高数第一章习题
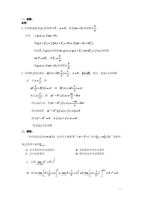
- 格式:doc
- 大小:823.00 KB
- 文档页数:10
一般班高数作业(上)第一章 函数1、试判断以下每对函数是不是同样的函数,并说明原因: (2) y sin(arcsin x) 与(6) yarctan(tan x) 与 y x ;(4)y x ;(8)y x 与 y x2;y f ( x) 与 xf ( y) 。
解:判断两个函数的定义域和对应法例能否同样。
(2) y sin(arcsin x) 定义域不一样,所以两个函数不一样;(4) y x 2x ,两个函数同样;(6) y arctan(tan x) 定义域不一样,所以两个函数不一样;(8) yf (x) 与 xf ( y) 定义域和对应法例都同样,所以两个函数同样。
2、求以下函数的定义域,并用区间表示:x 211(2) yx;(7) y ex x;(3) y 2 xarcsinln 1x解:(2) x [ 2,0) ;(3) x [1 e 2 ,0) (0,1 e 2 ] ;(7) x(0, e)(e,) 。
1 。
1 ln xf (x)x 2 1, x 03、设 1x 2, x ,求 f ( x) f ( x) 。
解:按 x 0 , x 0 , x 0 时,分别计算得, f (x)0 x 0f ( x)x 。
2 04、议论以下函数的单一性(指出其单增区间和单减区间) :(2) y4xx2;(4) y x x 。
解:(2) y 4xx24 ( x 2) 2单增区间为 [0,2] ,单减区间为 [ 2,4] 。
(4) yx x2x x 0) 。
0 x ,定义域为实数集,单减区间为 ( ,5、议论以下函数的奇偶性:(2)f ( x) x x2 1 tanx ;(3)f (x) ln( x2 1 x);(6) f ( x) cosln x ;1 x, x 0 (7) f (x)x, x 0。
1解:(2)奇函数;(3)奇函数;( 6)非奇非偶函数;( 7)偶函数。
6、求以下函数的反函数及反函数的定义域:2x), D f ( ,0) ;() f ( x) 2x 1, 0 x 1()。
一、选择题1.下列函数中,无界函数为( ).(A) sin y x =; (B) tan y x =; (C) arcsin y x =; (D) arctan y x =. 2. 将函数()22f x x =--表示为分段函数时,()f x =( ).(A) 4,0,0x x x x ->⎧⎨<⎩ ; (B) 4,2,2x x x x -≥⎧⎨<⎩ ; (C) 4,04,0x x x x -≥⎧⎨+<⎩ ; (D) 4,24,2x x x x -≥⎧⎨+<⎩.3.函数31()31x x f x -=+为( ).(A) 偶函数; (B) 奇函数; (C) 非奇非偶函数; (D) 既是奇又是偶函数. 4.若()f x 是奇函数,()g x 是偶函数,则[()]f g x 为( ).(A) 偶函数; (B) 奇函数; (C) 非奇非偶函数; (D) 不确定.5.设221,0()1,0x x x f x x x ⎧++≥⎪=⎨+<⎪⎩ ,则当0x <时,[()]f f x =( ).(A) 222(1)(1)1x x ++++; (B) 22(1)1x x +++;(C) 222(1)(1)1x x x +++++; (D) 222(1)(1)1x x x +++++.6. 32lim 1knn e n -→∞⎛⎫+= ⎪⎝⎭,则k =( ).(A)32; (B) 23; (C) 32-; (D) 23-. 7.若0x →时,()f x 为无穷小,且()f x 是比2x 高阶的无穷小,则20()limsin x f x x→=( ).(A) 0; (B) 1; (C) ∞; (D)12.8.函数()f x =( ).(A) 1; (B) 2; (C) 3; (D) 0.9.当0x →时,( ).(A) 2x 与1cos x -是等价的无穷小; (B) 2x 与1cos x -是同阶的无穷小; (C) 2x 是比1cos x -高阶的无穷小; (D) 2x 是比1cos x -低阶的无穷小. 10.当0x →时,与x 等价的无穷小函数是( ).(A) 2x ; (B) 2x ; (C) 3sin x x +; (D) 22x x +.二、填空题 1.设1,||1()0,||1x f x x ≤⎧=⎨>⎩,则[()]f f x = .2.设(),[()]x f x e f g x x ==,则()g x = .3.若0()limx f x a x→=,(a 为常数),则0lim ()x f x →=______________.4.曲线3221x y x =+的渐近线方程为 .5. 极限22lim 1x x x x →∞+⎛⎫=⎪+⎝⎭. 6. 极限0(1)limcos 1x x x e x →-=- . 7.当1x →-时,2ax x b -+与1x +为等价无穷小,则a = ,b = . 8.若()f x 处处连续,且(1)2f =,则01lim [ln(1)]x f x x→+= . 9.设2sin ,0(),0xx f x x x a x ⎧>⎪=⎨⎪+≤⎩,若()f x 在0x =处连,则a = .10.要使1cos ()xf x x-=在0x =处连续,应补充定义(0)f = .三、综合题 1.求极限111lim 1223(1)n n n →∞⎛⎫+++⎪⋅⋅+⎝⎭ . 2.求极限222111lim (1)(2)n n n n →∞⎛⎫+++⎪+⎝⎭. 3.求极限n 4.设11,,1,2,n a a n +=== ,证明数列极限存在并求此极限.5.已知函数142sin ()||1xx e x f x x e ⎛⎫+ ⎪=+ ⎪ ⎪+⎝⎭,问0lim ()x f x →是否存在?6.用夹逼准则求01lim x x x +→⎡⎤⎢⎥⎣⎦. 7.求极限332lim 34sin x x x x →∞++. 8.求极限limx . 9.求极限lim )x x →+∞.10.求极限21lim (1cos)x x x →∞-. 11.求极限20(1cos )lim (1)sin x x x x e x→--. 12.求极限3230ln(1)tan lim1x x x x e -→+- . 13.求极限sin lim2x x xx→∞+. 14.求极限0x →求极限lim x x →∞.16.求极限0lim x +→. 17.求极限123lim 21x x x x +→∞+⎛⎫⎪+⎝⎭.18.求极限2lim ()()xx x x a x b →∞⎛⎫⎪-+⎝⎭. 19.求极限21lim cos x x x →∞⎛⎫ ⎪⎝⎭. 20. 已知21lim ()01x x x ax b x →∞++--=-,求a 与b 的值 .21. 已知20()1sin lim()2x f x xx x→--=,求0lim ()x f x →.22.讨论函数2()lim 1nxnxn x x e f x e →∞+=+ 的连续性.23.已知,0()1,02x x f x ae x <=⎨⎪≥⎪⎩ ,求a 为何值时,()f x 在0x =处连续.24.设(4),0()sin 10,0x x ae be x f x xx -⎧++≠⎪=⎨⎪=⎩,确定,a b 使()f x 在0x =处连续. 25.指出函数()f x =的所有间断点,并判别其类型.26.设函数()f x 在[,]a b 连续,且()a f x b ≤≤,[,]x a b ∈.证明:存在[,]a b ξ∈,使()f ξξ=成立.27.函数()f x 对一切12,x x 满足1212()()()f x x f x f x +=+,且()f x 在0x =处连续. (1)求(0)f ;(2)证明:函数()f x 在(,)-∞+∞连续.28.函数()f x 在[0,1]连续、非负且满足(0)(1)0f f ==,证明:对任意数(0,1)α∈,存 在0[0,1]x ∈使00()()f x f x α=+成立.29.设函数()f x 在[0,2]a 连续,且满足(0)(2)f f a =,证明:至少存在一点[0,]a ξ∈使()()f f a ξξ=+成立.30.设函数()f x 在[,]a b 连续,12a x x b <<<,证明:存在点(,)c a b ∈,使112212()()()()t f x t f x t t f c +=+成立.其中12,0t t >.一、选择题1. B ;2. B ;3. B ;4. A ;5. A ;6. C ;7. A ;8. C ;9. B ; 10. C. 二、填空题1. 1;2. ln x ;3. 0;4. 2y x =;5. 12e ; 6. 2-; 7. 1,0a b =-=; 8. 2; 9. 1a =; 10. 0. 三、综合题 1.解:11111111(1)()()1223(1)2231n n n n +++=-+-++-⋅⋅++ 111n =-+ ∴111lim 11223(1)n n n →∞⎛⎫+++= ⎪⋅⋅+⎝⎭ . 2.解:由于2222211111(2)(1)(2)n n n n n n n ++≤+++≤+ ,又2211lim lim 0(2)4n n n n n n →∞→∞++==,根据夹逼准则 222111lim 0(1)(2)n n n n →∞⎛⎫+++= ⎪+⎝⎭. 3.3≤=lim 33n n →∞==,根据夹逼准则3n =.4.解:102a <=,假设对n k = 成立,即02k a <<成立,则当1n k =+ 时,102k a +<=<=,由数学归纳法知02,1,2,n a n <<= ,即数列{}n a 有界;又1n n n a a a +-=2=0=>,即数列{}n a 单调,所以收敛. 设极限为a ,则由1n a +=n →∞得a =2a =.5.解:14002sin lim ()lim 1x x x x e x f x x e ++→→⎛⎫+ ⎪=+ ⎪ ⎪+⎝⎭,01lim x x+→=+∞ ,1400lim ,lim xx x x e e ++→→∴=+∞=+∞,而1144434000442212lim lim lim 011111x xxxxxx x x xx x eee e e e e e e +++→→→+++===+++. 