1,则Δ=4a 2-8=4a 2-2 ,因为a >0,当0<a ≤2时,Δ≤0,则g (x )≥0,即f (x )≥0,此时f (x )在(0,+∞)上单调递增,当a >2时,Δ>0,由g (x )=0,得x 3=a -a 2-22,x 4=a +a 2-22,且x 3<x 4,当0<x <x 3或x >x 4时,g (x )>0,即f (x )>0;当x 3<x <x 4时,g (x )<0,即f (x )<0,所以f (x )在0,x 3 ,x 4,+∞ 上单调递增,在x 3,x 4 上单调递减;综上,当0<a ≤2时,f (x )在(0,+∞)上单调递增,当a >2时,f (x )在0,x 3 ,x 4,+∞ 上单调递增,在x 3,x 4 上单调递减,其中x 3=a -a 2-22,x 4=a +a 2-22.(2)由(1)可知,x 3,x 4为f (x )的两个极值点,且x 3<x 4,所以x 1=x 3,x 2=x 4,且x 1,x 2是方程2x 2-2ax +1=0的两不等正根,此时a >2,x 1+x 2=a >0,x 1⋅x 2=12,所以x 1∈0,22 ,x 2∈22,+∞ ,且有2ax 1=2x 21+1,2ax 2=2x 22+1,则2f x 1 -f x 2 =2ln x 1+x 21-2ax 1 -ln x 2+x 22-2ax 2=2ln x 1+x 21-2x 21-1 -ln x 2+x 22-2x 22-1 =-2x 21+2ln x 1-ln x 2+x 22-1=x 22-212x 22+2ln12x 2-ln x 2-1=x 22-12x 22-32ln x 22-2ln2-1令t =x 22,则t ∈12,+∞ ,令g t =t -12t -32ln t -2ln2-1,则g t =1+12t 2-32t =2t -1 t -1 2t 2,当t ∈12,1 时,g t <0,则g t 单调递减,当t ∈1,+∞ 时,g t >0,则g t 单调递增,所以g t min =g 1 =-1+4ln22,所以2f x 1 -f x 2 的最小值为-1+4ln22.402证明不等式利用导数证明不等式问题,方法如下:(1)直接构造函数法:证明不等式f x >g x (或f x <g x )转化为证明f x -g x >0(或f x -g x <0),进而构造辅助函数h x =f x -g x ;(2)适当放缩构造法:一是根据已知条件适当放缩;二是利用常见放缩结论;(3)构造“形似”函数,稍作变形再构造,对原不等式同解变形,根据相似结构构造辅助函数.(4)对数单身狗,指数找基友(5)凹凸反转,转化为最值问题(6)同构变形1(2024·青海·模拟预测)已知质数f x =me x -x 2+mx -m ,且曲线y =f x 在点2,f 2 处的切线方程为4e 2x -y -4e 2=0.(1)求m 的值;(2)证明:对一切x ≥0,都有f x ≥e 2x 2.【解析】(1)f x =me x -2x +m ,f 2 =me 2-4+m ,f 2 =me 2-4+m ,则有4e 2=me 2-4+m ,4e 2×2-me 2-4+m -4e 2=0,解得m =4;(2)由m =4,故f x =4e x -x 2+4x -4,要证对一切x ≥0,都有f x ≥e 2x 2,即证4e x ≥e 2+1 x 2-4x +4对一切x ≥0恒成立,即证e 2+1 x 2-4x +4e x ≤4对一切x ≥0恒成立,令g x =e 2+1 x 2-4x +4e x,gx =2e 2+1 x -4-e 2+1 x 2+4x -4e x =-e 2+1 x 2+2e 2+3 x -8e x=-e 2+1 x -4 x -2 e x ,则当x ∈0,4e 2+1 ∪2,+∞ 时,g x <0,则当x ∈4e 2+1,2时,g x >0,即g x 在0,4e 2+1 、2,+∞ 上单调递减,在4e 2+1,2上单调递增,又g 0 =4e 0=4,g 2 =4e 2+1 -4×2+4e 2=4e 2+4-8+4e 2=4,故g x ≤4对一切x ≥0恒成立,即得证.2(2024·山西晋城·二模)已知函数f (x )=(x -a )e x +x +a (a ∈R ).(1)若a =4,求f (x )的图象在x =0处的切线方程;(2)若f x ≥0对于任意的x ∈0,+∞ 恒成立,求a 的取值范围;(3)若数列a n 满足a 1=1且a n +1=2a n a n +2(n ∈N *),记数列a n 的前n 项和为S n ,求证:S n +13<ln (n +1)(n +2) .【解析】(1)当a =4时,f (x )=(x -4)e x +x +4,则f (x)=(x-3)e x+1,得f (0)=-2,又f(0)=0,所以f(x)在x=0处的切线为y=-2x;(2)f(x)=(x-a)e x+x+a≥0对∀x∈[0,+∞)恒成立,f (x)=(x+1-a)e x+1,设g(x)=(x+1-a)e x+1(x≥0),则g (x)=(x+2-a)e x,当2-a≥0即a≤2时,g (x)≥0,g(x)在[0,+∞)上单调递增,且g(0)=2-a≥0,所以g(x)≥0,即f (x)≥0,此时f(x)在[0,+∞)上单调递增,且f(0)=0,所以f(x)≥0对∀x∈[0,+∞)恒成立.当2-a<0即a>2时,令g (x)<0⇒0<x<a-2,g (x)>0⇒x>a-2,所以函数g(x)在(0,a-2)上单调递减,在(a-2,+∞)上单调递增,则g(x)min=g(a-2)=1-e a-2<0,又g(0)=2-a<0,所以在(0,a-2)上恒有g(x)<0,即f (x)<0,函数f(x)在(0,a-2)上单调递减,且f(0)=0,则在(0,a-2)上有f(x)<0,不符合题意.综上,a≤2,即实数a的取值范围为(-∞,2](3)由a n+1=2a na n+2,得1a n+1-1a n=12,又1a1=1,所以数列1a n是以1为首项,以12为公差的等差数列,故1a n=1+12(n-1)=n+12,所以a n=2n+1.当n=1时,S1+13=a1+13=43<ln6恒成立;当n≥2时,先证:2n+1<ln n+2n,即证2n+1<ln n+1+1n+1-1=ln1+1n+11-1n+1,设x=1n+1,则0<x<1,即证2x<ln1+x1-x(0<x<1),令h(x)=2x-ln 1+x1-x(0<x<1),则h (x)=2-1x+1-11-x=-2x21-x2<0,所以h(x)在(0,1)上单调递减,故h(x)<h(0)=0,即2x<ln 1+x1-x,即2n+1<ln n+2n.所以当n≥2时,S n+13=13+23+24+⋯+2n+1<ln6+ln42+ln53+⋯+ln n+2n=ln6×4×5×⋯×n(n+1)(n+2)2×3×4×5×⋯×n=ln[(n+1)(n+2)].综上,S n+13<ln[(n+1)(n+2)].3(2024·上海松江·二模)已知函数y=x⋅ln x+a(a为常数),记y=f(x)=x⋅g(x).(1)若函数y=g(x)在x=1处的切线过原点,求实数a的值;(2)对于正实数t,求证:f(x)+f(t-x)≥f(t)-t ln2+a;(3)当a=1时,求证:g(x)+cos x<e xx.【解析】(1)由题意,函数y=x⋅ln x+a,且y=f(x)=x⋅g(x),可得g(x)=f(x)x=ln x+ax,x>0,则g (x)=1x-ax2=x-ax2,5所以g (1)=1-a,又因为g(1)=ln1+a=a,所以g x 在x=1处的切线方程为y=(1-a)(x-1)+a,又因为函数y=g(x)在x=1处的切线过原点,可得0=(1-a)⋅(0-1)+a,解得a=1 2 .