2014年中国大学排行榜(1-100名)
- 格式:doc
- 大小:114.00 KB
- 文档页数:26
2014年中国大学排行榜
——中国校友会2013年12月30日,中国校友会网最新发布《2014中国大学评价研究报告》,这是中国校友会网大学研究团队连续第12年发布中国大学排行榜。
报告显示,北京大学连续7年蝉联中国第一,问鼎2014中国大学排行榜100强榜首;清华大学位居第二,上海交通大学居第三,复旦大学列第四,武汉大学排名第五,创历史最高排名。
华中科技大学武昌分校、华中科技大学文华学院、吉林大学珠海学院、河南科技大学万方科技学院和四川大学锦江学院位居2014中国独立学院排行榜前五强;湖南涉外经济学院、北京城市学院、山东英才学院、西安欧亚学院和三亚学院名列2014中国民办大学排行榜前五强。
最新发布2014中国大学校友捐赠排行榜,清华大学校友捐赠13.23亿元,创中国大学校友捐赠最高纪录,跃居中国第一;北京大学12.93亿,屈居第二,中国人民大学7.07亿,列第三,武汉大学校友捐赠5.43亿,跃居全国五强。
值得关注的是,研究团队提出2014中国大学分类新标准,率先将“毕业生质量”纳入大学分类,35所大学入围2014中国研究型大学。
中国科学院大学、中国人民大学凭借在自然科学和人文社会科学领域的超常表现,入选2014中国顶尖大学,荣膺“中国六星级大学”美誉;上海交通大学、复旦大学和武汉大学等23所大学入选2013中国一流大学,荣膺“中国五星级大学”美誉。
在中国校友会网最新公布的2014中国大学毕业生质量排行榜、2014中国大学教师水平排行榜和2014中国最具媒体影响大学排行榜中,北京大学和清华大学蝉联三榜冠亚军。
首次发布2014中国大学学科水平排行榜,清华大学排名第一,北京大学名列第二,中国人民大学位居第三。
2014年中国大学排行榜名单来源:中国校友会网2013-12-30 17:04:26[标签:大学排行榜][当前16339家长在线讨论]2013年12月30日,中国校友会网最新发布《2014中国大学评价研究报告》,这是中国校友会网大学研究团队连续第12年发布中国大学排行榜。
报告显示,北京大学连续7年蝉联中国第一,问鼎2014中国大学排行榜100强榜首;清华大学位居第二,上海交通大学居第三,复旦大学列第四,武汉大学排名第五,创历史最高排名。
华中科技大学武昌分校、华中科技大学文华学院、吉林大学珠海学院、河南科技大学万方科技学院和四川大学锦江学院位居2014中国独立学院排行榜前五强;湖南涉外经济学院、北京城市学院、山东英才学院、西安欧亚学院和三亚学院名列2014中国民办大学排行榜前五强。
最新发布2014中国大学校友捐赠排行榜,清华大学校友捐赠13.23亿元,创中国大学校友捐赠最高纪录,跃居中国第一;北京大学12.93亿,屈居第二,中国人民大学7.07亿,列第三,武汉大学校友捐赠5.43亿,跃居全国五强。
值得关注的是,研究团队提出2014中国大学分类新标准,率先将“毕业生质量”纳入大学分类,35所大学入围2014中国研究型大学。
中国科学院大学、中国人民大学凭借在自然科学和人文社会科学领域的超常表现,入选2014中国顶尖大学,荣膺“中国六星级大学”美誉;上海交通大学、复旦大学和武汉大学等23所大学入选2013中国一流大学,荣膺“中国五星级大学”美誉。
在中国校友会网最新公布的2014中国大学毕业生质量排行榜、2014中国大学教师水平排行榜和2014中国最具媒体影响大学排行榜中,北京大学和清华大学蝉联三榜冠亚军。
首次发布2014中国大学学科水平排行榜,清华大学排名第一,北京大学名列第二,中国人民大学位居第三。
2014年中国大学排行榜名单
来源:中国校友会网
[标签:大学排行榜]
2013年12月30日,中国校友会网最新发布《2014中国大学评价研究报告》,这是中国校友会网大学研究团队连续第12年发布中国大学排行榜。
报告显示,北京大学连续7年蝉联中国第一,问鼎2014中国大学排行榜100强榜首;清华大学位居第二,上海交通大学居第三,复旦大学列第四,武汉大学排名第五,创历史最高排名。
