全国雨季施工雨量区及雨季期划分表Word版
- 格式:doc
- 大小:154.50 KB
- 文档页数:9
降雨量等级的划分,不同部门有不同的标准。
气象部门:降雨量是指在一定时间内降落到地面的水层深度,单位用毫米表示。
单位时间内降雨量称降雨强度。
降雨强度用降雨等级来进行划分,具体如下:
降雨等级表
防汛部门:降雨量是在一定时间内降落在地面上的某一点或某一单位面积上的水层深度,以毫米计算。
根据国家防办《防汛手册》规定,凡24小时的累计降雨量超过50毫米者定为暴雨。
按12小时降雨强度和24小时降雨强度划分大小降雨量等级,见下表:
雨量等级表
水文部门:通常说的小雨、中雨、大雨、暴雨等,一般以日降雨量衡量。
其中小雨指日降雨量在10毫米以下;中雨日降雨量为10~24.9毫米;大雨降雨量为25~49.9毫米;暴雨降雨量为50~99.9毫米;大暴雨降雨量为100~199.9毫米;特大暴雨降雨量在200毫米以上。
另外,人们也可以从降水情况来判定雨的等级:下小雨时,一般雨点清晰可辩,没有飘浮现象;落到地面、石板或屋瓦上不四溅;地面泥水浅洼形成很慢;至少两分钟以上才会润湿石板、屋瓦;屋檐下只有滴水。
降中雨中,雨水如线,雨滴不易分辨;落在硬地、屋瓦上雨水四溅;水洼泥潭形成很快;屋顶有沙沙声。
下大雨时,雨如倾盆,模糊成片;落在屋瓦、水泥地或石板上可四处飞溅,水潭形成很快;屋顶雨水有喧闹声。
降雨量等级的划分,不同部门有不同的标准。
气象部门:降雨量是指在一定时间内降落到地面的水层深度,单位用毫米表示。
单位时间内降雨量称降雨强度。
降雨强度用降雨等级来进行划分,具体如下:降雨等级表雨量时段等级12小时降雨量24小时降雨量雨量时段等级12小时降雨量24小时降雨量小雨0.1~4.9 0.1~9.9 暴雨30.0~69.9 50.0~99.9 小到中雨 3.0~9.9 5.0~16.9 暴雨到大暴雨50.0~104.9 75.0~174.9 中雨 5.0~14.9 10.0~24.9 大暴雨70.0~140.0 100.0~250.0中到大雨10.0~22.9 17.0~37.9 大暴雨到特大暴雨105.0~170.0 175.0~300.0大雨15.0~29.9 25.0~49.9 特大暴雨>140.0 >250.0 大到暴雨30.0~49.9 38.0~74.9防汛部门:降雨量是在一定时间内降落在地面上的某一点或某一单位面积上的水层深度,以毫米计算。
根据国家防办《防汛手册》规定,凡24小时的累计降雨量超过50毫米者定为暴雨。
按12小时降雨强度和24小时降雨强度划分大小降雨量等级,见下表:雨量等级表强雨等级12小时降雨量24小时降雨量水文部门:通常说的小雨、中雨、大雨、暴雨等,一般以日降雨量衡量。
其中小雨指日降雨量在10毫米以下;中雨日降雨量为10~24.9毫米;大雨降雨量为25~49.9毫米;暴雨降雨量为50~99.9毫米;大暴雨降雨量为100~199.9毫米;特大暴雨降雨量在200毫米以上。
