北师大版七年级数学上七拔高性计算题.docx
- 格式:docx
- 大小:59.56 KB
- 文档页数:3
最新七年级上册数学期末考试试题一、选择题。
1、下列说法中正确的有()①过两点有且只有一条直线②连接两点的线段叫做两点间的距离③两点之间,线段最短’.④若AB=BC,则点B 是AC的中点A.1个B.2个C.3个D.4个2、经过同一平面内的三个点A、B、C中的每两个点画直线,可以画()A.1条B.3条C.1条或3条D.无数条3、去年某市9.6万学生参加初中毕业会考,为了解这9.6万名考生的数学成绩,从中抽取5000名考生的数学成绩进行统计分析,以下说法正确的是()A,这5000名考生是总体的一个样本B.9.6万名考生是总体C.每位考生的数学成绩是个体D.5000名学生是样本容量4、商店购进某种商品的进价是每件8元,销售价是每件10元,为了扩大销售量,将每件的销售价降低x%出售,但要求卖出一件商品所获得的利润是降价前所获得利润的90%,那么x应等于() A.10B.4C.2D.185、将一张长方形纸片按如图所示的方式折叠,BD、BE为折痕,若∠CBD=66°,则∠ABE为()A.20∘B.24∘C.40∘D.506、轮船沿江从A港顺流行驶到B港,比从B港返回A港少用3小时,若船速为26千米/时,水速为2千米/时,求A港和B港相距多少千米.设A港和B港相距x千米.根据题意,可列出的方程是()7、如图,点A,B在数轴上对应的实数分别为m,n,则A,B间的距离是()A.m+nB.m﹣nC.n﹣mD.|m+n|8、9、已知线段AB =3cm ,延长线段AB 到C ,使BC =4cm ,延长线段BA 到D ,使AD =AC ,则线段CD 的长为( )A .14cmB .8cmC .7cmD .6cm10、将边长为1的正方形纸片如图1所示的方法进行对折,记第一次对折后得到的图形面积二、选择题。
1、若8x 410x 3 与-值相等,则x 的值是 。
2、在数学活动中,小明为了求的值(结果用行表示),设计如图所示的 几何图形,请你利用这个几何图形,计算= 。
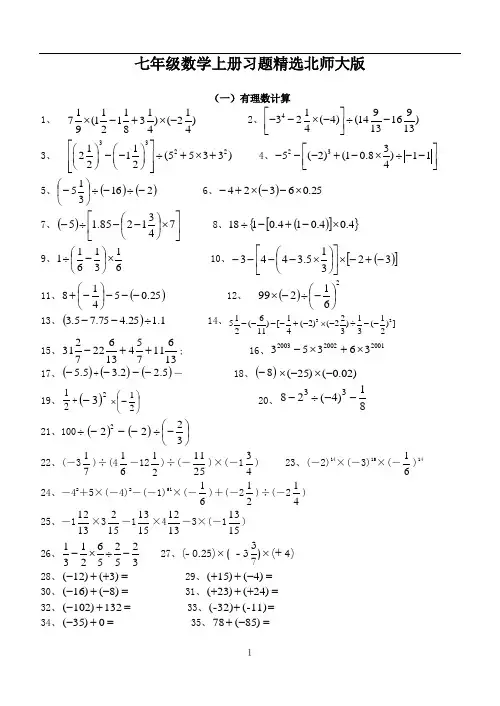
七年级数学上册习题精选北师大版(一)有理数计算1、 111117(113)(2)92844⨯-+⨯-2、419932(4)(1416)41313⎡⎤--⨯-÷-⎢⎥⎣⎦3、 33221121(5533)22⎡⎤⎛⎫⎛⎫--÷+⨯+⎢⎥ ⎪ ⎪⎝⎭⎝⎭⎢⎥⎣⎦4、2335(2)(10.8)114⎡⎤---+-⨯÷--⎢⎥⎣⎦5、()()216315-÷-÷⎪⎭⎫ ⎝⎛- 6、()25.06324⨯--⨯+- 7、()⎥⎦⎤⎢⎣⎡⨯⎪⎭⎫ ⎝⎛--÷-7431285.15 8、()[]{}4.04.014.0118⨯-+-÷ 9、6131611⨯⎪⎭⎫ ⎝⎛-÷ 10、()[]32315.3443-+-⨯⎥⎦⎤⎢⎣⎡⎪⎭⎫ ⎝⎛⨯---- 11、()25.05418---⎪⎭⎫ ⎝⎛-+ 12、 ()261299⎪⎭⎫ ⎝⎛-÷-⨯ 13、()1.125.475.75.3÷-- 14、])21(31)322()2(41[)116(21523--÷-⨯-+----15、13611754136227231++-; 16、20012002200336353⨯+⨯- 17、()5.5-+()2.3-()5.2--- 18、()8-)02.0()25(-⨯-⨯19、21+()23-⎪⎭⎫ ⎝⎛-⨯21 20、81)4(2833--÷- 21、100()()222---÷⎪⎭⎫ ⎝⎛-÷32 22、(-371)÷(461-1221)÷(-2511)×(-143) 23、(-2)14×(-3)15×(-61)14 24、-42+5×(-4)2-(-1)51×(-61)+(-221)÷(-241) 25、-11312×3152-11513×41312-3×(-11513) 26、3252562131-÷⨯- 27、()()4+×733×250)-(.