华中科技大学武昌分校、华中科技大学文华学院、吉林大学珠海学院、河南科技大学万方科技学院和四川大学锦江学院位居2014中国独立学院排行榜前五强;湖南涉外经济学院、北京城市学院、山东英才学院、西安欧亚学院和三亚学院名列2014中国民办大学排行榜前五强。
最新发布2014中国大学校友捐赠排行榜,清华大学校友捐赠13.23亿元,创中国大学校友捐赠最高纪录,跃居中国第一;北京大学12.93亿,屈居第二,中国人民大学7.07亿,列第三,武汉大学校友捐赠5.43亿,跃居全国五强。
值得关注的是,研究团队提出2014中国大学分类新标准,率先将“毕业生质量”纳入大学分类,35所大学入围2014中国研究型大学。
中国科学院大学、中国人民大学凭借在自然科学和人文社会科学领域的超常表现,入选2014中国顶尖大学,荣膺“中国六星级大学”美誉;上海交通大学、复旦大学和武汉大学等23所大学入选2013中国一流大学,荣膺“中国五星级大学”美誉。
在中国校友会网最新公布的2014中国大学毕业生质量排行榜、2014中国大学教师水平排行榜和2014中国最具媒体影响大学排行榜中,北京大学和清华大学蝉联三榜冠亚军。
首次发布2014中国大学学科水平排行榜,清华大学排名第一,北京大学名列第二,中国人民大学位居第三。
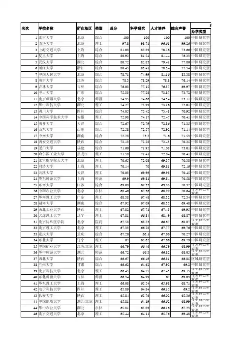
2014中国大学排行榜(1~100)名
次学校名称所在地区类型总分科学研究
人才
培养
综合声誉
办学类型、等级和层次
办学类型星级排名办学层次
1 北京大学北京综合100 100100100中国研究型6星级中国顶尖大学
58河海大学江苏理工64.85 63.4565.2768.71行业特色研究型4星级中国高水平大学
60 湖南师范大学湖南师范64.75 62.9965.9966.57区域研究型3星级中国知名大学
61西南交通大学四川理工64.73 62.4066.0268.71行业特色研究型4星级中国高水平大学
62 暨南大学广东综合64.67 63.6465.3466.00区域研究型3星级中国知名大学
文科大学
985
倚窗远眺,目光目光尽处必有一座山,那影影绰绰的黛绿色的影,是春天的颜色。
周遭流岚升腾,没露出那真实的面孔。
面对那流转的薄雾,我会幻想,那里有一个世外桃源。
在天阶夜色凉如水的夏夜,我会静静地,静静地,等待一场流星雨的来临…
许下一个愿望,不乞求去实现,至少,曾经,有那么一刻,我那还未枯萎的,青春的,诗意的心,在我最美的年华里,同星空做了一次灵魂的交流…
秋日里,阳光并不刺眼,天空是一碧如洗的蓝,点缀着飘逸的流云。
偶尔,一片飞舞的落叶,会飘到我的窗前。
斑驳的印迹里,携刻着深秋的颜色。
在一个落雪的晨,这纷纷扬扬的雪,飘落着一如千年前的洁白。
窗外,是未被污染的银白色世界。
我会去迎接,这人间的圣洁。
在这流转的岁月里,有着流转的四季,还有一颗流转的心,亘古不变的心。
倚窗远眺,目光目光尽处必有一座山,那影影绰绰的黛绿色的影,是春天的颜色。
周遭流岚升腾,没露出那真实的面孔。
面对那流转的薄雾,我会幻想,那里有一个世外桃源。
在天阶夜色凉如水的夏夜,我会静静地,静静地,等待一场流星雨的来临…
许下一个愿望,不乞求去实现,至少,曾经,有那么一刻,我那还未枯萎的,青春的,诗意的心,在我最美的年华里,同星空做了一次灵魂的交流…
秋日里,阳光并不刺眼,天空是一碧如洗的蓝,点缀着飘逸的流云。
偶尔,一片飞舞的落叶,会飘到我的窗前。
斑驳的印迹里,携刻着深秋的颜色。
在一个
落雪的晨,这纷纷扬扬的雪,飘落着一如千年前的洁白。
窗外,是未被污染的银白色世界。
我会去迎接,这人间的圣洁。
在这流转的岁月里,有着流转的四季,还有一颗流转的心,亘古不变的心。
2014年中国大学排行榜(1-100名)2014年中国大学排行榜(1-100名)中国校友会网发布《2014中国大学评价研究报告》,这是中国校友会网大学研究团队连续第12年发布中国大学排行榜。
报告显示,北京大学连续7年蝉联中国第一,问鼎2014中国大学排行榜100强榜首;清华大学位居第二,上海交通大学居第三,复旦大学列第四,武汉大学排名第五,创历史最高排名。
