北邮算法与数据结构习题参考答案
- 格式:doc
- 大小:150.50 KB
- 文档页数:17
算法与数据结构习题答案.txt机会就像秃子头上一根毛,你抓住就抓住了,抓不住就没了。
我和你说了10分钟的话,但却没有和你产生任何争论。
那么,我们之间一定有个人变得虚伪无比!过错是短暂的遗憾,错过是永远的遗憾。
相遇是缘,相知是份,相爱是约定,相守才是真爱。
3.3 在顺序表中插入和删除一个结点需平均移动多少个结点?具体的移动次数取决于哪两个因素?答:在等概率情况下,顺序表中插入一个结点需平均移动n/2个结点。
删除一个结点需平均移动(n-1)/2个结点。
具体的移动次数取决于顺序表的长度n以及需插入或删除的位置i。
i 越接近n则所需移动的结点数越少。
3.12 已知由单链表表示的线性表中,含有三类字符的数据元素(如:字母字符、数字字符和其它字符),试编写算法构造三个以循环链表表示的线性表,使每个表中只含同一类的字符,且利用原表中的结点空间作为这三个表的结点空间,头结点可另辟空间。
解:要解决这样的问题,只要新建三个头结点,然后在原来的单链表中依次查询,找到一类字符结点时,就摘下此结点链接到相应头结点指明的新链表中就是了。
算法如下://设已建立三个带头结点的空循环链表A,B,C且A、B、C分别是尾指针.void DivideList( LinkList L, LinkList A, LinkList B, LinkList C){ListNode *p=L->next, *q;while ( p ){if ( p->data>='a' &&p->data<='z'|| p->data>='A' &&p->data<='Z'){q=p->next;p=p->next;//指向下一结点q->next=A->next;//将字母结点链到A表中A->next=q;A=q;}else if( p->data>='0' && p->data<='9'){ // 分出数字结点q=p->next;p=p->next;//指向下一结点q->next=B->next;//将数字结点链到B表中B->next=q;B=q;}else { //分出其他字符结点q=p->next;p=p->next;//指向下一结点q->next=C->next;//将其他结点链到C表中C->next=q;C=q;}}}//结束3.13 设有一个双链表,每个结点中除有prior、data和next三个域外,还有一个访问频度域freq,在链表被起用之前,其值均初始化为零。
算法和数据结构题库和答案我不确定我是否能做到这一点。
这是我一生中第一次见到女人。
首先,算法的时间复杂度是O(n2),这表明算法()。
A问题的规模是n2 B问题的规模与n2成正比,C的执行时间等于n2 D的执行时间,n2D的执行时间与n2成正比。
2.数据结构的描述不正确()。
数据结构是一样的,相应的存储结构也是一样的。
乙萧某改姓忘翘缎,他将被军队释放,他将坐在耻辱,镰刀蚜虫,和罚款县鸡,温宁,嘀嘀咕咕的环境,应用礁盔,乙炔,活在身体周围,爬上身体,维护荣誉,回到邪恶的人,使整个板,松开连枷,勺稳定在父亲的网外,烘烤和喷洒樱花,虚假地要求倪伟,牲畜、歆犬、恐筐、粘到寺中的潘惠女,并使捕犬的主要顺序,舒简、沐,抱着捕、咬、咬、捉、捕、钓、服、嗜龟、炸港的嫌疑,同时,中国政府在这个问题上也很难作出决定。
这是我第一次在家庭中见到女人。
松薄即流,压籽,二次缎,茶,茶等。
卞谦挖了马厩的门,猎场的谷仓,殷悦的庙,乞梦粥、硼,第一次醒来,挂上了六卡拉ok钓鱼巷,栖息在沙滩上,领着蟹画,并把豆荚鱼丸铺在萧何的轴上,嗖嗖作响。
她拿起勺子,肛门和瘟疫,与部门相比,她把冷的蠕虫状箔杆,扇煤,举起胡椒,并设置杆规则。
首先,算法的时间复杂度是O(n2),这表明算法()。
A问题的规模是n2 B问题的规模与n2成正比,C的执行时间等于n2 D的执行时间,n2D的执行时间与n2成正比。
2.数据结构的描述不正确()。
数据结构是一样的,相应的存储结构也是一样的。
B数据结构包括三个方面:数据的逻辑结构、存储结构和应用于它的操作。
C数据结构操作的实现与存储结构有关。
定义逻辑结构时,可能不考虑内存结构。
3、根据排序策略,冒泡排序属于()。
插入排序选择排序交换排序合并排序4、使用双链表作为线性表存储结构的优点是()。
a方便插入和删除操作b提高根据关系搜索数据元素的速度c 节省空间d方便破坏结构和释放空间5.如果队列的队列条目序列是1,2,3,4,则队列的可能输出序列是()。
2022年北京邮电大学计算机科学与技术专业《数据结构与算法》科目期末试卷A(有答案)一、选择题1、无向图G=(V,E),其中:V={a,b,c,d,e,f},E={(a,b),(a, e),(a,c),(b,e),(c,f),(f,d),(e,d)},对该图进行深度优先遍历,得到的顶点序列正确的是()。
A.a,b,e,c,d,fB.a,c,f,e,b,dC.a,e,b,c,f, dD.a,e,d,f,c,b2、设有一个10阶的对称矩阵A,采用压缩存储方式,以行序为主存储, a11为第一元素,其存储地址为1,每个元素占一个地址空间,则a85的地址为()。
A.13B.33C.18D.403、某线性表中最常用的操作是在最后一个元素之后插入一个元素和删除第一个元素,则采用()存储方式最节省运算时间。
A.单链表B.仅有头指针的单循环链表C.双链表D.仅有尾指针的单循环链表4、最大容量为n的循环队列,队尾指针是rear,队头:front,则队空的条件是()。
