必修4三角函数的诱导公式专项练习题
- 格式:doc
- 大小:83.00 KB
- 文档页数:1
三角函数 诱导公式专项练习学校:___________姓名:___________班级:___________考号:___________ 一、单选题1.sin (−600∘)=( ) A . −√32 B . −12C . 12D .√322.cos 11π3的值为( ) A . −√32B . −12 C .√32D . 123.已知sin(30°+α)=√32,则cos (60°–α)的值为A . 12 B . −12 C .√32 D . –√324.已知 cos (π2+α)=−35,且 α∈(π2,π),则tan (α−π)=( ) A . −34 B . −43 C . 34 D . 435.已知sin(π-α)=-23,且α∈(-π2,0),则tan(2π-α)的值为( )A .2√55B . -2√55C . ±2√55 D .√526.已知cos(π4−α)=√24,则sin(α+π4)=( )A . −34B . 14C . √24D .√1447.已知sinα=35,π2<α<3π2,则sin(7π2−α)=( ) A . 35B . −35C . 45D . −458.已知 tanx =−125, x ∈(π2,π),则cos(−x +3π2)=( )A .513B . -513C .1213D . -12139.如果cos(π+A)=−12,那么sin(π2+A)= A . -12 B . 12 C . 1 D . -1 10.已知cos(π2−α)−3cosαsinα−cos (π+α)=2,则tanα=( ) A . 15 B . −23 C . 12 D . −5 11.化简cos480∘的值是( )A.12B.−12C.√32D.−√3212.cos(−585°)的值是()A.√22B.√32C.−√32D.−√2213.已知角α的终边经过点P(−5,−12),则sin(3π2+α)的值等于()A.−513B.−1213C.513D.121314.已知cos(π+α)=23,则tanα=()A.√52B.2√55C.±√52D.±2√5515.已知cosα=15,−π2<α<0,则cos(π2+α)tan(α+π)cos(−α)tanα的值为()A.2√6B.−2√6C.−√612D.√61216.已知sinα=13,α∈(π2,π)则cos(−α)=()A.13B.−13C.2√23D.−2√2317.已知sin(π+α)=45,且α是第四象限角,则cos(α−2π)的值是( )A.−35B.35C.±35D.4518.已知sin=,则cos=( ) A.B.C.-D.-19.已知cos α=k,k∈R,α∈,则sin(π+α)=( ) A.-B.C.±D.-k20.=( )A.sin 2-cos 2B.sin 2+cos 2C.±(sin 2-cos 2)D.cos 2-sin 221.sin585∘的值为A.√22B.−√22C.√32D.−√3222.sin(−1020°)=()A.12B.−12C.√32D.−√3223.若α∈(0,π),sin(π−α)+cosα=√23,则sinα−cosα的值为( )A .√23B . −√23C . 43 D . −4324.已知α∈(π2,π)且sin (π+α)=−35,则tan α=( ) A . −34B . 43C . 34D . −4325.已知sin (π2+θ)+3cos (π−θ)=sin (−θ),则sinθcosθ+cos 2θ=( )A . 15B . 25C . 35 D .√5526.若sinθ−cosθ=43,且θ∈(34π,π),则sin(π−θ)−cos(π−θ)=( ) A . −√23B .√23C . −43D . 4327.已知sin (π2+θ)+3cos (π−θ)=sin (−θ),则sinθcosθ+cos 2θ=( ) A . 15 B . 25 C . 35 D . √5528.已知sin(2015π2+α)=13,则cos(π−2α)的值为( )A . 13 B . -13 C . 79 D . −79 29.若α∈(0,π),sin(π−α)+cosα=√23,则sinα−cosα的值为( )A .√23B . −√23C . 43 D . −4330.已知a =tan (−π6),b =cos (−23π4),c =sin25π3,则a,b,c 的大小关系是( )A . b >a >cB . a >b >cC . c >b >aD . a >c >b 31.cos7500= A .√32B . 12C . −√32D . −1232.sin (−236π)的值等于( )A .√32B . −12 C . 12 D . −√3233.sin300°+tan600°+cos (−210°)的值的( ) A . −√3 B . 0 C . −12+√32D . 12+√3234.已知α∈(π2,3π2),tan(α−π)=−34,则sinα+cosα等于( ). A . ±15 B . −15 C . 15 D . −75 35.已知sin1100=a ,则cos200的值为( )A . aB . −aC . √1−a 2D . −√1−a 2 36.点A (cos2018∘,tan2018∘)在直角坐标平面上位于( ) A . 第一象限 B . 第二象限 C . 第三象限 D . 第四象限 37.如果sin (π−α)=13,那么sin (π+α)−cos (π2−α)等于( ) A . −23B . 23C .2√23 D . −2√2338.已知角α的终边过点(a,−2),若tan (π+α)=3,则实数a = A . 6 B . −23C . −6D . 2339.cos (2π+α)tan (π+α)sin (π−α)cos (π2−α)cos (−α)=A . 1B . −1C . tan αD . −tan α 40.已知sin (−α)=−√53,则cos (π2+α)的值为( )A . √53B . −√53C . 23 D . −23参考答案1.D【解析】【分析】直接运用诱导公式,转化为特殊角的三角函数值求解。
必修四诱导公式练习题及答案一、选择题1、下列各式不正确的是A. sin=-sinα B.cos=-cos C. sin=-sinα D.cos=cos、若sin+sin=-m,则sin+2sin等于323A.- m B.-m C. m D. m32323、sin???19???的值等于??12B. ?A.1C.2D. ?24、如果|cosx|?cos.则x的取值范围是A.[?C.[?2?2k?,?2?2k?]B.22?3?2k?,??2k?]22D.5.若sin?cos,则?的取值集合为 A.{?|??2k??C.{?|??k??4k?Z} B.{?|??2k??D.{?|??k?? ?4k?Z} k?Z}k?Z}?26、在△ABC中,若sin?sin,则△ABC必是 A.等腰三角形B.直角三角形C.等腰或直角三角形 D.等腰直角三角形二、填空题1、若sin=12,则sin13.π2π3π4π5π6π2、cos +cos ++cos +cos +777777三、解答题1、若cos α=23,α是第四象限角,求sin?sincoscos?coscos的值.1?cos?x,??sin?x,?22、设f??和g??1?f?1,?g?1,??2求g?f?g?f的值.3.设f满足f?3f?4sinx?cosx 14135634,求f的表达式;求f的最大值.4、化简:?2sin610?cos430?=.sin250??cos790?coscos2sin25、化简:=______ ___.sinsincos11?)cos226、化简:=____ 9?cossinsinsin2sincoscos?sin。
sincos《诱导公式》参考答案一、选择题 ABACCC 二、填空题 11213.、0.三、解答题1、2.2、g?2,g??1,f126?)s?i23?31,f?sin?1,故原式=3.3、解析:由已知等式f?3f?4sinx?cos x①得f?3f??4sinxcosx② 由3?①-②,得8f?16sinx?cosx,故f?2x?x2.对0?x?1,将函数f?2x?x2的解析式变形,得f??=当x?2时,fmax?1. 4、-1、-cos? 6、sin?cos?8、n2cos?同角三角函数基本关系式及诱导公式1.同角三角函数的基本关系sin α平方关系:22商数关系:tan α. cos α2. 诱导公式3ππ,,tan α=2,则cos α=________. 1.已知α∈?2?答案-55sin α解析∵tan α=2,∴=2,∴sin α=2cos α. cos α1又sin2α+cos2α=1,∴2+cos2α=1,∴cos2α. 3ππ,?,∴cos α=-又∵α∈?2??52sin α-cos α2.若tan α=2,则的值为________.sin α+2cos α3答案2tan α-13解析原式==tan α+2413.已知α是第二象限的角,tan α=-,则cos α=________.25答案-5解析∵α是第二象限的角,∴cos α 又sin2α+cos2α=1,tan α=25∴cos α=-.445-π?