0lim ()1x f x +→∴=,14002sin lim ()lim 1xx x xe xf x x e --→→⎛⎫+ ⎪=- ⎪ ⎪+⎝⎭,01lim x x -→=-∞ ,1400lim lim 0x x x x e e --→→∴==, 0lim ()1x f x -→∴=. 进而知 0lim ()x f x →存在且为1. 6.解:当0x ≠时1111x x x ⎡⎤-<≤⎢⎥⎣⎦ ,所以当0x >时有111x x x ⎡⎤-<≤⎢⎥⎣⎦, 又00lim (1)lim 11x x x ++→→-==,故01lim 1x x x +→⎡⎤=⎢⎥⎣⎦.7.解:3333212lim lim 4sin 34sin 3x x x x x x x x →∞→∞++=++13=. 8.解:limlimx x =02t →=. 9.解:lim )lim x x x →+∞→+∞=lim x →+∞=1arcsin26π==. 10.解:由于x →∞时,221111cos ~22x x x ⎛⎫ ⎪⎝⎭-=,所以 222111lim (1cos)lim 22x x x x x x →∞→∞-=⋅=.11.解:由于0x →时,21cos ~2x x - ,22sin ~x x ,1~xe x -.所以 22200(1cos )12limlim (1)sin ()2x x x x x x x e x x x →→⋅-==---⋅.12.解:由于0x →时,tan ~x x ,22ln(1)~x x +,3331~(3)x e x ---, 所以 3223300ln(1)tan 1limlim 331x x x x x x x x e-→→+⋅==---. 13.解:sin 1sin 1limlim 2222x x x x x x x →∞→∞+⎛⎫=+= ⎪⎝⎭. 14.解:3300011lim lim lim ln(12)ln(12)ln(12)x x x x x e e x x x →→→-=++++00132lim lim 2212x x x xx x →→-=+=.15.解:2lim lim x x x x →∞→∞⎛⎫= ⎪ ⎪⎝⎭2lim 1x x →∞⎛⎫= ⎪⎪⎝⎭2lim 1x x →∞⎛⎫- ⎪ ⎪⎝⎭221lim 3x x x →∞⎛⎫=⎪⎝⎭221lim 3x x x →∞⎛⎫-- ⎪⎝⎭23=. 16.解:0lim lim x x ++→→=01lim 2x +→=201lim2x +→=0=. 17.解:212(1)1221232lim lim 12121x x x x x x x e x x +++⋅+→∞→∞+⎛⎫⎛⎫=+= ⎪ ⎪++⎝⎭⎝⎭.18.解:22ln lim 1()()()()2lim lim ()()x xx x x x x a x b x a x b x x x eex a x b →∞⎛⎫⎛⎫⎪ ⎪- ⎪ ⎪-+-+⎝⎭⎝⎭→∞→∞⎛⎫⎪== ⎪-+⎝⎭2()2lim a b x abxa bx ax bx abx ee -+--+-→∞==.19.解:2211(cos 1)cos 111lim coslim 1cos 1x x x xx x x x ⋅-⋅-→∞→∞⎛⎫⎛⎫=+- ⎪ ⎪⎝⎭⎝⎭由于222111lim(cos1)lim()22x x x x x x →∞→∞-⋅=-⋅=-,所以2121lim cos x x ex -→∞⎛⎫==⎪⎝⎭20. 解:2211()(1)11x x x x ax b x ax b x x ++++-+---=-- 2(1)(1)11a x a b x b x -++-++=-∴当且仅当 10a -= 且10a b +-=时,21lim ()01x x x ax b x →∞++--=-, 解得1a =,2b =. 21.解:00sin ()1sin lim[()1]lim x x xf x xx f x x xx→→----=⋅ 20()1sin lim[]x f x x x x x →-=-⋅200()1sin lim[]lim 0x x f x xx x x →→-=-⋅=,sin sin lim ()lim[(()1)1]x x x xf x f x x x→→∴=--++ 00sin sin lim[()1]lim(1)2x x x x f x x x →→=--++=. 22.解:先给出分段表达式2,0(),0x x f x xx ⎧≥=⎨<⎩. 当 (0,)x ∈+∞ 时,2()f x x = 连续,当 (,0)x ∈-∞时,()f x x =连续;又(0)0f =,2lim ()lim 0x x f x x ++→→==,00lim ()lim 0x x f x x --→→==,故在0x =处()f x 也连续,从而在(,)-∞+∞内()f x 连续.23.解:(1)()f x 定义域为(,)-∞+∞;(2)由于(0)2a f =,001lim ()lim 22xx x a f x a e ++→→=⋅=,lim ()lim x x f x --→→=02sin 2lim 1x xx-→-==-,∴2a =-时,()f x 在0x = 处连续.24.解:由于(0)10f =,004lim ()lim sin x x x x ae be f x x-→→++=,要使 ()f x 在0x =处连续,首先0lim ()x f x →存在,故有lim(4)40x xx ae bea b -→++=++=,从而 004lim ()lim sin x x x x ae be f x x -→→++=0lim sin x x x ae be a bx-→+--=0(1)(1)lim x x x a e b e x -→-+-=00(1)(1)lim lim x x x x a e b e a b x x-→→--=+=- 可见要使()f x 在0x =处连续,,a b 应满足410a b a b +=-⎧⎨-=⎩,解得3,7a b ==-.25.解:sin |1|()(1)(3)x x f x x x x ⋅-==--, 间断点有三个,分别为0x =,1,3x x ==,0000s i n |1|s i n |1|11l i m ()l i m l i m l i m l i m (1)(3)133x x xx x x x x x f x x x x x x x →→→→→⋅--==⋅⋅=---- , 11sin (1)sin1lim ()lim (1)(3)2x x x x f x x x x --→→-⋅-==--,11sin (1)sin1lim ()lim (1)(3)2x x x x f x x x x ++→→⋅-==---, 而33sin lim ()lim(3)x x xf x x x →→==∞-,所以0x =是可去间断点,1x =是跳跃间断点,而3x =为无穷间断点.26.证明:构造辅助函数()()g x f x x =-,则()g x 在[,]a b 连续,由已知条件知()()0g a f a a =-≥,()()0g b f b b =-≤. 若()0g a =,则取a ξ=;若()0g b =,则取b ξ=;若()0g a >而()0g b <,则在[,]a b 上函数()g x 满足零点定理条件, 从而存在(,)a b ξ∈,使()0g ξ=即()f ξξ=成立. 27.解:(1)在()()()f x x f x f x +=+中,取0x x ==,得(0)(0)(0f f f =+,故(0)0f =.(2)由()f x 在0x =处连续知:0lim ()(0)0x f x f ∆→∆==.任取0(,)x ∈-∞+∞,由条件知00()()()f x x f x f x +∆=+∆.从而0000lim ()()lim ()()x x f x x f x f x f x ∆→∆→+∆=+∆=,故在0x 处函数()f x 连续,由0x 的任意性知(2)成立. 28.证明:任取(0,1)α∈,若()0f α=,则由条件(0)0f =,可取00x = [0,1]∈,使得(0)(0)f f α=+; 若(1)0f α-=,则由(1)0f =,可取01x α=-[0,1]∈使得(1)(1)f f ααα-=-+;若()0f α≠且(1)0f α-≠,由非负性有()0f α>,(1)0f α->, 令()()()g x f x f x α=+-,则()g x 在[0,1]α-连续, 又(0)(0)g f α=+(0)f -()0f α=>,(1)(1)(1)(1)0g f f f ααααα-=-+--=--<,由零点定理,存在0(0,1)[0,1]x α∈-⊂使0()0g x =,即00()()f x f x α=+成立. 29.解:令()()()F x f x f x a =-+,则()F x 在[,]a b 连续,且(0)(0)()F f f a =-,()()(2)()(0)F a f a f a f a f =-=-.若(0)()f f a =,则取0ξ=或a ξ=均能使()()f f a ξξ=+成立;若(0)()f f a ≠,则(0)()0F F a ⋅<,由零点定理知,至少存在一点(0,)a ξ∈使()0F ξ=,即()()f f a ξξ=+.总之结论成立.30.解:函数()f x 在[,]a b 连续,故在12[,]x x 上连续. 于是在12[,]x x 上()f x 必有最小值m ,最大值M .第一章 函数与极限11 从而有1()m f x M ≤≤,1111()t m t f x t M ≤≤, 2()m f x M ≤≤,2222()t m t f x t M ≤≤, 112212()()t f x t f x m M t t +≤≤+. 由介值定理知,至少存在一点12(,)c x x ∈⊂(,)a b 使得112212()()()t f x t f x f c t t +=+, 即112212()()()()t f x t f x t t f c +=+.。
高等数学第一章习题一、填空1.设)(x f y =的定义域是]1,0(,x x ln 1)(-=ϕ,则复合函数)]([x f y ϕ=的定义域为),1[e2. 设)(x f y =的定义域是[1,2],则)11(+x f 的定义域 [-1/2,0] 。
3.设⎩⎨⎧≤<-≤≤=211101)(x x x f , 则)2(x f 的定义域 [0,1] 。
