线性变换习题
- 格式:docx
- 大小:69.01 KB
- 文档页数:26
线性变换习题一、填空题1. 设σ是3P 的线性变换,(,,)(2,4,3)a b c b c a b a σ=+-,,,a b c P ∀∈,1(1,0,0),ε=2(0,1,0),ε=3(0,0,1)ε=是3P 的一组基,则σ在基123,,εεε下的矩阵为_______________,又3123,P αεεε=-+∈则()σα=_________。
2. 设A 为数域P 上秩为r 的n 阶矩阵,定义n 维列向量空间n P 的线性变换σ:()A σξξ=,n P ξ∈,则()1dim (0)σ-= ,()dim ()n P σ= 。
3. 设P 上三维列向量空间V 的线性变换σ在基123,,ααα下的矩阵是112201121-⎛⎫⎪⎪ ⎪-⎝⎭,则σ在基213,,ααα下的矩阵是 。
4. 如果矩阵A 的特征值等于1,则行列式||A E -= 。
5. 设A =⎥⎥⎥⎦⎤⎢⎢⎢⎣⎡211121112,()X AX σ=是P 3上的线性变换,那么σ的零度= 。
6. 若n nA P⨯∈,且2A E =,则A 的特征值为 。
7. 在[]n P x 中,线性变换D (()f x )'()f x =,则D 在基211,,,,n x x x -下的矩阵为 。
8. 在22P⨯中,线性变换10:20A A σ⎛⎫→⎪⎝⎭在基121001,,0000E E ⎛⎫⎛⎫== ⎪ ⎪⎝⎭⎝⎭300,10E ⎛⎫= ⎪⎝⎭ 40001E ⎛⎫= ⎪⎝⎭下的矩阵是 。
9. 设321502114A ⎛⎫ ⎪= ⎪ ⎪⎝⎭的三个特征值为1λ,2λ,3λ,则1λ+2λ+3λ= ,1λ2λ3λ= 。
10. 数域P 上n 维线性空间V 的全体线性变换所成的线性空间()L V 为 维线性空间,它与 同构。
11. 已知n 阶方阵A 满足2A A =,则A 的特征值为 。
12. 已知3阶矩阵A 的特征值为1,2,3,则=||A 。
13. 设σ为数域P 上的线性空间V 的线性变换,若σ是单射,则1(0)σ-= 。
线性空间与线性变换练习题§1 线性空间1.设}|),,,({2121n n n x x x x x x V ===∈== R x 是否按向量的加法和数乘构成R 上的线性空间?若是,求出它的维数和一个基。
2.设⎪⎭⎪⎬⎫⎪⎩⎪⎨⎧=+++∈⎪⎪⎭⎫ ⎝⎛=⨯022d c b a d c b a V R 是否按矩阵的加法和数乘构成R 上的线性空间?若是,求出它的维数和一个基。
3.证明n 阶实对称矩阵全体1V 和n 阶实反对称矩阵全体2V 均构成n n ⨯R 的子空间,并求它们的维数。
4.已知4R 中向量T )1,3,2,1(1=a , T )1,2,1,1(2-=a ,T )6,1,6,2(3---=a , T )1,7,4,3(4-=a ,求},,,Span{4321a a a a 的一个基和维数。
5.已知矩阵⎪⎪⎪⎭⎫ ⎝⎛=101102121k k k A ),,,(4321a a a a =(1)求A 的零空间}|{)(40Ax x A =∈=R N 的基与维数;(2)求T A 的零空间}|{)(30x A x A =∈=T T N R 的基与维数(3)求},,,Span{4321a a a a 一个基和维数。
6.已知3R 中的两组基为T )1,1,1(1=a ,T )1,0,1(2-=a ,T )1,0,1(3=a ,和T )1,2,1(1=b ,T )4,3,2(2=b ,T )3,4,3(3=b 。
(1)求向量T )4,2,2(=x 在基1a ,2a ,3a 下的坐标;(2)求从基1a ,2a ,3a 到基1b ,2b ,3b 的过渡矩阵;(3)求向量3212b b b z -+=在基1a ,2a ,3a 下的坐标;(4)求向量321424a a a y -+=在基1b ,2b ,3b 下的坐标。
7.已知3R 中的两组基为T )1,0,1(1=a ,T )1,1,1(2-=a ,T )1,1,1(3-=a ,和T )1,0,3(1=b ,T )0,0,2(2=b ,T )2,2,0(3-=b 。
第七章线性变换与相似矩阵习题7.1习题7.1.1判别下列变换是否线性变换?(1 )设「是线性空间「中的一个固定向量,解:当■时,■-. - 显然是’的线性变换;当小时,有■,则□ l闵+觀h 6逐)+e(碣),即此时■不是"的线性变换。
T\a}解:当「时,显然是「的线性变换;T(闵+觀縊讥坷)+丁(%「,即此时L不是「的线性变换。
(2)在匚中,:T|=(心勾+解:「不是:的线性变换。
因对于叩),所以贰加)黑如©)。
J-f(□)解:是二的线性变换。
设■-T (硏丁(E = (2xj -鬲圖+画尼啊/V —vG —(10,0)€ 护有1!:"'二!,有则有左苴中&二(兀心■IIL.. JI. ■KJO|i —、赢I jr .跚)+(2”-兀5L TXa)a眼JCT 三(1Th f 丰乃1(範+为H (西+沟)必(画+另))価+必)二我住+3a:(上c)- T[上q .上吆上3 =心匕、-kxj r +匕勺.2上勺)=jfc(2x1-无|,阳+ 可,2 両(3)在•[;中,([)」- ,解:0是H用的线性变换:设貳⑴居(Q它月旳.,贝U直(/a)+欢))=/(兀+i)+gd+i)=</◎》+龙⑵), a財优论kj\x+5-逝/(劝,唯总F。
(u)处『姦訂芻》,其中•是;中的固定数;解:「-是;一的线性变换:设釁鑰廉8.詰圜,则⑺(7U)+g⑴)=/W+gfe)=次/⑴)卡以gO)),◎(射妙-妙厲)-如y(幼伏訂。
5 穴u(4)把复数域’看作复数域上的线性空间,步②匕加,其中「是一的共轭复数;解:「不是线性变换。
因为取兴习,「-7时,有*鸞日關上(7(仕)=滋二i即0(k&)主去曲空)(5)在:,■ 中,设■与:-是其中的两个固定的矩阵,- U Z&1解:「是"的线性变换。
对1蓟如=P瞒Q= ^PXQ二£啲O习题7.1.2在{中,取直角坐标系-,以-表示空间绕「轴由轴向…方向旋转900的变换,以表示空间绕'轴由--轴向八方向旋转90°的变换,以&表示空间绕轴由 轴向Oy 方向旋转900的变换。
第六章 线性空间一 判断题(1) 平面上全体向量对于通常的向量加法和数量乘法: ,,k k R αα=∈ 作成实数域R 上的向量空间. ( ) .(2) 平面上全体向量对于通常的向量加法和数量乘法: 0,,k k R α=∈ 作成实数域R 上 的向量空间. ( ).(3) 一个过原点的平面上所有向量的集合是3V 的子空间. ( ).(4) 所有n 阶非可逆矩阵的集合为全矩阵空间()n M R 的子空间. ( ).(5) 121{(,,,)|1,}nn i i i x x x x x R ==∈∑为n R 的子空间. ( ).(6)所有n 阶实反对称矩阵的集合为全矩阵空间()n M R 的子空间. ( ).(7)11{(,0,,0,)|,}n n x x x x R ∈为n R 的子空间. ( ).(8)若1234,,,αααα是数域F 上的4维向量空间V 的一组基, 那么122334,,,αααααα++ 是V 的一组基. ( ).(9)n 维向量空间V 的任意n 个线性无关的向量都可构成V 的一个基. ( ).(10)设12,,,n ααα是向量空间V 中n 个向量, 且V 中每一个向量都可由12,,,n ααα 线性表示, 则12,,,n ααα是V 的一组基. ( ).(11) 设12,,,n ααα是向量空间V 的一个基, 如果12,,,n βββ与12,,,n ααα等价, 则12,,,n βββ也是V 的一个基. ( ).(12) 3x 关于基332,,1,1x x x x x +++的坐标为(1,1,0,0). ( ).(13)设12,,,s V V V 为n 维空间V 的子空间, 且12s V V V V =+++.若12dim dim dim s V V V n +++=, 则12s V V V +++为直和. ( ). (14)设12,,,s V V V 为n 维空间V 的子空间, 且12s V V V V =+++. 若121230,()0,V V V V V =+=121,()0,S s V V V V −+++= 则12s V V V +++为直和.( ).(15) 设12,,,s V V V 为n 维空间V 的子空间, 且12s V V V V =+++. 若(){0},i j j i V V ≠=∑ 则12s V V V +++为直和. ( ).(16)设12,,,s V V V 为n 维空间V 的子空间, 且12s V V V V =+++. 若(){0},,i j V V i j =≠则12s V V V +++为直和. ( ).(17) 设12,,,s V V V 为n 维空间V 的子空间, 且12s V V V V =+++. 零向量表法是唯一的, 则12s V V V +++为直和. ( ).(18) 设12,,,n ααα是向量空间V 的一个基, f 是V 到W 的一个同构映射, 则W 的一个基是12(),(),,()n f f f ααα. ( ). (19) 设V 是数域F 上的n 维向量空间, 若向量空间V 与W 同构, 那么W 也是数域F 上的n 维向量空间. ( ).(20) 把同构的子空间算作一类, n 维向量空间的子空间能分成n 类. ( ). 答案 (1)错误 (2)错误 (3)正确 (4)错误 (5)错误 (6)正确 (7)正确 (8)正确 (9)正确 (10)错误 (11)正确 (12)错误 (13)正确 (14)正确 (15)正确 (16)错误 (17)正确(18)正确 (19)正确 (20)错误二 填空题(1) 全体实对称矩阵, 对矩阵的________________作成实数域R 上的向量空间.(2) 全体正实数的集合R +,对加法和纯量乘法,,k a b ab k a a ⊕==构成R 上的向量空间.则此空间的零向量为___.(3) 全体正实数的集合R +,对加法和纯量乘法,,k a b ab k a a ⊕==构成R 上的向量空间. 则a R +∈的负向量为________.(4) 全体实二元数组对于如下定义的运算:2(,)(,)(,),(1)(,)(,),2a b c d a c b d ac k k k a b ka kb a ⊕=+++−=+ 构成实数域R 上的向量空间. 则此空间的零向量为___.(5) 全体实二元数组对于如下定义的运算:2(,)(,)(,),(1)(,)(,),2a b c d a c b d ac k k k a b ka kb a ⊕=+++−=+ 构成实数域R 上的向量空间. 则(,)a b 的负向量为________.(6) 数域F 上一切次数n ≤的多项式添加零多项式构成的向量空间[]n F x 维数等于_____.(7) 任一个有限维的向量空间的基________的, 但任两个基所含向量个数是________.(8) 复数域C 作为实数域R 上的向量空间, 维数等于______, 它的一个基为_______.(9) 复数域C 看成它本身上的向量空间, 维数等于______, 它的一个基为_______.(10) 实数域R 上的全体n 阶上三角形矩阵, 对矩阵的加法和纯量乘法作成向量空间, 它的维数等于_____.(11) 向量(0,0,0,1)ξ=关于基123(1,1,0,1),(2,1,3,1),(1,1,0,0)ααα===4(0,1,1,1)α=−−的坐标为__________.(12) 223x x ++关于3[]F x 的一个基332,,1,1x x x x x +++的坐标为__________.(13) 三维向量空间的基12(1,1,0),(1,0,1),αα== 则向量(2,0,0)β=在此基下的坐标为 _______.(14) V 和W 是数域F 上的两个向量空间, V 到W 的映射f 满足条件__________________________________________, 就叫做一个同构映射.(15) 数域F 上任一n 维向量空间V 都与向量空间______同构.(16) 设V 的子空间123,,,W W W 有1213230W W W W W W ===, 则123W W W ++ ________直和.答案(1)加法和数量乘法 (2)1 (3)1a(4)(0,0) (5)2(,)a a b −− (6)1n + (7)不唯一, 相等 (8)2;1,i (9)1;1 (10)(1)2n n + (11)(1,0,1,0)− (12)(0,0,1,2) (13)(1,1,1)− (14)f 是V 到W 的双射; 对任意,,()()()V f f f αβαβαβ∈+=+; 对任意,,()()a F V f a af ααα∈∈= (15)n F (16)不一定是三 简答题(1) 设().n V M R = 问下列集合是否为V 的子空间, 为什么?1) 所有行列式等于零的实n 阶矩阵的集合1W ;2) 所有可逆的实n 阶矩阵的集合2W ;(2) 设()L R 是实数域R 上所有实函数的集合, 对任意,(),,f g L R R λ∈∈ 定义()()()(),()()(),f g x f x g x f x f x x R λλ+=+=∈对于上述运算()L R 构成实数域R 上向量空间. 下列子集是否是()L R 的子空间? 为什么? 1) 所有连续函数的集合1W ;2) 所有奇函数的集合2W ;3) 3{|(),(0)(1)};W f f L R f f =∈=(3) 下列集合是否为n R 的子空间? 为什么? 其中R 为实数域.1) 11212{(,,,)|0,}n n i W x x x x x x x R α==+++=∈; 2) 21212{(,,,)|0,}n n i W x x x x x x x R α===∈; 3) 312{(,,,)|n W x x x α==每个分量i x 是整数};(4)设,,A X b 分别为数域F 上,1,1m n n m ⨯⨯⨯矩阵, 问AX b =的所有解向量是F 上的向量空间吗? 说明理由.(5) 下列子空间的维数是几?1) 3((2,3,1),(1,4,2),(5,2,4))L R −−⊆;2)22(1,1,)[]L x x x x F x −−−⊆(6) 实数域R 上m n ⨯矩阵所成的向量空间()m n M R ⨯的维数等于多少? 写出它的一个基.(7) 实数域R 上, 全体n 阶对称矩阵构成的向量空间的维数是多少?(8) 若12,,,n ααα是数域F 上n 维向量空间V 的一个基,122311,,,,n n n αααααααα−++++ 也是V 的一个基吗?(9) 1,2,(1)(2)x x x x −+−+是向量空间2[]F x 的一个基吗?(10) 取4R 的两个向量12(1,0,1,0),(1,1,2,0)αα==−.求4R 的一个含12,αα的基.(11) 在3R 中求基123(1,0,1),(1,1,1),(1,1,1)ααα==−=−到基123(3,0,1),(2,0,0),(0,2,2)βββ===−的过渡矩阵.(12) 在中4F 求向量(1,2,1,1)ξ=关于基123(1,1,1,1),(1,1,1,1),(1,1,1,1)ααα==−−=−− 4(1,1,1,1)α=−−的坐标.(13) 设1W 表示几何空间3V 中过原点之某平面1∏的全体向量所构成的子空间, 2W 为过原点之某平面2∏上的全体向量所构成的子空间, 则12W W 与12W W +是什么? 12W W +能不能是直和? (14) 设1123212(,,),(,),W L W L αααββ==求12W W 和12W W +. 其中123(1,2,1,2),(3,1,1,1),(1,0,1,1)ααα=−−==−; 12(2,5,6,5),(1,2,7,3).ββ=−=−−(15) 证明 数域F 上两个有限维向量空间同构的充分必要条件是它们维数相等.(16)设{|,,},{(,)|,},a b V a b c R W d e d e R b c ⎛⎫=∈=∈ ⎪⎝⎭都是实数域R 的向量空间.问V 与W 是否同构? 说明理由.(17) 设12,,,n ααα为向量空间的一个基, 令12,1,2,,i i i n βααα=+++=且 ()i i W L β=.证明 12n V W W W =⊕⊕⊕.答案(1)1)1W 不是V 的子空间. 若1,,||A B W A B ∈+若未必等于零, 1W 对加法不封闭. 2)2W 不是V 的子空间. 因为3,||0A W A ∈≠, 则||0A −≠, 但|()|0A A +−=, 对加法不封闭.(2)1) 1W 是()L R 的子空间. 因为两个连续函数的和及数乘连续函数仍为连续函数. 2) 2W 是()L R 的子空间. 因为两个奇函数的和及数乘奇函数仍为奇函数.3) 3W 是()L R 的子空间. 因为3W 非空, 且对任意3,,,f g W R λ∈∈有()(0)(0)(0)(1)(1)()(1);(0)((0))((1))()(1),f g f g f g f g f f f f λλλλ+=+=+=+=== 故3,.f g f W λ+∈(3)1) 是. 