大学基础物理学答案(习岗)第4章
- 格式:doc
- 大小:679.50 KB
- 文档页数:18
大学基础物理课后答案主编:习岗高等教育出版社第一章 思考题:<1-4> 解:在上液面下取A 点,设该点压强为A p ,在下液面内取B 点,设该点压强为B p 。
对上液面应用拉普拉斯公式,得 A A R p p γ20=- 对下液面使用拉普拉斯公式,得 BB 02R p p γ=- 又因为 gh p p ρ+=A B 将三式联立求解可得 ⎪⎪⎭⎫ ⎝⎛-=B A 112R R g h ργ<1-5> 答:根据对毛细现象的物理分析可知,由于水的表面张力系数与温度有关,毛细水上升的高度会随着温度的变化而变化,温度越低,毛细水上升的高度越高。
在白天,由于日照的原因,土壤表面的温度较高,土壤表面的水分一方面蒸发加快,另一方面土壤颗粒之间的毛细水会因温度升高而下降,这两方面的原因使土壤表层变得干燥。
相反,在夜间,土壤表面的温度较低,而土壤深层的温度变化不大,使得土壤颗粒间的毛细水上升;另一方面,空气中的水汽也会因为温度下降而凝结,从而使得清晨时土壤表层变得较为湿润。
<1-6> 答:连续性原理是根据质量守恒原理推出的,连续性原理要求流体的流动是定常流动,并且不可压缩。
伯努利方程是根据功能原理推出的,它的使用条件是不考虑流体的黏滞性和可压缩性,同时,还要求流动是定常流动。
如果流体具有黏滞性,伯努利方程不能使用,需要加以修正。
<1-8> 答:泊肃叶公式适用于圆形管道中的定常流动,并且流体具有黏滞性。
斯托克斯公式适用于球形物体在黏滞流体中运动速度不太大的情况。
练习题:<1-6> 解:设以水坝底部作为高度起点,水坝任一点至底部的距离为h 。
在h 基础上取微元d h ,与之对应的水坝侧面面积元d S (图中阴影面积)应为坡长d m 与坝长l 的乘积。
练习题1-6用图d h d F由图可知 osin60d sin d d hh m ==θ 水坝侧面的面积元d S 为 d d d sin 60hS l m l °== 该面积元上所受的水压力为 0d d d [(5)]sin 60hF p S p ρg h l°==+-水坝所受的总压力为 ()[]N)(103.760sin d 5d 855o0⨯=-+==⎰⎰h l h g p F F ρ(注:若以水坝的上顶点作为高度起点亦可,则新定义的高度5h h ¢=-,高度微元取法不变,即d d h h ¢=,将h ¢与d h ¢带入水坝压力积分公式,同样可解出水坝所受压力大小。
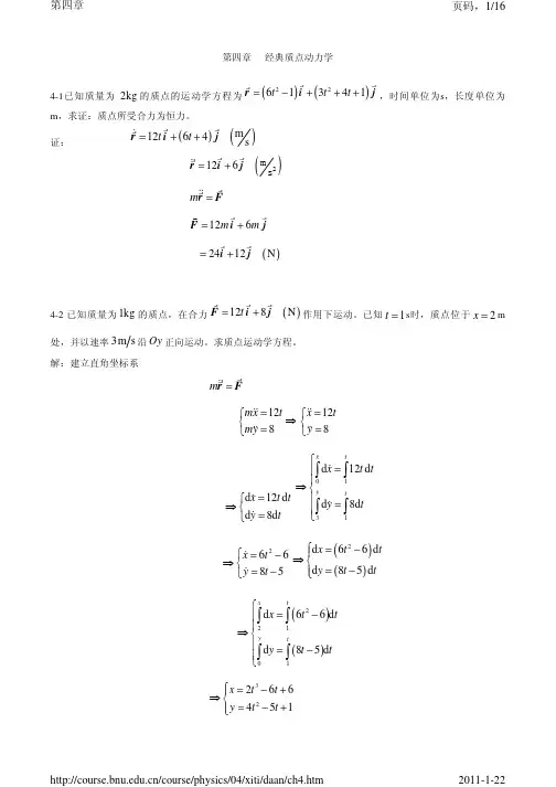
第四章机械振动4.1一物体沿x 轴做简谐振动,振幅A = 0.12m ,周期T = 2s .当t = 0时,物体的位移x = 0.06m ,且向x 轴正向运动.求:(1)此简谐振动的表达式;(2)t = T /4时物体的位置、速度和加速度;(3)物体从x = -0.06m ,向x 轴负方向运动第一次回到平衡位置所需的时间. [解答](1)设物体的简谐振动方程为x = A cos(ωt + φ),其中A = 0.12m ,角频率ω = 2π/T = π.当t = 0时,x = 0.06m ,所以cos φ = 0.5,因此φ = ±π/3. 物体的速度为v = d x /d t = -ωA sin(ωt + φ).当t = 0时,v = -ωA sin φ,由于v > 0,所以sin φ< 0,因此:φ = -π/3.简谐振动的表达式为:x = 0.12cos(πt – π/3).(2)当t = T /4时物体的位置为;x = 0.12cos(π/2 – π/3) = 0.12cosπ/6 = 0.104(m). 速度为;v = -πA sin(π/2 – π/3) = -0.12πsinπ/6 = -0.188(m·s -1).加速度为:a = d v /d t = -ω2A cos(ωt + φ)= -π2A cos(πt - π/3)= -0.12π2cosπ/6 = -1.03(m·s -2). (3)方法一:求时间差.当x = -0.06m 时,可得cos(πt 1 - π/3) = -0.5, 因此πt 1 - π/3 = ±2π/3.由于物体向x 轴负方向运动,即v < 0,所以sin(πt 1 - π/3) > 0,因此πt 1 - π/3 = 2π/3,得t 1 = 1s .当物体从x = -0.06m 处第一次回到平衡位置时,x = 0,v > 0,因此cos(πt 2 - π/3) = 0, 可得 πt 2 - π/3 = -π/2或3π/2等.由于t 2> 0,所以πt 2 - π/3 = 3π/2, 可得t 2 = 11/6 = 1.83(s).所需要的时间为:Δt = t 2 - t 1 = 0.83(s).方法二:反向运动.物体从x = -0.06m ,向x 轴负方向运动第一次回到平衡位置所需的时间就是它从x = 0.06m ,即从起点向x 轴正方向运动第一次回到平衡位置所需的时间.在平衡位置时,x = 0,v < 0,因此cos(πt - π/3) = 0,可得 πt - π/3 = π/2,解得t = 5/6 = 0.83(s).[注意]根据振动方程x = A cos(ωt + φ),当t = 0时,可得φ = ±arccos(x 0/A ),(-π<φ<= π), 初位相的取值由速度决定.由于v = d x /d t = -ωA sin(ωt + φ),当t = 0时,v = -ωA sin φ,当v > 0时,sin φ< 0,因此 φ = -arccos(x 0/A );当v < 0时,sin φ> 0,因此φ = arccos(x 0/A )π/3.可见:当速度大于零时,初位相取负值;当速度小于零时,初位相取正值.如果速度等于零,当初位置x 0 = A 时,φ = 0;当初位置x 0 = -A 时,φ = π.4.2已知一简谐振子的振动曲线如图所示,试由图求:(1)a ,b ,c ,d ,e 各点的位相,及到达这些状态的时刻t 各是多少?已知周期为T ; (2)振动表达式; (3)画出旋转矢量图. [解答]方法一:由位相求时间.(1)设曲线方程为x = A cos Φ,其中A 表示振幅,Φ = ωt + φ表示相位. 由于x a = A ,所以cos Φa = 1,因此Φa = 0.由于x b = A /2,所以cos Φb = 0.5,因此Φb = ±π/3;由于位相Φ随时间t 增加,b 点位相就应该大于a 点的位相,因此Φb = π/3.由于x c = 0,所以cos Φc = 0,又由于c 点位相大于b 位相,因此Φc = π/2.同理可得其他两点位相为:Φd = 2π/3,Φe = π.c 点和a 点的相位之差为π/2,时间之差为T /4,而b 点和a 点的相位之差为π/3,时间之差应该为T /6.因为b 点的位移值与O 时刻的位移值相同,所以到达a 点的时刻为t a = T /6. 到达b 点的时刻为t b = 2t a = T /3.图4.2到达c 点的时刻为t c = t a + T /4 = 5T /12. 到达d 点的时刻为t d = t c + T /12 = T /2. 到达e 点的时刻为t e = t a + T /2 = 2T /3.(2)设振动表达式为:x = A cos(ωt + φ),当t = 0时,x = A /2时,所以cos φ = 0.5,因此φ =±π/3; 由于零时刻的位相小于a 点的位相,所以φ = -π/3, 因此振动表达式为. 另外,在O 时刻的曲线上作一切线,由于速度是位置对时间的变化率,所以切线代表速度的方向;由于其斜率大于零,所以速度大于零,因此初位相取负值,从而可得运动方程.(3)如图旋转矢量图所示.方法二:由时间求位相.将曲线反方向延长与t 轴 相交于f 点,由于x f = 0,根据运动方程,可得所以:.显然f 点的速度大于零,所以取负值,解得t f = -T /12.从f 点到达a 点经过的时间为T /4,所以到达a 点的时刻为:t a = T /4 + t f = T /6, 其位相为:. 由图可以确定其他点的时刻,同理可得各点的位相.4.3 有一弹簧,当其下端挂一质量为M 的物体时,伸长量为9.8×10-2m .若使物体上下振动,且规定向下为正方向.(1)t = 0时,物体在平衡位置上方8.0×10-2m 处,由静止开始向下运动,求运动方程;(2)t = 0时,物体在平衡位置并以0.60m·s -1速度向上运动,求运动方程. [解答]当物体平衡时,有:Mg – kx 0 = 0, 所以弹簧的倔强系数为:k = Mg/x 0, 物体振动的圆频率为:s -1). 设物体的运动方程为:x = A cos(ωt + φ).(1)当t = 0时,x 0 = -8.0×10-2m ,v 0 = 0,因此振幅为:=8.0×10-2(m);由于初位移为x 0 = -A ,所以cos φ = -1,初位相为:φ = π. 运动方程为:x = 8.0×10-2cos(10t + π).(2)当t = 0时,x 0 = 0,v 0 = -0.60(m·s -1),因此振幅为:v 0/ω|=6.0×10-2(m);由于cos φ = 0,所以φ = π/2;运动方程为:x = 6.0×10-2cos(10t +π/2).4.4 质量为10×10-3kg 的小球与轻弹簧组成的系统,按的规律作振动,式中t 以秒(s)计,x 以米(m)计.求: (1)振动的圆频率、周期、振幅、初位相; (2)振动的速度、加速度的最大值;(3)最大回复力、振动能量、平均动能和平均势能;cos(2)3t x A T ππ=-cos(2)03t T ππ-=232f t Tπππ-=±203a a t T πΦπ=-=ω==0||A x ==A =20.1cos(8)3x t ππ=+(4)画出这振动的旋转矢量图,并在图上指明t 为1,2,10s 等各时刻的矢量位置. [解答](1)比较简谐振动的标准方程:x = A cos(ωt + φ),可知圆频率为:ω =8π,周期T = 2π/ω = 1/4 = 0.25(s),振幅A = 0.1(m),初位相φ = 2π/3.(2)速度的最大值为:v m = ωA = 0.8π = 2.51(m·s -1); 加速度的最大值为:a m = ω2A = 6.4π2 = 63.2(m·s -2). (3)弹簧的倔强系数为:k = mω2,最大回复力为:f = kA = mω2A = 0.632(N); 振动能量为:E = kA 2/2 = mω2A 2/2 = 3.16×10-2(J), 平均动能和平均势能为:= kA 2/4 = mω2A 2/4 = 1.58×10-2(J). (4)如图所示,当t 为1,2,10s 等时刻时,旋转矢量的位置是相同的.4.5 两个质点平行于同一直线并排作同频率、同振幅的简谐振动.在振动过程中,每当它们经过振幅一半的地方时相遇,而运动方向相反.求它们的位相差,并作旋转矢量图表示.[解答]设它们的振动方程为:x = A cos(ωt + φ), 当x = A /2时,可得位相为:ωt + φ = ±π/3.由于它们在相遇时反相,可取Φ1 = (ωt + φ)1 = -π/3,Φ2 = (ωt + φ)2 = π/3,它们的相差为:ΔΦ = Φ2 – Φ1 = 2π/3,或者:ΔΦ` = 2π –ΔΦ = 4π/3.矢量图如图所示.4.6一氢原子在分子中的振动可视为简谐振动.已知氢原子质量m = 1.68×10-27kg ,振动频率v = 1.0×1014Hz ,振幅A = 1.0×10-11m .试计算:(1)此氢原子的最大速度; (2)与此振动相联系的能量.[解答](1)氢原子的圆频率为:ω = 2πv = 6.28×1014(rad·s -1), 最大速度为:v m = ωA = 6.28×103(m·s -1).