(2)设函数h x =f x +f t-x,t>0,可得h x =x ln x+(t-x)ln(t-x)+2a,其中0<x<t,则h x =ln x+1-ln(t-x)-1=lnxt-x,令h x >0,可得xt-x>1,即2x-tt-x>0,即2x-tx-t<0,解得t2<x<t,令h x <0,可得0<xt-x<1,解得0<x<t2,所以h x 在t2,t上单调递增,在0,t2上单调递减,可得h x 的最小值为ht2,所以h x ≥h t2 ,又由ht2=f t2 +f t-t2=t ln t2+2a=f t -t ln2+a,所以f x +f t-x≥f t -t ln2+a.(3)当a=1时,即证ln x+1x <e xx-cos x,由于cos x∈[-1,1],所以e xx-cos x≥e xx-1,只需证ln x+1x<e xx-1,令k x =ln x+1x-e xx+1,x>0,只需证明k x <0,又由k x =1x-1x2-e x(x-1)x2=(1-e x)(x-1)x2,因为x>0,可得1-e x<0,令k x >0,解得0<x<1;令k x <0,解得x>1,所以k x 在(0,1)上单调递增,在(1,+∞)上单调递减,所以k x 在x=1处取得极大值,也时最大值,所以k x max=k1 =2-e<0,即k x <0,即a=1时,不等式g(x)+cos x<e xx恒成立.03不等式恒成立与有解问题1、利用导数研究不等式恒成立问题的求解策略:(1)通常要构造新函数,利用导数研究函数的单调性,求出最值,从而求出参数的取值范围;(2)利用可分离变量,构造新函数,直接把问题转化为函数的最值问题;(3)根据恒成立或有解求解参数的取值时,一般涉及分离参数法,但压轴试题中很少碰到分离参数后构造的新函数能直接求出最值点的情况,进行求解,若参变分离不易求解问题,就要考虑利用分类讨论法和放缩法,注意恒成立与存在性问题的区别.2、利用参变量分离法求解函数不等式恒(能)成立,可根据以下原则进行求解:(1)∀x∈D,m≤f x ⇔m≤f x min;(2)∀x∈D,m≥f x ⇔m≥f x max;(3)∃x∈D,m≤f x ⇔m≤f x max;(4)∃x∈D,m≥f x ⇔m≥f x min.673、不等式的恒成立与有解问题,可按如下规则转化:一般地,已知函数y =f x ,x ∈a ,b ,y =g x ,x ∈c ,d .(1)若∀x 1∈a ,b ,∀x 2∈c ,d ,有f x 1 <g x 2 成立,则f x max <g x min ;(2)若∀x 1∈a ,b ,∃x 2∈c ,d ,有f x 1 <g x 2 成立,则f x max <g x max ;(3)若∃x 1∈a ,b ,∃x 2∈c ,d ,有f x 1 <g x 2 成立,则f x min <g x max ;(4)若∀x 1∈a ,b ,∃x 2∈c ,d ,有f x 1 =g x 2 成立,则f x 的值域是g x 的值域的子集.1(2024·北京朝阳·一模)已知函数f x =1-ax e x a ∈R .(1)讨论f x 的单调性;(2)若关于x 的不等式f x >a 1-x 无整数解,求a 的取值范围.【解析】(1)f x =1-a -ax e x ,当f x =0,得x =1-aa ,当a >0时,x ∈-∞,1-a a时,fx >0,f x 单调递增,x ∈1-a a,+∞ 时,f x <0,f x 单调递减,当a <0时,x ∈-∞,1-aa时,f x <0,f x 单调递减,x ∈1-a a,+∞ 时,f x >0,f x 单调递增,当a =0时,f x =e x ,函数f x 在R 上单调递增,综上可知,a >0时,函数f x 的单调递增区间是-∞,1-a a,单调递减区间是1-aa ,+∞ ,a <0时,函数f x 的单调递减区间是-∞,1-a a ,单调递增区间是1-aa ,+∞ ,a =0时,函数f x 的增区间是-∞,+∞ ,无减区间.(2)不等式1-ax e x >a 1-x ,即a x -x -1e x<1,设h x =x -x -1e x ,h x =1-2-x e x =e x +x -2e x,设t x =e x +x -2,t x =e x +1>0,所以t x 单调递增,且t 0 =-1,t 1 =e -2>0,所以存在x 0∈0,1 ,使t x 0 =0,即h x 0 =0,当x ∈-∞,x 0 时,h x <0,h x 单调递减,当x ∈x 0,+∞ 时,h x >0,h x 单调递增,所以h x ≥h x 0 =x 0e x-x 0+1ex,因为e x≥x +1,所以h x ≥h x 0 =x 0e x-x 0+1e x 0≥x 0x 0+1 -x 0+1e x 0=x 20+1ex>0,当x ≤0时,h x ≥h 0 =1,当x ≥1时,h x ≥h 1 =1,不等式1-ax e x >a 1-x 无整数解,即a x -x -1e x<1无整数解,若a ≤0时,不等式恒成立,有无穷多个整数解,不符合题意,若a ≥1时,即1a≤1,因为函数h x 在-∞,0 上单调递减,在1,+∞ 上单调递增,所以x ∈Z 时,h x ≥min h 0 ,h 1 =1≥1a ,所以h x <1a 无整数解,符合题意,当0<a <1时,因为h 0 =h 1 =1<1a ,显然0,1是a ⋅h x <1的两个整数解,不符合题意,8综上可知,a ≥1.2(2024·黑龙江哈尔滨·一模)已知函数f x =xex -ae x ,a ∈R .(1)当a =0时,求f x 在x =1处的切线方程;(2)当a =1时,求f x 的单调区间和极值;(3)若对任意x ∈R ,有f x ≤e x -1恒成立,求a 的取值范围.【解析】(1)当a =0时,f x =xex ,则f x =1-x ex,f 1 =0,f 1 =1e ,所以切线方程为y =1e.(2)当a =1时,f x =xe -x -e x ,f x =1-x e -x -e x =1-x -e 2xex.令g x =1-x -e 2x ,g x =-1-2e 2x<0,故g x 在R 上单调递减,而g 0 =0,因此0是g x 在R 上的唯一零点即:0是f x 在R 上的唯一零点当x 变化时,f x ,f x 的变化情况如下表:x-∞,0 00,+∞f x +0-f x↗极大值↘f x 的单调递减区间为:0,+∞ ;递增区间为:-∞,0 f x 的极大值为f 0 =-1,无极小值(3)由题意知xe -x-ae x≤e x -1,即a ≥xe -x -e x -1e x,即a ≥x e2x -1e ,设m x =x e 2x -1e ,则mx =e 2x -2xe 2x e 2x2=1-2x e 2x ,令m x =0,解得x =12,当x ∈-∞,12 ,m x >0,m x 单调递增,当x ∈12,+∞ ,m x <0,m x 单调递减,所以m x max =m 12 =12e -1e =-12e,所以a ≥-12e3(2024·陕西安康·模拟预测)已知函数f x =ln x +1,g x =e x -1.(1)求曲线y =f x 与y =g x 的公切线的条数;(2)若a >0,∀x ∈-1,+∞ ,f x +1 ≤a 2g x +a 2-a +1,求a 的取值范围.