泰勒公式及其应用开题报告
- 格式:doc
- 大小:32.50 KB
- 文档页数:4
泰勒公式在计算方法中的应用摘要:泰勒公式是高等数学中的一个重要公式,同时它是求解高等数学问题的一个重要工具,在此结合例子简要讨论了泰勒公式在计算方法中的误差分析、函数值估测及近似计算、数值积分、常微分方程的数值解法中的应用。
通过本文的论述,可知泰勒公式可以使数值问题的求解简便。
关键词:泰勒公式;误差分析;近似计算;数值积分§1 引言泰勒公式是高等数学中的一个重要公式,利用泰勒公式能将一些初等函数展成幂级数,进行函数值的计算;而且函数的Taylor 公式是函数无穷小的一种精细分析,也是在无穷小邻域将超越运算转化为整幂运算的手段,从而可将无理函数或超越函数的极限转化为有理式的极限而求解,有效简化计算.泰勒公式作为求解高等数学问题的一个重要工具,在计算方法中有重要的应用。
§2泰勒(Taylor)公式定理 1 设函数()f x 在点0x 处的某邻域内具有1+n 阶导数,则对该邻域内异于0x 的任意点x ,在0x 与x 之间至少存在一点ξ,使得:()20000000()()()()()()()()()2!n n n f x f x f x f x f x x x x x x x R x '''=+-+-+-+……+n!(1)其中 (1)10()()()(1)!n n n f R x x x n ξ++=-+ (2)公式(1)称为()f x 按0()x x -的幂展开的带有拉格朗日型余项的n 阶泰勒公式,()n R x 的表达式(2)称为拉格朗日型余项.定理2 若函数()f x 在点0x 存在直至n 阶导数,则有()200000000()()()()()()()()(())2!n n n f x f x f x f x f x x x x x x x o x x '''=+-+-+-+-……+n!(3)公式(3)称为()f x 按0()x x -的幂展开的带有佩亚诺型余项的n 阶泰勒公式,形如0(())n o x x -的余项称为佩亚诺型余项.特别地:在泰勒公式(1)中,如果取00x =,则ξ在0与x 之间,因此可令(01),x ξθθ=<<从而泰勒公式就变成比较简单的形式,即所谓带有拉格朗日型余项的麦克劳林(Maclaurm )公式:()()()112(0)(0)()()(0)(0)2!(1)!nn n n f f f x f x f f x x x xn θ++'''=+++++……+n!(01)θ<<(4)在公式(3)中,如果取00x =,则得带有佩亚诺型余项的麦克劳林公式:()2(0)(0)()(0)(0)()2!n nn f f f x f f x x x o x '''=++++……+n!(5)§3 泰勒公式的求法(1)带佩亚诺余项的泰勒公式的求法只要知道()f x 在x =0x 处n 阶可导,就存在x =0x 带佩亚诺余项的n 阶泰勒公式。
本科生实践教学活动周实践教学成果成果形式:论文成果名称:泰勒公式及其应用****:***学号: **********专业:信息与计算科学班级:计科1301****:***完成时间:2014年7月20日泰勒公式及其应用摘要在数学分析中泰勒公式是一个重要的内容.本文论述了泰勒公式的定义、内容,并介绍了泰勒公式的10个应用及举例说明.利用泰勒公式求不等式,求极限,证明敛散性,根的唯一性等一系列泰勒公式的应用,使我们更加清楚地认识泰勒公式的重要性.关键词:泰勒公式佩亚诺余项拉格朗日余项应用目录序言 (1)一、泰勒公式 (1)(一)定义 (1)(二)余项 (1)1.佩亚诺(Peano)余项 (1)2.施勒米尔希-罗什(Schlomilch-Roche)余项 (2)3.拉格朗日(Lagrange)余项 (2)4.柯西(Cauchy)余项 (2)5.积分余项 (2)(三)推导过程 (2)1.展开式 (2)2.余项 (3)二、泰勒公式的应用 (5)(一)实例 (5)1.利用泰勒公式求初等函数的幂级数展开式 (5)2.利用泰勒公式进行近似值计算 (6)3.利用泰勒公式求极限 (6)4.利用泰勒公式证明不等式 (7)5.利用泰勒公式判断级数的敛散性 (8)6.利用泰勒公式证明根的唯一存在性 (9)7.利用泰勒公式判断函数的极值 (9)8.利用泰勒公式求初等函数的幂级数展开式 (10)9.利用泰勒公式进行近似计算 (10)10.利用泰勒公式解经济学问题 (11)三、实践总结 (12)参考文献 (13)序言在数学分析中泰勒公式是一个重要的内容,由于在分析和研究数学问题中它有着重要作用,所以成为分析和研究其他数学问题的有力杠杆。
作为数学系的学生,我认为掌握泰勒公式及其应用是非常有必要的。
本文将从泰勒公式的内容和泰勒公式的应用两方面入手。
对于泰勒公式的内容,具体研究泰勒公式的定义、表达形式、推导过程;对于泰勒公式的应用,本文是以实例的形式出现,从十个方面介绍泰勒公式的应用。
本科生毕业设计(论文)( 2014届)设计(论文)题目泰勒公式及其在解题中应用作者周立泉分院理工分院用数学1001班指导教师(职称)徐华(讲师)专业班级数学与应用数学)论文字数 8000 论文完成时间 2014年4月3日杭州师范大学钱江学院教学部制泰勒公式及其在解题中应用数学与应用数学1001班周立泉指导教师徐华摘要:泰勒公式是数学分析中的一个重要公式,它的基础思想是运用多项式来逼近一个已知函数,而该多项式的系数由给定的函数的各阶导数决定.本文主要归纳了其在证明不等式、等式,求极限,求近似值等各方面的应用.关键词:泰勒公式;数学分析 ;导数Taylor Formula and Its Application in Solving Problem Mathematics and Applied Mathematics class 1001 ZhouLiQuan Instructor: XuHuaAbstract:Taylor's formula is an important equation of mathematical analysis, it is the basic idea is to use polynomial approximation to a known function, and the polynomial coefficients given by the derivatives of the function determined. This paper describes the method to prove the Taylor formula,summarized in inequalities, find the limit,the approximate value and the other applications.Keyword:Taylor's formula;Mathematical analysis; derivative.目录1引言 (1)2泰勒公式 (1)3泰勒公式在解题中的应用 (2)3.1利用泰勒公式求近似值 (2)3.2利用泰勒公式求极限 (4)3.3泰勒公式在判断级数和广义积分敛散性的应用 (7)3.3.1判断级数的敛散性 (7)3.3.2判断广义积分的敛散性 (9)3.4利用泰勒公式证明等式与不等式 (10)4结论及展望 (10)参考文献 (11)致谢 (12)泰勒公式及其在解题中应用数学与应用数学1001班周立泉 指导教师徐华1引言泰勒公式在数值微积分中起着非常重要的作用,泰勒公式“化繁为简”的功能在数学研究方面也发挥了极大的作用.关于泰勒公式的应用,已有许多专家学者对它产生了浓厚的兴趣,它们对某些具体的题目作出了具体的解法,如证明不等式、求极限、判断函数凹凸性和敛散性、判别函数的极值、判断函数凹凸性及拐点、求渐近线、界的估计和近似值的计算等等.事实上,由于许多函数都能用泰勒公式来表示,并且研究函数近似值式和判断级数收敛性的问题又要借助于泰勒公式.因此泰勒公式在数学实际应用中也是一种非常重要的应用工具,我们必须掌握它,以便更好更方便的研究一些复杂的函数、解决更多实际的数学问题.虽然泰勒公式应用到各个数学领域很多,但同样也还有很多方面学者很少提及,因此在泰勒公式及其在解题中的应用方面我们有研究的必要,并且有着相当大的空间.2泰勒公式泰勒公式按不同的余项可以分为两类,一类是定性的,一类是定量的,它们的本质相同,但性质各异.定性的余项为佩亚诺余项))((0n x x o -,仅表示余项是nx x )(0-,即当)(0x x →时高阶的无穷小.定量的余项是拉格朗日型余项10)1()()!1()(++-+n n x x n f ξ(ξ也可以写成)(00x x x -+θ10<<θ),定量的余项一般用于对逼近误差进行具体的计算或者估计.定理1(泰勒定理):设)(x f 在0x 处有n 阶导数,则存在0x 的一个领域,对于领域中的任一点x ,成立)()(!)()(!2)())(()()(00)(200''00'0x r x x n x f x x x f x x x f x f x f n n n +-++-+-+= (1)其中余项)(x r n 满足)1(0)1()()!1()()(++-+=n n n x x n f x r ξ,ξ在x 与0x 之间. 上述公式(1)称为)(x f 在0x x =处的带拉格朗日型余项的泰勒公式.余项10)1()()!1()()(++-+=n n n x x n f x r ξ(ξ在x 与0x 之间) 称为拉格朗日余项.若不需要余项的精确表达式时,余项)(x r n 也可也成))(()(0n n x x o x r -=.此时,上述公式(1)则称为)(x f 在0x x =处的带有佩亚诺余项的泰勒公式.它的前1+n 项组成的多项式:''()'20000000()()()()()()()()2!!n n n f x f x p x f x f x x x x x x x n =+-+-++-称为)(x f 的在0x x =处的n 次泰勒多项式.当00=x 时,上式记为nn x n f x f x f x f f x f !)0(!3)0(!2)0()0()0()()(3'''2'''+++++= 该式称为麦克劳林公式,是泰勒公式的特殊形式带拉格朗日余项的泰勒公式对函数)(x f 的展开要求比较高,形式也相对复杂,但因为(2)对)(0x U x ∈∀均能成立(当x 不同时,ξ的取值可能不同),因此这反映出函数)(x f 在邻域)(0x U 内的全局性.带佩亚诺余项的泰勒公式对函数()x f 的展开要求较低,它只要求()x f 在点0x 处n 阶可导,展开形式也较为简单.(1)式说明当0x x →时用右端的泰勒多项式)(x p n 代替)(x f 所产生的误差是n x x )(0-的高阶无穷小,这反映了函数)(x f 在0x x →时的性态,或者说反映了)(x f 在点0x 处的局部性态.3泰勒公式在解题中的应用泰勒公式也被称为泰勒中值定理,是高等数学课程中的一个重要内容,不仅在理论分析方面有重要作用,其应用也非常广泛.但在高等数学课程中没有深入广泛地展开讨论,本文通过几个例子也仅仅说明其中的几个方面的应用,还有很多其他方面的应用,以及二元函数的泰勒公式及其应用等许多内容可以展开进一步的讨论,从而对泰勒公式有一个全面的认识与了解.3.1利用泰勒公式求近似值由于泰勒公式是利用增量法原理进行推导而来,因而在很多近似问题中也有广泛应用.在现今社会,由于计算机和通讯技术的发展,利用计算机进行近似计算已经成为科学研究和工程计算中的一个重要环节.泰勒公式是一个多项式拟合问题,而多项式是一个简单函数,它的研究对我们来说是轻松而又方便的.但必须注意的是泰勒公式是一种局部性质,因此在用它进行近似计算时,x 不能远离0x ,否则效果会比较差.利用泰勒公式可以对函数近似计算式和一些数值的近似计算,利用)(x f 麦克劳林展开得到函数的近似计算式为nn x n f x f x f f x f !)0(!2)0()0()0()()(2'''++++≈例1 求e 的近似值分析 因为e 介于2和3之间,是个无限不循环的数,所以直接得到确定的值比较困难,在这里我们可以利用泰勒公式导出的近似计算式进行近似得到e 的值.解 首先令()xe xf =,则x n e x f x f x f ====)()()('''把0=x 带入,得1)0()0()0()('====n f f f于是得到x e 的近似式!!212n x x x e nx++++≈上式中令1=x ,有!1!31!2111n e +++++≈ 由此可以求出e 的近似值.例2 求dx e x ⎰-12的近似值,精确到510-分析 因为dx ex ⎰-12中的被积函数是不可积的(即不能用初等函数表达),我们可以考虑利用泰勒公式和逐项积分的方法求dx e x ⎰-12的近似值.解 在x e 的展开式中用2x -代替x 得+-+++-=-!)1(!212422n x x x en n x 逐项积分,得() +-+-+-=⎰⎰⎰⎰⎰-dx n x dx x dx x dx dx enn x 1021412101!1!212++⋅-+-⋅+-=121!1)1(51!21311n n n +-+-+-+-=75600193601132912161421101311上述式子右端是一个收敛的交错级数,由其余项n R 的估计式知000015.07560017<≤R所以746836.09360113201216142110131112≈+-+-+-≈⎰-dx e x 我们不妨再看一例,例3 计算积分dx x x⎰10sin 的近似值分析 因为xxsin 不是初等函数,所以不能直接用牛顿——莱布尼兹公式求值,我们考虑利用泰勒公式求其近似值.解 由泰勒公式可得753!7)27sin(!5!3sin x x x x x x πθ⋅+++-= 所以642!7)27sin(!5!31sin x x x x x x πθ⋅-++-= 因此dx x x x x dx x x ⎰⎰⋅+++-=1064210)!7)27sin(!5!31(sin πθ 107537!7)27sin(5!53!3⎥⎥⎥⎦⎤⎢⎢⎢⎣⎡⋅⋅++⋅+⋅-=x x x x x πθ 7!7)27sin(5!513!311⋅⋅++⋅+⋅-=πθx 由此得到9461.05!513!311sin 10≈⋅+⋅-≈⎰dx x x 3.2利用泰勒公式求极限对于一般待定型的极限问题,我们采用洛必达法则来求.