(2)氢原子的能量为:= 3.32×10-20(J).4.7 如图所示,在一平板下装有弹簧,平板上放一质量为1.0kg 的重物,若使平板在竖直方向上作上下简谐振动,周期为0.50s ,振幅为2.0×10-2m ,求:(1)平板到最低点时,重物对平板的作用力;(2)若频率不变,则平板以多大的振幅振动时,重物跳离平板? (3)若振幅不变,则平板以多大的频率振动时,重物跳离平板? [解答](1)重物的圆频率为:ω = 2π/T = 4π,其最大加速度为:a m = ω2A ,合力为:F = ma m ,方向向上.重物受到板的向上支持力N 和向下的重力G ,所以F = N – G . 重物对平板的作用力方向向下,大小等于板的支持力: N = G + F = m (g +a m ) = m (g +ω2A ) = 12.96(N).(2)当物体的最大加速度向下时,板的支持为:N = m (g - ω2A ). 当重物跳离平板时,N = 0,频率不变时,振幅为:A = g/ω2 = 3.2×10-2(m).(3)振幅不变时,频率为:3.52(Hz).4.8 两轻弹簧与小球串连在一直线上,将两弹簧拉长后系在固定点A 和B 之间,整个系统放在光滑水平面上.设两弹簧的原长分别为l 1和l 2,倔强系统分别为k 1和k 2,A和B 间距为L ,小球的质量为m .(1)试确定小球的平衡位置;k pE E =212m E mv=2ωνπ==(2)使小球沿弹簧长度方向作一微小位移后放手,小球将作振动,这一振动是否为简谐振动?振动周期为多少?[解答](1)这里不计小球的大小,不妨设L > l 1 + l 2,当小球平衡时,两弹簧分别拉长x 1和x 2,因此得方程:L = l 1 + x 1 + l 2 + x 2;小球受左右两边的弹簧的弹力分别向左和向右,大小相等,即k 1x 1 = k 2x 2. 将x 2 = x 1k 1/k 2代入第一个公式解得:.小球离A 点的距离为:.(2)以平衡位置为原点,取向右的方向为x 轴正方向,当小球向右移动一个微小距离x 时,左边弹簧拉长为x 1 + x ,弹力大小为:f 1 = k 1(x 1 + x ), 方向向左;右边弹簧拉长为x 1 - x ,弹力大小为:f 2 = k 2(x 2 - x ), 方向向右.根据牛顿第二定律得:k 2(x 2 - x ) - k 1(x 1 + x ) = ma ,利用平衡条件得:,即小球做简谐振动.小球振动的圆频率为:.4.9如图所示,质量为10g 的子弹以速度v = 103m·s -1水平射入木块,并陷入木块中,使弹簧压缩而作简谐振动.设弹簧的倔强系数k = 8×103N·m -1,木块的质量为4.99kg ,不计桌面摩擦,试求:(1)振动的振幅;(2)振动方程.[解答](1)子弹射入木块时,由于时间很短,木块还来不及运动,弹簧没有被压缩,它们的动量守恒,即:mv = (m + M)v 0.解得子弹射入后的速度为:v 0 = mv/(m + M) = 2(m·s -1),这也是它们振动的初速度.子弹和木块压缩弹簧的过程机械能守恒,可得:(m + M ) v02/2 = kA 2/2, 所以振幅为:10-2(m). (2)振动的圆频率为:= 40(rad·s -1).取木块静止的位置为原点、向右的方向为位移x 的正方向,振动方程可设为:x = A cos(ωt + φ).当t = 0时,x = 0,可得:φ = ±π/2;由于速度为正,所以取负的初位相,因此振动方程为:x = 5×10-2cos(40t - π/2).4.10如图所示,在倔强系数为k 的弹簧下,挂一质量为M 的托盘.质量为m 的物体由距盘底高h 处自由下落与盘发生完全非弹性碰撞,而使其作简谐振动,设两物体碰后瞬时为t = 0时刻,求振动方程.[解答]物体落下后、碰撞前的速度为:物体与托盘做完全非弹簧碰撞后,根据动量守恒定律可得它们的共同速度为,这也是它们振动的初速度.设振动方程为:x = A cos(ωt + φ),211212()k x L l l k k =--+211111212()k L l x l L l l k k =+=+--+2122d ()0d xm kk x t++=ω=22T πω==A v =ω=v =0m v v m M ==+图4.9 图4.10其中圆频率为:物体没有落下之前,托盘平衡时弹簧伸长为x 1,则:x 1 = Mg/k .物体与托盘磁盘之后,在新的平衡位置,弹簧伸长为x 2,则:x 2= (M + m )g/k . 取新的平衡位置为原点,取向下的方向为正,则它们振动的初位移为x 0 = x 1 - x 2 = -mg/k .因此振幅为:初位相为:4.11 装置如图所示,轻弹簧一端固定,另一端与物体m 间用细绳相连,细绳跨于桌边定滑轮M 上,m 悬于细绳下端.已知弹簧的倔强系数为k = 50N·m -1,滑轮的转动惯量J = 0.02kg·m 2,半径R = 0.2m ,物体质量为m = 1.5kg ,取g = 10m·s -2.(1)试求这一系统静止时弹簧的伸长量和绳的张力;(2)将物体m 用手托起0.15m ,再突然放手,任物体m 下落而整个系统进入振动状态.设绳子长度一定,绳子与滑轮间不打滑,滑轮轴承无摩擦,试证物体m 是做简谐振动; (3)确定物体m 的振动周期;(4)取物体m 的平衡位置为原点,OX 轴竖直向下,设振物体m 相对于平衡位置的位移为x ,写出振动方程.[解答](1)在平衡时,绳子的张力等于物体的重力T = G = mg = 15(N).这也是对弹簧的拉力,所以弹簧的伸长为:x 0 = mg/k = 0.3(m).(2)以物体平衡位置为原点,取向下的方向为正,当物体下落x 时,弹簧拉长为x 0 + x ,因此水平绳子的张力为:T 1 = k (x 0+ x ).设竖直绳子的张力为T 2,对定滑轮可列转动方程:T 2R – T 1R = Jβ, 其中β是角加速度,与线加速度的关系是:β = a/R .对于物体也可列方程:mg - T 2 = ma . 转动方程化为:T 2 – k (x 0 + x ) = aJ/R 2,与物体平动方程相加并利用平衡条件得:a (m + J/R 2) = –kx ,可得微分方程:,故物体做简谐振动. (3)简谐振动的圆频率为:s -1). 周期为:T 2 = 2π/ω = 1.26(s).(4)设物体振动方程为:x = A cos(ωt + φ),其中振幅为:A = 0.15(m). 当t = 0时,x = -0.15m ,v 0 = 0,可得:cos φ = -1,因此φ = π或-π, 所以振动方程为:x = 0.15cos(5t + π),或x = 0.15cos(5t - π).4.12一匀质细圆环质量为m ,半径为R ,绕通过环上一点而与环平面垂直的水平光滑轴在铅垂面内作小幅度摆动,求摆动的周期.[解答]通过质心垂直环面有一个轴,环绕此轴的转动惯量为:I c = mR 2.根据平行轴定理,环绕过O 点的平行轴的转动惯量为I = I c + mR 2 = 2mR 2.当环偏离平衡位置时,重力的力矩为:M = mgR sin θ, 方向与角度θ增加的方向相反.ω=A ==00arctan v x ϕω-==222d 0d /x kx t m J R +=+ω=根据转动定理得:Iβ = -M ,即,由于环做小幅度摆动,所以sin θ≈θ,可得微分方程:. 摆动的圆频率为:周期为:4.13 重量为P 的物体用两根弹簧竖直悬挂,如图所示,各弹簧的倔强系数标明在图上.试求在图示两种情况下,系统沿竖直方向振动的固有频率.[解答](1)前面已经证明:当两根弹簧串联时,总倔强系数为k = k1k 2/(k 1 + k 2),因此固有频率为(2)前面还证明:当两根弹簧并联时,总倔强系数等于两个弹簧的倔强系数之和,因此固有频率为.4.14质量为0.25kg 的物体,在弹性力作用下作简谐振动,倔强系数k = 25N·m -1,如果开始振动时具有势能0.6J ,和动能0.2J ,求:(1)振幅;(2)位移多大时,动能恰等于势能?(3)经过平衡位置时的速度.[解答]物体的总能量为:E = E k + E p = 0.8(J).(1)根据能量公式E = kA2/2,得振幅为:.(2)当动能等于势能时,即E k = E p ,由于E = E k + E p ,可得:E = 2E p ,即,解得:= ±0.179(m). (3)再根据能量公式E = mv m2/2,得物体经过平衡位置的速度为: 2.53(m·s -1).4.15 两个频率和振幅都相同的简谐振动的x-t 曲线如图所示,求: (1)两个简谐振动的位相差;(2)两个简谐振动的合成振动的振动方程. [解答](1)两个简谐振动的振幅为:A = 5(cm), 周期为:T = 4(s),圆频率为:ω =2π/T = π/2,它们的振动方程分别为:x 1 = A cos ωt =5cosπt /2, x 2 = A sin ωt =5sinπt /2 =5cos(π/2 - πt /2)即x 2=5cos(πt /2 - π/2).位相差为:Δφ = φ2 - φ1 = -π/2. (2)由于x = x 1 + x 2 = 5cosπt /2 +5sinπt /2 = 5(cosπt /2·cosπ/4 +5sinπt /2·sinπ/4)/sinπ/4 合振动方程为:(cm).22d sin 0d I mgR tθθ+=22d 0d mgRt Iθθ+=ω=222T πω===2ωνπ===2ωνπ===A =2211222kA kx =⨯/2x =m v =cos()24x t ππ=- (b)图4.134.16 已知两个同方向简谐振动如下:,.(1)求它们的合成振动的振幅和初位相; (2)另有一同方向简谐振动x 3 = 0.07cos(10t +φ),问φ为何值时,x 1 + x 3的振幅为最大?φ为何值时,x 2 + x 3的振幅为最小?(3)用旋转矢量图示法表示(1)和(2)两种情况下的结果.x 以米计,t 以秒计.[解答](1)根据公式,合振动的振幅为:=8.92×10-2(m). 初位相为:= 68.22°.(2)要使x 1 + x 3的振幅最大,则:cos(φ– φ1) = 1,因此φ– φ1 = 0,所以:φ = φ1 = 0.6π. 要使x 2 + x 3的振幅最小,则 cos(φ– φ2) = -1,因此φ– φ2 = π,所以φ = π + φ2 = 1.2π.(3)如图所示.4.17质量为0.4kg 的质点同时参与互相垂直的两个振动:, .式中x 和y 以米(m)计,t 以秒(s)计.(1)求运动的轨道方程;(2)画出合成振动的轨迹;(3)求质点在任一位置所受的力.[解答](1)根据公式:,其中位相差为:Δφ = φ2 – φ1 = -π/2,130.05cos(10)5x t π=+210.06cos(10)5x t π=+A =11221122sin sin arctancos cos A A A A ϕϕϕϕϕ+=+0.08cos()36x t ππ=+0.06cos()33y t ππ=-2222212122cos sin x y xyA A A A ϕϕ+-∆=∆所以质点运动的轨道方程为:. (2)合振动的轨迹是椭圆.(3)两个振动的圆频率是相同的ω = π/3,质点在x 方向所受的力为,即F x = 0.035cos(πt /3 + π/6)(N).在y 方向所受的力为,即F y = 0.026cos(πt /3 - π/3)(N).用矢量表示就是,其大小为,与x 轴的夹角为θ = arctan(F y /F x ).4.18 将频率为384Hz 的标准音叉振动和一待测频率的音叉振动合成,测得拍频为3.0Hz ,在待测音叉的一端加上一小块物体,则拍频将减小,求待测音叉的固有频率.[解答]标准音叉的频率为v 0 = 384(Hz), 拍频为Δv = 3.0(Hz), 待测音叉的固有频率可能是v 1 = v 0 - Δv = 381(Hz), 也可能是v 2 = v 0 + Δv = 387(Hz).