天津医科大学历年分数线
- 格式:doc
- 大小:83.50 KB
- 文档页数:3
2019年天津一本大学名排名及分数线天津一本大学排名高校名称所在地录取线差一批分数线录取平均分1南开大学985211天津1275216482天津大学985211天津1115216323天津医科大学211天津745215954中国民航大学天津665215875天津财经大学天津605215816河北工业大学211天津545215757天津中医药大学天津415215628天津师范大学天津375215589天津外国语大学天津2552154610天津工业大学天津2552154611天津理工大学天津2152154212天津商业大学天津1452153513天津城建大学天津1352153414天津科技大学天津952153015天津职业技术师范大学天津3521524 天津一本大学部分院校成就简介1、南开大学南开大学,简称南开,肇始于1904年,正式成立于1919年,是由严修、张伯苓秉承教育救国理念创办的综合性大学。
1937年校园遭侵华日军炸毁,学校南迁,与北京大学、清华大学在湖南长沙合组国立长沙临时大学,1938年迁往云南昆明,长沙临时大学更名为国立西南联合大学,为中华民族振兴和国家富强作出了不可磨灭的重要贡献。
1946年回天津复校并改为国立。
新中国成立后,经历高等学校院系调整,成为文理并重的全国重点大学。
2、天津大学天津大学,简称“天大”,坐落于历史文化名城、中国北方经济中心天津,其前身为北洋大学,始建于1895年10月2日,是中国一所现代大学,是1959年中共中央确定的16所国家重点大学之一,国家教育部、天津市、国家海洋局共建高校,位列“211工程”、“985工程”、“20XX计划”、“111计划” 、“卓越工程师教育培养计划”首批重点建设大学,”卓越大学联盟”成员高校,“中欧工程教育平台”、“中俄工科大学联盟”合作高校,中国的“建筑老八校”之一。
3、天津师范大学天津师范大学,简称“天师大”。
坐落于中国五大国家中心城市之一――天津市。
2023天津大学最低录取是多少_天津大学
高考录取分数线
2023天津大学最低录取是多少
根据2022年天津大学在各省的录取分数线可知:对于天津考生来说,最低658分录取,对应位次是3735;对于安徽考生来说,理科的最低录取分数为630分,对应录取位次为3541;文科的最低录取分数为597分,对应录取位次为804;对于北京考生来说,最低录取分数为655分,对应录取位次为2297。
以下是2022天津大学在各省录取分数位次,以供参考:
2023天津大学全国排名是多少
天津大学历年排名情况
天津大学2019年全国排名是第13名,2020年排名为第10名,2021年排名是第10名,下面是整理的天津大学历年排名。
天津大学师资力量
强大的师资力量是学校的发展保障,而天津大学在师资力量方面更是不容小觑,教职工达到了五千余人,更汇集了中国科学院院士5人,中国工程院院士8人,双聘院士17人,“973”首席科学家有17人以及一大批杰出优秀人士,如此出彩的师资队伍,也进一步的证明了该校的实力。
天津本科大学排名一览表
2023天津本科大学排名第一的是天津大学,全国排名是是第23,是一所理工类本科院校。
排名第二的是南开大学,全国排名第28名,是一所综合类本科。
2023高考多少分能上天津医科大学
高考最低多少分可以考上天津医科大学
个省份的分数线是不一样的,一般来说,招生人数的多少影响着录取的最低分,招生人数越多,录取的最低分越低。
根据2022年的录取分数线推测,青海的考生分数线须达到334分以上才可以上天津医科大学,浙江考生的分数线须达到529分左右。
由于招生规模的限制,每个省能够考上天津医科大学的学生数量有限,具体应以实际录取情况为准。
天津医科大学是国家“双一流”建设高校、国家“211工程”重点建设院校,是国家最早批准试办八年制的2所医学院校之一,首批试办七年制的15所医学院校之一,为北京卓越医学人才培养高校联盟成员单位。
注:如果同学们想了解更多分数线的信息,可以下载“蝶变志愿APP”。
蝶变志愿APP是一款功能齐全,性价比超高的软件,蝶变APP内的所有数据都是真实可靠,全部****于各大官网,考试院,同学们可以放心使用。
2022天津医科大学在各省的录取分数线
天津医科大学在新疆(本科一批)理科最低录取分数线为471分。
天津医科大学在青海省(本科一批,普通类)理科最低录取分数线为431分。
天津医科大学在云南省(本科一段,普通类)理科最低录取分数线为577分。
天津医科大学在四川省(本科一批,普通类)理科最低录取分数线为593分,文科最低录取分数线为585分。
天津医科大学在陕西省(本科一批)理科最低录取分数线为528分,文科最低录取分数线为555分。
2023天津医科大学全国排名是多少
天津医科大学历年排名情况
天津医科大学2019年全国排名是205名,2020年的全国排名是187名,2021
天津医科大学在天津市大学排名。