【解析】(1)设f x =ln x +1,g x =e x -1的切点分别为x 1,f x 1 ,x 2,g x 2 ,则f x =1x,g (x )=e x ,故f x =ln x +1,g x =e x -1在切点处的切线方程分别为y =1x 1x -x 1 +ln x 1+1⇒y =1x 1x +ln x 1,y =e x 2x -x 2 +e x 2-1⇒y =e x 2x -x 2e x 2+e x2-1则需满足;91x 1=ex 2ln x 1=-x 2ex 2+e x 2-1,故ln1ex 2=-x 2e x 2+e x 2-1⇒e x 2-1 x 2-1 =0,解得x 2=0或x 2=1,因此曲线y =f x 与y =g x 有两条不同的公切线,(2)由f x +1 ≤a 2g x +a 2-a +1可得ln x +1 +1≤a 2e x -1 +a 2-a +1,即ln x +1 ≤a 2e x -a 对于∀x ∈-1,+∞ 恒成立,ln 0+1 ≤a 2e 0-a ,结合a >0,解得a ≥1设m (x )=ln x -x +1,,则当x >1时m (x )=1x-1<0,m x 单调递减,当0<x <1时,m (x )>0,m x 单调递增,故当m (x )≤m 1 =0,故ln x ≤x -1,因此ln x +1 ≤x ,x >-1 ,令F x =x -a 2e x +a ,x >-1 ,则F x =1-a 2e x ,令F x =1-a 2e x =0,得x =-2ln a ,当-2ln a ≤-1时,此时a ≥e ,F x =1-a 2e x <0,故F x 在x >-1上单调递减,所以F x <F -1 =-1-a 2e +a =-a 2+ea -e e =-a -e 2 2+e 24-e e≤-e -e 22+e 24+ee=e -2<0,所以F x =x -a 2e x +a <0,由于ln x +1 ≤x 进而ln (x +1)-a 2e x +a <0,满足题意,当-2ln a >-1时,此时1<a <e ,令F x =1-a 2e x >0,解得-1<x <-2ln a ,F x 单调递增,令F x =1-a 2e x <0,解得x >-2ln a ,F x 单调递减,故F x ≤F x max =F -2ln a =-2ln a -1+a ,令p a =-2ln a -1+a ,则p a =-2a +1=a -2a ,由于1<a <e ,所以p a =-2a +1=a -2a<0,故p a 在1<a <e 单调递减,故p a <p 1 ,即可p a <0,因此F x ≤F x max =F -2ln a =-2ln a -1+a <0⇒F x <0所以F x =x -a 2e x +a <0,由于ln x +1 ≤x 进而ln (x +1)-a 2e x +a <0,满足题意,综上可得a ≥104零点问题函数零点问题的常见题型:判断函数是否存在零点或者求零点的个数;根据含参函数零点情况,求参数的值或取值范围.求解步骤:第一步:将问题转化为函数的零点问题,进而转化为函数的图像与x 轴(或直线y =k )在某区间上的交点问题;第二步:利用导数研究该函数在此区间上的单调性、极值、端点值等性质,进而画出其图像;第三步:结合图像判断零点或根据零点分析参数.1(2024·四川泸州·三模)设函数f x =e x -1,g x =ln x +b .(1)求函数F x =x -1 f x 的单调区间;10(2)若总存在两条直线和曲线y =f x 与y =g x 都相切,求b 的取值范围.【解析】(1)F x =x -1 f x =x -1 e x -1,F x =xe x -1,令F x >0,得x >0,令F x <0,得x <0,所以函数F x 的单调递增区间为0,+∞ ,单调递减区间为-∞,0 ;(2)∵f x =e x -1∴f x =e x -1在m ,e m -1 处的切线方程为y =e m -1x +1-m e m -1,∵g x =1x,∴g x =ln x +b 在点n ,ln n +b 处的切线方程为y =1nx +ln n +b -1,由题意得e m -1=1n(1-m )e m -1=ln n +b -1,则m -1 e m -1-m +b =0,令h m =m -1 e m -1-m +b ,则h (x )=me m -1-1,令φm =me m -1-1,则φ m =m +1 e m -1,当m <-1时,φ m <0,当m >-1时,φ m >0,所以函数φm 在-∞,-1 上单调递减,在-1,+∞ 上单调递增,即函数h m 在-∞,-1 上单调递减,在-1,+∞ 上单调递增,又h 1 =0,且当m ≤0时,h m <0,所以m <1时,h m <0,h (m )单调递减;当m >1时,h (m )>0,h (m )单调递增,所以h m min =h 1 =b -1,若总存在两条直线和曲线y =f x 与y =g x 都相切,则曲线y =h m 与x 轴有两个不同的交点,则h 1 =b -1<0,所以b <1,此时h b -1 =b -2 e b -2+1>-1e+1>0,h 3-b =2-b e 2-b +2b -3>2-b 3-b =b -322+34>0,所以b 的取值范围为-∞,1 .2(2024·北京房山·一模)已知函数f (x )=e ax +1x.(1)当a =0时,求曲线y =f (x )在点(1,f (1))处的切线方程;(2)设g (x )=f (x )⋅x 2,求函数g (x )的极大值;(3)若a <-e ,求函数f (x )的零点个数.【解析】(1)当a =0时,f (x )=1+1x ,f x =-1x 2,则f 1 =-1,f 1 =2,所以曲线y =f (x )在点(1,f (1))处的切线方程为y -2=-x -1 ,即y =-x +3;(2)f (x )=ae ax -1x2,则g (x )=f (x )⋅x 2=ax 2e ax -1x ≠0 ,则g x =2axe ax +a 2x 2e ax =ax ax +2 e ax x ≠0 ,当a =0时,g x =-1,此时函数g x 无极值;当a >0时,令g x <0,则x >0或x <-2a ,令g x <0,则-2a<x <0,所以函数g x 在-∞,-2a ,0,+∞ 上单调递增,在-2a ,0 上单调递减,所以g x 的极大值为g -2a =4ae2-1;当a<0时,令g x <0,则x<0或x>-2a,令gx <0,则0<x<-2a,所以函数g x 在-∞,0,-2a,+∞上单调递增,在0,-2a上单调递减,而函数g x 的定义域为-∞,0∪0,+∞,所以此时函数g x 无极值.综上所述,当a≤0时,函数g x 无极大值;当a>0时,g x 的极大值为4ae2-1;(3)令f(x)=e ax+1x =0,则e ax=-1x,当x>0时,e ax>0,-1x<0,所以x>0时,函数f x 无零点;当x<0时,由e ax=-1x,得ax=ln-1x,所以a=-ln-xx,则x<0时,函数f x 零点的个数即为函数y=a,y=-ln-xx图象交点的个数,令h x =-ln-xxx<0,则h x =ln-x-1x2,当x<-e时,h x >0,当-e<x<0时,h x <0,所以函数h x 在-∞,-e上单调递增,在-e,0上单调递减,所以h x max=h-e=1 e,又当x→-∞时,h x >0且h x →0,当x→0时,h x →-∞,如图,作出函数h x 的大致图象,又a<-e,由图可知,所以函数y=a,h x =-ln-xx的图象只有1个交点,即当x<0时,函数f x 只有1个零点;综上所述,若a<-e,函数f(x)有1个零点.3(2024·浙江·二模)定义max a,b=a,a≥bb,a<b,已知函数f x =max ln x,-4x3+mx-1,其中m∈R.(1)当m=5时,求过原点的切线方程;(2)若函数f x 只有一个零点,求实数m的取值范围.【解析】(1)由题意知f x 定义域0,+∞,当m=5时,f x =-4x3+5x-1,-4x3+5x-1≥ln xln x,-4x3+5x-1<ln x ,令g x =-4x3+5x-1,g x =-12x 2+5>0⇒0<x <6012,⇒g x 在0,6012 单调递增,6012,+∞ 单调递减,且g 1 =0,令h x =ln x ,则在0,+∞ 单调递增,而f 1 =0=h 1 ,又g 14 =316,h 14 =ln 14<-1,而g 0 =-1,所以当0<x <14时,g x >h x ,当14≤x <1时,g x >0>h x ,所以当0<x <1时,f x =g x ,当x ≥1时,f x =h x ,所以f x =-4x 3+5x -1,0<x <1ln x ,x ≥1,所以f x 在0,6012和1,+∞ 单调递增,在6012,1 单调递减.