在待测音叉上加一小块物体时,相当于弹簧振子增加了质量,由于ω2 = k/m ,可知其频率将减小.如果待测音叉的固有频率v 1,加一小块物体后,其频率v`1将更低,与标准音叉的拍频将增加;实际上拍频是减小的,所以待测音叉的固有频率v 2,即387Hz .4.19示波器的电子束受到两个互相垂直的电场作用.电子在两个方向上的位移分别为x = A cos ωt 和y = A cos(ωt +φ).求在φ = 0,φ = 30º,及φ = 90º这三种情况下,电子在荧光屏上的轨迹方程.[解答]根据公式,其中Δφ = φ2 – φ1 = -π/2,而φ1 = 0,φ2 = φ.(1)当Δφ = φ = 0时,可得,质点运动的轨道方程为y = x ,轨迹是一条直线.(2)当Δφ = φ = 30º时,可得质点的轨道方程, 即,轨迹是倾斜的椭圆.(3)当Δφ = φ = 90º时,可得, 即x 2 + y 2 = A 2,质点运动的轨迹为圆.4.20三个同方向、同频率的简谐振动为,,.222210.080.06x y +=22d d x x x F ma m t==20.08cos()6m t πωω=-+22d d y y y F ma m t==20.06cos()3m t ωω=--πi+j x y F F F =F =2222212122cos sin x y xyA A A A ϕϕ+-∆=∆2222220x y xyA A A+-=222214x y A+=222/4x y A +=22221x y A A +=10.08cos(314)6x t π=+20.08cos(314)2x t π=+350.08cos(314)6x t π=+求:(1)合振动的圆频率、振幅、初相及振动表达式; (2)合振动由初始位置运动到所需最短时间(A 为合振动振幅). [解答]合振动的圆频率为:ω = 314 = 100π(rad·s -1). 设A 0 = 0.08,根据公式得:A x = A 1cos φ1 + A 2cos φ2 + A 3cos φ3 = 0,A y = A 1sin φ1 + A 2sin φ2 + A 3sin φ3 = 2A 0 = 0.16(m), 振幅为:,初位相为:φ = arctan(A y /A x ) = π/2.合振动的方程为:x = 0.16cos(100πt + π/2).(2)当时,可得:,解得:100πt + π/2 = π/4或7π/4.由于t > 0,所以只能取第二个解,可得所需最短时间为t = 0.0125s .x A =A =/2x =cos(100/2)2t ππ+。
高等教育出版社习岗主编《大学基础物理学》部分练习题参考答案练习题1-2 某人的一条腿骨长0.4m ,横截面积平均为5×10-4m 2,用此骨支撑整个体重(相当于500N 的力),其长度缩短为多少?占原长的百分之几(骨的杨氏模量按1×1010N ·m -2)? 解:物体内部某截面上的应力可以表示为f Sσ∆∆=,在拉升应变中,应力与相关的应变成正比,即l El σ∆= 则10405000.00010.01%110510l f l E S ∆∆∆-====⨯⨯⨯ 500.01%410()l l m ∆-=⨯=⨯练习题1-7 液滴法是测定液体表面张力系数的一种简易方法。
将质量为m 的待测液体吸入移液管,然后让液体缓缓从移液管下端滴出。
可以证明mg ndγπ=其中,n 为移液管中液体全部滴尽时的总滴数,d 为移液管从从管口下落时断口的直径。
请证明这个关系。
解:作用在每个液体上的表面张力为f d γπ=⨯,而每个液滴受到的重力为mg W n=当液滴将要下落时,满足0W f -=得mgndγπ=练习题1-9 假定树木的木质部导管为均匀的圆柱形导管,树液完全依靠毛细现象在导管内上升,接触角为45○,树液的表面张力系数225.010N m γ--=⨯ 。
问要使树液达到树木的顶部,高为20m 的树木所需木质部导管的最大半径为多少?解:02R p p Rγ-=- ……(2分)0R p p gh ρ-=……(3分)cos rRϕ=2cos r ghγϕρ=27325102/23.610()1.0109.820m --⨯⨯==⨯⨯⨯⨯练习题1-12 欲用内径为1cm 的细水管将地面上内径为2cm 的粗水管的水引到5m 高的楼上。
已知粗水管中水压为4×105Pa ,流速为4m/s 。
若忽略水的粘滞性,问楼上细水管中的流速和压强分别为多少?解:由连续性原理有v 1S 1=v 2S 2而41222121==r r S S … 得s m v v /1644412=⨯== 又由伯努力方程有:222212112121gh v P gh v P ρρρρ++=++… 得)(103.22121512112222Pa gh v P gh v P ⨯=+++--=ρρρρ练习题1-18 动物主动脉的横截面积为3cm 3,血液的粘滞系数为33.510Pa s -⨯ ,血液密度为331.510kg m -⨯ 。
第四章 静电场本章提要1. 库仑定律两个静止的点电荷之间的作用力满足库仑定律,库仑定律的数学表达式为1212002204q q q q kr rπε==F r r 其中922910(N m /C )k =⨯⋅122-1-2018.8510(C N m )4k επ-==⨯⋅⋅2. 电场强度∙ 电场强度表示单位正电荷在静电场中所受的电场力。
其定义式为q =F E 其中,0q 为静止电荷。
∙ 在点电荷q 的电场中,电场强度为0204q r πε=E r3. 电场强度的计算∙ 点电荷系的电场N21014iii i q r πε==∑r 0E ∙ 电荷连续分布的带电体系的电场2 01d4qqrπε=⎰r E 0其中的积分遍及q 电荷分布的空间。
4. 高斯定理∙ 电通量电场强度通量简称电通量。
在电场强度为E 的某点附近取一个面元,规定S ∆=∆S n ,θ为E 与n 之间的夹角,通过S ∆的电通量定义为e cos E S θ∆ψ=∆=∆E S通过电场中某闭合曲面S 的电通量为d e sψ=⎰⎰E S∙ 高斯定理在真空中,通过电场中任意封闭曲面的电通量等于该封闭曲面内的所有电荷电量的代数和除以0ε。
即i 01d sq=∑⎰⎰E S 内ε使用高斯定理可以方便地计算具有对称性的电场分布。
5. 电势∙ 电势能电荷q 0在电场中某点a 所具有的电势能等于将q 0从该点移到无穷远处时电场力所作的功。
即0 d a a a W A q ∞∞==⎰E l∙ 电势电势是描述电场能的属性的物理量。
电场中某点a 的电势定义为0 d a a a U W q ∞==⎰E l∙ 电势的计算(1) 已知电场强度的分布,可通过电势的定义做场强的积分来计算电 势。
(2)若不知道电场强度的分布,可通过下述的求和或积分来计算电势: 点电荷系产生的电场中的电势为N104i a i iq U r πε==∑电荷连续分布的带电体系电场中的电势为0d4a qq U rπε=⎰6. 静电场的环路定理静电场的电场强度沿任意闭合路径的线积分为零,即 d lE l ∙=⎰07. 静电场对导体的作用∙ 导体的静电平衡导体中不发生任何电荷定向运动的状态称静电平衡状态。
大学基础物理课后答案主编:习岗高等教育出版社第一章 思考题:<1-4> 解:在上液面下取A 点,设该点压强为A p ,在下液面内取B 点,设该点压强为B p 。
对上液面应用拉普拉斯公式,得 A A R p p γ20=- 对下液面使用拉普拉斯公式,得 BB 02R p p γ=- 又因为 gh p p ρ+=A B将三式联立求解可得 ⎪⎪⎭⎫ ⎝⎛-=B A 112R R g h ργ<1-5> 答:根据对毛细现象的物理分析可知,由于水的表面张力系数与温度有关,毛细水上升的高度会随着温度的变化而变化,温度越低,毛细水上升的高度越高。
在白天,由于日照的原因,土壤表面的温度较高,土壤表面的水分一方面蒸发加快,另一方面土壤颗粒之间的毛细水会因温度升高而下降,这两方面的原因使土壤表层变得干燥。
相反,在夜间,土壤表面的温度较低,而土壤深层的温度变化不大,使得土壤颗粒间的毛细水上升;另一方面,空气中的水汽也会因为温度下降而凝结,从而使得清晨时土壤表层变得较为湿润。
<1-6> 答:连续性原理是根据质量守恒原理推出的,连续性原理要求流体的流动是定常流动,并且不可压缩。
伯努利方程是根据功能原理推出的,它的使用条件是不考虑流体的黏滞性和可压缩性,同时,还要求流动是定常流动。
如果流体具有黏滞性,伯努利方程不能使用,需要加以修正。
<1-8> 答:泊肃叶公式适用于圆形管道中的定常流动,并且流体具有黏滞性。
斯托克斯公式适用于球形物体在黏滞流体中运动速度不太大的情况。
练习题:<1-6> 解:设以水坝底部作为高度起点,水坝任一点至底部的距离为h 。
在h 基础上取微元d h ,与之对应的水坝侧面面积元d S (图中阴影面积)应为坡长d m 与坝长l 的乘积。
练习题1-6用图d h d F由图可知 osin60d sin d d hh m ==θ 水坝侧面的面积元d S 为 d d d sin 60hS l m l该面积元上所受的水压力为 0d d d [(5)]sin 60hFp Sp ρg h l水坝所受的总压力为 ()[]N)(103.760sin d 5d 855o0⨯=-+==⎰⎰h l h g p F F ρ(注:若以水坝的上顶点作为高度起点亦可,则新定义的高度5h h ,高度微元取法不变,即d d h h ,将h 与d h 带入水坝压力积分公式,同样可解出水坝所受压力大小。
思 考 题4.1 阿伏伽德罗定律指出:在温度和压强相同的条件下,相同体积中含有的分子数是相等的,与气体的种类无关。
试用气体动理论予以说明。
答: 据压强公式 p nkT = ,当压强和温度相同时,n 也相同,与气体种类无关; 4.2 对一定量的气体来说,当温度不变时,气体的压强随体积的减小而增大。
当体积不变时,压强随温度的升高而增大。
从微观角度看,两种情况有何区别。
答:气体压强是器壁单位面积上受到大量气体分子频繁地碰撞而产生的平均作用力的结果。
当温度不变时,若体积减小,分子数密度增大,单位时间内碰撞器壁的分子数增加,从而压强增大;而当体积不变时,若温度升高,分子的平均平动动能增大,分子碰撞器壁的力度变大,从而压强增大;4.3 从气体动理论的观点说明:(1)当气体的温度升高时,只要适当地增大容器的容积,就可使气体的压强保持不变。
(2)一定量理想气体在平衡态(p 1,V 1,T 1)时的热动平衡状况与它在另一平衡态(p 2,V 2,T 2)时相比有那些不同?设气体总分子数为N ,p 2< p 1,V 2< V 1。
(3)气体在平衡状态下,则222213x y z v v v v ===, 0x y z v v v ===。
(式中x v 、y v 、z v ,是气体分子速度v 的三个分量)。
答:(1)由p nkT = 可知,温度升高时,n 适当地减小,可使压强不变;(2) 在平衡态(2p ,2V ,2T )时分子的平均平动动能较在平衡态(1p ,1V ,1T )时小,但分子数密度较大;(3) 因分子向各方向运动的概率相同,并且频繁的碰撞,速度的平均值为零,速度平方的平均值大小反映平均平动动能的大小,所以各分量平方平均值相等;4.4 有人说“在相同温度下,不同气体分子的平均平动动能相等,氧分子的质量比氢分子的大,所以氢分子的速率一定比氧分子大”。
这样讲对吗?答:不对,只能说氢分子的速率平方平均值比氧分子的大。
第四章 气体动理论一、基本要求1.理解平衡态的概念。
2.了解气体分子热运动图像和理想气体分子的微观模型,能从宏观和统计意义上理解压强、温度、内能等概念。
3.初步掌握气体动理论的研究方法,了解系统的宏观性质是微观运动的统计表现。
