数学物理方法_汪德新第三版答案
- 格式:pdf
- 大小:17.88 MB
- 文档页数:143
数学物理方程第三版答案第一章. 波动方程§1 方程的导出。
定解条件1.细杆(或弹簧)受某种外界原因而产生纵向振动,以u(x,t)表示静止时在x 点处的点在时刻t 离开原来位置的偏移,假设振动过程发生的张力服从虎克定律,试证明),(t x u 满足方程()⎪⎭⎫ ⎝⎛∂∂∂∂=⎪⎭⎫ ⎝⎛∂∂∂∂x u E x t u x t ρ 其中ρ为杆的密度,E 为杨氏模量。
证:在杆上任取一段,其中两端于静止时的坐标分别为 x 与+x x ∆。
现在计算这段杆在时刻t 的相对伸长。
在时刻t 这段杆两端的坐标分别为:),();,(t x x u x x t x u x ∆++∆++其相对伸长等于 ),()],([)],([t x x u xxt x u x t x x u x x x ∆+=∆∆-+-∆++∆+θ令0→∆x ,取极限得在点x 的相对伸长为x u ),(t x 。
由虎克定律,张力),(t x T 等于),()(),(t x u x E t x T x =其中)(x E 是在点x 的杨氏模量。
设杆的横截面面积为),(x S 则作用在杆段),(x x x ∆+两端的力分别为x u x S x E )()(x u x x S x x E t x )()();,(∆+∆+).,(t x x ∆+于是得运动方程tt u x x s x ⋅∆⋅)()(ρx ESu t x =),(x x x x x ESu x x |)(|)(-∆+∆+利用微分中值定理,消去x ∆,再令0→∆x 得tt u x s x )()(ρx∂∂=x ESu () 若=)(x s 常量,则得22)(tu x ∂∂ρ=))((x u x E x ∂∂∂∂即得所证。
2.在杆纵向振动时,假设(1)端点固定,(2)端点自由,(3)端点固定在弹性支承上,试分别导出这三种情况下所对应的边界条件。
解:(1)杆的两端被固定在l x x ==,0两点则相应的边界条件为 .0),(,0),0(==t l u t u(2)若l x =为自由端,则杆在l x =的张力x ux E t l T ∂∂=)(),(|lx =等于零,因此相应的边界条件为x u∂∂|lx ==0 同理,若0=x 为自由端,则相应的边界条件为xu∂∂∣00==x (3)若l x =端固定在弹性支承上,而弹性支承固定于某点,且该点离开原来位置的偏移由函数)(t v 给出,则在l x =端支承的伸长为)(),(t v t l u -。
300份物理类课程习题答案电子版合集(共16页,myth920)理论力学第六版 (哈尔滨工业大学理论力学教研室著) 高等教育出版社课后答案/bbs/viewthread.php?tid=932&fromuid=9理论力学第六版 (哈尔滨工业大学理论力学教研室编著) 高等教育出版社【khdaw】/bbs/viewthread.php?tid=461&fromuid=9《热力学统计物理》汪志诚(第三版)高教出版社 (手抄版)习题答案【khdaw】/bbs/viewthread.php?tid=84&fromuid=9原子物理学褚圣麟版课后答案【khdaw】/bbs/viewthread.php?tid=368&fromuid=9《物理学教程》 (马文蔚著) 高等教育出版社【khdaw】/bbs/viewthread.php?tid=2782&fromuid=9大学物理实验报告与部分范例陈金太厦门大学【khdaw】/bbs/viewthread.php?tid=2350&fromuid=9数学物理方法第三版 (梁昆淼著) 高等教育出版社课后答案【khdaw_lxywyl】/bbs/viewthread.php?tid=2600&fromuid=9《理论力学教程》周衍柏高等教育出版社完整版课后答案【khdawlxywyl】/bbs/viewthread.php?tid=676&fromuid=9固体物理 (黄昆版) 课后习题答案【khdaw】/bbs/viewthread.php?tid=339&fromuid=9《光学》姚启钧第三版高等教育出版社课后答案【khdaw】/bbs/viewthread.php?tid=178&fromuid=9《固体物理教程》王矜奉山东大学出版社课后答案【khdaw】/bbs/viewthread.php?tid=1645&fromuid=9热力学统计物理汪志诚第三版高等教育出版课后答案【khdaw】/bbs/viewthread.php?tid=289&fromuid=9《量子力学教程》周习勋课后习题答案【khdaw】/bbs/viewthread.php?tid=388&fromuid=9《原子物理学》杨福家版部分答案高等教育出版社【khdaw】/bbs/viewthread.php?tid=1065&fromuid=9热力学·统计物理汪志诚高等教育出版社课后答案【khdaw】/bbs/viewthread.php?tid=566&fromuid=9赵凯华-新概念物理教程《电磁学》【khdaw】/bbs/viewthread.php?tid=1890&fromuid=9《激光原理及应用》陈家璧电子工业出版社思考练习题答案【khdaw】/bbs/viewthread.php?tid=165&fromuid=9<<电动力学>> 郭硕鸿第二版习题答案【khdaw】/bbs/viewthread.php?tid=179&fromuid=9数学物理方法梁昆淼高等教育出版社【khdaw】/bbs/viewthread.php?tid=670&fromuid=9热力学统计物理原子物理电动力学高等教育出版社课后答案【khdaw】/bbs/viewthread.php?tid=1176&fromuid=9固体物理学(黄昆) 高等教育出版社部分习题解答【khdaw】/bbs/viewthread.php?tid=669&fromuid=9《大学基础物理学》张三慧(第二版)清华大学出版社课后答案【khdaw_lxywyl】/bbs/viewthread.php?tid=7372&fromuid=9哈工大理论力学第六版高教版课后答案【khdaw_cola】/bbs/viewthread.php?tid=5562&fromuid=9《传热学》第四版 (杨世铭陶文铨编著著) 高等教育出版社课后答案【khdaw_lxywyl】/bbs/viewthread.php?tid=9529&fromuid=9工程光学第二版 1-7章 (郁道银著) 机械工业出版社课后答案【khdaw_lxywyl】/bbs/viewthread.php?tid=5205&fromuid=9《物理学教程》马文蔚,周雨青第二版(高教) <下册>课后答案(PFD格式)【khdaw】/bbs/viewthread.php?tid=4383&fromuid=9力学第二版漆安慎高等教育出版社课后习题答案【khdaw】/bbs/viewthread.php?tid=2241&fromuid=9《电磁学》第二版梁灿彬高等教育出版社课后答案【khdaw_lxywyl】/bbs/viewthread.php?tid=4766&fromuid=9量子力学导论(第二版)曾谨言北京大学出版社课后答案【khdaw】/bbs/viewthread.php?tid=2225&fromuid=9《热学》(李椿章立源钱尚武) 