的值是________..sin ·cos π·tan??3?3633答案-4π?π-π·?-π-π π+·解析原式=sin?costan3?3?6?π?π?π-sin ?·-cos ·-tan ? =?3??6?3??sin α1=-,cos α2=??3??3×-×=-42??2π?22π-α=,则sin?α-=________..已知cos?3?6?3?2答案-2πππα-=sin?-?6-α?? 解析 sin?3??2 πππ2α??=-cos?-α?=-. =-sin?2+??66??3题型分析深度剖析题型一同角三角函数基本关系式的应用1例1 已知在△ABC中,sin A+cos A5求sin Acos A的值;判断△ABC是锐角三角形还是钝角三角形;求tan A的值.1思维启迪:由sin A+cos A及sin2A+cos2A=1,可求sin A,cos A的值.1解∵sin A+cos A=①1∴两边平方得1+2sin Acos A=,512∴sin Acos A=-.512由sin Acos A=-可知cos A ∵2=1-2sin Acos A2449=1+,525又sin A>0,cos A0,7∴sin A-cos A=.②43∴由①,②可得sin A=,cos A=-,545sin A4∴tan A==. cos A33-5探究提高对于sin α+cos α,sin αcos α,sin α-cos α这三个式子,已知其中一个式子的值,其余二式的值可求.转化的公式为2=1±2sin αcos α;关于sin α,cos α的齐次式,往往化为关于tan α的式子.已知tan α=2,求sin2α+sin αcos α-2cos2α;已知sin α=2sin β,tan α=3tan β,求cos α.解sin2α+sin αcos α-2cos2αsin2α+sin αcos α-2cos2α=sinα+cosαtan2α+tan α-24=.tanα+1∵sin α=2sin β,tan α=3tan β,∴sin2α=4sin2β,①tan2α=9tan2β,②由①÷②得:9cos2α=4cos2β,③①+③得:sin2α+9cos2α=4,36∵cos2α+sin2α=1,∴cos2α=cos α=.4 题型二三角函数的诱导公式的应用π5π3α?=,求cos?α?的值;例已知cos??6?3?6?73α-π?的值.已知π ππ5π思维启迪:将+α看作一个整体,观察+α与-α的关系.66 先化简已知,求出cos α的值,然后化简结论并代入求值.π??5π+α+-α?=π,解∵??6??6?π5πα?. ∴-α=π-??6?65π?πα=cos?π-?+α?? ∴cos??66??π?3+α=-,=-cos??6?35π?3α=-. 即cos??6?3∵cos=cos3=cos=-cos α3∴cos α.7α-π? ∴sin·tan??2??-tan?7-α?? =sin·??2??πα? =sin α·tan??2?π?sin??2-α?=sin α π?cos??2α?cos α3=sin αcos α=. sin α5探究提高熟练运用诱导公式和基本关系式,并确定相应三角函数值的符号是解题的关键.另外,切化弦是常用的规律技巧.3πα-?tan?π+α?cos?2π+α?sin?2?? ; cos?-α-3π?sin?-3π-α?sin?π-x?cos?2π-x?tan?-x+π?31π-的值.已知f=f??3π??-xcos?2??α+π?tan αcos αsin?-2π+??2?解原式=cos?3π+α?[-sin?3π+α?]=π?tan αcos αsin??2+α??-cos α?sin αtan αcos αcos α=?-cos α?sin αtan αcos αsin αcos α=-=-1. sin αcos αsin αsin x·cos x·?-tan x?∵fsin x=-cos x·tan x=-sin x,31π31π31π-=-sin?-?=sin ∴f??3?3?3ππ310π+=sin =sin?3?32题型三三角函数式的化简与求值11例已知tan α=的值;2sin αcos α+cosα3π-α+tan?π-α?cos?2π-α?sin?2?化简:. cos?-α-π?s in?-π-α?思维启迪:三角函数式的化简与求值,都是按照从繁到简的形式进行转化,要认真观察式子的规律,使用恰当的公式.1解因为tan αsin2α+cos2α1所以2sin αcos α+cosα2sin αcos α+cosαtan2α+12==2tan α+13π-α-tan α·cos?-α?·sin?2?原式=cos?π-α?·sin?π-α?πsin αα+?cos αtan α·cos α·sin??2?cos α===-1. -cos α·sin α-sin α探究提高在三角变换中,要注意寻找式子中的角,函数式子的特点和联系,可以切化弦,约分或抵消,减少函数种类,对式子进行化简.π5α+?=-α∈,已知sin??2?5παπα+-cos2?-?cos2??42?42?sin?π-α?+cos?3π+α?求的值.π5α+=-解∵sin??25∴cos α525,又α∈,∴sin α=55παπα-cos2?-?cos2??42?42? sin?π-α?+cos?3π+α?παπα+-sin2?cos2??42?42=sin α-cos α-sin α2=-3sin α-cos αsin α-cos α分类讨论思想在三角函数化简中的应用典例:化简:sin?4n-14n+1π-α?+cos?π-α? .?4??4?π?cos??2+α?=审题视角角中含有变量n,因而需对n的奇偶分类讨论.利用诱导公式,需将角写成符合公式的某种形式,这就需要将角中的某一部分作为一个整体来看.桃源书院2013学年第一学期第二次阶段性考试高一数学试卷说明:本试卷分第Ⅰ卷和第Ⅱ卷两部分,考试时间120分钟,满分150分.本次考试不得使用计算器.请考生将所有题目都做在答题纸上.第Ⅰ卷一.选择题1.设集合A?{x|x?1?0},B?{x|log2x?0},则A?B= A.{x|x?1}B.{x|x?0} C.{x|x??1}D.{x|x??1或x?1}2.若sin??25,且?是第二象限角,则cos?的值等于A.?5354B.?C.?D.5555m2?3m?43.幂函数y?x的图象如图所示,则m的值为D.?1?m?4A.0或 B.0,1,2或C.1或34.函数f?A.[4,??)x?4的定义域是lgx?1B. C. ? D.[4,10)?x5.根据表格中的数据,可以断定方程e?x?2?0的一个根所在的区间是A. B.C. D.xy223aA.3a B.a C.a D.22117.函数f?|lgx|,则f、f、f的大小关系是431111A.f> f>f B.f>f>f44331111C.f>f>fD.f>f>f44336.若lgx?lgy?a,则lg3?lg3?8.若函数f?x?2x?2在区间,-4?上单调递减,则a 的取值范围是2A.a?B.a? C.a? D.a?.函数g?f?1,其中log2f?2x,x∈R,则函数g fA.是偶函数又是增函数 B.是奇函数又是减函数C.是偶函数又是减函数 D.是奇函数又是增函数10.若sin?,cos?是关于x的方程4x?2mx?m?0的两根,则m的值为 A.?1B.1?5C.1-D.1?2第Ⅱ卷二、填空题 11.幂函数f的图象经过点A,则f =. 12.已知角?的终边经过点P,则cos??.13.已知函数f?3mx?4,若f在区间[?2,0]上存在零点,则实数m的取值范围是▲ .14.函数y?log0.5的单调增区间为2122cos3x?2sin2?sin?3?15.函数f?,则f332?2sin2??x)22?16.设定义域为R的函数f????lnx?x?1,则对于任意正数a,方程??0 x?1f?a的所有实数根之和为.17.当x?0时,不等式?恒成立,则实数a的取值范围是▲ .三、解答题18.求下列各式的值:2xx1?2710??2?;79log2.56.25?lg19.已知-131?ln?log2. 100tan???1.tan??1求tan?的值;sin2??2sin?cos? 求的值.23sin??cos?20.设函数f?log24x?log22x,若t?log2x,求t 的取值范围;求函数f的最大值和最小值,并求出取最值时相应的x的值.1?x?4.21.某牧场要建造占地100平方米的矩形围墙,现有一排长20米的旧墙可供利用,为了节约投资,矩形围墙的一边直接用旧墙修,另外三边尽量用拆去的旧墙改建,不足部分用购置的新砖新建.已知整修一米旧墙需24元,拆去........一米旧墙改建成一米新墙需100元,建一米新墙需200元,设牧场的长用x表示,................全部费用用f来表示.试将f表示为x的函数;当旧墙所保留部分为多少时所需费用最少?并求出最少费用.22.已知函数f?1?a?11. ?xx24当a?1时,求函数f在上的值域;若对任意x?[0,??),总有f?3成立,求实数a的取值范围.桃源书院2013学年第一学期第二次阶段性考试高一数学试卷参考答案一选择题:5分×10=50分二填空题:4分×7=28分 11.42212.? 13.或35116.417.15.?三解答题:第18,19,20,21题每题14分,第21,22题每题15分,共计72分,写出必要的文字说明.133?1510522?49??1??45…………7分 18.解:原式=[]3?7?[]2?1? 10333原式=log2.52.5?lg10分19.解:?2?2?lne?log24?2-2?3237?2? (1422)tan???1tan??11……………………………4分?tantan??1?tan??法一:由知:tan??1??sin?cos55?sin55或?………………………………8分5?2cos55?。