4.理解麦克斯韦速率分布律、速率分布函数和速率分布曲线的物理意义,理解气体分子运动的最概然速率、平均速率、方均根速率的意义,了解玻尔兹曼能量分布律。
5.理解能量按自由度均分定理及内能的概念,会用能量均分定理计算理想气体的内能。
6.了解气体分子平均碰撞频率及平均自由程的意义及其简单的计算。
二、基本内容1. 平衡态在不受外界影响的条件下,一个系统的宏观性质不随时间改变的状态。
2. 理想气体状态方程在平衡态下,理想气体各参量之间满足关系式pV vRT =或 n k T p =式中v 为气体摩尔数,R 为摩尔气体常量 118.31R J mol K --=⋅⋅,k 为玻尔兹曼常量 2311.3810k J K --=⨯⋅3. 理想气体压强的微观公式21233t p nm n ε==v4. 温度及其微观统计意义温度是决定一个系统能否与其它系统处于热平衡的宏观性质,在微观统计上32t kT ε=5. 能量均分定理在平衡态下,分子热运动的每个自由度的平均动能都相等,且等于2kT 。
以i 表示分子热运动的总自由度,则一个分子的总平均动能为2t i kT ε=6. 速率分布函数()dNf Nd =v v麦克斯韦速率分布函数232/22()4()2m kT m f e kTππ-=v v v7. 三种速率最概然速率p =≈v 平均速率==≈v 方均根速率==≈8. 玻尔兹曼分布律平衡态下某状态区间(粒子能量为ε)的粒子数正比于kT e /ε-。
重力场中粒子数密度按高度的分布(温度均匀):kT m gh e n n /0-=9. 范德瓦尔斯方程采用相互作用的刚性球分子模型,对于1mol 气体RT b V V ap m m=-+))((2 10. 气体分子的平均自由程λ==11. 输运过程 内摩擦dS dz du df z 0)(η-=, 1133mn ηλρλ==v v 热传导dSdt dz dT dQ z 0)(κ-= 13v c κρλ=v 扩散dSdt dz d D dM z 0)(ρ-= 13D λ=v三、习题选解4-1 一根铜棒的两端分别与冰水混合物和沸水接触,经过足够长的时间后,系统也可以达到一个宏观性质不随时间变化的状态。
第四章 刚体的转动4-1 一汽车发动机曲轴的转速在12s 内由3102.1⨯r.min -1增加到3107.2⨯r.min -1。
(1)求曲轴转动的角加速度;(2)在此时间内,曲轴转了多少转? 解:曲轴做匀变速转动。
(1)角速度n πω2=,根据角速度的定义dtd ωα=,则有:()=-=-=tn n t002πωωα13.1rad.s -2 (2)发动机曲轴转过的角度为t t t 221020ωωαωθ+=+=()t n n 0+=π在12秒内曲轴转过的圈数为 N 390220=+==t n n πθ圈。
4-2 一半径为0.25米的砂轮在电动机驱动下,以每分钟1800转的转速绕定轴作逆时针转动,现关闭电源,砂轮均匀地减速,15秒钟后停止转动.求(1)砂轮的角加速度;(2)关闭电源后10=t s 时砂轮的角速度,以及此时砂轮边缘上一点的速度和加速度大小.解:(1)4.1886060180020==⨯=ππω rad.s 1- 57.12415600=-=-=πα rad.s 2- (2)7.621057.124.1880=⨯-=+=t αωω rad.s 1-7.1525.07.62=⨯==r v ω m.s 1-14.3-==αr a t m.s 2- , 9872==ωr a n m. s 2-98822=+=n t a a a m. s 2-.4-3如图,质量201=m kg 的实心圆柱体A 其半径为20=r cm ,可以绕其固定水平轴转动,阻力忽略不计,一条轻绳绕在圆柱体上,另一端系一个质量102=m kg 的物体B ,求:(1)物体B 下落的加速度;(2)绳的张力T F 。
解: (1) 对实心圆柱体A ,利用转动定律αα2121r m J r F T == ——①对物体B ,利用牛顿定律a m F g m T 22=- ——② 有角量与线量之间的关系 αr a = 解得:9.422212=+=m m g m a m ·s -2(2)由②得 492)(2121=+=-=g m m m m a g m F T N4—3题图4-4如图,一定滑轮两端分别悬挂质量都是m 的物块A 和B ,图中R 和r ,已知滑轮的转动惯量为J ,求A 、B 两物体的加速度及滑轮的角加速度(列出方程即可)。
第五章 刚体的转动5-13 如图5-13(a)所示,滑轮转动惯量为0.012m kg ⋅,半径为7 cm ,物体质量为5 kg ,由一绳与倔强系数k=200 N/m 的弹簧相连,若绳与滑轮间无相对滑动,滑轮轴上的摩擦忽略不计,求:(1)当绳拉直弹簧无伸长时,使物体由静止而下落的最大距离;(2)物体速度达最大值的位置及最大速率.分析 下面的5-17题中将证明,如果绕定轴转动的刚体除受到轴的支承力外仅受重力作用,则由刚体和地球组成的系统机械能守恒.如果将滑轮、地球和物体与弹簧组成一个弹性系统和重力系统合成的系统,当无重力和弹性力以外的力作功的情况下,整个系统的机械能守恒,可以应用机械能守恒定律.下面的解则仅应用功能原理和力矩所作的功与刚体转动动能的关系进行计算.解 (1) 物体由静止而下落到最低点时,速度为零,位移为1x ,在此期间重力所作的功完全转换为弹簧弹性势能的增量,即21121kx mgx = m 0.49m 2008.95221=⨯⨯==k mg x (2)物体与滑轮受力如图5-13(b)所示,设物体的最大速率为0v ,此时的位移为0x ,加速度00=a ,滑轮的角加速度000==R a α,分别应用牛顿第二定律和转动定律T1aF ’T1m m g(a) (b)图5-13ma F mg =-T1αJ R F F =-)(T2T1可得此时T1F mg =,F T1= F T2,又因对于轻弹簧有0T2kx F =,则得m 0.245m 2008.950=⨯==k mg x 在此过程中,重力所作之功等于弹性势能的增量、物体动能和滑轮转动动能的增量的和,即2020200212121ωJ m kx mgx ++=v 因R00v =ω,得 m/s 31.1m/s 9.85)07.001.05(2001)(122=⨯⨯+⨯=+=mg R J m k v5-7 如图5-7(a )所示的系统中,m 1 = 50 kg ,m 2 = 40 kg ,圆盘形滑轮质量m = 16 kg ,半径R = 0.1 m ,若斜面是光滑的,倾角为30°,绳与滑轮间无相对滑动,不计滑轮轴上的摩擦,(1)求绳中张力;(2)运动开始时,m 1距地面高度为1 m ,需多少时间m 1到达地面?分析 由于存在物体运动和滑轮定轴转动,而且必须考虑圆盘形滑轮的质量,这是一个质点动力学和刚体动力学的综合问题,应该采用隔离物体法,分别m αF ’T1 F T1 m 2 m 1 F F T2a︒30m 2g m 1g(a ) (b )图5-7对运动物体作受力分析,对转动的滑轮作所受力矩的分析,然后分别应用牛顿第二定律和转动定律.解 (1)各物体与滑轮受力情况如图5-7(b )所示,其中F T1= F ’T1,F T2= F ’T2,轴对滑轮的支承力F N 不产生力矩,选取物体运动方向为坐标轴正向,分别应用牛顿第二定律和转动定律,可得22121rad/s 3021)(30sin =++︒-=g mR R m m m m α N 340)(1T1=-=αR g m FN 316)30sin (2T2=+︒=αR g m F2m/s 3==αR a(2) m 1到达地面的时间为s 0.816s 3122=⨯==a h t 、5-1 一个匀质圆盘由静止开始以恒定角加速度绕过中心而垂直于盘面的定轴转动.在某一时刻,转速为10 r/s ,再转60转后,转速变为15 r/s ,试计算:(1)角加速度;(2)由静止达到10 r/s 所需时间;(3)由静止到10 r/s 时圆盘所转的圈数.分析 绕定轴转动的刚体中所有质点都绕轴线作圆周运动,并具有相同的角位移、角速度和角加速度,因此描述运动状态的物理量与作圆周运动的质点的相似.当角加速度恒定时,绕定轴转动的刚体用角量表示的运动学公式与匀加速直线运动的公式类似.解 (1) 根据题意,转速由rad/s 1021⨯=πω变为rad/s 1522⨯=πω期间的角位移rad 260πθ⨯=,则角加速度为22222122rad/s 54.6rad/s 2602)102()152(2=⨯⨯⨯-⨯=-=πππθωωα (2) 从静止到转速为rad/s 1021⨯=πω所需时间为s 9.61s 54.61021=⨯==παωt (3) t 时间内转的圈数为48261.91022122121=⨯⨯⨯===ππωππθt N 5-2 唱片在转盘上匀速转动,转速为78 r/min ,由开始到结束唱针距转轴分别为15 cm 和7.5 cm ,(1)求这两处的线速度和法向加速度;(2)在电动机断电以后,转盘在15 s 内停止转动,求它的角加速度及转过的圈数.分析 绕定轴转动的刚体中所有质点具有相同的角位移、角速度和角加速度,但是线速度、切向加速度和法向加速度等线量则与各质点到转轴的距离有关.角量与线量的关系与质点圆周运动的相似.解 (1) 转盘角速度为rad/s 8.17rad/s 60278=⨯=πω,唱片上m 15.01=r 和m 075.02=r 处的线速度和法向加速度分别为m/s 1.23m/s 15.017.811=⨯==r ωv222121n m/s 10.0m/s 15.017.8=⨯==r ωam/s .6130m/s 075.017.822=⨯==r ωv222222n m/s .015m/s 075.017.8=⨯==r ωa(2) 电动机断电后,角加速度为22rad/s 545.0rad/s 1517.800-=-=-=t ωα 转的圈数为 75.921517.8212212=⨯⨯===πωππθt N 5-3 如图5-3所示,半径r 1 = 30 cm 的A 轮通过皮带被半径为r 2 = 75 cm 的B 轮带动,B 轮以π rad/s 的匀角加速度由静止起动,轮与皮带间无滑动发生,试求A 轮达到3000 r/min 所需要的时间. 分析 轮与皮带间无滑动,则同一时刻,两轮边缘的线速度相同,均等于皮带的传送速度;两轮边缘的切向加速度也相同,均等于皮带的加速度.解 设A 、B 轮的角加速度分别为A α、B α,由于两轮边缘与皮带连动,切向加速度相同,即2B 1A r r αα=则 B 12A ααr r = A 轮角速度达到rad/s 6030002⨯=πω所需要的时间为 s 40s 75.06030.0300022B 1A =⨯⨯⨯⨯===ππαωαωr r tB A r 1 r 2图5-35-4 在边长为b 的正方形的顶点上,分别有质量为m 的四个质点,求此系统绕下列转轴的转动惯量:(1)通过其中一质点A ,平行于对角线BD 的转轴,如图5-4所示.(2)通过A 垂直于质点所在平面的转轴.分析 由若干质点组成的质点系对某转轴的转动惯量等于各质点对该转轴转动惯量的叠加.每一质点对转轴的转动惯量等于它的质量与其到转轴的垂直距离平方的乘积. 解 (1)因质点B 和D 到转轴的垂直距离A 2B 和A 1D 为a 22,质点C 到转轴的垂直距离AC 为a 2,而质点A 位于转轴上,则系统对通过A 点平行于BD 的转轴的转动惯量为()222132222ma am a m J =+⎪⎪⎭⎫ ⎝⎛=(2) 因质点B 和D 到转轴的垂直距离AB 和AD 为a ,质点C 到转轴的垂直距离AC 为a 2,而质点A 位于转轴上,则系统对通过A 垂于质点所在平面转轴的转动惯量为()2222422ma a m ma J =+=5-5 求半径为R ,质量为m 的均匀半圆环相对于图5-5中所示轴线的转动惯量.分析 如果刚体的质量连续分布在一细线上,可用质量线密度描述其分布情况,如果分布是均匀的,则质量线密度λ为常量.