另外,人们也可以从降水情况来判定雨的等级:下小雨时,一般雨点清晰可辩,没有飘浮现象;落到地面、石板或屋瓦上不四溅;地面泥水浅洼形成很慢;至少两分钟以上才会润湿石板、屋瓦;屋檐下只有滴水。
降中雨中,雨水如线,雨滴不易分辨;落在硬地、屋瓦上雨水四溅;水洼泥潭形成很快;屋顶有沙沙声。
下大雨时,雨如倾盆,模糊成片;落在屋瓦、水泥地或石板上可四处飞溅,水潭形成很快;屋顶雨水有喧闹声。
1.雨季施工期及降水趋势根据历年气象预报及国家气象局有关资料,北京地区雨季施工时间为6月1日至8月31日。
降水量主要集中于7~8两个月,期间一般有多次暴风雨,对施工影响较大,应及时收听近期气象信息,了解降雨情况,以便对现场施工进行统筹安排。
2.雨季施工工程概况金融大厦工程位于北京市金融街C5地块,建筑面积为5.81万平方米,地下1.62万平方米,地上4.19万平方米。
建筑总高度为78.9m,地下三层,地上十九层。
金融大厦工程于1998年6月8日开工至今,主体结构施工已完成,进入了装修阶段。
首层室外出入口、台阶、坡道采用毛面花岗岩,群房外墙采用玻璃和花岗岩板幕墙,主楼四层以上为低反射镀膜中空玻璃和蜂窝铝板幕墙。
室内非承重墙分别为陶粒空心砖隔墙、轻钢龙骨隔墙。
本工程作为公司、局重点工程,又与中建一局承建的电信大楼相隔不到2m,金融大厦工程施工的每一步,不仅代表着我公司、局的外观形象,更为重要的是直接影响到我公司下一步任务的开拓问题。
因此,项目成员必须提高质量意识,加强施工管理,合理安排,周密部署,协调配合,以确保雨季施工的顺利进行。
3.雨季施工组织3.1本工程雨季施工的总原则是防水、挡水、排水相结合的原则;总要求是做到小雨不间断施工,大雨过后即可施工,暴雨过后不影响施工。
3.2为确保工程雨季施工质量、进度,特成立以项目经理为组长,项目副经理为副组长的防洪抢险领导小组,小组成员如下:组长:杨华副组长:张小莹现场负责人员:袁远韩义现场监督人员:王俊武材料保证人员:陈云健李世荣3.3汛期成立值班制,小组成员必须严守岗位,认真做好记录。
发现问题及时汇报,并制定相应的有效措施,把汛期对施工的影响降低到最低。
3.4雨季施工具有突然性、突击性、持续时间长等特点,所以应该分别轻重缓急,晴雨结合。
对不适于雨天施工的工程,要密切注意天气预报,尽量避免雨天施工。
4.雨季施工措施4.1混凝土及砂浆的搅拌4.1.1搅拌混凝土和砂浆应在搭设的防雨棚内进行。
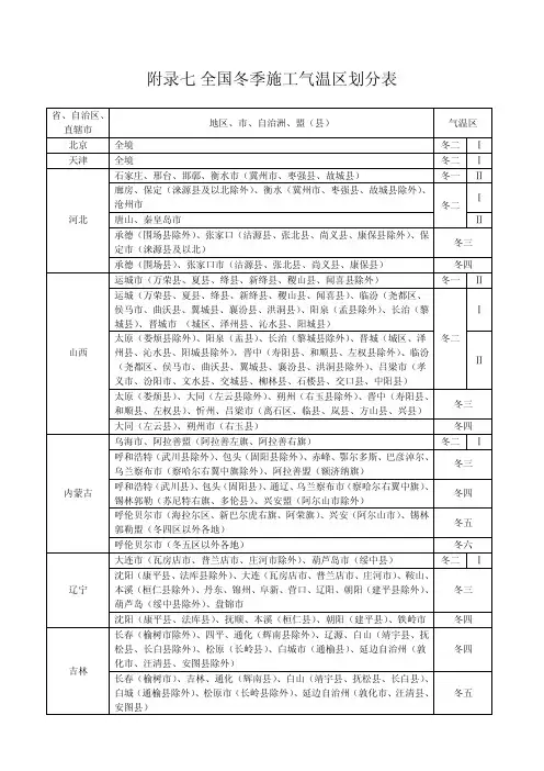
注:1、表中未列的地区除西藏林芝地区墨脱县因无资料未划分外,其余地区均因降雨天数或平均日降雨量未达到计算雨季施工增加费的标准,故未划分雨量区及雨季期。
2、行政区划依据资料及自治州、市的名称列法同冬季施工气温区划分说明。
25mm,年蒸发量2500~3000mm,干燥度
16.0~32.0.