因1W 是齐次方程组120n x x x +++=的全体解向量.2) 2W 不是n R 的子空间. 因2W 对加法不封闭.3) 3W 不是子空间. 因对数乘运算不封闭.(4)当0b ≠时, AX b =的所有解向量不能构成F 上的向量空间. 因n 维零向量不是 AX b =的解向量. 当0b =时,0AX =的所有解向量能构成F 上的向量空间.(5)1) 维数是2. 因(2,3,1),(1,4,2)−线性无关, 而(5,2,4)2(2,3,1)(1,4,2)−=−+. 2) 维数是2. 因易证21,1x x −−线性无关, 但22(1)(1)()0x x x x −+−+−=.(6) 解 令ij E 表示i 行j 列位置元素是1其余是零的m n ⨯矩阵. 那么易证ij E 这m n ⨯个矩阵是线性无关的. 它们作成()m n M R ⨯的一个基, 故()m n M R ⨯的维数是m n ⨯.(7) ,,,1,2,3,,,,ii ij ji E E E i j n i j +=≠ 为全体n 阶对称矩阵构成的向量空间的一个基,其中共有12(1)n n ++++−个向量, 故此向量空间的维数(1)2n n +. (8) 解 由121112(,,,)(,,,)n n n n A ααααααααα−+++=. 得1||1(1)n A +=+−. 当n 为偶数时, ||0A =, 故12231,,n αααααα+++线性相关, 它不构成基. 当n 为奇数时, ||0,A ≠ 故12231,,n αααααα+++线性无关, 它构成一个基.(9) 解 在基21,,x x 之下有2122(1,2,(1)(2))(1,,)111001x x x x x x −−⎛⎫ ⎪−+−+= ⎪ ⎪⎝⎭. 因上式右方的3阶矩阵为可逆, 所以1,2,(1)(2)x x x x −+−+线性无关, 它是2[]F x 的一个基.(10) 解 取向量34(0,0,1,0),(0,0,0,1)εε==,由于1100010010,12100001−=−≠ 因此1234,,,ααεε线性无关, 所以向量组是4R 的一个基.(11) 解 由123123123123(,,)(,,),(,,)(,,)A B αααεεεβββεεε==推出 1123123(,,)(,,)A B βββααα−=因此所求过渡矩阵为10113201001100021112210211111122A B −⎛⎫ ⎪⎛⎫⎛⎫ ⎪ ⎪ ⎪ ⎪=−= ⎪ ⎪ ⎪ ⎪ ⎪−− ⎪⎝⎭⎝⎭ ⎪−− ⎪⎝⎭. (12) 解 取4F 的标准基1234,,,εεεε. 由1234,,,εεεε到1234,,,αααα的过渡矩阵为1111111111111111A ⎛⎫ ⎪−− ⎪= ⎪−− ⎪ ⎪−−⎝⎭于是(1,2,1,1)ξ=关于基1234,,,αααα的坐标为1541124114114A −⎛⎫ ⎪ ⎪⎛⎫ ⎪ ⎪ ⎪ ⎪= ⎪ ⎪ ⎪− ⎪ ⎪ ⎪⎝⎭ ⎪−⎪ ⎝⎭. (13) 解 由于1W ,2W 皆过原点, 它们必相交, 因此或重合, 或不重合. 若1W 与2W 重合, 则 121121,W W W W W W =+=. 若1W 与2W 不重合, 则12W W 为一条过原点的直线, 而12W W V +=, 但12W W +不能是直和.(14) 解 设112233112212k k k t t W W γαααββ=++=+∈为交空间的任意向量.由 11223311220,k k k t t αααββ++−−=得齐次线性方程组123121212123121231232025206702530k k k t t k k t t k k k t t k k k t t +−−+=⎧⎪+−−=⎪⎨−++++=⎪⎪−++−−=⎩ 由行初等变换知方程组的系数矩阵的秩为4, 解空间的维数为1, 且求得方程组的一般解为122232424896,,,7777k t k t k t k t =−=−=−=−因此维12()1W W =, 维12()4W W +=. 取27t =,令1267ξββ=−+便有12()W W L ξ=, 另外显然121231(,,,)W W L αααβ+=.(15) 证明 设数域F 上两个有限维向量空间V 与W 的维数均为n , 因,n n V F W F ≅≅所以V W ≅.反之, 若V W ≅, 设dim 0,V n => 且f 是V 到W 的同构映射. 取V 的一个基 12,,,n ααα, 易证12(),(),,()n f f f ααα是W 的一个基, 故dim W n =.(16) V 与W 不同构. 因dim 3,dim 2V W ==, V 与W 的维数不相等.(17) 证明 任取V α∈, 若1122n n a a a αααα=+++, 那么12123211()()()n n n n n n n a a a a a a a a αβββαβ−−=−−−+−−−+−+因此12n V W W W =+++, 并且V 中向量依诸i W 表示唯一, 故12n V W W W =⊕⊕⊕四 计算题(1) 设由123(1,2,2,2),(1,3,0,1),(2,1,2,5)ααα=−=−−=−−, 生成4R 的子空间.W 试从向量组1234(3,1,0,3),(2,1,0,3),(3,4,2,16),(1,7,4,15)ββββ==−=−−=−中找出W 的生成元.(1) 解 以123,,ααα及1234,,,ββββ为列做成矩阵A , 在对A 的行施行初等变换.11232312311147202002421533161510011/20201001/21100111/2100000400A B −⎛⎫⎪−−−⎪=→⎪−− ⎪⎪−−−⎝⎭⎛⎫⎪−− ⎪= ⎪ ⎪ ⎪−⎝⎭由于行初等变换不改变列向量间的线性关系. 由矩阵B 知,113323412,,2βααβααβαα=+=−+=+从而134(,,).L W βββ⊆但由B 还知134,,βββ线性无关, 故134,,βββ为W 的一组生成元.(2) 在向量空间4R 中, 求由向量123(2,1,3,1),(4,5,3,1),(1,1,3,1)ααα=−=−=−−4(1,5,3,1)α=−生成的子空间的一个基和维数.(2) 解 对下述矩阵施行行的初等变换241106391515151533330126181111042600001302.00000213−−−−⎛⎫⎛⎫⎪ ⎪⎪ ⎪→→ ⎪ ⎪−−−−− ⎪ ⎪ ⎪ ⎪−−⎝⎭⎝⎭⎛⎫⎪⎪⎪ ⎪⎪⎝⎭此变换保持列向量间的线性关系, 由右方矩阵知13,αα是一个极大无关组, 因此1234(,,,)L αααα的维数实是2,而13,αα是它的一个基.(3) 在4R 中求出向量组12345,,,,ααααα的一个极大无关组,然后用它表出剩余的向量.这里123(2,1,3,1),(1,2,0,1),(1,1,3,0),ααα===−−45(1,1,1,1),(0,12,12,5)αα==−.(3) 解 对下述矩阵施行行的初等变换211101010********011230311230311211015110150001300013101121010500026000001101511002−−−⎛⎫⎛⎫⎪ ⎪−− ⎪ ⎪→→ ⎪ ⎪−−−− ⎪ ⎪⎪ ⎪⎝⎭⎝⎭−−⎛⎫⎛⎫ ⎪⎪−−− ⎪ ⎪→ ⎪ ⎪−− ⎪ ⎪ ⎪ ⎪⎝⎭⎝⎭.由右方矩阵知234,,ααα是一个极大无关组, 并且有 1235234,253ααααααα=−=++.(4) 求3()M F 中与矩阵A 可交换的矩阵构成的子空间的维数及一个基, 其中 100010.312A ⎛⎫⎪= ⎪ ⎪⎝⎭(4) 解 设这个子空间为,W 由于A I B =+, 这里 000000311B ⎛⎫ ⎪= ⎪ ⎪⎝⎭因此与A 可交换的3阶方阵, 就是与B 可交换的3阶方阵, 从而 3{()|}W X M F BX XB =∈=.任取,()ij C W C c ∈=. 由BC CB =, 可得1323112131330,33,c c c c c c ==++=122232333c c c c ++=,于是C W ∈当且仅当C 的元素为齐次线性方程组2111313322123233333c c c c c c c c =−−+⎧⎨=−−+⎩的解. 于是我们得到如下矩阵100010000300,030,100000000100⎛⎫⎛⎫⎛⎫⎪ ⎪ ⎪−−− ⎪ ⎪ ⎪ ⎪ ⎪ ⎪⎝⎭⎝⎭⎝⎭ 000000010,310010001⎛⎫⎛⎫ ⎪ ⎪− ⎪ ⎪ ⎪ ⎪⎝⎭⎝⎭它们构成W 的一个基, 故W 的维数是5.(5) 求实数域上关于矩阵A 的全体实系数多项式构成的向量空间V 的一个基与维数.其中2100100,.200A ωωω⎛⎫−+ ⎪== ⎪ ⎪⎝⎭(5) 解 因31ω=, 所以22311,11A A I ωω⎛⎫⎛⎫ ⎪ ⎪=== ⎪ ⎪ ⎪ ⎪⎝⎭⎝⎭易证2,,I A A 线性无关. 于是任何多项式()(()[])f A f x R x ∈皆可由2,,I A A 线性表示, 故2,,I A A 为的一个基, dim 3V =.(6) 设1234(,,,)x x x x 为向量ξ关于基12(1,0,0,1),(0,2,1,0),αα==3(0,0,1,1),α=4(0,0,2,1)α=的坐标; 1234(,,,)y y y y 是ξ关于基1234,,,ββββ的坐标, 其中11y x =,221332442,,.y x x y x x y x x =−=−=−求基1234,,,ββββ.(6) 解 因1122123412343344(,,,)(,,,)x y x y x y x y ξααααββββ⎛⎫⎛⎫ ⎪ ⎪ ⎪ ⎪== ⎪ ⎪ ⎪ ⎪ ⎪ ⎪⎝⎭⎝⎭且111222333444100011000110011y x x y x x P y x x y x x ⎛⎫⎛⎫⎛⎫⎛⎫ ⎪ ⎪ ⎪⎪− ⎪ ⎪ ⎪ ⎪== ⎪ ⎪⎪ ⎪− ⎪ ⎪ ⎪⎪ ⎪ ⎪ ⎪ ⎪−⎝⎭⎝⎭⎝⎭⎝⎭则1122123412343344(,,,)(,,,)x x x x P x x x x ααααββββ⎛⎫⎛⎫⎪ ⎪ ⎪ ⎪= ⎪ ⎪ ⎪ ⎪ ⎪ ⎪⎝⎭⎝⎭于是 12341234(,,,)(,,,)P ααααββββ=, 即 112341234(,,,)(,,,)P ββββαααα−=故所求的基为1234(1,2,4,3),(0,2,4,2),(0,0,1,1),(0,0,2,1)ββββ====.(7) 设12,,,n ααα是n 维向量空间V 的一个基,11212,,,n αααααα++++也是V 的一个基,又若向量ξ关于前一个基的坐标为(,1,,2,1)n n −, 求ξ关于后一个基的坐标.(7) 解 基12,,,n ααα到后一个基的过渡矩阵为111101110011001P ⎛⎫ ⎪ ⎪⎪= ⎪ ⎪ ⎪⎝⎭. 那么12111001101101120001211000111n n n y n n y P y −−⎛⎫⎛⎫⎛⎫⎛⎫⎛⎫ ⎪⎪⎪ ⎪−−− ⎪ ⎪ ⎪⎪ ⎪ ⎪⎪ ⎪⎪ ⎪=== ⎪ ⎪⎪⎪ ⎪− ⎪ ⎪ ⎪⎪ ⎪⎪⎝⎭ ⎪ ⎪⎪ ⎪⎝⎭⎝⎭⎝⎭⎝⎭故ξ关于后一个基的坐标为(1,1,,1).(8) 已知3R 的一个基为123(1,1,0),(0,0,2),(0,3,2)ααα===. 求向量(5,8,2)ξ=−关于这个基的坐标.(8) 解 设112233x x x ξααα=++, 的方程组 11323538222x x x x x =⎧⎪+=⎨⎪+=−⎩解得1235,2,1x x x ==−=. 故ξ关于基123,,ααα的坐标(5,2,1)−.(9) 已知1234(2,1,1,1),(0,3,1,0),(5,3,2,1),(6,6,1,3)αααα=−===是4R 的一个基.求4R 的一个非零向量ξ, 使它关于这个基的坐标与关于标准基的坐标相同.(9) 解 由标准基1234,,,εεεε到基1234,,,αααα的过渡矩阵为 2056133611211013P ⎛⎫ ⎪⎪= ⎪− ⎪ ⎪⎝⎭设ξ关于两个基的坐标为1234(,,,)x x x x , 则11223344,x x x x P x x x x ⎛⎫⎛⎫⎪ ⎪ ⎪ ⎪= ⎪ ⎪ ⎪ ⎪ ⎪ ⎪⎝⎭⎝⎭即得齐次线性方程组134133412341345602360020x x x x x x x x x x x x x x ++=⎧⎪+++=⎪⎨−+++=⎪⎪++=⎩解得1234x x x x ===−, 令40,x k k R =≠∈, 则(,,,)k k k k ξ=−−−即为所求.(10)已知4R 的一个基123(2,1,1,1),(0,3,1,0),(5,3,2,1)ααα=−==4(6,6,1,3)α=.求1234(,,,)x x x x ξ=关于基1234,,,αααα的坐标.(10) 解 由标准基到所给基的过渡矩阵为 2056133611211013P ⎛⎫ ⎪⎪= ⎪− ⎪ ⎪⎝⎭那么11221123412343344(,,,)(,,,)x x x x P x x x x ξεεεεαααα−⎛⎫⎛⎫ ⎪ ⎪ ⎪ ⎪== ⎪ ⎪ ⎪ ⎪ ⎪ ⎪⎝⎭⎝⎭故ξ关于基1234,,,αααα的坐标为1234(,,,)y y y y , 这里11122213334444/91/3111/91/274/91/323/271/3002/37/271/91/326/27y x x y x x P y x x y x x −−−⎛⎫⎛⎫⎛⎫⎛⎫ ⎪ ⎪ ⎪ ⎪−− ⎪ ⎪ ⎪ ⎪== ⎪ ⎪ ⎪ ⎪− ⎪ ⎪ ⎪ ⎪ ⎪ ⎪ ⎪ ⎪−−⎝⎭⎝⎭⎝⎭⎝⎭.五 证明题(1) 设12,W W 为向量空间()V F 的两个子空间. 1)证明: 12W W 是V 的子空间.2)12W W 是否构成V 的子空间, 说明理由. (1) 证明1) 显然120W W ∈, 即12W W ≠Φ, 任取1212,,W W k F αα∈∈, 易知1212112,W W k W W ααα+∈∈, 故12W W 是V 的子空间.2) 不一定. 当12W W ⊆或21W W ⊆时, 12W W 是V 的子空间. 但当1W 与2W 互不包含时,12W W 不是V 的子空间. 因为总存在1112,W W αα∈∉及2221,W W αα∈∉使1212,W W αα∈, 而1212W W αα+∉, 因为这时121122,W W αααα+∉+∉, 否则与选取矛盾.(2) 设12,W W 为向量空间V 的两个子空间. 证明: 12W W +是V 的即含1W 又含2W 的最小子空间.(2) 证明 易知12121122{|,}W W W W αααα+=+∈∈为V 的子空间, 且112212,.W W W W W W ⊆+⊆+设W 为V 的包含1W 与2W 的任一子空间, 对任意1122,W W ξξ∈∈,有12W ξξ+∈, 即12W W W +⊆, 故12W W +是V 的即含1W 又含2W 的最小子空间..(3) 设12,W W 为向量空间()V F 的两个子空间. ,αβ是V 的两个向量, 其中2W α∈, 但1W α∉, 又2W β∉. 证明: 1)对任意2,k F k W βα∈+∉;2)至多有一个,k F ∈使得1k W βα+∈. (3) 证明1) 任意,k F ∈若2k W βα+∈, 则2()k k W ββαα=+−∈矛盾, 故1)成立.2) 当1W β∈时, 仅当0k =时, 有1k W βα+∈; 当1W β∉时, 若存在1212,,k k F k k ∈≠使得111221,k W k W αβααβα=+∈=+∈, 则12121()k k W ααα−=−∈, 因此1W α∈, 矛盾, 故2)成立.(4) 设12,W W 为向量空间V 的两个子空间. 证明 若1212W W W W +=, 则12W W ⊆或21W W ⊆.(4) 证明 因12W W 含1W 与2W 中所有向量, 12W W +含一切形如121122(,)W W αααα+∈∈的向量, 因为1212W W W W +=, 所以121W αα+∈或122W αα+∈. 若121W αα+∈, 令12ααβ+=, 则21αβα=−, 故21W W ⊆; 若122W αα+∈, 令12ααγ+=, 则12αγα=−, 故12W W ⊆.(5) 证明: n 维向量空间V 中, 任意n 个线性无关的向量都可作为V 的一个基.(5) 证明 设12,,,n ααα是V 中线性无关的向量, 取V 的单位向量12,,,n εεε, 则12(,,,)n V L εεε=, 且12,,,n ααα中每一个可由12,,,n εεε线性表示. 由替换定理知12,,,n ααα与12,,,n εεε等价, 所以V 中每一个向量可由12,,,n ααα线性表示, 又 12,,,n ααα线性无关, 故12,,,n ααα可作为V 的一个基.(6) 设V 为n 维向量空间, V 中有m 组线性无关的向量, 每组含t 个向量, 证明: V 中存在n t −个向量与其中任一组组成V 的一个基.(6) 证明 设V 中m 组线性无关的向量分别为12,,,(1,2,,),i i it i m t n ααα=≤. 