但是对于一些求导比较繁琐,或是要多次使用洛必达法则的情况,运用泰勒公式往往比洛必达法则更为有效.对于函数多项式或有理分式的极限问题的计算是十分简单的, 因此, 对于一些较复杂的函数可以考虑根据泰勒公式将原来较复杂的函数极限问题转化为类似多项式或者有理分式的极限问题, 因此满足下列情况时可以考虑用泰勒公式来求极限:(1) 运用洛比达法则时, 次数较多, 且求导及化简过程较繁锁.(2) 分子或分母中有无穷小的差, 且此差不易转化为等价无穷小的替代形式.(3 )所遇到的函数展开为泰勒公式不难.当确定要运用泰勒公式求极限时, 关键是要确定展开的阶数.如果分母( 或分子) 是n 阶, 就将分子( 或分母) 展开为n 阶麦克劳林公式.若分子, 分母都需要展开, 可分别展开到其同阶无穷小的阶数,即合并后的首个非零项的幂次的次数.例4 求4202cos limxex x x -→- 分析 这是一个0待定型的极限问题,如果用洛必达法则,则分子分母都需求导4次.但若用泰勒公式计算就简单得多了.解 4202cos limx e x x x -→-44224420)()2(!21)2(1)(!4!21lim x x o x x x o x x x ⎥⎦⎤⎢⎣⎡+-+-+-⎥⎦⎤⎢⎣⎡++-=→ 444)(121limx x o x x +-=→121-= 例5 求⎥⎦⎤⎢⎣⎡+-∞→)1ln(lim 2xx x x x 的极限分析 当∞→x 时,此函数是∞-∞型未定式,虽然可以通过变换把它转换成型,再用洛必达法则求解,但计算量较大,现在我们先用泰勒公式将)11ln(x+展开,再求其极限.解 ))1(()1(211)11ln(22xo x x x +-=+ 故⎥⎦⎤⎢⎣⎡+-∞→)1ln(lim 2x x x x x ⎥⎦⎤⎢⎣⎡+--=∞→))1(211(lim 222x o x xx x x 21=在高等数学的学习中利用等价无穷小替换来求解极限问题一直是我们学习的难点,即使在学习了教材后仍然对等价无穷小替换求解极限的运用不够灵活甚至比较吃力,常常犯错. 究其原因主要有两个: 一是平时不够努力,对于常见的等价无穷小没有准确记忆并且对于此类问题缺少练习; 二是对于等价无穷小替换的实质还没有透彻的理解,表现在对一些等价无穷小替换的法则只知其然而不知其所以然. 如做练习时有这样的题目:例6 xxx x 3sin lim0-→分析 由于0→x ,根据无穷小量替换得到,x x →sin ,则03lim 3sin lim 00=-=-→→x x x xx x x x 从解答过程中我们可以看到,我们在解这道题时不管条件是否满足而生搬硬套地使用了等价无穷小的替换法则,反映出我们对于无穷小的替换原则并未达到本质的理解,解决问题也缺乏灵活性.下面我们利用泰勒公式来重新理解无穷小替换的法则和原理(假设所有极限问题涉及的自变量过程变化都趋向于零).性质一:)(~ααββαo +=⇔首先来理解)(~ααββαo +=⇔,在最初的学习过程中我们容易产生两个误区: 其一,在学习时容易被左边形式迷惑,潜意识里往往误认为α,β都是单独不相关的一项;其二,对于右边的式子中()αo 我们会觉得比较抽象难以理解.根据这些容易产生的理解上的偏差,我们可以结合泰勒公式来形象直观地理解.以正弦函数的泰勒公式为例:+-+-=753!71!51!31sin x x x x x 如果β取x sin -,那么α可以取x ,也可以取3!31x x -,甚至53!51!31x x x +-也行,相应的)(αo 分别为:,!71!51!31753 +-+-x x x ,!71!5175 +-x x +-7!71x , 这样我们可以知道)(αo 并不是抽象的符号,它代表的是具体的表达式,而且该表达式可以很复杂,比如可以由多个式子组成; 另一方面,由于这些式子中的每一项都是幂函数,我们能非常直观地看出它们分别是)(),(),(642x o x o x o ,那是)!51!31(),!31(),(5332x x x o x x o x o +--接着讨论)(~ααββαo +=⇐,本质上它是等价无穷小的又一个性质——和差取大原则:αβααβ-±⇒=)(o ,取,!71!51!31,753 +-+-==x x x x βα则),(αβo =x x x x x sin !71!51!31753=+-+-=+ βα,可理解成:正弦函数由α与β两部分组成,其中α是函数的主部项,它对函数的大小和变换趋势起主要作用,β是函数的次要项或者剩余项,由()αβo =可知,β实质上是相对于主部项α的小扰动项,对整个函数的数值及变化趋势起次要的作用.具体到求极限的问题中就是极限问题的结果取决于分子分母中多项式的最低次项.性质二(和差代替规则):若''~,~ββαα,并且βα,不等价,则''~βαβα--,并且'''limlim γβαγβα-=- 故对于例4,由于 +-=3!31sin x x x ,从而,61sin 3 +=-x x x 此时,61~sin 3+-x x x 所以0361lim 3sin lim 300==-→→x xxx x x x 对于表面上差异较小的问题但运用等价无穷小替换法则大相径庭,而这样的问题往往能够用泰勒公式统一解决. 说明在求极限问题的解题思路中泰勒公式比等价无穷小替换法则更普遍、更一般,在解决问题时往往倾向接受和使用那些放之四海而皆准的思路和方法,因此利用泰勒公式来理解等价无穷小替换的实质也就更容易被大家理解和掌握.3.3泰勒公式在判断级数和广义积分敛散性的应用 3.3.1判断级数的敛散性在级数敛散性的理论中,要判定一个正项级数∑∞=1n na是否收敛,我们通常找一个较简单的级数∑∑∞=∞==111n p n n n b )0(>p ,再用比较判定法来判定.在实际应用中较困难的问题是如何选取恰当的∑∞=11n p n )0(>p 中的p 值,例如 (1)当2=p ,此时∑∞=121n n 收敛,但+∞=∞→21lim n a n n . (2)当1=p ,此时∑∞=11n n发散,但01lim =∞→na n n . 这里我们无法判定∑∞=1n n a 的敛散性,为了有效地选取∑∞=11n pn中的p 值,可以应用泰勒公式研究通项0→n a )(+∞→n 的阶,据此选择恰当的p 值使l n a pnn =+∞→1lim,并且保证+∞<<l 0,再由比较判定法(极限形式)就可以判定∑∞=1n na的敛散性.下面我们来举例说明:例7 判定级数∑+∞=--+111)2(n nnaa()0>a 的敛散性.解 因)1(ln 121ln 1222ln no a n a x e a xx x+++==, 故)1(ln 1!21ln 112221no a n a n a n+++= )1(ln 1!21ln 112221n o a n a n an++-=-因此)1(ln 1)2(22211n o a n a a a nnn +=-+=-从而有a n a n n 22ln 11lim=∞→,0→n a 是关于)1(n 的2阶.,即 ∑+∞=--+111)2(n nnaa与∑+∞=121n n同收敛 评注:当级数的通项表达式是由不同类型的函数式构成的繁难形式时,往往利用泰勒公式将级数通项简化成统一形式,以便于利用判敛准则.例8 讨论级数∑∞=+-1)1ln 1(n n n n的敛散性分析 直接根据通项去判断该项级数是正项级数还是非正项级数是比较困难的,因而也就无法恰当地选择判敛方法.在上式中我们注意到,)11ln(1ln n n n +=+这个式子中,若将其泰勒展开为n1的幂的形式,开二次方后恰与n1相呼应,会使判敛更容易进行. 解 )11ln(1ln nn n +=+ +-+-=4324131211n n n nn1<∴n n n 11ln<+ ∴01ln 1>+-=n n nu n故该级数是正项级数. 又 )1(312111ln332no n n n n n ++-=+ 2322332211)211(4111nn n n n n n -=-=+->∴232321)211(11ln 1n nn n n n n u n =--<+-=∑∞=12321n n收敛,由正项级数比较判别法知原级数收敛.例9判断级数∑∞=-1)1(n n n 的敛散性分析 对于级数∑∞=-1)1(n nn ,运用比较法,柯西判别法,魏尔斯特拉斯判别法难以直接判断其敛散性.因此我们可以考虑先把n n 进行泰勒展开,再运用上述方法进行判别.解 由泰勒公式有)ln 1(ln 1122ln 1n no n n en n nn++==所以)ln 1(ln 1122n n o n n n n +=-,而∑∑∞=∞=≥111ln 1n n n n n 发散,又)(0ln 12322∞→→n n n n所以n nn 212ln 1∑∞=收敛,故∑∞=-1)1(n n n 发散.3.3.2判断广义积分的敛散性在定积分中,我们总是假定积分区间是有限的,而被积函数(如果可积的话)一定是有界的.但在理论上或实际应用中都有需要去掉这两个限制,把定积分的概念广为(i )无限区间上的积分; (ii )无界函数的积分; 在判定广义积分dx x f a⎰+∞)(的敛散性时,通常选取广义积分)0(1>⎰+∞p dx x ap进行比较,在此通常研究无穷小量)()(+∞→x x f 的阶来有效地选择dx x f a⎰+∞)(中的p 值,从而判定敛散性.(注意到:如果dx x f a⎰+∞)(收敛,则dx x f a⎰+∞)(收敛.)例10 判断广义积分dx x x xx ⎰-10sin sin 的敛散性 分析 我们可以知道dx xx xx ⎰-10sin sin 是属于无界函数广义积分,在)1,0(上运用定积分的知识很判断出该积分是否收敛,那么我们可以考虑是否可以运用泰勒公式将x sin 展开,然后再进行计算.解 ()0sin sin <-=xx xx x f ,(]1,0∈x ,即被积函数在积分区间上不变号. )(61)(611)(!31)(!31sin sin 433224343x o x x o x x x o x x x x o x x x x x x x +⎥⎦⎤⎢⎣⎡+-=⎥⎦⎤⎢⎣⎡+--⎥⎦⎤⎢⎣⎡+-=-[])(16)(611)(61)(61132232x o x x o x x o x x o x +⎥⎦⎤⎢⎣⎡+-=++-=)(6x o x+=故有1)6sin sin (lim 0=-→xx x x x x ,又由于广义积分dx x ⎰106发散,因此用比式判别法知原广义积分收敛. 例11 研究广义积分dx x x x ⎰+∞--++4)233(的敛散性分析 我们可以初步判断dx x x x ⎰+∞--++4)233(属于无限区间上的积分,在区间),4(+∞不易运用定积分的知识进行判断该积分是否收敛.那么同样我们可以考虑运用泰勒公式将其展开再进行讨论.解 我们已经学过()αx +1的泰勒展开式为),(!2)1(1)1(22x o x x x n+-++=+ααα则x x x x f 233)(--++=2)31()31(2121--++=xx x)2)1(1891231()1()1891231(2222-+⋅-⋅-++⋅-⋅+=x o x x x o x x x)1(1492323xo x +⋅-= 因此491)(lim23=+∞→x x f x ,即0)(→x f 是)(1+∞→x x 的23阶,而⎰+∞4231dx x 收敛,故dx x f ⎰+∞4)(收敛,从而dx x x x ⎰+∞--++4)233(收敛.3.4利用泰勒公式证明等式与不等式关于在不等式的证明方面,我们已经知道有很多种方法,比如利用函数的凸性来证明不等式,利用拉格朗日中值定理来证明不等式,以及通过讨论导数的符号来得到函数的单调性,从而证明不等式的方法,同样泰勒公式也是不等式证明的一个重要方法.如果函数)(x f 存在二阶及二阶以上的导数并且有界,那么利用泰勒公式去证明这些不等式,一般的证明思路为:(1)写出比最高阶导数低一阶的函数的泰勒展开式; (2)恰当地选择等式两边的x 与0x ;4结论及展望泰勒公式是数学分析中非常重要的内容,也是研究数学各个领域的不可或缺的工具.本文章是在大量查阅有关泰勒公式的资料的基础上作出的初步整理,这篇文章主要对泰勒公式在近似值计算、求极限、判断级数和广义积分的敛散性以及证明等式与不等式等方面做了简单系统的介绍和分析,从而体现了泰勒公式在微分学应用中的重要的地位,通过以上几个方面的探讨,充分利用其解题技巧在解题时可以起到事半功倍的效果.值得一提的是,虽然泰勒公式应用到各个数学领域很多,但同样也还有很多方面很少被提及,需要不断地探索.本文通过几个例子也仅仅说明其中的几方面的应用,还有很多其他方面的应用,以及二元函数的泰勒公式及其应用等很多内容可以展开进一步的总结讨论,从而对泰勒公式有一个全面的认识与了解.而泰勒公式在数学实际应用中又是一种非常重要的应用工具,只有掌握了这些知识,并且在此基础上加强训练、不断地进行总结,才能熟练的应用它,灵活的从不同角度找出解题的途径,探索新的解题方法,以便更好更方便的研究一些复杂的函数,解决更多实际的数学问题.参考文献[1]胡格吉乐吐.对泰勒公式的理解及泰勒公式的应用[J].内蒙古科技与经济,2009(24):73.[2]刘鹏.浅谈泰勒公式及其应用.科技信息[J],2011(09):521-522.[3]齐成辉.泰勒公式的应用.陕西师范大学学报,2003,31(09):24-25.[4]费德霖.泰勒公式的应用及技巧.皖西学院学报,2001,17(04):84-86.[5]潘劲松.泰勒公式的证明及应用.廊坊师范学院学报,2010,10(02):16-21.[6]董斌斌.泰勒公式及其在解题中的应用.科技信息,2010,(31):243.[7]冯平、石永廷.泰勒公式在求解高等数学问题中的应用.新疆职业大学学报,2003,11(04):64-66.[8]陈妙琴.泰勒公式在证明不等式中的应用.宁德师专学报(自然科学报),2007,19(02):155-156.[9]刘萍、王文锦.谈泰勒公式在微分有关证明题中的应用.科技信息,2009(11):235.[10]/faculty/kaliakin/appendix_Taylor.pdf[11]/~robbin/221dir/taylor.pdf[12]/wiki/Taylor_series[13]/wiki/Taylor's_theore致谢四年的大学生活即将在这个季节画上一个句号,而于我的人生只是一个逗号,我将面对又一次征程的开始.时光匆匆如流水,转眼便是大学毕业时节,离校的日期已日趋临近,毕业论文的完成也随之进入尾声.在本文即将完成之时,谨此向我的导师徐华讲师致以衷心的感谢和崇高的敬意.本文的顺利完成离不开徐华老师的悉心指导,老师以她敏锐的洞察力,渊博的知识,严谨的治学态度,精益求精的工作作风给我留下了深刻的印象,使我获益匪浅.我还要真诚地感谢我的室友张天闻同学,他不仅在学术上给我指引,而且在生活中也给予我帮助,从他身上我学到了很多.我还要感谢我的母校杭州师范大学钱江学院,这里严谨的学风,优美的校园环境使我的大学四年过得很充实也很愉快.最后我要感谢我的父母,当自己怀着忐忑的心情完成这篇论文的时候,自己也从当年一个刚走进大城市的懵懂少年变成了一个成熟的青年.十几年的求学之路,虽然只是一个本科毕业,但也实属不易.首先,从小学到大学的生活费及学费就不是个小数目,这当然要感谢我的爸爸妈妈,他们都是农民,没有他们的勤勤恳恳和细心安排,没有他们的支持和鼓励,我是无论如何也完成不了我的大学生活.书到用时方恨少,在这篇论文的写作过程中,我深感自己的水平还非常的欠缺.生命不息,学习不止,人生就是一个不断学习和完善的过程,敢问路在何方?路在脚下!。
