质点力学习题
- 格式:ppt
- 大小:665.00 KB
- 文档页数:22
质点力学综合练习2三、计算题1、(0080B30)某弹簧不遵守胡克定律. 设施力F ,相应伸长为x ,力与伸长的关系为 F =52.8x +38.4x 2(SI )求:(1)将弹簧从伸长x 1=0.50 m 拉伸到伸长x 2=1.00 m 时,外力所需做的功.(2)将弹簧横放在水平光滑桌面上,一端固定,另一端系一个质量为2.17 kg 的物体,然后将弹簧拉伸到一定伸长x 2=1.00 m ,再将物体由静止释放,求当弹簧回到x 1=0.50 m 时,物体的速率.(3)此弹簧的弹力是保守力吗?2、(0047C45) 一条长为l ,质量均匀分布的细链条AB ,挂在半径可忽略的光滑钉子C 上,开始时处于静止状态,BC 段长为L )2123(l L l >>,释放后链条将作加速运动.试求:当l BC 32=时,链条的加速度和运动速度的大小.3、(0199C60)一辆质量为m = 4 kg 的雪橇,沿着与水平面夹角θ =36.9°的斜坡向下滑动,所受空气阻力与速度成正比,比例系数k 未知.今测得雪橇运动的v -t 关系如图曲线所示,t = 0时,v 0 = 5 m/s ,且曲线在该点的切线通过坐标为(4 s ,14.8 m/s)的B 点,随着时间t 的增加,v 趋近于10 m/s ,求阻力系数k 及雪橇与斜坡间的滑动摩擦系数μ. ( sin36.9°= 0.6,cos36.9°=0.8)4、(0226C60) 一质量为M 的楔形物体A ,放在倾角为α 的固定光滑斜面上,在此楔形物体的水平表面上又放一质量为m 的物体B ,如图所示.设A 与B 间,A 与斜面间均光滑接触.开始时,A 与B 均处于静止状态,当A 沿斜面下滑时,求A 、B 相对地面的加速度.5、(0299B40) 一质量为2 kg 的质点,在xy 平面上运动,受到外力j t i F 2244-= (SI)的作用,t = 0时,它的初速度为j i430+=v (SI),求t = 1 s 时质点的速度及受到的法向力n F . 6、(0300C70) 一细绳两端分别拴着质量m 1 = 1 kg ,m 2 = 2 kg 的物体A 和B ,这两个物体分别放在两水平桌面上,与桌面间的摩擦系数都是μ =0.1.绳子分别跨过桌边的两个定滑轮吊着一个动滑轮,动滑轮下吊着质量m 3 = 1 kg 的物体C ,如图所示.设整个绳子在同一平面内,吊着动滑轮的两段绳子相互平行.如绳子与滑轮的质量以及滑轮轴上的摩擦可以略去不计,绳子不可伸长,求A 、B 、C 相对地面加速度1a 、2a 、3a 的大小. (取g = 10 m/s 2 )l37、(0360B30) 质量为m 的物体A (体积不计),以速度v 0在光滑平台C 上运动并滑到与平台等高的、静止的、质量为M 的平板车B 上,A 、B 间的摩擦系数为μ .设平板小车可在光滑的平面D 上运动,如图所示.要使A 在B 上不滑出去,则平板小车的长度l 至少为多少? 8、(0450B25)一木块恰好能在倾角θ 的斜面上以匀速下滑,现在使它以初速率v 0沿这一斜面上滑,问它在斜面上停止前,可向上滑动多少距离?当它停止滑动时,是否能再从斜面上向下滑动?9、(0451C60) 质量m =10 kg 、长l =40 cm 的链条,放在光滑的水平桌面上,其一端系一细绳,通过滑轮悬挂着质量为m 1 =10 kg 的物体,如图所示.t = 0时,系统从静止开始运动, 这时l 1 =l 2 =20 cm< l 3.设绳不伸长,轮、绳的质量和轮轴及桌沿的摩擦不计,求当链条刚刚全部滑到桌面上时,物体m 1速度和加速度的大小.10、(0096B35)在光滑水平面上有一弹簧,其一端固定于光滑的轴承O 上,另一端栓一个质量为m = 2 kg 的小球,弹簧的质量很小,原长很短,两者都可以忽略不计.当小球沿半径为r (单位为m)的圆周作匀速率圆周运动时,弹簧作用于质点上的弹性力大小为 3r (单位为N),此时系统的总能量为12 J .求质点的运动速率及圆轨道半径.11、(0168C45)如图所示装置,光滑水平面与半径为R 的竖直光滑半圆环轨道相接,两滑块A 、B 的质量均为m ,弹簧的劲度系数为k ,其一端固定在O 点,另一端与滑块A 接触.开始时滑块B 静止于半圆环轨道的底端.今用外力推滑块A ,使弹簧压缩一段距离x 后再释放.滑块A 脱离弹簧后与B 作完全弹性碰撞,碰后B 将沿半圆环轨道上升.升到C 点与轨道脱离,O 'C 与竖直方向成α =60°角,求弹簧被压缩的距离x . 12、(0218C60)用一根长度为L 的细线悬挂一质量为m 的小球,线所能承受的最大张力为T = 1.5 mg .现在把线拉至水平位置然后由静止放开,若线断后小球的落地点C 恰好在悬点O 的正下方,如图所示.求高度OC 之值. 13、(0340B25)一光滑半球面固定于水平地面上,今使一小物块从球面顶点几乎无初速地滑下,如图所示.求物块脱离球面处的半径与竖直方向的夹角θ .14、(0346B35)在以加速度a 向上运动的电梯内,挂着一根劲度系数为k 的轻弹簧,弹簧下面挂着一质量为M 的物体,物体处于A 点,相对于电梯速度为零,如图所示.当电梯的加速度突然变为零后,电梯内的l 2a A M观测者看到M的最大速度是多少?15、(0489B30) 质量为m 的小球在外力的作用下,由静止开始从A 点出发作匀加速直线运动,到达B 点时撤消外力,小球无摩擦地冲上一半径为R 的竖直半圆环,恰好能到达最高点C ,而后又刚好落到原来的出发点A 处,如图所示.试求小球在AB 段运动的加速度的大小.16、(0490B30)一悬线长l = 1 m ,上端固定在O 点,下端挂一小球,如图所示.当小球在最低位置A 时,给以水平方向的初速度0v ,当悬线与OA 成 120°角时小球脱离圆周,求0v 的大小.如果要小球不脱离圆周,则v 0至少为多大?17、(0492B30) 弹簧原长等于光滑圆环半径R .当弹簧下端悬挂质量为m 的小环状重物时,弹簧的伸长也为R .