古尔班通
古特沙漠
位于新疆北部准噶尔盆地
属干旱温冷区,其中固定、半固定沙
丘面积占沙漠面积的97%,年降水量70~
150mm,年蒸发量1700~2200mm,干燥
度2.0~10.0
风
沙
三
区
塔克拉玛
干沙漠
位于新疆南部塔里木盆里
属极干旱炎热区,年降水量东部为
20mm左右,南部为30mm左右,西部
40mm左右,北部50mm以上,年蒸发量
1500~3700mm,中部达高限,干燥度>
32.0
库姆达格
沙漠
位于新疆东部、甘肃西部、罗布
泊低地南部和阿而金山北部
属极干旱炎热区,全部为流动沙丘,
风蚀严重,年降水量10~20mm,年蒸发
量2800~3000mm,干燥度>32.0,8级充
上大风天数在100d以上。
目录1.编制依据 (1)2。
雨季施工原则 (1)2。
1雨量等级表 (1)2。
2雨季施工管理目标及施工原则 (1)3。
施工准备 (2)3。
1组织准备 ......................................................................................... 错误!未定义书签。
3。
2现场准备 . (2)3.3物资准备 (2)4.雨季施工技术保障措施 (3)4.1土方工程 (3)4.2水泥搅拌桩施工 (4)4.3 SMW工法桩施工 (4)4.4起重吊装 (4)4.5钢筋工程 (5)4.6脚手架施工 (5)4.7模板工程 (5)4.8混凝土工程 (6)5.雨季施工安全保证措施 (6)5.1机电设备安全措施 (6)5。
2 现场防洪安全措施 (7)6.防洪应急预案 (7)6。
1指导思想 (7)6.2防洪、防汛应急救援领导机构 (8)6。
3防洪、防汛领导小组职责 (8)6。
4防洪、防汛应急救援程序 (8)1. 编制依据(1)国家现行有关施工及验收规范、规则、质量技术标准,以及武汉市在安全文明施工、环境保护、交通组织等方面的规定;(2)国家、建设部和地方政府关于安全、环境保护、水土保持、劳动保护、医疗卫生保障的法律、法规、条例;(3)根据我单位在地铁施工经验、科技成果、工法成果和现有人员构成、设备配备等实际情况。
2. 雨季施工原则2.1雨量等级表根据国家防汛办《防汛手册》规定,凡24小时的累计降雨量超过50mm定位暴雨。
按12小时降雨强度和24小时降雨强度划分大小降雨量等级见表1:****2015年雨季施工阶段主要完成土方卸载、鱼塘挤淤回填、双轴搅拌桩施工、SMW工法桩施工、基坑开挖、主体结构施工等。
为确保工程质量,搞好安全生产,保证各项计划指标任务的完成,项目部、工程队必须从思想上、组织上、措施上、物资上尽早做好充分准备,做到思想落实、组织落实、措施落实、物资落实、汛期施工做到有备无患,雨季施工总的原则是“做好排水、挡水、防水工作”,总的要求是,小雨不间断施工,大雨期间暂停施工,大雨过后即可施工,暴雨过后不影响施工。
降雨量等级的划分,分歧部分有分歧的尺度。
之马矢奏春创作
气象部分:降雨量是指在一定时间内降落到地面的水层深度,单位用毫米暗示。
单位时间内降雨量称降雨强度。
降雨强度用降雨等级来进行划分,具体如下:
降雨等级表
防汛部分:降雨量是在一定时间内降落在地面上的某一点或某一单位面积上的水层深度,以毫米计算。