5.设)(x f 的定义域为)1,0(,则)(tan x f 的定义域 Z k k k x ∈+∈,)4,(πππ6.已知21)]([,sin )(x x f x x f -==φ,则)(x φ的定义域为 22≤≤-x 。
7. 设()f x 的定义域是[]0,1,则()xf e 的定义域(,0]-∞8.设()f x 的定义域是[]0,1,则(cos )f x 的定义域2,222k k ππππ⎡⎤-+⎢⎥⎣⎦9. xxsin limx ∞→= 010.()()()=+-+∞→1761125632lim x x x x 17653。
11.x x x)21(lim -∞→= 2e -12.当∞→x 时,x1是比3-+x 13.当0→x 时,1132-+ax 与1cos -x 为等价无穷小,则=a 23-14.若数列}{n x 收敛,则数列}{n x 是否有界有界。
15.若A x f x x =→)(lim 0〔A 为有限数〕,而)(lim 0x g x x →不存在,则)]()([lim 0x g x f x x +→不存在。
16.设函数)(x f 在点0x x =处连续,则)(x f 在点0x x =处是否连续。
〔不一定〕 17.函数23122++-=x x x y 的间断点是-1、-2 18.函数)(x f 在0x 处连续是)(x f 在该点处有定义的充分条件;函数)(x f 在0x 处有定义是)(x f 在该点处有极限的无关条件。
〔填:充要,必要,充分,既不充分也不必要,无关〕。
高数第一章考试例题答案解析在学习高等数学时,一章考试是一个重要的环节。
在这里,我们将介绍一些常见的高等数学第一章考试例题及其答案解析,从而帮助广大学子更好地学习、运用和修正高等数学知识。
1.题:在平面直角坐标系中,若设$frac{dx}{dt}=6$,$frac{dy}{dt}=4$,并$x_0=2$,$y_0=0$,求点$(x,y)$的位置。
答案:其中$frac{dx}{dt}=6$表示$x$在$t$的变化率为$6$,而$frac{dy}{dt}=4$表示$y$在$t$的变化率为$4$,根据提供的条件,当$t=0$时,$x_0=2$,$y_0=0$。
因此,当$t$变化时,可得$x=2+6t$,$y=0+4t$。
设$t=k$,则$x=2+6k$,$y=4k$,所以点$(x,y)$的位置为$(2+6k,4k)$。
2.题:求函数$y=x^2+2x-3$关于$x$的一阶导数。
答案:设函数$y=x^2+2x-3$,其关于$x$的一阶导数为$frac{dy}{dx}$,根据微分法则,有$frac{dy}{dx}=2x+2$。
3.题:已知$f(x)=2x^2-7x+6$,求$f(x)$的极值答案:设函数$f(x)=2x^2-7x+6$,求$f(x)$的极值,其一阶导数为$f(x)=4x-7$,求$f(x)$的零点为$x=frac{7}{4}$,此时函数$f(x)$取得极值,由$f(x)=2x^2-7x+6$,算得极值为$f(frac{7}{4})=frac{25}{8}$。
4.题:已知函数$f(x)=frac{cos{x}+3sin{x}}{sin{x}}$,求$f(x)$的定义域。
答案:设函数$f(x)=frac{cos{x}+3sin{x}}{sin{x}}$,求$f(x)$的定义域,由于分母$sin{x}$不能为零,因此$f(x)$的定义域为$ {cos{x}eq -3sin{x}}$。
从上述例题分析可知,高等数学中各章考试例题的答案解析有着非常清晰的规律性和解题思路,如果可以找到正确的解题方法,就可以轻松解答大部分考试例题。
高等数学(一)(第一章练习题)一、 单项选择题1.设f (1-cos x )=sin 2x, 则f (x )=( A )+2x +2x2.设x 22)x (,x )x (f =ϕ=,则=ϕ)]x ([f ( D )A.2x 2B.x 2x3.函数y=31x1ln -的定义域是( D ) A .),0()0,(+∞⋃-∞ B .),1()0,(+∞⋃-∞ C .(0,1] D .(0,1)4.函数2x x y -=的定义域是( D )A.[)+∞,1B.(]0,∞-C.(][)+∞∞-,10,YD.[0,1]5.设函数=-=)x 2(f 1x x )x 1(f ,则( A ) A.x 211- B.x 12- C.x2)1x (2- D.x)1x (2- 6.已知f(x)=ax+b,且f(-1)=2,f(1)=-2,则f(x)=( )+3 -3 C7.设f(x+1)=x 2-3x+2,则f(x)=( B )+5 +6 C.x 2-5x+2 8.已知f(x)的定义域是[0,3a],则f(x+a)+f(x-a)的定义域是( )A .[a,3a]B .[a,2a]C .[-a,4a]D .[0,2a]9.函数y=ln(22x 1x 1--+)的定义域是( C )A .|x|≤1B .|x|<1C .0<|x|≤1D .0<|x|<110.函数y=1-cosx 的值域是( C )A.[-1,1]B.[0,1]C.[0,2]D.(-∞,+∞) 11.设函数f(x-1)=x 2-x,则f(x)=( B )A .x(x-1)B .x(x+1)C .(x-1)2-(x-1)D .(x+1)(x-2)12.设函数f (x )的定义域为[0,4],则函数f (x 2)的定义域为( D )A.[0,2]B.[0,16]C.[-16,16]D.[-2,2]13.设f(t)=t 2+1,则f(t 2+1)=( D )+1 +2 C.t 4+t 2+1 D. t 4+2t 2+2 14.设1)1(3-=-x x f ,则f (x )=( B )A .x x x 2223++B .x x x 3323++C .12223+++x x xD .13323+++x x x15.下列区间中,函数f (x)= ln (5x+1)为有界的区间是( C )A.(-1,51)B.(-51,5)C.(0,51)D.(51,+∞) 16.函数f(x)=arcsin(2x-1)的定义域是( D )A.(-1,1)B.[-1,1]C.[-1,0]D.[0,1]17.设函数y =f (x )的定义域为(1,2),则f (ax )(a <0)的定义域是( B ) A.(a a 2,1) B.(aa 1,2) C.(a ,2a) D.(a a ,2] 18.函数f (x )=2211⎪⎭⎫ ⎝⎛--x 的定义域为( B ) A .[]1,1- B .[]3,1- C .(-1,1)D .(-1,3) 19.函数f (x )=21sin 2x x++是( C )A.奇函数B.偶函数C.有界函数D.周期函数 20.函数f (x )=ln x - ln(x -1)的定义域是( C )A .(-1,+∞)B .(0,+∞)C .(1,+∞)D .(0,1) 二、填空题1.已知f (x +1)=x 2,则f (x )=________.2.设函数f(x)的定义域是[-2,2],则函数f(x+1)+f(x-1)的定义域是___________.3.函数y=x ln ln 的定义域是 .4.若f(x+1)=x+cosx 则f(1)=__________.5.函数y=1+ln(x+2)的反函数是______.6..函数y=arcsin(x-3)的定义域为___________。
第一章函数及其图形复习提示本章重点:函数概念和基本初等函数。
难点:函数的复合。
典型例题分析与详解一、单项选择题1 下列集合中为空集的「」A { }B {0}C 0D {x|x2+1=0,x∈R}「答案」选D「解析」因为A 、B 分别是由空集和数零组成的集合,因此是非空集合;0是一个数,不是集合,故C 也不是空集。
在实数集合内,方程x2+1=0无解,所以D 是空集2 设A={x|x2-x-60},B={x|x-1≤1},则A∩B=「」A {x|x3}B {x|x-2}C {x|-2「答案」选B「解析」由x2-x-60得x3或x-2,故A={x|x3或x-2};由x-1≤1得x≤2,故B={x|x≤2},所以A∩B={x|x-2}。
3 设A、B是集合{1,2,3,4,5,6,7,8,9}的子集,且A∩B={1,3,7,9},则A∪B是「」A {2,4,5,6,8}B {1,3,7,9}C {1,2,3,4,5,6,7,8,9}D {2,4,6,8}「答案」选A「解析」由A∪B=A∩B={1,3,7,9},得A∪B={2,4,5,6,8}4 设M={0,1,2},N={1,3,5},R={2,4,6},则下列式子中正确的是「」A M∪N={0,1}B M∩N={0,1}C M∪N∪R={1,2,3,4,5,6}D M∩N∩R= (空集)「答案」选D「解析」由条件得M∪N={0,1,2,3,5},M∩N={1},M∪N∪R={0,1,2,3,4,5,6},M∩N∩R= .5 设A、B为非空集合,那么A∩B=A是A=B的「」A 充分但不是必要条件B 必要但不是充分条件C 充分必要条件D 既不是充分条件又不是必要条件「答案」选B「解析」若A=B,则任取x∈A有x∈B,于是x∈A∩B,从而A A∩B 又A∩B A,故A∩B=A反之不成立 例A={1,2},B={1,2,3},显然A∩B=A,但A≠B6 设有集合E={x-1故所求反函数为y=-x,0≤x≤4,x+4,-431 设f(x)在(-∞,+∞)内有定义,下列函数中为偶函数的是「」A y=f(x)B y=-f(x)C y=-f(-x)D y=f(x2)「答案」选D「解析」由偶函数定义,D中函数定义域(-∞,+∞)关于原点对称,且y(-x)=f[(-x)2]=f(x2)=y(x),故y=f(x2)是偶函数32 函数f(x)=loga(x+1+x2)(a0,a≠1)是「」A 奇函数B 偶函数C 非奇非偶函数D 既是奇函数又是偶函数「答案」选A「解析」因该函数定义域为(-∞,+∞),它关于原点对称,且f(-x)=loga-x+1+(-x)2=loga1+x2-x=log31+x2-x21+x2+x=log31x+1+x2=-log3x+1+x2=-f(x)故f(x)=logax+1+x2为奇函数33 设函数f(x)=x(ex-1)ex+1,则该函数是「」A 奇函数B 偶函数C 非奇非偶函数D 单调函数「答案」选B「解析」因为f(x)的定义域是(-∞,+∞),且f(-x)=-x(e-x-1)e-x+1=-x1-exex1+exex=x(ex-1)ex+1=f(x)。