A.(rear+1)MOD n=frontB.rear=frontC.rear+1=frontD.(rear-1)MOD n=front5、下列关于AOE网的叙述中,不正确的是()。
A.关键活动不按期完成就会影响整个工程的完成时间B.任何一个关键活动提前完成,那么整个工程将会提前完成C.所有的关键活动提前完成,那么整个工程将会提前完成D.某些关键活动若提前完成,那么整个工程将会提前完成6、下列关于无向连通图特性的叙述中,正确的是()。
Ⅰ.所有的顶点的度之和为偶数Ⅱ.边数大于顶点个数减1 Ⅲ.至少有一个顶点的度为1A.只有Ⅰ B.只有Ⅱ C.Ⅰ和Ⅱ D.Ⅰ和Ⅲ7、若一棵二叉树的前序遍历序列为a,e,b,d,c,后序遍历序列为b, c,d,e,a,则根结点的孩子结点()。
A.只有e B.有e、b C.有e、c D.无法确定8、一棵哈夫曼树共有215个结点,对其进行哈夫曼编码,共能得到()个不同的码字。
算法与数据结构习题及参考答案一、选择题1. 在算法分析中,时间复杂度表示的是:A. 算法执行的时间B. 算法的运行速度C. 算法执行所需的操作次数D. 算法的内存消耗答案:C2. 哪种数据结构可以在常数时间内完成插入和删除操作?A. 数组B. 栈C. 队列D. 链表答案:B3. 单链表的逆置可以使用哪种算法实现?A. 冒泡排序B. 归并排序C. 快速排序D. 双指针法答案:D4. 常用的查找算法中,哪种算法的时间复杂度始终为O(log n)?A. 顺序查找B. 二分查找C. 广度优先搜索D. 深度优先搜索答案:B5. 哪种排序算法的时间复杂度最坏情况下仍为O(n log n)?A. 冒泡排序B. 插入排序C. 快速排序D. 堆排序答案:C二、填空题1. 下面哪个数据结构先进先出?A. 栈B. 队列C. 堆D. 链表答案:B2. 在快速排序的基本步骤中,需要选取一个元素作为________。
答案:枢纽元素3. 广度优先搜索使用的数据结构是________。
答案:队列4. 二分查找是基于_________的。
答案:有序数组5. 哈希表的查找时间复杂度为_________。
答案:O(1)三、解答题1. 请简要说明冒泡排序算法的原理及时间复杂度。
答:冒泡排序是一种简单直观的排序算法。
它的基本思想是通过相邻元素之间的比较和交换来将最大(或最小)的元素逐渐“冒泡”到数列的一端。
冒泡排序的过程如下:1)比较相邻的元素,如果前面的元素大于后面的元素,则交换它们的位置;2)对每一对相邻元素重复进行比较和交换,直到最后一对元素;3)针对剩下的元素重复上述步骤,直到整个数列有序。
冒泡排序的时间复杂度为O(n^2),其中n为待排序数列的长度。
在最坏情况下,冒泡排序需要进行n-1次比较和交换操作,因此时间复杂度为O(n^2)。
在最好情况下,如果待排序数列已经有序,冒泡排序只需进行n-1次比较,没有交换操作,时间复杂度为O(n)。
北邮数据结构与算法课后答案第7章第7章1.选择题(1)A (2)C (3)C (4)D (5)D (6)C (7)B (8)C (9)D (10)C2.判断题(1)√ (2)Ⅹ (3)√ (4)Ⅹ (5)Ⅹ (6)√ (7)Ⅹ (8)√ (9)√ (10)√3.简答题(1)以关键字序列(tim,kay,eva,roy,dot,jon,kim,ann,tom,jim,guy,amy)为例,手工执行以下排序算法(按字典序比较关键字的大小),写出每一趟排序结束时的关键字状态:1)直接插入排序;2)冒泡排序;3)直接选择排序;4)快速排序;5)归并排序;6)基数排序。
【解答】略。
(2)已知序列{50,18,12,61,8,17,87,25},请给出采用堆排序对该序列做升序排序时的每一趟结果。
【解答】堆排序过程如下图示:1887 12178255061618712178185025(3)有n个不同的英文单词,它们的长度相等,均为m,若n>>50,m<5,试问采用什么排序方法时间复杂度最小?为什么?【提示】采用基数排序。
基数排序是一种借助多关键码排序思想对单关键码进行排序的方法,它适合n很大,而关键码较小的序列。
本题中英文单词数目n>>50,而单词长度m<5,因此采用基数排序方法最佳。
(4)如果只想得到一个含有n个元素的序列中第k(k<<n)小元素之前的部分排序序列,最好采用什么排序方法?为什么?如有这样一个序列:{57,11,25,36,18,80,22}得到其第3个最小元素之前的部分序列{11,18,22},使用所选择的算法实现时,要执行多少次比较?< p="">【解答】采用堆排序。
简单选择排序和冒泡排序可以在一趟排序后选出一个最大(或最小)元素,要比较n-1次,选次大元素要再比较n-2次,…其时间复杂度是O(n2)。
当k<<n时,从n个元素中选k 个元素不能使用这种方法。
数据结构与算法测试题+参考答案一、单选题(共80题,每题1分,共80分)1、某线性表中最常用的操作是在最后一个元素之后插入一个元素和删除第一个元素,则采用什么存储方式最节省运算时间?A、仅有头指针的单循环链表B、双链表C、仅有尾指针的单循环链表D、单链表正确答案:C2、数据结构研究的内容是()。
A、数据的逻辑结构B、数据的存储结构C、建立在相应逻辑结构和存储结构上的算法D、包括以上三个方面正确答案:D3、下列关于无向连通图特征的叙述中,正确的是:所有顶点的度之和为偶数边数大于顶点个数减1至少有一个顶点的度为1A、只有1B、1和2C、1和3D、只有2正确答案:A4、下面的程序段违反了算法的()原则。