根据国家防办《防汛手册》规定,凡24小时的累计降雨量超出50毫米者定为暴雨。
按12小时降雨强度和24小时降雨强度划分大小降雨量等级,见下表:
雨量等级表
水文部分:通常说的小雨、中雨、大雨、暴雨等,一般以日降雨量衡量。
其中小雨指日降雨量在10毫米以下;中雨日降雨量为10~24.9毫米;大雨降雨量为25~49.9毫米;暴雨降雨量为50~99.9毫米;大暴雨降雨量为100~199.9毫米;特大暴雨降雨量在200毫米以上。
另外,人们也可以从降水情况来判定雨的等级:下小雨时,一般雨点清晰可辩,没有飘浮现象;落到地面、石板或屋瓦上不四溅;地面泥水浅洼形成很慢;至少两分钟以上才会润湿石板、屋瓦;屋檐下只有滴水。
降中雨中,雨水如线,雨滴不容易分辨;落在硬地、屋瓦上雨水四溅;水洼泥潭形成很快;屋顶有沙沙声。
下大雨时,雨如倾盆,模糊成片;落在屋瓦、水泥地或石板上可四处飞溅,水潭形成很快;屋顶雨水有喧闹声。
降雨量等级的划分,分歧部分有分歧的尺度。
之宇文皓月创作
气象部分:降雨量是指在一定时间内降落到地面的水层深度,单位用毫米暗示。
单位时间内降雨量称降雨强度。
降雨强度用降雨等级来进行划分,具体如下:
降雨等级表
防汛部分:降雨量是在一定时间内降落在地面上的某一点或某一单位面积上的水层深度,以毫米计算。
根据国家防办《防汛手册》规定,凡24小时的累计降雨量超出50毫米者定为暴雨。
按12小时降雨强度和24小时降雨强度划分大小降雨量等级,见下表:
雨量等级表
水文部分:通常说的小雨、中雨、大雨、暴雨等,一般以日降雨量衡量。
其中小雨指日降雨量在10毫米以下;中雨日降雨量为10~24.9毫米;大雨降雨量为25~49.9毫米;暴雨降雨量为50~99.9毫米;大暴雨降雨量为100~199.9毫米;特大暴雨降雨量在200毫米以上。
另外,人们也可以从降水情况来判定雨的等级:下小雨时,一般雨点清晰可辩,没有飘浮现象;落到地面、石板或屋瓦上不四溅;地面泥水浅洼形成很慢;至少两分钟以上才会润湿石板、屋瓦;屋檐下只有滴水。
降中雨中,雨水如线,雨滴不容易分辨;落在硬地、屋瓦上雨水四溅;水洼泥潭形成很快;屋顶有沙沙声。
下大雨时,雨如倾盆,模糊成片;落在屋瓦、水泥地或石板上可四处飞溅,水潭形成很快;屋顶雨水有喧闹声。
降雨量等级的划分,分歧部分有分歧的尺度。
之吉白夕凡创作
气象部分:降雨量是指在一定时间内降落到地面的水层深度,单位用毫米暗示。
单位时间内降雨量称降雨强度。
降雨强度用降雨等级来进行划分,具体如下:
降雨等级表
防汛部分:降雨量是在一定时间内降落在地面上的某一点或某一单位面积上的水层深度,以毫米计算。
根据国家防办《防汛手册》规定,凡24小时的累计降雨量超出50毫米者定为暴雨。
按12小时降雨强度和24小时降雨强度划分大小降雨量等级,见下表:
雨量等级表
水文部分:通常说的小雨、中雨、大雨、暴雨等,一般以日降雨量衡量。
其中小雨指日降雨量在10毫米以下;中雨日降雨量为10~24.9毫米;大雨降雨量为25~49.9毫米;暴雨降雨量为50~99.9毫米;大暴雨降雨量为100~199.9毫米;特大暴雨降雨量在200毫米以上。
另外,人们也可以从降水情况来判定雨的等级:下小雨时,一般雨点清晰可辩,没有飘浮现象;落到地面、石板或屋瓦上不四溅;地面泥水浅洼形成很慢;至少两分钟以上才会润湿石板、屋瓦;屋檐下只有滴水。