第一章函数、极限与连续内容概要课后习题全解习题1-1★1.求下列函数的定义域:知识点:自然定义域指实数范围内使函数表达式有意义的自变量x 的取值的集合; 思路:常见的表达式有 ① a log □,( □0>) ② /N □, ( □0≠) ③(0)≥W④ arcsin W (W[]1,1-∈)等解:(1)[)(]1,00,11100101122⋃-∈⇒⎩⎨⎧≤≤-≠⇒⎩⎨⎧≥-≠⇒--=x x x x x x x y ;(2)31121121arcsin≤≤-⇒≤-≤-⇒-=x x x y ; (3)()()3,00,030031arctan 3⋃∞-∈⇒⎩⎨⎧≠≤⇒⎩⎨⎧≠≥-⇒+-=x x x x x x x y ;(4)()()3,11,1,,1310301lg 3⋃-∞-∈⇒⎩⎨⎧-<<<⇒⎩⎨⎧-<-<⇒-=-x x or x x x x x y x;(5)()()4,22,11601110)16(log 221⋃∈⇒⎪⎩⎪⎨⎧-<-≠-<⇒-=-x x x x x y x ; ★ 2.下列各题中,函数是否相同?为什么?(1)2lg )(x x f =与x x g lg 2)(=;(2)12+=x y 与12+=y x知识点:函数相等的条件;思路:函数的两个要素是f (作用法则)及定义域D (作用范围),当两个函数作用法则f 相同(化简后代数表达式相同)且定义域相同时,两函数相同;解:(1)2lg )(x x f =的定义域D={}R x x x ∈≠,0,x x g lg )(=的定义域{},0R x x x D ∈>=,虽然作用法则相同x x lg 2lg 2=,但显然两者定义域不同,故不是同一函数;(2)12+=x y ,以x 为自变量,显然定义域为实数R ;12+=y x ,以x 为自变量,显然定义域也为实数R ;两者作用法则相同“2□1+”与自变量用何记号表示无关,故两者为同一函数;★ 3.设⎪⎪⎩⎪⎪⎨⎧≥<=3,03,sin )(ππϕx x x x ,求)2()4()4()6(--ϕπϕπϕπϕ,,,,并做出函数)(x y ϕ=的图形知识点:分段函数;思路:注意自变量的不同范围; 解:216sin)6(==ππϕ,224sin 4==⎪⎭⎫⎝⎛ππϕ,224sin 4=⎪⎭⎫⎝⎛-=⎪⎭⎫ ⎝⎛-ππϕ()02=-ϕ;如图:★ 4.试证下列各函数在指定区间内的单调性 :(1)()1,1∞--=xxy (2)x x y ln 2+=,()+∞,0 知识点:单调性定义。
习 题 1-11.求下列函数的自然定义域:(1)211y x =-;解:依题意有21020x x ⎧-≠⎨+≥⎩,则函数定义域{}()|2x 1D x x x =≥-≠±且.(2)21arccosx y -=解:依题意有2211360x x x ⎧-≤⎪⎨⎪-->⎩,则函数定义域()D x =∅.(3)2ln(32)y x x =-+-;解:依题意有2320x x -+->,则函数定义域{}()|12D x x x =<<.(4)312x xy -=;解:依题意有30x x -≠,则函数定义域{}()|x 0,1D x x x =-∞<<+∞≠±且.(5)1sin1,121;x y x x ⎧≠⎪=-⎨⎪=⎩, , 解:依题意有定义域{}()|D x x x =-∞<<+∞.(6)1arctan y x =解:依题意有030x x ≠⎧⎨-≥⎩,则函数定义域{}()|3x 0D x x x =≤≠且.2.已知()f x 定义域为[0,1],求2(), (sin ), (), ()()f x f x f x a f x a f x a +++-(0a >)的定义域.解:因为()f x 定义域为[0,1],所以当201x ≤≤时,得函数2()f x 的定义域为[1,1]-; 当0sin 1x ≤≤时,得函数(sin )f x 定义域为[2π,(21)π]k k +; 当01x a ≤+≤时,得函数()f x a +定义域为[,1]a a --+; 当0101x a x a ≤+≤⎧⎨≤-≤⎩时,得函数()()f x a f x a ++-定义域为:(1)若12a <,[],1x a a ∈-;(2)若12a =,12x =;(3)若12a >,x ∈∅.3.设21()1,f x x ⎛⎫= ⎝其中0,a >求函数值(2),(1)f a f .解:因为21()1f x x ⎛⎫=- ⎝,则 2211(2)142a f a a a a -⎛⎫=-= ⎪⎝⎭,20 ,>1,11(1)1 2 ,0<<111a a f a a ⎛⎫⎧-=-= ⎪⎨ ⎪-⎩⎝⎭. 4.设1||1,()0||1,()21|| 1.x x f x x g x x <⎧⎪===⎨⎪->⎩,求(())f g x 与(())g f x ,并做出函数图形.解:121(())0211 21x x xf g x ⎧<⎪==⎨⎪->⎩,即10(())001 0x f g x x x <⎧⎪==⎨⎪->⎩,1012||1(())2||12||1x g f x x x -⎧<⎪==⎨⎪>⎩,即2||1(())1||11 ||12x g f x x x ⎧⎪<⎪==⎨⎪⎪>⎩,函数图形略.5.设1,0,()1,0,x x f x x +<⎧=⎨≥⎩试证:2,1,[()]1, 1.x x f f x x +<-⎧=⎨≥-⎩证明:1(),()0[()]1,()0f x f x f f x f x +<⎧=⎨≥⎩,即2,1,[()]1,1x x f f x x +<-⎧=⎨≥-⎩,得证.6.下列各组函数中,()f x 与()g x 是否是同一函数?为什么?(1)))()ln,()ln3f x x g x ==- ;不是,因为定义域和对应法则都不相同. (2)()()f x g x == 是.(3)22()2,()sec tan f x g x x x ==-; 不是,因为对应法则不同. (4)2()2lg ,()lg f x x g x x ==; 不是,因为定义域不同.7.确定下列函数在给定区间内的单调性: (1)3ln y x x =+,(0,)x ∈+∞;解:当(0,)x ∈+∞时,函数13y x =单调递增,2ln y x =也是单调递增,则12y y y =+在(0,)+∞内也是递增的.(2)1xy x-=-,(,1)x ∈-∞.解:(1)111111x x y x x x ---===+---,当(,1)x ∈-∞时,函数11y x =-单调递增,则21111y y x ==-是单调递减的,故原函数1x y x -=-是单调递减的.8. 判定下列函数的奇偶性.(1)lg(y x =;解:因为1()lg(lg(lg(()f x x x x f x --=-==-=-,所以lg(y x =是奇函数.(2)0y =;解:因为()0()f x f x -==,所以0y =是偶函数.(3)22cos sin 1y x x x =++-; 解:因为2()2c o s s i n 1f x x x x -=+--,()()()()f x f x f x f x -≠-≠-且,所以22c o s s i n 1y x x x =++-既非奇函数,又非偶函数.(4)2x xa a y -+=.解:因为()()2x x a a f x f x -+==,所以函数2x xa a y -+=是偶函数. 9.设()f x 是定义在[,]l l -上的任意函数,证明:(1)()()f x f x +-是偶函数,()()f x f x --是奇函数; (2)()f x 可表示成偶函数与奇函数之和的形式. 证明:(1)令()()(),()()()g x f x f x h x f x f x =+-=--,则 ()()()(),()()()()g x f x f x g x h x f x f x h x -=-+=-=--=-,所以()()f x f x +-是偶函数,()()f x f x --是奇函数.(2)任意函数()()()()()22f x f x f x f x f x +---=+,由(1)可知()()2f x f x +-是偶函数,()()2f x f x --是奇函数,所以命题得证.10.证明:函数在区间I 上有界的充分与必要条件是:函数在I 上既有上界又有下界. 证明:(必要性)若函数()f x 在区间I 上有界,则存在正数M ,使得x I ∈,都有()f x M ≤成立,显然()M f x M -≤≤,即证得函数()f x 在区间I 上既有上界又有下界(充分性)设函数()f x 在区间I 上既有上界2M ,又有下界1M ,即有12()()f x M f x M ≥≤且,取12max{,}M M M =,则有()f x M ≤,即函数()f x 在区间I 上有界.11.下列函数是否是周期函数?对于周期函数指出其周期: (1)|sin |y x =; 周期函数,周期为π. (2)1sin πy x =+; 周期函数,周期为2. (3)tan y x x =; 不是周期函数. (4)2cos y x =.周期函数,周期为π.12.求下列函数的反函数:(1)331xx y =-;解:依题意,31x y y =-,则3log 1yx y =-,所以反函数为13()log ,(,0)(1,)1xf x x x -=∈-∞⋃+∞-.(2)()ax by ad bc cx d+=≠+;解:依题意,b dy x cy a -=-,则反函数1()()b dxf x ad bc cx a--=≠-.(3)(lg y x =;解:依题意,1(1010)2y y x -=+,所以反函数11()(1010),2x x f x x R --=+∈.(4)ππ3cos 2,44y x x ⎛⎫=-≤≤ ⎪⎝⎭.解:依题意,arccos32yx =,所以反函数1arccos 3(),[0,3]2x f x x -=∈.13.在下列各题中,求由所给函数构成的复合函数,并求这函数分别对应于给定自变量值1x 和2x 的函数值:(1)212e ,1,0,2u y u x x x ====+;(2)2121,e 1,1,1,1v y u u v x x x =+=-=+==-. 解:(1)215()e ,(0),(2)x y f x f e f e +====(2)12()(e 1)1x y f x +==-+,42(0)22f e e =-+,(1)1f -=.14.在一圆柱形容器内倒进某种溶液,该容器的底半径为r ,高为H .当倒进溶液后液面的高度为h 时,溶液的体积为V .