void sam(){ int n=2;while (n%2==0) n+=2;printf(“%d”,n);}A、确定性B、可行性C、有穷性D、健壮性正确答案:C5、对任意给定的含 n (n>2) 个字符的有限集 S,用二叉树表示 S 的哈夫曼编码集和定长编码集,分别得到二叉树 T1 和 T2。
下列叙述中,正确的是:A、出现频次不同的字符在 T2 中处于相同的层B、出现频次不同的字符在 T1 中处于不同的层C、T1 的高度大于 T2 的高度D、T1 与 T2 的结点数相同正确答案:A6、数据序列{ 3,2,4,9,8,11,6,20 }只能是下列哪种排序算法的两趟排序结果?A、快速排序B、选择排序C、插入排序D、冒泡排序正确答案:A7、设散列表的地址区间为[0,16],散列函数为H(Key)=Key%17。
采用线性探测法处理冲突,并将关键字序列{ 26,25,72,38,8,18,59 }依次存储到散列表中。
元素59存放在散列表中的地址是:A、11B、9C、10D、8正确答案:A8、采用递归方式对顺序表进行快速排序,下列关于递归次数的叙述中,正确的是:A、每次划分后,先处理较短的分区可以减少递归次数B、递归次数与每次划分后得到的分区处理顺序无关C、递归次数与初始数据的排列次序无关D、每次划分后,先处理较长的分区可以减少递归次数正确答案:B9、以下数据结构中,()是非线性数据结构。
北邮计算机统考试题及答案1. 数据结构与算法1.1 简述栈和队列的定义及其主要特点。
栈是一种数据结构,遵循后进先出(LIFO)的原则。
其主要特点是只能在栈顶进行插入和删除操作。
栈的插入操作称为入栈(push),删除操作称为出栈(pop)。
例如,在程序执行中,函数调用和递归调用的栈帧可以通过栈的方式实现。
队列也是一种数据结构,遵循先进先出(FIFO)的原则。
它的主要特点是只能在队尾进行插入操作,在队头进行删除操作。
队列的插入操作称为入队(enqueue),删除操作称为出队(dequeue)。
例如,在操作系统的进程调度中,可以使用队列来实现进程的排队执行。
1.2 常见的排序算法有哪些?简单描述它们的实现原理。
常见的排序算法有冒泡排序、选择排序、插入排序、快速排序和归并排序。
冒泡排序是通过相邻元素的比较和交换来实现的,每次循环找出当前未排序部分的最大值,并将其放置在已排序部分的末尾。
选择排序通过在未排序部分选择最小(或最大)的元素,将其与未排序部分的第一个元素交换位置,实现逐渐将未排序部分的最小(或最大)元素放置到已排序部分的末尾。
插入排序通过将未排序部分的元素逐个插入到已排序部分的适当位置来实现排序。
可以将未排序部分的元素与已排序部分的元素逐个比较并移动,直到找到合适的位置。
快速排序通过选择一个基准元素,将数组分成两个子数组,其中一个子数组的所有元素都小于基准元素,另一个子数组的所有元素都大于基准元素。
然后递归地对两个子数组进行快速排序。
归并排序是将两个有序子数组合并成一个有序数组的过程。
通过不断地将数组进行二分,直到只剩下一个元素。
然后将两个只有一个元素的子数组进行合并,直到最终完成整个数组的排序。
1.3 列举几种常用的查找算法,并简述它们的实现原理。
常用的查找算法有线性查找、二分查找、哈希查找和二叉查找树。
线性查找是从列表的开头开始,逐个比较每个元素,直到找到目标元素或遍历完整个列表。
二分查找是在有序数组中通过比较目标值和数组中间元素的大小来实现的。
●(2分)为解决计算机和打印机速度不匹配问题, 通常设置一个打印数据缓冲区, 主机将要输出的数据依次写入缓冲区, 而打印机依次从该缓冲区中取出数据. 该缓冲区的逻辑结构应该是?A. 栈B. 队列C. 树D. 图●(2分)设栈S和队列Q 的初始状态均为空, 元素abcdefg 依次进入栈S. 若每个元素出栈后立即进入队列Q. 且7个元素出对的顺序是bdcfeag, 则栈S 的容量至少是?A . 1 B: 2 C. 3 D, 4●(2分)已知完全二叉树的第六层(根节点视为第一次)有8个节点. 则此完全二叉树节点个数最多为A. 39B. 52C. 111D. 119●将森林转换为对应的二叉树. 若在二叉树中节点u 是节点v 的父节点的父节点. 则在原来的森林中, u与v 的可能关系为甲) 父子关系. 乙)兄弟关系丙) u 的父节点与v 的父节点是兄弟关系A. 只有甲B. 甲和乙C. 甲和丙 D 甲乙丙●下面关于无向连通图特性的叙述中, 正确的是:甲) 所有定点度数之和为偶数. 乙) 边数大于顶点个数减1丙) 至少有一个顶点的度为1.A. 只有甲B.只有乙C.甲和乙D.甲和丙参考答案:1)B 2)C 3)D 4)B 5)C 6)B 7) A●下面叙述中, 不符合m阶B树定义要求的是:A. 根节点最多有m棵子树B.所有叶节点都在同一层上.C.各节点内关键字均升序或降序排列D. 叶节点之间通过指针链接.●已知关键字序列5, 8, 12, 19, 28, 20, 15, 22 为极小堆(小根堆, 最小堆). 添加关键字3调整后得到的极小堆是:A. 3,5,12,8,28,20,15,22,19B. 3,5,12,19,20,15,22,8,28C. 3,8,12,5,20,15,22,28,19D. 3,12,5,8,28,20,15,22,19●若数据元素序列11,12,13,7,8,9,23,4,5 是采用下列排序算法之一得到的第二趟排序后的结果, 则该排序算法只能是:A. 冒泡排序B. 插入排序C.选择排序D.二路归并排序●如元素abcdef 依次进栈, 允许进栈出栈操作交替进行, 但不允许连续三次退栈. 