令12(,,,)i i i it V L ααα=, 则dim i V t n =<. 因存在1,(1,2,,)i V i m ξ∉=, 使121,,,,i i it αααξ线性无关, 若1t n +<,令/121(,,,,)i i i it V L αααξ=, 则/i V 也为V 的非平凡子空间, 同理存在/2,1,2,,i V V i m ξ=−=, 而且1212,,,,,i i it αααξξ线性无关, 如此继续下去, 可找到12,,,n t ξξξ−使得12,,,,i i it ααα12,,,n t ξξξ−线性无关, 故对每个i ,它们都是V 的一个基.(7) 设n 维向量空间V 的向量组12,,,n ααα的秩为r , 使得11220n n k k k ααα+++=全体n 维向量12(,,,)n k k k 的集合为W . 证明W 是n F 的n r −维子空间.(7) 证明 显然12dim (,,,)n L r ααα=, 今设每个i α在12(,,,)n L ααα的某个基下的坐标为12[]i i i ir a a a α⎛⎫ ⎪ ⎪= ⎪ ⎪ ⎪⎝⎭,1,2,,i n =那么由11220n n k k k ααα+++=可得1122[][][]0n n k k k ααα+++=.它决定了一个含n 个未知量12,,,,n k k k r 个方程的齐次线性方程组, 其系数矩阵12([],[],,[])n ααα的秩为r , 故解空间即W 的维数为n r −.(8) 设12,,,n a a a 是数域F 中n 个不同的数, 且12()()()()n f x x a x a x a =−−−. 证明多(8) 证明 因1dim []n F x n −=, 所以只需证12,,n f f f 线性无关. 设有12,,,n k k k F ∈,使1220n n k f k f k f +++= (*)由()0,,()0j i i i f a i j f a =≠≠, 因此将i a 带入(*)得()0i i i k f a =, 从而0,(1,2,)i k i n ==故12,,n f f f 线性无关, 为1[]n F x −的一个基.(9) 设W 是n R 的一个非零子空间, 而对于W 的每一个向量12(,,,)n a a a 来说, 或者120n a a a ====, 或者每一个i a 都不等于零. 证明: dim 1.W =(9) 证明 由W 非零, 我们总可以取12(,,,)n b b b W β=∈, 且0β≠, 那么每个0i b ≠且β线性无关. 今对任意12(,,,)n a a a W α=∈, 若0α=当然α可由β线性表示; 若0α≠而11a W b αβ−∈, 由于其第一个分量为0, 由题设知11ab αβ=. 故β可作为W 的一个基,且dim 1.W =(10) 证明: 22,,1x x x x x +−+是2[]F x 的一个基, 并求2273x x ++关于这个基的坐标.(10) 证明: 2dim []3,F x =22,,1x x x x x +−+由基21,,x x 表示的演化矩阵为 001111110A ⎛⎫ ⎪=− ⎪ ⎪⎝⎭但A 可逆, 故22,,1x x x x x +−+是2[]F x 的一个基.2273x x ++关于这个基的坐标(3,1,3)−,因为13371.23A −⎛⎫⎛⎫⎪ ⎪=− ⎪ ⎪ ⎪ ⎪⎝⎭⎝⎭(11) 若123,,W W W 都是V 的子空间, 求证:11231213(())()()W W W W W W W W +=+.(11) 证明: 任意1123(())W W W W α∈+, 则1W α∈, 且123()W W W α∈+, 因此1311233,,W W W ααααα=+∈∈, 但1W α∈, 知313W W α∈, 故 1213()()W W W W α∈+.反之, 任意1213()()W W W W β∈+, 12112213,,W W W W βββββ=+∈∈, 则1W β∈, 且123()W W W β∈+, 故1123(())W W W W β∈+.(12) 设12,,,s W W W 是n 维向量空间V 的子空间. 如果12s W W W +++为直和.证明:{0},,,1,2,,ij W W i j i j s =≠=.(12) 证明: 由12s W W W +++为直和, 有(){0},,,1,2,,ij i jW W i j i j s ≠=≠=∑, 而(){0},,,1,2,,i j ij i jW W W W i j i j s ≠⊆=≠=∑. 故{0},,,1,2,,i j W W i j i j s =≠=.(13) 设12,W W 分别是齐次线性方程组120n x x x +++=与12n x x x ===的解空间.证明: 12n F W W =+.(13) 证明 因120n x x x +++=的解空间的维数为1n −, 且一个基为12(1,1,0,,0),(1,0,1,0,,0),αα=−=−1,(1,0,,0,1)n α−=−, 又12n x x x ===即方程组12231000n n x x x x x x −−=⎧⎪−=⎪⎨⎪⎪−=⎩的系数矩阵的秩为1n −, 其解空间的维数为1, 且一个基为(1,1,,1)β=, 但121,,,n αααβ−线性无关, 它是n F 的一个基, 且12dim dim dim n F W W =+, 故12n F W W =+.(14) 证明 每一个n 维向量空间都可以表成n 个一维子空间的直和. (14) 证明: 设12,,,n ααα是n 维向量空间V 的一个基, 那么12(),(),,()n L L L ααα都是一维子空间.显然 12()()()n V L L L ααα=+++于是由V 中向量在此基下表示唯一, 立得结论.(15) 证明n 维向量空间V 的任意一个真子空间都是若干个1n −维子空间的交.(15) 证明: 设W 是V 的任一子空间, 且设12,,,s ααα为W 的一个基, 将其扩充为V 的一个基12,,,s ααα1,,,s n αα+, 那么令12111(,,,,,,,,,)i s s s i s i n W L ααααααα++−++=于是这些,1,2,i W i n s =−, 均为1n −维子空间, 且12n s W W W W −=.(16)设:f V W →是数域F 上向量空间V 到W 的一个同构映射, 1V 是V 的一个子空间.证明: 1()f V 是W 的一个子空间.(16) 证明: 因1(0)()f f V ∈, 所以1()f V 非空. 对任意//1,()f V αβ∈, 由于f 是1V 到1()f V 的满射, 因此存在1,V αβ∈, 使//(),()f f ααββ==, 对任意,a b F ∈, 有 1a b V αβ+∈, 于是//1()()()()f a b af bf a b f V αβαβαβ+=+=+∈, 故1()f V 是W的一个子空间.(17) 证明: 向量空间[]F x 可以与它的一个真子空间同构.(17) 证明: 记数域F 上所有常数项为零的多项式构成的向量空间V , 显然[]V f x ⊂, 且V 中有形式()xf x , 这里()f x ∈[]F x .定义:[];F x V σ()()f x xf x →, 显然σ是[]F x 到V 的双射, 且对于任意(),()f x g x ∈[],,,F x a b F ∈(()())(()())()()(())(())af x bg x x af x bg x axf x bxg x a f x b g x σσσ+=+=+=+故σ是[]F x 到V 的同构映射. 从而V 是[]F x 的一个真子空间, []F x V ≅.(18) 设,αβ是复数, {()[]|()0},{()[]|()0}V f x R x f W g x R x g αβ=∈==∈=,证明: ,V W 是R 上的向量空间, 并且V W ≅.(18) 证明: 易证,V W 是R 上的向量空间,设V 中次数最低的多项式为()h x , 则对任意()f x V ∈, 都有()[]s x R x ∈, 使()()()f x h x s x =, 因此{()()|()[]}V h x s x s x R x =∈同理, 设W 中次数最低的多项式为()k x , 则{()()|()[]}W k x s x s x R x =∈. 定义:()()()()h x s x k x s x σ易证σ是V 到W 的同构映射, 故V W ≅.(19) 证明 实数域R 作为它自身上的向量空间与全体正实数集R +对加法: a b ab ⊕=, 与纯量乘法: kk a a =构成R 上的向量空间同构.(19) 证明: 定义:(1)x xa a σ>显然σ是R 到R +的映射.1),x y R ∈, 若x y ≠, 则x y a a ≠, 所以σ为单射;任意b R +∈, 因log ,log ba b a b a R =∈, 则(log )ba b σ=, 即σ为满射.从而σ为双射.2) 任,,()()()x y x y x y x y R x y a a a a a x y σσσ+∈+===⊕=⊕. 3) 任,()()()kx x k x k R kx a a k a k x σσ∈====,于是σ是R 到R +的同构映射. 故R R +≅.(20) 设V 是数域F 上无限序列12(,,)a a 的集合, 其中i a F ∈, 并且只有有限i a 不是零.V 的加法及F 中的数与V 中元的纯量乘法同n F , 则V 构成F 上的向量空间. 证明: V 与[]F x 同构.(20) 证明: 取[]F x 的一个基21,,,x x , 则[]F x 中任一多项式01()n n f x a a x a x =+++关于这个基有唯一确定的坐标01(,,,,0,)n a a a V ∈.定义:()f x σ01(,,,,0,)n a a a则σ是[]F x 到V 的一个同构映射, 故[]F x V ≅.线性变换一 判断题(1) 在向量空间3R 中, 1231223(,,)(2,,)x x x x x x x σ=−, 则σ是3R 的一个线性变换. ( ). (2) 在向量空间[]n R x 中, 2(())()f x f x σ=, 则σ是[]n R x 的一个线性变换. ( ). (3) 取定()n A M F ∈, 对任意的n 阶矩阵()n X M F ∈, 定义()X AX XA σ=−, 则σ是()n M F 的一个线性变换. ( ).(4) σ是向量空间V 的线性变换, 向量组12,,,m ααα线性相关, 那么12(),(),,()m σασασα也线性相关. ( ).(5) 在向量空间[]n R x 中, 则微商'(())()f x f x σ=是一个线性变换. ( ). (6) 在向量空间3R 中, 已知线性变换1231223312313(,,)(,,),(,,)(,0,).x x x x x x x x x x x x x στ=++=则12321233(2)(,,)(,,)x x x x x x x x στ−=−+−. ( ).(7) 对向量空间V 的任意线性变换σ, 有线性变换τ, 使(στιι=是单位变换). ( ). (8) 向量空间2R 的两个线性变换σ,τ为12121(,)(,)x x x x x σ=−;12122(,)(,)x x x x x τ=−则212212()(,)(,).x x x x x στσ−=−+(9) 在实数域F 上的n 维向量空间V 中取定一组基后, V 的全体线性变换和F 上全体n阶矩阵之间就建立了一个一一对应. ( ).(10)在取定基后, V 的每个可逆线性变换对应于可逆矩阵, 但逆变换未必对应于逆矩阵.( ).(11) 线性变换在不同基下对应的矩阵是相似的. ( ). (12) 相似矩阵不一定是同一线性变换在不同基下的矩阵. ( ). (13) 域F 上的向量空间V 及其零子空间, 对V 的每个线性变换来说, 都是不变子空间.( ).(14) 除零变换外, 还存在向量空间V 的线性变换, 能使V 的任意子空间对该变换不变.( )(15) 向量空间V 的线性变换1σ的不变子空间W , 也是V 的另一线性变换2σ的不变子空间, 这里21σσ≠. ( ).(16) 向量空间V 的线性变换σ的象与核都是σ的不变子空间. ( ). (17) 线性变换σ的特征向量之和, 仍为σ的特征向量. ( ). (18) 属于线性变换σ同一特征根0λ的特征向量的线性组合仍是σ的特征向量. ( ). (19) 数域F 中任意数λ都是F 上的向量空间V 的零变换的特征根. ( ). (20) σ在一个基下可以对角化, 则σ在任何基下可以对角化. ( ).参考答案:(1)正确 (2)错误 (3)正确 (4)正确 (5)正确 (6)正确 (7)错误 (8)正确 (9)正确 (10)错误 (11)正确 (12)错误 (13)正确 (14)正确 (15)错误 (16)正确 (17)错误 (18)正确 (19)错误 (20)错误二 填空题(1) 设V 和W 是数域F 上的向量空间, 而:V W σ→是一个线性映射, 那么σ是单射的充要条件是____________.(2) 设V 和W 是数域F 上的向量空间, 而:V W σ→是一个线性映射, 那么σ是满射的充要条件是____________.(3) σ是向量空间V 的线性变换, 若满足________________, 则称σ是可逆变换. (4) 向量空间V 的任意线性变换σ, 都有(0)_______,()______.σσα=−=(5)σ是n 维向量空间V 的一个位似变换: (),k σξξ=那么σ关于V 的__________基的矩阵是kI .(6) 在3V 的基123{,,}εεε下σ的矩阵是 111213212223313233a a a A a a a aa a ⎛⎫⎪= ⎪ ⎪⎝⎭那么σ关于基3121{,,2}εεεε+的矩阵是_____________.(7) 在3F 中的线性变换12312231(,,)(2,,)x x x x x x x x σ=−+, 那么σ关于基123(1,0,0),(0,1,0),(0,0,1)εεε===的矩阵是________________.(8)设12,σσ分别是向量空间2R 中绕原点逆时针旋转12,θθ角的线性变换, 那么21σσ关于基12(1,0),(0,1)αα==的矩阵是___________________.(9) 对于域F 上向量空间V 的数乘变换来说______________不变子空间. (10)2维平面上的旋转变换σ,_________非平凡的不变子空间.(11) 若线性变换σ与τ是_____________, 则τ的象与核都是σ的不变子空间. (12) 相似矩阵有_____的特征多项式.(13)0()0I A X λ−=的___________都是A 的属于0λ的特征向量. (14) A 与对角阵相似, ()[]f x F x ∈, 则()f A 必与某一______________. (15) 设V 是数域F 上的n 维向量空间, (),L V σσ∈的不同的特征根是12,,,t λλλ, 则σ可对角化的充要条件是_____________.(16) 设σ是实数域F 上的n 维向量空间V 的线性变换, 如果V 的任意一维子空间都是σ的不变子空间, 那么σ可以_____________.(17) 设σ是实数域F 上的n 维向量空间V 的线性变换, σ可对角化的充要条件是 1)σ的特征多项式的根都在F 内; 2)_______________________________;(18) 设()n A M F ∈, 如果A 的特征多项式在F 内有______________, 那么A 可对角化. (19) 设σ是实数域F 上的n 维向量空间V 的线性变换, λ是σ的一个特征根, 则dim ____V λλ的重数.(20) 矩阵327024005⎛⎫ ⎪⎪ ⎪⎝⎭的特征根是______________.答案(1)ker(){0}σ= (2)Im()W σ= (3)存在V 的线性变换τ, 使σττσι== (4)0,α−(5)任意 (6)131112112321222133313231222a a a a a a a a a a a a +⎛⎫⎪+ ⎪ ⎪+⎝⎭ (7)210011100−⎛⎫⎪ ⎪ ⎪⎝⎭(8)12121212cos()sin()sin()cos()θθθθθθθθ+−+⎛⎫⎪++⎝⎭ (9)每个子空间都是 (10)没有 (11)可交换的(12)相同 (13)非零解向量 (14)对角阵相似 (15)1dim i ti V n λ==∑ (16)对角化 (17)对于σ的特征多项式的每一个根λ, 特征子空间V λ的维数等于λ的重数 (18)n 个不同的 单根 (19)≤ (20)3, 2, 5三. 单选题:1.向量空间()n V F 的零变换θ的象及核的维数分别是( )。
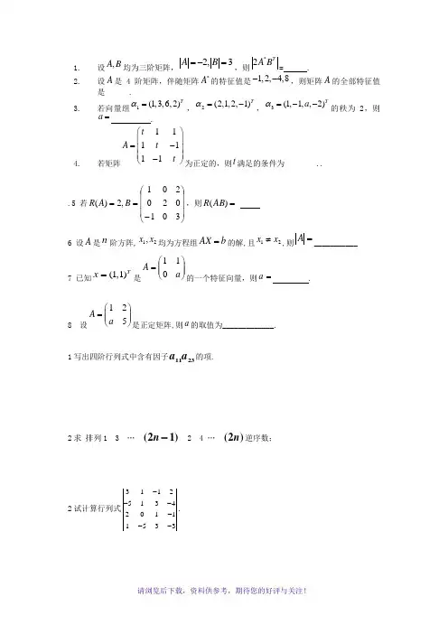