(ⅰ)当0<x <1时,f x =-12x 2+5,设切点M x 0,-4x 30+5x 0-1 ,则此切线方程为y =-12x 20+5 x -x 0 -4x 30+5x 0-1,又此切线过原点,所以0=-12x 20+5 0-x 0 -4x 30+5x 0-1,解得x 0=12,即此时切线方程是2x -y =0;(ⅱ)当x ≥1时,f x =ln x ,所以f x =1x,设切点为x 0,ln x 0 ,此时切线方程y =1x 0x -x 0 +ln x 0,又此切线过原点,所以0=1x 00-x 0 +ln x 0,解得x 0=e ,所以此时切线方程x -ey =0,综上所述,所求切线方程是:x -ey =0或2x -y =0;(2)(ⅰ)当m =5时,由(1)知,f x 在0,6012 和1,+∞ 单调递增,6012,1单调递减,且f 0 =1,f 14 =316>0,f 1 =0,此时f x 有两个零点;(ⅱ)当m >5时,当0<x <1时,-4x 3+5x -1<-4x 3+mx -1,由(1)知:g x =-4x 3+5x -1在0,6012 递增,6012,1递减,且g 1 =0,所以x ∈6012,+∞ 时,f x >0,而f 0 =-1,所以f x 在0,6012 只有一个零点,6012,+∞ 没有零点;(ⅲ)当0<m <5时,y =-4x 3+mx -1,此时y =-12x 2+m >0得0<x <m 12<6012,由(1)知,当x ≥1时,f x =ln x 只有一个零点x =1,要保证f x 只有一个零点,只需要当0<x <1时,f x =-4x 3+mx -1没有零点,f m12=-4m123+m m 12-1=m 3m 9-1<00<m<1 ,得0<m <3;(ⅳ)当m≤0时,当x∈0,+∞时,g x =-4x3+mx-1<0,此时f x 只有一个零点x=1,综上,f x 只有一个零点时,m<3或m>5 .05导数与三角函数结合问题分段分析法1(2024·全国·模拟预测)已知函数f x =13x3-12a x2+2cos x+x cos x-sin x.(1)讨论f x 的单调性(2)若a>0,求证:①函数f x 在0,+∞上只有1个零点;②f x >1-16a3-12a2-2sin a+π4.【解析】(1)因为f x =13x3-12a x2+2cos x+x cos x-sin x,所以f x =x2-ax+a sin x-x sin x=x-ax-sin x.设g x =x-sin x,则g x =1-cos x≥0,所以g x 在R上单调递增,且g0 =0,所以当x>0时,x-sin x>0;当x<0时,x-sin x<0.当a=0时,f x =x x-sin x≥0,所以f x 在R上单调递增.当a>0时,若x∈0,a,则f x <0,所以f x 单调递减;若x∈-∞,0或x∈a,+∞,则f x >0,所以f x 单调递增.当a<0时,若x∈a,0,则f x <0,所以f x 单调递减;若x∈-∞,a或x∈0,+∞,则f x >0,所以f x 单调递增.综上所述,当a=0时,f x 在R上单调递增;当a>0时,f x 在0,a上单调递减,在-∞,0,a,+∞上单调递增;当a<0时,f x 在a,0上单调递减,在-∞,a,0,+∞上单调递增. (2)①由(1)知,当a>0时,f x 在0,a上单调递减,在a,+∞上单调递增,又f0 =-a<0,所以f a <f0 <0,所以f x 在0,a上没有零点.因为x>0,所以f(x)=13x3-12a x2+2cos x+x cos x-sin x>13x3-12a x2+2-x-1=19x2x-92a+19x x2-9+19x3-a+1所以当x>92ax>3x>39a+9时,f x >0,此时f x 在a,+∞上只有1个零点.综上可得,f x 在0,+∞上只有1个零点.②由a>0,知f x 在0,a上单调递减,在a,+∞上单调递增,所以f x ≥f a =-16a3-sin a,所以f a +16a 3+12a 2+2sin a +π4 -1=12a 2+cos a -1.设h a =12a 2+cos a -1,则h a =a -sin a .由(1)知,当a >0时,a -sin a >0,所以当a >0时,h a >0,所以h a >0在0,+∞ 上单调递增,所以h a >h 0 =0,即f a >1-16a 3-12a 2-2sin a +π4 ,所以f x >1-16a 3-12a 2-2sin a +π4.2(2024·河北沧州·一模)已知函数f x =x ae2x ,a >0.(1)当a =2时,求函数f x 的单调区间和极值;(2)当x >0时,不等式f x -cos ln f x ≥a ln x 2-4x 恒成立,求a 的取值范围.【解析】(1)当a =2时,f x =x 2e 2xfx =2x ⋅e 2x -x 2⋅e 2x ⋅2e 2x 2=-2x (x -1)e 2x 令f x =0,解得x =0或x =1,所以x 、f (x )、f (x )的关系如下表:x (-∞,0)0(0,1)1(1,+∞)f (x )-0+-f (x )单调递减单调递增1e 2单调递减所以函数f x 的单调递增区间为:(0,1),单调递减区间为:(-∞,0)和(1,+∞);极大值f (1)=1e2,极小值f (0)=0;(2)f (x )-cos ln f (x ) ≥a ln x 2-4x ⇔x a e 2x -cos ln x a e2x≥2a ln x -4x⇔e a ln x -2x -2(a ln x -2x )-cos (a ln x -2x )≥0令g (t )=e t -2t -cos t ,其中t =a ln x -2x ,设F (x )=a ln x -2x ,a >0F (x )=a x -2=a -2xx 令F (x )>0,解得:0<x <a2,所以函数F (x )在0,a 2上单调递增,在a2,+∞ 上单调递减,F (x )max =F a 2 =a ln a2-a ,且当x →0+时,F (x )→-∞,所以函数F (x )的值域为-∞,a ln a2-a ;又g (t )=e t -2+sin t ,设h (t )=e t -2+sin t ,t ∈-∞,a ln a2-a ,则h (t )=e t +cos t ,当t ≤0时,e t ≤1,sin t ≤1,且等号不同时成立,即g (t )<0恒成立;t。
新数学复习题《函数与导数》专题解析一、选择题1.已知函数()f x 是定义在R 上的偶函数,当0x ≥时,2()4f x x x =-,则不等式(2)5f x +<的解集为( )A .(3,7)-B .()4,5-C .(7,3)-D .()2,6- 【答案】C【解析】【分析】首先求出当0x ≥时不等式的解集,在根据偶函数的对称性求出当0x <时不等式的解集,从而求出()5f x <的解集,则525x -<+<,即可得解.【详解】当0x ≥时,2()45f x x x =-<的解为05x <≤;当0x <时,根据偶函数图像的对称性知不等式()5f x <的解为5x 0-<<, 所以不等式()5f x <的解集为{}55x x -<<,所以不等式(2)5f x +<的解集为{}{}52573x x x x -<+<=-<<.故选:C【点睛】本题考查偶函数的性质,涉及一元二次不等式,属于基础题.2.给出下列说法:①“tan 1x =”是“4x π=”的充分不必要条件;②定义在[],a b 上的偶函数2()(5)f x x a x b =+++的最大值为30;③命题“0001,2x x x ∃∈+≥R ”的否定形式是“1,2x x x∀∈+>R ”. 