2017-2018学年高一数学必修四三角函数及诱导公式检测题一、选择题:1、的值是()A. B. C. D.2、下列与角终边相同的角是()A.-315°B.475°C.735°D.-705°3、已知角α终边上一点P的坐标为(a,3a)(a≠0),则的值是()A.2B.-2C.0.5D.-0.54、在直角坐标系中,若α与β的终边关于y轴对称,则下列各式成立的是( )A.sinα=sinβB.cosα=cosβC.tanα=tanβD.以上都不对5、若α是第三象限角,则下列各式中不成立的是( )A.sin α+cos α<0B.tan α-sin α<0C.cos α-tan α<0D.tan αsin α<06、的值等于( )A. B. C. D.7、下列各式中,其值为的是()A. B. C.D.8、已知为第四象限角,,则的值为()A. B. C. D.9、已知sin(+α)=,则sin(-α)值为()A. B.— C. D.—10、函数的定义域是 ( ) A. B. C. D.11、函数f(x)=2x +sin x 的部分图像可能是( )12、设f(tanx)=tan2x ,则f(2) 等于( )A.4B.0.8C.-32 D.-34 13、已知α+β=π43,则(1-tan α)(1-tan β) 等于( )A.2B.-2C.1D.-114、已知,则( )15、已知tan(α-π)=0.75,且α∈)23,2(ππ,则)2sin(πα+等于( ) A.0.8 B.-0.8 C.0.6 D.-0.6二、填空题:16、的值为 17、若=2,则tan (α﹣)= . 18、19、若,则 . 20、若角的终边经过点,则____________. 21、已知,则 22、已知,,则的值为 .23、函数在上的最小值和最大值之和为三、解答题:24、已知;(1)求的值;(2)求的值.25、已知 .(1)化简;(2)若是第三象限角,且,求的值.26、已知一扇形的圆心角为,所在圆的半径为R,若扇形的周长为40cm,当它的圆心角为多少弧度时,该扇形的面积最大?最大面积为多少?参考答案1、D2、C3、D4、A5、B.6、A7、B8、C9、C10、D11、A12、D13、A;解析:∵-1=tan(α+β)=,∴tanα+tanβ=-1+tanαtanβ.∴(1-tanα)(1-tanβ)=1-tanα-tanβ+tanαtanβ=2.14、B15、B16、答案为:17、答案为:2.18、答案为:019、答案为:20、答案为:1;21、答案为:0.5.22、答案为:23、答案为:424、(1)0.2;(2)2.25、(1)(2)由得即,因为是第三象限角,所以,所以.26、。
必修4三角函数的诱导公式滚动检测一、选择题(共10道小题,每小题5分)1.θ是第一象限角,则下列选项中一定为正值的是( ) A. sin2θ B. cos 2θ C. tan 2θD. cos 2θ 2.已知函数3log ,0()2,0xx x f x x >⎧=⎨≤⎩,则1(())9f f = ( )A.4B.14C.-4D.-143.已知3π=a,3log π=b ,)13ln(-=c ,则c b a ,,的大小关系是( )A .a b c << B.b c a << C .c b a << D .b a c <<4.已知集合{}|4||1|5M x x x =-+-<,{}6N x a x =<< ,且),2(b N M =⋂,则a b +=( ) A .6 B .7 C .8 D .95.4tan 3cos 2sin 的值( )A .小于0B .大于0C .等于0D .不存在 6.已知()y f x =是偶函数,当0x >时,4()f x x x=+,且当[3,1]x ∈--时,()n f x m ≤≤恒成立,则m n -的最小值是( ) A .13B .23C .1D .437.已知y= log )322(28++-m mx x 的定义域为R ,则实数m 的取值范围是( ) A 、m=0 B 、m>-1 C 、-1<m<3 D 、m<-1或m>3。
8.设定义在[-1,7]上的函数y =f(x)的图像如图所示,则关于函数y =1()f x 的单调区间表述正确的是( )A .在[-1,1]上单调递减B .在(0,1]上单调递减,在[1,3)上单调递增C .在[5,7]上单调递减D .在[3,5]上单调递增9.已知角α的终边上一点的坐标为sin ,cos 66ππ⎛⎫ ⎪⎝⎭,则角α的最小正值为( )A .错误!未找到引用源。
高一数学同步训练: 1.3 三角函数的诱导公式一.选择题1.下列各式不正确的是 ()A . sin (α+ 180°) =- sin αB . cos (-α+ β) =-cos (α- β)C . sin (-α- 360°) =- sin αD . cos (-α- β) =cos (α+ β )2. sin 600 的值为()1B . 13 A .2C .2219的值等于()3. sin61B .13 A .2C .224. sin585 的°值为 ()2 B. 2C .- 33A .- 222D. 2235. sin( - 6 π)的值是 ()11 33A. 2B .- 2C. 2 D .- 26. cos(-225 °)+ sin( - 225 °)等于 ()2 2 C .0D. 2A. 2B .- 27. cos2010 °= ( )1313 A .-2B .- 2 C.2D. 23D .23D .2π 1π)8.已知 sin(α-4)= ,则 cos( +α)的值为 (34A. 22B .-22 1 D .- 1333C.339.若 cos,2 , 则 sin2 的值是( )35344B .C .D .A .55553πcos(- 3π+ α)()10.已知 cos( +α)=- 3,且 α是第四象限角,则25A. 4B .- 44D.3C . ±11. sin 4 · cos25·tan5的值是()3 64A .-3 3 C .-3 3 4B .4D .4412.若 sin(1,则 cos的值为())2A .1;B . 1;C .3;D .3 2222ππ )13.已知 cos(+φ)= 3,且 |φ|< ,则 tan φ= (2 2 233A .- 3B. 3C .- 3 D. 314.设 tan(5 +πα)= m ,则 sinα- 3π+ cos π- α的值等于 ( )sin - α- cos π+ αm +1 m - 1A.m -1B.m +1C .- 1D .115. A 、B 、 C 为△ ABC 的三个内角,下列关系式中不成立的是(① cos(A +B)= cosC B +C② cos = sin A2 2③ tan(A + B) =- tanC ④ sin(2A +B + C)= sinAA .①②B .③④C .①④D .②③ 16.已知 sin()3 ,则 sin( 3) 值为()424A.1B. — 1C.3 D. — 3222217. cos (+α )= — 1 ,3π<α < 2 , sin( 2 - α) 值为()2 2A.3 B.13D. —322C.2218. tan110 =°k ,则 sin70 的°值为 ( ) AA .-kB.kC.1+ k 2 D .-1+ k 2k1+ k 219.化简:1 2 sin(2) ? cos( 2) 得( )A. sin 2 cos2B. cos2 sin2C. sin 2 cos2)1+ k2kD. ± cos2 sin 220.已知 tan3 ,3sin的值是(),那么 cos2A13 B1 31 31 322C2 D27π233321. (2011 年潍坊高一检测 )已知 a = tan(- 6 ), b = cos 4 π,c = sin( - 4 π),则 a 、 b 、c 的大小关系是 ()A .b>a>cB . a>b>cC . b>c>aD . a>c>b22.(2009.济南高一检测)若 sincos2 ,则 sin( -5 ) sin(3) 等于()sincos2A .3 B . 3C .334D .10101023. ( 2009·福州高一检测)已知 f(cosx)=cos3x,则 f(sin30 °) 的值等于()(A ) -1( B )1(C )1( D )0二.填空题21、 tan2010°的值为.2. sin (-17π ) =.37π7π 13π- cos(-3 )+ sin(- 6 )的值为 ________.3. tan 44. cos( -x)=3, x ∈( - , ),则 x 的值为.25.化简1- 2sin200 cos160° °= ________.cos20 -°sin20 °cos(α- 3π) ·tan(α- 2π)的值为 ________.6.