华中科技大学武昌分校、华中科技大学文华学院、吉林大学珠海学院、河南理工大学万方科技学院和四川大学锦江学院位居2014中国独立学院排行榜前五强;湖南涉外经济学院、北京城市学院、山东英才学院、西安欧亚学院和三亚学院名列2014中国民办大学排行榜前五强。
最新发布2014中国大学校友捐赠排行榜,清华大学校友捐赠13.23亿元,创中国大学校友捐赠最高纪录,跃居中国第一;北京大学12.93亿,屈居第二,中国人民大学7.07亿,列第三,武汉大学校友捐赠5.43亿,跃居全国五强。
值得的是,研究团队提出2014中国大学分类新标准,率先将毕业生质量纳入大学分类,35所大学入围2014中国研究型大学。
中国科学院大学、中国人民大学凭借在自然科学和人文社会科学领域的超常表现,入选2014中国顶尖大学,荣膺中国六星级大学美誉;上海交通大学、复旦大学和武汉大学等23所大学入选2013中国一流大学,荣膺中国五星级大学美誉。
在中国校友会网最新公布的2014中国大学毕业生质量排行榜、2014中国大学教师水平排行榜和2014中国最具媒体影响大学排行榜中,北京大学和清华大学蝉联三榜冠亚军。
首次发布2014中国大学学科水平排行榜,清华大学排名第一,北京大学名列第二,中国人民大学位居第三。
2014中国大学排行榜(1~100)名次学校名称所在地区类型总分科学研究人才培养综合声誉办学类型、等级和层次办学类型星级排名办学层次1北京大学北京综合100100100100中国研究型6星级中国顶尖大学清华大学北京理工97.8098.7196.6199.26中国研究型6星级中国顶尖大学3上海交通大学上海综合81.0885.8978.2673.66中国研究型5星级中国一流大学4复旦大学上海综合80.9281.5481.4476.23中国研究型5星级中国一流大学5武汉大学湖北综合80.7282.8379.4177.86中国研究型5星级中国一流大学浙江大学浙江综合80.4583.4178.3477.54中国研究型5星级中国一流大学7中国人民大学北京综合78.7174.9981.1683.38中国研究型6星级中国顶尖大学8南京大学江苏综合78.3078.2978.8076.14中国研究型5星级中国一流大学9吉林大学吉林综合76.0377.1576.3769.97中国研究型5星级中国一流大学中山大学广东综合75.3377.2873.8773.72中国研究型5星级中国一流大学11北京师范大学北京师范74.3574.6674.3473.11中国研究型5星级中国一流大学12华中科技大学湖北理工74.2775.9973.1672.01中国研究型5星级中国一流大学13四川大学四川综合74.0575.4273.4870.92中国研究型5星级中国一流大学中国科学技术大学安徽理工72.9874.1772.4770.41中国研究型5星级中国一流大学15南开大学天津综合72.6772.7972.8671.35中国研究型5星级中国一流大学16山东大学山东综合72.5872.5772.9271.14中国研究型5星级中国一流大学17中南大学湖南综合72.2873.2071.6071.53中国研究型5星级中国一流大学西安交通大学陕西综合72.1372.2872.4370.25中国研究型5星级中国一流大学19厦门大学福建综合71.6671.9571.0873.01中国研究型5星级中国一流大学20哈尔滨工业大学黑龙江理工71.5971.4172.0470.41中国研究型5星级中国一流大学21北京航空航天大学北京理工70.6572.0869.3770.38中国研究型5星级中国一流大学同济大学上海理工70.1470.0069.8172.16中国研究型5星级中国一流大学23天津大学天津理工70.0369.9969.9870.45中国研究型5星级中国一流大学24华东师范大学上海师范69.9069.8169.8470.58中国研究型5星级中国一流大学25东南大学江苏综合69.6969.3369.8870.32中国研究型5星级中国一流大学中国农业大学北京农林68.4667.3668