现将弹簧一端系于竖直放置的圆环上顶点A ,将重物套在圆环的B 点,AB 长为 1.6R ,如图所示.放手后重物由静止沿圆环滑动.求当重物滑到最低点C 时,重物的加速度和对圆环压力的大小. 18、(0174B40)质量为M 的人,手执一质量为m 的物体,以与地平线成α 角的速度v 0向前跳去.当他达到最高点时,将物体以相对于人的速度u 向后平抛出去.试问:由于抛出该物体,此人跳的水平距离增加了多少?(略去空气阻力不计)19、(0186C45) 如图所示,一辆质量为M 的平顶小车在光滑水平轨道上作直线运动,速度为v 0.这时在车顶的前部边缘A处轻轻放上一质量为m 的小物体,物体相对地面的速度为零.设物体与车顶之间的摩擦系数为μ,为使物体不致于从顶上滑出去,问车顶的长度L 最短应为多少?20、(0369B30)三艘质量相等的小船鱼贯而行,速度均为v .现在从中间那艘船上同时以相对于船的速度u 把两个质量均为m 的物体分别抛到前后两艘船上,速度u 的方向与速度v 在同一直线上.问抛掷物体后,这三艘船的速度各如何? 21、(0397C60)如图,一浮吊质量M =20 T ,由岸上吊起m = 2 T 的重物后,再将吊杆AO 与铅直方向的夹角θ 由60°转到30°,设杆长l = OA = 8 m ,水的阻力与杆重忽略不计,求浮吊在水平方向上移动距离,并指明朝哪方面移动. 22、(0452B30)如图,水平地面上一辆静止的炮车发射炮弹.炮车质量为M ,炮身仰角为α ,炮弹质量为m ,炮弹刚出口时,相对于炮身的速度为u ,不计地面摩擦:(1) 求炮弹刚出口时,炮车的反冲速度大小;(2) 若炮筒长为l ,求发炮过程中炮车移动的距离. 23、(0167C55)A如图,光滑斜面与水平面的夹角为α = 30°,轻质弹簧上端固定.今在弹簧的另一端轻轻地挂上质量为M = 1.0 kg 的木块,则木块沿斜面向下滑动.当木块向下滑x = 30 cm 时,恰好有一质量m = 0.01 kg 的子弹,沿水平方向以速度v = 200 m/s 射中木块并陷在其中.设弹簧的劲度系数为k = 25 N/m .求子弹打入木块后它们的共同速度.24、(0170B35) 有一门质量为M (含炮弹)的大炮,在一斜面上无摩擦地由静止开始下滑.当滑下l 距离时,从炮内沿水平方向射出一发质量为m 的炮弹.欲使炮车在发射炮弹后的瞬时停止滑动,炮弹的初速v (对地)应是多少?(设斜面倾角为α ).25、(0171B40)水平小车的B 端固定一轻弹簧,弹簧为自然长度时,靠在弹簧上的滑块距小车A 端为L = 1.1 m .已知小车质量M =10 kg ,滑块质量m =1 kg ,弹簧的劲度系数k = 110 N/m .现推动滑块将弹簧压缩∆l =0.05 m 并维持滑块与小车静止,然后同时释放滑块与小车.忽略一切摩擦.求: (1) 滑块与弹簧刚刚分离时,小车及滑块相对地的速度各为多少? (2) 滑块与弹簧分离后,又经多少时间滑块从小车上掉下来? 26、(0180B25)如图所示,质量为m A 的小球A 沿光滑的弧形轨道滑下,与放在轨道端点P 处(该处轨道的切线为水平的)的静止小球B 发生弹性正碰撞,小球B 的质量为m B ,A 、B 两小球碰撞后同时落在水平地面上.如果A 、B 两球的落地点距P 点正下方O 点的距离之比L A / L B =2/5,求:两小球的质量比m A /m B .27、(0183C65)两个质量分别为m 1和m 2的木块A 和B ,用一个质量忽略不计、劲度系数为k 的弹簧联接起来,放置在光滑水平面上,使A 紧靠墙壁,如图所示.用力推木块B 使弹簧压缩x 0,然后释放.已知m 1 = m ,m 2 = 3m ,求:(1) 释放后,A 、B 两木块速度相等时的瞬时速度的大小;(2) 释放后,弹簧的最大伸长量.28、(0191B40) 如图所示,在地面上固定一半径为R 的光滑球面,球面顶点A 处放一质量为M 的滑块.一质量为m 的油灰球,以水平速度0v 射向滑块,并粘附在滑块上一起沿球面下滑.问:(1) 它们滑至何处( θ = ?)脱离球面? (2) 如欲使二者在A 处就脱离球面,则油灰球的入射速率至少为多少?29、(0204B35)设想有两个自由质点,其质量分别为m 1和m 2,它们之间的相互作用符合万有引力定律.开始时,两质点间的距离为l ,它们都处于静止状态,试求当它们的距离变为l 21(右)B (左) A时,两质点的速度各为多少?30、(0205C40) 质量分别为m 1和m 2的两个滑块A 和B ,分别穿于两条平行且水平的光滑导杆上,二导杆间的距离为L ,再以一劲度系数为k 、原长为L 的轻质弹簧连接二滑块,如图所示.设开始时滑块A 与滑块B 之间水平距离为l ,且两者速度均为零,求释放后两滑块的最大速度分别是多少? 31、(0208C50)如图所示,在光滑水平面上有一质量为m B 的静止物体B ,在B 上又有一个质量为m A 的静止物体A .今有一小球从左边射到A 上被弹回,此时A 获得水平向右的速度A v (对地),并逐渐带动B ,最后二者以相同速度一起运动。
第二章质点动力学单元测验题一、选择题1.如图,物体A 和B 的质量分别为2kg 和1kg ,用跨过定滑轮的细线相连,静止叠放在倾角为θ=30°的斜面上,各接触面的静摩擦系数均为μ=0.2,现有一沿斜面向下的力F 作用在物体A 上,则F 至少为多大才能使两物体运动.A.3.4N;B.5.9N;C.13.4N;D.14.7N答案:A解:设沿斜面方向向下为正方向。
A 、B 静止时,受力平衡。