高等教育出版课后答案【khdaw_lxywyl】/bbs/viewthread.php?tid=2440&fromuid=9《量子力学》曾谨言高等教育出版社课后答案【khdaw_lxywyl】/bbs/viewthread.php?tid=1156&fromuid=9热力学统计物理(第四版)汪志诚课后参考答案【khdaw】/bbs/viewthread.php?tid=9179&fromuid=9工程光学郁道银机械工业出版社课后答案【khdaw】/bbs/viewthread.php?tid=2917&fromuid=9《热工基础》第二版(张学学)课后答案普通高等教育出版社【khdaw】/bbs/viewthread.php?tid=2993&fromuid=9《量子力学教程》周世勋高等教育出版社课后答案【khdaw_lxywyl】/bbs/viewthread.php?tid=1155&fromuid=9大学物理学第五版全册 (马文蔚著) 高等教育出版社课后答案【khdaw】/bbs/viewthread.php?tid=11437&fromuid=9电磁学 (赵凯华著) 高教版课后答案/bbs/viewthread.php?tid=2366&fromuid=9《固体物理学》黄昆韩汝琦高等教育出版社答案较全【khdaw_cola】/bbs/viewthread.php?tid=7796&fromuid=9大学物理学马文蔚第五版课后答案【khdaw】/bbs/viewthread.php?tid=6637&fromuid=9热学 (秦允豪著) 复旦大学出版社课后答案/bbs/viewthread.php?tid=3288&fromuid=9电动力学郭硕鸿第三版高等教育出版社课后答案【khdaw】/bbs/viewthread.php?tid=5985&fromuid=9工程热力学(第三版) (沈维道著) 上海交通大学课后答案/bbs/viewthread.php?tid=3313&fromuid=9电磁学 (赵凯华著) 高等教育出版社课后答案【khdaw_lxywyl】/bbs/viewthread.php?tid=4004&fromuid=9高分子物理(何曼君版)复旦大学出版社课后习题答案【khdaw】/bbs/viewthread.php?tid=3312&fromuid=9量子力学教程 (周世勋著) 高等教育出版社课后答案【khdaw_lxywyl】/bbs/viewthread.php?tid=3290&fromuid=9工程热力学沈维道童钧耕(第四版)高等教育出版社课后答案【khdaw】/bbs/viewthread.php?tid=4782&fromuid=9光学教程(第四版)姚启钧(华东师大)课后答案【khdaw】/bbs/viewthread.php?tid=6698&fromuid=9<理论力学> 第六版课后答案【khdaw】/bbs/viewthread.php?tid=5542&fromuid=9激光原理周炳鲲国防工业出版部分答案【khdaw】/bbs/viewthread.php?tid=803&fromuid=9数学物理方法第二版 (梁昆淼著) 高等教育出版社课后答案【khdaw_lxywyl】/bbs/viewthread.php?tid=6232&fromuid=9力学(1~3章)(漆安慎)课后答案【khdaw】/bbs/viewthread.php?tid=1067&fromuid=9工程光学郁道银课后答案【khdaw】/bbs/viewthread.php?tid=3881&fromuid=9半导体物理刘恩科朱秉升(第七版)电子工业出版社【khdaw】/bbs/viewthread.php?tid=4435&fromuid=9《流体力学泵与风机》(白扩社)课后习题答案【khdaw】/bbs/viewthread.php?tid=2951&fromuid=9电磁学(梁灿彬) 第二版高等教育出版社思考题答案【khdaw】/bbs/viewthread.php?tid=3885&fromuid=9电磁学 (赵凯华著) 高教版课后答案/bbs/viewthread.php?tid=2365&fromuid=9原子物理学第四版 (杨福家著) 高等教育出版社(含部分例题讲解)课后答案【khdaw_lxywyl】/bbs/viewthread.php?tid=11699&fromuid=9激光物理(第二版)答案下载数字电子技术基础简明教程(第三版)(余孟尝著) 高等教育出版社课后答案【khdaw_lxywyl】/bbs/viewthread.php?tid=11372&fromuid=9电磁学 (赵凯华著) 高教版课后答案/bbs/viewthread.php?tid=2364&fromuid=9《数学物理方程》王明新清华大学出版社课后答案【khdaw_lxywyl】/bbs/viewthread.php?tid=3642&fromuid=9物理光学梁铨廷电子科学出版社课后答案【khdaw】/bbs/viewthread.php?tid=5602&fromuid=9工程热力学答案(第三版)/bbs/viewthread.php?tid=4683&fromuid=9理论力学(哈工大第六版)课件/bbs/viewthread.php?tid=8325&fromuid=9光学赵凯华高等教育出版课后答案【khdaw】/bbs/viewthread.php?tid=3318&fromuid=9《光学》(赵凯华)版高等教育出版社课后答案【khdaw】/bbs/viewthread.php?tid=7170&fromuid=9《理论力学》周衍柏高等教育出版社课后答案【khdaw_lxywyl】/bbs/viewthread.php?tid=5478&fromuid=9数学物理方法第四章留数答案/bbs/viewthread.php?tid=1237&fromuid=9物理光学与应用光学(石顺祥张海兴刘劲松著) 西安电子科技大学课后答案【khdaw_cola】pdf/bbs/viewthread.php?tid=6714&fromuid=9光学教程姚启钧第四版高等教育出版社课后答案【khdaw】/bbs/viewthread.php?tid=6171&fromuid=9《原子物理学》杨福家高等教育出版社完整版课后答案【khdaw_lxywyl】/bbs/viewthread.php?tid=7034&fromuid=9力学(4~5章)(漆安慎)课后答案【khdaw】力学(9~11章) 漆安慎课后答案【khdaw】/bbs/viewthread.php?tid=1158&fromuid=9热学(第二版) (李椿章立源钱尚武) 高等教育出版社课后答案【khdaw】/bbs/viewthread.php?tid=7496&fromuid=9理论力学教程周衍柏高等教育出版社【khdaw】/bbs/viewthread.php?tid=3950&fromuid=9热力学统计物理学课后答案【khdaw】/bbs/viewthread.php?tid=5403&fromuid=9工程光学郁道银机械工业出版社课后答案【khdaw_cola】/bbs/viewthread.php?tid=6863&fromuid=9光学周炳琨第三章课后答案【khdaw】/bbs/viewthread.php?tid=1639&fromuid=9量子力学教程 (周世勋著) 高等教育出版社课后答案【khdaw_lxywyl】/bbs/viewthread.php?tid=5990&fromuid=9电磁场与电磁波谢处方第三版高等教育出版社课后答案〖khdaw〗/bbs/viewthread.php?tid=7458&fromuid=9力学漆安慎版课后答案【khdaw】/bbs/viewthread.php?tid=3229&fromuid=9流体力学第二版 (刘鹤年著) 中国建筑工业出版社课后答案【khdaw】/bbs/viewthread.php?tid=14428&fromuid=9半导体物理刘恩科第四版课后答案【khdaw_cola】/bbs/viewthread.php?tid=7761&fromuid=9物理学《第五版》电子教案/bbs/viewthread.php?tid=6855&fromuid=9激光原理周炳琨版第五版(第一二四章答案)国防工业出版社【khdaw】/bbs/viewthread.php?tid=2522&fromuid=9大学物理基础下册 (吴百诗著) 科学出版社课后答案【khdaw原创】/bbs/viewthread.php?tid=13624&fromuid=9普通物理学教程力学漆安慎、杜婵英主编高等教育出版社【khdaw】/bbs/viewthread.php?tid=2237&fromuid=9原子物理学(褚圣麟)课后习题答案高等教育出版社【khdaw】/bbs/viewthread.php?tid=8922&fromuid=9理论力学周衍柏第二版高等教育出版社课后答案【khdaw】/bbs/viewthread.php?tid=6572&fromuid=9钱伯初版量子力学教学课件/bbs/viewthread.php?tid=5214&fromuid=9物理公式大全【khdaw】/bbs/viewthread.php?tid=8759&fromuid=9《工程光学》郁道银机械工业出版社第一版部分答案【khdaw】/bbs/viewthread.php?tid=4885&fromuid=9光学教程课后习题答案【khdaw】/bbs/viewthread.php?tid=5734&fromuid=9《力学》漆安慎杜婵英高等教育出版社课后答案【khdaw】/bbs/viewthread.php?tid=2236&fromuid=9微波技术基础 (廖承恩著) 西安电子科技大学出版社课后答案/bbs/viewthread.php?tid=8522&fromuid=9《理论力学教程》周衍柏第二版高等教育出版社课后思考题答案【khdaw】/bbs/viewthread.php?tid=9324&fromuid=9《原子物理学》杨福家高等教育出版社完整版课后答案【khdaw】/bbs/viewthread.php?tid=8412&fromuid=9《激光原理》周炳琨国防工业出版社第五版部分答案(第一二章)【khdaw_lxywyl】/bbs/viewthread.php?tid=2427&fromuid=9哈工大理论力学第十五章答案的补充/bbs/viewthread.php?tid=5738&fromuid=9力学(6~8章) 漆安慎版课后答案【khdaw】/bbs/viewthread.php?tid=1150&fromuid=9《大学物理学》课后答案【khdaw_lxywyl】/bbs/viewthread.php?tid=9862&fromuid=9原子物理学教材答案(褚圣麟版)/bbs/viewthread.php?tid=6035&fromuid=9工程光学课后答案/bbs/viewthread.php?tid=10777&fromuid=9材料力学第四版 (刘鸿文著) 课后答案【khdaw_lxywyl】/bbs/viewthread.php?tid=17660&fromuid=9物理学教程 (马文蔚著) 高等教育出版社课后答案/bbs/viewthread.php?tid=4391&fromuid=9《热学》高教(李椿)版课后答案/bbs/viewthread.php?tid=6494&fromuid=9大学物理II(上海理工大学版)课后答案【khdaw】/bbs/viewthread.php?tid=5629&fromuid=9大学体验英语上机听力答案高等教育出版社课后答案【khdaw_lxywyl】/bbs/viewthread.php?tid=13085&fromuid=9量子力学预习曾谨言北大出版社课后答案【khdaw】/bbs/viewthread.php?tid=3205&fromuid=9数学物理方程与特殊函数 THU (王元明著) 东南大学数学系课后答案【khdaw】/bbs/viewthread.php?tid=14496&fromuid=9工程热力学第四版 (严家騄著) 高等教育出版社课后答案【khdaw】/bbs/viewthread.php?tid=13290&fromuid=9固体物理黄昆课后答案【khdaw_cola】/bbs/viewthread.php?tid=7858&fromuid=9电子技术基础数字高教(康华光)版部分课后答案/bbs/viewthread.php?tid=5987&fromuid=9《激光原理》周炳琨国防工业出版社【khdaw_cola】/bbs/viewthread.php?tid=8024&fromuid=9光学教程姚启钧原著第三版高等教育出版社课后答案【khdaw】/bbs/viewthread.php?tid=5888&fromuid=9《液压与气压传动学习及实验指导》机械工业出版社课后答案_【khdaw_lxywyl】/bbs/viewthread.php?tid=9586&fromuid=9电路第四版(上下册) (邱关源著) 高等教育出版社同步辅导及习题全解课后答案【khdaw_lxywyl】/bbs/viewthread.php?tid=13023&fromuid=9数学物理方法第二版 (胡嗣柱倪光炯著) 高教版课后答案【khdaw_cola】/bbs/viewthread.php?tid=8055&fromuid=9普通光学姚启钧高等教育出版社课后答案【khdaw】/bbs/viewthread.php?tid=2298&fromuid=9普通物理学教程力学高等教育出版社漆安慎、杜婵英主编【khdaw_cola】/bbs/viewthread.php?tid=7598&fromuid=9量子力学教程 (周世勋著) 量子力学教程课后答案【khdaw_lxywyl】/bbs/viewthread.php?tid=13019&fromuid=9《大学物理学》毛骏健顾杜高等教育出版社课后答案【khdaw_lxywyl】/bbs/viewthread.php?tid=9606&fromuid=9工程光学英文版 (郁道银著) 机械工业出版社课后答案【khdaw_ricardo】/bbs/viewthread.php?tid=10555&fromuid=9材料力学 1和2 第四版 (孙训方著) 高等教育出版社课后答案【khdaw_lxywyl】/bbs/viewthread.php?tid=17761&fromuid=9电工与电子技术基础第一章 (宛尚尊著) 