若 P(-4,3)是角 α终边上一点,则sin 2(π- α)2π2π- α+α= ________. 17.式子 cos 4+cos 45π 38.若 tan( -πα)=2,则 2sin(3 +πα) ·cos 2 + α+ sin 2π- α· sin(-πα)的值为 ________.cos(4 ) cos 2 () sin 2 ( 3 )___.9.化简:4 ) sin(5) cos 2 (= ______sin()3sincos2 ,则 tan=.10.已知cos 94sin11.若 tan a ,则 sin 5cos 3 = ____ ____ .12.如果 tansin0,且 0sincos 1, 那么 的终边在第 象限13.求值: 2sin( - 1110o) - sin960 o+2 cos(225 ) cos( 210 ) =.π 3 11π14.已知 cos( +θ)=3 ,则 cos(- θ)= ________.6615. 已知 cos1, 则 sin 34216,已知 cos1000m ,则 tan80 0 的值是三.解答题1、 求 cos (- 2640°) +sin1665 °的值.2.化简( 1) sin( )cos() tan(2)( 2) sin(180) cos( )tan( )sin( 5 )cos() cos(8 )3.化简23) sin(4 )sin(2cos π- α+3π+α·cos 2π- α·sin 24.已知 f(α)= 23π. sin - π- α·sin 2 + α3π 1,求 f(α)的值. (1)化简 f( α); (2)若 α是第三象限角,且 cos(α- 2 )= 55.设f ( ) 2 cos3 sin 2 ( ) 2 cos( ) 1,求f ( ) 的值.2 2 cos2 (7 ) cos( ) 36.已知方程 sin(3 ) = 2cos(4 ),求sin() 5 cos(2)的值。
必修4 1.3三角函数的诱导公式班级 姓名 学号一、选择题1. )619sin(π-的值为( )A .12B .12- C .2.=34cos π( ) A.23 B.21 C.23- D.21- 3.)32018cos(π的值为( )A .12B .12- D .4.sin600°的值为( ).A . D.-0.5 5.已知51sin 25πα⎛⎫+=⎪⎝⎭,那么cos α=( ) A .25- B .15- C .15 D .256.若35)2cos(=-απ且)0,2(πα-∈,则=-)sin(απ( ) A .35- B .32- C .31- D .32± 7.已知,2παπ⎛⎫∈ ⎪⎝⎭,3tan 4α=-,则sin()απ+=( ) A .35- B .35 C .45- D .458.已知角α的终边经过点0p (-3,-4),则)2cos(απ+的值为( ) A.54- B.53 C.54 D.53- 9、已知513cos α=,且α是第四象限的角,则()2tan πα-=( ) A .125- B.125 C. 125± D.512± 10、已知23)4sin(=+απ,则)43sin(απ-的值为( ) A .12- B .12 C..二、填空题11.计算以下三角函数值:(1)65cos π= (2) 2010tan = (3)sin(210)-= 12.如果1sin()22x π+=,则cos()x -= . 13.如果cos α=,且α是第四象限的角,那么= . 14.的值是)2cos(是第四象限角,则且,53sin 已知απαα--= . 15.计算:=+- 1665sin )2640cos( .16.计算:=-++)425tan(325cos 625sinπππ . 三、解答题17.已知sin()cos(4)1cos 2πααπα+-+=,求cos()2πα+的值.18.已知角α的终边经过点P (45,35-),(1)、求cosα的值;(2)、求sin()tan()2sin()cos(3)πααπαππα--⋅+-的值.19.化简.20.已知α为第三象限角,()3sin()cos()tan() 22tan()sin()fππααπαααπαπ-+-=----.(1)化简()fα;(2)若31cos()25πα-=,求()fα的值.参考答案1~5 ADCBC 6~10 BACBD11.(1) (2) 33 (3) 12 12.21 13. 14. 54 15. 221+- 16.0 17.1218.(1)45 ;(2) 5419.αcos -20.(1)αcos -;(2)562.1.3参考答案一、选择题1.A2.D 试题分析:41coscos cos 3332ππππ⎛⎫=+=-=- ⎪⎝⎭,故答案为D. 3.C4.B 分析:2360sin )60180sin(240sin )240360sin(600sin 0000000-=-=+==+=. 5.C 试题分析:由51sin 25πα⎛⎫+=⎪⎝⎭,得1cos 5α=-.故选C . 6.B 分析:由αααπcos )cos()2cos(=-=-,得35cos =α,又)0,2(πα-∈,得32-sin =α又ααπsin )sin(=-,所以=-)sin(απ32-. 7.A 分析:由已知α为第二象限角,sin 0α>,由s i n 3t a nc o s 4ααα==-,又22sin cos 1αα+=,解得3sin 5α=,则由诱导公式()3sin sin 5απα+=-=-. 8、C 9、B 10、D二、填空题11.(1) (2) 33 (3) 12 12.21 分析:()111sin()cos cos cos 2222x x x x π+=∴=∴-== 13.分析:已知cos α=,且α是第四象限的角,.14. 54 15.221+- 16.0 三、解答题17.12试题解析:由sin()cos(4)1cos 2πααπα+-+=,得sin cos 1cos 2ααα-=,即1sin 2α=-, ∴1cos()sin 22παα+=-=. 18.(1)45 ;(2) 54试题分析:(1)由题角α的终边经过点P (45,35- ),可回到三角函数的定义求出cos α (2)由题需先对式子用诱导公式进行化简,tan()απ-可运用商数关系统一为弦,结合(1) 代入得值.试题解析:(1)、1r ==, 4cos 5x r α== sin()tan()cos tan()2sin()cos(3)sin cos()πααπαπααππααπα----⋅=⋅+---cos sin sin()cos()cos ααπαπαα--=⋅-2cos sin 15sin cos cos 4ααααα=⋅== 考点:1.三角函数的定义;2.三角函数的诱导公式及化切为弦的方法和求简思想.19.αcos -20.(1)αcos -;(2)562. (1)(cos )(sin )(tan )()cos (tan )sin f ααααααα--==--; (2)∵31cos()25πα-=, ∴1sin 5α-=即1sin 5α=-,又α为第三象限角∴cos α==, ∴()f α=562.。
高一三角函数同步练习5(诱导公式)一、选择题1、对于诱导公式中的角α,下列说法正确的是( )A .α一定是锐角B .0≤α<2πC .α一定是正角D .α是使公式有意义的任意角2、⎪⎭⎫ ⎝⎛-π619sin 的值等于( ) A . 21 B . 21- C . 23 D . 23- 3、若(),2,53cos παππα<≤=+则()πα2sin --的值是 ( ) A . 53 B . 53- C . 54 D . 54- 4、下列各式不正确的是 ( )A . sin (α+180°)=-sin αB .cos (-α+β)=-cos (α-β)C . sin (-α-360°)=-sin αD .cos (-α-β)=cos (α+β)5、sin34π²cos 625π²tan 45π的值是 A .-43 B .43 C .-43 D .43 6、)2cos()2sin(21++-ππ等于 ( ) A .sin2-cos2 B .cos2-sin2 C .±(sin2-cos2) D .sin2+cos27、若,3cos )(cos x x f =那么)30(sin ︒f 的值为 ( )A .0B .1C .-1D .23 8、已知()21sin -=+πα,则()πα7cos 1+的值为 ( ) A . 332 B . -2 C . 332- D . 332± 9、已知sin(4π+α)=23,则sin(43π-α)值为( ) A. 21 B. —21 C. 23 D. —23 10、在△ABC 中,若)sin()sin(C B A C B A +-=-+,则△ABC 必是( )A .等腰三角形B .直角三角形C .等腰或直角三角形D .等腰直角三角形二、填空题1、tan2010°的值为 .2、已知53sin -=α,且α是第四象限的角,则)2cos(απ-的值是 . 3、计算:cos (-2640°)+sin1665°= .4、计算:)425tan(325cos 625sin πππ-++= . 5、化简:)(cos )5sin()4sin()3(sin )(cos )4cos(222πθθππθπθπθπθ--+-+++=______ ___. 6、已知()()()()29cos sin 4cos sin 3=+---++απαααπ,则αtan = . 7、若a =αtan ,则()()απαπ+--3cos 5sin = ____ ____.8、化简:)29sin()sin()3sin()cos()211cos()2cos()cos()2sin(αππααπαπαππθπααπ+-----++- =____ ____. 9、若()θ+ 75cos 31=,θ为第三象限角,则()()θθ++-- 435sin 255cos 的值是____.10、化简:︒+︒︒︒+790cos 250sin 430cos 610sin 21= .。