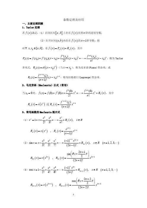
泰勒定理及应用一、主要定理回顾 1、Taylor 定理若()f x 满足:(1)在闭区间[],a b 上存在()f x 直到n 阶的连续导数;(2)在开区间(),a b 内存在()f x 的1n +阶导数;则对∀0,[,]x x a b ∈,有()()()n n f x P x R x =+,其中()20000000()()()()()()()()2!!n n n f x f x P x f x f x x x x x x x n ′′′=+−+−++−",称为Taylor多项式,()0()()nn R x x x ο=−(当0x x →),称为皮亚诺(Piano)型余项;或 (1)10()()()(1)!n n n f R x x x n ξ++=−+,称为拉格朗日(Lagrange)型余项。
2、马克劳林(Maclaurin)公式(常用)当00x =时,()()2(0)(0)()(0)(0)2!!n nn f f f x f f x x x R x n ′′′=+++++",其中()()()()()()111!n nn n n f R x o xR x x n ξ++==+或3、常用函数的Maclaurin 展开式(1)()231,2!3!!nxn x x x e x R x x R n =++++++∈" ()()()()()1,1!x nn n n e R x o xR x x n θ+==+(2)()()()()12135721sin ,1,2,3,3!5!7!21!n n n x x x x x x R x x Rn n −−−=−+−+++∈=−""()()()()2212221sin 2,21!n n n n n x R x o x R x x n θπ++⎛⎞+⎜⎟⎝⎠==+(3)()()()()2246211cos 1,1,2,3,2!4!6!2!nn n x x x x x R x x Rn n +−=−+−+++∈=""()()()()2122212122cos 2,22!n n n n n x R x o x R x x n θπ+++++⎛⎞+⎜⎟⎝⎠==+(4)()()()(]1231ln 1,1,123n n n x x x x x R x x n −−+=−++++∈−"()()()()()()111,11nnn n n n R x o xR x x n x θ++−==++ (5)()()()()()2111112!!n n n x x x x R x n ααααααα−−−++=+++++""()()()()()()()()111,1,1,11!n nn n n n R x o xR x x x x n ααααθ−−+−−==+∈−+"(6)()()2311(1),1,11n n n x x x x R x x x=−+−++−+∈−+" ()()()112(1),(1)n nn n n n R x o xR x x x θ+++−==+ 以上各式中()0,1θ∈二、典型题型解析1、应用Taylor 公式证明含有中间值的等式、不等式例1、设()f x 在[],a b 上连续, 在(),a b 内有二阶连续导数,证明:(),a b ξ∃∈,使()()()()2224b a a b f b f f a f ξ−+⎛⎞′′−+=⎜⎟⎝⎠(1)关键词:()f x 在(),a b 内有二阶连续导数 (2)分析:考虑三个已知点,,2a ba b +,在2a b +处对()f x 做二阶Taylor 展开,有 ()()212222!2f a b a b b a b a f a f f ξ′′++−−⎛⎞⎛⎞⎛⎞⎛⎞′=+−+−⎜⎟⎜⎟⎜⎟⎜⎟⎝⎠⎝⎠⎝⎠⎝⎠()212222!2f a b a b b a b a f f ξ′′++−−⎛⎞⎛⎞⎛⎞′=−+⎜⎟⎜⎟⎜⎟⎝⎠⎝⎠⎝⎠()()212222!2f a b a b b a b a f b f f ξ′′++−−⎛⎞⎛⎞⎛⎞′=++⎜⎟⎜⎟⎜⎟⎝⎠⎝⎠⎝⎠,从而()()()()()()212228b a a b f a f f b f f ξξ−+⎛⎞′′′′−+=+⎜⎟⎝⎠,再利用介值定理即可。
泰勒公式及其应用摘 要 文章主要对泰勒公式在近似计算、求极限、证明不等式、外推、求曲线的渐近线方程和判断级数收敛性,对函数凹凸性及拐点判断、广义积分敛散性中的应用关于界的估计、和泰勒公式展开的唯一性问题做了简单系统的介绍和分析,从而体现泰勒公式式在微分学中占有很重要的地位.关键词 泰勒公式; 佩亚诺余项; 拉格朗日余项; 不等式; 根的唯一存在性; 极值; 近似计算.一.引言近代微积分的蓬勃发展,促使几乎所有的数学大师都致力于相关问题的研究,特别是泰勒,笛卡尔,费马,巴罗,沃利斯等人作出了具有代表性的工作.泰勒公式是18世纪早期英国牛顿学派最优秀代表人物之一的英国数学家泰勒在微积分学中将函数展开成无穷级数而定义出来的.泰勒将函数展开成级数得到泰勒公式,对于一般函数f ,设它在点0x 存在直到n 阶的导数,由这些导数构成一个n 次多项式()20000000()()()()()()()(),1!2!!n n n f x f x f x T x f x x x x x x x n '''=+-+-++-称为函数f 在点0x 处的泰勒多项式,若函数f 在点0x 存在直至n 阶导数,则有0()()(()),n n f x T x x x ο=+-即()200000000()()()()()()()()(()).2!!n n n f x f x f x f x f x x x x x x x x x n ο'''=+-+-++-+-称为泰勒公式.我们都知道,泰勒公式是数学分析中非常重要的内容,它的理论方法已经成为研究函数极限和估计误差等方面不可缺少的数学工具,集中体现了微积分“逼近法”的精髓。
在近似计算上有着独特的优势,利用它可以将非线性问题化为线性问题,并能满足很高的精确度要求,在微积分的各个方面都有重要的应用. 泰勒公式在分析和研究数学问题中有着重要作用,它可以应用于求极限、判断函数极值、求高阶导数在某些点的数值、判断广义积分收敛性、近似计算、不等式证明等方面.这篇主要在于探索泰勒公式及其应用的新方法,借助泰勒公式的广泛应用,将泰勒公式的知识应用到数学解题的各个方面和领域中去,得出泰勒公式在数学各方面的应用和解求方法的简便性.二.预备知识2.1泰勒公式的定义定义2.1]1[ 若函数()f x 在0x 存在n 阶导数,则有'''200000()()()()()()1!2!f x f x f x f x x x x x =+-+-+()00()()(),!n n n f x x x r x n +-+ (1)其中 0()()(())n n n r x r x o x x =-满足 上述公式称为()f x 在点0x x =处带有佩亚诺余项的的泰勒公式.当0x =0时,(1)式变成)(!)0(!2)0(!1)0()0()()(2'''n nn x o x n f x f x f f x f +++++= ,称此式为(带有佩亚诺余项的)麦克劳林公式.定义2.2]2[ 若函数 ()f x 在0x 某邻域内为存在直至 1+n 阶的连续导数,则''()'20000000()()()()()()()...()()2!!n n n f x f x f x f x f x x x x x x x r x n =+-+-++-+, (2)这里()n r x 为拉格朗日余项(1)10()()()(1)!n n n f r x x x n ξ++=-+,其中ξ在x 与0x 之间,称(2)为f 在0x 的泰勒公式.当0x =0时,(2)式变成''()'2(0)(0)()(0)(0)...()2!!n nn f f f x f f x x x r x n =+++++ 称此式为(带有拉格朗日余项的)麦克劳林公式.常见函数的展开式:12)!1(!!21+++++++=n xn xx n e n x x x e θ .)()!12()1(!5!3sin 221253++++-+-+-=n n n x o n x x x x x . 24622cos 1(1)()2!4!6!(2)!nnn x x x x x o x n =-+-++-+.2311ln(1)(1)()231n nn x x x x x o x n +++=-+-+-++.)(1112n n x o x x x x+++++=- , +-++=+2!2)1(1)1(x m m mx x m 定理 2.1]3[(介值定理) 设函数 f 在闭区间 ],[b a 上连续,且 )()(b f a f ≠,若0μ为介于 )(a f 与)(b f 之间的任何实数,则至少存在一点0x ),(b a ∈,使得00)(μ=x f .2.2泰勒公式的意义泰勒公式的意义是,用一个n 次多项式来逼近函数()f x .而多项式具有形式简单,易于计算等优点.泰勒公式由()f x 的n 次泰勒多项式()n P x 和余项0()(())n n R x o x x =-组成,我们来详细讨论它们.当n =1时,有 1000()()()()P x f x f x x x '=+-,是()y f x =的曲线在点00(,())x f x 处的切线(方程),称为曲线()y f x =在点00(,())x f x 的一次密切,显然,切线与曲线的差异是较大的,只是曲线的近似. 当n =2时,有2020000()()()()()()2!f x P x f x f x x x x x '''=+-+-, 是曲线()y f x =在点00(,())x f x 的“二次切线”,也称曲线()y f x =在点00(,())x f x 的二次密切.可以看出,二次切线与曲线的接近程度比切线要好.当次数越来越高时,接近程度越来越密切,近似程度也越来越高. 2.3泰勒公式余项的类型泰勒公式的余项分为两类,一类佩亚诺型余项0(())n o x x -,一类是拉格朗日型余项(1)101()()(1)!n n f x x n ξ++-+,它们的本质相同,但性质各异.佩亚诺型余项0(())n o x x -是定性的余项,仅表示余项是比0()n x x -(当0x x →时)高阶的无穷小.如33sin ()6x x x o x =-+,表示当0x →时,sin x 用36x x -近似,误差(余项)是比3x 高阶的无穷小.拉格朗日型余项(1)101()()(1)!n n f x x n ξ++-+是定量的余项(ξ也可以写成00()x x x θ+-).定量的余项一般用于函数值的计算与函数形态的研究.三.泰勒公式的应用3.1 .利用泰勒公式求极限简化极限运算,就可用某项的泰勒展开式来代替该项,使得原来函数的极限转化为类似多项式有理式的极限.例1. 求极限sin 2lim sin cos x x xe x xx x x →0-1--- .分析 : 此为00型极限,若用罗比达法求解,则很麻烦,这时可将cos x 和sin x , xe 分别用泰勒展开式代替,则可简化此比式.解: 由1sin 2xx e x x ---=233331()())2626x x x x x o x x x o x ++++-1--(-+=34333()()6126x x x o x o x ++=+, 3233sin cos ()(1())62x x x x x x o x x o x -=-+--+=33()3x o x + 于是1sin 2lim sin cos xx x e x x x x x →0----3333()162()3x o x x o x +==+,3. 2 利用泰勒公式证明不等式当所要证明的不等式是含有多项式和初等函数的混合物,不妨作一个辅助函数并用泰勒公式代替,往往使证明方便简捷.例1. 当0x ≥时,证明31sin 6x x x ≥-.证明 取31()sin 6f x x x x =-+,00x =,则 '''''''''(0)0,(0)0,(0)0,()1cos ,(0)0.f f f f x x f ====-≥带入泰勒公式,其中n =3,得31cos ()0003!x f x x θ-=+++,其中10<<θ. 故当0x ≥时,31sin 6x x x ≥-.例2. 设()f x 在[0,1]二次可导,而且(0)(1)0f f ==,01lim ()1x f x ≤≤=-,试求存在(0,1)ξ∈,使()8f ξ''≥.证: 由于()f x 在[0,1]的最小值不等于在区间端点的值,故在[0,1]内存在1x ,使1()1f x =-,由费马定理知,1()0f x '=. 