试把h 表示为V 的函数,并指出其定义区间.解:依题意有2πV r h =,则22,[0,π]πVh V r H r=∈.15.某城市的行政管理部门,在保证居民正常用水需要的前提下,为了节约用水,制定了如下收费方法:每户居民每月用水量不超过4.5吨时,水费按0.64元/吨计算.超过部分每吨以5倍价格收费.试建立每月用水费用与用水数量之间的函数关系.并计算用水量分别为3.5吨、4.5吨、5.5吨的用水费用.解:依题意有0.64,0 4.5() 4.50.64( 4.5) 3.2, 4.5x x f x x x ≤≤⎧=⎨⨯+-⨯>⎩,所以(3.5) 2.24(4.5) 2.88(5.5) 6.08f f f ===元,元,元.习 题 1-21.设21(1,2,3,)31n n a n n +==+ , (1) 求110100222||,||,||333a a a ---的值;(2) 求N ,使当n N >时,不等式42||103n a --<成立;(3) 求N ,使当n N >时,不等式2||3n a ε-<成立.解:(1) 12321||||,34312a -=-= 1022121||||,331393a -=-=100220121||||33013903a -=-=. (2) 要使 42||10,3n a --< 即 4113310<(n+1), 则只要9997,9n > 取N =99971110,9⎡⎤=⎢⎥⎣⎦故当n>1110时,不等式42||103n a --<成立. (3)要使2||3n a ε-<成立,13,9n εε-> 取139N εε-⎡⎤=⎢⎥⎣⎦,那么当n N >时, 2||3n a ε-< 成立.2.根据数列极限的定义证明:(1)1lim 0!n n →∞=; (2)1n →∞=. 解:(1)0ε∀>, 要使111|0|!!n n n ε-<<=, 只要取1N ε⎡⎤=⎢⎥⎣⎦, 所以,对任意0ε>,存在1N ε⎡⎤=⎢⎥⎣⎦,当n N >时,总有1|0|!n ε-<,则1lim 0!n n →∞=.(2) 0ε∀>,要使2212)nε-=<<, 即n >,只要取N =,所以,对任意的ε>0,存在N =, 当n N >, 总有1|ε<, 则1n →∞=. 3.若lim n n x a →∞=,证明lim||||n n x a →∞=.并举例说明:如果数列}{||n x 有极限,但数列}{n x 未必有极限.证明: 因为lim n n x a →∞=, 所以0ε∀>, 1N ∃, 当1n N >时, 有||n x a ε-<.不妨假设a>0,由收敛数列的保号性可知:2N ∃, 当2n N >时, 有0n x >, 取{}12max ,N N N =, 则对0ε∀>, N ∃, 当n N >时, 有||||||||n n x a x a ε-=-<.故lim||||n n x a →∞=. 同理可证0a <时, lim||||n n x a →∞=成立.反之,如果数列{}||n x 有极限, 但数列{}||n x 未必有极限.如:数列()1nn x =-, ||1n x =,显然lim ||1n n x →∞=, 但lim n n x →∞不存在.4.设数列{}n x 有界,又lim 0n n y →∞=.证明:lim 0n n n x y →∞=.证明: 依题意,存在M>0, 对一切n 都有||n x M ≤, 又lim 0n n y →∞=, 对0ε∀>, 存在N ,当n N >时, |0|n y ε-<, 因为对上述N , 当n N >时, |0|||||n n n n n x y x y M y M ε-=≤<,由ε的任意性, 则lim 0n n n x y →∞=.5.设数列{}n x 的一般项(3)π2n n x +=,求lim n n x →∞.解: 因为0x =, (3)π|cos |12n +≤, 所以 (3)π02x n +=. 6.对于数列{}n x ,若21()k x A k -→→∞,2()k x A k →→∞,证明:()n x A n →→∞.证明: 由于21lim k k x A -→∞=, 所以, 0ε∀>, 10N ∃>, 当1>k N 时,有21||k x A ε--<, 同理,0ε∀>,20N ∃>, 当2k N >时, 有2||k x A ε-<.取N =max {}12,N N , 0ε∀>, 当n N >时,||n x A ε-<成立, 故()n x A n →→∞.习 题 1-31.当1x →时,234y x =+→.问δ等于多少,使当|1|x δ-<时,|4|0.01y -<?解:令 1|1|2x -<,则35|1|22x <+<,要使225|4||34||1||1||1||1|0.012y x x x x x -=+-=-=-+<-<,只要|1|0.004x -<,所以取0.004δ=,使当 |1|x δ-< 时,|4|0.01y -<成立.2.当x →∞时,222123x y x +=→-.问X 等于多少,使当||x X >时,|2|0.001y -<?解:要使222217|2||2|3|3|x y x x +-=-=--<0.001, 只要2|3|7000x ->, 即237000x ->. 因此,只要||x >,所以取X ≥3.根据函数极限的定义证明:(1)3lim(21)5x x →-=; (2)35lim31x x x →∞+=-;(3)224lim 42x x x →--=-+; (4)lim0x =. 证明:(1) 由于|(21)5|2|xx --=-, 任给0ε>,要使|(21)5|x ε--<,只要|3|2x ε-<.因此取2εδ=,则当0|3|x δ<-<时, 总有|(21)5|x ε--<,故3lim(21)5x x →-=.(2) 由于358|3|1|1|x x x +-=--,任给0ε>, 要使35|3|1x x ε+-<-,只要8|1|x ε<-,即81x ε>+或81x ε<-, 因为0ε>,所以88|1||1|εε+>-, 取8|1|M ε=+,则当||x M >时, 对0ε∀>,总有35|3|1x x ε+-<-,故有35lim 31x x x →∞+=-.(3)由于24|(4)||2|2x x x ---=++,任给0ε>,,要使24|(4)|2x x ε---<+,只要|2|x ε+<,因此取δε=,则当0|(2)|x δ<--<时,总有24|(4)|2x x ε---<+,故224lim 42x x x →--=-+.(4) 由于0|-=<,任给0ε>,要使0|ε-<,ε<,即21x ε>,因此取21M ε=,则当x>M 时,总有|0|ε<,故lim 0x =. 4.用X ε-或εδ-语言,写出下列各函数极限的定义: (1)lim ()1x f x →-∞=; (2)lim ()x f x a →∞=; (3)lim ()x af x b +→=; (4)3lim ()8x f x -→=-. 解: (1) 0,ε∀> 0M ∃>, 当x<-M 时, 总有|()1|f x ε-<;(2) 0,ε∀> 0M ∃>, 当||x M >, 总有|()|f x a ε-<;(3) 0,ε∀> 0δ∃>, 当a x a δ<<+时, 总有|()|f x b ε-<; (4) 0,ε∀> 0δ∃> 当33x δ-<<时, 总有|()8|f x ε+<. 5.证明:0lim ||0x x →=.证明: 由于0lim ||lim 0x x x x ++→→==, 0lim ||lim()0x x x x --→→=-=,所以0lim ||0x x →=. 6.证明:若x →+∞及x →-∞时,函数()f x 的极限都存在且都等于A ,则l i m ()x f x A →∞=.证明: 由于li m ()x f x A →+∞=,则对0ε∀>,10M ∃>,当1x M >时,有|()|f x A ε-<.又lim ()x f x A →-∞=,则20M ∃>,当2x M <-,有|()|f x A ε-<.取{}12max ,M M M =那么对0ε∀>,当||x M >时,总有|()|f x A ε-<,故有lim ()x f x A →∞=.习 题 1-41.根据定义证明:(1)211x y x -=+为当1x →时的无穷小;(2)1sin y x x =为当x →∞时的无穷小;(3)13xy x+=为当0x →时的无穷大.证明:(1) 0ε∀>,因为21|0||1|1x x x --=-+,取δε=,则当0|1|x δ<-<时, 总有0x ≠,故211lim 01x x x →-=+.(2) 0ε∀>,因为111|sin 0||sin |||||x x x x x -=≤,取1M ε=, 则当||x M >时, 总有1|sin |1|sin 0|||||x x x x x ε-=≤<, 故1lim sin 0x x x →∞=.(3) 0M ∀>, 13M δ∃=+,当0||x δ<<时,总有1311|||3|3||x M x x x +=+>->,所以 013lim x x x→+=∞. 2.函数sin y x x =在(0,)+∞内是否有界?该函数是否为x →+∞时的无穷大?解答: 取2πn x n =,则0n y =,因此当2πn x n =()n →∞时, ()0n n y x →→+∞故函数 sin y x x = 当x →+∞时,不是无穷大量.下证该函数在()0,+∞内是无界的. 0M ∀>,π2π2n x n ∃=+且()n x n →+∞→∞, πππ2πsin 2π2π222n y n n n ⎛⎫⎛⎫=++=+ ⎪ ⎪⎝⎭⎝⎭,取[]01N M =+, 00π2π(0,)2x N ∃=+∈+∞,有0π2π2n y N M =+≥,所以sin y x x =是无界的.3.证明:函数11cos y x x=在区间(0,1]上无界,但这函数不是0x +→时的无穷大.证明: 令1t x=,类似第2题可得.习 题 1-51.求下列极限:(1)23231lim 41n n n n n →∞+++-;(2)111lim 1223(1)n n n →∞⎡⎤+++⎢⎥⋅⋅+⎣⎦ ; (3)22212lim n n n n n →∞⎛⎫+++ ⎪⎝⎭ ;(4)1132lim 32n nn n n ++→∞+-; (5)2211lim 54x x x x →--+;(6)3221lim 53x x x x →+-+;(7)limx →+∞;(8)2221lim 53x x x x →∞+++;(9)330()lim h x h x h→+-;(10)22131lim 41x x x x →+-+;(11)3131lim 11x x x →⎛⎫- ⎪--⎝⎭; (12)23lim 531x x xx x →∞+-+;(13)x →(14)3lim 21x x x →∞+;(15)3lim(236)x x x →∞-+;(16)323327lim 3x x x x x →+++-.