数学:《三角函数的诱导公式》测试题(新人教A版必修4)三角函数的诱导公式一、选择题(本大题共12个小题,每小题4分,共48分. 在每小题给出的四个选择中,只有一项是符合题目要求的.)1、下列四个命题中可能成立的一个是()A、 B、C、 D、是第二象限时,2、若,且是第二象限角,则的值为()A、 B、 C、 D、3、化简的结果是()A、 B、 C、 D、4、若,则等于()A、1B、2C、-1D、-25、的值为()A、 B、 C、 D、6、若A、B、C为△ABC的三个内角,则下列等式成立的是()A、 B、C、 D、7、在△ABC中,若最大角的正弦值是,则△ABC必是()A、等边三角形B、直角三角形C、钝角三角形D、锐角三角形8、若,则的值是()A、 B、 C、 D、9、下列不等式中,不成立的是()A、 B、C、 D、10、已知函数,则下列等式成立的是()A、 B、C、 D、11、若、是关于的方程的两个实根,则值为()A、 B、 C、 D、12、设函数(其中为非零实数),若,则的值是()A、5B、3C、8D、不能确定二、填空题(本大题共4个小题,每小题4分,共16分.将答案填在题中横线上)13、化简 ..15、 .16、 .三、解答题(本大题共5道小题,共36分.解答应写出文字说明,证明过程或演算步骤)17、(本小题满分6分)化简:.18(本小题满分6分)已知,求的值.19(本小题满分8分)已知. 求的值 .20(本小题满分8分)求证:21(本小题满分8分)已知,求证参考答案一、选择题(每小题4分,共48分)题号123456789101112总分答案B AC B B A C B CD B B二、填空题(每小题4分,共16分)13、1. 14、15、 16、1三、解答题(本大题共5道小题,共36分.解答应写出文字说明,证明过程或演算步骤)17、提示:18、提示:利用诱导公式,原式=219、提示:,角在第三、四象限,(1)当在第三象限,则(2)当在第四象限,则20、提示:故等式成立21、提示:。
《诱导公式》练习一、选择题1、下列各式不正确的是 ( B )A . sin (α+180°)=-sin αB .cos (-α+β)=-cos (α-β)C . sin (-α-360°)=-sin αD .cos (-α-β)=cos (α+β) 2、若sin (π+α)+sin (-α)=-m ,则sin (3π+α)+2sin (2π-α)等于( ) A .-23 m B .-32 m C .23 m D .32 m3、⎪⎭⎫⎝⎛-π619sin 的值等于( ) A .21B . 21-C .23 D . 23-4、如果).cos(|cos |π+-=x x 则x 的取值范围是( C )A .)(]22,22[Z k k k ∈++-ππππB .)()223,22(Z k k k ∈++ππππC .)(]223,22[Z k k k ∈++ππππD .)()2,2(Z k k k ∈++-ππππ5.已知函数1tan sin )(++=x b x a x f ,满足.7)5(=f 则)5(-f 的值为 ( )A .5B .-5C .6D .-66、sin34π·cos 625π·tan 45π的值是A .-43B .43C .-43D .437.设,1234tan a =︒那么)206cos()206sin(︒-+︒-的值为 ( )A .211aa ++ B .-211aa ++ C .211aa +-D .211aa +-8.若)cos()2sin(απαπ-=+,则α的取值集合为( )A .}42|{Z k k ∈+=ππαα B .}42|{Z k k ∈-=ππααC .}|{Z k k ∈=πααD .}2|{Z k k ∈+=ππαα二、填空题1、求值:sin160°cos160°(tan340°+cot340°)= .2、若sin (125°-α)=1213,则sin (α+55°)= .3、cos π7 +cos 2π7 +cos 3π7 +cos 4π7 +cos 5π7 +cos 6π7 = .4、已知,1)sin(=+βα则=+++)32sin()2sin(βαβα .三、解答题1、已知 3)tan(=+απ, 求)2sin()cos(4)sin(3)cos(2a a a a -+-+--πππ的值.2、若cos α=23,α是第四象限角,求sin(2)sin(3)cos(3)cos()cos()cos(4)απαπαππαπααπ-+--------的值.3、设sin ,(0)()(1)1,(0)x x f x f x x π<⎧=⎨-+≥⎩和1cos ,()2()1(1)1,()2x x g x g x x π⎧<⎪⎪=⎨⎪-+≥⎪⎩求)43()65()31()41(f g f g +++的值.4.设)(x f 满足)2|(|cos sin 4)(sin 3)sin (π≤⋅=+-x xx x f x f ,(1) 求)(x f 的表达式;(2)求)(x f 的最大值.《诱导公式》参考答案一、选择题ABAC BABC二、填空题1、1.2、1312. 3、0. 4、0三、解答题1、7.2、25.3、22)41(=g ,512()1,()sin()1,633g f π=+=-+ 1)4sin()43(+-=πf , 故原式=3.4、解析:(1)由已知等式(sin )3(sin )4sin cos f x f x x x -+=⋅ ①得x x x f x f cos sin 4)sin (3)(sin -=-+ ② 由3⨯①-②,得8x x x f cos sin 16)(sin ⋅=,故212)(x x x f -=.(2)对01x ≤≤,将函数212)(x x x f -=的解析式变形,得()f x ==当2x =时,max 1.f =七年级英语期末考试质量分析一、试卷分析:本次试卷的难易程度定位在面向大多数学生。
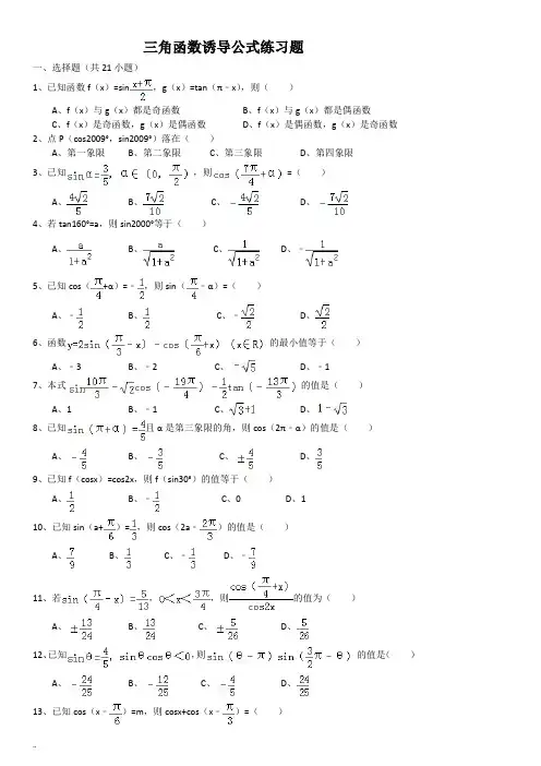
三角函数诱导公式练习题一、选择题(共21小题)1、已知函数f(x)=sin,g(x)=tan(π﹣x),则()A、f(x)与g(x)都是奇函数B、f(x)与g(x)都是偶函数C、f(x)是奇函数,g(x)是偶函数D、f(x)是偶函数,g(x)是奇函数2、点P(cos2009°,sin2009°)落在()A、第一象限B、第二象限C、第三象限D、第四象限3、已知,则=()A、B、C、D、4、若tan160°=a,则sin2000°等于()A、B、C、D、﹣5、已知cos(+α)=﹣,则sin(﹣α)=()A、﹣B、C、﹣D、6、函数的最小值等于()A、﹣3B、﹣2C、D、﹣17、本式的值是()A、1B、﹣1C、D、8、已知且α是第三象限的角,则cos(2π﹣α)的值是()A、B、C、D、9、已知f(cosx)=cos2x,则f(sin30°)的值等于()A、B、﹣C、0 D、110、已知sin(a+)=,则cos(2a﹣)的值是()A、B、C、﹣D、﹣11、若,,则的值为()A、B、C、D、12、已知,则的值是()A、B、C、D、13、已知cos(x﹣)=m,则cosx+cos(x﹣)=()A、2mB、±2mC、D、14、设a=sin(sin20080),b=sin(cos20080),c=cos(sin20080),d=cos(cos20080),则a,b,c,d的大小关系是()A、a<b<c<dB、b<a<d<cC、c<d<b<aD、d<c<a<b15、在△ABC中,①sin(A+B)+sinC;②cos(B+C)+cosA;③tan tan;④,其中恒为定值的是()A、②③B、①②C、②④D、③④16、已知tan28°=a,则sin2008°=()A、B、C、D、17、设,则值是()A、﹣1B、1C、D、18、已知f(x)=asin(πx+α)+bcos(πx+β)+4(a,b,α,β为非零实数),f(2007)=5,则f(2008)=()A、3B、5C、1D、不能确定19、给定函数①y=xcos(+x),②y=1+sin2(π+x),③y=cos(cos(+x))中,偶函数的个数是()A、3B、2C、1D、020、设角的值等于()A、B、﹣C、D、﹣21、在程序框图中,输入f0(x)=cosx,则输出的是f4(x)=﹣csx()A、﹣sinxB、sinxC、cosxD、﹣cosx二、填空题(共9小题)22、若(﹣4,3)是角终边上一点,则Z的值为.23、△ABC的三个内角为A、B、C,当A为°时,取得最大值,且这个最大值为.24、化简:=25、化简:=.26、已知,则f(1)+f(2)+f(3)+…+f(2009)=.27、已知tanθ=3,则(π﹣θ)=.28、sin(π+)sin(2π+)sin(3π+)…sin(2010π+)的值等于.29、f(x)=,则f(1°)+f(2°)+…+f(58°)+f(59°)= .30、若,且,则cos(2π﹣α)的值是.答案与评分标准一、选择题(共21小题)1、已知函数f(x)=sin,g(x)=tan(π﹣x),则()A、f(x)与g(x)都是奇函数B、f(x)与g(x)都是偶函数C、f(x)是奇函数,g(x)是偶函数D、f(x)是偶函数,g(x)是奇函数考点:函数奇偶性的判断;运用诱导公式化简求值。