2023天津高考录取分数线一览表天津近三年高考录取分数线篇一【天津市高考2023年录取分数线】1、2023年天津市本科批高考录取分数线为463分;2、2023年天津市专科批高考录取分数线为120分;3、2023年天津市特殊类型招生控制分数线为583分。
地区年份考生类别批次分数线专业分天津2022 综合本科批463 -天津2022 综合特殊类型招生控制线583 -天津2022 综合专科批120 -天津2022 综合艺术类(本科)-戏剧与影视学类463 -天津2022 综合体育类(本科)432 -天津2022 综合艺术类(本科)-不含戏剧与影视学类324 -天津2022 综合体育类(高职专科)124 -天津2022 综合艺术类(高职专科)84 -【天津市高考2023年录取分数线】地区年份考生类别批次分数线天津2021 综合本科批463天津2021 综合特殊类型招生控制线579天津2021 综合专科批120天津2021 综合艺术类(本科)-戏剧与影视学类463天津2021 综合体育类(本科)446天津2021 综合艺术类(本科)-不含戏剧与影视学类324【天津市高考2023年录取分数线】地区年份考生类别批次分数线天津2020 综合本科批476天津2020 综合特殊类型招生控制线587天津2020 综合专科批120天津2020 综合体育类(本科)447天津2020 综合艺术类(本科)333考场没有战胜对手,填报高考志愿一定要超越对手。
点击蓝字测试你能上什么大学吧!2023年高考受欢迎的专业有什么篇二1、医药专业随着人们生活水平的提高,人们对药品质量、品种、数量和医疗技术、医疗条件的要求也越来越高,在科技迅速发展的今天,从行业整体发展的趋势来看,以高科技开发为依托的医药行业属于”朝阳产业”,将始终表现出良好的成长性。
2、同声传译专业同声传译员被称为21世纪第一大紧缺人才”,随着中国对外经济交流的增多和奥运会带来的“会务商机”的涌现,需要越来越多的同声传译员。
11041149代码1349燕山大学5555-0296275406035-027*********-02719911 1404山西大学5505-0322110305975-03045646245-0297957 1415太原理工大学5615-02686711846105-023*********-02225621 1418中北大学6175-0334710 1502内蒙古大学5515-0314241145965-0311*******-0283839 2108大连海事大学5945-01385744726215-018398286495-01650532 2111大连理工大学6225-006716721056565-006407636765-00681659 2117大连医科大学5505-0321310376155-021*********-01590034 2122东北财经大学6185-00751868246455-009451526475-01761530 2124东北大学5915-01499041876335-013506406605-01204443 2127辽宁大学5605-02746610156075-025*********-02253020 2139辽宁中医药大学2155沈阳农业大学5515-0317941205945-03223116205-0315393 2158沈阳药科大学5585-0284138285985-03028756275-02810510 2161中国医科大学5875-01655837416435-010*********-01665132 2167大连理工大学(盘锦校6275-02790810 2210长春理工大学5535-03070631115975-03035946225-0303585 2218东北师范大学5565-0290656286105-023*********-02101123 2220吉林大学5985-012768481206395-011331466625-01150445 2242延边大学5565-0294316195995-029********-02702912 2302东北石油大学5535-0307053155965-03089936225-0304595 2303东北林业大学5545-0300964545995-029********-02813710 2304东北农业大学5525-0311042255985-029********-0290438 2308哈尔滨工程大学5825-01821032626245-017067316505-01609533哈尔滨工业大学6285-00551878956615-005213686825-00509865代码2310哈尔滨工业大学(威海)5885-01586638956335-013324406645-01053047 2320哈尔滨医科大学5655-02498615386095-024*********-01779230 