其中错误说法的个数为( ) A .0B .1C .2D .3 【答案】C【解析】【分析】利用充分条件与必要条件的定义判断①;利用函数奇偶性的性质以及二次函数的性质判断②;利用特称命题的否定判断③,进而可得结果.【详解】对于①,当4x π=时,一定有tan 1x =,但是当tan 1x =时,,4x k k ππ=+∈Z ,所以“tan 1x =”是“4x π=”的必要不充分条件,所以①不正确;对于②,因为()f x 为偶函数,所以5a =-.因为定义域[],a b 关于原点对称,所以5b =,所以函数2()5,[5,5]f x x x =+∈-的最大值为()()5530f f -==,所以②正确;对于③,命题“0001,2x x x ∃∈+≥R ”的否定形式是“1,2x x x∀∈+<R ”,所以③不正确; 故错误说法的个数为2.故选:C.【点睛】 本题考查了特称命题的否定、充分条件与必要条件,考查了函数奇偶性的性质,同时考查了二次函数的性质,属于中档题..3.设定义在(0,)+∞的函数()f x 的导函数为()f x ',且满足()()3f x f x x'->,则关于x 的不等式31(3)(3)03x f x f ⎛⎫---< ⎪⎝⎭的解集为( ) A .()3,6B .()0,3C .()0,6D .()6,+∞【答案】A【解析】【分析】根据条件,构造函数3()()g x x f x =,利用函数的单调性和导数之间的关系即可判断出该函数在(,0)-∞上为增函数,然后将所求不等式转化为对应函数值的关系,根据单调性得出自变量值的关系从而解出不等式即可.【详解】解:Q 3(1)(3)(3)03x f x f ---<, 3(3)(3)27x f x f ∴---(3)0<,3(3)(3)27x f x f ∴--<(3),Q 定义在(0,)+∞的函数()f x ,3x ∴<,令3()()g x x f x =, ∴不等式3(3)(3)27x f x f --<(3),即为(3)g x g -<(3),323()(())3()()g x x f x x f x x f x '='=+',Q ()()3f x f x x'->, ()3()xf x f x ∴'>-,()3()0xf x f x ∴'+>,32()3()0x f x x f x ∴+>,()0g x ∴'>,()g x ∴单调递增,又因为由上可知(3)g x g -<(3),33x ∴-<,3x <Q ,36x ∴<<.故选:A .【点睛】本题主要考查不等式的解法:利用条件构造函数,利用函数单调性和导数之间的关系判断函数的单调性,属于中档题.4.已知3215()632f x x ax ax b =-++的两个极值点分别为()1212,x x x x ≠,且2132x x =,则函数12()()f x f x -=( )A .1-B .16C .1D .与b 有关【答案】B【解析】【分析】求出函数的导数,利用韦达定理得到12,,a x x 满足的方程组,解方程组可以得到12,,a x x ,从而可求()()12f x f x -.【详解】 ()2'56f x x ax a =-+,故125x x a +=,126x x a =,且225240a a ->, 又2132x x =,所以122,3x a x a ==,故266a a =,解得0a =(舎)或者1a =. 此时122,3x x ==, ()3215632f x x x x b =-++, 故()()()()()1215182749623326f x f x -=⨯---+-= 故选B .【点睛】 如果()f x 在0x 处及附近可导且0x 的左右两侧导数的符号发生变化,则0x x =必为函数的极值点且()00f x =.极大值点、极小值点的判断方法如下:(1)在0x 的左侧附近,有()'0f x >,在0x 的右侧附近,有()'0f x <,则0x x =为函数的极大值点;(2)在0x 的左侧附近,有()'0f x <,在0x 的右侧附近()'0f x >,有,则0x x =为函数的极小值点.5.已知函数f (x )=e b ﹣x ﹣e x ﹣b +c (b ,c 均为常数)的图象关于点(2,1)对称,则f (5)+f (﹣1)=( )A .﹣2B .﹣1C .2D .4【答案】C【解析】【分析】根据对称性即可求出答案.【详解】解:∵点(5,f (5))与点(﹣1,f (﹣1))满足(5﹣1)÷2=2,故它们关于点(2,1)对称,所以f (5)+f (﹣1)=2,故选:C .【点睛】本题主要考查函数的对称性的应用,属于中档题.6.已知函数()32f x x x x a =--+,若曲线()y f x =与x 轴有三个不同交点,则实数a 的取值范围为( )A .11,27⎛⎫-∞-⎪⎝⎭ B .()1,+? C .5,127⎛⎫- ⎪⎝⎭ D .11,127⎛⎫- ⎪⎝⎭【答案】C【解析】【分析】根据曲线()y f x =与x 轴有三个不同交点,可转化为函数()32g x x x x =-++与y a =的图象有三个不同的交点,即可求出实数a 的取值范围.【详解】Q 函数()32f x x x x a =--+与x 轴有三个不同交点,可转化为函数()32g x x x x =-++与y a =的图象有三个不同的交点. 又()2321(31)(1)g x x x x x '=-++=-+-Q , ∴在1,,(1,)3⎛⎫-∞-+∞ ⎪⎝⎭上,()0g x '<;在1,13⎛⎫- ⎪⎝⎭上,()0g x '>. ∴()15327g x g ⎛⎫=-=- ⎪⎝⎭极小值,()()11g x g ==极大值,5127a ∴-<<. 故选:C【点睛】 本题考查函数的零点及导数与极值的应用,考查了转化思想和数形结合思想,属于中档题.7.函数()1ln f x x x ⎛⎫=- ⎪⎝⎭的图象大致是( ) A . B . C . D .【答案】B【解析】【分析】通过函数在2x =处函数有意义,在2x =-处函数无意义,可排除A 、D ;通过判断当1x >时,函数的单调性可排除C ,即可得结果.【详解】当2x =时,110x x-=>,函数有意义,可排除A ; 当2x =-时,1302x x -=-<,函数无意义,可排除D ; 又∵当1x >时,函数1y x x=-单调递增, 结合对数函数的单调性可得函数()1ln f x x x ⎛⎫=-⎪⎝⎭单调递增,可排除C ; 故选:B.【点睛】本题主要考查函数的图象,考查同学们对函数基础知识的把握程度以及数形结合与分类讨论的思维能力,属于中档题.8.函数()xe f x x=的图象大致为( )A .B .C .D .【答案】B【解析】函数()xe f x x=的定义域为(,0)(0,)-∞+∞U ,排除选项A ; 当0x >时,()0f x >,且()2(1)'xx e f x x-= ,故当()0,1x ∈时,函数单调递减,当()1,x ∈+∞时,函数单调递增,排除选项C ;当0x <时,函数()0xe f x x=<,排除选项D ,选项B 正确.选B . 点睛:函数图象的识别可从以下方面入手:(1)从函数的定义域,判断图象的左右位置;从函数的值域,判断图象的上下位置;(2)从函数的单调性,判断图象的变化趋势;(3)从函数的奇偶性,判断图象的对称性;(4)从函数的周期性,判断图象的循环往复;(5)从函数的特征点,排除不合要求的图象.9.若曲线43y x x ax =-+(0x >)存在斜率小于1的切线,则a 的取值范围为( ) A .3,2⎛⎫-∞ ⎪⎝⎭ B .1,2⎛⎫-∞ ⎪⎝⎭ C .5,4⎛⎫-∞ ⎪⎝⎭ D .1,4⎛⎫-∞ ⎪⎝⎭【答案】C【解析】【分析】对函数进行求导,将问题转化为不等式有解问题,再构造函数利用导数研究函数的最值,即可得答案;【详解】由题意可得32431y x x a '=-+<在()0,x ∈+∞上有解, 设()3243f x x x a =-+(0x >),()()2126621f x x x x x '=-=-, 令()0f x '<,得102x <<;令()0f x '>,得12x >, ∴()f x 在1(0,)2单调递减,在1(,)2+∞单调递增, ∴()min 11124f x f a ⎛⎫==-< ⎪⎝⎭,解得:54a <. 