岩体力学计算题
- 格式:doc
- 大小:614.00 KB
- 文档页数:17
岩石力学计算题1、有一块尺寸为7×7×7cm的石英岩立方体试件。
当试件承受20T义压力后,试块轴向收缩量0.003cm ,横向增长0.000238cm。
求石英岩立方体试件的弹性模量和泊松比。
解:(1)计算石英岩试件的轴向应变和横向应变:εZ=ΔL Z/L=0.003/7=0.00043εX=ΔL X/L=0.000238/7=0.000034(2)计算试件的轴向应力:бZ=P/A=20000/(7×7)=408.16kg/cm3 =40.816MPa(3)计算石英岩的弹性模量:E=бZ /εZ=408.16/0.00043=9.5×105 kg/cm3=0.95×105MPa(4)计算石英岩的泊松比:µ=εX /εZ=0.000034/0.00043=0.082.将一岩石试件进行抗压强度试验,当侧压为б2=б3=300 kg/cm2时,垂直加压到2700kg/cm2,试件发生破坏,其破坏面与最大主平面夹角成60°,设抗剪强度随正应力呈线性变化。
计算:(1)内摩擦角Φ;(2)破坏面上的正应力和剪应力;(3)在正应力为零的那个面上的抗剪强度。
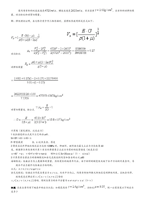
解:(1)由已知条件作莫尔应力园和强度曲线,可知内摩擦角Φ=30°(2)计算破坏面上的正应力和剪应力:б=(б1+б3)/2+(б1-б3)/2˙Cos2α=(2700+300)/2+(2700-300)/2˙Cos120°=900 kg/cm2 少τ=(б1-б3)/2˙Sin2α=(2700-300)/2˙Sin 120°=1039.2 kg/cm2(3)由已知条件可知,该岩石试件强度曲线方程为:τ= C +бtgΦ,而以上计算的б和τ为破坏面上的应力,必然满足强度曲线方程,所以把以上计算的б和τ值代入得:C = τ-бtg30°=1039.2-900˙tg30°=519.58 kg/cm23.某均质岩体的纵波波速是4720m/s,横波波速是2655m/s,岩石密度为2.63g/cm3,求岩体的动弹性模量和动泊松比。
练习题一、名词解释:1、各向异性:岩石的全部或部分物理、力学性质随方向不同而表现出差异的性质。
2、软化系数:饱水岩样抗压强度与自然风干岩样抗压强度的比值。
3、初始碎胀系数:破碎后样自然堆积体积与原体积之比。
4、岩体裂隙度K:取样线上单位长度上的节理数。
5、本构方程:描述岩石应力与应变及其与应力速率、应变速率之间关系的方程(物理方程)。
6、平面应力问题:某一方向应力为0。
(受力体在几何上为等厚薄板,如薄板梁、砂轮等)1.平面应变问题:受力体呈等截面柱体,受力后仅两个方向有应变,此类问题在弹性力学中称为平面应变问题。
2.给定载荷:巷道围岩相对孤立,支架仅承受孤立围岩的载荷。
3.长时强度:作用时间为无限大时的强度(最低值)。
4.扩容现象:岩石破坏前,因微裂隙产生及内部小块体相对滑移,导致体积扩大的现象5.支承压力:回采空间周围煤岩体内应力增高区的切向应力。
1.平面应力问题:受力体呈等厚薄板状,所受应力为平面应力,在弹性力学中称为平面应力问题。
2.给定变形:围岩与母体岩层存在力学联系,支架承受围岩变形而产生的压力,这种工作方式称为给定变形。
3.准岩体强度:考虑裂隙发育程度,经过修正后的岩石强度称为准岩体强度。
4.剪胀现象:岩石受力破坏后,内部断裂岩块之间相互错动增加内部空间在宏观上表现体积增大现象。
5.滞环:岩石属滞弹性体,加卸载曲线围成的环状图形,其面积大小表示因内摩擦等原因消耗的能量。
1、岩石的视密度:单位体积岩石(包括空隙)的质量。
2、扩容现象:岩石破坏前,因微裂隙产生及内部小块体相对滑移,导致体积扩大的现象。
3、岩体切割度Xe:岩体被裂隙割裂分离的程度:4、弹性后效:停止加、卸载,应变需经一段时间达到应有值的现象。
5、粘弹性:岩石在发生的弹性变形具有滞后性,变形可缓慢恢复。
6、软岩(地质定义):单轴抗压强度小于25MPa的松散、破碎、软弱及风化膨胀类岩石。
1.砂土液化:饱水砂土在地震、动力荷载或其它物理作用下,受到强烈振动而丧失抗剪强度,使砂粒处于悬浮状态,致使地基失效的作用或现象。
中国矿业大学2010~2011学年第 2 学期《矿山岩体力学》试卷(A)卷一、名词解释(20分,每题2分)1、岩体:是由岩块和各种各样的结构面共同组成的综合体。
2、体力:分布在物体整个体积内部各个质点上的力,又称为质量力。
3、结构面:在岩体中存在着各种不同的地质界面,这种地质界面称为结构面。