1.设B A ,均为三阶矩阵,2,3A B =-=,则*2T A B = . 2.设A 是4阶矩阵,伴随矩阵*A 的特征值是1,2,4,8--,则矩阵A 的全部特征值是 . 3. 若向量组1(1,3,6,2)T α=,2(2,1,2,1)T α=-,3(1,1,,2)T a α=--的秩为2,则a = .4.若矩阵111111t A t t ⎛⎫ ⎪=- ⎪ ⎪-⎝⎭为正定的,则t 满足的条件为 .. .5 若⎪⎪⎪⎭⎫ ⎝⎛-==301020201,2)(B A R ,则=)(AB R6 设A 是n 阶方阵,21,x x 均为方程组b AX =的解,且21x x ≠,则=A ___________7 已知(1,1)T x =是⎪⎪⎭⎫ ⎝⎛=a A 011的一个特征向量,则=a .8 设⎪⎪⎭⎫ ⎝⎛=521a A 是正定矩阵,则a 的取值为_____________.1写出四阶行列式中含有因子2311a a 的项.2求 排列1 3 … )12(-n 2 4 … )2(n 逆序数;2试计算行列式3112513420111533------.3 设γβααα,,,,321都是4维列向量,且4阶行列式a =βααα,,,321,b =321,, ,αααγ,求4阶行列式γβααα+,,,321。
4.设矩阵A=423110123-⎛⎝ ⎫⎭⎪⎪⎪,求矩阵B 使其满足矩阵方程 1、AB=A+2B.2、BA=A+2B.5设向量⎪⎪⎪⎪⎪⎭⎫ ⎝⎛-=42111α,⎪⎪⎪⎪⎪⎭⎫ ⎝⎛=23102α,⎪⎪⎪⎪⎪⎭⎫ ⎝⎛+-=1410233a α,⎪⎪⎪⎪⎪⎭⎫ ⎝⎛+-=52114a α,⎪⎪⎪⎪⎪⎭⎫ ⎝⎛+-=10612b β,问:b a ,取何值时,向量β可由向量组4321,,,αααα线性表示?并在可以线性表示时求出此线性表示式-7 求下列矩阵的秩,并指出该矩阵的一个最高阶非零子式⎪⎪⎪⎪⎪⎭⎫ ⎝⎛------11011111100222021110解1011111002202110,4.2----秩为 8.给定向量组α1=-⎛⎝ ⎫⎭⎪⎪⎪⎪2103,α2=1324-⎛⎝ ⎫⎭⎪⎪⎪⎪,α3=3021-⎛⎝ ⎫⎭⎪⎪⎪⎪,α4=0149-⎛⎝ ⎫⎭⎪⎪⎪⎪. 试判断α4是否为α1,α2,α3的线性组合;若是,则求出组合系数。
线性代数习题和答案第一部分选择题 (共28分)一、单项选择题(本大题共14小题,每小题2分,共28分)在每小题列出の四个选项中只有一个是符合题目要求の,请将其代码填在题后の括号内。
错选或未选均无分。
1.设行列式a aa a11122122=m,a aa a13112321=n,则行列式a a aa a a111213212223++等于( )A。
m+n B. —(m+n) C. n-m D. m—n2.设矩阵A=100020003⎛⎝⎫⎭⎪⎪⎪,则A-1等于()A。
130012001⎛⎝⎫⎭⎪⎪⎪⎪⎪⎪B.100120013⎛⎝⎫⎭⎪⎪⎪⎪⎪⎪C。
13000100012⎛⎝⎫⎭⎪⎪⎪⎪⎪D。
120013001⎛⎝⎫⎭⎪⎪⎪⎪⎪⎪3。
设矩阵A=312101214---⎛⎝⎫⎭⎪⎪⎪,A*是Aの伴随矩阵,则A *中位于(1,2)の元素是()A. –6 B。
6C。
2 D. –24。
设A是方阵,如有矩阵关系式AB=AC,则必有( )A。
A =0 B. B≠C时A=0C. A≠0时B=C D。
|A|≠0时B=C5。
已知3×4矩阵Aの行向量组线性无关,则秩(A T)等于( )A. 1 B。
2C。
3 D. 46.设两个向量组α1,α2,…,αs和β1,β2,…,βs均线性相关,则( )A。
有不全为0の数λ1,λ2,…,λs使λ1α1+λ2α2+…+λsαs=0和λ1β1+λ2β2+…λsβs=0B.有不全为0の数λ1,λ2,…,λs使λ1(α1+β1)+λ2(α2+β2)+…+λs(αs+βs)=0C.有不全为0の数λ1,λ2,…,λs使λ1(α1—β1)+λ2(α2—β2)+…+λs(αs-βs)=0D。
有不全为0の数λ1,λ2,…,λs和不全为0の数μ1,μ2,…,μs使λ1α1+λ2α2+…+λsαs=0和μ1β1+μ2β2+…+μsβs=07。
设矩阵Aの秩为r,则A中( )A.所有r-1阶子式都不为0B.所有r—1阶子式全为0C。
第四章线性变换习题精解1.鉴别下边所定义的变换那些是线性的,那些不是:1)在线性空间 V 中,A, 此中V 是一固定的向量;2)在线性空间 V 中,A此中V 是一固定的向量;3)在P3中,A ( x1, x2, x3)( x12 , x2x3 , x32 ) ;4)在P3中,A( x1 , x2 , x3 )(2x1x2 , x2x 3 , x1 ) ;5)在 P[ x ] 中,A f (x) f (x 1)6)在 P[ x ] 中,A f (x) f (x),此中x0P 是一固定的数;7)把复数域上看作复数域上的线性空间,A8)在 P n n中,A X=BXC此中 B,C Pn n是两个固定的矩阵 .解 1)当0时,是;当0时,不是.2) 当0时,是;当0时,不是.3) 不是 . 比如当(1,0,0) ,k 2 时, k A()( 2,0,0) , A (k ) (4,0,0) , A(k)k A() .4) 是 . 因取( x1 , x2 , x3 ),( y1 , y2 , y3 ) ,有A() = A ( x1y1 , x2y2 , x3 y3 )=( 2x1 2 y1x2y2 , x2y2x3y3 , x1 y1 )=( 2x1x2 , x2x3 , x1 ) (2 y1y2 , y2 y3 , y1 )= A+ AA(k) A ( kx1, kx2,kx3)(2kx1kx2 , kx2kx3 , kx1 )(2kx1kx2 , kx2kx3 , kx1 )=k A( )故 A是P3上的线性变换.5)是.因任取f (x)P[ x], g( x) u( x) f ( x)g( x) 则A( f (x)g( x)) =A u( x) = u( x 再令 v( x) kf (x) 则A(kf ( x))故 A 为P[ x]上的线性变换.6) 是 . 因任取f ( x) P[ x], g(x)P[ x] ,并令1) = f (x 1) g( xA (v( x))v( xP[ x] 则.1) =A f (x) + A ( g(x))1) kf (x 1) k A( f (x))A( f (x)g( x)) =f ( x0)g (x0)A( f (x))A( g(x) ) A( kf( x))kf ( x0)k A( f (x))7) 不是. 比如取a=1,k=I,则A(ka)=-i , k(A a)=i,A( ka)k A(a)8) 是 . 因任取二矩阵 X , Y P n n , 则A X Y) B(XY)C BXC BYC A XA(+A X)=B(kX ) k( BXC )k A X(k故 A 是 P n n 上的线性变换 .2. 在几何空间中 , 取直角坐标系 oxy, 以 A 表示将空间绕 ox 轴由 oy 向 oz 方向旋转 90 度的变换,, 以 B 表示绕 oy 轴向 ox 方向旋转90 度的变换 , 以 C 表示绕 oz 轴由 ox 向 oy 方向旋转 90度的变换 . 证明 :A 4 =B 4 =C 4 =E,AB BA,A 2 B 2 =B 2 A 2并查验 ( AB ) 2 =A 2 B 2 能否建立 .解 任取一直量 a=(x,y,z), 则有1)由于A a=(x,-z,y), A 2 a=(x,-y,-z) A 3 a=(x,z,-y),A 4 a=(x,y,z)a=(z,y,-x),2a=(-x,y,-z)BBB 3 a=(-z,y,x), B 4 a=(x,y,z)C a=(-y,x,z), C 2 a=(-x,-y,z) C 3 a=(y,-x,z),C 4 a=(x,y,z)所以A 4 =B 4 =C 4 =E2) 由于AB (a)= A (z,y,-x)=(z,x,y) BA (a)= B (x,-z,y)=(y,-z,-x)所以AB BA3) 由于A 2B 2 (a)= A 2 (-x,y,-z)=(-x,-y,z)B 2 A 2 (a)= B 2 (x,-y,-z)=(-x,-y,z)所以A 2B 2 =B 2 A 23)由于( AB) 2 (a)=( AB)( AB(a))_= AB(z,x,y)=(y,z,x) 22A B (a)=(-x,-y,z)( ) 22B 2AB A3. 在 P[x] 中, A f ( x) f ' ( x), B f (x) xf (x)证明 : AB-BA=E证任取 f ( x) P[x],则有( AB-BA) f ( x) =AB f ( x)-BA f ( x)=A( xf (x)) - B( f'( x)) = f ( x)xf ; ( x) - xf ' ( x) = f ( x)所以AB-BA=E4.设 A,B 是线性变换,假如 AB-BA=E,证明:A k B-BA k = k A k 1(k>1)证采纳数学概括法.当 k=2 时A 22222 B-BA =(A B-ABA)+(ABA-BA )=A(AB-BA)+(AB-BA)A=AE+EA=A结论建立 .概括假定k m 时结论建立,即 A m B-BA m=m A m 1 . 则当k m 1时有,A m 1 B-BA m 1 =(A m 1 B-A m BA)+(A m BA-BA m 1 )=A m (AB-BA)+(A m B-BA m )A=A m E+m A m 1 A= ( m1) A m即 k m 1 时结论建立.故对全部 k 1结论建立.5. 证明 : 可逆变换是双射 .证设 A 是可逆变换, 它的逆变换为 A 1 .若a b , 则必有A a A b,否则设Aa=A b,两边左乘A 1 ,有a=b, 这与条件矛盾.其次 , 对任一直量b, 必有 a 使A a=b, 事实上, 令 A 1 b=a即可.所以 , A是一个双射.6. 设 1 , 2 ,,n 是线性空间V 的一组基,A 是V 上的线性变换。
第七章 线性变换练习题参考答案一、填空题1.设123,,εεε是线性空间V 的一组基,V 的一个线性变换σ在这组基下的矩阵是33112233(),,ij A a x x x V αεεε⨯==++∈则σ在基321,,εεε下的矩阵B =1,T AT -而可逆矩阵T =001010100⎛⎫ ⎪ ⎪ ⎪⎝⎭满足1,B T AT -=σα在基123,,εεε下的坐标为123x A x x ⎛⎫ ⎪ ⎪ ⎪⎝⎭ .2.设A 为数域P 上秩为r 的n 阶矩阵,定义n 维列向量空间n P 的线性变换:(),n A P σσξξξ=∈,则1(0)σ-={}|0,n A P ξξξ=∈,()1dim (0)σ-=n r -,()dim ()n P σ=r .3.复矩阵()ij n n A a ⨯=的全体特征值的和等于1nii i a =∑ ,而全体特征值的积等于||A .4.设σ是n 维线性空间V 的线性变换,且σ在任一基下的矩阵都相同,则σ为__数乘__变换 .5.数域P 上n 维线性空间V 的全体线性变换所成的线性空间()L V 为2n 维线性空间,它与n n P ⨯同构.6.设n 阶矩阵A 的全体特征值为12,,,n λλλ,()f x 为任一多项式,则()f A 的全体特征值为12(),(),,()n f f f λλλ . 7.设⎪⎪⎭⎫ ⎝⎛=2231A ,则向量⎪⎪⎭⎫ ⎝⎛11是A 的属于特征值 4 的特征向量. 8.若⎪⎪⎪⎭⎫ ⎝⎛--=100001011A 与1010101k B k ⎛⎫ ⎪=-- ⎪ ⎪⎝⎭相似,则k = -1/2 . 9.设三阶方阵A 的特征多项式为322)(23+--=λλλλf ,则=||A 3 .10.n 阶方阵A 满足A A =2,则A 的特征值为 0和1 .11.线性空间3R 上的线性变换为A =),,(321x x x 132321(2,33,2)x x x x x x ++-,变换A 在基)1,0,0(),0,1,0(),0,0,1(321===εεε下的矩阵为102033210⎛⎫ ⎪ ⎪ ⎪-⎝⎭.二、判断题1.设σ是线性空间V 的一个线性变换,12,,,s V ααα∈线性无关,则向量组12(),(),,()s σασασα也线性无关. (错) 2.设σ为n 维线性空间V 的一个线性变换,则由σ的秩+σ的零度=n ,有1()(0).V V σσ-=⊕ (错)未必有1()(0).V V σσ-=⊕3.在线性空间2R 中定义变换σ:(,)(1,)x y x y σ=+,则σ是2R 的一个线性变换. (错)零向量的像是(1,0)4.若σ为n 维线性空间V 的一个线性变换,则σ是可逆的当且仅当1(0)σ-={0}. (正确)σ是可逆的当且仅当σ是双射.5.设σ为线性空间V 的一个线性变换,W 为V 的一个子集,若()W σ是V 的一个子空间,则W 必为V 的子空间. (错)如平面上的向量全体在x 轴上的投影变换,W 为终点在与x 轴平行而不重合的直线上的向量全体,()W σ为x 轴上的向量全体,是V 的一个子空间,但W 不是V 的子空间.6.n 阶方阵A 至少有一特征值为零的充分必要条件是0||=A .(正确)7.已知1-=PBP A ,其中P 为n 阶可逆矩阵,B 为一个对角矩阵.则A 的特征向量与P 有关.( 正确 )1P AP B -=,P 的列向量为A 的特征向量.8.σ为V 上线性变换,n ααα,,,21 为V 的基,则)(,),(),(21n ασασασ 线性无关.(错)当σ可逆时无关,当σ不可逆时相关.9.α为V 上的非零向量,σ为V 上的线性变换,则})(|{)(1αησηασ==-是V 的子空间.( 错 )不含零向量.三、计算与证明1.判断矩阵A 是否可对角化?若可对角化,求一个可逆矩阵T ,使1T AT -成对角形.133313331A ⎛⎫ ⎪= ⎪ ⎪⎝⎭解:先求矩阵A 的特征值与特征向量.2133313(7)(2)331E A λλλλλλ----=---=-+---. 矩阵A 的特征值为12,37,2λλ==-.当17λ=时,解方程组1231231236330,3630,3360.x x x x x x x x x --=⎧⎪-+-=⎨⎪--+=⎩得矩阵A 属于特征值7的线性无关特征向量为1(1,1,1)'ξ=.当2,32λ=-时,解方程组1231231233330,3330,3330.x x x x x x x x x ---=⎧⎪---=⎨⎪---=⎩得矩阵A 属于特征值-2的线性无关特征向量为23(1,1,0)',(1,0,1)'ξξ=-=-.矩阵A 有三个线性无关的特征向量.因此矩阵A 可对角化,取矩阵111110101T ⎛⎫ ⎪=- ⎪ ⎪-⎝⎭有1722T AT -⎛⎫ ⎪=- ⎪ ⎪-⎝⎭2.在线性空间n P 中定义变换σ:122(,,,)(0,,,)n n x x x x x σ=(1)证明:σ是n P 的线性变换.(2)求()n P σ与1(0).σ-(1)证明:112222(,,,)(0,,,)n n n n x y x y x y x y x y σ+++=++ 221212(0,,,)(0,,,)(,,,)(,,,)n n n n x x y y x x x y y y σσ=+=+12122((,,,))(,,,)(0,,,)n n n k x x x kx kx kx kx kx σσ== 212(0,,,)(,,,)n n k x x k x x x σ==.所以σ是n P 的线性变换.(2){}2()(0,,,)|,2,,.n n i P x x x P i n σ=∈=. {}111(0)(,0,,0)|.x x P σ-=∈3.设⎪⎪⎪⎭⎫ ⎝⎛----=a A 33242111与⎪⎪⎪⎭⎫ ⎝⎛=b B 00020002相似.(1)求b a ,的值;(2)求可逆矩阵,使B AP P =-1.解:(1)由矩阵A 与B 相似可得,矩阵A 与B 有相同的迹与行列式,因此有45,46 6.b a b a +=+⎧⎨=-⎩ 所以5,6a b ==.(2)先求矩阵A 的特征值与特征向量.2111||242(6)(2)335E A λλλλλλ---=--=--- 特征值为1,232,6λλ==.当1,22λ=时,解方程组1231231230,2220,3330.x x x x x x x x x +-=⎧⎪--+=⎨⎪+-=⎩得矩阵A 属于特征值-2的线性无关特征向量为12(0,1,1)',(1,0,1)'ξξ==.当16λ=时,解方程组12312312350,2220,330.x x x x x x x x x +-=⎧⎪-++=⎨⎪++=⎩得矩阵A 属于特征值7的线性无关特征向量为1(1,2,3)'ξ=-.因此可取矩阵011102113P ⎛⎫ ⎪=- ⎪ ⎪⎝⎭,有B AP P =-1.4.令n n P ⨯表示数域P 上一切n 级方阵所成的向量空间,取定,n n A B P ⨯∈,对任意的n n P X ⨯∈,定义()''X A XA B XB σ=-. 证明σ是n n P ⨯上的一个线性变换.证明:对任意的,,n n X Y P k P ⨯∈∈,有()'()'()''''()(),X Y A X Y A B X Y BA XAB XB A YA B YB X Y σσσ+=+-+=-+-=+()'()'()('')()kX A kX A B kX B k A XA B XB k X σσ=-=-=.因此σ是n n P ⨯上的一个线性变换.。