解:(1) 23231lim 41n n n n n →∞+++- = 233311lim 0411n n n n n n→∞++=+-. (2) 111lim 1223(1)n n n →∞⎡⎤+++⎢⎥⋅⋅+⎣⎦ = 111111lim ()()()12231n n n →∞⎡⎤-+-++-⎢⎥+⎣⎦ = 1lim(1)11n n →∞-=+. (3) 22212lim n n n n n →∞⎛⎫+++ ⎪⎝⎭=21(1)12lim 2n n n n →∞+=. (4) 1132lim 32n nn n n ++→∞+-=21()13lim 2332()3n n n →∞+=-⋅. (5) 2211lim 54x x x x →--+=1(1)(1)lim (1)(4)x x x x x →-+--=112lim 43x x x →+=--.(6) 3221lim 53x x x x →+-+=322132523+=--⨯+.(7) limx →+∞=limx=limx=111lim2x -=. (8) 2221lim53x x x x →∞+++=2212lim 2531x x x x→∞+=++. (9) 330()lim h x h x h →+-=322330(33)lim h x x h xh h x h→+++-=3220lim(33)3h x xh h x →++=.(10) 3131lim 11x x x →⎛⎫- ⎪--⎝⎭=2313(1)lim 1x x x x →⎛⎫-++ ⎪-⎝⎭=21(1)(2)lim (1)(1)x x x x x x →-+-++ =212lim 11x xx x →+=++. (11) 23lim 531x x x x x →∞+-+=22311lim 0315x x x x x→∞+=-+.(12) x →=x →=x →(13) 3lim 21x x x →∞+=2lim 12x x x→∞=+∞+.(14) 3lim(236)x x x →∞-+=32336lim (2)x x x x→∞-+=∞.(15) 323327lim 3x x x x x →+++-=32331lim(327)lim 3x x x x x x →→+++⨯=∞-.2.设,0,()2,0.x e x f x x a x ⎧<=⎨+≥⎩问当a 为何值时,极限0lim ()x f x →存在.解:因为0lim ()lim 1,lim ()lim(2)x x x x x f x e f x x a a --++→→→→===+=,所以,当0lim ()lim ()x x f x f x -+→→=,即1a =时,0lim ()x f x →存在.3.求当x 1→时,函数12111x x e x ---的极限. 解:因为11211111limlim(1)0,1x x x x x e x e x ----→→-=+=- 11211111lim lim(1),1x x x x x e x e x ++--→→-=+=+∞- 所以12111lim1x x x e x -→--不存在。
第一章习题 习题1.11.判断下列函数是否相同: ①定义域不同;②定义域对应法则相同同;2.解 25.125.01)5.0(,2)5.0(=+=-=f f5.解 ① 10,1,1222≤≤-±=-=y y x y x② +∞<<-∞+=+=-=-=y be b c x e c bx c bx e c bx e ay ay a y a y ,,,),ln(ln 6.解 ① x v v u u y sin ,3,ln 2=+== ② 52,arctan 3+==x u u y 习题1.24.解:① 无穷大 ② 无穷小 ③ 负无穷大 ④ 负无穷大 ⑤ 无穷小 ⑥ 无穷小5.求极限:⑴ 21lim 2lim 3)123(lim 13131=+-=+-→→→x x x x x x x⑵ 51)12(lim )3(lim 123lim 22222=+-=+-→→→x x x x x x x⑶ 0tan lim=∞→xxa x⑷-∞=∞--=------=----=+--→→→→32)1)(4(1lim )1)(4()1(2lim )1)(4(122lim 4532lim 11121x x x x x x x x x x x x x x x⑸ 4123lim )2)(2()2)(3(lim 465lim 22222-=+-=-+--=-+-→→→x x x x x x x x x x x x ⑹ )11)(11()11(lim 11lim22220220x x x x x x x x +++-++=+-→→2)11(lim )11(lim 202220-=++-=-++=→→x xx x x x ⑺ 311311lim 131lim 22=++=+++∞→+∞→xx x x x x⑻2132543232lim 25342332lim =⎪⎭⎫⎝⎛⋅+⎪⎭⎫ ⎝⎛⋅+=⋅+⋅⋅+⋅+∞→+∞→x xx x x x x x ⑼ 133)1)(1()2)(1(lim 12lim 1311lim 2132131-=-=+-+-+=+-+=⎪⎭⎫ ⎝⎛+-+-→-→-→x x x x x x x x x x x x x ⑽011lim )1()1)(1(lim)1(lim =++=++++-+=-+∞→∞→∞→nn n n n n n n n n n n n⑾ 1lim 1231lim 22222==⎪⎭⎫ ⎝⎛-+++∞→∞→n n n n n n x x ⑿221121211lim2121211lim 2=-⋅-=⎪⎭⎫ ⎝⎛+++∞→∞→n n n n 6.求极限 ⑴ 414tan lim0=→x x x⑵ 111sinlim1sin lim ==∞→∞→xx x x x x⑶ 2sin 2lim sin sin 2lim sin 2cos 1lim0200===-→→→xxx x x x x x x x x ⑷ x x n nn =⋅∞→2sin 2lim⑸ 21sin lim 212arcsin lim00==→→y y x x y x ⑹111sinlim1sin lim 1sinlim 22222-=-=-=-∞→-∞→-∞→x x x x x x x x x ⑺ k k xx k xx xkx e x x x x ----→---→-→=--=-=-])1()1[(lim )1(lim )1(lim2)(12)(120⑻ 22211lim 1lim e x x x x x xx =⎪⎭⎫ ⎝⎛+=⎪⎭⎫⎝⎛+⋅∞→∞→⑼ 313tan 311cot 0])tan 31()tan 31[(lim )tan 31(lim e x x x xx x x =++=+→+→⑽ =⎪⎭⎫ ⎝⎛-+∞→32321lim x x x 343)34(23])321()321[(lim ---∞→=-⋅-e xx xx ⑾ []1)31(lim )31(lim )31(lim 03133311==+=+=+⋅-+∞→⋅⋅-+∞→-+∞→--e xx x x x x x x x x xxx⑿ 1333111lim 1111lim 1lim -+∞→+∞→+∞→==⎪⎭⎫ ⎝⎛+=⎪⎪⎪⎪⎭⎫⎝⎛+=⎪⎭⎫ ⎝⎛+e ex x x x x x x x x x习题1.31、⑴ 因为函数在x=1点处无定义,)2)(1()1)(1()(--+-=x x x x x f ,但是2)(lim 1-=→x f x ,x=1点是函数的第一类间断点(可去)。
第一章 函数一. 单项选择题1.1设xx x f )1ln()(2+=,则=-)(x e f ( ); (A) )1ln(2x x e e+- (B) )1ln(2x x e e -+ (C) )1ln(2x xe e --+ (D) )1ln(2x x e e + 1.2 函数)1ln()(2x x xf -+=为( );(A) 奇函数 B) 偶函数 (C) 非奇非偶函数 (D) 既是奇函数又是偶函数1.3 如果函数)(x f 的定义域为],2,1[则函数]ln 1[x f -的定义域为( )(A )]2ln 1,1[- (B )(0,1] (C )],1[e (D )]1,1[e1.4 如果函数xx f -=11)(,求=)]([x f f ( ) (A )x x 1- (B )x x 1+ (C )1-x x (D )1+x x 1.5 下列函数为偶函数的是( )(A )x x sin 3- (B )x x (C ))cos(sin x (D )x x cos sin +1.6下列函数为奇函数的是( )(A )x x sin 2+ (B ))sin(cos x (C ))cos(sin x (D )x x 1.7 函数y =的定义域为( ); (A )(1,1)- (B )(1,)+∞ (C )(,1)-∞- (D )(,1)(1,)-∞-⋃+∞1.8下列函数为奇函数的是( )(A )2sin x (B )2sin x (C )1-x x (D )2cos x 1.9设函数xx f -=11)(, 则=)]([x f f ( ); A. x x 1- B. x x 1+ C. 1-x x D. 1+x x 1.10函数11x x e y e -=+是 ( ); A .偶函数 B .奇函数 C .非奇非偶函数 D .无法判断1.11 周期函数1+cos 2x π周期为( )(A) 2π (B) 2 (C) 4 (D) π1.12 下列函数( )不是周期函数(A)2sin y x = (B)2sin y x = (C)cos(2)y x =- (D)arctan(tan )y x = 1.13 函数2xx e e -+为( )(A) 偶函数 (B) 奇函数 (C) 非奇非偶函数 (D) 周期函数1.14 函数2xx e e --为( )(A) 偶函数 (B) 奇函数 (C) 非奇非偶函数 (D) 周期函数1.15 设函数()21f x x x +=+,则f(x)=( )A. x (x+1) B .x (x-1)C. (x+1) (x-2) D .