中国水利水电出版社课后答案【khdaw_lxywyl】/bbs/viewthread.php?tid=12448&fromuid=9理论力学基本教程卢圣治编北京师范大学出版社课后答案【khdaw】/bbs/viewthread.php?tid=6867&fromuid=9应用光学 (张以谟著) 机械工业出版社课后答案【khdaw_ricardo】/bbs/viewthread.php?tid=10552&fromuid=9《测量学》课后答案_【khdaw_lxywyl】/bbs/viewthread.php?tid=9550&fromuid=9固体物理方一陆课后答案【khdaw】/bbs/viewthread.php?tid=6575&fromuid=9方俊鑫版固体物理课后答案【khdaw_cola】/bbs/viewthread.php?tid=8054&fromuid=9普通物理学第五版1至4册全部答案 (程守洙著) 高等教育出版社课后答案/bbs/viewthread.php?tid=15886&fromuid=9光学教程第三版姚启军课后答案【khdaw】/bbs/viewthread.php?tid=6600&fromuid=9物理光学与应用光学第二版公式大全整理【khdaw】/bbs/viewthread.php?tid=15449&fromuid=9钢结构设计原理西南交大课后答案_【khdaw_lxywyl】/bbs/viewthread.php?tid=9596&fromuid=9《理论力学》第3版 1到5章 (郝桐生著) 高等教育出版社课后答案【khdaw】/bbs/viewthread.php?tid=15575&fromuid=9数学物理方法第三版 (汪德新著) 科学出版社课后答案【khdaw】/bbs/viewthread.php?tid=15433&fromuid=9大学物理学第二版力学 (张三慧著) 清华大学出版社课后答案【khdaw_lxywyl】/bbs/viewthread.php?tid=19080&fromuid=9电磁学第二版 (赵凯华陈熙谋著) 高等教育出版社课后答案【khdaw】/bbs/viewthread.php?tid=17014&fromuid=9《工程材料与成型技术》课后答案_【khdaw_lxywyl】/bbs/viewthread.php?tid=9584&fromuid=9《量子力学》张永德课后答案_【khdaw_lxywyl】/bbs/viewthread.php?tid=9386&fromuid=9电磁场理论基础 (陈重崔正勤著) 北京理工大学出版社课后答案【khdaw_lxywyl】/bbs/viewthread.php?tid=11094&fromuid=9机械设计第八版 (杨世銘著) 高等教育出版社课后答案【khdaw】/bbs/viewthread.php?tid=14301&fromuid=9激光原理与激光技术俞宽新北京工业大学出版社课后答案【khdaw】/bbs/viewthread.php?tid=9570&fromuid=9数学物理方程第二版 (谷超豪等著) 高教出版社课后答案【khdaw】/bbs/viewthread.php?tid=17212&fromuid=9仪器分析第四版(2-12章) (朱明华胡坪著) 高等教育出版社课后答案【khdaw】/bbs/viewthread.php?tid=18934&fromuid=9理论力学试题精选与答题技巧哈尔滨工业大学出版社课后答案平【khdaw_lxywyl】/bbs/viewthread.php?tid=16379&fromuid=9光学 (于国萍著) 高等教育出版社课后答案【khdaw_lxywyl】/bbs/viewthread.php?tid=13638&fromuid=9《水力学》李炜徐孝平 1-6章课后答案_【khdaw_lxywyl】/bbs/viewthread.php?tid=9585&fromuid=9物理学漆安慎高等教育出版思考题课后答案【khdaw_cola】/bbs/viewthread.php?tid=8348&fromuid=9Halliday Fundametal Physics CH22 (David Halliday 著) Robert Resnick 课后答案/bbs/viewthread.php?tid=14767&fromuid=9理论力学第二版 (金尚年马永利著) 高等教育出版社课后答案【khdaw】/bbs/viewthread.php?tid=17252&fromuid=9大学物理上下册 (上海交通大学物理教研室著) 上海交通大学课后答案【khdaw_lxywyl】/bbs/viewthread.php?tid=16435&fromuid=9大学物理习题集(七、八、九章) (石庆平钟平卫葛永华陈爱明著) 上海大学出版社课后答案【khdaw】/bbs/viewthread.php?tid=17094&fromuid=9量子力学概论第二版 Introduction to quantum mechanics (Griffiths D.J. 著) 机械工业出版社课后答案【khdaw_lxywyl】/bbs/viewthread.php?tid=16176&fromuid=9Siefried Fl ?egge,Practical Quantum Mechanics(1994)/bbs/viewthread.php?tid=8556&fromuid=9工程力学静力学与材料力学(部分) (谢传锋单辉祖合编著) 高等教育出版社课后答案【khdaw】/bbs/viewthread.php?tid=17160&fromuid=9工程光学第二版物理光学部分12、13、15章 (郁道银谈恒英著) 机械工业出版社课后答案【khdaw_lxywyl】/bbs/viewthread.php?tid=16148&fromuid=9传热学第三版 (杨世铭著) 高教出版社课后答案【khdaw_lxywyl】/bbs/viewthread.php?tid=16131&fromuid=9傅里叶光学第二版 (吕乃光著) 机械工业出版社课后答案【khdaw】/bbs/viewthread.php?tid=19015&fromuid=9大学物理第二版 (余虹著) 科学出版社课后答案【khdaw】/bbs/viewthread.php?tid=17312&fromuid=9热学习题答案第二版(1-7章) (李椿著) 高等教育出版社课后答案【khdaw_lxywyl】/bbs/viewthread.php?tid=17738&fromuid=9大学物理活页作业 (刘钟毅著) 高等教育出版社课后答案【khdaw】/bbs/viewthread.php?tid=17674&fromuid=9电路第四版(1-18章) (邱关源著) 西安交通大学出版社习题精解【khdaw】/bbs/viewthread.php?tid=16776&fromuid=9傅立叶光学导论英文版 (顾得门著) 科学出版社课后答案【khdaw_ricardo】/bbs/viewthread.php?tid=10547&fromuid=9流体力学 (罗惕乾著) 机械工业出版社课后答案【khdaw_lxywyl】/bbs/viewthread.php?tid=16267&fromuid=9傅立叶光学导论中文版 (顾得门著) 