故选:C.【点睛】本题考查导数的几何意义、不等式有解问题,考查函数与方程思想、转化与化归思想,考查逻辑推理能力、运算求解能力.10.[]0x a,b ∃∈使得()f x m ≥成立,等价于[]()0x a,b ,[f x ]m max ∈≥11.已知定义在R 上的函数()f x 满足()()3221f x f x -=-,且()f x 在[1, )+∞上单调递增,则( )A .()()()0.3 1.130. 20.54f f log f <<B .()()()0.3 1.130. 240.5f f f log <<C .()()()1.10.3340.20.5f f f log << D .()()()0.3 1.130.50.24f log f f << 【答案】A【解析】【分析】由已知可得()f x 的图象关于直线1x =对称.因为0.3 1.130.21log 0.5141-<-<-,又()f x 在[1,)+∞上单调递增,即可得解.【详解】解:依题意可得,()f x 的图象关于直线1x =对称.因为()()()0.3 1.1330.20,1,0.5 2 1,,044,8log log ∈=-∈-∈,则0.3 1.130.21log 0.5141-<-<-,又()f x 在[1,)+∞上单调递增,所以()()()0.3 1.130.20.54f f log f <<. 故选:A.【点睛】本题考查了函数的对称性及单调性,重点考查了利用函数的性质判断函数值的大小关系,属中档题.12.已知函数()0,1ln ,1x f x x x <⎧=⎨≥⎩,若不等式()≤-f x x k 对任意的x ∈R 恒成立,则实数k 的取值范围是( ) A .(],1-∞B .[)1,+∞C .[)0,1D .(]1,0-【答案】A【解析】【分析】先求出函数()f x 在(1,0)处的切线方程,在同一直角坐标系内画出函数()0,1ln ,1x f x x x <⎧=⎨≥⎩和()g x x k =-的图象,利用数形结合进行求解即可. 【详解】当1x ≥时,()''1ln ,()(1)1f x x f x f x=⇒=⇒=,所以函数()f x 在(1,0)处的切线方程为:1y x =-,令()g x x k =-,它与横轴的交点坐标为(,0)k .在同一直角坐标系内画出函数()0,1ln ,1x f x x x <⎧=⎨≥⎩和()g x x k =-的图象如下图的所示:利用数形结合思想可知:不等式()≤-f x x k 对任意的x ∈R 恒成立,则实数k 的取值范围是1k ≤.故选:A【点睛】本题考查了利用数形结合思想解决不等式恒成立问题,考查了导数的应用,属于中档题.13.若函数f (x )=()x 1222a x 1log x 1x 1⎧++≤⎪⎨+⎪⎩,,>有最大值,则a 的取值范围为( ) A .()5,∞-+B .[)5,∞-+C .(),5∞--D .(],5∞-- 【答案】B【解析】【分析】分析函数每段的单调性确定其最值,列a 的不等式即可求解.【详解】由题()x f x 22a,x 1=++≤,单调递增,故()()f x f 14a,;≤=+ ()()12f x log x 1,x 1,=+>单调递减,故()()f x f 11>=-,因为函数存在最大值,所以4a 1+≥-,解a 5≥-. 故选B.【点睛】本题考查分段函数最值,函数单调性,确定每段函数单调性及最值是关键,是基础题.14.函数()3ln x f x x=的部分图象是( ) A . B . C . D .【答案】A【解析】 【分析】根据奇偶性排除B ,当1x >时,()3ln 0x f x x =>,排除CD ,得到答案. 【详解】 ()()()33ln ln ,x x f x f x f x x x =-==--, ()f x 为奇函数,排除B 当1x >时,()3ln 0x f x x =>恒成立,排除CD 故答案选A【点睛】 本题考查了函数图像的判断,通过奇偶性,特殊值法排除选项是解题的关键. 15.已知函数()()2ln 1f x x x =+,设()3log 0.2a f =,()0.23b f -=,()1.13c f =-,则( )A .a b c >>B .b a c >>C .c b a >>D .c a b >> 【答案】D 【解析】∵())2ln 1f x x x =+∴())f x x ==∴())f x x -=∵当0x >1x >;当0x <时,01x <∴当0x >时,())))f x x x x ==-=,())f x x -=;当0x <时()))f x x x ==;()))f x x x -=-=.∴()()f x f x =- ∴函数()f x 是偶函数∴当0x >时,易得())f x x =为增函数∴33(log 0.2)(log 5)a f f ==, 1.1 1.1(3)(3)c f f =-=∵31log 52<<,0.2031-<<, 1.133>∴ 1.10.23(3)(log 5)(3)f f f ->>∴c a b >> 故选D.16.若函数()()sin xf x e x a =+在区间,22ππ⎛⎫- ⎪⎝⎭上单调递增,则实数a 的取值范围是()A .)+∞ B .[)1,+∞ C .()1,+∞D .()+∞【答案】B 【解析】 【分析】将问题转化为()0f x '≥在,22ππ⎛⎫- ⎪⎝⎭上恒成立;根据导函数解析式可知问题可进一步转化04x a π⎛⎫++≥ ⎪⎝⎭在,22ππ⎛⎫-⎪⎝⎭上恒成立;利用正弦型函数值域求法可求得(14x a a a π⎛⎫⎤++∈-+ ⎪⎦⎝⎭,则只需10a -+?即可,解不等式求得结果. 【详解】由题意得:()()sin cos 4xx x f x ex a e x e x a π⎫⎛⎫'=++=++ ⎪⎪⎝⎭⎭()f x Q 在,22ππ⎛⎫- ⎪⎝⎭上单调递增 ()0f x '∴≥在,22ππ⎛⎫- ⎪⎝⎭上恒成立又0x e >04x a π⎛⎫++≥ ⎪⎝⎭在,22ππ⎛⎫-⎪⎝⎭上恒成立 当,22x ππ⎛⎫∈- ⎪⎝⎭时,3,444x πππ⎛⎫+∈- ⎪⎝⎭sin 4x π⎛⎤⎛⎫∴+∈ ⎥ ⎪ ⎝⎭⎝⎦(14x a a a π⎛⎫⎤++∈-+ ⎪⎦⎝⎭10a ∴-+≥,解得:[)1,a ∈+∞ 本题正确选项:B 【点睛】本题考查根据函数在一段区间内的单调性求解参数范围问题,涉及到正弦型函数值域的求解问题;本题解题关键是能够将问题转化为导函数在区间内恒大于等于零的问题,从而利用三角函数的最值来求得结果.17.若定义在R 上的偶函数()f x 满足()()20f x f x +-=.当[]0,1x ∈,()21f x x =-,则( )A .()1235log 2log 32f f f ⎛⎫⎛⎫>> ⎪⎪⎝⎭⎝⎭B .()1235log 2log 32f f f ⎛⎫⎛⎫>> ⎪⎪⎝⎭⎝⎭C .()1235log 2log 32f f f ⎛⎫⎛⎫>> ⎪ ⎪⎝⎭⎝⎭D .()2135log 3log 22f f f ⎛⎫⎛⎫>> ⎪ ⎪⎝⎭⎝⎭【答案】A 【解析】 【分析】推导出函数()y f x =的周期为4,根据题意计算出51022f f ⎛⎫⎛⎫=-<⎪ ⎪⎝⎭⎝⎭,()224log 3log 03f f ⎛⎫=-< ⎪⎝⎭,()133log 2log 20f f ⎛⎫=> ⎪⎝⎭,再利用函数()y f x =在区间[]0,1上的单调性可得出结论. 