A 在平行于斜面方向:sin A 12F m g T f f 0θ+---=B 在平行于斜面方向:1sin 0B f m g T θ+-=静摩擦力的极值条件:1cos B f m g μθ≤,2()cos B A f m m g μθ≤+联立可得使两物体运动的最小力minF 满足:min ()sin (3)cos B A B A F m m g m m g θμθ=-++=3.6N2.一质量为m 的汽艇在湖水中以速率v 0直线运动,当关闭发动机后,受水的阻力为f =-kv ,则速度随时间的变化关系为A.t mk ev v 0=; B.tm kev v -=0; C.t m kv v +=0;D.t mk v v -=0答案:B解:以关闭发动机时刻汽艇所在的位置为原点和计时零点,以0v 方向为正方向建立坐标系.牛顿第二定律:dvma mkv dt==-整理:dtm k vdv -=积分得:tm k ev v -=03.质量分别为1m 和2m (21m m >)的两个人,分别拉住跨在定滑轮(忽略质量)上的轻绳两边往上爬。
开始时两人至定滑轮的距离都是h .质量为1m 的人经过t 秒爬到滑轮处时,质量为2m 的人与滑轮的距离为A.0;B.h m m 21; C.)21+(221gt h m m ; D.)21+(-2212gt h m m m 答案:D解:如图建立坐标系,选竖直向下为正方向。
设人与绳之间的静摩擦力为f ,当质量为1m 的人经过t 秒爬到滑轮处时,质量为2m 的人与滑轮的距离为'h ,对二者分别列动力学方程。
第一章质点运动学单元测验题一、选择题1.一质点沿x 轴运动,加速度与位置的关系为a (x )=2x +4x 2(SI 单位).已知质点在x =0处的速度为2m/s ,则质点在x =3m 处的速度为A.42m/s; B.26m/s ; C.94m/s ; D.34m/s .答案:C 解:根据题意:224dv a x x dt ==+,两边同乘dx 有:2(24)dv dx x x dx dt ⋅=+⋅由dx v dt=,上式化为:2(24)v dv x x dx ⋅=+对上式两边积分得到:223423v x x c =++由x =0,v =2m/s ,确定c =2.则当x =3m 时,解得:v =94m/s.2.一质点沿x 轴做直线运动,其速度v 随时间t 的变化关系如图所示.则下列哪个图可表示质点加速度a 随时间t 变化关系?2-•/s m a 2-•/s m a AB C答案:B 解:依据质点在一维运动时,速度-时间曲线的斜率对应加速度可知B 为加速度曲线.3.质点的运动学方程为33(21)t t =++r i j (SI 单位).则t =1s 时质点的速度为(SI单位)A.ji 6+3; B.j i 3+3; C.j i 6+6; D.j i 3+6.答案:A解:根据题意:33(21)t t =++r i j ,微分得:236d t dt ==+r v i j ,()136=+v i j 4.质点运动学方程为:kbt j t a i t a r +sin +cos =ωω,其中a 、b 、ω均为正的常数.问质点作什么运动?A.平面圆周运动;B.平面椭圆运动;C.螺旋运动;D.三维空间的直线运动.答案:C解:把质点的运动分解到三个方向上:cos sin x a t y a t z bt ωω===,,整理可知:222x y a z bt+==,则质点是以z 5.如图所示,在桌面的一边,—小球作斜抛运动,初速度v 0=4.7m/s.已知桌面宽a =2.0m.欲使小球能从桌面的另—边切过,小球的抛射角θ为A.30°;B.38°;C.50°;D.58°.答案:D 解:根据题意,小球沿x 和y 方向的运动方程为:t v x ⋅=θcos 0,201sin 2y v t gt θ=⋅-由x =2.0m 时,y =0,解得:o 58θ=.6.如图,有一半径为R 的定滑轮,沿轮周绕着一根绳子,悬在绳子一端的物体按s =(1/2)bt 2的规律向下运动.若绳子与轮周间没有相对滑动,轮周上一点A 在任一时刻t 的总加速度大为A.2t b a ;B.222/=R t b a ;C.b a =;D.R t b b a /+=22.答案:A 解:已知221bt s =,微分可得速度大小:t b dtds v ⋅==切向加速度大小:b dt dv a ==τ;法向加速度大小:Rt b R v a n 222==总加速度大小:a ==.7.当蒸汽船以15km/h 的速度向正北方向航行时,船上的人观察到船上的烟囱里冒出的烟飘向正东方向.过一会儿,船以24km/h 的速度向正东方向航行,船上的人则观察到烟飘向正西北方向.若在这两次航行期间风速不变,则风速的大小为A.9km/h; B.17.5km/h ; C.26.9km/h ; D.41km/h.答案:B解:地面为静系,船为动系,风为研究对象,则风对地的速度为绝对速度:风v v =船对地的速度为牵连速度:船牵连v v =风对船的速度为相对速度:风对船牵连v v =由绝对速度、牵连速度和相对速度的关系可得v v v =+船风对船,其矢量几何关系如图所示由此几何关系可得:1cos v v θ=船风,o 2145sin v v ctg v θ-=风船船联立解得:o 31θ=,5.17=v km /h .8.一个自由落体在它运动的最后一秒内所通过的路程等于全程的1/3.则物体通过全程所需的时间为A.3s ;B.6-3s ;C.6+3s ;D.6s答案:C解:设自由落体的全程下落时间和下落的高度分别为t 、S t 。
力学练习题(一)学习目标1. 掌握描述质点运动和运动变化的物理量——位置矢量、位移、速度、加速度,理解这些物理量的矢量性、瞬时性和相对性。
2. 理解运动方程的物理意义及作用,掌握运用运动方程确定质点的位置、位移、速度和加速度的方法,以及已知质点运动的加速度和初始条件求速度、运动方程的方法。
一、 选择题1. 一运动质点在某瞬时位于位矢(,)r x y 的端点处,对其速度的大小有四种意见,即(1)d d r t ;(2)d d r t ;(3)d d s t ;(4 ) A 只有(1)(2)正确 B 只有(2)正确 C 只有(2)(3)正确 D 只有(3)(4)正确2. 一小球沿斜面向上运动,其运动方程为245t t S -+=(SI ),则小球运动到最高点的时刻是( )。
A t = 4s.B t = 2s.C t = 8s.D t = 5s.3.一质点在平面上运动,已知质点位置矢量的表示式为j bt i at r 22+=(其中a 、b 为常量) 则该质点作( )。