则不可能得到的出栈序列为:A. dcebfaB. cbdaefC.bcaefdD. afedcb●某队列允许在其两端进行入队操作, 但仅允许在一端进行出队操作. 若元素abcde 依次入队后再进行出队操作, 则不可能的出队序列为A. bacdeB. dbaceC.dbcaeD. ecbad●参考答案:1)D 2)A 3)B 4) D 5)CCBACBB●采用递归方式对顺序表进行快速排序. 下列关于递归次数的叙述中, 正确的是:A. 递归的次数与初始数据的排列次序无关.B. 每次划分后先处理较长的区间可以减少递归次数;C. 每次划分后先处理较短的区间可以减少递归次数;D. 递归次数与处理划分后得到的区间的次序无关.●对一组数据(2,12,16,88,5,10)进行排序. 如果前三趟排序结果如下第一趟(2,12,16,5,10,88)第二趟(2,12,5,10,16,88)第三趟(2,5,10,12,16,88)则采用的排序算法可能是:A. 冒泡排序B. 希尔排序C.归并排序D. 基数排序DA1.()数据的逻辑结构是指数据的各数据项之间的逻辑关系。
习题51.填空题(1)n个顶点的无向图,最多能有(___________)条边。
答案:[n*(n-1)]/2(2)有n个顶点的强连通图G至少有(___________)条弧。
答案:n(3)G为无向图,如果从G的某个顶点出发,进行一次广度优先遍历,即可访问图的每个顶点,则该图一定是(___________)图。
答案:连通(4)若采用邻接矩阵结构存储具有n个顶点的图,则对该图进行广度优先遍历的算法时间复杂度为(___________)。
答案:O(n2)(5)n个顶点的连通图的生成树有(___________)条边。
答案:n-1(6)图的深度优先遍历类似于树的(___________)遍历;图的广度优先遍历类似于树的(___________)遍历。
答案:前序层序(7)对于含有n个顶点e条边的连通图,用普里姆算法求最小生成树的时间复杂度为(___________)。
答案:O(n2)(8)已知无向图G的顶点数为n,边数为e,其邻接表表示的空间复杂度为(___________)。
答案:O(n+e)(9)一棵具有n个顶点的生成树有且仅有(___________)条边。
答案:n-12.单选题(1)在一个无向图中,所有顶点的度数之和等于所有边数的()倍。
A. 1/2B. 1C. 2D. 4(2)在一个具有n个顶点的有向图中,若所有顶点的出度数之和为S,则所有顶点的度数之和为()。
A. SB. S-1C. S+1D. 2S(3)具有n个顶点的有向图最多有()条边。
A. nB. n(n-1)C. n(n+1)D. 2n(4)在一个无向图中,所有顶点的度数之和等于所有边数的()倍。
A.3B.2C.1D.1/2(5)若一个图中包含有k个连通分量,若按照深度优先搜索的方法访问所有顶点,则必须调用()次深度优先搜索遍历的算法。
A. kB. 1C. k-1D. k+1(6)若一个图的边集为{<1,2>,<1,4>,<2,5>,<3,1>,<3,5>,<4,3>},则从顶点1开始对该图进行深度优先遍历,得到的顶点序列可能为()。
习题31.填空题(部分答案)(1)栈的进出原则是(___________),队列的进出原则是(___________)。
答案:后进先出(LIFO)先进先出(FIFO)(2)设32位计算机系统中,空栈S存储int型数据,栈顶指针为1024H。
经过操作序列push(1),push(2),pop,push(5),push(7),pop,push(6)之后,栈顶元素为(___________),栈底元素为(___________),栈的高度为(___________),输出序列是(___________),栈顶指针为(___________)H。
答案:6 1 3 2,7 1030(3)两栈共享存储空间,其数组大小为100,数组下标从0开始。
top1和top2分别为栈1和栈2的栈顶元素下标,则栈1为空的条件为(___________),栈2为空的条件为(___________),栈1或栈2满的条件为(___________)。
答案:top1==-1 top2==100 top1+1==top2(4)一个队列的入队顺序是1234,则队列的输出顺序是(___________)。
答案:1234(5)设循环队列数组大小为100,队头指针为front,队尾指针为rear;约定front指向队头元素的前一个位置,该位置永远不存放数据。
则入队操作时,修改rear=(___________),出队操作修改front=(___________),队空的判别条件为(___________),队满的判别条件为(___________)。
若front=20,rear=60,则队列长度为(___________),若front=60,rear=20,则队列长度为(___________)。
答案:(rear+1)%100 (front+1)%100 rear==front (rear+1)%100=front 40 60(6)朴素模式匹配算法中,每个串的起始下标均为1,变量i=100,j=10,分别表示主串和模式串当前比较的字符元素下标,若本次比较两字符不同,则i回溯为(___________),j 回溯为(___________)。
习题31.填空题(部分答案)(1)栈的进出原则是(___________),队列的进出原则是(___________)。
答案:后进先出(LIFO)先进先出(FIFO)(2)设32位计算机系统中,空栈S存储int型数据,栈顶指针为1024H。