又21111()()()()()()2!f f x f x f x x x x x η'''=+-+- 21()1()2!f x x η''=-+-,(η介于x 与1x 之间) 由于(0)(1)0f f ==,不令0x =和1x =,有211()0(0)1(0)2f f x ξ''==-+-, 所以21112()2(1)(1)f x x ξξ-''=-<<,当1112x <≤时,2128x -≥,而当1112x <<时,212(1)8x --≥,可见1()f ξ''与2()f ξ''中必有一个大于或等于8.3.3 利用泰勒公式判断广义积分的敛散性当级数的通项表达式是由不同类型函数式构成的繁难形式时,就可以利用泰勒公式将级数通项简化成统一形式,以便利用判敛准则.在判定广义积()a f x dx +∞⎰敛散性时, 通常选取广义积分1(0)p a dx p x +∞>⎰进行比较, 在此通过研究无穷小量()()f x x →+∞的阶来有效地选1pa dx x +∞⎰中的p 值,从而简单地判定()af x dx +∞⎰的敛散性(注意到:如果()af x dx +∞⎰得收敛,则()af x dx +∞⎰得收敛). 例 1.研究广义积分4dx +∞⎰的敛散性. 解 : 22(1)(1)1()2!x x x o x αααα-+=+++()f x =112233)(1)2x x=++--22223191131911())(1())22828o o x x x x x x =+⋅-⋅++-⋅-⋅+-3/23/2911()4o x x=-⋅+ ,因此,3/2()9lim14x f x x →+∞=,即()0f x →是1()x x →+∞的32阶,而3/241dx x +∞⎰收敛,故4()f x dx +∞⎰收敛,从而4dx +∞⎰.例2.讨论级数1n∞=∑的敛散性.注意到11ln ln(1)nn n+=+,若将其泰勒展开为1n的幂的形式,开二次方后恰与,会使判敛易进行.解:因为2341111111ln ln(1)234nn nn n n n n+=+=-+-+<,所以<所以nu=>,故该级数是正项级数.又因为3212n =>=-,所以332211)22nun n=-=.因为31212n n∞=∑收敛,所以由正项级数比较判别法知原级数收敛.3.4 利用泰勒公式判断函数的凸凹性及拐点例 1. 设()f x 在[a,b]上连续在(a,b)上具有一阶和二阶导数,若在(a,b)内 ()0f x ´´>()f x 在[a,b]上是凹向的. 12x x 证明:设c <d 为[a,b]内任意两点,且[c,d]足够小.<为[c,d]中的任意两点,1202x x =+记x 由定理条件得泰勒公式: 2000000()()()()()()((-))2n x x f x f x f x x x f x o x x ´´´-=+-++!,22102012001002000()()()()()()()()()()()22x x x x f x f x f x f x x x f x x x f x f x ´´´´´´--+=2+-+-++!!221020())())o x x o x x +(-+(-212()n x x x x 因为余项为-的高阶无穷小,[,]又为足够小,202000()()())()2x x f x o x x f x ´´´´-所以泰勒公式中+(-的符号与相同。
泰勒中值定理与泰勒公式计算思路与典型题分析泰勒(Brook Taylor)英国数学家,主要以泰勒公式和泰勒级数出名。
一、泰勒多项式与麦克劳林多项式设函数f(x)在x0某邻域内有定义,并且在x0处有n阶导数,则称为函数f(x)在x0处的n阶(次)泰勒多项式. 其中系数称为f(x)在x0处的泰勒系数.特别,如果x0=0时,称为函数f(x)的n阶麦克劳林多项式.二、泰勒中值定理与泰勒公式定理(泰勒中值定理)如果函数f(x)在x0的某个邻域内具有直到n+1阶导数,则对邻域内任一点x,至少存在介于x0与x之间的一点ξ,使得该公式也称为带拉格朗日余项的泰勒公式,其中ξ也可以表示成三、带皮亚诺余项的泰勒公式如果函数f(x)在x0处具有直到n阶导数,则存在x0的一个邻域,对于该邻域内任一x,有此公式称为带皮亚诺余项的n阶泰勒公式.【注】以上两个公式当x0=0时,分别称为n阶带拉格朗日余项的麦克劳林公式和带皮亚诺余项的麦克劳林公式,即有四、泰勒公式的意义及使用原则泰勒公式解决了用微分近似计算函数值或函数值增量精度不高问题;提供了误差的估计公式,并可实现对误差的有效控制.【注1】函数f(x)在x=x0的n阶导数存在,则可以写出该函数在x=x0处的n次泰勒多项式,但是泰勒多项式不一定会随着n的增加逐渐逼近函数在x处的函数值.【注2】只要存在常数C>0使当x∈(a,b)时,恒有|f(n+1)(x)|≤C(n=0,1,2,…)则用n次泰勒多项式P n(x)来近似代替f(x)时,余项的绝对误差|R n(x)|(x∈(a,b))随n的增大可变得任意小. 对于初等函数而言,在任意定义区间上一般都满足这个条件,所以对应的泰勒多项式可以满足这个要求.【注3】记住几个基本初等函数的带拉格朗日余项的泰勒公式和麦克劳林公式,其他的常见初等函数的在任意点的泰勒公式,一般都可以基于等式恒等,公式唯一的间接法来获得相应的泰勒公式.五、常用的几个麦克劳林公式带拉格朗日余项的麦克劳林公式带皮亚诺余项的麦克劳林公式【注1】一般在应用中都使用麦克劳林公式,因为一般位置的泰勒公式通过平移变换可以转换为麦克劳林公式描述.【注2】借助泰勒公式,可以计算函数在指定点的任意阶导数,即有六、计算函数泰勒公式的方法与典型题1. 直接法(1)计算n阶带拉格朗日余项的泰勒公式,直接求函数在x0的1~n+1阶导数,然后由公式代入各阶导数值,直接写出泰勒公式.(2)计算n阶带皮亚诺余项的泰勒公式,直接求函数在x0的1~n阶导数,然后由公式代入各阶导数值,直接写出泰勒公式.【注】计算麦克劳林公式即为x0=0处的泰勒公式. 该方法适合于所求阶数较低,函数不方便描述为具有以上几个已知泰勒公式的初等函数结构,或者函数求导结果具有一定规律的问题,比如上面几个基本初等函数的麦克劳林公式的计算.例1 求f(x)=secx的三阶带皮亚诺余项的麦克劳林公式.【分析】该函数不好直接描述为以上五个函数,即sinx, cosx, e x, ln(1+x), (1+x)a的结构,所以使用直接法计算系数来获取相应的麦克劳林公式,由于要计算三阶带皮亚诺余项的麦克劳林公式,所以要求x0=0处的函数值及三阶导数值,于是有所以有【注1】由于secx是偶函数,所以在计算导数的过程中也只需要计算偶数阶导数,奇数阶导数肯定为0.【注2】对于抽象函数一般使用直接法.例2(1996年数学一(199607)) 设f(x)在[0,1]上具有二阶导数,且满足条件|f(x)|≤a, |f’’(x)|≤b.其中a,b都是非负常数,c是(0,1)内任意一点.(1)写出f(x)在点x=c处带拉格朗日型余项的一阶泰勒公式;(2)证明|f’(x)|≤2a+b/2.【分析】首先,这是一个抽象函数的泰勒公式计算问题,并且在x=c处各阶导数都无法直接计算出,所以只能用抽象函数的导数描述形式描述,于是直接由泰勒公式定义形式,有其中ξ=c+θ(x-c),0<θ<1. 这就是该考题第(1)的结果.对于第二问,考虑的是f’(x),由于c为任意点,所以就相当于考察泰勒公式中的f’(c),所以希望将它用有相关已知条件的函数与二阶导数来描述,如果直接用一阶泰勒公式表示,则分母中出现x-c,无法获取最小下界. 因此,按照常规的泰勒公式的应用于证明题的思路,写出在某点的泰勒公式后,分别求其它已知点,或者中点、端点的函数值,然后借助两个泰勒公式消去一些不好讨论的项,得出能够讨论出结果的表达式.比如这里,除了c,就只有两个相关端点了,于是对一阶泰勒公式求x=0,x=1的值,有两式相减,则可以将f’(c)的变量系数消去,从而有而有绝对值不等式,有由于g(c)=(1-c)2+c2的导数为g’(c)=4c-2,所以驻点只有一个,即c=1/2,比较函数g(c)在0,1/2,1的值,即1,1/2,1,所以有1/2<g(c)<1,从而有结论成立.2. 间接法该方法基于函数表达式恒等变换与泰勒公式的唯一性.(1)将函数的变量描述为x-x0的函数形式,x变量不再以其它形式存在于函数表达式中;(2)将函数描述为已知麦克劳林公式的基本初等函数的结构,即sinx,cosx, e x, ln(1+x), (1+x)a,其中x可以是任意的表达式,如果将其替换为x-x0,则得函数在x=x0处的泰勒公式.【注】变换思路可以考虑两个方向,求麦克劳林公式则从考虑变换函数结构出发,求非零点的泰勒公式,则先考虑变量结构,在考虑函数结构.(3)写出构成函数的各基本初等函数的泰勒公式,合并化简系数,写出最终泰勒公式例2 分别求x2/(4+x)的n阶带皮亚诺余项的麦克劳林公式和x=2处的n阶带皮亚诺余项的泰勒公式.【分析】(1)求带皮亚诺余项的麦克劳林公式,它从变换函数结构出发:具有x2/(4+x)结构的,已知泰勒公式的初等函数为于是有或者(2)求带皮亚诺余项的x=2泰勒公式,首先从变量出发,把变量都变为x-2,则有例3 求f(x)=e sinx的三阶带皮亚诺余项的麦克劳林公式.【分析】:直接法:该函数不具有直接的以上五个函数结构,所以考虑直接法,于是有所以有间接法:于是有例4(2000数学二):求函数f(x)=x2ln(1+x)在x=0处的n阶导数f(n)(0)(3≤n).【解题分析】由于是求x=0处的n阶导数,所以由麦克劳林公式,有于是由ln(1+x)的麦克劳林公式:可得【另解】由于这是一个幂函数与对数函数的乘积,所以它的导数也可以由莱布尼兹计算公式来求,其中公式为:如果令则由于有所以有因此当x=0时,代入上式,则有相关推荐•柯西中值定理证明中值命题的基本思路与典型例题分析•拉格朗日中值定理证明中值命题的基本概念、基本步骤与典型题思路分析•罗尔定理证明中值命题的基本概念、步骤与典型题思路分析关于泰勒公式、泰勒中值定理的应用实例思路探索与分析可以参见全国大学生数学竞赛初赛非数学解析视频课堂,主要视频有:•第二届第2题:基于对数函数法和麦克劳林公式计算函数极限(1个视频片段)•第三届第1题:函数极限计算的三类重要方法及应用实例分析(3个视频片段)•第三届第三题:借助带拉格朗日余项的泰勒公式证明中值等式(1个视频片段)•第四届第三题:借助麦克劳林公式探索方程近似解(1个视频片段)•第六届第三题:用泰勒公式解题的一般思路与步骤及实例分析(2个视频片段)•第八届第1题:函数极限计算的一般思路与方法(3个视频片段)。
泰勒公式及应用论文 Prepared on 22 November 2020毕业论文题目:泰勒公式及应用学生姓名:陆连荣学生学号: 05 系别:数学与计算科学系专业:数学与应用数学届别: 2012届指导教师:向伟目录摘要 (1)关键词 (1)Abstract (1)Key words (1)前言: (1)1泰勒公式 (2)带有拉格朗日余项的泰勒公式 (2)带有佩亚诺余项的泰勒公式 (2)带有积分型余项的泰勒公式 (2)带有柯西型余项的泰勒公式 (3)2 泰勒公式的应用 (3)利用泰勒公式求极限 (3)利用泰勒公式证明不等式及中值问题 (5)利用泰勒公式讨论积分及级数的敛散性 (8)利用泰勒公式求函数的高阶导数 (11)研究泰勒公式在近似计算中的应用 (12)结语 (12)致谢 (13)参考文献 (13)泰勒公式及应用学生:陆连荣指导教师:向伟淮南师范学院数学与计算科学系摘要;泰勒公式是数学分析中一个非常重要的内容,不仅在理论上占有重要的地位,而且在求极限、证明不等式、讨论级数及积分的敛散性、求函数的高阶导数、证明中值公式、求解导数问题及在近似计算等中都有极其重要的作用.在本文中上述所列的几个作用都有论述,但着重论述泰勒公式在求极限、级数及积分的敛散性判断、证明不等式及中值公式与求解导数问题中的作用。
关键词:泰勒公式;应用;级数;敛散性Taylor formula and its applicationStudent: Lu LiangrongInstructor : Xiang WeiDepartment of Mathematics and Computational Science: Huainan Normal University Abstract:Taylor formula in mathematical analysis is a very important content, not only in theory occupies an important position, and in the limit, to prove inequality, discuss the convergence and divergence of ser- ies and integral of function, high order derivative, mean value formula for solving the problem of proof, derivative and approximate calculation are an extremely important role. In this paper the above listed several roles are discussed, but focuses on Taylor's formula in calculating the limit, the series and the in- tegral of the divergence and judge, the proof of inequality and median formula and solving the problem of derivative function.Key words: Taylor formula; Application; Series; Convergence and divergence前言泰勒公式是数学分析中一个非常重要的内容,微分学理论中最一般的情形是泰勒公式, 它建立了函数的增量,自变量增量与一阶及高阶导数的关系,将一些复杂的函数近似地表示为简单的多项式函数,这种化繁为简的功能使它成为分析和研究其他数学问题的有力杠杆。