第七章 线性变换基础训练题1. 判断下面所定义的变换,哪些是线性的,哪些不是: (1) 在向量空间V 中,σ (ξ)=ξ+α,α是V 中一固定的向量;(2) 在向量空间R 3中,σ (x 1, x 2, x 3)=),,(233221x x x x +; (3) 在向量空间R 3中,σ (x 1, x 2, x 3)=),,2(13221x x x x x +-; (4) 把复数域看作复数域上的向量空间,σ (ξ)=ξ. 解 (1)当0=α时,σ是线性变换; 当0≠α时,σ不是线性变换; (2)σ不是线性变换; (3)σ是线性变换; (4)σ不是线性变换;2. 设σ是向量空间V 的线性变换,如果σ k -1ξ≠0, 但σ k ξ=0,求证ξ, σξ, …, σ k -1ξ (k>0)线性无关. 证明: 令++σξξ10l l ┄ +011=--ξσk k l ┈┈┈┈(1)(1)式两端用1-k σ作用得:Λ++-ξσξσk k l l 110+0221=--ξσk k l由已知得:Λ==+ξσξσ1k k =,022=-ξσk 01≠-ξσk ,所以有00=l .则(1)式变为: Λ+σξ1l +011=--ξσk k l ┈┈┈┈(2)(2)式两端用2-k σ 作用得:Λξσξσk k l l 211+-+0321=--ξσk k l同理01=l .重复上述过程有:Λ==10l l 01=-k l .3. 在向量空间R[x]中,σ (f (x))=f '(x), τ (f (x))=xf (x), 证明,στ -τσ=ι.证明:对任意][)(x R x f ∈,有))(())()((x f x f σττσστ=-=-+=-=-)()()()())((())(('''x xf x xf x f x f x f x x f τστσ)(x f .所以στ-τσ=ι.4. 在向量空间R 3中,线性变换σ, τ如下:σ (x 1, x 2, x 3)=(x 1, x 2, x 1+x 2)τ (x 1, x 2, x 3)=(x 1+x 2-x 3, 0, x 3-x 1-x 2)(1) 求στ, τσ, σ2; (2) 求σ+τ, σ -τ, 2σ.解: (1) =---+=),0,(),,(213321321x x x x x x x x x σστ,(321x x x -+0,),,()321321x x x x x x τ=-+,∴τστ=.)0,0,0(),,(),,(2121321=+=x x x x x x x ττσ,∴0=τσ ),,(),,(21213212x x x x x x x +=σσ=),,(2121x x x x +.∴σσ=2.(2) ),,)((321x x x τσ+=),,(321x x x σ+),,(321x x x τ),,(2121x x x x +=+),0,(213321x x x x x x ---+ ),,2(32321x x x x x -+=.),,)((321x x x τσ-=),,(321x x x σ),,(321x x x τ-),,(2121x x x x +=),0,(213321x x x x x x ---+-=)22,,(321232x x x x x x -++-.2),,(2321=x x x σ),,(2121x x x x +=)22,2,2(2121x x x x +.5. 已知向量空间R 3的线性变换σ为σ (x 1, x 2, x 3)=(x 1+x 2+x 3, x 2+x 3,-x 3)证明,σ是可逆变换,并求σ-1.证明:),0,0,1(),0,0,1(=σ, ),0,1,1(),0,1,0(=σ,),1,1,1(),1,0,0(-=σ.∴ σ关于3R 的一个基),0,0,1(, ),0,1,0(,),1,0,0(的矩阵为:⎪⎪⎪⎭⎫ ⎝⎛-=100110111A . 显然,A 可逆,所以σ是可逆变换,而且⎪⎪⎪⎭⎫⎝⎛--=-1001100111A所以-=⎪⎪⎪⎭⎫⎝⎛=--132113211(),,(x x x x A x x x σ,2x ,32x x +)3x -.6. 设σ, τ, ρ都是向量空间V 的线性变换,试证, (1)如果σ, τ都与ρ可交换,则στ, σ2也都与ρ可交换(若对任意α∈V ,都有στ (α)=τσ (α),就说σ与τ可交换); (2)如果σ+τ, σ-τ都与ρ可交换,则σ, τ也都与ρ可交换. 证:(1)由已知ρττρρσσρ==,.那么==)()(τρσρστ)(ρτσ =)()(στρτσρ=.22)()()(ρσσσρρσσσρσρσ====. (2)同理可证.7. 证明,数域F 上的有限维向量空间V 的线性变换σ是可逆变换的充分必要条件是σ把非零向量变为非零向量. 证明:不妨设ν是n 维的.Λ,,21ξξ,n ξ是它的一个基.σ关于这个基的矩阵为A .显然,σ可逆当且仅当A 可逆. σ把非零向量变为非零向量当且仅当{}0=σKer ,而秩σ=秩A ,σ的零度=σker dim .且秩σ+σ的零度=n.所以秩σ=n 当且仅当σ的零度是0,即A 可逆当且仅当0=σKer .故σ可逆当且仅当σ把非零向量变为非零向量.8. 证明,可逆线性变换把线性无关的向量组变为线性无关的向量组.证明:令σ是向量空间ν的可逆线性变换,Λ,,21αα,m α是ν的一组线性无关的向量,令Λ++)()(2211ασασk k +0)(=m m k ασ.两端用1-σ 作用得:Λ+11αk +0=m m k α.由已知Λ,,21αα,m α 线性无关,所以:Λ==21k k =0=m k .故Λ),(),(21ασασ,)(m ασ 线性无关. 9. 设{ε1, ε2, ε3}是F 上向量空间V 的一个基. 已知V 的线性变换σ在{ε1, ε2, ε3}下的矩阵为A =⎪⎪⎪⎭⎫⎝⎛333231232221131211a a aa a a a a a (1) 求σ在{ε1, ε3, ε2}下的矩阵;(2) 求σ在{ε1, k ε2, ε3}下的矩阵(k ≠0,k ∈F); (3) 求σ在{ε1, ε1+ε2, ε3}下的矩阵.解:(1)⎪⎪⎪⎭⎫⎝⎛=222321323331121311231231),,(),,(a a aa a a a a a εεεεεεσ. (2)⎪⎪⎪⎪⎭⎫ ⎝⎛=33323123222113121132132111),,(),,(a ka aa k a a k a ka a k k εεεεεεσ. (3) =+),,(3211εεεεσ),,(3211εεεε+⎪⎪⎪⎭⎫⎝⎛++---+-⋅33323131232221212313222112112111a a a a a a a a a a a a a a a a 10. 在R 3中定义线性变换σ如下σ (x 1, x 2, x 3)=(2x 2+x 3, x 1-4x 2, 3x 1),∀(x 1, x 2, x 3)∈R 3. (1) 求σ在基ε1=(1, 0, 0), ε2=(0, 1, 0), ε3=(0, 0, 1)下的矩阵;(2) 利用(1)中结论,求σ在基α1=(1, 1, 1),α2=(1, 1, 0),α3=(1, 0, 0)下的矩阵. 解:(1)⎪⎪⎪⎭⎫ ⎝⎛-=003041120),,(),,(321321εεεεεεσ(2)从基{}321,,εεε到基{}321,,ααα的过渡矩阵为⎪⎪⎪⎭⎫⎝⎛=001011111P .σ在{}321,,ααα下的矩阵为:⎪⎪⎪⎭⎫⎝⎛⎪⎪⎪⎭⎫ ⎝⎛-⎪⎪⎪⎭⎫ ⎝⎛--=⋅⎪⎪⎪⎭⎫ ⎝⎛-⋅-0010111110030411200111101000030411201P P =⎪⎪⎪⎭⎫ ⎝⎛---156266333. 11. 已知M 2(F)的两个线性变换σ,τ如下σ (X)=X ⎪⎪⎭⎫⎝⎛-1111, τ (X)=⎪⎪⎭⎫⎝⎛-0201X, ∀X ∈M 2(F). 试求σ+τ, στ在基E 11, E 12, E 21, E 22下的矩阵. 又问σ和τ是否可逆?若可逆,求其逆变换在同一基下的矩阵.证明:⎪⎪⎭⎫ ⎝⎛-=⎪⎪⎭⎫ ⎝⎛-+⎪⎪⎭⎫⎝⎛-=+021*********)(111111E E E τσ =12112E E +222102E E +-.⎪⎪⎭⎫ ⎝⎛-=⎪⎪⎭⎫ ⎝⎛-+⎪⎪⎭⎫ ⎝⎛-=+200102011111)(121212E E E τσ =12110E E +222120E E -+.⎪⎪⎭⎫ ⎝⎛=⎪⎪⎭⎫ ⎝⎛-+⎪⎪⎭⎫ ⎝⎛-=+110002011111)(212121E E E τσ=121100E E +2221E E ++.⎪⎪⎭⎫⎝⎛-=⎪⎪⎭⎫ ⎝⎛-+⎪⎪⎭⎫ ⎝⎛-=+10002011111)(222222E E E τσ =121100E E +2221E E -+.所以τσ+在基22211211,,,E E E E 下的矩阵为⎪⎪⎪⎪⎪⎭⎫⎝⎛---=1120110200010012A . 同理可证στ在基22211211,,,E E E E 下的矩阵.121111)(E E E +=σ,121112)(E E E -=σ,222112112100)(E E E E E +++=σ,=)(22E σ2221121100E E E E -++.所以σ在此基下的矩阵为:⎪⎪⎪⎪⎪⎭⎫⎝⎛--=1100110000110011B . 显然,B 可逆.所以σ可逆. σ在同一基下的矩阵为:⎪⎪⎪⎪⎪⎪⎪⎪⎭⎫ ⎝⎛--=-21210021*********10021211B . 同理可讨论τ的可逆性及求τ的矩阵.12. 设σ是数域F 上n 维向量空间V 的一个线性变换. W 1, W 2是V 的子空间,并且V =W 1⊕W 2证明,σ是可逆变换的充要条件是V =σ ( W 1)⊕σ ( W 2)证明:令Λ,1α,r α是1W 的一个基. 令Λ,1+r α,n α是2W 的一个基. 由已知得: Λ,1α, n α是ν的一个基.必要性:设σ可逆,则Λ),(1ασ,)(r ασ,Λ)(1+r ασ,)(n ασ 也是ν的一个基.但=)(1W σ£(Λ),(1ασ,)(r ασ).=)(2W σ£(Λ)(1+r ασ,)(n ασ)所以=ν+)(1W σ)(2W σ,⋂)(1W σ}0{)(2=W σ,故V =σ ( W 1)⊕ σ ( W 2).充分性:将必要性的过程倒过去即可. 13. 在M 2(F)中定义线性变换σ为σ (X)=⎪⎪⎭⎫⎝⎛-3210X , ∀X ∈M 2(F). 求σ在基{ E 11, E 12, E 21, E 22}下的矩阵,其中E 11=⎪⎪⎭⎫⎝⎛0001, E 12=⎪⎪⎭⎫ ⎝⎛0010, E 21=⎪⎪⎭⎫ ⎝⎛0100, E 22=⎪⎪⎭⎫⎝⎛1000. 解: σ在基{22211211,,,E E E E }下的矩阵为⎪⎪⎪⎪⎪⎭⎫⎝⎛--=30200302100001A .14. 证明,与n 维向量空间V 的全体线性变换可交换的线性变换是数量变换.证明:由105P 习题二及第10题的结论易得. 15. 给定R 3的两个基α1=(1, 0, 1), α2=(2, 1, 0), α3=(1, 1, 1);和 β1=(1, 2,-1), β2=(2, 2, -1), β3=(2, -1, -1).σ是R 3的线性变换,且σ(αi )=βi ,i =1, 2,3. 求 (1) 由基{α1, α2 , α3}到基{β1, β2 , β3}的过渡矩阵; (2) σ关于基{α1, α2 , α3}的矩阵; (3) σ关于基{β1, β2 , β3}的矩阵.解: (1)令)0,0,1(1=ε,)0,1,0(2=ε,)1,0,0(3=ε.则由{α1, α2 , α3}到{ε1,ε3, ε2}的过渡矩阵为:1101110121-⎪⎪⎪⎭⎫ ⎝⎛. 由基{ε1, ε3, ε2}到基{β1, β2 , β3}的过渡矩阵为:⎪⎪⎪⎭⎫⎝⎛101110221.所以由基{α1, α2 , α3}到基{β1, β2 , β3}的过渡矩阵为:⎪⎪⎪⎭⎫ ⎝⎛----⋅⎪⎪⎪⎭⎫ ⎝⎛---=-1111222211111101211P =⎪⎪⎪⎪⎪⎪⎭⎫⎝⎛---252112323123232 (2) σ==),,(),,(321321βββαααP ),,(321ααα.所以σ在),,(321ααα下的矩阵为:⎪⎪⎪⎪⎪⎪⎭⎫⎝⎛---252112323123232. σ关于基{β1, β2 , β3}的矩阵为: ⎪⎪⎪⎪⎪⎪⎭⎫⎝⎛---252112323123232 16. 设α1=(-1, 0, -2), α2=(0, 1, 2), α3=(1, 2, 5),β1=(-1, 1, 0), β2=(1, 0, 1), β3=(0, 1, 2),ξ=(0, 3, 5)是R 3中的向量,σ是R 3的线性变换,并且σ(α1)=(2, 0, -1), σ(α2)=(0, 0, 1),σ(α3)=(0, 1, 2). (1) 求σ关于基{β1, β2 , β3}的矩阵; (2) 求σ(ξ)关于基{α1, α2 , α3}的坐标; (3) 求σ(ξ)关于基{β1, β2 , β3}的坐标.解:令⎪⎪⎪⎭⎫ ⎝⎛--=5222101011T ,⎪⎪⎪⎭⎫⎝⎛-=2101011112T .则从基{α1, α2 , α3}到基{β1,β2 , β3}的过渡矩阵为:⎪⎪⎪⎭⎫⎝⎛-=⎪⎪⎪⎭⎫ ⎝⎛----=⋅=-0101210011222341212211T T T T .又321135310311)1,0,2()(αααασ-+-=-=321203231)1,0,0()(αααασ+-==321300)2,1,0()(αααασ++==所以σ关于),,(321ααα的矩阵为:⎪⎪⎪⎪⎪⎪⎭⎫ ⎝⎛---03135132310031311.从而σ关于基{β1, β2 , β3}的矩阵为:⋅⎪⎪⎪⎭⎫ ⎝⎛-==-2111000011AT T B ⎪⎪⎪⎪⎪⎪⎭⎫ ⎝⎛---03135132310031311⎪⎪⎪⎭⎫ ⎝⎛-⋅010121001= ⎪⎪⎪⎪⎪⎪⎭⎫ ⎝⎛-----31353103132343132310. (2)==)5,3,0(ξ321353135ααα+-.所以关于)(ξσ),,(321ααα的坐标为:⎪⎪⎪⎪⎪⎪⎭⎫ ⎝⎛--=⎪⎪⎪⎪⎪⎪⎭⎫ ⎝⎛-⋅926967956353135A 由(2)可知=)(ξσ⋅),,(321ααα⎪⎪⎪⎪⎪⎪⎭⎫ ⎝⎛--926967956=(β1, β2 , β3)⋅⋅-1T ⎪⎪⎪⎪⎪⎪⎭⎫ ⎝⎛--926967956 所以关于)(ξσ{β1, β2 , β3}的坐标为:⋅-1T ⎪⎪⎪⎪⎪⎪⎭⎫ ⎝⎛--926967956=⋅⎪⎪⎪⎭⎫ ⎝⎛-211100001⎪⎪⎪⎪⎪⎪⎭⎫ ⎝⎛--926967956=⎪⎪⎪⎪⎪⎪⎭⎫ ⎝⎛--971926956. 17. 设R 3有一个线性变换σ定义如下:σ (x 1, x 2, x 3)=(x 1+x 2,x 2+x 3,x 3),∀(x 1, x 2, x 3)∈R 3. 下列R 3的子空间哪些在σ之下不变?(1) {(0, 0, c)| c ∈R}; (2) {(0, b, c)| b, c ∈R};(3) {(a, 0, 0)| a ∈R}; (4) {(a, b, 0)| a, b ∈R};(5) {(a, 0, c)| a, c ∈R}; (6) {(a, -a, 0)| a ∈R}. 解:(3)与(4)在σ之下不变.18. 设σ是n 维向量空间V 的一个线性变换,证明下列条件等价:(1) σ (V)=V ; (2) ker σ={0}.证明:因为秩σ+σ的零度=n. 所以秩σ=n 当且仅当σ的零度是0,即n =)(dim νσ当且仅当0ker dim =σ,因此V V =)(σ当且仅当}0{=σKer .19. 已知R 3的线性变换σ定义如下:σ (x 1, x 2, x 3)=(x 1+2x 2-x 3, x 2+x 3, x 1+x 2-2x 3),∀(x 1, x 2,x 3)∈R 3.求σ的值域σ (V)与核Ker σ的维数和基.解: σ关于基)0,0,1(1=ε,)0,1,0(2=ε,)1,0,0(3=ε的矩阵为:⎪⎪⎪⎭⎫ ⎝⎛--=211110121A .)1,0,1()(1=εσ,)1,1,2()(2=εσ,)(νσ ))(),((21εσεσL =.),(ker ξσL =其中)1,1,3(-=ξ,1ker dim =σ.20. 设σ是向量空间V 的一个线性变换,W 是σ的一个不变子空间,证明,W 是σ 2的不变子空间.证明:由不变子空间的定义易证.21. 设σ是数域F 上n(>0)维向量空间V 的一个线性变换,{α1, α2 ,…, αr , αr +1,…, αn }是V 的基. 证明,如果{α1, α2 ,…, αr }是Ker σ的基,那么{σ (αr +1),…, σ (αn )}是Im σ的基. 