三角函数诱导公式练习题一、选择题(共21小题)1、已知函数f(x)=sin,g(x)=tan(π﹣x),则()A、f(x)与g(x)都是奇函数B、f(x)与g(x)都是偶函数C、f(x)是奇函数,g(x)是偶函数D、f(x)是偶函数,g(x)是奇函数2、点P(cos2009°,sin2009°)落在()A、第一象限B、第二象限C、第三象限D、第四象限3、已知,则=()A、B、C、D、4、若tan160°=a,则sin2000°等于()A、B、C、D、﹣5、已知cos(+α)=﹣,则sin(﹣α)=()A、﹣B、C、﹣D、6、函数的最小值等于()A、﹣3B、﹣2C、D、﹣17、本式的值是()A、1B、﹣1C、D、8、已知且α是第三象限的角,则cos(2π﹣α)的值是()A、B、C、D、9、已知f(cosx)=cos2x,则f(sin30°)的值等于()A、B、﹣C、0 D、110、已知sin(a+)=,则cos(2a﹣)的值是()A、B、C、﹣D、﹣11、若,,则的值为()A、B、C、D、12、已知,则的值是()A、B、C、D、13、已知cos(x﹣)=m,则cosx+cos(x﹣)=()A、2mB、±2mC、D、14、设a=sin(sin20080),b=sin(cos20080),c=cos(sin20080),d=cos(cos20080),则a,b,c,d的大小关系是()A、a<b<c<dB、b<a<d<cC、c<d<b<aD、d<c<a<b15、在△ABC中,①sin(A+B)+sinC;②cos(B+C)+cosA;③tan tan;④,其中恒为定值的是()A、②③B、①②C、②④D、③④16、已知tan28°=a,则sin2008°=()A、B、C、D、17、设,则值是()A、﹣1B、1C、D、18、已知f(x)=asin(πx+α)+bcos(πx+β)+4(a,b,α,β为非零实数),f(2007)=5,则f(2008)=()A、3B、5C、1D、不能确定19、给定函数①y=xcos(+x),②y=1+sin2(π+x),③y=cos(cos(+x))中,偶函数的个数是()A、3B、2C、1D、020、设角的值等于()A、B、﹣C、D、﹣21、在程序框图中,输入f0(x)=cosx,则输出的是f4(x)=﹣csx()A、﹣sinxB、sinxC、cosxD、﹣cosx二、填空题(共9小题)22、若(﹣4,3)是角终边上一点,则Z的值为.23、△ABC的三个内角为A、B、C,当A为°时,取得最大值,且这个最大值为.24、化简:=25、化简:=.26、已知,则f(1)+f(2)+f(3)+…+f(2009)=.27、已知tanθ=3,则(π﹣θ)=.28、sin(π+)sin(2π+)sin(3π+)…sin(2010π+)的值等于.29、f(x)=,则f(1°)+f(2°)+…+f(58°)+f(59°)= .30、若,且,则cos(2π﹣α)的值是.答案与评分标准一、选择题(共21小题)1、已知函数f(x)=sin,g(x)=tan(π﹣x),则()A、f(x)与g(x)都是奇函数B、f(x)与g(x)都是偶函数C、f(x)是奇函数,g(x)是偶函数D、f(x)是偶函数,g(x)是奇函数考点:函数奇偶性的判断;运用诱导公式化简求值。
三角函数诱导公式练习题一、选择题(共21小题)1、已知函数f(x)=sin,g(x)=tan(π﹣x),则()A、f(x)与g(x)都是奇函数B、f(x)与g(x)都是偶函数C、f(x)是奇函数,g(x)是偶函数D、f(x)是偶函数,g(x)是奇函数2、点P(cos2009°,sin2009°)落在()A、第一象限B、第二象限C、第三象限D、第四象限3、已知,则=()A、B、C、D、4、若tan160°=a,则sin2000°等于()A、B、C、D、﹣5、已知cos(+α)=﹣,则sin(﹣α)=()A、﹣B、C、﹣D、6、函数的最小值等于()A、﹣3B、﹣2C、D、﹣17、本式的值是()A、1B、﹣1C、D、8、已知且α是第三象限的角,则cos(2π﹣α)的值是()A、B、C、D、9、已知f(cosx)=cos2x,则f(sin30°)的值等于()A、B、﹣C、0 D、110、已知sin(a+)=,则cos(2a﹣)的值是()A、B、C、﹣D、﹣11、若,,则的值为()A、B、C、D、12、已知,则的值是()A、B、C、D、13、已知cos(x﹣)=m,则cosx+cos(x﹣)=()A、2mB、±2mC、D、14、设a=sin(sin20080),b=sin(cos20080),c=cos(sin20080),d=cos(cos20080),则a,b,c,d的大小关系是()A、a<b<c<dB、b<a<d<cC、c<d<b<aD、d<c<a<b15、在△ABC中,①sin(A+B)+sinC;②cos(B+C)+cosA;③tan tan;④,其中恒为定值的是()A、②③B、①②C、②④D、③④16、已知tan28°=a,则sin2008°=()A、B、C、D、17、设,则值是()A、﹣1B、1C、D、18、已知f(x)=asin(πx+α)+bcos(πx+β)+4(a,b,α,β为非零实数),f(2007)=5,则f(2008)=()A、3B、5C、1D、不能确定19、给定函数①y=xcos(+x),②y=1+sin2(π+x),③y=cos(cos(+x))中,偶函数的个数是()A、3B、2C、1D、020、设角的值等于()A、B、﹣C、D、﹣21、在程序框图中,输入f0(x)=cosx,则输出的是f4(x)=﹣csx()A、﹣sinxB、sinxC、cosxD、﹣cosx二、填空题(共9小题)22、若(﹣4,3)是角终边上一点,则Z的值为.23、△ABC的三个内角为A、B、C,当A为°时,取得最大值,且这个最大值为.24、化简:=25、化简:= .26、已知,则f(1)+f(2)+f(3)+…+f(2009)= .27、已知tanθ=3,则(π﹣θ)= .28、sin(π+)sin(2π+)sin(3π+)…sin(2010π+)的值等于.29、f(x)=,则f(1°)+f(2°)+…+f(58°)+f(59°)= .30、若,且,则cos(2π﹣α)的值是.答案与评分标准一、选择题(共21小题)1、已知函数f(x)=sin,g(x)=tan(π﹣x),则()A、f(x)与g(x)都是奇函数B、f(x)与g(x)都是偶函数C、f(x)是奇函数,g(x)是偶函数D、f(x)是偶函数,g(x)是奇函数考点:函数奇偶性的判断;运用诱导公式化简求值。
三角函数诱导公式练习题及答案一、选择题1、与-463°终边相同的角可表示为A.k·360°+436°C.k·360°+257° B.k·360°+103° D.k·360°-257°2、下列四个命题中可能成立的一个是A、sin??11且cos??B、sin??0且cos???122sia? cos?C、tan??1且cos???1D、?是第二象限时,tan???4,且?是第二象限角,则tan?的值为4334A、?B、 C、?D、?3434、若sin??cos??2,则tan??cot?等于、若sin??A、1B、C、-1D、-21、 tan300?sin450的值为A、1?B、1?C、?1?D、?1?5、若A、B、C为△ABC的三个内角,则下列等式成立的是A、sin?sinAB、cos?cosAC、tan?tanAD、cot?cotA6、?2sincos等于A.sin2-cosB.cos2-sin27、sinαcosα=C.± D.sin2+cos??1??,且<α<,则cosα-sinα的值为28B.?A. C.24D.?8、在△ABC中,若最大角的正弦值是2,则△ABC必是 ?????A、等边三角形B、直角三角形 C、钝角三角形 D、锐角三角形、下列不等式中,不成立的是 sin130?sin140 B、cos130?cos140 C、tan130?tan140D、cot130?cot140 A、 x,则下列等式成立的是A、f?fB、f?fC、f??fD、f?f 10、已知函数f?cos11、若sin?、cos?是关于x的方程4x?2mx?m?0的两个实根,则m值为A、m???4,0??B、m?1?C、m?1?D、m?1? ??3?12、已知f?asin?bcos?4,f?则f?A.1 B. C.5D.不能确定???二、填空题??sin2?sin2??cos2?cos2??cos??2sin?14、若sin??3cos??0,则的值为 .cos??3sin?15、cos?.16、tan1?tan2?tan3????tan89?三、解答题17、求值sin2120??cos180??tan45??cos2?sin????13、化简sin2??sin2sin2?cos18、化简:. tantan?cos319、已知sin?20、已知sin???1???)?cos?