科学出版社课后答案【khdaw_ricardo】/bbs/viewthread.php?tid=10546&fromuid=9固体物理 (阎守胜著) 北京大学课后答案【khdaw_lxywyl】/bbs/viewthread.php?tid=18027&fromuid=9工程力学材料力学部分 (刘锋禹奇才著) 华南理工大学出版社课后答案【khdaw_lxywyl】/bbs/viewthread.php?tid=19651&fromuid=9工程流体力学 (王英李诚著) 中南大学出版社课后答案【khdaw】/bbs/viewthread.php?tid=17388&fromuid=9光学第四版 (姚启钧著) 高等教育出版社课后答案【khdaw】/bbs/viewthread.php?tid=15728&fromuid=9电动力学解题指导 1998年6月第一版 (王雪君著) 北京师范大学出版社课后答案【khdaw】/bbs/viewthread.php?tid=14076&fromuid=9普通物理下册 (安徽大学版) 安徽大学出版社课后答案【khdaw】/bbs/viewthread.php?tid=15484&fromuid=9数学物理方法(第三版) (汪德新著) 科学出版社课后答案【khdaw】/bbs/viewthread.php?tid=16860&fromuid=9大学物理实验武汉科技学院物理实验课后答案/bbs/viewthread.php?tid=16936&fromuid=9理论力学简明教程第二版 (陈世民著) 高等教育出版社课后答案【khdaw_lxywyl】/bbs/viewthread.php?tid=19088&fromuid=9热力学与统计物理(第三版) (王志诚著) 高等教育出版社课后答案【khdaw】/bbs/viewthread.php?tid=16961&fromuid=9工程热力学 (廉乐明著) 中国建筑工业出版社课后答案【khdaw_lxywyl】/bbs/viewthread.php?tid=19907&fromuid=9《空间飞行器动力学》复习题及答案(版本未知)【khdaw】/bbs/viewthread.php?tid=9547&fromuid=9物理实验课后答案/bbs/viewthread.php?tid=17664&fromuid=9电动力学 (Jackson 著) 课后答案【khdaw_lxywyl】/bbs/viewthread.php?tid=17924&fromuid=9大学物理学第3版 (Douglas C. Giancoli 著) 高等教育出版社课后答案【khdaw_lxywyl】/bbs/viewthread.php?tid=19430&fromuid=9原子物理学 (褚圣麟著) 高等教育出版社课后答案【khdaw】/bbs/viewthread.php?tid=18986&fromuid=9大学物理习题册(光学部分) (杨庆芬著) 中国铁道出版社课后答案【khdaw】/bbs/viewthread.php?tid=17157&fromuid=9物理学第三册物质与波 (施建青林国成徐志君徐东辉著) 浙江科学技术出版社课后答案【khdaw】/bbs/viewthread.php?tid=16926&fromuid=9《物理》第二版北京邮电大学课后答案_【khdaw_lxywyl】/bbs/viewthread.php?tid=9589&fromuid=9大学物理上中下册 (彭长德罗灵芝著) 中国矿业大学课后答案【khdaw_lxywyl】/bbs/viewthread.php?tid=16537&fromuid=9理论力学(I) (哈尔滨工业大学理论力学教研室著) 课后答案【khdaw_lxywyl】/bbs/viewthread.php?tid=19654&fromuid=9工程力学规范化练习 (冯立富刘协会著) 西安交通大学出版社课后答案【khdaw】/bbs/viewthread.php?tid=16708&fromuid=9大学物理习题册磁学部分 (杨庆芬著) 中国铁道出版社课后答案【khdaw】/bbs/viewthread.php?tid=17448&fromuid=9统计热力学第二版 (梁希侠班士良著) 科学出版社课后答案【khdaw_lxywyl】/bbs/viewthread.php?tid=19254&fromuid=9力学习题剖析 (祝风著) 吉林师范大学课后答案【khdaw】/bbs/viewthread.php?tid=17394&fromuid=9数学物理方法第二版 (武仁著) 北京大学出版社课后答案【khdaw】/bbs/viewthread.php?tid=16904&fromuid=9物理学第一版 (余国建著) 中国中医药出版社课后答案【khdaw】/bbs/viewthread.php?tid=17438&fromuid=9电工学第二版第21、23章 (秦曾煌著) 高等教育出版社课后答案【khdaw_lxywyl】/bbs/viewthread.php?tid=16281&fromuid=9热工基础 (秦萍袁艳平毕海权著) 西南交通大学出版社课后答案【khdaw】/bbs/viewthread.php?tid=17285&fromuid=9大学物理学 (陈曙光著) 湖南大学出版社课后答案【khdaw】/bbs/viewthread.php?tid=19032&fromuid=9力学新概念版 (赵凯华罗蔚茵著) 课后答案【khdaw_lxywyl】/bbs/viewthread.php?tid=19203&fromuid=9大学物理下册9-15章(彭志华付茂林著) 华中科技大学出版社课后答案【khdaw_lxywyl】/bbs/viewthread.php?tid=19174&fromuid=9大学物理简明教程 14-20章 (王安安著) 四川科技出版社课后答案【khdaw】/bbs/viewthread.php?tid=16830&fromuid=9大学物理量子物理第二版练习册(张三慧著) 清华大学出版社课后答案【khdaw_lxywyl】/bbs/viewthread.php?tid=19514&fromuid=9固体物理学第二版 (陈长乐著) 科学出版社课后答案【khdaw】/bbs/viewthread.php?tid=20452&fromuid=9化工热力学第二版(2-6章) (朱自强吴有庭著) 化学工业出版社课后答案【khdaw】/bbs/viewthread.php?tid=20241&fromuid=9原子物理学 (禇圣麟著) 高等教育出版社课后答案【khdaw_lxywyl】/bbs/viewthread.php?tid=20759&fromuid=9固体物理导论 (C.