A 匀速直线运动. B 变速直线运动. C 抛物线运动. D 一般曲线运动. 4.下列说法哪一条正确?( )A 加速度恒定不变时,物体运动方向也不变.B 平均速率等于平均速度的大小.C 不管加速度如何,平均速率表达式总可以写成2/)(21v v v +=D 运动物体速率不变时,速度可以变化.二、 填空题1.质点p 在一直线上运动,其坐标x 与时间t 有如下关系: x = A sin ω t (SI ) A为常数)(1)任意时刻t 时质点的加速度 a =___________________;(2)质点速度为零的时间t =___________________________。
2.一人自原点出发,25s 内向东走30m ,又10s 内向南走10m ,再15s 内向正西北走18m ,设X 轴指向正东,Y 轴指向正北,求在这50s 内,(1)位移r ∆= ;(2)平均速度v = ;(3)平均速率v = 。
质点力学综合练习1一、单选题:1、(0020B30)一质点在力F = 5m (5 - 2t ) (SI)的作用下,t =0时从静止开始作直线运动,式中m 为质点的质量,t 为时间,则当t = 5 s 时,质点的速率为(A) 50 m ·s -1.. (B) 25 m ·s -1.(C) 0. (D) -50 m ·s -1. [ ]2、(0099B30)如图所示,在光滑平面上有一个运动物体P ,在P 的正前方有一个连有弹簧和挡板M 的静止物体Q ,弹簧和挡板M 的质量均不计,P 与Q 的质量相同.物体P 与Q碰撞后P 停止,Q 以碰前P 的速度运动.在此碰撞过程中,弹簧压缩量最大的时刻是(A) P 的速度正好变为零时.(B) P 与Q 速度相等时. (C) Q 正好开始运动时. (D) Q 正好达到原来P 的速度时. [ ]3、(0344A20)站在电梯内的一个人,看到用细线连结的质量不同的两个物体跨过电梯内的一个无摩擦的定滑轮而处于“平衡”状态.由此,他断定电梯作加速运动,其加速度为(A) 大小为g ,方向向上. (B) 大小为g ,方向向下.(C) 大小为g 21,方向向上. (D) 大小为g 21,方向向下. [ ] 4、(0654B40)图示系统置于以g a 21=的加速度上升的升降机内,A 、B 两物体质量相同均为m ,A 所在的桌面是水平的,绳子和定滑轮质量均不计,若忽略滑轮 轴上和桌面上的摩擦并不计空气阻力,则绳中张力为(A) mg . (B) m g 21. (C) 2mg . (D) 3mg / 4.[ ] 5、(0655C60) 一根细绳跨过一光滑的定滑轮,一端挂一质量为M 的物体,另一端被人用双手拉着,人的质量M m 21=.若人相对于绳以加速度a 0向上爬,则人相对于地面的加速度(以竖直向上为正)是(A) 3/)2(0g a +. (B) )3(0a g --.(C) 3/)2(0g a +-. (D) 0a [ ]6、(0664B25)设物体沿固定圆弧形光滑轨道由静止下滑,在下滑过程中,(A) 它的加速度方向永远指向圆心.(B) 它受到的轨道的作用力的大小不断增加.(C) 它受到的合外力大小变化,方向永远指向圆心.(D) 它受到的合外力大小不变. [ ]a7、(0754A20)质量相等的两个物体甲和乙,并排静止在光滑水平面上(如图所示).现用一水平恒力F 作用在物体甲上,同时给物体乙一个与F 同方向的瞬时冲量量I ,使两物体沿同一方向运动,则两物体再次达到并排的位置所经过的时间为: (A) I / F . (B) 2I / F . (C) 2 F/ I . (D) F/ I . [ ]8、(5407B30)竖直上抛一小球.若空气阻力的大小不变,则球上升到最高点所需用的时间,与从最高点下降到原位置所需用的时间相比(A) 前者长. (B) 前者短.(C) 两者相等. (D) 无法判断其长短. [ ]9、(0225B25)质点的质量为m ,置于光滑球面的顶点A 处(球面固定不动),如图所示.当它由静止开始下滑到球面上B 点时,它的加速度的大小为(A) )cos 1(2θ-=g a . (B) θsin g a =. (C) g a =.(D) θθ2222sin )cos 1(4g g a +-=. [ ] 10、(0480B35)一质量为m 的质点,自半径为R 的光滑半球形碗口由静止下滑,质点在碗内某处的速率为v ,则质点对该处的压力数值为(A) R m 2v . (B) Rm 232v . (C) R m 22v . (D) Rm 252v . [ ] 11、(0481B25)如图示.一质量为m 的小球.由高H处沿光滑轨道由静止开始滑入环形轨道.若H 足够高,则小球在环最低点时环对它的作用力与小球在环最高点时环对它的作用力之差,恰为小球重量的(A) 2倍. (B) 4倍.(C) 6倍. (D) 8倍. [ ]12、(0670C45)在以加速度a 向上运动的电梯内,挂着一根劲度系数为k 、质量不计的弹簧.弹簧下面挂着一质量为M 的物体,物体相对于电梯的速度为零.当电梯的加速度突然变为零后,电梯内的观测者看到物体的最大速度为(A) k M a /. (B) M k a /.(C) k M a /2. (D) k M a /21. [ ] 13、(0179B25)空中有一气球,下连一绳梯,它们的质量共为M .在梯上站一质量为m 的人,起始时气球与人均相对于地面静止.当人相对于绳梯以速度v 向上爬时,气球的速度为(以向上为正)俯视图F I(A) M m m +-v . (B) Mm M +-v . (C) M m v -. (D) m M m v )(+-. (E) MM m v )(+-. [ ] 14、(0190B30)两条船质量都为M ,首尾相靠且都静止在平静的湖面上,如图所示.A 、B 两船上各有一质量均为m 的人,A 船上的人以相对于A 船的速率u 跳到B 船上,B 船上的人再以相对于B船的相同速率u 跳到A 船上. 