.9970.64行业特色研究型5星级中国一流大学27华南理工大学广东理工68.3867.4868.3272.34中国研究型4星级中国高水平大学28湖南大学湖南综合67.9267.0968.3569.48中国研究型4星级中国高水平大学29西北工业大学陕西理工67.8267.7167.4369.95中国研究型4星级中国高水平大学大连理工大学辽宁理工67.8166.8468.4968.87中国研究型4星级中国高水平大学31北京协和医学院北京医药67.5868.2366.6768.87行业特色研究型5星级中国一流大学32北京理工大学北京理工67.3366.2867.7769.76中国研究型4星级中国高水平大学33重庆大学重庆综合67.2666.1067.6670.27中国研究型4星级中国高水平大学东北大学辽宁理工67.0065.6267.6669.79中国研究型4星级中国高水平大学35中国矿业大学江苏/北京理工66.7966.4666.5968.99行业特色研究型4星级中国高水平大学36华中师范大学湖北师范66.7266.3066.8268.05行业特色研究型4星级中国高水平大学37西北大学陕西综合66.6766.4966.8166.85区域研究型4星级中国高水平大学兰州大学甘肃综合66.6264.6267.9269.20中国研究型4星级中国高水平大学39北京科技大学北京理工66.4564.7567.4369.15行业特色研究型4星级中国高水平大学40东北师范大学吉林师范66.3464.9967.0069.03行业特色研究型4星级中国高水平大学41华东理工大学上海理工66.0865.5465.9868.71行业特色研究型4星级中国高水平大学电子科技大学四川理工65.8964.8466.1269.20行业特色研究型4星级中国高水平大学43长安大学陕西理工65.8465.7666.0265.36行业特色研究型4星级中国高水平大学44中国地质大学湖北/北京理工65.8164.1966.6268.99行业特色研究型4星级中国高水平大学44华中农业大学湖北农林65.8165.0966.1667.23行业特色研究型4星级中国高水平大学北京交通大学北京理工65.4464.1165.7669.48行业特色研究型4星级中国高水平大学47南京农业大学江苏农林65.3763.6566.2168.71行业特色研究型4星级中国高水平大学48中国海洋大学山东综合65.2464.0765.8867.23行业特色研究型4星级中国高水平大学49南京理工大学江苏理工65.2264.1065.4668.71行业特色研究型4星级中国高水平大学武汉理工大学湖北理工65.1564.1365.6467.23行业特色研究型4星级中国高水平大学50西南大学重庆综合65.1563.1566.4567.72区域研究型4星级中国高水平大学52苏州大学江苏综合65.1464.7165.5665.09区域研究型3星级中国知名大学52西北农林科技大学陕西农林65.1464.0165.7966.90行业特色研究型4星级中国高水平大学南京师范大学江苏师范65.1063.6666.4465.21区域特色研究型4星级中国高水平大学54中国石油大学山东/北京理工65.1063.4365.8068.87行业特色研究型4星级中国高水平大学56云南大学云南综合65.0663.6965.8267.34区域研究型4星级中国高水平大学57哈尔滨工程大学黑龙江理工64.9064.3364.6068.54行业特色研究型4星级中国高水平大学南京航空航天大学江苏理工64.8563.1665.4469.22行业特色研究型4星级中国高水平大学58河海大学江苏理工64.8563.4565.2768.71行业特色研究型4星级中国高水平大学60湖南师范大学湖南师范64.7562.9965.9966.57区域研究型3星级中国知名大学61西南交通大学四川理工64.7362.4066.0268.71行业特色研究型4星级中国高水平大学暨南大学广东综合64.6763.6465.3466.00区域研究型3星级中国知名大学63北京化工