的值. ,求sin?tan?1,求证 tan?tan??0 21、已知α是第三角限的角,化简参考答案13、 14、?15、?1116、2tan??cos3tan??3三、解答题217、提示:原式?????cot??sin???cot??sin2??cos??cot???1?tan??cos3?18、提示:利用诱导公式,原式=2,?角?在第三、四象限,3当?在第三象限,则cos???,tan??33当?在第四象限,则cos??,tan???3sin?cos??sin2??cos2?20、提示:左边???sin??cos??右边 11sin??cos??cos?sin?19、提示:?sin???故等式成立21、提示:?sin?1,?????2k???2???2k???2?????tan?tan??tan?2????tan?2???tan?tan??tan?tan??tan?tan???tan??tan??0,?tan?tan??0三角函数的诱导公式一、选择题1.如果|cosx|=cos,则x的取值集合是 A.-C.πππ3π+2kπ≤x≤+2kπB.-+2kπ≤x≤+2kπ222 π3π+2kπ≤x≤+2kπD.π≤x≤2π219π)的值是2.sin;②cos;③sin;④cos[π-];636 π].⑤sin[π-其中函数值与sinA.①②π的值相同的是B.①③④ C.②③⑤ D.①③⑤4.若cos=-A.-3π3π,且α∈,则tan的值为22B.63C.-6D.65.设A、B、C是三角形的三个内角,下列关系恒成立的是A.cos=cosC B.sin=sinC C.tan=tanC D.sin6.函数f=cosA.{-1,-C.{-1,-二、填空题7.若α是第三象限角,则?2sincos=_________..sin21°+sin22°+sin23°+…+s in289°=_________.三、解答题9.求值:sincos420°-tan330°cot.1A?BC=sin22πx的值域为11,0,,1} 2B.{-1,-D.{-1,-11,,1}23,,1}23,0,,1} 210.证明:1111.已知cosα=,cos=1,求证:cos=. 332sin?cos??1tan?1. ?tan?11?2sin2?12.化简:13、求证:14.求证:sincos=-cosα;?2sin290?cos430?.sin250??cos790?tansincos=tanθ.cossin+α)=sinα.2三角函数的诱导公式一、选择题: 1.已知sin=,则sin值为244A.311B. —C.D. —22222.cos= —13π, A.331B. C. ? D. —222?2)得.化简:?2sin?cos.已知α和β的终边关于x 轴对称,则下列各式中正确的是A.sinα=sinβB. sin =sinβC.cosα=cosβD. cos =-cosβ.设tanθ=-2, ?2π1111A. B. C. D.二、填空题:.cos=,x∈,则x的值为.7.tanα=m,则sin?sin8.|sinα|=sin,则α的取值范围是三、解答题:. 10.已知:sinsincos.sinπ17π5π)=,求sin的值.664611.求下列三角函数值:sin12.求下列三角函数值:sin4π25π5π·cos·tan;6342π7π17π23π;cos;tan;463sin[π-π2cos3??sin2?sin?3π13.设f=,求f的值.2?2cos2?cos 4参考答案1一、选择题1.C .A .C .B .B .B 二、填空题 7.-sinα-cosα.三、解答题.+1.8910.证明:左边=?2sin?cos???cos2??sin2?2sin??cos??=-,sin??cos?右边=?tan???tan???sin??cos?, ???tan???tan???sin??cos?左边=右边,∴原等式成立.11.证明:∵cos=1,∴α+β=2kπ. 1∴cos=cos=cos=cosα=.312.解:1?2sin290?cos430?sin250??cos790?=?2sincossin?cos?2sin70?cos70?cos70??sin70?=2=cos70??sin70?=sin70??cos70?=-1.cos70??sin70?13.证明:左边=∴原等式成立.tansincoscos?=tanθ=右边, ?cos?sin?3πππ-α)=sin[π+]=-sin=-cosα.22 14证明:sincos=cos[π+]=-cos=sinα.225一、选择题1.如果|cosx|=cos,则x的取值集合是A.-C.π2π2π2π23π2+2kπ≤x≤+2kπB.-+2kπ≤x≤+2kπ+2kπ≤x≤19π63π2+2kπD.π≤x≤2π2.sin的值是B.-12C.32D.-323.下列三角函数:①sin;②cos;③sin;④cos[π-π6];⑤sin[π-其中函数值与sinA.①② C.②③⑤π3].的值相同的是5B.①③④D.①③⑤π24.若cos=-A.-C.-6362,且α∈,则tan的值为5.设A、B、C是三角形的三个内角,下列关系恒成立的是A.cos=cosC C.tan=tanC.函数f=cosA.{-1,-C.{-1,-π412πx3B.sin=sinC D.sinA?B2=sinC2的值域为12,0,3,1}32B.{-1,-D.{-1,- 12,3212,1}322,0,32,1}3π4,,1}7.已知sin=,则sin值为A.12B. —12C.32D. —328.化简:?2sin?cos得A.sin2+cosB.cos2-sinC.sin2-cos2D.± .已知α和β的终边关于x轴对称,则下列各式中正确的是A.sinα=sinβB. sin =sinβC.cosα=cosβD. cos =-cosβ二、填空题 10.tanα=m,则sinsin?.11.|sinα|=sin,则α的取值范围是12.若α是第三象限角,则?2sincos=_________. 13.sin21°+sin22°+sin23°+…+sin289°=_________.14. tan1?tan2?tan3????tan89? 15. 若sin??3cos??0,则 16. cos? 17. 化简sin2??sin三、解答题18.求值:sincos420°-tan330°cot.19.证明:2sin?cos??11?2sin?12????cos??2sin?2cos??3sin?的值为 .2??sin?sin2222??cos?cos?? .?tan?1tan?1.120.已知cosα=,cos=1,求证:cos=. 3321. 已知sin?2. 已知sin???4512,求sin?cot?cos?的值.. 求cos?和tan?的值 .23. 已知sin?1,求证 tan?tan??024.化简:25. 化简:sin?cos?cottan?cos321?2sin290cos430.26. 求证:27. 求证:tansincoscossin=tanθ.tan??cot?sec??csc??sin??cos?2cos??sin?sin?32π,求f的值.2?2cos2?cos3三角函数公式1.同角三角函数基本关系式 sin2α+cos2α=1 sinα=tanα cosαtanαcotα=12.诱导公式sin=sinαsin=-sinαcos=-cosα cos=-cosα tan=-tanα tan=tanαsin=-sinα sin=sinα cos=cosα cos=cosα tan=-tanα tan=tanαsin=cosαsin=cosα22ππcos=sinα cos=- sinα22tan=cotα tan=-cotα23π3π-α)=-cosα +α)=-cosα23π3πcos=-sinα cos=sinα223π3π-α)=cotαtan=-cotα2sin=-sinαcos=cosαtan=-tanαtan=cosαcosβ-sinαsinβcos=cosαcosβ+sinαsinβsin =sinαcosβ+cosαsinβsin =sinαcosβ-cosαsinβtanα+tanβtan=1-tanαtanβtan=tanα-tanβ1+tanαtanβ4.二倍角公式sin2α=2sinαcosαcos2α=cos2α-sin2α=cos2α-1=1-sin2αtan2α=2tanα1-tanα5.公式的变形升幂公式:1+cos2α=2cosα 1—cos2α=2sinα 1+cos2α1-cos2α降幂公式:cos2α= sin2α=22正切公式变形:tanα+tanβ=tantanα-tanβ=tan 万能公式2tanα1-tanα2tanαsin2α= cos2α=tan2α=1+tanα1+tanα1-tanα6.插入辅助角公式basinx+bcosx=+b sina特殊地:sinx±cosxsin222tanA+tanB+tanC=tanAtanBtanC ABBCCAtan +tan +tan tan=122222。