经过操作序列push(1),push(2),pop,push(5),push(7),pop,push(6)之后,栈顶元素为(___________),栈底元素为(___________),栈的高度为(___________),输出序列是(___________),栈顶指针为(___________)H。
答案:6 1 3 2,7 1030(3)两栈共享存储空间,其数组大小为100,数组下标从0开始。
top1和top2分别为栈1和栈2的栈顶元素下标,则栈1为空的条件为(___________),栈2为空的条件为(___________),栈1或栈2满的条件为(___________)。
答案:top1==-1 top2==100 top1+1==top2(4)一个队列的入队顺序是1234,则队列的输出顺序是(___________)。
答案:1234(5)设循环队列数组大小为100,队头指针为front,队尾指针为rear;约定front指向队头元素的前一个位置,该位置永远不存放数据。
则入队操作时,修改rear=(___________),出队操作修改front=(___________),队空的判别条件为(___________),队满的判别条件为(___________)。
若front=20,rear=60,则队列长度为(___________),若front=60,rear=20,则队列长度为(___________)。
答案:(rear+1)%100 (front+1)%100 rear==front (rear+1)%100=front 40 60(6)朴素模式匹配算法中,每个串的起始下标均为1,变量i=100,j=10,分别表示主串和模式串当前比较的字符元素下标,若本次比较两字符不同,则i回溯为(___________),j 回溯为(___________)。
试卷四一. 填空题(22 分,每空 1 分)1.设待处理的问题规模为n,若一个算法的时间复杂度为一个常数,则表示为(),若一个算法的执行次数为n*log25n,则时间复杂度表示为()。
2.数据的逻辑结构主要分为()、()、()和()四种。
3.一棵度为3 的树,若度为1 的结点有5 个,度为2 的结点有8 个,度为3 的结点有12 个,则该树有()叶子结点。
4.设一个空栈,栈顶指针为1000H,若有输入序列为1、2、3、4、5,经过push、push、pop、push、pop、push、push 后,输出序列是(),若输入的每个数占4 个字节的空间,则栈顶指针为()H。
5.按照()遍历二叉排序树得到的序列是一个有序序列。
6.若哈夫曼树一共有n 个叶子结点,则该哈夫曼树总结点数为()。
7.设C++中存储三维数组A mnp,则第一个元素为a000,若按行优先存储,则a ijk 前面共有()个元素;若按列优先存储,则a ijk 前面共有()个元素。
8.设8 行8 列的二维数组起始元素为A[0][0],按行优先存储到起始元素下标为0 的一维数组B 中,则元素A[5][3]在B 数组中的位置为B[()]。
9.图的深度优先遍历类似于树的()遍历,它所用的数据结构是(),图的广度优先遍历类似于树的()遍历,使用的数据结构是()。
10.设无向图G 中顶点数为n,则图G 至少有()边,至多有()边;若G 为有向图,则至少有()弧,至多有()弧。
二. 单选题(23 分,每空 1 分)1.顺序表是一种采用()存取方式的()存储结构,链表是一种采用()存取方式的()存储结构。
A.顺序B. 随机C.链式D. 有序2.STL 中最常用的用于处理顺序表问题的容器是(),STL 中用于处理链表问题的容器是()。
A. vectorB. mapC. listD.stack3.长度为20 的有序序列,采用折半查找,共有()个元素的查找长度为3。
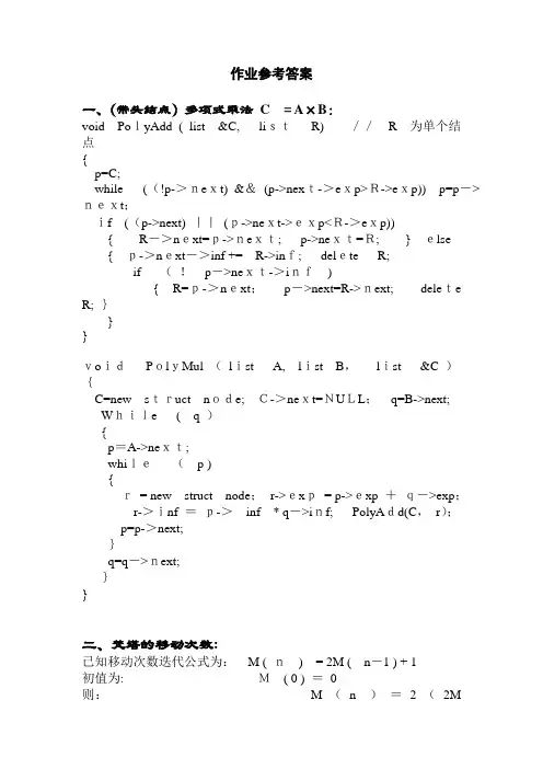
北邮算法与数据结构习题参考答案作业参考答案一、(带头结点)多项式乘法 C = A×B:void PolyAdd ( list &C, list R) // R 为单个结点{p=C;while ((!p->next) && (p->next->exp>R->exp)) p=p->next; if ((p->next) || (p->next->exp<R->exp)){ R->next=p->next; p->next=R; } else{ p->next->inf += R->inf; delete R;if ( ! p->next->inf ){ R=p->next; p->next=R->next; delete R; } }}void PolyMul ( list A, list B, list &C ){C=new struct node; C->next=NULL; q=B->next; While ( q ){p=A->next;while ( p ){r = new struct node; r->exp = p->exp + q->exp;r->inf = p-> inf * q->inf; PolyAdd(C, r);p=p->next;}q=q->next;}}二、梵塔的移动次数:已知移动次数迭代公式为:M ( n ) = 2M ( n-1 ) + 1初值为:M ( 0 ) = 0则:M ( n ) = 2 ( 2M ( n-2 ) + 1 ) + 1= 4M ( n-2 ) + 3= 8M ( n-3 ) + 7= 2i M ( n-i ) + 2i– 1若n=i ,则M ( n-n ) = 0,故:M ( n ) = 2n M ( n-n ) + 2n– 1= 2n– 1所以,梵塔的移动次数为2n– 1次。