2323黑龙江大学2332黑龙江中医药大学5655-0251841566015-028********-02449616 3101东华大学5995-012364491806385-011715456605-01210043复旦大学6915-000225141407125-0002471197225-000299105 3104华东理工大学6255-006069752046585-005954656765-00677359 3105华东师范大学6335-00467883986645-004602716835-00503766 3106华东政法大学6265-00578676756555-006604626765-00662359 3109上海财经大学6655-001118115486865-001628937105-00096793 3112上海大学6035-011098533926395-011448466625-01132545 3119上海对外经贸大学6105-009374601186065-025*********-01894227 3125上海海事大学6325-02511915 3127上海海洋大学6175-0334550上海交通大学6845-000374134407125-0002661197245-000253107 3132上海交通大学医学院6475-00270697176815-002120887045-00154587 3136上海理工大学5915-01484141896285-015581356505-01640333 3151上海外国语大学6375-00402987396675-004171746865-00426369 3164上海中医药大学5855-01720435296285-015283356175-0334910 3165同济大学6425-003246921106725-003242796925-00312975 3166上海交通大学医学院(护理5805-01908530106115-023*********-01708131 3169华东师范大学(少数民族班)65955-0319*******-02658313 3171复旦大学医学院7205-000398103 3206东南大学6355-004337851176685-003991756865-00429069 3209河海大学6105-009368601346465-009240536625-01128145代码3216江南大学5865-016879362956285-015370356555-01385738 3220江苏大学5645-02561214526115-023*********-02380918南京大学6455-00297595516755-002834826945-00288777 3243南京工业大学5685-02375018776115-023*********-02569214 3246南京航空航天大学6205-007038701636545-006893616765-00672759 3251南京理工大学6165-008109661896505-008077576705-00849053 3256南京农业大学5715-022660211466185-019985256455-01860228 3259南京师范大学5885-01606938606345-013261416625-01122345 3267南京信息工程大学5625-02659512586065-025*********-02437317 3270南京医科大学6235-00650873266615-005322686405-02100723 3273南京邮电大学3281苏州大学6125-00899262566485-008396556705-00861353 3297西交利物浦大学5605-02732210656045-026975116305-02625613 3315中国矿业大学5685-023927181396175-020*********-01873828 3316中国药科大学5955-01370345766305-014851376555-01401038 3325中国人民大学(苏州校区)66595-005703666855-00448768 3327江南大学(中外合作专业)3404安徽大学5715-02262721436165-020*********-01950226 3429安徽医科大学5875-01628537185935-03304406515-01564534 3445合肥工业大学5775-020155272276265-016131336525-01517735中国科学技术大学6675-001009117426965-0008281037125-00081695 3457合肥工业大学(宣城校区)706005-029********-02197121 