降中雨中,雨水如线,雨滴不容易分辨;落在硬地、屋瓦上雨水四溅;水洼泥潭形成很快;屋顶有沙沙声。
下大雨时,雨如倾盆,模糊成片;落在屋瓦、水泥地或石板上可四处飞溅,水潭形成很快;屋顶雨水有喧闹声。
降雨量等级划分
降雨量等级的划分,不同部门有不同的标准。
气象部门:降雨量是指在一定时间内降落到地面的水层深度,单位用毫米表示。
单位时间内降雨量称降雨强度。
降雨强度用降雨等级来进行划分,具体如下:
水文部门:通常说的小雨、中雨、大雨、暴雨等,一般以日降雨量衡量。
其中小雨指日降雨量在10毫米以下;中雨日降雨量为10〜毫米;大雨降雨量为25〜毫米;暴雨降雨量为毫米;大暴雨降雨量为100〜毫米;特大暴雨降雨量在200毫米以上。
另外,人们也可以从降水情况来判定雨的等级:下小雨时,一般雨点清晰可辩,没有飘浮现象;落到地面、石板或屋瓦上不四溅;地面泥水浅洼形成很慢;至少两分钟以上才会润湿石板、屋瓦;屋檐下只有滴水。
降中雨中,雨水如线,雨滴不易分辨;落在硬地、屋瓦上雨水四溅;水洼泥潭形成很快;屋顶有沙沙声。
下大雨时,雨如倾盆,模糊成片;落在屋瓦、水泥地或石板上可四处飞溅,水潭形成很快;屋顶雨水有喧闹声。
诏安县东溪流域西潭水利中心站。
中国雨季监测指标西南雨季中国西南地区位于青藏高原向东延伸的部位,纬度低,地形复杂,受季风气候的影响,干湿季节分明。
一般而言,11月至次年1月是西南地区的干季,降水稀少;而5-10月是西南地区的湿季,受西南夏季风的影响,降水集中,大部分地区该时段的降水占年总降水量的80%左右。
初夏5月是西南大部分地区水稻、玉米等农作物栽种的关键时期,雨季开始早晚直接关系到农业生产。
因此,提高西南地区雨季开始、雨季结束、雨季长度、雨季降水量、雨季降水强度的预测和监测能力,对于农作物栽种安排和政府决策等均有十分重要的实际意义。
为建立国家级和省级相对统一的指标体系,特制定本标准。
1范围本标准规定了西南雨季的监测指标及其判别方法和计算方法。
本标准适用于西南地区雨季的预测、监测、评价和服务。
2术语和定义下列术语和定义适用于本文件。
2.1西南地区SouthwestChina包括四川省、云南省、贵州省、西藏自治区、重庆市3省1自治区1直辖市。
2.2西南雨季rainyseasoninSouthwestChina西南地区5-10月的一段降水集中时期。
2.3降水量precipitation某一时段内,从天空降落到地面上的液态(降雨)或固态(降雪)(经融化后)降水,未经蒸发、渗透、流失而在水平面上积聚的深度。
注:单位为毫米(mm)。
2.4日降水量dailyaccumulatedprecipitation前一日20时到当日20时的累积降水量。
2.5候降水量pentadaccumulatedprecipitation连续5天的累积降水量。
2.65天滑动累积5-day moving accumulation连续要素序列依次以当天及前生天共5个数据为一组求和。
2.7气候平均值climate normal气象要素30年或以上的平均值。
注:根据世界气象组织的有关规定,本标准取最近三个年代的平均值作为气候平均值。
3监测指标3.1监测站点选取西南地区5-10月降水量超过全年降水量80%的站点作为西南雨季监测站点。