在刚体上取一小段线元l d ,质量为l d λ,对转轴的转动惯量为l r d 2λ,其中该线元AA 2B图5-4R图5-5到转轴的距离r 与线元在刚体上的位置有关.整个刚体的转动惯量就是刚体上所有线元转动惯量的总和,即所取线元的转动惯量对刚体分布的整个区域积分的结果.解 均匀半圆环的质量线密度为Rm πλ=,在半圆环上取一小段圆弧作为线元θd d R l =,质量为 θπθπλd d d d m R R m l m === 此线元到转轴的距离为θsin R r =,对轴线的转动惯量为m r d 2,则整个半圆环的转动惯量为2022221d sin d mR m R m r J =⋅==⎰⎰θπθπ 5-6 一轻绳跨过滑轮悬有质量不等的二物体A 、B ,如图5-6(a)所示,滑轮半径为20 cm ,转动惯量等于2m kg 50⋅,滑轮与轴间的摩擦力矩为m N 198⋅.,绳与滑轮间无相对滑动,若滑轮的角加速度为2rad/s 362.,求滑轮两边绳中张力之差. 分析 由于定轴转动的刚体的运动规律遵从转动定律,因此对于一个定轴转动的滑轮来说,仅当其质量可以忽略,转动惯量为零,滑轮加速转动时跨越滑轮的轻绳两边的张力才相等.这就是在质点动力学问题中通常采用的简化假设.在掌握了转动定律后,不应该再忽略滑轮质量,通常将滑轮考虑为质量均匀分布的圆盘,则跨越滑轮的轻绳两边的张力对转轴的合力矩是滑轮产生角加速度的原因.解 滑轮所受力和力矩如图5-6(b)所示,其中跨越滑轮的轻绳两边的张力分别为F T1和F T2,轴的支承力F N 不产生力矩,由转动定律可得fF T1 F T2(a) (b)图5-6αJ M R F F =--f T2T1)()(1f T2T1M J RF F +=-α N 101.08N )1.9836.250(2.01 3⨯=+⨯⨯= 5-7 如图5-7(a )所示的系统中,m 1 = 50 kg ,m 2 = 40 kg ,圆盘形滑轮质量m = 16 kg ,半径R = 0.1 m ,若斜面是光滑的,倾角为30°,绳与滑轮间无相对滑动,不计滑轮轴上的摩擦,(1)求绳中张力;(2)运动开始时,m 1距地面高度为1 m ,需多少时间m 1到达地面?分析 由于存在物体运动和滑轮定轴转动,而且必须考虑圆盘形滑轮的质量,这是一个质点动力学和刚体动力学的综合问题,应该采用隔离物体法,分别对运动物体作受力分析,对转动的滑轮作所受力矩的分析,然后分别应用牛顿第二定律和转动定律.解 (1)各物体与滑轮受力情况如图5-7(b )所示,其中F T1= F ’T1,F T2= F ’T2,轴对滑轮的支承力F N 不产生力矩,选取物体运动方向为坐标轴正向,分别应用牛顿第二定律和转动定律,可得m αF ’T1 F T1 m 2 m 1 F F T2a︒30m 2g m 1g(a ) (b )图5-7由于物体的加速度等于滑轮边缘的线速度,则αR a =,与以上各式联立解得22121rad/s 3021)(30sin =++︒-=g mR R m m m m α N 340)(1T1=-=αR g m FN 316)30sin (2T2=+︒=αR g m F2m/s 3==αR a(2) m 1到达地面的时间为s 0.816s 3122=⨯==a h t 5-8 飞轮质量为60 kg ,半径为0.25 m ,当转速为1000 r/min 时,要在5 s 内令其制动,求制动力F ,设闸瓦与飞轮间摩擦系数μ=0.4,飞轮的转动惯量可按匀质圆盘计算,闸杆尺寸如图5-8所示.分析 制动力F 作用在闸杆上,闸杆在制动力和飞轮的正压力的力矩作用下达到平衡,转动轴在墙上,这是刚体在力矩作用下的平衡问题.由于二力的力臂已知,应该求出闸杆与飞轮之间的正压力.飞轮受到闸杆的正压力、闸瓦与飞轮间摩擦力和轴的支承力作用,其中闸杆的正压力和轴的支承力的力矩为零,在闸瓦与飞轮间摩擦力的力矩作用下制动,应用转动定律可以求出摩擦力矩,然后由摩擦力与正压力关系可以求出闸杆与飞轮之间的正压力.F图5-8解 以飞轮为研究对象,飞轮的转动惯量为221mR J =,制动前角速度为rad/s 6010002⨯=πω,制动时角加速度为tωα-=.制动时闸瓦对飞轮的压力为F N ,闸瓦与飞轮间的摩擦力N f F F μ=,应用转动定律,得αα2f 21mR J R F ==- 则 t mR F μω2N =以闸杆为研究对象.在制动力F 和飞轮对闸瓦的压力-F N 的力矩作用下闸杆保持平衡,两力矩的作用力臂分别为m )75.050.0(+=l 和m 50.01=l ,则有01N =-l F FlN 157N 6054.021000225.06075.050.050.021N 1=⨯⨯⨯⨯⨯⨯⨯+===πμωt mR l l F l l F 5-9 一风扇转速为900 r/min ,当马达关闭后,风扇均匀减速,止动前它转过了75转,在此过程中制动力作的功为44.4 J ,求风扇的转动惯量和摩擦力矩.分析 合外力矩对刚体所作的功等于刚体的转动动能的增量.制动过程中风扇只受摩擦力矩作用,而且由于风扇均匀减速,表明摩擦力矩为恒定值,与风扇角位移的乘积就是所作的功.解 设制动摩擦力矩为M ,风扇转动惯量为J ,止动前风扇的角位移N πθ2=,摩擦力矩所作的功为N M M W πθ2⋅-=-=摩擦力矩所作的功应等于风扇转动动能的增量,即2210ωJ W -= 则 2222m kg 01.0m kg )60/2900()4.44(22⋅=⋅⨯-⨯-=-=πωWJ m N 0.0942m N 7524.442⋅=⋅⨯--=-=ππN W M5-10 如图5-10(a )所示,质量为24 kg 的鼓形轮,可绕水平轴转动,一绳缠绕于轮上,另一端通过质量为5 kg 的圆盘形滑轮悬有10 kg 的物体,当重物由静止开始下降了0.5 m 时,求:(1)物体的速度;(2)绳中张力.设绳与滑轮间无相对滑动.分析 这也是一个质点动力学和刚体动力学的综合问题,鼓形轮和滑轮都视为圆盘形定轴转动的刚体,应该采用隔离物体法,分别对运动物体作受力分析,对刚体作所受力矩的分析,然后分别应用牛顿第二定律和转动定律.解 各物体受力情况如图5-10(b )所示,其中F T1= F ’T1,F T2= F ’T2,鼓形轮的转动惯量为2121R m ,圆盘形滑轮的转动惯量为2221r m ,分别应用牛顿第二定律和转动定律,可得ma F mg =-T2222T1T221)(αr m r F F =- 121T121αR m R F = (1) 绳与滑轮间无相对滑动,物体的加速度等于鼓形轮和滑轮边缘的切向加速度,即12ααR r a ==.重物由静止开始下降了h = 0.5 m 时,速度ah 2=v ,由以上各式得αT1 F 2α ’T2 a F T2m g(a ) (b )图5-10m/s 2m/s )524(21105.08.9102)(212221=+⨯+⨯⨯⨯=++==m m m mgh ah v (2)绳中张力为N 48N 5241028.924102211T1=++⨯⨯⨯=++=m m m g mm F N 85N 5241028.9)524(102)(2121T2=++⨯⨯+⨯=+++=m m m g m m m F 5-11 一蒸汽机的圆盘形飞轮质量为200 kg ,半径为1 m ,当飞轮转速为120 r/min 时关闭蒸汽阀门,若飞轮在5 min 内停下来,求在此期间飞轮轴上的平均摩擦力矩及此力矩所作的功.分析 制动过程中飞轮只受摩擦力矩作用,该摩擦力矩不一定为恒定值,但是由于只需求平均摩擦力矩,因此可以假设飞轮均匀减速,由已知条件求出平均角加速度,再应用转动定律求出平均摩擦力矩.解 飞轮转动惯量为221mR J =,关闭蒸汽阀门后t = 5 min 内的平均角加速度为t00ωα-=,应用转动定律,平均摩擦力矩 m N 194m N 60560/212012002121202⋅-=⋅⨯⨯⨯⨯⨯-=-==.t mR J M πωα 在此期间平均摩擦力矩所作的功等于飞轮转动动能的增量J 7896J )60/2120(12002121 21212102220220-=⨯⨯⨯⨯⨯-=⋅-=-=πωωm R J W 负号表示平均摩擦力矩作负功,方向与飞轮旋转方向相反.5-12 长为85 cm 的均匀细杆,放在倾角为45°的光滑斜面上,可以绕过上端点的轴在斜面上转动,如图5-12(a)所示,要使此杆实现绕轴转动一周,至少应给予它的下端多大的初速度?分析 细杆在斜面上转动,斜面的支承力与转轴平行,转轴的支承力通过转轴,它们的力矩都为零,只有重力在转动平面内分量的力矩作功.解 如图5-12(b)所示,杆所受重力在转动平面内的分量为︒45sin mg ,当杆与初始位置的夹角为θ时,重力分量对转轴的力矩为θsin 2145sin l mg ⋅︒,此时若杆有角位移θd ,则重力矩所作的元功为θθd sin 2145sin d ⋅⋅︒=l mg W 杆从最低位置到最高位置重力矩所作的功为︒-=⋅⋅︒-==⎰⎰45sin d sin 2145sin d 0mgl l mg W W πθθ 重力矩所作的功等于此期间杆的转动动能的增量2021045sin ωJ mgl -=︒- 其中231ml J =,t00v =ω,则 m/s 5.94m/s 45sin 85.08.9645sin 60=︒⨯⨯⨯=︒=gl v5-13 如图5-13(a)所示,滑轮转动惯量为0.012m kg ⋅,半径为7 cm ,物体质量为5 kg ,由一绳与倔强系数k=200 N/m 的弹簧相连,若绳与滑轮间无相对滑动,滑轮轴上的摩擦忽略不计,求:(1)当绳拉直弹簧无伸长时,使物体由静止而下落的最大距离;(2)物体速度达最大值的位置及最大速率.v 0 ︒45 (a) (b) 图5-12分析 下面的5-17题中将证明,如果绕定轴转动的刚体除受到轴的支承力外仅受重力作用,则由刚体和地球组成的系统机械能守恒.如果将滑轮、地球和物体与弹簧组成一个弹性系统和重力系统合成的系统,当无重力和弹性力以外的力作功的情况下,整个系统的机械能守恒,可以应用机械能守恒定律.下面的解则仅应用功能原理和力矩所作的功与刚体转动动能的关系进行计算.解 (1) 物体由静止而下落到最低点时,速度为零,位移为1x ,在此期间重力所作的功完全转换为弹簧弹性势能的增量,即21121kx mgx = m 0.49m 2008.95221=⨯⨯==k mg x (2)物体与滑轮受力如图5-13(b)所示,设物体的最大速率为0v ,此时的位移为0x ,加速度00=a ,滑轮的角加速度000==R a α,分别应用牛顿第二定律和转动定律ma F mg =-T1αJ R F F =-)(T2T1可得此时T1F mg =,F T1= F T2,又因对于轻弹簧有0T2kx F =,则得m 0.245m 2008.950=⨯==k mg x 在此过程中,重力所作之功等于弹性势能的增量、物体动能和滑轮转动动能T1aF ’T1m m g(a) (b)图5-13的增量的和,即2020200212121ωJ m kx mgx ++=v 因R00v =ω,得 m/s 31.1m/s 9.85)07.001.05(2001)(122=⨯⨯+⨯=+=mg R J m k v5-14 圆盘形飞轮A 质量为m ,半径为r ,最初以角速度ω0转动,与A 共轴的圆盘形飞轮B 质量为4m ,半径为2r ,最初静止,如图5-14所示,两飞轮啮合后,以同一角速度ω转动,求ω及啮合过程中机械能的损失.分析 当物体系统所受的合外力矩为零时,系统的角动量守恒,在此过程中,由于相互作用的内力作功,机械能一般不守恒.解 以两飞轮组成的系统为研究对象,由于运动过程中系统无外力矩作用,角动量守恒,有ωωω2202)2(4212121r m mr mr += 得 0171ωω= 初始机械能为2022021412121ωωmr mr W =⋅= 啮合后机械能为2022222241171)2(421212121ωωωmr r m mr W =⋅+⋅= 则机械能损失为1202211716411716W mr W W W ==-=∆ω 5-15 一人站在一匀质圆板状水平转台的边缘,转台的轴承处的摩擦可忽略A图5-14不计,人的质量为m ’,转台的质量为10 m ’,半径为R .