证明:已知{α1, α2 ,…, αr }是Ker σ的基, 则σ (αi )=0, i=1,2, …, r .令 l r+1σ (αr +1)+ l r+2σ (αr +2)+ …+ l n σ (αn )=0, 则σ ( l r+1αr +1+…+ l n αn )=0, l r+1αr +1+…+ l n αn ∈ Ker σ .所以 l r+1αr +1+…+ l n αn =l 1α 1+…+ l r αr但 α1, α2 ,…, αr , αr +1,…, αn 是V 的一个基, 故 l r+1=…= l n =0.所以 σ (αr +1),…, σ (αn ) 线性无关.又 Im σ = £(σ (α1), σ (α2)…, σ (αn )) = (σ (αr +1),…, σ (αn )).从而结论成立.22. 设σ,τ是向量空间V的线性变换,且σ+τ=ι,στ=τσ=θ. 这里ι是V的恒等变换,θ是V的零变换. 证明:(1) V=σ(V)⊕τ (V);(2) σ(V)=Kerτ.证明: (1) ∀ξ∈ V, ξ=ι (ξ)=(σ+τ)(ξ)=σ (ξ)+τ (ξ).所以V=σ(V)+τ (V).对任意ξ∈σ (V)∩τ (V). 则ξ=σ (ξ1)+ τ (ξ2).由已知条件可得ξ= ι (σ (ξ1)) = (σ+τ)(σ (ξ1)) = σ·(σ (ξ1) = σ·(τ(ξ2)= στ (ξ2) = 0 .故结论成立.(2 ) 对任意σ(ξ)∈σ(V), 则τ(σ(ξ))= 0, 所以σ(ξ)∈Kerτ .反之, 对任意ξ∈Kerτ , 则τ(ξ)= 0.由已知条件可得,ξ= (σ+τ)(ξ)=σ (ξ)+τ (ξ)=σ (ξ),所以ξ∈σ (V).23. 在向量空间F n[x]中,定义线性变换τ为:对任意f(x)∈F n[x],τ(f(x)) =x f'(x)-f(x). 这里f'(x)表示f(x)的导数.(1)求Kerτ及Imτ;(2)证明,V=Kerτ⊕Imτ.解: (1) 令τ ( f(x)) = x f'(x)-f(x) = 0其中 f(x) = a 0 + a 1x + … + a n x n . 则(a 1x +2a 2x 2+ … +n a n x n )- f(x) = 0(0- a 0) + ( a 1- a 1)x + (2a 2- a 2) x 2 + … + (n a n -a n )x n = 0 有 ⎪⎪⎩⎪⎪⎨⎧===00020n a a a M, 所以 f(x) = a 1x , Ker τ =£(x), Im τ=£(1,x 2, … ,x n ).(2) 显然 .24. 已知向量空间V 的线性变换σ在基{ε1, ε2, ε3}下的矩阵为A =⎪⎪⎪⎭⎫ ⎝⎛--121101365 求σ的本征值及相应的本征向量. 问是否存在V 的一个基使得σ 关于这个基的矩阵是对角阵?解: 本征值λ=2 (三重), 属于λ=2的线性无关的本征向量为:ξ1=⎪⎪⎪⎪⎪⎪⎭⎫ ⎝⎛0131 , ξ2=⎪⎪⎪⎪⎪⎪⎭⎫ ⎝⎛-1031, 故σ 不能对角化.25. 设σ是向量空间V 的可逆线性变换,证明(1) σ的本征值一定不为0;(2) 如果λ是σ 的本征值,那么λ1是σ-1的本征值. 证明: (1) 反设σ 有一本征值为0,则存在ξ≠0,ξ∈ V, 使得σ (ξ)=0·ξ= 0 . 因为σ 可逆, 所以 σ -1(σ (ξ))=0, 即ξ= 0.矛盾.(2) 设λ是σ 的本征值,由(1)得λ≠0,且有σ (ξ)=λξ,ξ≠0. σ -1(σ (ξ))=λσ -1 (ξ). 即 σ -1 (ξ)=λ1ξ, 所以结论成立.。
第七章 线性变换3.在[]P x 中,()()f x f x '=A ,()()f x xf x =B ,证明:-=A B BA =E .『解题提示』直接根据变换的定义验证即可. 证明 任取()[]f x P x ∈,则有()()()()(())(())f x f x f x xf x f x '-=-=-=A B BA A B BA A B(())()()()xf x xf x f x f x ''=-==E ,于是-=A B BA =E .4.设,A B 是线性变换,如果-=A B BA =E ,证明:1,1k kk k k --=>A B BAA.『解题提示』利用数学归纳法进行证明.证明 当2k =时,由于-=A B BA =E ,可得22()()2-=-+-=A B BA A A B BA A B BA A A ,因此结论成立.假设当k s =时结论成立,即1sss s --=A B BAA.那么,当1k s =+时,有11()()(1)s s s s s s s s s s ++-=-+-=+=+AB BAA AB BA A B BA A A A A ,即对1k s =+结论也成立.从而,根据数学归纳法原理,对一切1>k 结论都成立. 『特别提醒』由0=AE 可知,结论对1k =也成立.5.证明:可逆映射是双射.『解题提示』只需要说明可逆映射既是单射又是满射即可.证明 设A 是线性空间V 上的一个可逆变换.对于任意的,V ∈αβ,如果=αβA A ,那么,用1-A 作用左右两边,得到11()()--===ααββAA AA ,因此A 是单射;另外,对于任意的V ∈β,存在1V -=∈αβA ,使得1()-==αββA A A ,即A 是满射.于是A 是双射.『特别提醒』由此结论可知线性空间V 上的可逆映射A 是V 到自身的同构.6.设12,,,n L εεε是线性空间V 的一组基,A 是V 上的线性变换,证明A 可逆当且仅当12,,,n L εεεA A A 线性无关.证法1 若A 是可逆的线性变换,设1122n n k k k +++=0L A A A εεε,即1122()n n k k k +++=0L A εεε.而根据上一题结论可知A 是单射,故必有1122n n k k k +++=0L εεε,又由于12,,,n L εεε是线性无关的,因此120n k k k ====L .从而12,,,n L εεεA A A 线性无关.反之,若12,,,n L εεεA A A 是线性无关的,那么12,,,n L εεεA A A 也是V 的一组基.于是,根据教材中的定理1,存在唯一的线性变换B ,使得()i i =B A εε,1,2,,i n =L .显然()i i =BA εε,()i i =A B A A εε,1,2,,i n =L .再根据教材中的定理1知,==A B BA E .所以A 是可逆的.证法2 设A 在基12,,,n L εεε下的矩阵为A ,即121212(,,,)(,,,)(,,,)n n n ==L L L A A A A εεεεεεεεεA .由教材中的定理2可知,A 可逆的充要条件是矩阵A 可逆.因此,如果A 是可逆的,那么矩阵A 可逆,从而12,,,n L εεεA A A 也是V 的一组基,即是线性无关的.反之,如果12,,,n L εεεA A A 是线性无关,从而是V 的一组基,且A 是从基12,,,n L εεε到12,,,n L εεεA A A 的过渡矩阵,因此A 是可逆的.所以A 是可逆的线性变换.『方法技巧』方法1利用了上一题的结论及教材中的定理1构造A 的逆变换;方法2借助教材中的定理2,将线性变换A 可逆转化成了矩阵A 可逆.9.设三维线性空间V 上的线性变换A 在基123,,εεε下的矩阵为111213212223313233a a a a a a a a a ⎛⎫ ⎪= ⎪ ⎪⎝⎭A . 1)求A 在基321,,εεε下的矩阵;2)求A 在基123,,k εεε下的矩阵,其中k P ∈且0k ≠;3)求A 在基1223,,+εεεε下的矩阵.『解题提示』可以利用定义直接写出线性变换的矩阵,也可以借助同一个线性变换在两组不同基下的矩阵是相似的进行求解.解 1)由于3131232333333232131a a a a a a =++=++A εεεεεεε, 2121222323323222121a a a a a a =++=++A εεεεεεε, 1111212313313212111a a a a a a =++=++A εεεεεεε.故A 在基321,,εεε下的矩阵为3332311232221131211a a a a a a a a a ⎛⎫ ⎪= ⎪ ⎪⎝⎭B . 2)由于11112123131112123131a a a a a k a k =++=++A εεεεεεε,2121222323121222323k ka ka ka ka a k ka =++=++A εεεεεεε,31312323331312323331a a a a a k a k=++=++A εεεεεεε.故A 在基123,,k εεε下的矩阵为111213221222331323311a ka a a a a k k a ka a ⎛⎫⎪ ⎪= ⎪ ⎪⎝⎭B . 3)由于从123,,εεε到1223,,+εεεε的过渡矩阵为100110001⎛⎫⎪= ⎪ ⎪⎝⎭X ,故A 在基1223,,+εεεε下的矩阵为1111213111212133212223211122122212231331323331323233100100110110001001a a a a a a a a a a a a a a a a a a a a a a a a a -+⎛⎫⎛⎫⎛⎫⎛⎫⎪ ⎪⎪⎪==-+--- ⎪ ⎪⎪ ⎪ ⎪ ⎪⎪ ⎪+⎝⎭⎝⎭⎝⎭⎝⎭B .『方法技巧』根据线性变换的矩阵的定义,直接给出了1)和2)所求的矩阵;3)借助了过渡矩阵,利用相似矩阵得到了所求矩阵.事实上,这三个题目都可以分别用两种方法求解.10.设A 是线性空间V 上的线性变换,如果1k -≠0A ξ,但k =0A ξ,求证:1,,,k -L A Aξξξ(0k >)线性无关.证明 由于k=0A ξ,故对于任意的非负整数i ,都有()k ii k +==0AA A ξξ.当0k >时,设112k n x x x -+++=0L A Aξξξ,用1k -A作用于上式,得11k x -=0Aξ,但1k -≠0Aξ,因此10x =.于是12k n x x -++=0L A Aξξ,再用2k -A作用上式,同样得到20x =.依此下去,可得120k x x x ====L .从而1,,,k -L A Aξξξ线性无关.16.证明:⎪⎪⎪⎪⎪⎭⎫ ⎝⎛n λλλO21与⎪⎪⎪⎪⎪⎭⎫⎝⎛n i ii λλλO21 相似,其中n i i i ,,,21Λ是1,2,,n L 的一个排列.『解题提示』利用同一个线性变换在不同基下的矩阵是相似的或直接相似的定义. 证法1 设V 是一个n 维线性空间,且12,,,n L εεε是V 的一组基.另外,记12n λλλ⎛⎫⎪⎪= ⎪⎪⎝⎭O A ,12n i ii λλλ⎛⎫⎪⎪= ⎪ ⎪ ⎪⎝⎭OB . 于是,在基12,,,n L εεε下,矩阵A 对应V 的一个线性变换A,即12121212(,,,)(,,,)(,,,)n n nn λλλ⎛⎫⎪⎪== ⎪ ⎪⎝⎭L L L O εεεεεεεεεA A .从而i i i λ=εεA ,1,2,,i n =L .又因为12,,,n i i i K εεε也是V 的一组基,且12121212(,,,)(,,,)(,,,)n n n n i ii i i i i i i i i i λλλ⎛⎫ ⎪⎪==⎪ ⎪ ⎪⎝⎭K K K OεεεεεεεεεB A . 故A 与B 相似.证法2 设12n λλλ⎛⎫⎪⎪= ⎪⎪⎝⎭O A 与 12n i ii λλλ⎛⎫⎪⎪= ⎪ ⎪ ⎪⎝⎭OB . 对A 交换,i j 两行,再交换,i j 两列,相当于对A 左乘和右乘初等矩阵1(,)(,)i j i j -=P P 和(,)i j P ,而1(,)(,)i j i j -P AP即为将A 中的i λ和j λ交换位置得到的对角矩阵.于是,总可以通过这样的一系列的对调变换,将A 的主对角线上的元素12,,,n λλλL 变成12,,,n i i i λλλL ,这也相当于存在一系列初等矩阵12,,,s L Q Q Q ,使得1112112s s ---=L L Q Q Q AQ Q Q B ,令12s =L Q Q Q Q ,则有1-=Q AQ B ,即A 与B 相似.『方法技巧』证法1利用同一个线性变换在不同基下的矩阵是相似的这一性质;证法2利用了矩阵的相似变换,直接进行了证明.17.如果A 可逆,证明AB 与BA 相似. 证明 由于A 可逆,故A1-存在.于是11()()--==A AB A A A BA BA ,因此,根据相似的定义可知AB 与BA 相似.19.求复数域上线性变换空间V 的线性变换A 的特征值与特征向量.已知A 在一组基下的矩阵为:1)3452⎛⎫= ⎪⎝⎭A ; 4)563101121-⎛⎫ ⎪=- ⎪ ⎪-⎝⎭A ;5)001010100⎛⎫⎪= ⎪ ⎪⎝⎭A .解 1)设A 在给定基1ε,2ε下的矩阵为A .由于A 的特征多项式为234|514(7)(2)52λλλλλλλ---==--=-+--E A ,故A 的特征值为17λ=,22λ=-.当17λ=时,方程组1()λ-=0E A X ,即为1212440,550.x x x x -=⎧⎨-+=⎩ 解得它的基础解系为⎪⎪⎭⎫⎝⎛11.从而A 的属于特征值17λ=的全部特征向量为112k k =+ξεε,其中k 为任意非零常数.当22λ=-时,方程组2()λ-=0E A X ,即为1212540,540.x x x x --=⎧⎨--=⎩ 解得它的基础解系为⎪⎪⎭⎫⎝⎛-54,从而A 的属于特征值22λ=-的全部特征响向量为 21245l l =-ξεε,其中l 为任意非零常数.4)设A 在给定基123,,εεε下的矩阵为A ,由于A 的特征多项式为56311(2)(11121λλλλλλλ---=-=---+--+E A ,故A 的特征值为12λ=,21λ=,31λ=当12λ=时, 方程组1()λ-0E A X =,即为1231231233630,20,230.x x x x x x x x x --+=⎧⎪+-=⎨⎪--+=⎩ 求得其基础解系为210-⎛⎫⎪⎪ ⎪⎝⎭,故A 的属于特征值2的全部特征向量为111122k k =-+ξεε其中1k 为任意非零常数.当21λ=时, 方程组2()0λ-E A X =,即为123123123(4630,(10,2(20.x x x x x x x x x ⎧-+-+=⎪⎪++-=⎨⎪--+=⎪⎩ 求得其基础解系为⎪⎪⎪⎭⎫⎝⎛--3213,故A的属于特征值122122233(2k k k =-+ξεεε其中2k 为任意非零常数.当31λ=3()0λ-E A X =,即为123123123(4630,(10,2(20.x x x x x x x x x ⎧---+=⎪⎪+--=⎨⎪--+=⎪⎩ 求得其基础解系为⎪⎪⎪⎭⎫⎝⎛+-3213,故A的属于特征值133132333(2k k k =-+ξεεε其中3k 为任意非零常数.5)设A 在给定基123,,εεε下的矩阵为A ,由于A 的特征多项式为20110(1)(1)1λλλλλλ--=-=-+-E A ,故A 的特征值为11λ=(二重),21λ=-.当11λ=时,方程组1()λ-0E A X =,即为13130,0.x x x x -=⎧⎨-+=⎩ 求得其基础解系为,101⎪⎪⎪⎭⎫⎝⎛010⎛⎫ ⎪⎪ ⎪⎝⎭,故A 的属于特征值1的全部特征向量为 1112213k k k ++ξ=εεε其中12,k k 为任意不全为零的常数.当21λ=-时,方程组2()0λ-E A X =,即为132130,20,0.x x x x x --=⎧⎪-=⎨⎪--=⎩ 求得其基础解系为101-⎛⎫ ⎪⎪ ⎪⎝⎭,故A 的属于特征值1-的全部特征向量为213l l +ξ=-εε,其中l 为任意非零常数.『方法技巧』求解一个线性变换的特征值即求其矩阵的特征多项式的根,再对每个根求得所对应的特征向量,但一定要注意表达成基向量的线性组合形式.24.1)设21,λλ是线性变换A 的两个不同特征值,12,εε是分别属于21,λλ的特征向量,证明:12+εε不是A 的特征向量;2)证明:如果线性空间V 的线性变换A 以V 中每个非零向量作为它的特征向量,那么A 是数乘变换.证明 1)反证法.假设12+εε是A 属于特征值λ的特征向量,即121212()()λλλ+=+=+A εεεεεε.而由题设可知111222,λλ==A A εεεε,且12λλ≠,故12121122()λλ+=+=+A A A εεεεεε.比较两个等式,得到1122()()λλλλ-+-=0εε.再根据12,εε是属于不同特征值的特征向量,从而是线性无关性,因此021=-=-λλλλ,即12λλ=.这与12λλ≠矛盾.所以12+εε不是A 的特征向量.2)设12,,,n L εεε是V 的一组基,则它们也是A 的n 个线性无关的特征向量,不妨设它们分别属于特征值12,,,n λλλL ,即i i i λ=A εε,1,2,,i n =L .根据1)即知12n λλλλ====L .否则,若12λλ≠,那么12+≠0εε,且不是A 的特征向量,这与V 中每个非零向量都是它的特征向量矛盾.所以,对于任意的V ∈α,都有λ=A αα,即A 是数乘变换.25.设V 是复数域上的n 维线性空间,,A B 是V 上的线性变换,且=A B BA .证明: 1)如果0λ是A 的一个特征值,那么0V λ是B 的不变子空间; 2),A B 至少有一个公共的特征向量.证明 1)设0V λ∈α,则0λ=A αα,于是,由题设知00()()()()()λλ=====A B A B BA B A B B αααααα,因此0V λ∈B α.根据不变子空间的定义即知,0V λ是B 的不变子空间.2)由1)可知0V λ是B 的不变子空间,若记00|V λ=B B ,则0B 是复数域上线性空间0λV 的一个线性变换,它必有特征值0μ及非零向量0V λ∈β,使得00μ==B B βββ,即β是B 的特征向量,从而β是A 和B 的公共特征向量.因此,,A B 存在公共的特征向量.。