取如图所示x 坐标,设A 、B 船所获得的速度分别为v A 、v B ,下述结论中哪一个是正确的?(A) v A = 0,v B = 0. (B) v A = 0,v B > 0.(C) v A < 0,v B > 0. (D) v A < 0,v B = 0.(E) v A > 0,v B > 0. [ ]15、(0390B25)一质量为60 kg 的人起初站在一条质量为300 kg ,且正以2 m/s 的速率向湖岸驶近的小木船上,湖水是静止的,其阻力不计.现在人相对于船以一水平速率v 沿船的前进方向向河岸跳去,该人起跳后,船速减为原来的一半,v 应为(A) 2 m/s . (B) 3 m/s .(C) 5 m/s . (D) 6 m/s . [ ]16、(0454B30)一质量为60 kg 的人起初站在一条质量为300 kg ,且正以2 m/s 的速率向湖岸驶近的小木船上,湖水是静止的,其阻力不计.现在人相对于船以一水平速率v 沿船的前进方向向河岸跳去,该人起跳后,船速减为原来的一半,v 应为(A) 2 m/s . (B) 3 m/s .(C) 5 m/s . (D) 6 m/s . [ ]17、(5014B30)一烟火总质量为M + 2m ,从离地面高h 处自由下落到h 21时炸开成为三块, 一块质量为M ,两块质量均为m .两块m 相对于M 的速度大小相等,方向为一上一下.爆炸后M 从h 21处落到地面的时间为t 1,若烟火体在自由下落到h 21处不爆炸,它从h 21处落到地面的时间为t 2,则(A) t 1 > t 2. (B) t 1 < t 2.(C) t 1 = t 2. (D) 无法确定t 1与t 2间关系. [ ]18、(0176B30)质量分别为m 1、m 2的两个物体用一劲度系数为k 的轻弹簧相联,放在水平光滑桌面上,如图所示.当两物体相距x 时,系统由静止释放.已知弹簧的自然长度为x 0,则当物体相距x 0时,m 1的速度大小为 (A) 120)(m x x k -. (B) 220)(m x x k -.x(C)2120)(m m x x k +-. (D) )()(211202m m m x x km +-. (E) )()(212201m m m x x km +-. [ ] 19、(0178B30)一质量为m 的滑块,由静止开始沿着1/4圆弧形光滑的木槽滑下.设木槽的质量也是m .槽的圆半径为R ,放在光滑水平地面上,如图所示.则滑块离开槽时的速度是(A)Rg 2. (B) Rg 2.(C) Rg .(D) Rg 21. (E) Rg 221. [ ] 20、(0198A20)一轻弹簧竖直固定于水平桌面上.如图所示,小球从距离桌面高为h 处以初速度v 0落下,撞击弹簧后跳回到高为h 处时速度仍为v 0,以小球为系统,则在这一整个过程中小球的(A) 动能不守恒,动量不守恒. (B) 动能守恒,动量不守恒. (C) 机械能不守恒,动量守恒. (D) 机械能守恒,动量守恒. [ ]21、(0206B25)两质量分别为m 1、m 2的小球,用一劲度系数为k 的轻弹簧相连,放在水平光滑桌面上,如图所示.今以等值反向的力分别作用于两小球,则两小球和弹簧这系统的(A) 动量守恒,机械能守恒. (B) 动量守恒,机械能不守恒. (C) 动量不守恒,机械能守恒. (D) 动量不守恒,机械能不守恒. [ ]22、(0207B35)静止在光滑水平面上的一质量为M 的车上悬挂一单摆,摆球质量为m ,摆线长为l .开始时,摆线水平,摆球静止于A 点.突然放手,当摆球运动到摆线呈竖直位置的瞬间,摆球相对于地面的速度为(A) 0. (B) gl 2. (C) M m gl /12+. (D) mM gl /12+. [ ]23、(0221B25) 如图所示,质量分别为m 1和m 2的物体A 和B ,置于光滑桌面上,A 和B 之间连有一轻弹簧.另有质量为m 1和m 2的物体C 和D 分别置于物体A与B 之上,且物体A 和C 、B 和D 之间的摩擦系数均不为零.首先用外力沿水平方向相向推压A 和B ,使弹簧被压缩.然后撤掉外力,则在A 和B 弹开的过程中,对A 、B 、C 、D 弹簧组成的系统m m(A) 动量守恒,机械能守恒.(B) 动量不守恒,机械能守恒. (C) 动量不守恒,机械能不守恒. (D) 动量守恒,机械能不一定守恒. [ ]24、(0366B40)质量为m 的平板A ,用竖立的弹簧支持而处在水平位置,如图.从平台上投掷一个质量也是m 的球B ,球的初速为v ,沿水平方向.球由于重力作用下落,与平板发生完全弹性碰撞。
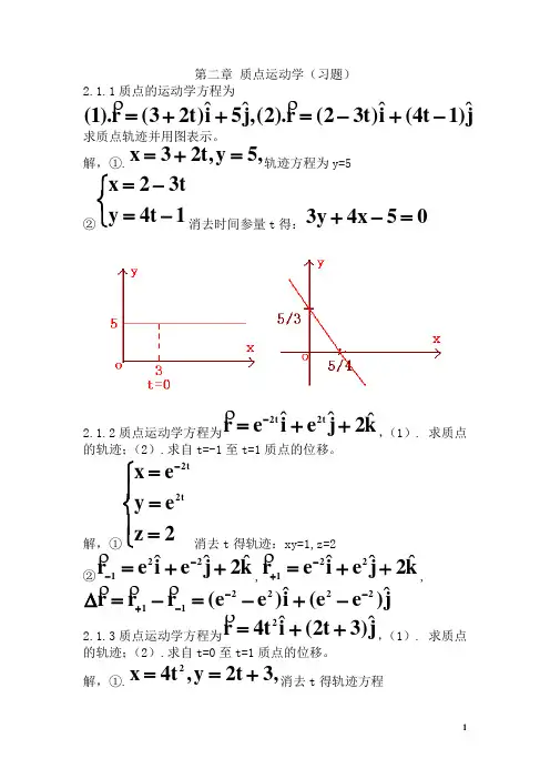
第二章 质点运动学(习题)2.1.1质点的运动学方程为 jˆ)1t 4(i ˆ)t 32(r ).2(,j ˆ5i ˆ)t 23(r ).1(-+-=++= 求质点轨迹并用图表示。
解,①.,5y ,t 23x=+=轨迹方程为y=5 ②⎩⎨⎧-=-=1t 4y t 32x 消去时间参量t 得:05x 4y 3=-+2.1.2质点运动学方程为k ˆ2j ˆe i ˆe r t 2t 2++=- ,(1). 求质点的轨迹;(2).求自t=-1至t=1质点的位移。
解,①⎪⎩⎪⎨⎧===-2z e y ex t 2t2消去t 得轨迹:xy=1,z=2 ②k ˆ2j ˆe i ˆe r 221++=-- ,k ˆ2j ˆe i ˆe r 221++=-+ , j ˆ)e e (i ˆ)e e (r r r 222211---+-+-=-=∆2.1.3质点运动学方程为j ˆ)3t 2(i ˆt 4r 2++= ,(1). 求质点的轨迹;(2).求自t=0至t=1质点的位移。
解,①.,3t 2y ,t 4x2+==消去t 得轨迹方程2)3y (x -= ②j ˆ2i ˆ4r r r ,j ˆ5i ˆ4r ,j ˆ3r 0110+=-=∆+== 2.2.1雷达站于某瞬时测得飞机位置为117.33,m 4100R =θ=,0.75s 后测得21022R ,R ,3.29,m 4240R =θ=均在铅直平面内。