学士学位论文泰勒公式及其应用2012年5月18日毕业论文成绩评定表院(系):数学与信息学院学号:独创声明本人在此声明:本篇论文,是本人在指导老师的指导下,独立进行研究工作所取得的成果,成果不存在知识产权争议.尽我所知,除文中已经注明引用的内容外,本论文不含任何其他个人或集体已经发表或撰写过的作品成果.对本文的研究做出重要贡献的个人和集体均已在文中以明确方式标明.此声明的法律后果由本人承担.作者签名:二〇一二年五月十八日毕业论文使用授权声明本人完全了解鲁东大学关于收集、保存、使用毕业论文的规定.本人愿意按照学校要求提交论文的印刷本和电子版,同意学校保存论文的印刷本和电子版,或采用影印、数字化或其它复制手段保存论文;同意学校在不以营利为目的的前提下,建立目录检索与阅览服务系统,公布论文的部分或全部内容,允许他人依法合理使用.(保密论文在解密后遵守此规定)论文作者(签名):二〇一二年五月十八日目录1.引言 (1)2. 泰勒公式及其应用 (1)2.1预备知识 (1)3 泰勒公式的应用 (3)3.1利用泰勒公式求极限 (3)3.2利用泰勒公式求不等式 (3)3.3利用泰勒级数判断级数的敛散性 (4)3.4利用泰勒公式证明根的唯一性 (5)3.5利用泰勒公式判断函数的极值 (5)3.6利用泰勒公式求初等函数的幂级展开式 (6)3.7利用泰勒公式进行近似计算 (6)3.8利用泰勒公式判断函数的凸凹性和拐点 (7)3.9利用泰勒公式求高阶导数在某点的数 (8)参考文献 (8)致谢 (8)泰勒公式及其应用(数学与信息学院 数学与应用数学 2008级数本2班20082112010)摘要:在数学分析中泰勒公式是一个重要的内容.本文论述了泰勒公式的定义,内容 ,并介绍了泰勒公式的9个应用及举例说明.利用泰勒公式求不等式,求极限,证明敛散性,根的唯一性等一系列泰勒函数的应用,使我们更加清楚地认识泰勒公式的重要性.关键词:泰勒公式 皮亚诺余项 拉格朗日余项 应用Taylor formula and it ’s application(20082112010 Class 2 Grade 2008 Mathematics & Applied Mathematics School of Mathematics & Information)Abstract:In the mathematical analysis Taylor formula is a important content. This paperdiscusses the definition of Taylor formula, content, and introduces the Taylor formula nine application and give an example. Use Taylor formula for inequality, please limit, folding proof scattered sex, theuniqueness of root, a series of Taylor function of application, make us more clearly know the importance of Taylor formula.Keywords: Taylor ’s formula The emaining of the Piano The remaining of the LagrangianApplication1.引言泰勒公式将一些复杂函数近似的表示为简单的多项式函数,是高等数学中重要部分.作者通过查阅一些参考文献,从中搜集了大量的习题,通过认真计算,其中部分难度较大的题目之证明来自相应的参考文献,并对这些应用方法做了系统的归纳总结.由于本文的主要内容是介绍泰勒公式的应用,所以,本文以例题为主进行讲解说明.2. 泰勒公式及其应用2.1 预备知识定义[]12.1 若函数f 在0t 存在n 阶导数,则有()()()()()()()()()()20000001!2!!n n nn n f t f t f t f t f t t t t t t t o t t n '''=+-+-++-+-(1)这里()()0no t t -为皮亚诺余项,称(1)f 在点0t 的泰勒公式.当0t =0时,(1)式变成()()()()()()200001!2!!n nn f f f f t f t t t o t n '''=+++++称此式称为(带皮亚诺余项的)麦克劳林公式.定义2.2 若函数f 在0t 某邻域内为存在直至n+1阶的连续导数,则()()()()()()()()200000()1!2!!n nn n n f t f t f t f t f t t t t t t t R t n '''=+-+-++-+(2)这里R (n )为拉格朗日余项()()()110()()1!n n f R n t t n α++=++,其中α在t 与0t 之间,称(2)为f 在0t 的泰勒公示.当0t =0时,(2)式变成()()()()()20000()1!2!!n nn f f f f t f t t t R t n '''=+++++称此式为(带有拉格朗日余项的)麦克劳林公式.其中,常见函数的展开式:()()()()21135212224222311212!!(1)!sin (1)()3!5!21!cos (1)()2!4!2!ln 1(1)()231111n n a n n nn nnn n n n n n a a e e a a n n t t t t t o t n t t t t t o t n t t t x t o t n t t t t t++++++=++++++=-+++-++=-+-+-++=-+-+-++=+++++-定理[]12.1 (介值定理)设函数g 在闭区间],[21x x 上连续。
本科毕业论文(设计)文献综述泰勒公式的展开及其应用学院:数学与统计学院专业:数学与应用数学班级: 2012级1 班学号: ********** 学生姓名:**指导教师:***2016年5月25日《泰勒公式的展开及其应用》文献综述报告摘要前言:早期自然科学家们进行科学研究计算时,为了简化问题,总是将问题近似地的看作线性问题进行讨论研究。
直至Taylor展开思想的提出:利用n次多项式来逼近函数f,而多项式具有形式简单,易于计算等优点。
我们已经知道,在函数的运算中,多项式函数只用到加、减、乘三种简单的运算,把一个复杂的函数近似地用多项式表示出来,并能使误差达到预期的要求。
这大大降低了理论研究的误差,另外在高等数学方面,Taylor公式可以将给定函数用多项式和表示出来,这种化繁琐为简单的作用使得Taylor公式成为高等数学的核心内容之一。
本文将在前人的理论基础上进行应用探讨,所涉及的内容不仅有经常用到的还有一部分是我们不常见的Taylor公式的应用,本文最大的特点是让Taylor公式零散的应用系统化,进而加深大家对Taylor公式的认识和理解。
关键词:泰勒公式;余项;展开式一、正文:18世纪早期英国牛顿学派最优秀代表人物之一的英国数学家泰勒(Brook Taylor),于1685 年8月18日在米德尔塞克斯的埃德蒙顿出生。
1709年后移居伦敦,获法学硕士学位。
他在1712年当选为英国皇家学会会员,并于两年后获法学博士学位。
同年(即1714年)出任英国皇家学会秘书,四年后因健康理由辞退职务。
1717年,他以泰勒定理求解了数值方程.最后在1731年1 2月29日于伦敦逝世。
泰勒的主要著作是1715年出版的《正的和反的增量方法》,书内以下列形式陈述出他已于1712年7月给其老师梅钦(数学家、天文学家)信中首先提出的这个定理——泰勒定理:式子内v为独立变量的增量,及为流数.他假定z随时间均匀变化,则为常数。
上述公式以现代形式表示则为:这公式是从格雷戈里-牛顿插值公式发展而成的,当x=0时便称作马克劳林定理。
本科毕业论文(设计) 论文题目:泰勒公式及其应用学生姓名:学号:专业:数学与应用数学班级:指导教师:完成日期:2012年 5月20日泰勒公式及其应用内容摘要本文介绍泰勒公式及其应用,分为两大部分:第一部分介绍了泰勒公式的相关基础知识,包括带Lagrange余项、带Peano余项两类不同泰勒公式;第二部分通过详细的例题介绍了泰勒公式在八个方面的应用.通过本文的阅读,可以提高对泰勒公式及其应用的认识,明确其在解题中的作用,为我们以后更好的应用它解决实际问题打好坚实的基础.关键词:泰勒公式Lagrange余项Peano余项应用The Taylor Formula and The Application Of Taylor FormulaAbstractThis paper focuses on Taylor formula and the application of Taylor formula. It has two parts. The first part of this paper introduces the basic knowledge of the Taylor formula,Including Taylor formula with Lagrange residual term and with Peano residual term. With the detailed examples,The second part introduces eight applications of Taylor formula.By reading this paper,you can build a preliminary understanding of Taylor formula,define the function in problem solving ,in the later application that can be a good reference.Key Words:Taylor formula Lagrange residual term Peano residual term application目录一、泰勒公式 (1)(一)带Lagrange余项的泰勒公式 (1)(二)带Peano余项的泰勒公式 (2)二、公式的应用 (3)(一)、泰勒公式在近似运算上的应用 (3)(二)、泰勒公式在求极限中的应用 (5)(三)、泰勒公式在方程中的应用 (6)(四)、泰勒公式在中值公式证明中的应用 (8)(五)、泰勒公式在有关于界的估计中的应用 (9)(六)、泰勒公式在证明不等式中的应用 (10)(七)、泰勒公式在级数中的应用 (11)(八)、泰勒公式在求高阶导数值中的应用 (13)三、结论 (14)参考文献 (15)序 言泰勒公式是数学分析中一个非常重要的内容,它将一些复杂函数近似地表示为简单的多项式函数.这种化繁为简的功能,使它成为分析和研究其他数学问题的有力杠杆.[]1因为泰勒公式在解决一些数学问题时的确有着不可替代的作用,故有关它的理论在教材中一般都有比较详细的介绍,而关于它的应用则介绍甚少或不全面.本文比较详细地介绍了泰勒公式在近似计算、求极值、方程、证明中值公式、关于界的估计、证明不等式、级数、高阶导数值等方面的应用.作者在阅读了大量参考文献的基础上,通过例题给出了泰勒公式的许多应用,使我们能更直接的看到泰勒公式在各方面的运用.一、泰勒公式对于函数f ,设它在点0x 存在直到n 阶的导数.由这些导数构造一个n 次多项式()20000000'()''()()()()()()...()1!2!!n n f x f x f x Tn x f x x x x x x x n =+-+-++-,称为函数f 在点0x 处的泰勒多项式.[2]泰勒公式根据所带的余项的不同有不同的定义.泰勒公式的余项分为两类,一类是定量的,一类是定性的,它们的本质相同,但性质各异.下面我们来介绍一下:(一)带Lagrange 余项的泰勒公式对于这种泰勒公式,Lagrange 余项是一种定量形式. 定理1[]3 若函数f 在[,]a b 上存在直到n 阶的连续导函数,在),(b a 内存在直到+1n 阶导函数,则对任意给定的0[,]x x a b ∈、,至少存在一点(,)a b ξ∈,使得()(1)2100000000''()()()()()'()()()...()()2!!(1)!n n nn f x f x f f x f x f x x x x x x x x x n n ξ++=+-+-++-+-+,该式称为(带有Lagrange 余项的)泰勒公式.证明 作辅助函数])(!)())(()([)()()('n n t x n t f t x t f t f x f t F -++---= ,1)()(+-=n t x t G ,所以要证明的式子即为)!1()()()()()!1()()()1(000)1(0+=+=++n f x G x F x G n f x F n n ζζ或. 不妨设x x <0,则)(t F 与)(t G 在],[0x x 上连续,在),(0x x 内可导,且 0))(1()()(!)()(')1('≠-+-=--=+n nn t x n t G t x n t f t F , 又因0)()(==x G x F ,所以由柯西中值定理证得)!1()()()()()()()()()()1(''0000+==--=+n f G F x G x G x F x F x G x F n ζζζ, 其中),(),(0b a x x ⊂∈ζ. 所以定理1成立.(二)带Peano 余项的泰勒公式对于这种泰勒公式,Peano 余项是一种定性形式. 定理2[]3 若函数f 在点0x 存在直到n 阶导数,则有0()()(())nf x Tn x o x x =+-,即()200000000''()()()()'()()()...()(())2!!n n n f x f x f x f x f x x x x x x x o x x n =+-+-++-+-,称为函数f 在点0x 处的(带有Peano 余项的)泰勒公式,该公式定性的说明当x 趋于0x 时,逼近误差是较0()nx x -高阶的无穷小量.证明 设)()()(x T x f x R n n -=,n n x x x Q )()(0-=,现在只需证0)()(lim0=-x Q x R nn x x .由n k x T x f k n k ,,2,1,0)()(0)(0)( ==,可知,0)()()(0)(0'0====x R x R x R n n n n .并易知!)(,0)()()(0)(0)1(0'0n x Q x Q x Q x Q n n n n n n =====- ,因为)(0)(x f n 存在,所以在点0x 的某邻域)(0x U 内)(x f 存在1-n 阶导函数)(x f .