基泰尔著) 化学工业出版社课后答案【khdaw_lxywyl】/bbs/viewthread.php?tid=19339&fromuid=9现代光学基础 (钟锡华著) 北京大学出版社课后答案【khdaw_lxywyl】/bbs/viewthread.php?tid=19257&fromuid=9理论力学 (刘又文彭献著) 高等教育出版社课后答案【khdaw】/bbs/viewthread.php?tid=20457&fromuid=9大学物理(新版) (吴百诗著) 科学出版社高清(全)课后答案【khdaw_lxywyl】/bbs/viewthread.php?tid=20993&fromuid=9光学修订版 (蔡履中著) 山东大学出版社课后答案【khdaw_lxywyl】/bbs/viewthread.php?tid=19580&fromuid=9大学物理下册 9-13章 (罗益民余燕著) 北京邮电大学出版社课后答案【khdaw_lxywyl】/bbs/viewthread.php?tid=20958&fromuid=9高中物理必修1 课后习题答案 (薛金星著) 人民教育出版社课后答案【khdaw】/bbs/viewthread.php?tid=20147&fromuid=9物理化学第三版 (程兰征章燕豪著) 上海科学技术出版社课后答案【khdaw_lxywyl】/bbs/viewthread.php?tid=20614&fromuid=9大学物理实验 (葛松华著) 化学工业出版社课后答案【khdaw_lxywyl】/bbs/viewthread.php?tid=20718&fromuid=9物理化学第四版上册 (胡英著) 高等教育出版社课后答案【khdaw_lxywyl】/bbs/viewthread.php?tid=20149&fromuid=9理论力学 (武清玺冯奇著) 高等教育出版社课后答案【khdaw_lxywyl】/bbs/viewthread.php?tid=20086&fromuid=9嵌入式ARM系统原理与实例开发 (杨宗德著) 北京大学出版社课后答案【khdaw】/bbs/viewthread.php?tid=20420&fromuid=9大学物理第五版上、下册 (陈守洙江永之著) 高等教育出版社课后答案【khdaw_lxywyl】/bbs/viewthread.php?tid=20315&fromuid=9大学物理学下册 (韩家骅著) 安徽大学出版社课后答案【khdaw_lxywyl】/bbs/viewthread.php?tid=20050&fromuid=9固体物理学 (黄昆韩汝琦著) 高等教育出版社课后答案【khdaw】/bbs/viewthread.php?tid=21195&fromuid=9岩石力学与地下工程 (蔡美峰何满潮刘东燕著) 科学出版社课后答案【khdaw】/bbs/viewthread.php?tid=20668&fromuid=9分析力学第二版 (刘连寿著) 华中师大出版社课后答案【khdaw】/bbs/viewthread.php?tid=21455&fromuid=9传热学第四版 (章熙民任泽霈著) 中国建筑工业出版社课后答案【khdaw】/bbs/viewthread.php?tid=21442&fromuid=9。
数学物理方法习题解答一、复变函数部分习题解答第一章习题解答1、证明Re z 在z 平面上处处不可导。
证明:令Re z u iv =+。
Re z x =,,0u x v ∴==。
1ux∂=∂,0v y ∂=∂,u v x y ∂∂≠∂∂。
于是u 与v 在z 平面上处处不满足C -R 条件, 所以Re z 在z 平面上处处不可导。
2、试证()2f z z=仅在原点有导数。
证明:令()f z u iv =+。
()22222,0f z z x y u x y v ==+ ∴ =+=。
2,2u u x y x y ∂∂= =∂∂。
v vx y∂∂ ==0 ∂∂。
所以除原点以外,,u v 不满足C -R 条件。
而,,u u v vx y x y∂∂∂∂ , ∂∂∂∂在原点连续,且满足C -R 条件,所以()f z 在原点可微。
()000000x x y y u v v u f i i x x y y ====⎛⎫∂∂∂∂⎛⎫'=+=-= ⎪ ⎪∂∂∂∂⎝⎭⎝⎭。
或:()()()2*000lim lim lim 0z z x y z f z x i y z∆→∆→∆=∆=∆'==∆=∆-∆=∆。
22***0*00limlim lim()0z z z z z z zzz z z z z z zz z=∆→∆→∆→+∆+∆+∆∆==+−−→∆∆∆。
【当0,i z z re θ≠∆=,*2i z e z θ-∆=∆与趋向有关,则上式中**1z zz z∆∆==∆∆】 3、设333322()z 0()z=00x y i x y f z x y ⎧+++≠⎪=+⎨⎪⎩,证明()z f 在原点满足C -R 条件,但不可微。
证明:令()()(),,f z u x y iv x y =+,则()33222222,=00x y x y u x y x y x y ⎧-+≠⎪=+⎨+⎪⎩, 332222220(,)=00x y x y v x y x y x y ⎧++≠⎪=+⎨+⎪⎩。
数学物理方法第三版答案【篇一:数学物理方法试卷答案】xt>一、选择题(每题4分,共20分) 1.柯西问题指的是( b ) a.微分方程和边界条件. b. 微分方程和初始条件. c.微分方程和初始边界条件. d. 以上都不正确. 2.定解问题的适定性指定解问题的解具有( d)a.存在性和唯一性. b. 唯一性和稳定性. c. 存在性和稳定性. d. 存在性、唯一性和稳定性.??2u?0,?3.牛曼内问题 ??u 有解的必要条件是( c)??n?f??a.f?0.b.u??0.c.?fds?0. d.?uds?0.???x(x)??x(x)?0,0?x?l4.用分离变量法求解偏微分方程中,特征值问题??x(0)?x(l)?0的解是( b )n?n??n???n??x ).b.( ?x ). a.( ??,cos?,sinllll????(2n?1)?(2n?1)??(2n?1)???(2n?1)??x ).d.( ?x ). c.( ??,cos?,sin2l2l2l2l????22225.指出下列微分方程哪个是双曲型的( d )a.uxx?4uxy?5uyy?ux?2uy?0. b.uxx?4uxy?4uyy?0.c.x2uxx?2xyuxy?y2uyy?xyux?y2uy?0. d.uxx?3uxy?2uyy?0.二、填空题(每题4分,共20分)??2u?2u?2?2?0, 0?x??, t?0?t?x??1.求定解问题?ux?0?2sint, ux????2sint, t?0的解是(2sintcosx).??ut?0?0, utt?0?2cosx, 0?x????2.对于如下的二阶线性偏微分方程a(x,y)uxx?2b(x,y)uxy?c(x,y)uyy?dux?euy?fu?0其特征方程为( a(x,y)(dy)2?2b(x,y)dxdy?c(x,y)(dx)2?0). 3.二阶常微分方程y(x)?或0).4.二维拉普拉斯方程的基本解为( ln1().r1 ),三维拉普拉斯方程的基本解为r113y(x)?(?2)y(x)?0的任一特解y?( jx44x1(x) 3225.已知j1(x)?222sinx, j1(x)?cosx,利用bessel函数递推公式求??x?x23j3(x)?(221221dsinx(sinx?cosx)??x()()). ?xx?xdxx三、(15分)用分离变量法求解如下定解问题2??2u2?u??t2?a?x2?0, 0?x?l, t?0??u??u?0, ?0, t?0 ??xx?l??xx?0?u?x, utt?0?0, 0?x?l.?t?0?解:第一步:分离变量(4分) 设u(x,t)?x(x)t(t),代入方程可得x(x)t(x)x(x)t(t)?ax(x)t(t)??2x(x)at(x)2此式中,左端是关于x的函数,右端是关于t的函数。