求飞机瞬时速率的近似值和飞行方向(α角)。
解,)cos(R R 2R R R 21212221θ-θ-+=∆ 代入数值得: )m (385.3494.4cos 42404100242404100R 022≈⨯⨯-+=∆)s /m (8.46575.0385.349t Rv ==∆∆≈利用正弦定理可解出089.34-=α2.2.2一小圆柱体沿抛物线轨道运动,抛物线轨道为200/x y 2=(长度mm )。
第一次观察到圆柱体在x=249mm 处,经过时间2ms 后圆柱体移到x=234mm 处。
第一章质点运动学单元测验题一、选择题1.一质点沿x 轴运动,加速度与位置的关系为a (x )=2x +4x 2(SI 单位).已知质点在x =0处的速度为2m/s ,则质点在x =3m 处的速度为A.42m/s; B.26m/s ; C.94m/s ; D.34m/s .答案:C 解:根据题意:224dv a x x dt ==+,两边同乘dx 有:2(24)dv dx x x dx dt ⋅=+⋅由dx v dt=,上式化为:2(24)v dv x x dx ⋅=+对上式两边积分得到:223423v x x c =++由x =0,v =2m/s ,确定c =2.则当x =3m 时,解得:v =94m/s.2.一质点沿x 轴做直线运动,其速度v 随时间t 的变化关系如图所示.则下列哪个图可表示质点加速度a 随时间t 变化关系?2-•/s m a 2-•/s m a AB C答案:B 解:依据质点在一维运动时,速度-时间曲线的斜率对应加速度可知B 为加速度曲线.3.质点的运动学方程为33(21)t t =++r i j (SI 单位).则t =1s 时质点的速度为(SI单位)A.ji 6+3; B.j i 3+3; C.j i 6+6; D.j i 3+6.答案:A解:根据题意:33(21)t t =++r i j ,微分得:236d t dt ==+r v i j ,()136=+v i j 4.质点运动学方程为:kbt j t a i t a r +sin +cos =ωω,其中a 、b 、ω均为正的常数.问质点作什么运动?A.平面圆周运动;B.平面椭圆运动;C.螺旋运动;D.三维空间的直线运动.答案:C解:把质点的运动分解到三个方向上:cos sin x a t y a t z bt ωω===,,整理可知:222x y a z bt+==,则质点是以z 5.如图所示,在桌面的一边,—小球作斜抛运动,初速度v 0=4.7m/s.已知桌面宽a =2.0m.欲使小球能从桌面的另—边切过,小球的抛射角θ为A.30°;B.38°;C.50°;D.58°.答案:D 解:根据题意,小球沿x 和y 方向的运动方程为:t v x ⋅=θcos 0,201sin 2y v t gt θ=⋅-由x =2.0m 时,y =0,解得:o 58θ=.6.如图,有一半径为R 的定滑轮,沿轮周绕着一根绳子,悬在绳子一端的物体按s =(1/2)bt 2的规律向下运动.若绳子与轮周间没有相对滑动,轮周上一点A 在任一时刻t 的总加速度大为A.2t b a ;B.222/=R t b a ;C.b a =;D.R t b b a /+=22.答案:A 解:已知221bt s =,微分可得速度大小:t b dtds v ⋅==切向加速度大小:b dt dv a ==τ;法向加速度大小:Rt b R v a n 222==总加速度大小:a ==.7.当蒸汽船以15km/h 的速度向正北方向航行时,船上的人观察到船上的烟囱里冒出的烟飘向正东方向.过一会儿,船以24km/h 的速度向正东方向航行,船上的人则观察到烟飘向正西北方向.若在这两次航行期间风速不变,则风速的大小为A.9km/h; B.17.5km/h ; C.26.9km/h ; D.41km/h.答案:B解:地面为静系,船为动系,风为研究对象,则风对地的速度为绝对速度:风v v =船对地的速度为牵连速度:船牵连v v =风对船的速度为相对速度:风对船牵连v v =由绝对速度、牵连速度和相对速度的关系可得v v v =+船风对船,其矢量几何关系如图所示由此几何关系可得:1cos v v θ=船风,o 2145sin v v ctg v θ-=风船船联立解得:o 31θ=,5.17=v km /h .8.一个自由落体在它运动的最后一秒内所通过的路程等于全程的1/3.则物体通过全程所需的时间为A.3s ;B.6-3s ;C.6+3s ;D.6s答案:C解:设自由落体的全程下落时间和下落的高度分别为t 、S t 。
质点力学练习题
下面是一些质点力学的练题,供您进行练和巩固知识。
每个题目都有其特定的条件和要求,请仔细阅读题目并试着解答。
如果您有任何问题或需要进一步解释,请随时询问。
题目1
一颗质量为m的质点沿直线运动,其位移与时间的关系由以下方程给出:$x(t) = 3t^2 - 5t + 2$,其中t为时间(秒),x为位移(米)。
1. 求该质点的初速度和加速度。
2. 计算在t=4秒时该质点的速度和位移。
题目2
一个质量为m的质点以v₀的速度垂直地射出,以g的重力加速度向下运动。
求质点的最大高度和落地时的速度。
题目3
一个质量为m的质点,受到一个力F(x) = -kx的作用,其中k
为常数,x为位移。
该质点开始于位置x₀,速度为v₀。
求该质点
的位移与时间的关系,并确定当质点回到初始位置时的时间。
题目4
考虑一个弹簧振子,质量为m,劲度系数为k,初始位移为A。
求出该振子的周期和频率。
题目5
一个质点开始于原点,速度为v₀,沿着抛物线轨迹运动,给
定为y(x) = ax^2 + bx + c。
求该质点在高度为h的位置时的速度和
位移。
这些练习题可以帮助您巩固质点力学的相关概念和计算方法。
通过解答这些题目,您将能够更好地理解和应用质点力学的基本原理。
祝您练习顺利!。