3507福建农林大学6175-0333360 3517福州大学5955-01368145506345-012968416565-01354039 3523华侨大学5595-02772591226035-027*********-02688912代码5086西南政法大学(中外合作专业)5111成都中医药大学5575-028*********-023*********-02138222 5113电子科技大学6045-010790541416425-010*********-01016648 5120四川大学6095-009547592176445-009662516675-00963550 5129四川农业大学5555-0296145705975-03054446245-0296897 5141西南财经大学6265-00582876556585-006020656745-00719457 5143西南交通大学5915-014842412516305-014529376535-01496136 5150电子科技大学(沙河校区)5705-02305120106295-015033366585-01294141 5210贵州大学5585-0283288346035-027*********-02634413 5314云南大学5595-0276879726035-027*********-02478416 6102长安大学5675-024370171246155-021*********-01890527 6105陕西科技大学5545-0299464505985-03026356235-0298376 6108陕西师范大学5585-0282638206045-026752116315-02585714 6116西安电子科技大学5925-014464421656355-012788426595-01234942 6125西安建筑科技大学5685-02387518266045-026732116325-02520915西安交通大学6335-004592831116665-004253736195-0325682 6139西安外国语大学5705-02290720156215-018544286425-02023525 6144西北大学5775-02013427306245-017189316485-01731131 6145西北工业大学6045-01087454876425-010*********-01031048 6147西北农林科技大学5595-0277529546085-024*********-02234720 6204兰州大学5835-01795833906285-015455356525-01523735 6301青海大学5535-0304183185985-03013056215-0309444 6405宁夏大学5555-0299065135975-03047746265-0285809 6501石河子大学5525-0310482125935-03285606175-0337520 6504新疆大学5505-0322890225935-03299606185-0331561。
2012天津医科大学理科录取分数线(江西)小编为方便您今年的报考工作,特意为您收集整理了2010年的高考录取分数线,更多更详细的高考资讯,尽在高考频道。
如果您有问题,可以随时联系我们。
我们新增了高考满分作文频道,欢迎您进入。
本页内容主要有2012年江西地区天津医科大学理科高考分数线信息。
为您作为今年的高考报考提供尽所能及的帮助。
谢谢您的访问!最后,预祝各位考生在今年的高考中能够取得优异成绩。
天津医科大学在江西地区录取分数线--文科专业类型平均分最高分最低分录取批次药学600 601 -- 第一批预防医学606 608 -- 第一批英语598 598 -- 第一批药物制剂599 599 -- 第一批医学检验605 607 -- 第一批医学影像学602 602 -- 第一批眼视光学601 601 -- 第一批运动康复与健康601 601 -- 第一批临床医学612 623 -- 第一批生物医学工程602 604 -- 第一批护理学604 615 -- 第一批查看:2013江西高考分数线 2012江西高考分数线专题:全国历年高考理科分数线汇总全国历年高考文科分数线汇总天津医科大学介绍:天津医科大学的前身天津医学院创建于1951年,是新中国成立后国家政务院批准新建的第一所高等医学院校,著名内分泌学家、医学教育家朱宪彝教授为首任校长。
1993年,天津市委、市政府决定天津医学院与天津第二医学院合并组建天津医科大学,同年12月得到国家教委批准。
1994年6月,天津医科大学正式组建成立。
学校现任党委书记为杨桂华教授,校长为著名肿瘤学专家、中国工程院院士郝希山教授。
学校为国家“211工程”重点建设院校。