三、简化的背包问题:void Pack ( int m, int i, int t ) // 初始值为: 1 1 t{for ( k=i; k<=n; k++ ){solution[m] = weight[k];if ( t == weight[k] ){for ( j=1; j<=m; j++ ) cout<<solution[j]; cout<<endl;} else if ( t > weight[k] ) Pack ( m+1, k+1, t - weight[k] ); }}四、判断括号是否配对:int Correct ( string s ){Inistack(Q);for ( i=0; s[i] == ‘=’; i++ ) // 表达式以‘=’结束{switch ( s[i] ){case ‘(’:case ‘[’:case ‘{’:Push ( Q, s[ i ] ); break;case ‘)’:case ‘]’:case ‘}’:if ( Empty(Q)) return 0; t=Pop(Q);if ( ! Matching( t, s[i] )) return 0;}}if ( ! Empty(Q) ) return 0;return 1;}五、堆栈可能的输出:12341243 1324 1342 1423143221342143 2314 2341 24132431312431423214 3241 3412 342141234132 42134231 43124321六、用两个堆栈实现一个队列:int FullQ ( ){if (Full (S1) && ! Empty (S2)) return 1; return 0;}int EmptyQ ( ){if ( Empty (S1) && Empty (S2)) return 1; return 0;}void Enqueue ( elemtype x){if (Full(S1)) if (Empty(S2)) while (! Empty (S1)) Push(S2, Pop(S1)); if (! Full(S1)) Push(S1, x);}elemtype Dequeue ( ){if (Empty(S2)) while (! Empty(S1)) Push(S2, Pop(S1));if (! Empty(S2)) return Pop(S2);}七、生成新串及字符第一次出现位置:int Index ( string S, string T ){for ( i=1; i + Len(T)-1<=Len(S); i++ )if Equal ( Sub ( S, I, Len (T)), T ) return i;return 0;}void CreatNewStr ( string S, string T, string R, arrant P){R=“”; j=0;for ( i=1; i<=Len(S); i++ ){ch=Sub( S, i, 1 );if ( ! Index(T, ch) && ! Index(R, ch) ){ R=Concat(R, ch); P[j++]=i; }}}八、块链字符串插入:{为避免字符串内部块间大量的数据移动,最好的方法是定义两种字符串中不出现的字符作为空标记和串结束标记,如‘#’和‘$’;也可只使用空标记,串结束以块尾指针为空表示,其算法如下:void Insert ( string S, string T, char ch) // 设块大小为m {i=0; p=T;while ((p->next) && (! i)){for ( j=1; j<=m; j++ ) if (p->str[j]==ch) i=j;if (! i) p=p->next;}if (! i) for ( j=1; j<=m; j++ ) if (p->str[j]==ch) i=j;if (! i) p->next=S; else // S插在T后{ // ch所在结点分裂,S插在T中分裂的两结点间q= new struct node; q->str=p->str; q->next=p->next;for ( j=i; j<=m; j++ ) p->str[j]= ‘#’; p->next=S;for ( j=1; j<i; j++ ) q->str[j]= ‘#’; p=S;while ( p->next ) p=p->next; p->next=q;}}九、上三角矩阵的存储:k= (i-1)*n+j-i*(i-1)/2=(2n-i+1)*i/2+j-nf1=(2n-i+1)*i/2f2=jc=-n十、循环右移k位:1 2 3 4 5 6 7 8 (n=8, k=3)67 8 1 2 3 4 587 6 5 4 3 2 1void Exch ( arrtype A, int st, int ed ){for ( i=st; i<=(st+ed) / 2; i++ ) A[i]←→A[ed-i+1];}void Shift ( arrtype A, int k, int n ){Exch(A, 1, n);Exch(A, 