第三章 分离变量法3。
2 基础训练3.2.1 例题分析例1 解下列定解问题:⎪⎪⎪⎩⎪⎪⎪⎨⎧=∂∂-==∂∂=><<∂∂=∂∂====0,20,00,0020022222t t lx x t u lx x u x uu t l x x u a t u (1) 解:分离变量,即令(,)()()u x t X x T t = (2) 代入方程((1)中第一式),得0)()(2=+''t T a t T λ (3)0)()(=+''x X x X λ (4)其中λ为分离常数。
(2)式代入边界条件((1)中第二式),得0)()0(='=l X X (5)相应的本证值问题为求⎩⎨⎧='==+''0)()0(0)()(l X X x X x X λ (6) 的非零解.下面针对λ的取值情况进行讨论: (1)当0λ<时,(6)式中方程的通解是()X x Ae =+ (7)其中A ,B 为积分常数,(7)代入(6)中边界条件,得A B Ae+=⎧⎪⎨-+=⎪⎩ (8)由(8)得A=B=0,得X (x )=0,为平凡解,故不可能有0λ<。
(2) 当0λ=时,(6)式中方程的通解是 ()X x Ax B =+由边界条件得A=B=0,得X (x )=0,为平凡解,故也不可能有0λ=。
(3)当02>=βλ时,上述固有值问题有非零解.此时式(6)的通解为x B x A x X ββsin cos )(+=代入条件(6)中边界条件,得0cos ,0==l B A β由于 0≠B ,故 0cos =l β,即),2,1,0(212 =+=n ln πβ从而得到一系列固有值与固有函数2224)12(ln n πλ+= ),2,1,0(2)12(sin)( =+=n x ln B x X n n π与这些固有值相对应的方程(3)的通解为),2,1,0(2)12(sin 2)12(cos )( =+'++'=n tlan D t l a n C t T n nn ππ于是,所求定解问题的解可表示为x l n t l a n D t l a n C t x u n n n 2)12(sin 2)12(sin 2)12(cos ),(0πππ+⎪⎭⎫ ⎝⎛+++=∑∞=利用初始条件确定其中的任意常数n n D C ,,得0=n D33202)12(322)12(sin )2(2ππ+-=+-=⎰n l xdxln lx x l C l n故所求的解为x l n t l a n n l t x u n 2)12(sin 2)12(cos )12(132),(0332πππ++⨯+-=∑∞=例2 演奏琵琶是把弦的某一点向旁边拨开一小段距离,然后放手任其自由振动。
《数学物理方法》课程考试大纲一、课程说明:本课程是物理学专业的一门重要基础课程,它是继高等数学后的一门数学基础课程。
本课程的教学目的是:(1) 掌握复变函数、数学物理方程、特殊函数的基本概念、基本原理、基本解题计算方法;(2) 掌握把物理问题归结成数学问题的方法,以及对数学结果做出物理解释。
为今后学习电动力学、量子力学和统计物理等理论物理课程打下必要的数学基础。
本课程的重点是解析函数、留数定理、傅里叶变换、数学物理方程、分离变数法、傅里叶级数法、本征值问题等。
本课程的难点是把物理问题归结成数学问题,以及各种数学物理方程的求解。
二、参考教材:必读书:《数学物理方法》,梁昆淼编,高等教育出版社,1998年6月第3版。
参考书:《数学物理方法》,汪德新编,科学出版社,2006年8月第3版;《数学物理方法》,赵蕙芬、陆全康编,高等教育出版社,2003年8月第2版。
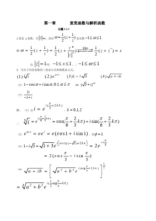
三、考试要点:第一章复变函数(一)考核知识点1、复数及复数的运算2、复变函数及其导数3、解析函数的定义、柯西-黎曼条件(二)考核要求1、掌握复数三种形式的转换。
2、掌握复变函数的导数和解析等基本概念,并掌握判断导数是否存在和函数是否解析的方法。
u 。
3、了解解析函数与调和函数的关系,并能从已知调和函数u或v,求解析函数iv第二章复变函数的积分(一)考核知识点1、复变函数积分的运算2、柯西定理(二)考核要求1、理解单通区域和复通区域的柯西定理,并能用它们来计算复变函数的积分。
2、掌握应用原函数法计算积分。
3、掌握柯西公式计算积分。
第三章幂级数展开(一)考核知识点1、幂级数的收敛半径2、解析函数的泰勒展开3、解析函数的洛朗展开(二)考核要求1、理解幂级数收敛圆的性质。
2、掌握把解析函数展开成泰勒级数的方法。
3、掌握把环域中的解析函数展开成洛朗级数的方法。
4、理解孤立奇点的分类及其类型判断。
第四章留数定理(一)考核知识点1、留数的计算2、留数定理3、利用留数定理计算实变函数定积分(二)考核要求1、掌握留数定理和留数计算方法。
数学物理方法习题解答一、复变函数部分习题解答第一章习题解答1、证明Re z 在z 平面上处处不可导。
证明:令Re z u iv =+。
Re z x =,,0u x v ∴==。
1u x ∂=∂,0v y ∂=∂,u v x y∂∂≠∂∂。
于是u 与v 在z 平面上处处不满足C -R 条件, 所以Re z 在z 平面上处处不可导。
2、试证()2f z z=仅在原点有导数。
证明:令()f z u iv =+。
()22222,0f z z x y u x y v ==+ ∴ =+=。
2,2u u x y x y ∂∂= =∂∂。
v v x y∂∂ ==0 ∂∂。
所以除原点以外,,u v 不满足C -R 条件。
而,,u u v vx y x y∂∂∂∂ , ∂∂∂∂在原点连续,且满足C -R 条件,所以()f z 在原点可微。
()0000x x y y u v v u f i i x x y y ====⎛⎫∂∂∂∂⎛⎫'=+=-= ⎪ ⎪∂∂∂∂⎝⎭⎝⎭。
或:()()()2*000lim lim lim 0z z x y z f z x i y z∆→∆→∆=∆=∆'==∆=∆-∆=∆。
22***0*000lim lim lim()0z z z z z z z zz z z z z z z z z=∆→∆→∆→+∆+∆+∆∆==+−−→∆∆∆。
【当0,i z z re θ≠∆=,*2i ze zθ-∆=∆与趋向有关,则上式中**1z z z z ∆∆==∆∆】3、设333322()z 0()z=00x y i x y f z x y ⎧+++≠⎪=+⎨⎪⎩,证明()z f 在原点满足C -R 条件,但不可微。
证明:令()()(),,f z u x y iv x y =+,则()332222220,=00x y x y u x y x y x y ⎧-+≠⎪=+⎨+⎪⎩,332222220(,)=00x y x y v x y x y x y ⎧++≠⎪=+⎨+⎪⎩。
数学物理方法参考答案数学物理方法参考答案数学物理方法是一门综合性的学科,它将数学和物理相结合,通过数学方法来解决物理问题。
在物理学的研究中,数学方法起到了至关重要的作用。
本文将为读者提供一些数学物理方法的参考答案,帮助读者更好地理解和应用这些方法。
一、微积分微积分是数学物理方法中最基础也是最重要的一部分。
它包括了导数、积分和微分方程等内容。