【详解】因为定义在R 上的偶函数()y f x =满足()()20f x f x +-=,即()()20f x f x +-=,即()()2f x f x =--,()()()24f x f x f x ∴=--=-,所以,函数()y f x =的周期为4,因为当[]0,1x ∈时,()21f x x =-单调递减,因为5110222f f f ⎛⎫⎛⎫⎛⎫=--=-< ⎪ ⎪ ⎪⎝⎭⎝⎭⎝⎭,()224log 3log 03f f ⎛⎫=-< ⎪⎝⎭, ()()1333log 2log 2log 20f f f ⎛⎫=-=> ⎪⎝⎭, 因为2410log 132<<<,所以241log 32f f ⎛⎫⎛⎫-<- ⎪ ⎪⎝⎭⎝⎭,所以,12314log 2log 23f f f⎛⎫⎛⎫⎛⎫>->- ⎪ ⎪ ⎪⎝⎭⎝⎭⎝⎭,即()1235log 2log 32f f f ⎛⎫⎛⎫>> ⎪ ⎪⎝⎭⎝⎭,故选:A . 【点睛】本题主要考查函数值的大小比较,根据函数奇偶性和单调性之间的关系是解决本题的关键,属于中等题.18.4cos2d cos sin xx x xπ=+⎰( )A.1) B1C1D.2【答案】C 【解析】 【分析】利用三角恒等变换中的倍角公式,对被积函数进行化简,再求积分. 【详解】因为22cos2cos sin cos sin cos sin cos sin x x xx x x x x x-==-++,∴4400cos 2d (cos sin )d (sin cos )14cos sin 0xx x x x x x x x πππ=-=+=+⎰⎰,故选C . 【点睛】本题考查三角恒等变换知与微积分基本定理的交汇.19.设123log 2,ln 2,5a b c -===则 A .a b c << B .b c a <<C .c a b <<D .c b a <<【答案】C 【解析】 【分析】由ln 2ln 2ln 3a b =<=及311log ,22a c >==<=可比较大小. 【详解】∵2031a ln ln =>,>,∴ln 2ln 2ln 3a b =<=,即a b <.又3311log 2log ,22a c =>==<=.∴a c >.综上可知:c ab << 故选C. 【点睛】本题主要考查了指数与对数的运算性质及对数函数的单调性比较大小,属于中档题.20.已知函数()f x 是定义在R 上的偶函数,当0x ≥,3()3f x x x =+,则32(2)a f =,31(log )27b f =,c f =的大小关系为( ) A .a b c >> B .a c b >> C .b a c >>D .b c a >>【答案】C 【解析】 【分析】利用导数判断3()3f x x x =+在[0,)+∞上单调递增,再根据自变量的大小得到函数值的大小. 【详解】Q 函数()f x 是定义在R 上的偶函数,31(log )(3)(3)27b f f f ∴==-=, 32023<<=<Q ,当0x ≥,'2()330f x x =+>恒成立, ∴3()3f x x x =+在[0,)+∞上单调递增,3231(log )(2)27f f f ∴>>,即b a c >>.故选:C. 【点睛】本题考查利用函数的性质比较数的大小,考查函数与方程思想、转化与化归思想,考查逻辑推理能力和运算求解能力,求解时注意将自变量化到同一个单调区间中.。
(四)函数与导数(2)1.(2018·江西省重点中学协作体联考)已知f (x )=e x ,g (x )=x 2+ax -2x sin x +1.(1)证明:1+x ≤e x ≤11-x (x ∈[0,1));(2)若x ∈[0,1)时,f (x )≥g (x )恒成立,求实数a 的取值范围.(1)证明 设h (x )=e x -1-x ,则h ′(x )=e x -1,故h (x )在(-∞,0)上单调递减,在(0,+∞)上单调递增.从而h (x )≥h (0)=0,即e x ≥1+x .而当x ∈[0,1)时,e -x ≥1-x ,即e x ≤11-x .(2)解 设F (x )=f (x )-g (x )=e x -(x 2+ax -2x sin x +1),则F (0)=0,F ′(x )=e x -(2x +a -2x cos x -2sin x ).要求F (x )≥0在[0,1)上恒成立,必须有F ′(0)≥0.即a ≤1.以下证明:当a ≤1时,f (x )≥g (x ).只要证1+x ≥x 2+x -2x sin x +1,只要证2sin x ≥x 在[0,1)上恒成立.令φ(x )=2sin x -x ,则φ′(x )=2cos x -1>0对x ∈[0,1)恒成立,又φ(0)=0,所以2sin x ≥x ,从而不等式得证.2.(2018·宿州质检)设函数f (x )=x +ax ln x (a ∈R ).(1)讨论函数f (x )的单调性;(2)若函数f (x )的极大值点为x =1,证明:f (x )≤e -x +x 2.(1)解 f (x )的定义域为(0,+∞),f ′(x )=1+a ln x +a ,当a =0时,f (x )=x ,则函数f (x )在区间(0,+∞)上单调递增;当a >0时,由f ′(x )>0得x >1e a a +-,由f ′(x )<0得0<x <1e a a +-.所以f (x )在区间⎝⎛⎭⎫0,1e a a +-上单调递减,在区间⎝⎛⎭⎫1e a a +-,+∞上单调递增;当a <0时,由f ′(x )>0得0<x <1e a a +-,由f ′(x )<0得x >1e a a +-,所以函数f (x )在区间⎝⎛⎭⎫0,1e a a +-上单调递增,在区间⎝⎛⎭⎫1e a a +-,+∞上单调递减.综上所述,当a =0时,函数f (x )在区间(0,+∞)上单调递增;当a >0时,函数f (x )在区间⎝⎛⎭⎫0,1e a a +-上单调递减,在区间⎝⎛⎭⎫1e a a +-,+∞上单调递增;当a <0时,函数f (x )在区间⎝⎛⎭⎫0,1e a a +-上单调递增,在区间⎝⎛⎭⎫1e a a +-,+∞上单调递减.(2)证明 由(1)知a <0且1e a a +-=1,解得a =-1,f (x )=x -x ln x .要证f (x )≤e -x +x 2,即证x -x ln x ≤e -x +x 2,即证1-ln x ≤e-x x +x .令F (x )=ln x +e-x x +x -1(x >0),则F ′(x )=1x +-e -x x -e-xx 2+1=(x +1)(x -e -x)x 2.令g (x )=x -e -x ,得函数g (x )在区间(0,+∞)上单调递增.而g (1)=1-1e >0,g (0)=-1<0,所以在区间(0,+∞)上存在唯一的实数x 0,使得g (x 0)=x 0-0e x -=0,即x 0=0e x -,且x ∈(0,x 0)时,g (x )<0,x ∈(x 0,+∞)时,g (x )>0.故F (x )在(0,x 0)上单调递减,在(x 0,+∞)上单调递增.∴F (x )min =F (x 0)=ln x 0 +0e x -x 0+x 0-1.又0e x -=x 0,∴F (x )min =ln x 0+0e x -x 0+x 0-1=-x 0+1+x 0-1=0.∴F (x )≥F (x 0)=0成立,即f (x )≤e -x +x 2成立.3.(2018·皖江八校联考)已知函数f (x )=ax 2+x +a2e x .(1)若a ≥0,函数f (x )的极大值为52e ,求实数a 的值;(2)若对任意的a ≤0,f (x )≤b ln (x +1)2在x ∈[0,+∞)上恒成立,求实数b 的取值范围.解 (1)由题意,f ′(x )=12[(2ax +1)e -x -(ax 2+x +a )e -x ]=-12e -x [ax 2+(1-2a )x +a -1]=-12e -x(x -1)(ax +1-a ).①当a =0时,f ′(x )=-12e -x(x -1),令f ′(x )>0,得x <1;令f ′(x )<0,得x >1,所以f (x )在(-∞,1)上单调递增,在(1,+∞)上单调递减.所以f (x )的极大值为f (1)=12e ≠52e ,不合题意.