于是,当o0x U x ∈()且0x x →时,允许接连使用洛必达(L'Hospital )法则1-n 次,得到)]()()([lim !1)(2)1())(()()(lim )()(lim )()(lim )()(lim 0)(00)1()1(000)(0)1()1()1()1(''00000=---=-----====--→--→--→→→x f x x x f x f n x x n n x x x f x f x f x Q x R x Q x R x Q x R n n n x x n n n x x n nn n x x n n x x n n x x 所以定理2成立.当00x =时,得到泰勒公式)10(,)!1()(!)0(...!2)0('')0(')0()(1)1()(2<<++++++=++θθn n n n x n x f x n f x f x f f x f ,该式称为(带有Lagrange 余项的)麦克劳林公式. 当上式中00x =时有()2''(0)(0)()(0)'(0)...()2!!n nn f f f x f f x x x o x n =+++++,它称为(带有Peano 余项的)麦克劳林公式.二、公式的应用(一)、泰勒公式在近似运算上的应用利用泰勒公式可以得到函数的近似计算式和一些数值的近似计算,利用)(x f 麦克劳林展开得到函数的近似计算式为'''2(0)(0)()(0)(0)2!!n n f f f x f f x x xn ≈++++[]4,其误差是余项()n R x . 例1[]5:计算e 的值,使其误差不超过610-.解 应用泰勒公式有11111...2!3!!(1)!e e n n θ=+++++++,(01)θ<<,估3(1)!(1)!n e R n n θ=<++,当=9n 时,便有6331010!3628800n R -<=<, 从而略去9R 而求得e 的近似值为718285.2!91...!31!2111≈+++++≈e . 例2[]5: 求21x edx -⎰的近似值,精确到510-.解 因为21x e dx -⎰中的被积函数是不可积的(即不能用初级函数表达),现用泰勒公式的方法求21x e dx -⎰的近似值.在xe 的展开式中以2x -代替x 得24221(1)2!!nx nx x e x n -=-+++-+,逐项积分,得2421111121(1)2!!nx nx x edx dx x dx dx dx n -=-+-+-+⎰⎰⎰⎰⎰111111(1)32!5!2n 1n n =-+-+-++11111111310422161329936075600=-+-+-+-+,上式右端为一个收敛的交错级数,由其余项()n R x 的估计式知71||0.00001575600R ≤<,所以2111111110.7468363104221613299360x e dx -≈-+-+-+≈⎰.由于泰勒公式可以将一些复杂函数近似地表示为简单的多项式函数,所以当选定函数中的自变量时,就可以进行近似计算.在这个应用中主要注意选择适当的函数,然后运用麦克劳林展开式,带入数值.(二)、泰勒公式在求极限中的应用为了简化极限运算,有时可用某项的泰勒展开式来代替该项,使得原来函数的极限转化为类似多项式有理式的极限,就能简洁的求出.接下来我们用两个例子来说明: 例3[]6:求极限2240cos limx x x ex -→-.解 考虑到极限式的分母为4x ,我们用麦克劳林公式表示极限的分子(取=4n )245cos 1()224x x x o x =-++ ,)(82154222x o x x ex ++-=-,)(12cos 5422x o x ex x +-=--,因而求得,245244001()cos 112limlim 12x x x x o x x e x x -→→-+-==-. 例4[]7: 求极限 )3(211ln 3)76(sin 6lim 2202x x xx x x x e x x +--+---→.解 )(!51!31sin 653x o x x x x ++-=, )(402767sin e 5532x o x x x x x ++-=-)(51413121)1ln(55432x o x x x x x x ++-+-=+ )(51413121)1ln(55432x o x x x x x x +-----=-)(52322)1ln()1ln(11ln 553x o x x x x x x x +++=+-+=-+,原式=5505527()40lim 6()5x x o x x o x →++=169.由上边两个例子可见,因为通常情况下对于函数多项式和有理分式的极限问题的计算是十分简单的,所以对于一些复杂的函数可以根据泰勒公式将原来的复杂的问题转化为类似多项式和有理分式的极限问题.综上所述,在式子满足下列情况时可以考虑用泰勒公式来求极限:(1)用洛必达法则时,次数比较多、求导过程和化简过程比较复杂的情况. (2)分子或分母中有无穷小的差, 且此差不容易转化为等价无穷小替代形式. (3)函数可以很容易的展开成泰勒公式.(三)、泰勒公式在方程中的应用泰勒公式在函数方程中应用比较广泛,题型也比较多,主要有判断根,方程次数等等一些证明类问题,做此类题,要注意观察题目中导数阶数,以便用泰勒公式展开到相应阶数.我们用三个例子来说明: 例5[]8: 设()f x 在[,)a +∞上二阶可导,且()0f a >,'()0f a <,对(,)x a ∈+∞,''0f ≤证明 ()0f x =在(,)a +∞内存在唯一实根.分析: 这里()f x 是抽象函数,直接讨论()0f x =的根有困难,由题设()f x 在[,)a +∞上二阶可导且()0f a >,'()0f a <,可考虑将()f x 在a 点展开一阶泰勒公式,然后设法应用介值定理证明.证明 因为''()0f x ≤,所以'()f x 单调减少,又'()0f a <,因此>x a 时,''()()0f x f a <<, 故()f x 在(,)a +∞上严格单调减少.在a 点展开一阶泰勒公式有''2()()()()()()()2f f x f a f a x a x a a x ξξ=+-+-<<.由题设'()0f a <,'()0f ξ≤,于是有lim ()x f x →∞=-∞,从而必存在b a >,使得()0f b <,又因为()0f a >,在[,]a b 上应用连续函数的介值定理,存在0(,)x a b ∈,使0()0f x =,由()f x 的严格单调性知0x 唯一,因此方程()0f x =在(,)a +∞内存在唯一实根.例6[]8: 设()f x 在(,)-∞+∞内有连续三阶导数,且满足方程,()()'(),01f x h f x hf x h θθ+=++<<. (1)试证:()f x 是一次或二次函数.证明 问题在于证明:''()0f x ≡或'''()0f x ≡.为此将(1)式对h 求导,注意θ与h 无 关.我们有'()'()''()f x h f x h hf x h θθθ+=+++, (2) 从而'()'()'()'()''()f x h f x f x f x h f x h hθθθ+-+-+=+.令0→h 取极限,得''()''()''()f x f x f x θθ-=,''()2''()f x f x θ=. 若21≠θ,由此知)(,0)(''x f x f ≡为一次函数;若21=θ,(2)式给出 111'()'()''()222f x h f x h hf x h +=+++,此式两端同时对h 求导,减去''()f x ,除以h ,然后令0→h 取极限,即得'''()0f x ≡,()f x 为 二次函数. 例7[]9: 已知函数)(x f 在区间(-1,1)内有二阶导数,且(0)'(0)0f f ==,''()()'()f x f x f x ≤+试证:0δ∃>,使得δδ-(,)内()0f x ≡. 证明 为了证明)(x f 在0=x 处的邻域内恒为零.我们将(3)式右端的)(x f ,)('x f 在0=x 处按公式展开.注意到(0)'(0)0f f ==.我们有22''()1()(0)'(0)''()22f f x f f x x f x ξξ=++=, '()'(0)''()''()f x f f x f x ηη=+=.从而21()|'()|''()''()2f x f x f x f x ξη+=+, 今限制11[,]44x ∈-,则()'()f x f x +在11[,]44-上连续有界,011[,]44x ∃∈-,使得 001144()'()max ()'().x f x f x f x f x M -≤≤+=+≡我们只要证明0M =即可.事实上20000001()'()''()''()2M f x f x f x f x ξη=+=+, ))('')(''(4100ηξf f +≤, ))()(')()('(410000ηηξξf f f f +++≤, 11242M M ≤⋅=. 即102M M ≤≤.所以0M =,在11[]44-,上()0f x ≡.由以上例题可见,在函数方程方面,泰勒公式对于求二阶或二阶以上的连续导数的问题来说十分的好用,主要是通过作辅助函数,对有用的点进行泰勒公式展开并对余项作合适的处理.(四)、泰勒公式在中值公式证明中的应用由于泰勒公式将函数和它的高阶导数结合了起来,所以遇到这类有高阶导数的证明时,首先应考虑用泰勒公式来求解.接下来我们用一个例子来说明: 例8[]9: 设)(x f 在],[b a 上三次可导,试证:(,)c a b ∃∈,使得31()()'()()'''()()224a b f b f a f b a f c b a +=+-+-. 证明 设k 为使下式成立的实数:31()()'()()()0224a b f b f a f b a k b a +-----=, 这时,我们的问题归为证明:(,)c a b ∃∈,使得'''()k f c =.令31()()()'()()()0224a x g x f x f a f x a k x a +=-----=. 则0)()(==b g a g ,根据Rolle 定理,(,)a b ξ∃∈,使得,0)('=ξg 即:1'()'()''()()202228a a a f f f k a ξξξξξ++-----=. 这是关于k 的方程,注意到)('ξf 在点2ξ+a 处的泰勒公式: 21'()'()''()'''()()022222a a a a f f f f c ξξξξξ++--=++=. (五)、泰勒公式在有关于界的估计中的应用我们知道有些函数是有界的,有的有上界,而有的有下界,结合泰勒公式的知识与泰勒公式的广泛应用,这里我们将探讨泰勒公式关于界的估计,下面通过例题来分析. 例9[]9: 设)(x f 在[0,1]上有二阶导数,10≤≤x 时|()|1f x ≤,''()2f x <.试证:当10≤≤x时,|'()|3f x ≤.证明 21(1)()'()(1)''()(1)2f f x f x x f x ξ=+-+-, 21(0)()'()()''()()2f f x f x x f x η=+-+-, 所以2211(1)(0)'()''()(1)''()22f f f x f x f x ξη-=+--, 22)1(|)(''|21)(''21|)0(||)1(||)('|x f x f f f x f -+++≤ξη,222(1)213x x ≤+-+≤+=.例10[]10: 设)(x f 二次可微,(0)(1)0f f ==,01max ()2x f x ≤≤=,试证01max ''()16x f x ≤≤≤-.证明 因)(x f 在[0,1]上连续,有最大、最小值.又因01max ()2x f x ≤≤=,(0)(1)0f f ==,最大值在(0,1)内部达到.所以)1,0(0∈∃x 使得001()max ()x f x f x ≤≤=.于是)(0x f 为最大值.由Fermat 定理,有0'()0f x =,在0x x =处按泰勒公式展开,)1,0(,∈∃ηξ使得:22000110(0)()''()(0)2''()22f f x f x f x ξξ==+-=+, 22000110(1)()''()(1)2''()(1)22f f x f x f x ηη==+-=+-.因此22010044max ''()min{''(),''()}min{,}(1)x f x f f x x ξη≤≤≤=---. 而 01[,1]2x ∈时,222000444min{,}16(1)1x x x --=-≤---(), 01[0,]2x ∈时,222000444min{,}16(1)x x x --=-≤--, 所以 01max ''()16x f x ≤≤≤-.由上边例题可以总结出一些经验,比如当遇到求有关于界的问题,且涉及高阶导数时,通常考虑用泰勒公式来解题.在解题时可以应用这个经验尝试解题.(六)、泰勒公式在证明不等式中的应用当所要证明的不等式是含有多项式和初等函数的混合物,不妨作一个辅助函数并用泰勒公式代替,往往使证明方便简捷.[]7例11[]11: 设)(x f 在],[b a 上二次可微,''()0f x <.试证:12...0,n i a x x x b k ∀≤<<<≤≥,11nii k==∑,有)()(11i ni i i ni i x f k x k f ∑∑==>.证明 取01ni ii x k x==∑,将)(i x f 在0x x =处按泰勒公式展开有:20000))((''21))((')()(x x f x x x f x f x f i i i i -+-+=ξ, ))((')(000x x x f x f i -+<, (1,2,3...,)i n = 以i k 乘此式两端,然后n 个不等式相加,注意11nii k==∑,11()0nniii ii i k x x k x x==-=-=∑∑,得)()()(101∑∑===<ni i i i ni ix k f x f x f k.例12[]11: 当0x ≥时,证明31sin 6x x x ≥-. 证明 取31()sin 6f x x x x =-+,00x =,则 '''''''''(0)0(0)0(0)0()1cos (0)0f f f f x x f ====-≥,,,,.