最初整个系统是静止的,这人把一质量为m 的石子水平地沿转台的边缘的切线方向投出,石子的速率为v (相对于地面).求石子投出后转台的角速度与人的线速度.分析 应用角动量守恒定律,必须考虑定律的适用条件,即合外力矩为零.此外还应该注意到,定律表达式中的角动量和角速度都必须是对同一惯性参考系选取的,而转动参考系不是惯性参考系.解 以人、转台和石子组成的系统为研究对象,由于系统无外力矩作用,角动量守恒,设转台角速度ω的转向与投出的石子速度v 方向一致,初始时系统角动量为零,得0=+v mR J ω 人和转台的转动惯量为221021R m R m J '+'=,代入上式后得 Rm m '-=6v ω 人的线速度 mm R '-=='6v v ω 其中负号表示转台角速度转向和人的线速度方向与假设方向相反.5-16 一人站立在转台上,两臂平举,两手各握一个m = 4 kg 的哑铃,哑铃距转台轴r 0 = 0.8 m ,起初,转台以ω0 = 2π rad/s 的角速度转动,然后此人放下两臂,使哑铃与轴相距r = 0.2 m ,设人与转台的转动惯量不变,且J = 52m kg ⋅,转台与轴间摩擦忽略不计,求转台角速度变为多大?整个系统的动能改变了多少?分析 角动量守恒定律是从定轴转动的刚体导出的,却不但适用与刚体,而且适用于绕定轴转动的任意物体和物体系统.解 以人、转台和哑铃组成的系统为研究对象,由于系统无外力矩作用,角动量守恒,有ωω)2()2(2020mr J mr J +=+rad/s 12.0rad/s 22.04258.042522220220=⨯⨯⨯+⨯⨯+=++=πωωmr J mr J 动能的增量为J183 J )2()8.0425(21J 12)2.0425(21 )2(21)2(2122222020220=⨯⨯⨯+⨯-⨯⨯⨯+⨯=+-+=-=∆πωωmr J mr J W W W 5-17 证明刚体中任意两质点相互作用力所作之功的和为零.如果绕定轴转动的刚体除受到轴的支承力外仅受重力作用,试证明它的机械能守恒.分析 在刚体动力学中有很多涉及重力矩作功的问题,如果能证明当只有重力矩作功时刚体和地球组成的系统机械能守恒,就能应用机械能守恒定律,而且还可以用刚体的质心的势能代替整个刚体中所有质点势能的总和,使求解过程大大简化. 证 刚体中任意两质点相互作用力沿转轴方向的分量对定轴转动不起作用,而在垂直于转轴的平面内的分量F 和-F 大小相等,方向相反,作用在一条直线上,如图5-17所示.设F 与转轴的垂直距离为ϕsin r ,则当刚体有微小角位移θd 时,力F 所作的功为θϕd sin Fr ,而其反作用力-F 所作的功为θϕd sin Fr -,二者之和为零,即刚体中任意两质点相互作用力所作之功的和为零.绕定轴转动的刚体除受到轴的支承力外仅受重力作用,刚体中任意质点则受到内力和重力作用,当刚体转动时,因为已经证明了任意两质点相互作用内力所作之功的和为零,则刚体中各质点相互作用力所作的总功为零,而且轴的支承力-F图5-17也不作功,就只有重力作功,因此机械能守恒.5-18 一块长m 50.0=L ,质量为m '=3.0 kg 的均匀薄木板竖直悬挂,可绕通过其上端的水平轴无摩擦地自由转动,质量m =0.1kg 的球以水平速度m/s 500=v 击中木板中心后又以速度m/s 10=v 反弹回去,求木板摆动可达到的最大角度.木板对于通过其上端轴的转动惯量为231L m J '= . 分析 质点的碰撞问题通常应用动量守恒定律求解,有刚体参与的碰撞问题则通常应用角动量守恒定律求解.质点对一点的角动量在第四章中已经讨论过,当质点作直线运动时,其角动量的大小是质点动量和该点到质点运动直线的垂直距离的乘积.解 对球和木板组成的系统,在碰撞瞬间,重力对转轴的力矩为零,且无其他外力矩作用,系统角动量守恒,碰撞前后球对转轴的角动量分别为021v mL 和v mL 21-,设碰后木板角速度为ω,则有 ωJ mL mL +-=v v 21210 设木板摆动可达到的最大角度为θ,如图5-18所示,木板摆动过程中只有重力矩作功,重力矩所作的功应等于木板转动动能的增量,即)1(cos 21d sin 2121002-'=⋅'-=-⎰θθθωθgL m L g m J (1) 由以上两式得388.050.08.90.34)1050(1.0314)(31cos 2222202=⨯⨯⨯+⨯⨯-='+-=gL m m v v θ ︒==19.67)388.0arccos(θ根据5-17的结果,由于木板在碰撞后除受到轴的支承力外仅受重力作用,v mm ’g图5-18它的机械能守恒,取木板最低位置为重力势能零点,达到最高位置时它的重力势能应等于碰撞后瞬间的转动动能,也可以得到(1)式.5-19 半径为R 质量为m '的匀质圆盘水平放置,可绕通过圆盘中心的竖直轴转动.圆盘边缘及R /2处设置了两条圆形轨道,质量都为m 的两个玩具小车分别沿二轨道反向运行,相对于圆盘的线速度值同为v .若圆盘最初静止,求二小车开始转动后圆盘的角速度.分析 当合外力矩为零时,应用角动量守恒定律应该注意到表达式中的角动量和角速度都是对同一惯性参考系选取的.转动参考系不是惯性参考系,所以小车对圆盘的速度和角动量必须应用相对运动速度合成定理转换为对地面的速度和角动量.解 设两小车和圆盘的运动方向如图5-19所示,以圆盘的转动方向为正向,外轨道上小车相对于地面的角动量为)(v -ωR mR ,内轨道上小车相对于地面的角动量为)21(21v +ωR R m ,圆盘的角动量为ωω221R m J '=.对于两小车和圆盘组成的系统,外力对转轴的力矩为零,角动量守恒,得ωωω221)21(21)(R m R R m R mR '+++-v v R m m m )25(2'+=v ω vωv图5-19。
习题及参考答案第四章 振动学基础参考答案思考题4-1什么是简谐振动?试分析以下几种运动是否是简谐振动? (1)拍皮球时球的运动;(2)一小球在半径很大的光滑凹球面底部的小幅度摆动;(3)一质点分别作匀速圆周运动和匀加速圆周运动,它在直径上的投影点的运动。
4-2如果把一弹簧振子和一个单摆拿到月球上去,振动的周期如何改变?4-3什么是振动的相位?一个弹簧振子由正向最大位移开始运动,这时它的相位是多少?经过中点,到达负向最大位移,再回到中点向正向运动,上述各处相应的相位各是多少?4-4一个简谐振动的振动曲线如图所示。
此振动的周期为( )(A)12s ; (B)10s ;(C)14s ; (D)1 1s 。
4-5一个质点作简谐振动,振幅为A , 在起始时刻质点的位移为 A /2,且向x 轴的 正方向运动;代表此简谐振动的雄转矢量 图为( )4-6一质点作简谐振动,其运动速度与时间的曲线如图所示,若质点的振动规律用余弦函数描述,则其初位相应为( )(A)π/6;(B ) 5π/6;(C )-5π/6;(D )-π/6;4-7把单摆从平衡位置拉开,使摆线与竖直方向成一微小角度θ,然后由静止放手任其振从放手时开始计时,若用余弦函数表示其运动方程,则该单摆振动的初位相为( )(A)θ; (B) π; (C )0; (D π/2。
4-8如图所示,质量为m 的物体由倔强系数为k 1和k 2的两个轻弹簧连接,在光滑导轨上作微小振动,则系统的振动频率为()(A )(B )(C )(D)xxxx思考题4-5图思考题4-6图v (m/s)t (s)思考题4-4图(A)2=ν(B)=ν(C)=ν(D )=ν4-9一倔强系数为k 的轻弹簧截成三等分,取出其中的两根,将它们并联在一起,下面挂一质量为m 的物体,如图所示。
则振动系统的频率为( )4-10一弹簧振子作简谐振动,总能量为E 1, 如果简谐振动振幅增加为原来的两倍,重物的 质量增为原来的四倍,则它的总能量E 1变为( )(A) E 1/4; (B) E 1/2; (C)2E 1; (D) 4 E 1。
面向21世纪课程教材学习辅导书普通高等教育“十一五”国家级规划教材配套参考书大学基础物理学第四版习题解答陈建军主编后德家王贤锋副主编高等教育出版社内容简介本书是与“面向21世纪课程教材”和“普通高等教育‘十一五’国家级规划教材”《大学基础物理学》(第四版)配套的学习辅导书.全书的内容按照主教材的章节顺序编排,习题解答过程规范、详细.本书可为学生学习课程内容,复习和巩固知识以指导与帮助.本书适合于选用“面向21世纪课程教材”和“普通高等教育‘十一五’国家级规划教材”《大学基础物理学》(第四版)的学校选作教学辅导书,也可供其他大学物理学习者使用.前言 (1)第1章流体力学 (1)第2章气体动理论 (7)第3章热力学基础 (12)第4章静电场恒定电场 (20)第5章恒定磁场 (28)第6章交变电磁场 (36)第7章光的波动性 (41)第8章光的量子性 (46)第9章量子力学初步 (49)第10章光谱分析原理及应用 (51)第11章放射性核物理及其应用 (52)测试练习(一) (55)测试练习(一)参考答案 (59)测试练习(二) (62)测试练习(二)参考答案 (65)《大学基础物理学》(第四版)是专为高等农林院校农、林类专业编写的大学物理课程教学的教材,本书是与之配套的教学参考书.大学物理课程学习中,做习题是一个不可缺的教学环节,不仅可以检查学生对课程知识点掌握的程度,还能巩固所学的知识,而且有利于提高分析问题和解决问题的能力.为了帮助学生掌握正确的解题方法,我们修订了《大学基础物理学》(第三版)《习题解答》教学参考书.全书的内容按照主教材的章编排,习题解答规范,过程详细.本书将给农林院校农、林类专业学生学习大学物理课程以极大的帮助.本书第一章(流体力学)、第二章(气体动理论)、第三章(热力学基础)、第八章(光的量子性)、第九章(量子力学初步)由华中农业大学陈建军修订;第四章(静电场恒定电场)、第五章(恒定磁场)、第六章(交变电磁场)由华中农业大学王贤锋修订;第七章(光的波动性)、第十章(光谱分析原理及应用)、第十一章(放射性核物理及其应用)由华中农业大学后德家修订.华中农业大学谭佐军、卢军、魏薇、程其娈、张纾、邓海游参与题目审核工作,刘玉红参与公式编辑工作,陈建军负责全书统稿和定稿.华中农业大学罗贤清和丁孺牛细致审阅了本习题解答,并提出了许多建设性的意见,在此表示衷心的感谢.同时编者也对参加第一版、第二版和第三版编写工作的同志表示诚挚的谢意.感谢教育部大学物理课程教学指导委员会农林水工作委员会、全国高等农林水院校物理教学委员会对本次修订工作的指导.由于编者水平有限,书中难免有错误和疏漏之处,我们衷心期待得到广大读者、同行专家的批评、指正,感谢对编者的关爱和帮助.编者2017年6月于狮子山南湖畔第1章流体力学1.1从水龙头缓缓流出的水流,下落时逐渐变细,为什么?答:从水龙头缓缓流出的水流,下落时由于重力做功,水流的速度越来越大.根据连续性原理Sv =常量,可知水流的速度越大,其横截面积就越小,所以从水龙头缓缓流出的水流,下落时逐渐变细.22121122121v v ρρgh ρp p -++=Pa1062Pa 52100121108910010510012110515233235⨯=⨯⨯⨯-⨯⨯⨯+⨯⨯⨯+⨯=........1.4如习题1.4图所示,一水管向水井中放水的流量为141094--⋅⨯=s m .3Q ,井底有一截面积为2cm .50=S 的小孔,当井中水面不再升高时,井中水深多高?习题1.4图解:本题是关于伯努利方程的应用.设机翼上面的气流速率为v 2,机翼下面的气流速率为v 1,由于飞机机翼比较薄,所以可近似取h 1=h 2,机翼压强差为p 1–p 2=1000Pa.