第二章质点动力学单元测验题一、选择题1.如图,物体A 和B 的质量分别为2kg 和1kg ,用跨过定滑轮的细线相连,静止叠放在倾角为θ=30°的斜面上,各接触面的静摩擦系数均为μ=0.2,现有一沿斜面向下的力F 作用在物体A 上,则F 至少为多大才能使两物体运动.A.3.4N;B.5.9N;C.13.4N;D.14.7N答案:A解:设沿斜面方向向下为正方向。
A 、B 静止时,受力平衡。
A 在平行于斜面方向:sin A 12F m g T f f 0θ+---=B 在平行于斜面方向:1sin 0B f m g T θ+-=静摩擦力的极值条件:1cos B f m g μθ≤,2()cos B A f m m g μθ≤+联立可得使两物体运动的最小力minF 满足:min ()sin (3)cos B A B A F m m g m m g θμθ=-++=3.6N2.一质量为m 的汽艇在湖水中以速率v 0直线运动,当关闭发动机后,受水的阻力为f =-kv ,则速度随时间的变化关系为A.t mk ev v 0=; B.tm kev v -=0; C.t m kv v +=0;D.t mk v v -=0答案:B解:以关闭发动机时刻汽艇所在的位置为原点和计时零点,以0v 方向为正方向建立坐标系.牛顿第二定律:dvma mkv dt==-整理:dtm k vdv -=积分得:tm k ev v -=03.质量分别为1m 和2m (21m m >)的两个人,分别拉住跨在定滑轮(忽略质量)上的轻绳两边往上爬。
开始时两人至定滑轮的距离都是h .质量为1m 的人经过t 秒爬到滑轮处时,质量为2m 的人与滑轮的距离为A.0;B.h m m 21; C.)21+(221gt h m m ; D.)21+(-2212gt h m m m 答案:D解:如图建立坐标系,选竖直向下为正方向。
设人与绳之间的静摩擦力为f ,当质量为1m 的人经过t 秒爬到滑轮处时,质量为2m 的人与滑轮的距离为'h ,对二者分别列动力学方程。
第二章质点动力学单元测验题一、选择题1.如图,物体A 和B 的质量分别为2kg 和1kg ,用跨过定滑轮的细线相连,静止叠放在倾角为θ=30°的斜面上,各接触面的静摩擦系数均为μ=0.2,现有一沿斜面向下的力F 作用在物体A 上,则F 至少为多大才能使两物体运动.A.3.4N;B.5.9N;C.13.4N;D.14.7N答案:A解:设沿斜面方向向下为正方向。
A 、B 静止时,受力平衡。
A 在平行于斜面方向:sin A 12F m g T f f 0θ+---=B 在平行于斜面方向:1sin 0B f m g T θ+-=静摩擦力的极值条件:1cos B f m g μθ≤,2()cos B A f m m g μθ≤+联立可得使两物体运动的最小力minF 满足:min ()sin (3)cos B A B A F m m g m m g θμθ=-++=3.6N2.一质量为m 的汽艇在湖水中以速率v 0直线运动,当关闭发动机后,受水的阻力为f =-kv ,则速度随时间的变化关系为A.t mk ev v 0=; B.tm kev v -=0; C.t m kv v +=0;D.t mk v v -=0答案:B解:以关闭发动机时刻汽艇所在的位置为原点和计时零点,以0v 方向为正方向建立坐标系.牛顿第二定律:dvma mkv dt==-整理:dtm k vdv -=积分得:tm k ev v -=03.质量分别为1m 和2m (21m m >)的两个人,分别拉住跨在定滑轮(忽略质量)上的轻绳两边往上爬。
开始时两人至定滑轮的距离都是h .质量为1m 的人经过t 秒爬到滑轮处时,质量为2m 的人与滑轮的距离为A.0;B.h m m 21; C.)21+(221gt h m m ; D.)21+(-2212gt h m m m 答案:D解:如图建立坐标系,选竖直向下为正方向。
设人与绳之间的静摩擦力为f ,当质量为1m 的人经过t 秒爬到滑轮处时,质量为2m 的人与滑轮的距离为'h ,对二者分别列动力学方程。
质点力学1. 一物体在某瞬时,以初速度0v 从某点开始运动,在t ∆时间内,经一长度为S 的曲线路径后,又回到出发点,此时速度为0v -,则在这段时间内:(1)物体的平均速率是___;(2)物体的平均加速度___。
2. 一质点沿x 轴作直线运动,它的运动方程为(SI)65332ttt x -++=则:(1)质点在t=0时刻的速度=v;(2)加速度为零时,该质点的速度=v 。
3. 一质点沿x 方向运动,其加速度随时间变化关系为)I S (23t a +=,如果初始时质点的速度v 为s/m 5,则当st 3=时,质点的速度=v ____________。
4. 一物体作如图13B 1--所示的 斜抛运动,测得在轨道A 点处速度的大小为v ,其方向与水平方向夹 角成30.则物体在A点的切向加速度=ta___,轨道的曲率半径=ρ5. 一质点从静止出发,沿半径m3=R 的圆周运动,切向加速度2s/m 3=t a ,当总加速度与半径成45角时,所经过的时间t =________,在上述时间内质点经过的路程=S _______。
6. 一飞机驾驶员想往正北方向航行,而风以h/km 60的速度由东向西刮来,如果飞机的航速(在静止空气中的速率)为h/km 180,则飞机上观察到的风向为_________方向,飞机相对于地面的速率为__________h/km 。
7. 一只质量为m 的猴,原来抓住一根用绳吊在天花板上的质量为M 的直杆,悬线突然断开,小猴则沿杆子竖直向上爬以保持它离地面的高度不变,此时直杆下落的加速度为: 。
8. 一个质量为m的质点,沿x 轴作直线运动,受到的作用力为)I S (cos 0i F t F ω=,0=t 时刻,质点的位置坐标0x ,初速度0=v,质点的位置坐标和时间的关系式是=x ___________。
9. 质量为m的质点,以不变速率v 沿图41B 1--中正三角形CB A的水平光滑轨道运动。