带入泰勒公式,其中=3n ,得31cos ()0003!x f x x θ-=+++,其中10<<θ. 故当0x ≥时,31sin 6x x x ≥-. 由此可见,关于不等式的证明,有多种方法,如利用拉格朗日中值定理来证明不等式,利用函数的凸性来证明不等式,以及通过讨论导数的符号来得到函数的单调性,从而证明不等式的方法.但归结起来都可以看做是泰勒公式的特殊情形,所以证明不等式时,注意应用泰勒公式这个重要方法.(七)、泰勒公式在级数中的应用在级数敛散性的理论中,要判断一个正项级数∑=nn na1是否收敛,通常找一个简单的函数,)0(111>=∑∑==p n b nn p nn n ,在用比较判定法来判定,但是在实际应用中比较困难的问题是如何选取适当的∑=nn pn11(0>p 中的p 值).如 当2=p ,此时∑∞=121n n收敛,但是+∞=∞→21lim n a n n , 当1=p 时,此时∑∞=11n n发散,但是01lim =∞→na n n . 在这种情况下我们就无法判定∑=nn n a 1的敛散性,为了更好的选取∑=nn pn11中p 的值,使得lim 1n n p a t n→∞=且0t <<+∞,在用比较判别法,我们就可以判定∑=nn n a 1的敛散性. 例13[]11:讨论级数1n ∞=∑的敛散性.分析:直接根据通项去判断该级数是正向级数还是非正项级数比较困难,因而也就无法恰当选择判敛方法,注意到11lnln(1)n n n +=+,若将其泰勒展开为1n 的幂的形式,相呼应,会使判敛容易进行.解 因为2341111111lnln(1)234n n nn n n nn+=+=-+-+<, 所以<从而0n u=>,故该级数是正项级数.又因为3212n =>==-, 所以332211)22nun n=-<-=.因为31212n n∞=∑收敛,所以由正项级数比较判别法知原级数收敛.利用基本初等函数的幂级数展开式,通过加减乘等运算进而可以求得一些较复杂的初等函数的幂级数展开式.例14[]12:求211x x++的幂级数展开式.解利用泰勒公式231111xx x x-=++-36934679103467910(1)(1)1()222222222(1)[sin]3nnx x x x x x x x x x xx x x x x x xnxπ∞=-++++=-+-+-+-+=-+-+-+-++=由例题可见,当级数的通项表达式是由不同类型函数式构成的繁难形式时,往往利用泰勒公式将级数通项简化成统一形式,以便利用判敛准则.利用基本初等函数的幂级数展开式,通过加减乘等运算进而可以求得一些较复杂的初等函数的幂级数展开式.(八)、泰勒公式在求高阶导数值中的应用如果()f x泰勒公式已知,其通项中的加项nxx)(-的系数正是)(!1)(xfnn,从而可反过来求高阶导数数值,而不必再依次求导.例15[]12: 求函数x exxf2)(=在1x=处的高阶导数(100)(1)f.解设=+1x u,则eeueuugxf uu⋅+=+==+2)1(2)1()1()()(,)0()1()()(nn gf=,ue在=0u的泰勒公式为)(!100!99!9811001009998uouuuue u++++++= ,从而))(!100!99!981)(12()(10010099982u o u u u u u u e u g +++++++= ,而()g u 中的泰勒展开式中含100u的项应为100100!100)0(u g ,从()g u 的展开式知100u 的项为100)!1001!992!981(u e ++,因此 100(0)121()100!98!99!100!g e =++,100(0)10101g e =⋅,e gf 10101)0()1(100100==.通过泰勒公式求高阶导数,这是泰勒公式比较简单的一种应用,重点就在于掌握,其通项中的加项nx x )(0-的系数正是)(!10)(x f n n .在求导数时只需在系数上乘以!n 即可. 三、结 论泰勒公式是数学分析中的重要组成部分,是一种非常重要的数学工具.它集中体现了微积分“逼近法”的精髓,在微积分学及相关领域的各个方面都有重要的应用.本文介绍了泰勒公式以及它在八个方面应用,使我们对泰勒公式有了更深一层的理解,对怎样应用泰勒公式解答具体问题有了更深一层的认识,只要在解题过程中注意分析,研究题设条件及其形式特点,并把握上述处理规则,就能比较好地掌握利用泰勒公式解题的技巧.参考文献[1]华东师范大学数学系,《数学分析》(上),高等数学出版社,2008,134-141[2]裴礼文,《数学分析中的典型问题及方法》,高等教育出版社,2009,150-157[3]同济大学数学教研室主编,《高等数学》,人民教育出版社,2007,139-145[4]刘玉琏,《数学分析讲义》,人民教育出版社,2000,120-138[5]张利凯,《高等数学学习辅导》,科学技术文献出版社,2002,138-156[6]M.克莱因,《古今数学思想》,上海科学技术出版社,1988,165-168[7]W.盖勒特、H.奎斯特纳等,《简明数学全书Ⅱ.高等数学与现代数学》,上海科学技术出版社,1985,295-297[8]H.J.巴茨,《数学公式书册》,科学出版社,1987,439-440[9]闵祥伟,《高等数学学习指导与例题分析》,北京邮电大学出版社,2004,520-521,539-540[10]吴炯圻,陈跃辉等,《高等数学及其思想方法与实验》(上),厦门大学出版社,2008,122-127[11]上海财经大学应用数学系,《高等数学》,上海财经大学出版社,2004,66-71[12]蔡子华,《新编高等数学导学》,科学出版社,2002,336-337,369-376(本资料素材和资料部分来自网络,仅供参考。
泰勒公式及其应用本文将介绍泰勒公式在数学分析中的应用。
泰勒公式是一种重要的工具,可以用于近似计算、函数凹凸性判断、敛散性的判断、等式与不等式的证明、中值问题以及行列式的计算等方面。
本文将重点讨论泰勒公式在极限计算、敛散性的判断、中值问题以及等式与不等式的证明方面的应用。
2.泰勒公式泰勒公式是一种将函数展开为幂级数的方法。
它可以分为带有拉格朗日余项、皮亚诺型余项、积分型余项和柯西型余项的泰勒公式。
这些不同类型的泰勒公式可以用于不同的问题求解。
2.1具有拉格朗日余项的泰勒公式具有拉格朗日余项的泰勒公式是最常用的一种泰勒公式。
它可以将一个函数展开为一个幂级数,其中每一项的系数都与函数的导数有关。
这个公式的余项是一个拉格朗日型余项,可以用来估计函数在某个点的误差。
2.2带有皮亚诺型余项的泰勒公式带有皮亚诺型余项的泰勒公式是一种更精确的泰勒公式。
它可以用来估计函数在某个点的误差,并且比具有拉格朗日余项的泰勒公式更加精确。
2.3带有积分型余项的泰勒公式带有积分型余项的泰勒公式是一种将函数展开为幂级数的方法。
它可以用来估计函数在某个点的误差,并且比具有拉格朗日余项的泰勒公式更加精确。
2.4带有柯西型余项的泰勒公式带有柯西型余项的泰勒公式是一种将函数展开为幂级数的方法。
它可以用来估计函数在某个点的误差,并且比具有拉格朗日余项的泰勒公式更加精确。
3.泰勒公式的应用泰勒公式在数学分析中有广泛的应用。
本文将介绍泰勒公式在极限计算、敛散性的判断、中值问题以及等式与不等式的证明方面的应用。
3.1利用泰勒公式求未定式的极限利用泰勒公式可以求解一些未定式的极限。
例如,可以用泰勒公式将一个函数展开为幂级数,并利用级数的性质求解未定式的极限。
3.2利用泰勒公式判断敛散性泰勒公式可以用来判断一些级数的敛散性。
例如,可以用泰勒公式将一个函数展开为幂级数,并利用级数的性质判断级数是否收敛。
3.3利用泰勒公式证明中值问题泰勒公式可以用来证明一些中值问题。
论文提要泰勒公式是数学分析中的重要组成部分,它的理论方法已成为研究函数极限和估计误差等方面的不可或缺的工具集中体现了微积分“逼近法”的精髓,它是微积分中值定理的推广,亦是应用高阶导数研究函数性态的重要工具,它的用途很广泛,本文论述了泰勒公式的一些基本内容,并着重介绍了它在数学分析中的一些应用。
即应用泰勒公式求极限,利用泰勒公式证明中值公式,判断函数敛散性,证明不等式,判断函数的极值,求幂级数展开式,进行近似计算,求高阶导数在某些点的数值。
浅谈泰勒公式及其应用摘 要: 本文介绍了泰勒公式及几个常见函数的展开式,针对泰勒公式的应用讨论了八个问题.即应用泰勒公式求极限,利用泰勒公式证明中值公式,判断函数敛散性,证明不等式,判断函数的极值,求幂级数展开式,进行近似计算,求高阶导数在某些点的数值.关键词:泰勒公式泰勒公式是高等数学中一个非常重要的内容,它将一些复杂函数近似地表示为简单的多项式函数,这种化繁为简的功能,使它成为分析和研究其他数学问题的有力杠杆.作者通过阅读大量的参考文献,从中搜集了大量的习题,通过认真演算,其中少数难度较大的题目之证明来自相应的参考文献,并对这些应用方法做了系统的归纳和总结.由于本文的主要内容是介绍应用,所以,本文会以大量的例题进行讲解说明.1 预备知识定义 1.1 若函数f 在点0x 存在直至n 阶导数,则有()()()n n f x T x T x ==+()0no x x +,即()()()()()()()()()().!!2000200000n n n x x o x x n x f x x x f x x x f x f x f -+-+⋯+-''+-'+=为⑴式.⑴式称为函数f 在点0x 处的泰勒公式,()()()x T x f x R n n -=称为泰勒公式的余项,形如()nx x o 0-的余项称为佩亚诺型余项.所以⑴式又称为带有佩亚诺余项的泰勒公式.当00=x 时,得到泰勒公式:()()()()()()()n n x o n f x f x f f x f ++⋯+''+'+=!0!20002.它也称为(带有佩亚诺余项的)麦克劳林公式.定义1.2 若函数f 在[]b a ,上存在直至n 阶的连续导函数,在()b a ,内存在()1+n 阶导函数,则对任意给定的x ,[]b a x ,0∈,至少存在一点()b a ,∈ξ,使得()()()()()()()()()()()()()100100200000!1!!2++-++-+⋯+-''+-'+=n n n n x x n x fx x n x f x x x f x x x f x f x f 为⑵式.⑵式同样称为泰勒公式,它的余项为()()()()()()()()1001!1++-+=-=n n n n x x n x f x T x f x R , ()00x x x -+=θξ ()10<<θ,称为拉格朗日型余项.所以⑵式又称为带有拉格朗日型余项的泰勒公式.当00=x 时,得到泰勒公式()()()()()()()()()112!1!0!2000+++++⋯+''+'+=n n n n x n x f x n f x f x f f x f θ.它也称为(带有拉格朗日余项的)麦克劳林公式. 常见函数的展开式:⑴()n xx xx o n n x e ++⋯+++=!!221; ⑵()()m m m x o m x x x x x 212153)!12(1!5!3sin +--+⋯++-=--;⑶()()12242)!2(1!4!21cos ++-+⋯++-=m m m x o m xx x x ;⑷()()()n nn x o nx x x x x +-+⋯++-=+-1321321ln ; ⑸()()()n nax o x n n a a a a a axx ++-⋯-+⋯+++=+!)1()1(!2111; ⑹()n n x o x x x x++⋯+++=-2111.2.泰勒公式的应用2.1利用泰勒公式求极限为了简化极限运算,有时可用某项的泰勒展开式来代替该项,使得原来函数极限转化为类似多项式有理式的极限,就能简捷地求出.例2.1 求 0lim→x xx x x 3sin )cos (sin -. 证 设()()x x f sin =, ()x x g cos =用泰勒公式在0=x 处展开 它们的导数是有规律的分别按x cos ,x sin -,x cos -,x sin 和x sin -,x cos -,x sin , x cos 循环.f 在0=x 处的1,2,……阶导数分别为1,0,1-,0,1……(循环);g 在0=x 处的1,2,……阶导数分别为1,0,1-,0,1……(循环);()()⋯⋯-+-+=-+=∑∞=!5!3!10!0)0(0sin 530x x x i f x f x i i i()()⋯⋯-+-=-+=∑∞=!4!21!0)0(0cos 420x x i g x g x i i ii f ,i g , f ,g 为i 的阶导数代入所求式中原式0lim x →= ⎥⎦⎤⎢⎣⎡⋯⋯+-⎥⎦⎤⎢⎣⎡⋯⋯+---32353!31!11)!51!41()!31!21()(x x x x 20231111()()2!3!4!5!lim 111!3!x x x →⎡⎤---+⋯⋯⎢⎥⎣⎦=⎡⎤-+⋯⋯⎢⎥⎣⎦()112!3!=- 13=2.2 利用泰勒公式证明中值公式例2.2 设)(x f 在[]b a ,上三次可导,试证:∃(,)c a b ∈使得3)())((241)(2)()(a b c f a b b a f a f b f n -+-⎪⎭⎫⎝⎛+'+= ①证(待定常数法)设k 为使下式成立的实数0)(241)(2)()(3=---⎪⎭⎫⎝⎛+'--a b k a b b a f a f b f ② 这时,我们的问题回归为证明:),(b a c ∈∃使得)(c f k '''= ③令 3)(241))(2()()()(a x k a x x a f a f x f x g ---+'--= ④ 则0)()(==b g a g根据罗尔定理,),(b a ∈∃ξ,使得,0)(='ξg 有④式,即:()028222)(2=--⎪⎭⎫ ⎝⎛-⎪⎭⎫ ⎝⎛+''-⎪⎭⎫ ⎝⎛+'-'ξξξξξk a a f a f f ⑤这是关于k 的方程,注意到()ξf '在点2ξ+a 处的泰勒公式; ()2221222⎪⎭⎫⎝⎛-'''-⎪⎭⎫ ⎝⎛-⎪⎭⎫ ⎝⎛+''+⎪⎭⎫ ⎝⎛+'='a f a a f a f f ξξξξξ ⑥其中()b a c ,∈,比较⑤,⑥可得③式证毕2.3利用泰勒公式判断函数敛散性当要求判断极限的敛散性且条件出现有二阶和二阶以上导数时,考虑用泰勒公式展开判断极限敛散性.