第七章线性变换练习题参考答案一、填空题1.设123,,是线性空间V 的一组基,V 的一个线性变换在这组基下的矩阵是33112233(),,ij Aa xxxV 则在基321,,下的矩阵B =1,T AT 而可逆矩阵T =0010101满足1,B TAT 在基123,,下的坐标为123x A x x . 2.设A 为数域P 上秩为r 的n 阶矩阵,定义n 维列向量空间nP 的线性变换:(),n A P ,则1(0)=|0,nAP,1dim(0)=n r ,dim()nP =r .3.复矩阵()ij n n Aa 的全体特征值的和等于1nii i a ,而全体特征值的积等于||A .4.设是n 维线性空间V 的线性变换,且在任一基下的矩阵都相同,则为__数乘__变换 .5.数域P 上n 维线性空间V 的全体线性变换所成的线性空间()L V 为2n 维线性空间,它与n n P 同构.6.设n 阶矩阵A 的全体特征值为12,,,n,()f x 为任一多项式,则()f A 的全体特征值为12(),(),,()nf f f .7.设2231A,则向量11是A 的属于特征值 4的特征向量.8.若1001011A与1010101k Bk相似,则k = -1/2 .9.设三阶方阵A 的特征多项式为322)(23f ,则||A 3 .10.n 阶方阵A 满足A A 2,则A 的特征值为 0和1 .11.线性空间3R 上的线性变换为A ),,(321x x x 132321(2,33,2)x x x x x x ,变换A 在基)1,0,0(),0,1,0(),0,0,1(321下的矩阵为10203321.二、判断题1.设是线性空间V 的一个线性变换,12,,,sV 线性无关,则向量组12(),(),,()s也线性无关. (错)2.设为n 维线性空间V 的一个线性变换,则由的秩+的零度=n ,有1()(0).VV (错)未必有1()(0).VV 3.在线性空间2R 中定义变换:(,)(1,)x y x y ,则是2R 的一个线性变换.(错)零向量的像是(1,0)4.若为n 维线性空间V 的一个线性变换,则是可逆的当且仅当1(0)={0}.(正确)是可逆的当且仅当是双射.5.设为线性空间V 的一个线性变换,W 为V 的一个子集,若()W 是V 的一个子空间,则W 必为V 的子空间. (错)如平面上的向量全体在x 轴上的投影变换,W 为终点在与x 轴平行而不重合的直线上的向量全体,()W 为x 轴上的向量全体,是V 的一个子空间,但W 不是V 的子空间.6.n 阶方阵A 至少有一特征值为零的充分必要条件是0||A .(正确)7.已知1PBP A,其中P 为n 阶可逆矩阵,B 为一个对角矩阵.则A 的特征向量与P 有关.(正确)1P APB ,P 的列向量为A 的特征向量.8.为V 上线性变换,n,,,21为V 的基,则)(,),(),(21n线性无关.(错)当可逆时无关,当不可逆时相关.9.为V 上的非零向量,为V 上的线性变换,则})(|{)(1是V 的子空间.(错)不含零向量.三、计算与证明1.判断矩阵A 是否可对角化?若可对角化,求一个可逆矩阵T ,使1T A T 成对角形.133313331A解:先求矩阵A 的特征值与特征向量.2133313(7)(2)331EA.矩阵A 的特征值为12,37,2.当17时,解方程组1231231236330,3630,3360.x x x x x x x x x 得矩阵A 属于特征值7的线性无关特征向量为1(1,1,1)'.当2,32时,解方程组1231231233330,3330,3330.x x x x x x x x x 得矩阵A 属于特征值-2的线性无关特征向量为23(1,1,0)',(1,0,1)'.矩阵A有三个线性无关的特征向量.因此矩阵A 可对角化,取矩阵11111011T有1722T AT2.在线性空间n P 中定义变换:122(,,,)(0,,,)n n x x x x x (1)证明:是nP 的线性变换.(2)求()nP 与1(0).(1)证明:112222(,,,)(0,,,)nn n n x y x y x y x y x y 221212(0,,,)(0,,,)(,,,)(,,,)n n n n x x y y x x x y y y12122((,,,))(,,,)(0,,,)n n n k x x x kx kx kx kx kx 212(0,,,)(,,,)n n k x x k x x x .所以是n P 的线性变换.(2)2()(0,,,)|,2,,.n n iP x x x P i n .111(0)(,0,,0)|.x x P 3.设aA33242111与bB00020002相似.(1)求b a,的值;(2)求可逆矩阵,使B APP 1.解:(1)由矩阵A 与B 相似可得,矩阵A 与B 有相同的迹与行列式,因此有45,46 6.b a ba 所以5,6ab.(2)先求矩阵A 的特征值与特征向量.2111||242(6)(2)335EA 特征值为1,232,6.当1,22时,解方程组1231231230,2220,3330.x x x x x x x x x 得矩阵A 属于特征值-2的线性无关特征向量为12(0,1,1)',(1,0,1)'.当16时,解方程组12312312350,2220,330.x x x x x x x x x 得矩阵A 属于特征值7的线性无关特征向量为1(1,2,3)'.因此可取矩阵011102113P,有B AP P 1.4.令nn P 表示数域P 上一切n 级方阵所成的向量空间,取定,n n A B P ,对任意的nn PX,定义()''X A XAB XB .证明是nn P上的一个线性变换.证明:对任意的,,n n X YP k P ,有()'()'()''''()(),XY A X Y A B X Y BA XAB XB A YA B YBX Y ()'()'()('')()kX A kX A B kX Bk A XAB XB k X .因此是n n P 上的一个线性变换.。
线性变换习题(总22页)--本页仅作为文档封面,使用时请直接删除即可----内页可以根据需求调整合适字体及大小--第四章 线性变换习题精解1.判别下面所定义的变换那些是线性的,那些不是:1)在线性空间V 中,A αξξ+=,其中∈αV 是一固定的向量;2)在线性空间V 中,A αξ=其中∈αV 是一固定的向量;3)在P 3中,A),,(),,(233221321x x x x x x x +=; 4)在P 3中,A ),,2(),,(13221321x x x x x x x x +-=; 5)在P[x ]中,A )1()(+=x f x f6)在P[x ]中,A ),()(0x f x f =其中0x ∈P 是一固定的数; 7)把复数域上看作复数域上的线性空间, A ξξ=8)在P n n ⨯中,A X=BXC 其中B,C ∈P nn ⨯是两个固定的矩阵. 解 1)当0=α时,是;当0≠α时,不是. 2)当0=α时,是;当0≠α时,不是.3)不是.例如当)0,0,1(=α,2=k 时,k A )0,0,2()(=α, A )0,0,4()(=αk , A ≠)(αk k A()α.4)是.因取),,(),,,(321321y y y x x x ==βα,有 A )(βα+= A ),,(332211y x y x y x +++=),,22(1133222211y x y x y x y x y x ++++--+ =),,2(),,2(1322113221y y y y y x x x x x +-++- = A α+ A βA =)(αk A ),,(321kx kx kx),,2(),,2(1322113221kx kx kx kx kx kx kx kx kx kx +-=+-== k A )(α故A 是P 3上的线性变换.5) 是.因任取][)(],[)(x P x g x P x f ∈∈,并令 )()()(x g x f x u +=则A ))()((x g x f += A )(x u =)1(+x u =)1()1(+++x g x f =A )(x f + A ))((x g 再令)()(x kf x v =则A =))((x kf A k x kf x v x v =+=+=)1()1())((A ))((x f 故A 为][x P 上的线性变换.6)是.因任取][)(],[)(x P x g x P x f ∈∈则.A ))()((x g x f +=0(x f 0()x g +=)A +))((x f A )((x g )A 0())((x kf x kf =k =)A ))((x f 7)不是.例如取a=1,k=I,则A (ka)=-i , k(A a)=i, A (ka )≠k A (a) 8)是.因任取二矩阵Y X ,n n P ⨯∈,则A (=+=+=+BYC BXC C Y XB Y X )()A X +A YA (k X )=k BXC k kXB ==)()(A X 故A 是n n P ⨯上的线性变换.2.在几何空间中,取直角坐标系oxy,以A 表示将空间绕ox 轴由oy 向oz 方向旋转90度的变换,,以B 表示绕oy 轴向ox 方向旋转90度的变换,以C 表示绕oz 轴由ox 向oy 方向旋转90度的变换.证明: A 4=B 4=C 4=E,AB ≠BA,A 2B 2=B 2A 2 并检验(AB )2=A 2B 2是否成立. 解 任取一向量a=(x,y,z),则有 1) 因为A a=(x,-z,y), A 2a=(x,-y,-z) A 3a=(x,z,-y), A 4a=(x,y,z)B a=(z,y,-x), B 2a=(-x,y,-z) B 3a=(-z,y,x), B 4a=(x,y,z)C a=(-y,x,z), C 2a=(-x,-y,z) C 3a=(y,-x,z), C 4a=(x,y,z) 所以 A 4=B 4=C 4=E 2) 因为AB (a)=A (z,y,-x)=(z,x,y) BA (a)=B (x,-z,y)=(y,-z,-x) 所以 AB ≠BA 3)因为A 2B 2(a)=A 2(-x,y,-z)=(-x,-y,z) B 2A 2(a)=B 2(x,-y,-z)=(-x,-y,z) 所以A 2B 2=B 2A 2 3) 因为(AB )2(a)=(AB )(AB (a))_=AB (z,x,y)=(y,z,x) A 2B 2(a)=(-x,-y,z) 所以 (AB )2≠A 2B 23.在P[x] 中,A ')(f x f =),(x B )()(x xf x f = 证明:AB-BA=E证 任取∈)(x f P[x],则有(AB-BA ))(x f =AB )(x f -BA )(x f =A ())(x xf -B ('f ))(x =;)(xf x f +)(x -'xf )(x =)(x f 所以 AB-BA=E4.设A,B 是线性变换,如果AB-BA=E,证明: A k B-BA k =k A 1-k (k>1) 证 采用数学归纳法. 当k=2时A 2B-BA 2=(A 2B-ABA)+(ABA-BA 2)=A(AB-BA)+(AB-BA)A=AE+EA=2A 结论成立.归纳假设m k =时结论成立,即A m B-BA m =m A 1-m .则当1+=m k 时,有 A 1+m B-BA 1+m =(A 1+m B-A m BA)+(A m BA-BA 1+m )=A m (AB-BA)+(A m B-BA m )A=A m E+m A 1-m A=)1(+m A m即1+=m k 时结论成立.故对一切1>k 结论成立. 5.证明:可逆变换是双射.证 设A 是可逆变换,它的逆变换为A 1-.若a ≠b ,则必有A a ≠A b,不然设Aa=A b,两边左乘A 1-,有a=b,这与条件矛盾. 其次,对任一向量b,必有a 使A a=b,事实上,令A 1-b=a 即可. 因此,A 是一个双射.6.设1ε,2ε, ,n ε是线性空间V 的一组基,A 是V 上的线性变换。
第四章线性变换习题精解1.判别下面所定义的变换那些是线性的,那些不是:1) 在线性空间V中,A ,其中V是一固疋的向量;2) 在线性空间V中,A 其中V是:一固疋的向量;(X i,X2,X3) (X;,X2 X3,X 鳥•3) 在P3中,A4) 在P3中,A(X i,X2, X3) (2x i X2,X2 X3, X i);5) 在P[X]中, A f (X) f (X 1)6)在P[X]中,A f(x) f(X o),其中X0 p是一固定的数;7)把复数域上看作复数域上的线性空间, A8)在P"中,AX=BXC其中B,C p n n是两个固定的矩阵.解1)当0时,是;当0时,不是•2)当0时,是;当0时,不是.3)不是•例如当(1,0,0), k 2 时,k A( ) (2,0,0), A(k ) (4,0,0),A(k ) k A().4)是•因取(X i,x2,x3), (%,丫2,丫3),有A( ) = A (x i y i,X2 y2,X3 y3)= (2x i 2y i X2 y2,X2 y2 X3 y3,X i yj= (2x i X2,X2 X3,X i) (2y i y?」?y3, y i)=A + AA(k ) A (kx i, kx2, kx3)(2kx1 kx2, kx2kx3, kx1)(2kx1 kx2, kx2kx3,kx1)k A()故A是P3上的线性变换•5)是.因任取f (X) P[x], g(x) P[x],并令u(x) f(x) g(x)则A(f(x) g(x)) = A u(x) =u(x 1) = f (x 1) g(x 1) =A f (x) + A(g(x))再令v(x) kf (x)则A(kf (x)) A(v(x)) v(x 1) kf (x 1) k A(f (x)) 故A为P[X]上的线性变换.6)是•因任取f(x) P[x], g(x) P[x]则.A(f (X) g(x))= f (X0 ) g(X0 ) A(f (x)) A(g(x))A(kf (x)) kf (X0) k A(f (x))7)不是.例如取a=1,k=l,则A(ka)=-i , k( Aa)=i, A(ka) kA(a)8)是•因任取二矩阵X,Y P nn,则A(X Y) B(X Y)C BXC BYC A X+A YA(k X)=B(kX) k(BXC) k A X故A是p n n上的线性变换.2.在几何空间中,取直角坐标系oxy,以A表示将空间绕ox轴由oy向oz方向旋转90度的变换,, 以B表示绕oy轴向ox方向旋转90度的变换,以C表示绕oz轴由ox向oy方向旋转90度的变换.证明:4 4 4 2 2 2 2A =B =C =E,AB BA,A B =B A并检验(AB)2 = A 2 B 2是否成立.解任取一向量a=(x,y,z),则有1)因为2Aa=(x,-z,y), A a=(x,-y,-z)3 4A a=(x,z,-y), A a=(x,y,z)2Ba=(z,y,-x), Ba=(-x,y,-z)3 4B a=(-z,y,x), B a=(x,y,z)2Ca=(-y,x,z), Ca=(-x,-y,z)3 4C a=(y,-x,z), C a=(x,y,z)所以A4=B 4=C4=E2)因为AB (a)=A(z,y,-x)=(z,x,y)BA ⑻=B(x,-z,y)=(y,-z,-x)所以AB BA3)因为2 2 2A B (a)=A (-x,y,-z)=(-x,-y,z)2 2 2B A (a)=B (x,-y,-z)=(-x,-y,z)所以A 2 2 2 " 2A B =B A3)因为2(AB) (a)=(AB)(AB(a))_=AB(z,x,y)=(y,z,x)2 2A B (a)=(-x,-y,z)所以2 2 2(AB) A B3.在P[x]中,A f (x) f (x), B f (x) xf (x)证明:AB-BA=E证任取f(x) P[x],则有(AB-BA ) f (x) =AB f (x) -BA f (x) =A (xf (x)) -B( f (x)) = f (x) xf ,(x)-xf (x)=f(x)所以 AB-BA=E4•设A,B 是线性变换,如果AB-BA=E,证明: A k B-BA k = k A k 1 (k>1)证采用数学归纳法• 当k=2时2 2 2 2A B-BA =(A B-ABA)+(ABA-BA )=A(AB-BA)+(AB-BA)A=AE+EA= 2A结论成立•归纳假设k m 时结论成立,即A m B -BA m = m A m 1.则当k m 1时,有m 1mA= (m 1) A即k m 1时结论成立•故对一切k 1结论成立.5•证明:可逆变换是双射证 设A 是可逆变换,它的逆变换为 A若a b ,则必有Aa Ab,不然设Aa=A b,两边左乘A 1,有a=b ,这与条件矛盾 其次,对任一向量b,必有a 使Aa=b,事实上,令A 1 b=a 即可• 因此,A 是一个双射•6•设1, 2, , n 是线性空间V 的一组基,A 是V 上的线性变换。