根据伯努利方程有2222112121v v ρp ρp +=+机翼上面的气流速率为11221212s m 107s m 10029110002)(2--⋅=⋅+⨯=+-=.v v ρp p 1.6水从管1流入,通过支管2和3流入管4,管4的出口与大气相通,整个管道系统在同一水平面内.已知各管的横截面积分别是S 1=15cm 2,S 2=S 3=5cm 2,S 4=10cm 2,管1中的体积流量Q 1=600cm 3·s -1.求(1)各管中的流速;(2)各管中的压强与大气压强之差.Pa 0Pa =⨯-⨯⨯⨯=-=-=--42232224420210)6060(100.121)(21v v ρp p p p 同理,Pa 0=-03p p .1.7将一半径为1.0mm 的钢球,轻轻放入装有甘油的缸中,当钢球的加速度是其自由落体加速度一半时,其速度是多少?钢球的最大速度是多少?钢球的密度为8.5×103kg·m -3,甘油的密度为1.32×103kg·m -3,甘油的粘度为0.83Pa·s.解:本题是关于斯托克斯定律的应用.钢球在甘油中下落,所受重力为g ρr mg 钢球3π34=,所受甘油的浮力为g ρr F 甘油浮3π34=,根据斯托克斯定律所受黏性阻力为v r ηF f 甘油π6=.根据牛顿第二定律F =ma ,钢球的加速度是其自由落体加速度的一半时,有mg ―F f ―F 浮=ma =mg /2,即解:本题是关于斯托克斯定律及雷诺数的应用.对下落雨滴进行受力分析,雨滴所受重力为ρg r mg 3π34=,所受空气的浮力为g ρr F 空气浮3π34=,根据斯托克斯定律,所受黏性阻力为v r ηF π6=f .当雨滴受到的空气黏性阻力加上空气对雨滴的浮力等于其受到的重力,雨滴将匀速下落,此时速度为终极速度,于是有ρg r g ρr r 33π34π34π6=+空气v η雨滴的终极速度为23223352m m kg sPa s m )10600()2911001(10818992)(92⨯⋅⨯⋅⋅⨯⨯⨯-⨯⨯⨯⨯==----.....-空气空气r ρρg ηv 11s m 1034--⋅⨯=.根据泊肃叶定律lηR p p Q V 8)π(421-=,得大动脉内单位长度上的压强差Pa 10092ms m m s Pa )10521(1431050110048π844134363421⨯=⋅⨯⨯⋅⨯⨯⨯⨯⨯⨯⨯⨯===∆----.....-R lQ ηp p p V 根据圆管中实际流体的流速随半径的分布规律公式)(42221r R ηlp p --=v ,得轴心处(即r =0)血液流动速度为122334221s 04m 2m ms Pa Pa )10251(0110044100924---⋅=⨯⨯⋅⨯⨯⨯⨯⨯⨯⨯=-=.....R ηl p p v第2章气体动理论2.1气体的平衡态有何特征?与力学中所指的平衡有什么不同?答:所谓平衡态是指系统与外界没有能量交换,内部也没有化学变化等形式的能量转化,系统的宏观性质不随时间变化.当气体处于平衡时,其状态的宏观参量值不随时间变化,即气体内部各部分具有相同的压强、密度和温度.热力学系统的平衡态与力学中所指的平衡是两个不同的概念.力学中的平衡平动动能也相等.(2)平均动能包括分子的平均平动动能、平均转动动能和平均振动动能,与每个分子的自由度数有关,为T k iB 2.氢气和氦气分子结构不同,则自由度数i 不相同,所以它们的平均动能不相等.(3)根据RT i M m 2,虽然温度T 和物质的量Mm相同,但氢和氦两种气体分子自由度i 不同,所以它们的内能不相等.2.4温度为27℃时,计算1mol 氮气的平均动能,平均转动动能和内能.解:本题是关于理想气体的能量均分定理及内能的应用.氮气分子是双原子分子,自由度为5,根据能量均分定理,其平均动能为23-120B 551.3810300J K K 1.0351022J--==⨯⨯⨯⨯⋅⨯=⨯w k T2.6将kg 10×83的氧气从10℃加热到20℃,求氧气的内能增加多少?解:本题是关于理想气体内能公式的应用.氧气分子是双原子分子,自由度为5,氧气的摩尔质量M =32×10-3kg·mol-1,根据理想气体内能公式RT iM m 2,可知氧气增加的内能[]J52mol kg K K mol J kg )10273()20273(31.8251032108211133=⋅⋅⋅⋅⨯⨯+-+⨯⨯⨯⨯⨯=∆=-----T R i m E M 2.7储有氮气的容器以速度-1200m sυ=⋅运动,假若该容器突然停止,气体的全部机械平动动能转化为气体的内能,这时气体的温度将会升高多少?(设氮气可看做理想气体.)解:设容器内氮气总质量为m ,则全部机械平动动能为0p (4)⎰∞2d )(υυf υ表示气体分子速率平方的平均值;(5)υυnf d )(表示单位体积内,分子速率在v ~v +d v 区间的分子数.2.9求在温度为27℃时氧气分子的平均速率、方均根速率以及最概然速率.解:本题是关于理想气体分子平均速率、方均根速率和最概然速率公式的应用.氧气的摩尔质量M =32×10-3kg·mol -1,温度T =(273+27)K=300K,可求得121113O s m 1044molkg KK mol J 10323.14300318882-----⋅⨯=⋅⨯⋅⋅⨯⨯⨯⨯⨯==6..M πRTv 121113O O 2s m 10834mol kg K K mol J 10323003183322-----⋅⨯=⋅⨯⋅⋅⨯⨯⨯⨯==..M RT v(1)按题给条件,速率分布函数是分段的.在F v v <<0速率区间,速率分布函数f (v )与v 2成正比;当F v v >时,速率分布函数f (v )为零.于是可画出速率分布函数曲线,如解题2.11图所示.(2)由归一化条件1=⎰∞d )(v v f ,有解题2.11图1===⎰⎰∞3F 0203d d )(Fv v v v v v A A f 得3F3v =A (3)根据最概然速率的定义,由图知,F p v v =.根据平均速率的定义式⎰∞=0d )(v v v v f ,得电子平均速率F F 033F 02075043d 3d A d )(FF v v v v v v v v v v v v v v .=====⎰⎰⎰∞f 根据方均速率的定义式⎰∞=022d )(v v v v f ,得电子速率平方平均值2F 043F 02202253d 3d A d )(FF v v v v v v v v v v v v v ====⎰⎰⎰∞f 所以,电子方均根速率为F F 27750515v v v .==第3章热力学基础3.1系统的温度升高是否一定要吸热?系统与外界不作任何热交换,而系统的温度发生变化,这种过程可能吗?答:系统的温度要升高不一定要吸热,外界对系统做功也可以使系统的温度升高;系统与外界不作任何热交换,而使系统的温度发生变化,这种过程是可能的,可以通过外界对系统做功或系统对外界做功来实现系统温度的变化.3.2(1)0.50kg 的水在大气压下用电热器加热,使水的温度自20℃缓慢的加热到30℃,试计算此水的内能的变化(水的比热容为3-1-14.1810J kg K⨯⋅⋅.)(2)一保温瓶里装有0.50kg、20℃的水,用力摇荡此瓶,使水的温度升高到30℃,初态及终态的压强均为大气压,试求水内能的变化及水所做的功.解:(1)在此过程中,等压地对水所加的热量为= t =0.5×4.18×10 ×10J =t.0 ×104J由于水的体积变化很小,故准静态过程的功A=0,依热力学第一定律有内能的变化= =t.0 ×104J (2)此过程不是准静态过程.但其始末状态与(1)相同,故内能变化与(1)相同,即= =t.0 ×104J由于系统被保温瓶所隔着,故无热量的传递,所以Q =0依 = + ,得水所做的功为=− =−t.0 ×104J3.3系统由习题 3.3图中的a 态沿abc 到达c 态时,吸收了400J 的热量,同时对外作150J 的功.(1)如果将沿adc 进行,则系统做功40J,问这时系统吸收了多少热量?(2)当系统由c 态沿着ca 返回a 态时,如果外界对系统做功80J,这时系统是吸热还是放热?热量传递时多少?习题 3.3图解:本题是关于热力学第一定律在准静态过程中的应用.根据热力学第一定律Q=△E+A,得a、b状态内能的变化△Eab =Eb-Ea=Qac b-Aac b=400J-150J=250J(1)对于adb过程,a、b状态相同,内能变化相同,根据热力学第一定律Q=△E+A,得此过程交换的热量为Qad b =△Eab+Aad b=250J+40J=290J(2)对于ba过程,由b→a,内能变化为负,即△Eba =Ea-Eb=150J-400J=-250J根据热力学第一定律Q=△E+A,得此过程交换的热量为Qba =△Eba+Aba=-250J-80J=-330J式中负号表示放热.3.41mol的氦气,在1atm、20℃时、体积为V.令使其经过一下两种过程达到同一状态;(1)先保持体积不变,加热,使其温度升高到80℃,然后令其做等温膨胀,体积变为原来的2倍.(2)先使其等温膨胀至原来体积的2倍,然后保持体积不变,加热到80℃.试分别计算上述两种过程中气体吸收的热量,气体对外所做的功和气体内能的增量.解:本题是关于热力学第一定律在准静态过程中的应用.依据题意,作出p-V图,如解题3.4图所示.图3.4abcd 四个状态(p ,V ,T ):a(1,V 0,T 1)b(p b ,V 0,T 2)c(p c ,2V 0,T 2)d(p d ,2V 0,T 1)T 1=293K,T 2=353K(1)先作等体升温(ab 过程),再作等温膨胀(bc 过程).①等体过程,氧气从热源吸取热量全部转化为系统内能的增加,做功为零,即121233d ()22T ab ab Tm m Q E R T R T T =∆==-⎰M M =1×t×8. 1× 5 −t ×mol ×J ∙mol −1∙K −1×K =香4香. J A ab =0②等温膨胀,氧气从热源吸取热量全部转化为对外做功,而内能不变,即11d d ln cbcc bc bc bbV A p V V ====⎰⎰V V V m mQ RT RT M M V =1×8. 1× 5 ×lnt ×mol ×J ∙mol −1∙K −1×K =t.0 ×10 J△E bc =0abc 过程吸取的热量为Q ab c =Q ab +Q bc =747.9J +2.03×103J =2.78×103Jabc 过程做的功为A ab c =A bc = 2.03×103Jabc 过程内能改变为△E ab c =△E ab =香4香. J(2)a →d 等温膨胀过程,氧气从热源吸取热量全部转化为对外做功,而内能不变,即22d d ln dadd ad ad aaV A p V V ====⎰⎰V V V m mQ RT RT M M V =1×8. 1×t ×lnt ×mol ×J ∙mol −1∙K −1×K =1. ×10 J△E dc =0习题 3.5图解:根据方程()00V V e p p -=,有9ln ln000c +=+=V p p V V c。
A∙ 习题4-6图第四章 流体力学基础习题解答4-1 关于压强的下列说法正确的是( )。
A 、压强是矢量;B 、容器内液体作用在容器底部的压力等于流体的重力;C 、静止流体内高度差为h 的两点间的压强差为gh P o ρ+;D 、在地球表面一个盛有流体的容器以加速度a 竖直向上运动,则流体内深度为h处的压强为0)(P a g h P ++=ρ。
解:D4-2 海水的密度为33m /kg 1003.1⨯=ρ,海平面以下100m 处的压强为( )。
A 、Pa 1011.16⨯;B 、Pa 1011.15⨯C 、Pa 1001.16⨯;D 、Pa 1001.15⨯。
解:A4-3 两个半径不同的肥皂泡,用一细导管连通后,肥皂泡将会( )。
A 、两个肥皂泡最终一样大;B 、大泡变大,小泡变小C 、大泡变小,小泡变大;D 、不能判断。