- 28、=++-)3()12( 29、=-++)4()15(30、=-+-)8()16( 31、=+++)24()23(32、=+-132)102( 33、=+(-11)(-32)34、=+-0)35( 35、=-+)85(7836、)3()26()2()4()14(-+++-+-++37、)15()41()26()83(++-+++-38、)2.0(3.1)9.0()7.0()8.1(-++-+++-39、)326()434()313(41-+++-+ 40、=+--)15()14( 41、=---)16()14(42、=--+)9()12( 43、=+-)17(1244、=+-)52(0 45、=--)11(10846、=+-)3.2(8.4 47、=--)213(2 48、)5()]7()4[(--+-- 49、]12)3[(3---50、)109(8-- 51、)106()53(---52、543210-+-+- 53、2.104.87.52.4+-+-54、18)12()10(1130+-+----55、)61(41)31()412(213+---+-- 56、2111943+-+-- 57、31211+- 58、)]18()21(26[13-+--- 59、2111)43(412--+--- 60、=⨯(-4)3 61、=⨯(-6)2 62、=⨯0(-6)63、=-⨯)43(32 64、=-⨯-)21()2( 65、=-⨯-)25.0()4( 66、)25()7()4(-⨯-⨯- 67、)34(8)53(-⨯⨯- 68、)1514348(43--⨯ 69、)8(45)201(-⨯⨯- 70、53)8()92()4()52(8⨯-+-⨯---⨯ 71、)8(12)11(9-⨯-+⨯-72、=÷(-3)36 73、=÷21(-2) 74、=÷(-5)0 75、=÷(-0.2)8 76、=÷)43(-)87(- 77、6.018÷- 78、)412()21()43(-÷-⨯- 79、2411)25.0(6⨯-÷- 80、)21(31)32(-÷÷- 81、)2(48-÷+-82、)51(250-⨯÷- 83、)3(4)2(817-⨯+-÷- 84、1)101(250322-⨯÷+ 85、911)325.0(321÷-⨯- 86、1)51(25032--⨯÷+ 87、])3(2[)]215.01(1[2--⨯⨯-- 88、)145()2(52825-⨯-÷+- 89、6)3(5)3(42+-⨯--⨯ 90、)25.0(5)41(8----+ 91、)48()1214361(-⨯-+- 92、31)321()1(⨯-÷- 93、)199(41212+-÷⨯ 94、)16(94412)81(-÷+÷- 95、)]21541(43[21---- 96、13+(+7)-(-20)-(-40)-(+6) 97、)2(9449344-÷+÷- 98、22)36()33(24)12581(÷-÷---⨯- 99、13)18()14(20----+- 100、 8+(―41)―5―(― 101、 (-12)÷4×(-6)÷2 102、 )1279543(+--÷361 103、 2)5()2(10-⨯-+ 104、 (7)(5)90-⨯--÷(15)- 105、 721×143÷(-9+19) 106 、25×43―(―25)×21+25×(-41) 107、 ()1-⎪⎭⎫ ⎝⎛-÷2131 108、(-81)÷241+94÷(-16) 109、 2(x-3)-3(-x+1) 110、-4÷32-(-32)×(-30)111、 3223121213+⎪⎭⎫ ⎝⎛--⎪⎭⎫ ⎝⎛-+ 112、 47÷)6(3287-⨯- 113、48245834132⨯⎪⎭⎫ ⎝⎛+-- 114、|97|-÷2)4(31)5132(-⨯-- 115、 -22 -〔-32 + (- 2)4 ÷23 〕 116、235(4)0.25(5)(4)8⎛⎫-⨯--⨯-⨯- ⎪⎝⎭117、 200423)1()2(161)1()21()21(-÷-⨯⎥⎦⎤⎢⎣⎡--÷-- 118、 100()()222---÷3)2(32-+⎪⎭⎫ ⎝⎛-÷ 119、 ―22+41×(-2)2 120、 322)43(6)12(7311-⨯⎥⎦⎤⎢⎣⎡÷-+-- 121、 111117(113)(2)92844⨯-+⨯-122、419932(4)(1416)41313⎡⎤--⨯-÷-⎢⎥⎣⎦ 123、(-36)-[(-54)-(+32)] 124、 (+-[(--(-+(-] 125、 (-)÷×(-5) 126、)—()—)+(—(25.0433242÷⨯ 127、 75)21(212)75(75211⨯-+⨯--⨯ 128、11)()+(2532.015[3-÷⨯----] 129 、12(4)4⎡⎤-|-16|-⨯-⎢⎥⎣⎦÷⎥⎦⎤⎢⎣⎡--)813(41 130、 2335(2)(10.8)114⎡⎤---+-⨯÷--⎢⎥⎣⎦(二)有理数1、12的相反数与-7的绝对值的和是____________________。