证明:A 是可逆变换当且仅当A 1,A 2 , ,A n 线性无关. 证因A(1, 2, , n )=(A1,A2, ,An )=( 1, 2,, n)A故A 可逆的充要条件是矩阵 A 可逆,而矩阵A 可逆的充要条件是 A 1,A 2, ,A n 线性无关• 故A 可逆的充要条件是 A 1,A 2, ,A n 线性无关•7.求下列线性变换在所指定基下的矩阵:1) 第 1 题 4)中变换 A 在基 1=(1,0,0), 2 =(0,1,0), 3=(0,0,1)下的矩阵;2) [0; 1, 2]是平面上一直角坐标系,A 是平面上的向量对第一和第三象限角的平分线的垂直投影,B 是平面上的向量对2的垂直投影,求A,B,AB 在基1, 2下的矩阵;m 1 m 1m 1mmm 1mA B-BA =(A B-A BA)+(A BA-BA )=A (AB-BA)+(AB-BA )A=AE+ m A3)在空间P[x] n中,设变换A为f(x) f(x 1) f(x)、、1试求A在基i = x(x 1) (x i 1) (1=1,2, ,n-1)i!下的矩阵A;4)六个函数1=e ax cos bx, 2=e ax sin bxax . ax ..3 = x e cos bx,4 = x e sin bx1 2 ax 1 ax 21= x e cos bx, 1= e x sin bx2 2的所有实数线性组合构成实数域上一个六维线性空间,求微分变换D在基i(i=1,2, 矩阵;1 5)已知P3中线性变换A在基1=(-1,1,1), 2=(1,0,-1), 3=(0,1,1)下的矩阵是11,6)下的0 11 02 1求 A 在基1=(1,0,0), 2 =(0,1,0), 3=(0,0,1)下的矩阵;6)在P3中,A定义如下:A 1( 5,0,3)A 2 (0, 1,6)A 3 ( 5,1,9)其中1 ( 1,0,2)2 (0,1,1)3 (3, 1,0)求在基1=(1,0,0), 2 =(0,1,0), 3 =(0,0,1)下的矩阵;7)同上,求A在1, 2, 3下的矩阵.解1) A 1=(2,0,1)=2 1+ 3A 2 =(-1,1,0)=- 1 + 2A 3 = (0,1,0)= 22 1 0 故在基1,2 , 3下的矩阵为0 1 11 0 02)取 1 = (1, 0), 2 = ( 0, 1) 则A 1 =121 1A 2 =' 1 + 22 21 1故A在基1, 2下的矩阵为A= 2121 2 2又因为B 1=0, B 2= 2所以B 在基1, 21 1(B 2 ):=A 2 :1+ 22 21所以AB在基.1 , 2下的矩阵为AB =20 12x(x 1)3)因为0 1, 1 x, 2 n 12!,所以A 0 1 1 0A 1 (x 1) x 0" (x 1)x [x (n 3)] x(x 1) [A n 1(n 1)! (n 11+2,20 0 .下的矩阵为 B = ,另外,(AB)2=A0 1 2x(x 1) [x (n 2)](n 1)!:(n 2)]1)!x(x 1) [X (n(n 1)! 1)[x (n 2)]}0 1 0 1,所以A 在基0, !,, n 1下的矩阵为A =1 04) 因为 D 1=a 1 -b 2 ,D 2 =b1-a2 ,6D3 =1+ a3-b 4 ,D 4 = 2 +b 3 + a 4 ,D5 =3+a5-b 6 ,D 6 = 4 +b 5 + a 6,所以D 在给定基下的矩阵为 D= 5)因为(1, 2 , 3 )=( 1, 2 ,3)1 1 (1 ,2 ,3 )=( 1 , 2 , 3 ) 0 110 故A 在基1 ,2 : ,3下的矩阵为 1 1 0 10 1 B=X AX= 1 0 1 1 11 1 1 12 6)因为(1, 2 ,3 )=( 1,2 , 3)11 =( 1, 2, 3)X ,1a b 1 0 0 0 b a 0 1 0 0 0ab 10 , 0 0 b a 0 1 0 0 0 0 a b0 0b a11 010 1 ,所以1 1 11 1 1 11 1 20 0 1 1 = :2 2 0 11 0 130 21 0 30 1 1 ,2 1 0所以A( 2 ,3)=A(但已知A(3)=( 3) A( 3)=( 1 ,3)=(1727273767J7371717=(574727720757187207272477) 因为( ,3)=( 1 ,所以A(3 )=( 3)=(中定义线性变换(X)= X, A2 (X)=X A 2 (X)= 求A1, A2, A3在基E11, E12, E21, E22下的矩阵。
9•设三维线性空间 V 上的线性变换 A 在基1,2, 3下的矩阵为A 1 E 21 =bE 11 +dE 21 , A 1 E 22 = bE 21 +d E 22 , 故A 1在基E 11 , E 12, E 21 , E 22下的矩阵为a 0b 0 0 a 0 bA 1 =c 0d 0 0 c 0 d又因A 2 E 11 =a E 11 + b E 12, A 2 E 12 = cE 11 +d E 12 ,A 2 E 21 = aE 21 +bE 22 , A 2 E 22 = 故A 2在基E 11 , E 12, E 21 , E 22下的矩阵为2A 3E 21 = abE 11 +b E 12+adE 21 +bdE 22A 3 E 22 = bcE 11+ bdE 12 + cd E 21 +d E 22故A 3在基E 11 , E 12, E 21 , E 22下的矩阵为a 2 abac ad ab b 2 bc bdA 32ac c ad cdbc cd bd d 2A i E ii =a E11 + cE12A1 E12=a E 12 + c E22,cE 21 + d E 22 ,a c 0 0A2 =b d 0 0 0 0 a c0 0 b d又因2A 3 E 11 = a E 11 +abE 12 + acE 21 + bcE 22A3E12 =acEn+adE 12 + c 2E 21 + cd E 223)求A 在基12,2, 3下的矩阵•解 1)因A 3= a 33 3 +a 23 2a13 1A1 = a31 3 a21 2a11 1故A 在基3, 2, 1下的矩阵为a33 a32 a31 B 3a23 a 22 a21a 13a 12a112) 因a ?1A 1 = a11 1 + ~ (k 2)k故A 在1,k 2, 3下的矩阵为a11 a12 a13 A=a21 a22 a23a 31a 32a331) 求A 在基3, 22) 求A 在基1,k1下的矩阵;3下的矩阵,其中且;A 2 = a32 3 a22 2a31 3A(k 2)= k a12+ a ?2(k 2) + ka 32A 3 = a 131 + ¥(k 2)+a 33 k2,3) 因A( 1 2 )=( a11 a12 )( 13)+( a21 a22a11a12 ) 2+( a31a32)3a11ka 12B 2a 21~ —a22ka 31 ka 32a13a 23 k a 33A 2 = a12 ( 1 2)+( a22 a12) 2 + a32 3A 3= a13( 1 2 )+( a23 a13) 2 + a33 3故A基12, 2, 3下的矩阵为a11 a12 a12 a13B3 a 21 a?2 a〔1 a〔2 a22 a12 a23 a13a31 a32 a32 a33k 1 k10•设A是线性空间V上的线性变换,如果A 0,但A =0,求证,A , , A k 1(k>0)线性无关.证设有线性关系l1 l2A l k A k 10用A k 1作用于上式,得l1A k 1=0(因A n0对一切n k均成立)又因为A k 10,所以l1 0 ,于是有l2A l3A2l k A k 10再用A k 2作用之,得l2 A k 1 =0.再由,可得l2 =0.同理,继续作用下去,便可得l1 l2 l k 0即证,A , , A k 1 (k >0)线性无关.11.在n维线性空间中,设有线性变换A与向量使得A n 10但,求证A在某组下的矩阵是1 011 0证由上题知,,A ,A2, , A n1线性无关,故,A ,A2, , A n1为线性空间V的一组基.又因为A 0 1 A 0 A2 +A(A )=0 + 0 A +1A (A n 1) =0 +0 A +0 A 2 + 0 A n 1故A在这组基下的矩阵为1 011 012.设V是数域P上的维线性空间,证明:V的全体线性变换可以交换的线性变换是数乘变换•证因为在某组确定的基下,线性变换与n级方阵的对应是双射,而与一切n级方阵可交换的方阵必为数量矩阵kE,从而与一切线性变换可交换的线性变换必为数乘变换K.13.A是数域P上n维线性空间V的一个线性变换,证明:如果A在任意一组基下的矩阵都相同,那么是数乘变换.证设A在基下1,2,,n的矩阵为A=( a j ),只要证明A为数量矩阵即可•设X为任一非退化方阵,且(1,2,n )=(1,2,,n )X则1,2,n也是V的一组基,且A在这组基下的矩阵是X 1AX,从而即有AX=XA,这说明A 与一切非退化矩阵可交换•若取12X1n则由 A X1= X1A 知a ij=0(i j),即得a na22A=a nn再取0 10 00 0 1 0X2 =0 0 0 11 0 0 0由A X2=X2A,可得a11 a22 a nn故A为数量矩阵,从而A为数乘变换.14•设1, 2, 3, 4是四维线性空间V的一组基,已知线性变换A在这组基下的矩阵为10 2 112 1312 5 52 2 1 21) 求A在基1 1 22 4 ,23 2 34 , 3 3 4 , 4 2 4下的矩阵2) 求A的核与值域;3) 在A的核中选- 组基,把它扩充为V 的一组基,并求A在这组基下的矩阵 54) 在A的值域中选一组基,把它扩充为V的一组基, 并求A在这组基下的矩阵解1)由题设,知1 0 0 02 3 0 0(1 , 2 , 3, 4 )=(1, 2 ,3, 4 )0 1 1 01 1 1 2故A在基1, 2, 3, 4下的矩阵为1 0 0 0 1 1 02 1 1 0 0 0X 1AX = 2 3 0 0 1 2 1 3 2 3 0 0B=0 1 1 0 1 2 5 5 0 1 1 01 1 12 2 2 1 2 1 1 1 22 3 3 22 4 10 103 3 3 38 16 40 403 3 3 30 1 7 81先求A (0).设 A 1(0),它在1, 2 , 3, 4下的坐标为(1, 2 , 3 , 4),且在A2)在 1 , 2 , 3, 4下的坐标为 (0,0,0,0,),贝 y1 02 1 X 1 0 1 2 13 X 2 0 1 2 5 5 X 3 =0 22 12X 4因 rank(A)=2,故由X 2x 3 x 4 0X i 2x 2 X 3 3x 4可求得基础解系为3X1 =( 2,—,1,0),X2 = (1, 2,0,1)若令a1=(1, 2 , 3, 4 )X1 ,a2 =(1, 2 , 3, 4)X2则a 1, a 2即为A 1(0)的一组基 所以1A (0)=L(a 1 , a ?)再求A 的值域AV.因为1一 12=2 3=2可组成AV 的基,从而AV=L( A 1 ,A 2)4) 由2)知a 1, a 2是A 1 (0)的一组基,且知故A 在基1,2, a 1, a 2下的矩阵为rank(A)=2,故 A1 ,A2, A 3, A 4发秩也为2,且A 1 ,A 2线性无关,故A 1 ,A 22, a 1, a 2是V 的一组基,又(1, 2,a1,a2 )=(4)5 2 0 0 91 0 0=21 20 022 0 04)由 2)知 A 1 =:12324 ,A 2=22 2 3 2易知A 1 ,A 2 ,3, 4是V 的一组基,且1 0 0 01 20 0(A 1, A2 ,3,4 )=(1, 2, 3, 4 )1 21 012 0 1故A 在基 A1, A 2 , 3,4下的矩阵为10 0 0 11 02 1 1 0 0 01 2 0 0 1 2 1 3 1 2 0 0 C=1 21 01 2 5 5 1 21 01 2 0 122 1212 0 15 2 2 19312= 220 0 0 00 0315.给定P 的两组基1 (1,0,1) 1 (1,2, 1)2 (2,1,0) 2 (2,2, 1)3(1,1,1)3(2, 1, 1)定义线性变换A:A i = i (i =1,2,3) 1)写出由基1, 2, 3到基1, 2, 3的过度矩阵23-2113212^1 2 ^1122 3-21B=o1oo2) 写出在基3下的矩阵;3) 写出在基3下的矩阵.1)由(1, 3)=( 1 , 2 ,3)X引入P3的一组基©=(1,0,0),e2 =(0,1,0), e3=(0,0,i),则2)因(1,所以故由基3)=( e1 , e2 , e3 ) 013)=( e , e2 , e3)3到基=(e1 , e2 , e3)A1=(e1 , e2 , e3 )B=( e i , e2 , e3)A B3的过度矩阵为1X= A B=A( 1 , 2 , 3)=( 故A在基2 32 1 24)因A( 2,2, 3)=(1,2,3)3下的矩阵为A= 1232123232523 )=A( 3)X=( 3)X故A 在基1, 2, 3下的矩阵仍为X.相似.17.如果A 可逆证明AB 与BA 相似.证因A 可逆,故A 1存在,从而A 1 (AB)A=( A所以AB 与BA 相似.A 18.如果A 与B 相似,C 与D 相似证明:0 证 由已知,可设B=X 1AX, D=Y 1 CY,则-B 0 r ,与B 相似.B 0 DX 1 0A 0 X 0B 0 0 Y 10 C 0 Y = '0 D16•证明 i1i2相似,其中(i 1,i 2,,i n )是 1,2, ,n 的一个排列• 证 设有线性变换 A,使 则A( i1n)=(2,n)i1=(n) D1i 1 , i 2 , , i n )=( i 1, D 1与 i2i n=(i2,i n )D2D 2为同一线性变换 A 在两组不同基下的矩阵这里0 Y 1i21A)BA=BA相似.2 219设A,B是线性变换,A = A, B =B证明:21) 如果(A+B) =A+B 那么AB=0 ;22) 如果,AB=BA 那么(A+B-AB) =A+B-AB.证1)因为 A = A, B =B, (A+B) =A+B由(A+B)2 =(A+B) (A+B)= A 2 +AB+BA+ B 2 ,故A+B= A +AB+BA+ B,即AB+BA=0.又2AB=AB+AB=AB-BA= A 2 B-B 2 A= A 2 B+ABA= A (AB+BA)= A0=0所以AB=0.2 22)因为 A = A, B =B, AB=BA2所以(A+B-AB) = (A+B-AB) (A+B-AB)2 2 2 2=A +BA- AB A+ AB+ B - AB -A B-BAB +ABAB=A+AB - AA B + AB+ B- AB-AB-ABB +AABB=A+AB - A B + AB+ B- AB-AB-AB +AB=A+B- AB20.设v是数域P上维线性空间,证明:由V的全体变换组成的线性空间是n2维的•证因En, Em,E R,,E2n,,E^,耳是P n n的一组基,P n n是n2维的•所以v的全体线性变换与P n n同构,故V的全体线性变换组成的线性空间是n2维的.21.设A是数域P上n维线性空间V的一个线性变换证明:23)在P[x]中有一次数n的多项式f(x),使f(A) 0;4)女口果f(A) 0,g(A) 0 ,那么d(A) 0 ,这里d(x)是f(x)与g(x)的最大公因式.5)A可逆的充分必要条件是:有一常数项不为零的多项式f(x)使f (A) 0.证1)因为P上的n维线性空间V的线性变换组成的线性空间是n2维的,所以n2+1个线性2 2 .变换A n ,A n 1 ,、、,A,E一定线性相关,即存在一组不全为零的数a n2 ,a n2 1, a1, a0使2 2.八门. ^n1 八3门2 A + 3门2 i A + A+ a° E=02 2令f(x) a n2X n a n2 1x n 1a i X a。