解:B4-4 两个完全相同的毛细管,插在两个不同的液体中,两个毛细管( )。
A 、两管液体上升高度相同;B 、两管液体上升高度不同;C 、一个上升,一个下降; D、不能判断。
解:B4-5 一半径为r 的毛细管,插入密度为ρ的液体中,设毛细管壁与液体接触角为θ,则液体在毛细管中上升高度为h= ( ) 。
(设液体的表面张力系数为α)解:grh ρθα=cos 2 4-6 如图所示的液面。
液面下A点处压强是( ) 。
设弯曲液面是球面的一部分,液面曲率半径为R,大气压强是0P ,表面张力系数是α。
解:RP P α+=20 4-7 当接触角2πθ<时,液体( )固体,0=θ时,液体( )固体;当2πθ>时,液体( )固体,πθ=,液体( )固体。
习题4-10图习题4-11解:润湿,完全润湿,不润湿,完全不润湿。
4-8 不可压缩的、没有粘滞性的流体称为( )。
解:理想流体4-9 一球形泡,直径等于m 100.15-⨯,刚处在水面下,水面上的气压为aP P 100.150⨯=,水的表面张力系数为N/m 103.72-⨯=α,求泡内的压强是多少? 解:由于气泡刚处在水面下,所以泡外是液体,压强等于水面上方的大气压,则泡内压强为)P (1034.1101103.72100.1255250a R p p ⨯=⨯⨯⨯+⨯=+=--α 4-10 如图所示,盛有水的U形管中,两粗细不同的毛细管底部相互连通,两管水面的高度差h=0.08m 。
第四章 静电场本章提要1. 库仑定律两个静止的点电荷之间的作用力满足库仑定律,库仑定律的数学表达式为1212002204q q q q kr rπε==F r r 其中922910(N m /C )k =⨯⋅122-1-2018.8510(C N m )4k επ-==⨯⋅⋅2. 电场强度∙ 电场强度表示单位正电荷在静电场中所受的电场力。
其定义式为q =F E 其中,0q 为静止电荷。
∙ 在点电荷q 的电场中,电场强度为0204q r πε=E r3. 电场强度的计算∙ 点电荷系的电场N21014iii i q r πε==∑r 0E ∙ 电荷连续分布的带电体系的电场2 01d4qqrπε=⎰r E 0其中的积分遍及q 电荷分布的空间。
4. 高斯定理∙ 电通量电场强度通量简称电通量。
在电场强度为E 的某点附近取一个面元,规定S ∆=∆S n ,θ为E 与n 之间的夹角,通过S ∆的电通量定义为e cos E S θ∆ψ=∆=∆E S通过电场中某闭合曲面S 的电通量为d e sψ=⎰⎰E S∙ 高斯定理在真空中,通过电场中任意封闭曲面的电通量等于该封闭曲面内的所有电荷电量的代数和除以0ε。
即i 01d sq=∑⎰⎰E S 内ε使用高斯定理可以方便地计算具有对称性的电场分布。
5. 电势∙ 电势能电荷q 0在电场中某点a 所具有的电势能等于将q 0从该点移到无穷远处时电场力所作的功。
即0 d a a a W A q ∞∞==⎰E l∙ 电势电势是描述电场能的属性的物理量。
电场中某点a 的电势定义为0 d a a a U W q ∞==⎰E l∙ 电势的计算(1) 已知电场强度的分布,可通过电势的定义做场强的积分来计算电 势。
(2)若不知道电场强度的分布,可通过下述的求和或积分来计算电势: 点电荷系产生的电场中的电势为N104i a i iq U r πε==∑电荷连续分布的带电体系电场中的电势为0d4a qq U rπε=⎰6. 静电场的环路定理静电场的电场强度沿任意闭合路径的线积分为零,即 d lE l ∙=⎰07. 静电场对导体的作用∙ 导体的静电平衡导体中不发生任何电荷定向运动的状态称静电平衡状态。
∙ 导体表面的电场导体表面附近的电场强度与该表面处的电荷面密度成正比,即εσ=E 8. 静电场对电介质的作用∙ 电介质的极化在外电场作用下电介质表面出现束缚电荷的现象称电介质的极化。
电介质的极化有位移极化和取向极化两类。
电介质的极化程度用电极化强度来描述。
对于各向同性的电介质,其中每一点的电极化强度P 与该点的电场强度E 的关系为P =e 0χεE其中,e χ称电极化率。
∙ 介质中的高斯定理穿过电场中任意封闭曲面的电位移通量等于该曲面所包围的自由电荷的代数和,即∑⎰⎰=∙ii Sq S D d其中,电位移通量0r εεεD E E ==。
∙ 电容器电容器的电容定义为A BqC U U =-真空中的电容0C 与介质中的电容C 的关系为r 0C C ε=9. 静电场的能量2e e 1d d 2VV W w V E V ε==⎰⎰⎰⎰⎰⎰其中,w e 称为电场的能量密度,积分区域遍及整个电场空间。
思考题4-1 020 4qq r ==πεr 与FE E 两式有什么区别与联系。
答: 前者是关于电场强度的定义式,适合求任何情况下的电场。
后者是由库 仑定律代入定义式推导而来,它表示点电荷的电场强度。
4-2 一个均匀带电球形橡皮气球,在其被吹大的过程中,下列各场点的场强将如何变化?(1)气球内部;(2)气球外部;(3)气球表面。
答:(1) 因为电荷分布在球面上,球内部无电荷,在球内取半径为r ( r <R ) 的球形高斯面,由高斯定理易知球内的场强E 内= 0。
(2) 在球外取半径为r ( r >R )的球形高斯面,由高斯定理易知球外空间的场强E 外=204r q πε。
由此可知,球外空间的场强与气球吹大过程无关。
(3)因为球表面的场强E 表=204Rq πε,在球吹大的过程中,R 变大,所以,球表面的场强随气球的吹大而变小。
4-3 下列几种说法是否正确,为什么?(1) 高斯面上电场强度处处为零时,高斯面内必定没有电荷。
(2) 高斯面内净电荷数为零时,高斯面上各点的电场强度必为零。
(3) 穿过高斯面的电通量为零时,高斯面上各点的电场强度必为零。
(4) 高斯面上各点的电场强度为零时,穿过高斯面的电通量一定为零。
答:(1)错,因为依高斯定理,E = 0 只说明高斯面内净电荷数(所有电荷的代数和)为零。
(2)错。
高斯面内净电荷数为零,只说明整个高斯面的d s⎰⎰ E S 的累积为零。
并不一定电场强度处处为零。
(3)错。
穿过高斯面的电通量为零时,只说明整个高斯面的d s⎰⎰ E S 的累积为零。
并不一定电场强度处处为零。
(4)对。
E = 0,则整个高斯面的d s⎰⎰ E S 的累积为零。
所以电通量为零。
4-4 试利用电场强度与电势的关系式d d l UE l=-分析下列问题: (1) 在电势不变的空间内,电场强度是否为零? (2) 在电势为零处,电场强度是否一定为零? (3) 在电场强度为零处,电势是否一定为零? 答:(1)是。
当电势处处相等时,电势沿任何方向的空间变化率为零,由d d l UE l=-可知,场强为零。
实际例子:静电平衡的导体内。
(2)否。
因为电势为零处,电势梯度d d Ul不一定为零,所以E l 也不一定为零。
实际例子:电偶极子连线中点处。
(3)否。
因为如果E l 等于零,则电势梯度为零,但电势不一定为零。
实际例子:两个相同电荷连线中点处。
4-5 如图4-1所示,将两个完全相同的电容器串联起来,在与电源保持连接时,将一个电介质板无摩擦地插入电容器C 2的两板之间,试定性地描述C 1、C 2上的电量、电容、电压及电场强度的变化。
答:插入电介质板后,C 2增大。
C 2增大致使整个电路的电容增大。
由于电路中的总电压U 没有变化,所以每个电容器所储存的电量q 1 = q 2增加,增加的电量全部由电源提供。
由于10C S d ε=不变,当电容器C 1储存的电量增加时,其两端的电压U 1= q 1/C 1增大。
又由于电路中的总电压不变,故电容器C 2两端的电压U 2减小。
再根据U = Ed 可知,U 2减小,则E 2减小;U 1增大,则E 1增大。
4-6 将一个空气电容器充电后切断电源,然后灌入煤油,问电容器的能量有何变化?如果在灌煤油时,电容器一直与电源相连,能量又如何变化?答:电容器灌入煤油后,电容量增大。
但由于切断了电源,电容器极板上的电量没有改变。
由C q W e 22=可知电容器的能量W e 会减少。
减少的那部分能量转化成煤油分子因极化而增加的内能。
如果灌煤油时,电容器一直与电源相连,由能量公式22CU W e =可知,C 增大而U 不变时,电容器的能量W e 增大。
这时电源向电容器充电,将电源的化学能转化为电容器的内能。
练习题4-1 由相距较近的等量异号电荷组成的体系称电偶极子,生物细胞膜及土壤颗粒表面的双电层可视为许多电偶极子的集合。
因此,电偶极子是一个十分重要的物理模型。
图4-2所示的电荷体系称电四极子,它由两个电偶极子组合而成,其中的q 和l 均为已知,对图4-2中的P 点(OP 平行于正方形的一边),证明当x l 时图4-14043x plE p πε≈其中,p=ql 称电偶极矩。
解:电四极子可看成两个电偶极子的组合。
设左边和右边两个电偶极子在P 点产生的场强分别为E 左和E 右,由教材例题4-1可知()()3024l p E x πε=+左方向向下 ()()302 4l p E x πε=-右方向向上其中,p =ql 。
P 点处的合场强为()()()()32233322000232444ll l l x l pp p E E E x x x πεπεπε+=-=-=-+⎡⎤-⎣⎦左右由于2lx上式可简化为()4034plE x πε=方向向上证毕。
4-2 一个均匀带电细棒长为l ,带电总量为q 。
证明,在棒的垂直平分线上离棒为a 处的电场强度为220421a l a qE +=πε证明:由题设条件可知,细棒的电荷线密度为q l ρ=。
在图4-3中,对称的取距离中点O 为x 处的电荷元d q ,d d d /q x q x l ρ==。
两个电荷元在P 点产生的电场强度d E 和d 'E 的水平分量相互抵消,在P 点产生的合场强为d E 和d 'E 沿竖直向上的分量之和。
即图 4-3()()()122222032220 d 2d cos 2d 4d 2 E E q aa x a x aq x l a xθπεπε==++=+合 于是,整个细棒在P 点处的场强为()22320 0220d d 2 l l aq x E E l a xπε==+⎰⎰合积分该式,整理后可得220421a l a qE +=πε4-3 一个半径为R 的带电圆盘,电荷面密度为σ,求:(1)圆盘轴线上距盘心为x 处的任一点P 的电场强度;(2)当R →∞时,P 点的电场强度为多少?(3)当x R 时,P 点的电场强度又为多少?图4-4解:(1)在半径为R 的带电圆盘上取内半径为r 、外半径为r+d r 的细圆环,如图4-4所示。
利用教材中例题4-2的结果可知,该细圆环上的电荷在P 点产生的场强为()()3232222200 d 2 d d 44x S x r r E x rx rσσππεπε==++于是,整个圆盘上的电荷在P 点产生的场强为()()3212222200 d 122Rx r r x E x r x R σσεε⎛⎫⎪==- ⎪++⎝⎭⎰(2) 当R →∞时,R x 。
此时,上式可化为2E σε=即此时可将带电圆盘看作无限大带电平面。
(3)当x R 时,可将带电圆盘看作点电荷,此时P 点电场强度为22200444R qE x x σππεπε==4-4 大多数生物细胞的细胞膜可以用两个分别带有电荷的同心球壳系统来模拟。
在图4-5中,设半径为1R 和2R 的球壳上分别带有电荷1Q 和2Q ,求:(1)I 、II 、III 三个区域中的场强;(2)若1Q =-2Q ,各区域的电场强度又为多少?画出此时的电场强度分布曲线 (即E -r 关系曲线)。
从这个结果,你可以对细胞膜的电场强度分布有个概略的了解。
解:(1)在区域I ,做半径为r ﹤R 1的球形高斯面。
因为高斯面内无电荷,根据高斯定理1d i Siqε=∑⎰⎰E S 内可得区域I 中的电场强度为E 1= 0在区域II ,以12R r R <<为半径做球形高斯面。