②当a >0时,1-1a <1,令f ′(x )>0,得1-1a <x <1;令f ′(x )<0,得x <1-1a 或x >1,所以f (x )在⎝ ⎛⎭⎪⎫1-1a ,1上单调递增,在⎝ ⎛⎭⎪⎫-∞,1-1a ,(1,+∞)上单调递减.所以f (x )的极大值为f (1)=2a +12e =52e ,得a =2.综上所述a =2.(2)令g (a )=(x 2+1)a 2e x +x2e x ,a ∈(-∞,0],当x ∈[0,+∞)时,x 2+12e x >0,则g (a )≤b ln (x +1)2对∀a ∈(-∞,0]恒成立等价于g (a )≤g (0)≤b ln (x +1)2,即xe x ≤b ln(x +1)对x ∈[0,+∞)恒成立.①当b =0时,显然xe x ≤b ln(x +1)在[0,+∞)上不恒成立.②当b <0时,∀x ∈(0,+∞),b ln(x +1)<0,xe x >0,此时xe x >b ln(x +1),不合题意.③当b >0时,令h (x )=b ln(x +1)-xe x ,x ∈[0,+∞),则h ′(x )=b x +1-(e -x -x e -x )=b e x +x 2-1(x +1)e x ,其中(x +1)e x >0,∀x ∈[0,+∞),令p (x )=b e x +x 2-1,x ∈[0,+∞),则p (x )在区间[0,+∞)上单调递增,b ≥1时,p (x )≥p (0)=b -1≥0,所以对∀x ∈[0,+∞),h ′(x )≥0,从而h (x )在[0,+∞)上单调递增,所以对任意x ∈[0,+∞),h (x )≥h (0)=0,即不等式b ln(x +1)≥x e -x 在[0,+∞)上恒成立.0<b <1时,由p (0)=b -1<0,p (1)=b e>0及p (x )在区间[0,+∞)上单调递增,所以存在唯一的x 0∈(0,1),使得p (x 0)=0,且x ∈(0,x 0)时,p (x )<0.从而x ∈(0,x 0)时,h ′(x )<0,所以h (x )在区间(0,x 0)上单调递减,则x ∈(0,x 0)时,h (x )<h (0)=0,即b ln(x +1)<x e -x ,不符合题意.综上所述,b 的取值范围为[1,+∞).4.(2018·合肥模拟)已知函数f (x )=ln xx -ax .(1)讨论函数f (x )的零点个数;(2)已知g (x )=(2-x )e x ,证明:当x ∈(0,1)时,g (x )-f (x )-ax -2>0.(1)解 xf (x )=ln x -a x ·x .令x 32=t ,∴x =23t (t >0).令h (t )=ln t -32at ,则函数y =h (t )与y =f (x )的零点个数情况一致.h ′(t )=1t -32a .(ⅰ)当a ≤0时,h ′(t )>0,∴h (t )在(0,+∞)上单调递增. 又h (1)=-32a ≥0,1e a a h +⎛⎫ ⎪⎝⎭=a +1a -32a e 1a a +≤a +1a -32a ·1e 2=⎝ ⎛⎭⎪⎫1-32e 2a +1a <0,∴此时有1个零点.(ⅱ)当a >0时,h (t )在⎝ ⎛⎭⎪⎫0,23a 上单调递增,在⎝ ⎛⎭⎪⎫23a ,+∞上单调递减.∴h (t )max =h ⎝ ⎛⎭⎪⎫23a =ln 23a -1.①当ln 23a <1即a >23e 时,h ⎝ ⎛⎭⎪⎫23a <0,无零点.②当ln 23a =1即a =23e 时,h ⎝ ⎛⎭⎪⎫23a =0,1个零点.③当ln 23a >1即0<a <23e 时,h ⎝ ⎛⎭⎪⎫23a >0,又23a >e>1,h (1)=-32a <0.又23a -49a 2=23a ⎝ ⎛⎭⎪⎫1-23a <23a (1-e)<0,h ⎝ ⎛⎭⎪⎫49a 2=ln ⎝ ⎛⎭⎪⎫23a 2-32a ·49a 2=2ln 23a -23a ,令φ(a )=2ln 23a -23a ,φ′(a )=2·3a 2⎝ ⎛⎭⎪⎫-23·1a 2+23a 2=2-6a3a 2>0,∴φ(a )在⎝ ⎛⎭⎪⎫0,23e 上单调递增,∴φ(a )<φ⎝ ⎛⎭⎪⎫23e =2-e<0,∴此时有两个零点.综上,当a ≤0或a =23e 时,有1个零点;当0<a <23e 时,有2个零点;当a >23e 时,无零点.(2)要证g (x )-f (x )-ax -2>0, 只需证ln x x +2<(2-x )e x.令x =m ∈(0,1),只需证2ln mm +2<(2-m 2)e m .令l (m )=(2-m 2)e m ,l ′(m )=(-m 2-2m +2)e m ,∴l (m )在(0,3-1)上单调递增,在(3-1,1)上单调递减, 又∵l (1)=e ,l (0)=2,∴l (m )>2.令t (m )=ln mm ,t ′(m )=1-ln mm 2>0,∴t (m )在(0,1)上单调递增,∴t (m )<t (1)=0,∴2ln mm +2<2,故g (x )-f (x )-ax -2>0.5.(2018·洛阳模拟)已知函数f (x )=(x -1)e x -t 2x 2,其中t ∈R .(1)讨论函数f (x )的单调性;(2)当t =3时,证明:不等式f (x 1+x 2)-f (x 1-x 2)>-2x 2恒成立(其中x 1∈R ,x 2>0).(1)解 由于f ′(x )=x e x -tx =x (e x -t ).(ⅰ)当t ≤0时,e x -t >0,当x >0时,f ′(x )>0,f (x )单调递增,当x <0时,f ′(x )<0,f (x )单调递减;(ⅱ)当t >0时,由f ′(x )=0得x =0或x =ln t .①当0<t <1时,ln t <0,当x >0时,f ′(x )>0,f (x )单调递增,当ln t <x <0时,f ′(x )<0,f (x )单调递减,当x <ln t 时,f ′(x )>0,f (x )单调递增;②当t =1时,f ′(x )≥0,f (x )单调递增;③当t >1时,ln t >0.当x >ln t 时,f ′(x )>0,f (x )单调递增,当0<x <ln t 时,f ′(x )<0,f (x )单调递减,当x <0时,f ′(x )>0,f (x )单调递增.综上,当t ≤0时,f (x )在(-∞,0)上是减函数,在(0,+∞)上是增函数;当0<t <1时,f (x )在(-∞,ln t ),(0,+∞)上是增函数, 在(ln t,0)上是减函数;当t =1时,f (x )在(-∞,+∞)上是增函数;当t >1时,f (x )在(-∞,0),(ln t ,+∞)上是增函数, 在(0,ln t )上是减函数.(2)证明 依题意f (x 1+x 2)-f (x 1-x 2)>(x 1-x 2)-(x 1+x 2)⇔f (x 1+x 2)+(x 1+x 2)>f (x 1-x 2)+(x 1-x 2)恒成立.设g (x )=f (x )+x ,则上式等价于g (x 1+x 2)>g (x 1-x 2),要证明g (x 1+x 2)>g (x 1-x 2)对任意x 1∈R ,x 2∈(0,+∞)恒成立,即证明g (x )=(x -1)e x -32x 2+x 在R 上单调递增, 又g ′(x )=x e x -3x +1,只需证明x e x -3x +1≥0即可.令h (x )=e x -x -1,则h ′(x )=e x -1,当x <0时,h ′(x )<0,当x >0时,h ′(x )>0,∴h (x )min =h (0)=0,即∀x ∈R ,e x≥x +1,那么,当x ≥0时,x e x ≥x 2+x ,∴x e x -3x +1≥ x 2-2x +1=(x -1)2≥0;当x <0时,e x <1,x e x -3x +1=x ⎝ ⎛⎭⎪⎫e x -3+1x >0, ∴x e x-3x +1>0恒成立.从而原不等式成立.。