(x-1) (x+2)1.16 设函数)(x f 的定义域为]4 ,1[ ,则函数)()(2x f x f + 的定义域为 ( );(A) ]4 ,1[ (B) ]2 ,1[ (C) ]2 ,2[- (D) ]2 ,1[]1 ,2[Y --1.17 若1)(3+=x x f ,则=+)1(3x f ( );(A) 13+x (B) 26+x (C) 29+x (D) 233369+++x x x1.19 己知函数)(x f 的定义域为()0 ,1-,则下列函数中( )的定义域为()1 ,0 ;(A) )(x f - (B) )1(x f - (C) )1(x f + (D) )1(2-x f1.20 )0( 1)1(2>++=x x x xf ,则=)(x f ( ) (A) )0( 12>++x x x (B) )0( 112<++x x x(C) )0( 112>++x x (D) )0( 112>++x x x二. 填空题1.21.如果函数)(x f 的定义域为],1,0[则函数)(xe f 的定义域为 ;1.23 函数y =+的定义域为1.25 函数29)1ln(x x y --=的定义域为1.26 设,12cos )(sin +=x x f 则=)(x f1.27设,2)(+=x e x f ,))((2x x f =ϕ则=)(x ϕ1.29 设)1ln()(,43)(2x x x x x f +=+=ϕ,则 ))((x f ϕ的定义城为1.30如果函数)(x f 的定义域为],1,0[则函数)(xe f 的定义域为三. 计算题与证明题 1.31求函数,21111)(22⎪⎩⎪⎨⎧<<-≤-=x x x x x f 的定义域,并作该函数图形. 1.32设)(x f 是定义在对称区间内的任意一个函数,证明: 2)()()(x f x f x F --=为奇函数,2)()()(x f x f x G -+=为偶函数.( 提示:利用奇、偶函数的定义 1.33 证明:定义在对称区间内的任何函数均可表为一个奇函数与一个偶函数之和.。
普通班高数作业(上)第一章 函数1、试判断下列每对函数是否是相同的函数,并说明理由:(第二版P22:4;第三版P8:1)(注:“第二版P22:4”指第二版教材第22页的第4题) (2))sin(arcsin x y =与x y =; (4)x y =与2x y =;(6))arctan(tan x y =与x y =; (8))(x f y =与)(y f x =。
2、求下列函数的定义域,并用区间表示:(第二版P22:5;第三版P8:2)(2)xx x y -+=2; (3)x y x -+=1ln arcsin 21;(7)xey xln 111-+=。
3、设⎪⎩⎪⎨⎧<-≥-=0,10,1)(22x x x x x f ,求)()(x f x f -+。
(第二版P23:10;第三版无) 4、讨论下列函数的单调性(指出其单增区间和单减区间):(第二版P23:11;第三版P12:1) (2)24x x y -=; (4)x x y -=。
5、讨论下列函数的奇偶性:(第二版P23:12;第三版P12:2)(2)x x x x f tan 1)(2+-=; (3))1ln()(2x x x f -+=;(6)x x f ln cos )(=; (7)⎩⎨⎧≥+<-=0,10,1)(x x x x x f 。
6、求下列函数的反函数及反函数的定义域:(第二版P23:16;第三版P14:1)(1))0,(),21ln(-∞=-=f D x y ; (6)⎩⎨⎧≤<--≤<-=21,)2(210,12)(2x x x x x f 。
7、(1)已知421)1(x x x x f +=-,求)(x f ;(2)已知2ln )1(222-=-x x x f ,且x x f ln )]([=ϕ求)(x ϕ。
(第二版P23:19;第三版P16:3)8、以下各对函数)(u f 与)(x g u =中,哪些可以复合构成复合函数)]([x g f ?哪些不可复合?为什么?(第二版P24:23;第三版P16:7)(2)21,arccos )(xxu u u f +==; (4)x u u u f sin ),1ln()(=-=。
第一章 函数与极限§1 映射与函数一、 求下列函数的定义域(1)y =(2)1arctan y x=. 二、判断下列函数的奇偶性(1) x x x f 1sin )(2=; (2)1212)(+-=x x x f ; (3))1ln()(2++=x x x f .三、设)(x f 的定义域是[0,1],求下列函数的定义域(1) )(x e f ; (2) )(ln x f .(3) ()()(0)f x a f x a a ++->.四、求下列函数的反函数(1) 11x y x -=+; (2) 221x x y =+. 五、(1) 设)1ln()(2x x x f +=,求)(x e f -.(2) 设1,1()0,1,()1,1x x f x x g x e x ⎧<⎪===⎨⎪->⎩,计算[][](),()f g x g f x§2 数列的极限一、 写出下列数列的前五项 (1) 3sin 31n n x n =; (2) nx n x n n n )1(1211122-=+++=-, . 二、已知nx nn )1(1-+=,用定义证明:0lim =∞→n n x . 三、用极限定义证明:(1) 若)(∞→→n a x n ,则对任一自然数k ,也有)(∞→→+n a x k n ;(2) 若)(∞→→n a x n ,则)(||||∞→→n a x n ,并举例说明反之未必成立.§3 函数的极限一、 用极限的定义证明(1) 2lim(52)12x x →+=;(2) lim 0x =. 二、研究下列函数在0=x 处的左、右极限,并指出是否有极限 (1)xx x f ||)(=; (2)⎪⎩⎪⎨⎧<+=>-=0,10,00,1)(2x x x x x x f .§4 无穷大与无穷小 §5 极限运算法则一、根据定义证明:(1) 1sin y x x=为当0x →时的无穷小; (2) 12x y x+=为当0x →时的无穷大。
普通班高数作业(上)第一章 函数1、试判断下列每对函数是否是相同的函数,并说明理由: (2))sin(arcsin x y =与x y =; (4)x y =与2x y =;(6))arctan(tan x y =与x y =; (8))(x f y =与)(y f x =。
解:判断两个函数的定义域和对应法则是否相同。
(2))sin(arcsin x y =定义域不同,因此两个函数不同; (4)x x y ==2,两个函数相同;(6))arctan(tan x y =定义域不同,因此两个函数不同;(8))(x f y =与)(y f x =定义域和对应法则都相同,因此两个函数相同。
2、求下列函数的定义域,并用区间表示:(2)xx x y -+=2; (3)x y x -+=1ln arcsin 21; (7)xey xln 111-+=。
解:(2))0,2[-∈x ;(3)]1,0()0,1[22--⋃-∈e e x ; (7)),(),0(+∞⋃∈e e x 。
3、设⎪⎩⎪⎨⎧<-≥-=0,10,1)(22x x x x x f ,求)()(x f x f -+。
解:按0>x ,0=x ,0<x 时,分别计算得,⎩⎨⎧=-≠=-+0200)()(x x x f x f 。
4、讨论下列函数的单调性(指出其单增区间和单减区间): (2)24x x y -=; (4)x x y -=。
解:(2)22)2(44--=-=x x x y 单增区间为]2,0[,单减区间为]4,2[。
(4)⎩⎨⎧≥<-=-=002x x x x x y ,定义域为实数集,单减区间为),(+∞-∞。
5、讨论下列函数的奇偶性:(2)x x x x f tan 1)(2+-=; (3))1ln()(2x x x f -+=;(6)x x f ln cos )(=; (7)⎩⎨⎧≥+<-=0,10,1)(x x x x x f 。
‰高等数学(Ⅰ)练习 第一章 函数、极限与连续________系_______专业 班级 姓名______ ____学号_______习题一 函数一.选择题 1.函数216ln 1x xx y -+-=的定义域为 [ D ] (A )(0,1) (B )(0,1)⋃(1,4) (C )(0,4) (D )4,1()1,0(⋃] 2.3arcsin 2lgxx x y +-=的定义域为 [ C ] (A ))2,3(]3,(-⋃-∞ (B )(0,3) (C )]3,2()0,3[⋃- (D )),3(+∞- 3.函数)1ln(2++=x x y 是 [ A ](A )奇函数 (B )非奇非偶函数 (C )偶函数 (D )既是奇函数又是偶函数 4.下列函数中为偶函数且在)0,(-∞上是减函数的是 [ D ](A )222-+=x x y (B ))1(2x y -= (C )||)21(x y = (D ).||log 2x y =二.填空题1. 已知),569(log )3(22+-=x x x f 则=)1(f 22. 已知,1)1(2++=+x x x f 则=)(x f3. 已知xx f 1)(=,x x g -=1)(, 则()=][x g f4. 求函数)2lg(1-+=x y 的反函数5. 下列函数可以看成由哪些基本初等函数复合而成 (1) x y ln tan 2=:(2) 32arcsin lg x y =:__________ _____________________三.计算题1.设)(x f 的定义域为]1,0[, 求)(sin ),(2x f x f 的定义域21x x -+1102()x y x R -=+∈11x -2,tan ,ln ,y u u v v w w ====23,lg ,arcsin ,y v v w w t t x =====2()[11](sin )[2,2]()f x f x k k k Z πππ-+∈的定义域为,的定义域为2.设⎪⎩⎪⎨⎧<<-≤-=2||111||1)(2x x x x x ϕ , 求)23(),21(),1(ϕϕϕ-, 并作出函数)(x y ϕ=的图形.4.已知水渠的横断面为等腰梯形,斜角40=ϕ(图1-22)。