例2.3设)(x f 在点0=x 的某一邻域内具有二阶连续导数,且()0lim=→xx f x .证明:级数)1(1∑∞=n nf 绝对收敛. 分析:可以先用泰勒公式求出)(x f 在点0=x 处的二阶导数,利用二阶导数判断0→x 时)(x f 的趋势.证 由()0lim=→xx f x ,又)(x f 在0=x 的邻域内具有二阶连续导数,可以推出0)0(=f ,0)0(='f .将)(x f 在0=x 的邻域内展开成一阶泰勒公式:=)(x f ()()2221!21)0()0(x f x f f f ξξ''=''+'+,其中ξ在0与x 之间. 由于题设,()x f ''在邻域内包含原点的一个小闭区间上连续,因此,0>∃M 使得M x f ≤'')(,于是:222)(21)(x M x f x f ≤''=ξ. 令n x 1=,则212)(n M x f ⋅≤.因为∑∞=121n n 收敛,所以∑∞=1)1(n n f 绝对收敛.2.4 利用泰勒公式证明不等式当所要证明的不等式是含有多项式和初等函数的混合物,不妨作一个辅助函数并用泰勒公式代替,往往使证明方便简捷.例2.4 当0≥x 时,证明≥x sin -x 361x . 证 取()x f 361sin x x x +-=, 00=x ,则 ()00=f ,()00='f , ()00=''f , ()='''0f x cos 1-, ()0)(n f ≥0.带入泰勒公式,其中3=n ,得()3!3cos 1000x x x f θ-+++=,其中10<<θ. 故 当0≥x 时,≥x sin 361x x -.2.5利用泰勒公式判断函数的极值例2.5(极值的第二充分条件)设f 在0x 的某邻域()δ;0x U 内一阶可导,在=x 0x 处二阶可导,且()00='x f , ()00≠''x f . (ⅰ)若()00<''x f ,则f 在0x 取得极大值. (ⅱ)若()00>''x f ,则f 在0x 取得极小值.证 由条件,可得f 在0x 处的二阶泰勒公式()()()()()()()22002000!2o x x o x x x fx x x f x f x f -+-+-'+= .由于()00='x f ,因此()()=-0x f x f ()()()20012x x o x f -⎥⎦⎤⎢⎣⎡+''. ① 又因()00≠''x f ,故存在正数δδ≤',当x ()δ'∈;0x U 时,()021x f ''与 ()()1210o x f +'' 同号.所以,当()00<''x f 时,①式取负值,从而对任意()δ'∈;0o x U x 有 ()()00<-x f x f , 即 f 在0x 取极大值.同样对()00>''x f ,可得f 在0x 取极小值. 2.6 利用泰勒公式求初等函数的幂级数展开式利用基本初等函数的幂级数展开式,通过加减乘等运算进而可以求得一些比较复杂的初等函数的幂级数展开式.例2.6 求函数x e x -1在0=x 处的幂级数展开式,并确定它收敛于该函数的区间.解 由于()=++⋯+++=n xx xx o n n x e !!221∑∞=0!n nn x ()+∞∞-∈,x 而=-x11∑∞=0n nx()1,1-∈x ,则=-xe x1=∑∞=0nn!x n n n x n ∑∞=⎪⎭⎫ ⎝⎛+⋯+++0!1!21!111 ()1,1-∈x , 2.7 利用泰勒公式进行近似计算利用泰勒公式可以得到函数的近似计算式和一些数值的近似计算,利用()x f 麦克劳林展开得到函数的近似计算式为()()()()()()nn x n f x f x f f x f !0!20002+⋯+''+'+≈,其误差是余项()x R n .例2.7 计算8.1ln 2.1ln +, 误差小于001.0.8.1ln 2.1ln +()()2.012.01ln -+= ()04.01ln -=()--=04.0()()⋯--+-304.0204.032由于第二项已经001.0<,所以只取前两项即可 结果是0408.00008.004.0-=--.2.8利用泰勒公式求高阶导数在某些点的数值如果)(x f 泰勒公式已知,其通项中的加项n x x )(0-的系数正是)(!10)(x f n n ,从而可反过来求高阶导数数值,而不必再依次求导.例2.8求函数x e x x f 2)(=在1=x 处的高阶导数)1()100(f .解 设1+=u x ,则e e u e u u g xf u u ⋅+++==+2)1(2)1()1()()(,)0()1()()(n ug f =, 0=u e u 在的泰勒公式为)(!100!99!9811001009998u o u u u u e u++++⋯++=, 从而))(!100!99!981)(12()(10010099982u o u u u u u u e u g ++++⋯++++=, 而)(u g 中的泰勒展开式中含100u的项应为()100100!100)0(u g ,从)(u g 的展开式知100u 的项为100)!1001!992!981(u e ++,因此 ())!1001!992!981(!100)0(100++=e g ,()10101)0(100⋅=e g ,()().10101)0()1(100100e g f ==本文主要介绍了泰勒公式以及它的八个应用,使我们对泰勒公式有了更深一层的理解.怎样应用泰勒公式解题有了更深一层的认识,只要在解题训练中注意分析,研究题设条件及其形式特点并把握上述处理规则,就能比较好地掌握利用泰勒公式解题的技巧.参考文献[1]华东师范大学数学系,数学分析(第三版)[M]高等教育出版社1981.[2]陈传章金福林:《数学分析》(下)北京:高等教育出版社,1986.[3]张子兰崔福菊:《高等数学证题方法》陕西:陕西科学出版社,1985.[4]王向东:《数学分析的概念和方法》上海:上海科学技术出版社,1989[5]同济大学数学教研室主编:高等数学[M].北京:人民教育出版社,1999.[6]刘玉琏傅沛仁:数学分析讲义[M].北京:人民教育出版社,2000.。
毕业论文题目:泰勒公式及其应用系别:数理系专业:金融数学姓名:覃茜学号:171406106指导教师:李华河南城建学院2010年 5 月20 日目录摘要 (1)英文摘要 (2)第一章绪论 (3)第二章泰勒公式 (5)1。
1泰勒公式的意义 (5)1.2泰勒公式余项的类型 (5)1.3泰勒公式 (6)第三章泰勒公式的实际应用 (7)2.1利用泰勒公式求极限 (7)2。
2利用泰勒公式进行近似计算 (8)2.3在不等式证明中的应用 (9)2.4泰勒公式在外推上的应用 (10)2.5求曲线的渐近线方程 (11)2。
6泰勒公式在函数凹凸性及拐点判断中的应用 (13)2。
7在广义积分敛散性中的应用 (14)2.8泰勒公式在关于界的估计 (15)2。
9泰勒公式展开的唯一性问题 (15)结束语 (16)致谢 (17)参考文献 (18)泰勒公式及其应用(河南城建学院数理系河南平顶山 467044)摘要泰勒公式是数学分析中的重要组成部分,它的理论方法已成为研究函数极限和估计误差等方面的不可或缺的工具,集中体现了微积分“逼近法"的精髓,它是微积分中值定理的推广,亦是应用高阶导数研究函数性态的重要工具, 它的用途很广泛。
本文详细介绍泰勒公式及其应用在数学领域上的几个应用作论述。
文章除了对泰勒公式在常用的近似计算、求极限、不等式的证明、外推和求曲线的渐近线方程上作解求证明外,特别地,泰勒公式还对函数凹凸性及拐点判断、广义积分敛散性中的应用、界的估计和展开的唯一性问题这4个领域的应用做详细的介绍。
关键词泰勒公式佩亚诺余项拉格朗日余项AbstractTaylor’s formula is the mathematical analysis of the important part, it has become a research function theory method and estimat —ed error limit of the indispensable tools such as a concentrated e xp—ression of the calculus, “approximation” of the essence,which is the value of the Calculus theorem is also of high order derivat ive function of an important tool for state, its use is very wide. T his paper introduces the Taylor formula and its applications in math ema-tics for discussion on several applications。
摘要 (2)1 引言 (4)2 泰勒公式 (5)2.1 n次泰勒多项式 (5)2.2 泰勒公式 (6)2.3 泰勒公式的种类 (6)2.31 含有佩亚诺余项的泰勒公式 (6)2.32 含有拉格朗日余项的泰勒公式 (7)2.33 特殊的泰勒公式 (7)3 利用泰勒公式求极限及其应用 (8)3.1 一些常见的麦克劳林公式 (8)3.2 一些实例分析 (9)4 结论 (17)参考文献 (18)在初等函数中,多项式是最简单的函数,因为多项式函数的运算只有加、减、乘三种运算.如果能将有理分式函数,特别是无理函数和初等超越函数用多项式函数近似代替,而又满足要求,显然,这对函数性态的研究和函数值的近似计算都有重要意义.而泰勒公式就起了很好的桥梁作用,本文将系统地阐述对一个函数具有什么条件才能用此多项式近似代替;这个多项式函数的各项系数与这个函数有什么样的关系;用多项式函数近似代替这个函数的误差又怎样;重点是怎样利用泰勒公式计算极限以及其在极限计算中的应用,对比分析出泰勒公式的优越性.关键词:泰勒公式;近似代替;极限运算AbstractPolynomial in elementary function is the most simple function, because the polynomial function is used only three kinds of add, subtract, multiply computing. If can the rational fractional function, especially the irrational function and elementary transcendental function approximation using polynomial function, and meet the requirements, obviously, the study of functional state and function value approximate calculation has important significance. And there was a very good role of bridge and Taylor formula, this article will systematically expounded is what condition for a function to substitute the polynomial approximation; The polynomial function coefficient and the function of what kind of relationship; Using polynomial function approximation instead of what the function of the error; Focuses on how to use Taylor formula calculation, the application limit and the limit analysis of the superiority of the Taylor formula.Key words:Taylor formula;and approximate replace;limit operation1 引言在数学中,泰勒公式是在级数基础上发展起来的,它是用函数在某点的信息描述其附近取值的公式.在近似计算、极限计算、函数凹凸性判断、敛散性的判断、等式与不等式的证明、中值问题以及行列式的计算等方面有重要的应用.泰勒公式是数学分析中一个非常重要的内容,不仅在理论上占有重要的地位.通过泰勒公式和极限运算的学习,已经掌握初等函数在某一点的泰勒展式,对于一些高阶的极限运算,直接求极限不好求,利用泰勒公式能很快地求出.所以对泰勒公式的进一步研究是非常重要的.泰勒公式的证明与应用方面的研究对于科研者来说一直具有强大的吸引力,许多研究者已在此领域获得许多研究成果.例如,[1]刘玉琏、傅沛仁、林玎等人重点谈了无理函数和初等函数用多项式函数近似代替,而这时误差又能满足要求,也即是把函数写成n次泰勒多项式.[3]张筑生体统地谈了用n次多项式来研究可导n次的函数,也就是带小o余项的泰勒公式是无穷小增量公式的推广.[4]沈燮昌、邵品琮等人主要是从逼近角度对它进行介绍,并说明泰勒公式的一些应用.其中用泰勒公式来求极限就是一个应用.对于一些高阶的极限运算,要求得其极限是非常困难的.对泰勒公式的研究就是为了解决上述问题的.通过对数学分析的学习,我感觉到泰勒公式是高等数学中最重要的内容,在各个领域有着广泛的应用,例如在函数值估测及近似运算,用多项式逼近函数,求函数的极限和定积分不等式、等式的证明,求函数在某点的高阶导数值等方面.除此之外,泰勒公式及泰勒级数的应用,往往能峰回路转,使问题变得简单易解.下面主要针对泰勒公式在极限中的应用,在一些题目当中,为解题带来了很多的便捷,这同时也为求极限提供了一种很好的方法.2 泰勒公式泰勒公式是微积分学中的一个重要内容,它用n 次多项式来研究可导n 次函数,这种带o 余项的泰勒公式是无穷小增量公式的推广.因此,泰勒公式是求极限的重要方法.对泰勒公式及其种类的认识是很有必要的.2.1 n 错误!未找到引用源。