学校发展层次类型定位为研究教学型,以医学为核心,以生命科学为主要依托的多科性医科大学。
学校现有17个学院、5个学系、3个教学部:基础医学院、第一临床学院、第二临床学院、肿瘤临床学院、公共卫生学院、口腔医学院、药学院、护理学院、眼视光学院、成人教育学院、中西医结合国际学院、高等职业技术学院、天津医科大学一中心临床学院、天津医科大学三中心临床学院、天津医科大学南开临床学院、天津医科大学泰达国际心血管病临床学院、眼科临床学院、生物医学工程系、医学影像学系、医学检验学系、医学人文科学系、运动康复与健康系、社会科学部、体育教学部、外语教学部。
天津医科大学2022年各地高考录取分数线天津医科大学是国家“双一流”建设高校、国家“211工程”重点建设院校。
这次小编在这里给大家整理了天津医科大学2022年各地高考录取分数线,供大家阅读参考。
天津医科大学2022年各地高考录取分数线由于2022年的高考还未公布分数线,现在就先以2021的录取分数线以作借鉴。
天津医科大学2021年各地高考录取分数线年份院校(招生方向)招生省份科目类型所在批次/段最低录取分最低位次2021 天津医科大学海南综合本科批669 2833 2021 天津医科大学海南综合本科批667 2950 2021 天津医科大学天津综合本科批A段660 3192 2021 天津医科大学天津综合本科批A段648 4641 2021 天津医科大学天津综合本科批A段647 4777 2021 天津医科大学海南综合本科批638 5181 2021 天津医科大学湖北物理本科批630 6466 2021 天津医科大学天津综合本科批A段626 7990 2021 天津医科大学湖南物理本科批623 5275 2021 天津医科大学湖北物理本科批622 8696 2021 天津医科大学湖北物理本科批622 8696 2021 天津医科大学湖北物理本科批622 8696 2021 天津医科大学河南理科本科一批621 13845 2021 天津医科大学福建物理本科批617 55962021 天津医科大学天津综合本科批A段617 9601 2021 天津医科大学湖北物理本科批612 11894 2021 天津医科大学湖南物理本科批612 8113 2021 天津医科大学安徽理科本科一批610 10454 2021 天津医科大学湖北物理本科批610 12600 2021 天津医科大学湖南物理本科批610 8710 2021 天津医科大学湖南物理本科批610 8710 2021 天津医科大学重庆物理本科批610 11623 2021 天津医科大学福建物理本科批609 7408 2021 天津医科大学北京综合本科批609 6754 2021 天津医科大学北京综合本科批608 6880 2021 天津医科大学湖南物理本科批606 10038 2021 天津医科大学福建物理本科批604 8664 2021 天津医科大学天津综合本科批A段604 119772021 天津医科大学安徽理科国家专项计划本科批603 127712021 天津医科大学云南理科本科一批602 70422021 天津医科大学云南理科国家专项计划本科批600 74652021 天津医科大学江西理科本科一批599 8912 2021 天津医科大学河北物理本科批598 14272 2021 天津医科大学湖北物理本科批597 17580 2021 天津医科大学江苏物理本科批596 9599 2021 天津医科大学湖北物理本科批596 180302021 天津医科大学河北历史本科批594 3253 2021 天津医科大学江苏物理本科批593 10810 2021 天津医科大学湖北物理本科批593 19317 2021 天津医科大学辽宁历史本科批587 3883 2021 天津医科大学山东综合普通类一段582 28086 2021 天津医科大学山西理科本科一批A段582 7637 2021 天津医科大学江苏物理本科批578 18173 2021 天津医科大学江苏物理本科批576 19304 2021 天津医科大学福建物理本科批576 17826 2021 天津医科大学江苏物理本科批575 19888 2021 天津医科大学辽宁物理本科批573 17778 2021 天津医科大学陕西理科本科一批570 95632021 天津医科大学陕西理科国家专项计划本科批567 100642021 天津医科大学贵州理科国家专项计划本科批564 71822021 天津医科大学贵州理科本科一批552 9663 2021 天津医科大学宁夏理科本科一批547 1227 2021 天津医科大学新疆理科本科一批540 -2021 天津医科大学甘肃理科国家专项计划本科批536 74652021 天津医科大学黑龙江理科本科一批A段536 9963 2021 天津医科大学北京综合本科批531 190622021 天津医科大学甘肃理科本科一批I段525 9296 2021 天津医科大学江苏历史本科批522 28249 2021 天津医科大学广西理科本科一批506 347002021 天津医科大学宁夏理科国家专项计划本科批480 46792021 天津医科大学湖北物理本科批397 113443填志愿要避免的错误1、志愿院校不考虑梯度填报志愿的时候,父母希望孩子去更好的学校,我选择比孩子更高的大学,但是,这样容易出错的话,考生因为分数不够而落榜,结果就不能考上大学了,因此,在填写志愿时,需要稳、一定掌握好冲、稳、保的关系,考生自己想去,但是选择分数不够的大学,另外,选择分数相近的大学和保底院校。