马鸣风萧萧初中数学试卷马鸣风萧萧月考预测拔高试题1、填在下面各正方形中的四个数之间都有相同的规律,根据此规律,m的值是 ____________2、下图为某周上海股市的股指变化折线统计图:股指+60+50+40+30+20+10一二三四五星期以 1900点为原点(1)用正数表示比前一天上涨,负数表示比前一天下跌,完成下表:星期一二三四五股指变化(点)(2)本周五股指与上周五相比有何变化?变化值是多少?3、水库管理人员为掌握水库蓄水情况,需要观测水库水位变化,下表是一周内水位高低的变化情况,用正数表示水位比前一天上升数,用负数表示水位比前一天下降数.星期一二三四五六七水位变化(米)0.12-0.02-0.13-0.20-0.08-0.020.32 问水库的水位在本周内是上升还是下降,幅度是多少米?这一周内,哪一天水库的水位最高?哪一天的水位最低?最高水位比最低水位高多少?马鸣风萧萧4、已知 A, B 在数轴上分别表示数a, b.( 1)对照数轴填写下表:(2)若 A, B 两点间的距离记为 d ,试问 d 与 a, b 有何数量关系?(3)在数轴上找到所有符合条件的整数点P,使它到 5 和 -5 的距离之和为 10,并求出所有这些整数的和.(4)若数轴上点 C表示的数为 x,当点 C 在什么位置时,① |x+1| 的值最小?② |x+1|+|x-2| 的值最小?5、若 x 的相反数是3, y 的绝对值是5,则 x-y 的值为 ________6、如图,哪一个是左边正方体的展开图()D.A.B.C.7、如图是正方体的展开图,则原正方体相对两个面上的数字之和的最小值的是__________8、如图是由两个长方体组合而成的一个立体图形的三视图,根据图中所标尺寸(单位:mm),计算出这个立体图形的表面积是______2mm.马鸣风萧萧.9、十八世纪瑞士数学家欧拉证明了简单多面体中顶点数(V)、面数( F)、棱数( E)之间存在的一个有趣的关系式,被称为欧拉公式.请你观察下列几种简单多面体模型,解答下列问题:( 1)根据上面多面体模型,完成表格中的空格:多面体顶点数( V)面数( F)棱数( E)四面体 4 4长方体8 6 12正八面体8 12正十二面体 20 12 30你发现顶点数(V)、面数( F)、棱数( E)之间存在的关系式是.( 2)一个多面体的面数比顶点数大8,且有 30 条棱,则这个多面体的面数是.( 3)某个玻璃鉓品的外形是简单多面体,它的外表面是由三角形和八边形两种多边形拼接而成,且有24 个顶点,每个顶点处都有 3 条棱,设该多面体外表三角形的个数为x 个,八边形的个数为y 个,求 x+y 的值.10、3.14π = 绝对值最小的数是在有理数中最大的负整数是,最小的正整数是,最小的非负整数是,最小的非负数马鸣风萧萧是。
北师大版七年级上册数学计算题题库一、概述近年来,我国教育改革不断深化,教学质量和教学资源得到了大幅提升。
作为我国著名的师范大学之一,北京师范大学出版社出版的教材一直备受关注。
其中,北师大版七年级上册数学教材备受教师和学生的喜爱,尤其是其中的数学计算题题库,为学生的数学学习提供了极大的帮助。
二、数学计算题题库的特点1. 包含全面的题目类型北师大版七年级上册数学计算题题库涵盖了各种数学题目类型,包括但不限于加减乘除、分数、小数、百分数、面积和体积等。
这些题目类型涵盖了数学学习的方方面面,能够满足学生的不同能力水平和学习需求。
2. 难易适中,贴近教材要求数学计算题题库的题目设置难易适中,贴近教材要求。
题目不仅考察学生的计算能力,还能够培养学生的逻辑思维能力和解决问题的方法。
3. 配套详细的答案解析每道题目都配有详细的答案解析,不仅能指导学生正确解答题目,还能让学生了解解题的方法和思路。
也能帮助教师更好地指导学生学习。
三、数学计算题题库的应用1. 作为课堂练习数学计算题题库可以作为课堂练习的参考,让学生在课后进行巩固和强化,加深对知识点的理解。
而且教师也能够根据学生的练习情况进行有针对性的教学。
2. 作为课外辅导学生可以利用数学计算题题库进行课外的自主学习和巩固。
学生可以根据自己的学习进度和能力自行选择题目进行练习,提高数学学习的效率。
3. 作为考试辅助数学计算题题库中的题目类型涵盖全面,能够帮助学生对学习的知识点进行全面的复习和训练。
在考试前,学生可以通过做题来查漏补缺,更加从容地迎接考试。
四、数学计算题题库的优势和意义1. 帮助学生建立数学基础数学计算题题库的题目涵盖了数学学习的各个方面,能够帮助学生建立扎实的数学基础,为学习更高阶的数学知识打下良好的基础。
2. 提高学生的数学能力通过做题,学生可以不断地巩固和提高自己的数学能力,锻炼自己的计算能力和解决问题的能力,培养学生的逻辑思维和数学思维。
3. 增强教学质量数学计算题题库的使用能够让教师更好地了解学生的学习情况,及时进行指导和辅导,提高教学质量。