三角函数诱导公式练习题一、选择题(共21小题)1、已知函数f(x)=sin,g(x)=tan(π﹣x),则()A、f(x)与g(x)都是奇函数B、f(x)与g(x)都是偶函数C、f(x)是奇函数,g(x)是偶函数D、f(x)是偶函数,g(x)是奇函数2、点P(cos2009°,sin2009°)落在()A、第一象限B、第二象限C、第三象限D、第四象限3、已知,则=()A、B、C、D、4、若tan160°=a,则sin2000°等于()A、B、C、D、﹣5、已知cos(+α)=﹣,则sin(﹣α)=()A、﹣B、C、﹣D、6、函数的最小值等于()A、﹣3B、﹣2C、D、﹣17、本式的值是()A、1B、﹣1C、D、8、已知且α是第三象限的角,则cos(2π﹣α)的值是()A、B、C、D、9、已知f(cosx)=cos2x,则f(sin30°)的值等于()A、B、﹣C、0 D、110、已知sin(a+)=,则cos(2a﹣)的值是()A、B、C、﹣D、﹣11、若,,则的值为()A、B、C、D、12、已知,则的值是()A、B、C、D、13、已知cos(x﹣)=m,则cosx+cos(x﹣)=()A、2mB、±2mC、D、14、设a=sin(sin20080),b=sin(cos20080),c=cos(sin20080),d=cos(cos20080),则a,b,c,d的大小关系是()A、a<b<c<dB、b<a<d<cC、c<d<b<aD、d<c<a<b15、在△ABC中,①sin(A+B)+sinC;②cos(B+C)+cosA;③tan tan;④,其中恒为定值的是()A、②③B、①②C、②④D、③④16、已知tan28°=a,则sin2008°=()A、B、C、D、17、设,则值是()A、﹣1B、1C、D、18、已知f(x)=asin(πx+α)+bcos(πx+β)+4(a,b,α,β为非零实数),f(2007)=5,则f(2008)=()A、3B、5C、1D、不能确定19、给定函数①y=xcos(+x),②y=1+sin2(π+x),③y=cos(cos(+x))中,偶函数的个数是()A、3B、2C、1D、020、设角的值等于()A、B、﹣C、D、﹣21、在程序框图中,输入f0(x)=cosx,则输出的是f4(x)=﹣csx()A、﹣sinxB、sinxC、cosxD、﹣cosx二、填空题(共9小题)22、若(﹣4,3)是角终边上一点,则Z的值为.23、△ABC的三个内角为A、B、C,当A为°时,取得最大值,且这个最大值为.24、化简:=25、化简:= .26、已知,则f(1)+f(2)+f(3)+…+f(2009)= .27、已知tanθ=3,则(π﹣θ)= .28、sin(π+)sin(2π+)sin(3π+)…sin(2010π+)的值等于.29、f(x)=,则f(1°)+f(2°)+…+f(58°)+f(59°)= .30、若,且,则cos(2π﹣α)的值是.答案与评分标准一、选择题(共21小题)1、已知函数f(x)=sin,g(x)=tan(π﹣x),则()A、f(x)与g(x)都是奇函数B、f(x)与g(x)都是偶函数C、f(x)是奇函数,g(x)是偶函数D、f(x)是偶函数,g(x)是奇函数考点:函数奇偶性的判断;运用诱导公式化简求值。
最新人教版高中数学必修四第一章三角函数(三角函数的诱导公式1)同步练习(含解析)一、选择题1.sin 585°的值为()A.-22 B.22C.-32 D.322.若n为整数,则代数式sin(nπ+α)cos(nπ+α)的化简结果是()A.±tan αB.-tan αC.tan α D.12tan α3.若cos(π+α)=-12,32π<α<2π,则sin(2π+α)等于()A.12B.±32 C.32D.-324.tan(5π+α)=m,则sin(α-3π)+cos(π-α)sin(-α)-cos(π+α)的值为()A.m+1m-1B.m-1m+1C.-1 D.15.记cos(-80°)=k,那么tan 100°等于()A.1-k2k B.-1-k2k C.k1-k2D.-k1-k26.若sin(π-α)=log814,且α∈⎝⎛⎭⎪⎫-π2,0,则cos(π+α)的值为()A.53B.-53C.±53D.以上都不对二、填空题7.已知cos(π6+θ)=33,则cos(5π6-θ)=________.8.三角函数式cos(α+π)sin2(α+3π)tan(α+π)cos3(-α-π)的化简结果是______.9.代数式1+2sin 290°cos 430°sin 250°+cos 790°的化简结果是______.10.设f(x)=a sin(πx+α)+b cos(πx+β)+2,其中a、b、α、β为非零常数.若f(2 009)=1,则f(2 010)=____.三、解答题11.若cos(α-π)=-23,求sin(α-2π)+sin(-α-3π)cos(α-3π)cos(π-α)-cos(-π-α)cos(α-4π)的值.12.已知sin(α+β)=1,求证:tan(2α+β)+tan β=0.13.化简:sin[(k +1)π+θ]·cos[(k +1)π-θ]sin (k π-θ)·cos (k π+θ)(其中k ∈Z ).14.在△ABC 中,若sin(2π-A )=-2sin(π-B ),3cos A =-2cos(π-B ),求△ABC 的三个内角.参考答案与解析1.A 2.C3.D [由cos(π+α)=-12,得cos α=12,∴sin(2π+α)=sin α=-1-cos 2 α=-32 (α为第四象限角).]4.A [原式=sin α+cos αsin α-cos α=tan α+1tan α-1=m +1m -1.] 5.B [∵cos(-80°)=k ,∴cos 80°=k ,∴sin 80°=1-k 2.∴tan 80°=1-k 2k .∴tan 100°=-tan 80°=-1-k 2k .]6.B [∵sin(π-α)=sin α=log 2 2-23=-23,∴cos(π+α)=-cos α=-1-sin 2 α=-1-49=-53.]7.-338.tan α解析 原式=-cos α·sin 2αtan α·cos 3(α+π)=-cos α·sin 2α-tan α·cos 3α=cos α·sin 2αsin α·cos 2α=sin αcos α=tan α. 9.-1解析 原式=1+2sin (180°+110°)·cos (360°+70°)sin (180°+70°)+cos (720°+70°)=1-2sin 110°cos 70°-sin 70°+cos 70°=1-2sin 70°cos 70°cos 70°-sin 70°=|sin 70°-cos 70°|cos 70°-sin 70°=sin 70°-cos 70°cos 70°-sin 70°=-1. 10.3解析 f (2 009)=a sin(2 009π+α)+b cos(2 009π+β)+2=a sin(π+α)+b cos(π+β)+2=2-(a sin α+b cos β)=1,∴a sin α+b cos β=1,f (2 010)=a sin(2 010π+α)+b cos(2 010π+β)+2=a sin α+b cos β+2=3.11.解 原式=-sin (2π-α)-sin (3π+α)cos (3π-α)-cos α-(-cos α)cos α=sin α-sin αcos α-cos α+cos 2α=sin α(1-cos α)-cos α(1-cos α)=-tan α.∵cos(α-π)=cos(π-α)=-cos α=-23,∴cos α=23.∴α为第一象限角或第四象限角.当α为第一象限角时,cos α=23,sin α=1-cos 2α=53,∴tan α=sin αcos α=52,∴原式=-52.当α为第四象限角时,cos α=23,sin α=-1-cos 2α=-53,∴tan α=sin αcos α=-52,∴原式=52.综上,原式=±52.12.证明 ∵sin(α+β)=1,∴α+β=2k π+π2 (k ∈Z ),∴α=2k π+π2-β (k ∈Z ).tan(2α+β)+tan β=tan ⎣⎢⎡⎦⎥⎤2⎝ ⎛⎭⎪⎫2k π+π2-β+β+tan β =tan(4k π+π-2β+β)+tan β=tan(4k π+π-β)+tan β=tan(π-β)+tan β=-tan β+tan β=0,∴原式成立.13.解 当k 为偶数时,不妨设k =2n ,n ∈Z ,则原式=sin[(2n +1)π+θ]·cos[(2n +1)π-θ]sin (2n π-θ)·cos (2n π+θ)=sin (π+θ)·cos (π-θ)-sin θ·cos θ=-sin θ·(-cos θ)-sin θ·cos θ=-1. 当k 为奇数时,设k =2n +1,n ∈Z ,则原式=sin[(2n +2)π+θ]·cos[(2n +2)π-θ]sin[(2n +1)π-θ]·cos[(2n +1)π+θ]=sin[2(n +1)π+θ]·cos[2(n +1)π-θ]sin (π-θ)·cos (π+θ)=sin θ·cos θsin θ·(-cos θ)=-1. ∴上式的值为-1.14.解 由条件得sin A =2sin B ,3cos A =2cos B ,平方相加得2cos 2A =1,cos A =±22,又∵A ∈(0,π),∴A =π4或34π. 当A =34π时,cos B =-32<0,∴B ∈⎝ ⎛⎭⎪⎫π2,π, ∴A ,B 均为钝角,不合题意,舍去.π4,cos B=32,∴B=π6,∴C=712π.∴A=。