大学北京理工64.5763.8664.7166.90行业特色研究型4星级中国高水平大学64郑州大学河南综合64.5562.4666.2165.91区域研究型3星级中国知名大学65西安电子科技大学陕西理工64.5063.2865.2666.19行业特色研究型4星级中国高水平大学北京林业大学北京林业64.4862.6665.1469.05行业特色研究型4星级中国高水平大学67中国政法大学北京政法64.3561.7665.4870.04行业特色研究型5星级中国一流大学68合肥工业大学安徽理工64.3162.5965.2867.18行业特色研究型3星级中国知名大学69北京邮电大学北京理工64.2663.5564.3666.74行业特色研究型4星级中国高水平大学华南师范大学广东师范64.0962.4265.4065.21区域特色研究型3星级中国知名大学71陕西师范大学陕西师范64.0662.6765.5663.24区域特色研究型3星级中国知名大学72中南财经政法大学湖北财经64.0462.2265.4865.21行业特色研究型5星级中国一流大学73上海大学上海综合64.0362.4365.2765.26区域研究型3星级中国知名大学上海财经大学上海财经64.0262.2964.7567.89行业特色研究型5星级中国一流大学75山西大学山西综合64.0162.9665.2562.96区域研究型3星级中国知名大学76北京工业大学北京理工63.9762.8664.8364.76区域研究型3星级中国知名大学77福州大学福建理工63.9662.5464.6266.90区域研究型3星级中国知名大学南昌大学江西综合63.9462.3964.6667.13区域研究型3星级中国知名大学79首都医科大学北京医药63.9364.1064.5260.66区域特色研究型4星级中国高水平大学80中央民族大学北京民族63.8761.7865.0867.23行业特色研究型4星级中国高水平大学81江南大学江苏综合63.7862.3864.3467.06区域特色研究型3星级中国知名大学东华大学上海理工63.7162.2264.8464.88行业特色研究型4星级中国高水平大学83辽宁大学辽宁综合63.6161.7565.1464.60区域研究型3星级中国知名大学84华南农业大学广东农林63.5262.8764.8160.66区域特色研究型3星级中国知名大学85太原理工大学山西理工63.4862.1964.3964.78区域研究型3星级中国知名大学首都师范大学北京师范63.4762.4465.0660.82区域特色研究型3星级中国知名大学86新疆大学新疆综合63.4761.5364.5266.90区域研究型3星级中国知名大学88安徽大学安徽综合63.4661.8464.6864.76区域研究型3星级中国知名大学89河南大学河南综合63.4462.1265.0162.04区域研究型3星级中国知名大学海南大学海南综合63.4462.3263.6267.23区域研究型3星级中国知名大学91华北电力大学北京理工63.4362.4564.1364.44专业型3星级中国知名大学92东北林业大学黑龙江林业63.4261.9064.6764.27区域特色研究型3星级中国知名大学93浙江工业大学浙江理工63.4163.1164.2960.84专业型3星级中国知名大学福建师范大学福建师范63.4162.6064.8160.66区域特色研究型3星级中国知名大学95内蒙古大学内蒙古综合63.4061.8764.4165.26区域研究型3星级中国知名大学95中央财经大学北京财经63.4060.8864.2669.99专业型4星级中国高水平大学97西南财经大学四川财经63.3961.3064.9765.04区域特色研究型4星级中国高水平大学深圳大学广东综合63.3762.4964.1563.63专业型3星级中国知名大学99广西大学广西综合63.3561.7764.3665.42区域研究型3星级中国知名大学100贵州大学贵州综合63.3461.8864.2365.42区域研究型3星级中国知名大学。