在物理学中,微积分可以用于描述物体的运动、求解力学问题、计算电磁场等等。
下面是一些常见的微积分问题的参考答案:1. 求解函数的导数:对于一个函数f(x),求它的导数f'(x)。
可以使用导数的定义,即f'(x) =lim(h→0)[f(x+h)-f(x)]/h。
也可以使用求导法则,如常数法则、幂法则、指数函数法则、对数函数法则等。
2. 求解定积分:对于一个函数f(x),求它在区间[a, b]上的定积分∫[a, b]f(x)dx。
可以使用定积分的定义,即将区间[a, b]划分为若干小区间,然后对每个小区间求和,再取极限。
也可以使用定积分的性质,如线性性、区间可加性、换元积分法等。
3. 求解微分方程:对于一个微分方程,求它的通解或特解。
可以使用常微分方程的解法,如变量分离法、齐次方程法、一阶线性微分方程法等。
也可以使用偏微分方程的解法,如分离变量法、特征线法、变换法等。
二、线性代数线性代数在数学物理方法中也扮演着重要的角色。
它包括了矩阵、向量、线性方程组等内容。
在物理学中,线性代数可以用于描述物体的旋转、变换、矢量运算等。
下面是一些常见的线性代数问题的参考答案:1. 求解线性方程组:对于一个线性方程组Ax=b,求它的解x。
可以使用高斯消元法,将线性方程组转化为阶梯形或行最简形,然后逐步求解。
也可以使用矩阵的逆,即x=A^(-1)b。
2. 求解特征值和特征向量:对于一个矩阵A,求它的特征值和特征向量。
可以使用特征方程,即det(A-λI)=0,其中λ为特征值,I为单位矩阵。
数学物理方法习题答案数学物理方法习题答案数学物理方法作为一门重要的学科,是自然科学中的基础学科之一。
它的研究对象是自然界中的现象和规律,通过数学的方法来描述和解释这些现象和规律。
在学习数学物理方法的过程中,习题是不可或缺的一部分。
下面我将为大家提供一些数学物理方法习题的答案,希望能对大家的学习有所帮助。
1. 求解微分方程:dy/dx = x^2 + y^2解:将方程改写为dy/(x^2 + y^2) = dx,然后对两边同时积分得到:arctan(y/x) = x + C其中C为积分常数。
将等式两边同时取正切,得到:y/x = tan(x + C)即为所求的解。
2. 求解偏微分方程:∂u/∂t = a^2(∂^2u/∂x^2 + ∂^2u/∂y^2)解:假设u(x, y, t) = X(x)Y(y)T(t),将其代入方程得到:X(x)Y(y)T'(t) = a^2(X''(x)Y(y) + X(x)Y''(y))整理得到:T'(t)/a^2T(t) = X''(x)/X(x) + Y''(y)/Y(y)由于等式两边只依赖于不同的变量,所以必须等于同一个常数,设为-k^2。
于是得到三个常微分方程:T'(t)/a^2T(t) = -k^2X''(x)/X(x) = -k^2Y''(y)/Y(y) = -k^2解这三个方程,得到:T(t) = C1e^(-a^2k^2t)X(x) = C2sin(kx) + C3cos(kx)Y(y) = C4sin(ky) + C5cos(ky)将三个方程的解合并,得到原方程的通解:u(x, y, t) = Σ[C1e^(-a^2k^2t)][C2sin(kx) + C3cos(kx)][C4sin(ky) + C5cos(ky)]其中Σ表示对k的求和。
数学物理方法第三版答案【篇一:数学物理方法试卷答案】xt>一、选择题(每题4分,共20分) 1.柯西问题指的是( b ) a.微分方程和边界条件. b. 微分方程和初始条件. c.微分方程和初始边界条件. d. 以上都不正确. 2.定解问题的适定性指定解问题的解具有( d)a.存在性和唯一性. b. 唯一性和稳定性. c. 存在性和稳定性. d. 存在性、唯一性和稳定性.??2u?0,?3.牛曼内问题 ??u 有解的必要条件是( c)??n?f??a.f?0.b.u??0.c.?fds?0. d.?uds?0.???x(x)??x(x)?0,0?x?l4.用分离变量法求解偏微分方程中,特征值问题??x(0)?x(l)?0的解是( b )n?n??n???n??x ).b.( ?x ). a.( ??,cos?,sinllll????(2n?1)?(2n?1)??(2n?1)???(2n?1)??x ).d.( ?x ). c.( ??,cos?,sin2l2l2l2l????22225.指出下列微分方程哪个是双曲型的( d )a.uxx?4uxy?5uyy?ux?2uy?0. b.uxx?4uxy?4uyy?0.c.x2uxx?2xyuxy?y2uyy?xyux?y2uy?0. d.uxx?3uxy?2uyy?0.二、填空题(每题4分,共20分)??2u?2u?2?2?0, 0?x??, t?0?t?x??1.求定解问题?ux?0?2sint, ux????2sint, t?0的解是(2sintcosx).??ut?0?0, utt?0?2cosx, 0?x????2.对于如下的二阶线性偏微分方程a(x,y)uxx?2b(x,y)uxy?c(x,y)uyy?dux?euy?fu?0其特征方程为( a(x,y)(dy)2?2b(x,y)dxdy?c(x,y)(dx)2?0). 3.二阶常微分方程y(x)?或0).4.二维拉普拉斯方程的基本解为( ln1().r1 ),三维拉普拉斯方程的基本解为r113y(x)?(?2)y(x)?0的任一特解y?( jx44x1(x) 3225.已知j1(x)?222sinx, j1(x)?cosx,利用bessel函数递推公式求??x?x23j3(x)?(221221dsinx(sinx?cosx)??x()()). ?xx?xdxx三、(15分)用分离变量法求解如下定解问题2??2u2?u??t2?a?x2?0, 0?x?l, t?0??u??u?0, ?0, t?0 ??xx?l??xx?0?u?x, utt?0?0, 0?x?l.?t?0?解:第一步:分离变量(4分) 设u(x,t)?x(x)t(t),代入方程可得x(x)t(x)x(x)t(t)?ax(x)t(t)??2x(x)at(x)2此式中,左端是关于x的函数,右端是关于t的函数。
数学物理方法答案
随着人类社会的发展,许多学科,如数学、物理、化学等,都发挥了关键的作用。
它们在解决日常谜题、支撑科学发现与技术进步方面起到重要作用。
数学和物理在高校与高等教育中尤其重要,因其不仅仅开启人类精神上的境界,也促使现实社会和历史文明持续进步。
其中,数学是系统抽象总结出的普遍规律。
它成为计算机科学、智能AI等先
进技术发展中不可或缺的工具,同时也为经济、社会发展的决策提供决策理论和支持。
许多高校都建立了系统的数学专业,开设了多种有意义的课程,授课方式以提高学生学习能力和培养学生对问题的思考力为主。
物理是一门研究物理现象及其本质联系的科学,它是现代科学研究的基础。
各
类理论和先进的实验方法都与它有关。
在学习物理方法上,高校采用了多种综合教学模式,如互动式新媒体教学、实地考察实验等,以实现对学科的深入理解。
同时,也培养学生批判性思维能力,运用数学与物理的实践方法,从而改善学生的研究水平。
数学与物理是重要的学科,在高校与高等教育中发挥着重要作用,帮助学生从
方法论角度思考问题,提高学生的创新能力,为学生今后的发展打开了一扇宽阔的窗口。
同时,数学与物理的应用也会对社会的长远发展产生重要的影响,从而推动人类的科学研究与技术进步。