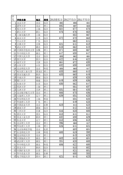
天津医科大学历年分数线
录取分数线
年份最低最高平均投档录取人数录取批次2010 -- 623.00 549.00 -- 347 本科一批2009 506.00 646.00 559.00 -- 344 本科一批2008 528.00 652.00 568.00 -- 346 本科一批2007 509.00 634.00 555.00 -- 353 本科一批2006 512.00 626.00 554.00 -- 334 本科一批2005 462.00 618.00 513.00 -- 336 本科一批2003 403.00 -- -- -- -- 不详2002 -- -- 549.00 -- -- 不详2001 -- -- 553.00 -- -- 不详2010专业设置及分数线
专业
大类专业小类
具体专
业
平均分最高分最低分批次
法学法学类法学539 543 -- 教育
学体育学类
运动康
复与健
康
539 564 --
文学
外国语言文
学类
英语545 566 -- 工学电气信息类
生物医
学工程
533 580 --
医学预防医学类
预防医
学
545 589 --
临床医学与
医学技术类
临床医
学
592 623 --
临床医学与
医学技术类
麻醉学567 579 --
临床医学与
医学技术类
医学影
像学
550 576 --
临床医学与
医学技术类
医学检
验
540 570 --
临床医学与
医学技术类
眼视光
学
530 555 --
2009年
业大
类
专业小类具体专业平均分最高分最低分批次法学法学类法学533 555 -- 第一批文学
外国语言文学
类
英语525 534 -- 第一批工学电气信息类
生物医学
工程
546 574 -- 第一批
医学
预防医学类预防医学554 583 -- 第一批临床医学与医
学技术类
临床医学590 646 -- 第一批临床医学与医
学技术类
医学影像
学
565 579 -- 第一批临床医学与医
学技术类
医学检验558 576 -- 第一批临床医学与医
学技术类
眼视光学549 566 -- 第一批口腔医学类口腔医学584 605 -- 第一批护理学类护理学531
2008年
专业大
类
专业小类具体专业平均分最高分最低分批次法学法学类法学538 549 -- 第一批文学外国语言文学类英语541 561 -- 第一批工学电气信息类
生物医学工
程
563 620 -- 第一批
医学
预防医学类预防医学556 589 -- 第一批临床医学与医学技
术类
临床医学593 652 -- 第一批临床医学与医学技
术类
麻醉学602 637 -- 第一批临床医学与医学技
术类
医学影像学571 587 -- 第一批临床医学与医学技
术类
医学检验560 596 -- 第一批
临床医学与医学技
术类
眼视光学551 576 -- 第一批口腔医学类口腔医学597 608 -- 第一批2007年
专业大
类
专业小类具体专业平均分最高分最低分批次法学法学类法学531 550 -- 第一批教育学体育学类
运动康复与健
康
527 556 -- 第一批文学外国语言文学类英语520 543 -- 第一批工学电气信息类生物医学工程540 567 -- 第一批
医学
预防医学类预防医学534 582 -- 第一批临床医学与医学技
术类
临床医学586 634 -- 第一批临床医学与医学技
术类
麻醉学567 597 -- 第一批临床医学与医学技
术类
医学影像学545 580 -- 第一批临床医学与医学技
术类
医学检验543 566 -- 第一批临床医学与医学技
术类
眼视光学538 559 -- 第一批
1.每年的分数虽然不一样,但是基本上高出一本线的分数是一定的。
七年制本硕连读的话大概要一本线上80分以上。
100分比较稳妥。
然后临床,心理等等5年制的医学类专业,要分要在一本线上60分以上。
2.临床七年制,影像七年制,口腔七年制,临床五年,心理五年,预防五年,检验五年,影像五年,口腔五年,生医四年,生信四年,康复四年,英语四年,医式法学四年,护理四年,涉外护理四年,药学四年,眼视光四年。
我上面提到的分数就是天津考生的分数。
每年的高考之后医大会在校园里面设立半天的咨询时间。
天津在2011年分数线目前还查不到,能查到时第一时间通知你。