质点力学例题1.一质点沿x 轴方向运动,其加速度随时间的变化关系为 a ?3 ? 2t (SI),如果初始时质点的速度为5 m/s ,则当 t ? 3 s 时,质点的速度v ? __________ m/s 。
)m/s (23)3(5d )23(53023=++=++=⎰t t t t v2.质量为 kg 的质点,受力F ? t i (SI )的作用,式中t 为时间,t ? 0 s 时该质点以v 0 ? 2j m/s 的速度通过坐标原点,则该质点任意时刻的位置矢量是__________。
i F a t m 4==j i 222+=t v j i r t t 2323+=3.已知一质点的运动方程为 r ? 2 t i +(2 ? t2)j (SI ),则t = 2 s 时质点的位置矢量为__________,2秒末的速度为__________。
j i r 24-= j i 42-=v4.一个具有单位质量的质点在力场 F ? ( t2? 4t ) i + ( 12t ? 6 ) j (SI )中运动,设该质点在t ? 0时位于原点,且速度为零。
则t 时刻该质点的位置矢量r ? ____________。
j i r )32()32121(2334t t t t -+-=5.一质点从静止出发沿半径 R ? 1 ( m )的圆周运动,其角加速度随时间t 的变化规律是 ? ? 12t 2? 6t (SI)。
则质点的角速度? ?_________,法向加速度a n ?_________,切向加速度a ? ?_________。
230234d )612(t t t t tt-=-=⎰ω t t R a 6122-==ατ 2232)34(t t R a n -==ω6.一质点在水平面内以顺时针方向沿半径为2 m 的圆形轨道运动,质点的角速度与时间的关系为? ? kt 2(其中k 为常数),已知质点在第二秒末的线速度为32 m/s ,则在t ? s 时,该质点的切向加速度a ? _______;法向加速度a n ? _______。
质点动力学练习题一、选择题1.将一质量为kg m 41=的木块放在一质量为kg m 52=的木块上面,而2m 放在光滑桌面上,在1m 上施加水平力1F ,实验发现1F 大于12N 时,1m 相对于2m 滑动。
现在,若对2m 施加水平力2F 使1m 开始相对于2m 滑动,则2F 的量值应为( )A 、大于12N ;B 、小于12N ;C 、大于15N ;D 、小于15N.2.一刚体体受三个力保持静止状态,则这三个力不可能是 ( )A 、三力共点;B 、二力平行,与第三力相交;C 、三力共线;D 、三力平行.3.关于力和运动,下列说法正确的是 ( )A 物体受到几个力的作用,一定有加速度B 物体速度很大,加速度不一定很大C 物体运动方向和合外力方向一定相同D 物体速率保持不变,合外力一定为零4.12N 的恒力作用在质量为2kg 的物体上,使物体在光滑平面上从静止开始运动,设力的方向为正方向,则在3s 时物体的动量应为 ( )(A )36kg m/s -⋅ (B )24kg m/s -⋅ (C )36kg m/s ⋅ (D )24kg m/s ⋅5.一质点在力F =5m (5-2t )(SI )的作用下,从静止开始(t =0)作直线运动,式中t 为时间,m 为质点的质量,当t =5s 时,质点的速率为 ( )(运动学公式或动量定理)A 、251-⋅s m ;B 、-501-⋅s m ;C 、0;D 、501-⋅s m6.一质量为m 的物体在oxy 平面上运动,受力作用后,其速度沿两轴方向的变化分别是v x i ∆和v x j ∆。
则该力施于此物的冲量的大小为 ( )A 、)v (m y x v I ∆+∆=;B 、)v (y x v m I ∆-∆=;C 、22)()v (y x v m m I ∆+∆=;D 、22)()v (y x v m m I ∆-∆=7.关于功,下列说法中正确的是( )(A )一对内力做的总功一定为零 (B )功是能量转化的量度(C )一对内力做的总功一定不为零 (D )物体总位移为零,则外力做功也为零8.对功的概念,以下说法中正确的是:( )A . 保守力作负功时,系统内相应的势能增加;B . 质点运动经一闭合路径,保守力对质点作的功可以不为零;C . 作用力和反作用力大小相等、方向相反,所以两者所作的功的代数和必然为零;D . 保守力作负功时,系统内相应的势能减少.9.质点的动能定理:外力对质点所做的功,等于质点动能的增量,其中所描述的外力为( )(A) 质点所受的任意一个外力 (B) 质点所受的保守力(C) 质点所受的非保守力 (D) 质点所受的合外力10.当重物减速下降时,合外力对它做的功( )(A)为正值 (B)为负值 (C)为零 (D)先为正值,后为负值11.一质点在力3462++=x x F (N )的作用下作直线运动,质点从m x 21=运动到m x 42=的过程中,该力所的功为( )A 、 35J ;B 、80J ;C 、115J ;D 、142J .12.完全非弹性碰撞的性质是:( )(A) 动量守恒,机械能不守恒 (B) 动量不守恒,机械能守恒(C) 动量守恒,机械能守恒 (D) 动量和机械能都不守恒13.完全弹性碰撞的性质是: ( )(A) 动量守恒,机械能守恒 (B) 动量不守恒,机械能守恒(C) 动量守恒,机械能不守恒 (D) 动量和机械能都不守恒14.对于一个物体系统来说,在下列条件中,哪种情况下系统的机械能守恒 ( )A 、合外力为0;B 、合外力不做功;C 、外力和非保守内力做功之和为0;D 、外力和保守内力做功之和为015.对于一质点组,其内力可以改变的物理量是 ( )A 、总动量;B 、总动能;C 、总机械能;D 、总动量矩.二、填空题1.质量为1kg 的小球,沿水平方向以速率5m/s 与固定的竖直壁作弹性碰撞,设指向壁内的方向为正方向,假设碰撞作用时间为0.1s ,则碰撞过程中小球受到的平均作用力大小为 N.2.一物体质量为10 kg ,受到方向不变的力F =30+40t (SI)作用。