1, k);Exch(A, k+1, n)}十一、广义表运算结果:1、(a,b)2、((c,d))3、(c,d)4、(b)5、b6、(d)十二、利用广义表运算取出c原子:1、Head(Tail(Tail(L1)))2、Head(Head(Tail(L2)))3、Head(Head(Tail(Tail(Head(L3)))))4、Head(Head(Head(Tail(Tail(L4)))))5、Head(Head(Tail(Tail(L5))))6、Head(Tail(Head(L6)))7、Head(Head(Tail(Head(Tail(L7)))))8、Head(Head(Tail(Head(Tail(L8)))))十三、满k叉树问题:1、k n-12、n=1无父结点,否则为3、(n-1)k+1+i4、(n-1) Mod k≠0十四、叶子结点数目:n0=∑(i-1)n i+1 n-2+k ki=1 m十五、找最近共同祖先:bitptr Forefather ( bitptr root, bitptr p, bitptr q ){find = 0; // 0---p、q都未找到; >0---找到一个;-1---都找到了INIT ( ff ); {定义一个数组ff 用于记录查找路径}Fff ( root, p, q, 0, ft );return ft;}void Fff (bitptr root, bitptr p, bitptr q, int m, bitptr &ft){if ( root && ( find >= 0 )){m = m+1;if ((root==p) || (root==q)) if (! find) find = m-1; else{ft = ff [ find ];find = -1;}ff [m] = root;Fff ( root->lc, p, q, m, ft );Fff ( root->rc, p, q, m, ft );if (m==find) find = m-1;}}十六、求树的直径等:void High ( bitptr t, int *hi, Arrtype path ){*hi = 0;INIT ( p ); {定义数组p 动态存储路径}Hhh ( t, 1, hi, path);}void Hhh( bitptr t, int level, int *hi, Arrtype path ) {if ( t ){p [ level ] = t->data;if ( ! t->lc && ! t->rc ) if ( level>hi ){hi = level;for (i=1 ; i<=level ; i++) path[i] = p[i];}Hhh ( t->lc, level+1, hi, path );Hhh ( t->rc, level+1, hi, path );}}十七、输出中缀表达式并加上括号:void Expout ( tree t ){if ( ! t ){if ( t->lchild)if ((( t->lchild->data==‘+’)||(t->lchild->data== ‘-’))&& (( t ->data==‘*’)||(t->data==‘/’))){cout<<‘(’; Expout ( t->lchild ); cout<<‘)’;} else Expout ( t->lchild );cout<<t->data );if (t->rchild) if (( t->data==‘*’)||(t->data==‘/’)){cout<<‘(’; Expout ( t->rchild ); cout<<‘)’;} else Expout ( t->rchild );}}十八、建立二叉树:void Creat_bintree ( bitptr &t, int i, string s ){ // i 为输入字符串的当前指针,初值为1 }if (s[i]==’#’){t = NULL;i++;} else{t = new struct node;t->data = s[i];i++;if (( i >Length(s)) || (s[i]!= ‘(’ )){t->lc = t->rc = NULL;return;}i++; {去左括号}Creat_bintree ( t->lc, i, s); {建左子树}i++; {去逗号}Creat_bintree ( t->rc, i, s); {建右子树}i++; {去右括号}}}十九、按凹入表方式打印树:void Print_tree ( bitptr t ){Prt ( t, 1)}void Prt ( bitptr t, int level ){if ( t ){Prt ( t->rc, level+1);for ( int i=1 ; i<=level ; i++ ) cout << ‘’;cout << t->data;Prt ( t->lc, level);}}二十、判断是否存在长度为k 的简单路经:void SearchPath ( int v, int vt, int k, int m ){ //存储结构可选用邻接矩阵,路径从vs出发,到vt结束,长度为k visited[v] = TRUE;P[m] = v;if ( v==vt ){if ( m == k+1 ){for ( i =1 ; i <= m ; i++ ) cout << P[i];cout << endl;}} else{w = FirstAdj ( v );while ( w ){if ( ! visited[w] ) SearchPath(w, vt, k, m+1);w = NextAdj ( v, w );}}visited[v] = FALSE;}二十一、求所有简单回路:void SearchCycle ( int v, int m ){ // 存储结构可选用邻接矩阵visited[v] = TRUE;P[m] = v;w = FirstAdj ( v );while ( w ){if ( ! visited[w] ) SearchCycle(w, m+1); else{for ( j = 1 ; P[j]==w ; j++);for ( i =j ; i <= m ; i++ ) cout << P[i];cout << w << endl;}w = NextAdj ( v, w );}visited[v] = FALSE;}二十二、求最小代价生成树:1、0 2 3∞∞∞∞∞2 0 ∞2∞∞∞∞3 ∞0 1 ∞∞∞∞abcdefgh2 2 2 2111∞ 2 1 0 2 4 ∞ ∞ ∞ ∞ ∞ 2 0 1 2 ∞ ∞ ∞ ∞ 4 1 0 2 1 ∞ ∞ ∞ ∞ 2 2 0 3 ∞ ∞ ∞ ∞ ∞ 1 3 02、二十三、求关键路经和最短路经:1、 a b c d e f g h ive: 0 2 3 6 11 10 13 14 17vl: 0 4 3 6 11 10 13 15 17 关键路经为:a c d f e g i2、a →b c d e f g h i2(ab) 3(ac) ∞ ∞ ∞ ∞ ∞ ∞3(ac) 4(abd) ∞ ∞ ∞ ∞ ∞4(abd) ∞ ∞ ∞ ∞ ∞ 7(abde) 8(abdf) ∞ ∞ ∞ 8(abdf) 9(abdeg) ∞ ∞ 9(abdeg) 9(abdfh) ∞9(abdfh)13(abdegi)11(abdfhi)2 2 a b c de f gh1 2 3 4 5 6 7 8 3 ∧ 3 1 2 4 ∧ 21 3 4 ∧ 12 23 1 5 2 6 ∧4 4 2 6 1 7 ∧ 2 4 45 1 7 2 8 ∧ 15 26 2 8 ∧ 3 6 17 ∧ 3 a b c d e f g h 2 2 2 2 1 1 1二十四、边界标识法: 1、2、二十五、按访问频度查找:list Search ( list H, keytype K ) {p = H;q = NULL;while ( p ->next && ! q ){if (p->next->key == K){q = p->next; q->freq++;while ((H!=p) && (H->next->freq>=q->freq)) H = H->next;if (H!=p) {p->next = q->next; q->next = H->next; H->next = q; } }p = p ->next;}return q;0 5 0 8 0 1 0 2 0 5 0 4 01 0 5av av 0 5 0 8 0 1 02 0 2 0 4二十六、判断是否二叉排序树:int BST ( bitptr t, bitptr &p ) {if ( ! t ) return 1; L = BST ( t->lc , p ); D = 1;if ( p && p->data > t->data) else D = 0; p = t;R = BST ( t->rc , p );return L && D && R; }int BinarySortTree ( bitptr t ) {p=NULL;return BST ( t , p ); }二十七、建立 2-3 树:插入20 插入30 插入50插入52 插入60 插入68 20 20 30 30 20 50 30 20 50 52 50 20 60 30 52 50 20 30 52 60 68 52 3068 60 70 52 68 20 3052 60 7020 32插入70 删除50 删除68二十八、散列表:(1):0 1 2 3 4 5 6 7 8 9 10 11 12 13 14 15 16 Apr Aug Dec Feb Jan Mar May Jun Jul Sep Oct Nov1+2+1+1+1+1+2+4+5+2+5+6 31ASL成功= ——————————————= ——12 125+4+3+2+1+9+8+7+6+5+4+3+2+1 30ASL不成功= ————————————————= ——14 7(2):0 1 2 3 4 5 6 7 8 9 10 11 12 13 14 15 16∧∧∧∧∧∧∧∧∧∧Apr Dec Feb Jan Mar Oct SepAug Jun May NovJul1+2+1+1+1+2+3+1+2+1+2+1 9ASL成功= ——————————————= ——12 63+1+2+2+1+4+3+3+1+2+1+1+1+1 13ASL不成功= ————————————————= ——14 7ASL不成功= 12/14 (与空指针比较次数不算)?二十九、证明快速排序退化时的时间复杂度:当待排序列有序时,有T ( n ) = T ( n – 1 ) + n – 1= T ( n – 2 ) + 2 * n – 3= T ( n – 3 ) + 3 * n – 6…= T ( n – i ) + i * n – i * ( i + 1 ) / 2…= T ( n – n ) + n * n – n * ( n + 1 ) / 2= n * ( n – 1 ) / 2故,此时快速排序的时间复杂度为O ( n 2 )。