高等数学第一章习题一、填空1.设)(x f y =的定义域是]1,0(,x x ln 1)(-=ϕ,则复合函数)]([x f y ϕ=的定义域为),1[e2. 设)(x f y =的定义域是[1,2],则)11(+x f 的定义域 [-1/2,0] 。
3.设⎩⎨⎧≤<-≤≤=211101)(x x x f , 则)2(x f 的定义域 [0,1] 。
5.设)(x f 的定义域为)1,0(,则)(tan x f 的定义域 Z k k k x ∈+∈,)4,(πππ6. 已知21)]([,sin )(x x f x x f -==φ,则)(x φ的定义域为 22≤≤-x 。
7. 设()f x 的定义域是[]0,1,则()xf e 的定义域(,0]-∞8.设()f x 的定义域是[]0,1,则(cos )f x 的定义域2,222k k ππππ⎡⎤-+⎢⎥⎣⎦9. xxsin limx ∞→= 0(10.()()()=+-+∞→1761125632lim x x x x 17653。
11.x x x)21(lim -∞→= 2e -12.当∞→x 时,x1是比3-+x 13.当0→x 时,1132-+ax 与1cos -x 为等价无穷小,则=a 23-14.若数列}{n x 收敛,则数列}{n x 是否有界 有界 。
15.若A x f x x =→)(lim 0(A 为有限数),而)(lim 0x g x x →不存在,则)]()([lim 0x g x f x x +→ 不存在 。
16.设函数)(x f 在点0x x =处连续,则)(x f 在点0x x =处是否连续。
( 不一定 ) 17.函数23122++-=x x x y 的间断点是-1、-2 18. 函数)(x f 在0x 处连续是)(x f 在该点处有定义的充分条件;函数)(x f 在0x 处有定义是)(x f 在该点处有极限的无关条件。
(填:充要,必要,充分,既不充分也不必要,无关)。
、19.函数左右极限都存在且相等是函数极限存在的 充要 条件,是函数连续的 必要 条件。
(填:充分、必要、充要、既不充分也不必要) 21.函数xy 1=在区间[)2,1内的最小值是 不存在 22.已知⎪⎩⎪⎨⎧≥+-<+=0,230,)1ln(2sin )(2x k x x x x xx f 在x =0处连续,则k = 2 。
23.设)(x f 处处连续,且3)2(=f ,则 )2sin (3sin lim0xxf x x x →= 924.a x =是ax a x y --=的第 1 类间断点,且为 跳跃 间断点.25.0=x 是xy 1cos2=的第 2 类间断点,且为 振荡 间断点. 26.设函数⎪⎪⎪⎩⎪⎪⎪⎨⎧<+=>+=--1 ,1b 1,1,)1(1)(2)1(12x x x a x e x x f x ,当=a 0 ,=b -1 时,函数)(x f 在点x=1处连续.27.在“充分”、“必要”和“充分必要”三者中选择一个正确的填入下列空格内:(1)数列{}n x 有界是数列{}n x 收敛的 必要 条件。
数列{}n x 收敛是数列{}n x 有界的 充分 条件。
(2)()f x 在0x 的某一去心邻域内有界是0lim ()x x f x →存在的 必要 条件。
0lim ()x x f x →存在是()f x 在0x 的某一去心邻域内有界的 充分 条件。
~(3)()f x 在0x 的某一去心邻域内无界是0lim ()x x f x →=∞存在的 必要 条件。
0lim ()x x f x →=∞存在是()f x 在0x 的某一去心邻域内无界的 充分 条件。
二、选择1.如果0lim ()x x f x →+与0lim ()x x f x →-存在,则( C ).(A )0lim ()x xf x →存在且00lim ()()x xf x f x →=(B )0lim ()x xf x →存在但不一定有00lim ()()x xf x f x →=(C )0lim ()x xf x →不一定存在(D )0lim ()x xf x →一定不存在2.如果()∞=→x f x x 0lim ,()∞=→x g x x 0lim ,则必有( D )。
A 、()()[]∞=+→x g x f x x 0lim B 、()()[]0lim 0=-→x g x f x xC 、()()01lim=+→x g x f x x D 、()∞=→x kf x x 0lim (k 为非零常数)、3.当∞→x 时,arctgx 的极限( D )。
A 、2π=B 、2π-= C 、∞= D 、不存在,但有界4.11lim1--→x x x ( D )。
A 、1-=B 、1=C 、=0D 、不存在5.当0→x 时,下列变量中是无穷小量的有( C )。
A 、x 1sinB 、xx sin C 、12--xD 、x ln 6. 下列变量在给定的变化过程中是无穷大量的有( A )。
A 、()+→0lg x x B 、()1lg →x x C 、132+x x ()+∞→x D 、()-→01x e x 7.无穷小量是( C ).(A )比0稍大一点的一个数 (B )一个很小很小的数 】(C )以0为极限的一个变量 (D )常数08. 如果)(),(x g x f 都在0x 点处间断,那么( D )(A ))()(x g x f +在0x 点处间断 (B ))()(x g x f -在0x 点处间断 (C ))()(x g x f +在0x 点处连续 (D ))()(x g x f +在0x 点处可能连续。
9.已知0()lim0x f x x→=,且(0)1f =,那么( A ) (A )()f x 在0x =处不连续。
(B )()f x 在0x =处连续。
(C )0lim ()x f x →不存在。
(D )0lim ()1x f x →=10.设2()43x xf x x x+=- ,则0lim ()x f x →为( D )(A )12 (B)13 (C) 14(D)不存在~11.设 ⎪⎩⎪⎨⎧=≠=0,00,||)(x x x xx f 则( C )(A ) )(x f 在0=x 的极限存在且连续; (B ))(x f 在0=x 的极限存在但不连续;(C))(x f 在0=x 的左、右极限存在但不相等; (D ))(x f 在0=x 的左、右极限不存在。
12. 设232)(-+=xxx f ,则当0→x 时,有( B )(A ))(x f 与x 是等价无穷小; (B ))(x f 与x 是同阶但非等价无穷小; (C ))(x f 是比x 高阶的无穷小; (D ))(x f 是比x 低阶的无穷小。
13.当0→x 时,下列四个无穷小量中 ,哪一个是比另外三个更高阶的无穷小( D ) (A ) 2x ; (B ) x cos 1-; (C )112--x ;(D ) x x tan -。
14. 当0→x 时,xaxx cos 3arctan 与 是等价无穷小,则:a =( C ) (A ) 1 ; (B ) 2; (C ) 3; (D )1/2¥15下列运算正确的是( C )(A )01cos lim 01cos lim sin lim 1cos sin lim 0000=⋅=⋅=→→→→x x x x x x x x x(B )00lim lim sin tan lim 03030==-=-→→→x x x xxx x x x (C) )100sin (lim +∞→x x x =100lim sin lim ∞→∞→+x x xx=0 + 100=100(D) 5353lim 5sin 3tan lim ==→→x x x x x x ππ三、基本计算题(一.求极限) 1. ()x x x x x --+-∞→22lim1.解:-12. limx →+∞《2.解:13.2529lim38--+→x x x3. 解:5124.)cos 1(cos 1limx x x x --→4.解:21 5.)2(sin lim 2n n n n -++∞→π5. 解:π6.xx x x cos 1sin )11(lim0--+→6.解:17.3032sin sin 2limxxx x -→ :7.解: 318.)1ln(sin tan lim30x xx x +-→8.解:21 9.xx e e xx x sin lim sin 0--→ 9.解:110.设0→x 时,1cos 1)1(312--+x ax 与 是等价无穷小,求a 的值 10.解:23-=a 11x →11 解:-312.212)(sec lim x x x →、12.解:e13. nn n n ⎪⎭⎫⎝⎛+∞→1lim13.解1-e14. 121)12(lim -→+x xx x x 14解:e 15.()10lim 0,0,03x x xxx a b c a b c →⎛⎫++>>>⎪⎝⎭15.16. xx x x)21(lim 1+∞→16.解 :2ln 1+e17.111lim21arctantt t tete tπ→+- ,17. 解:1 18.)2222(lim 284nn ∞→18.解:219.设 ),1,0)(≠>=a a a x f x(求 )]()2()1(ln[1lim 2n f f f n n ∞→19. 解a ln20. .⎥⎦⎤⎢⎣⎡--+++++∞→2)1(321(21lim 2n n n n 20. 解: 21-21.lim n →∞21.解: 1 22.)2211(lim 222nn nn n n ++++++∞→ >22.解: 2123.]1[lim 0xx x +→ 23.解:124.xx xxx 1)532(lim +++∞→24.解:525.⎪⎪⎪⎭⎫ ⎝⎛+++→||sin 12lim 410x x e e x x x 25.解: 1(二.连续与间断)26.处连续.在之值,使补充定义 0)()0()0()2tan arcsin()(=≠=x x f f x xxx f $26.解,6)(lim 0π=→x f x处连续.在,则补充定义0)(6)0(==∴x x f f π27.指出函数121211+-=xxy 的间断点,并判定其类型.27.解0=x 是函数的第一类间断点(跳跃间断点)。
四、综合计算题(一.连续与间断) 1.设21()lim1nn xf x x →∞-=+,讨论()f x 在其定义域内的连续性,若有间断点,指出其类型。