4、岩石的孔隙度:是岩石中各种孔洞、裂隙体积的总和与岩石总体积之比,常用百分数表示,故也称为孔隙率。
5、岩石的软化系数:是指水饱和岩石试件的单向抗压强度与干燥岩石试件单向抗压强度之比。
6、岩石强度:岩石在各种荷载作用下破坏时所能承受的最大应力。
7、破坏准则:用以表征岩石破坏条件的应力状态与岩石强度参数间的函数关系,是在极限状态下的“应力—应力”关系。
8、岩石的弹性:指卸载后岩石变形能完全恢复的性质。
9、岩石的流变性:指岩石在长期静载荷作用下应力应变随时间加长而变化的性质。
10、地应力:指存在于地层中的未受工程扰动的天然应力。
也称原岩应力、初始应力。
二、单项选择题(30分,每题2分)1、下列那个不是矿山岩体力学的特点(B )A)工程支护多为临时结构物B)只关心岩石在弹性阶段的力学性质C)工作面不断移动D)煤岩经常受瓦斯气体作用与影响2、围压对岩石极限强度(峰值强度)有较大影响,随着围压的增加,岩石的三轴极限强度将(B )A)减小B)增大C)不变D)不一定增大3、在岩石的室内单轴压缩试验中,对同一岩石试样所进行的试验中,如其余的条件均相同,则下列试样强度最高的是( A )A)圆柱形试件B)六角菱柱形试件C)四角菱柱形试件D)三角菱柱形试件4、岩石的破坏形式不取决于下列哪个(C )A)岩石的性质与结构面性质B)岩石受力状态有关C)岩石强度D)岩石环境条件5、巴西劈裂法测量岩石的抗拉强度要求(C )A)线荷载不通过试件的直径B)试件含有裂隙C)破坏面必须通过试件的直径D)岩石试件为方形6、岩石的Griffith破坏准则是(B )A)压破坏准则B)拉破坏准则C)剪破坏准则D)压剪破坏准则7、多个极限应力圆上的破坏点的轨迹称为莫尔强度线/莫尔包络线,实际中对于给定的岩石是否存在下图中的应力圆3( C )A)很定存在B)不一定C)不存在D)与所受外力有关8、下列哪类岩体结构面不是按地质成因分类(C )A)原生结构面B)构造结构面C)张性结构面D)次生结构面9、岩体强度受(D )控制A)岩块强度B)结构面强度C)岩块和结构面强度D)岩块和结构面强度及其组合方式10、岩体质量指标RQD分类是将钻探时长度在10cm(含10cm)以上的岩芯累计长度占钻孔总长的百分比,下列对该分类方法的评价哪个是错的( C )A)简单易行B)没有考虑节理方位的影响C)考虑了充填物的影响D)是一种快速、经济而实用的分类方法11、围岩作用于支护结构上的力称为(C )A)支承压力B)围岩应力C)围岩压力D)采动应力12、通常把在外力作用下破坏前总应变大于(C )的岩石称为塑性岩石。
1、何谓岩体力学?其研究对象是什么?2、岩体力学的研究内容和研究方法是什么?3、何谓岩块、岩体?岩块与岩体、岩体与土有何异同点?4、何谓结构面?结构面特征包含哪几个方面?各用什么指标表示?对岩体力学性质有何影响?5、简述岩体分类的方法及目的。
6、已知岩样容重为24.5kN/m 3,比重为2.85,天然含水量为8%,试计算该岩样的孔隙率、干容重及饱和容重。
7、某岩样测得其天然密度2.24g/cm 3,饱和吸水率10%,干密度2.11g/cm 3,且已知其颗粒密度为2.85g/cm 3。
试计算该岩样的大开空隙率、小开空隙率、总空隙率、吸水率、水下容重。
8、一种孔隙率为15%的砂岩,由70%的石英颗粒(比重2.65)和30%的黄铁矿颗粒(比重4.9)的混合物组成,试求其干容重及饱和含水量。
9、何谓岩石软化性?用什么指标表示?该指标在岩体工程中有何意义?10、何谓岩石抗冻性?通常用什么指标表示?11、如何获得岩石全应力-应变曲线?分为哪几个阶段?各阶段有哪些特征?12、画出反复荷载作用下岩石的变形特征曲线,并说明岩石记忆、回滞环和疲劳强度等概念。
13、画出岩石的典型蠕变曲线图,并说明各阶段岩石的蠕变特征。
14、什么是岩石的流变性?流变模型中的基本元件有哪些?各代表什么介质?力学性质如何?15、试推导Maxwall 模型和Kelven 模型的蠕变本构方程,并画出其变形曲线?16、某岩石的单轴抗压强度为8MPa ,在常规三轴试验中,当围压增加到4MPa 时,测得其抗压强度为16.4MPa ,试求其c 、φ值。
求此砂岩莫尔—库仑准则的c 、φ值。
18、将一个岩石试件进行单轴压缩试验,当压应力达到28.0MPa 时发生破坏,破裂面与最大主应力面的夹角为60°,假定遵循莫尔库仑破坏准则(直线型)。
①求内摩擦角;②在正应力为零的面上的抗剪强度;③与最大主应力面成30°夹角的面上的抗剪强度;④破坏面上的正应力和剪应力;⑤岩石在垂直荷载等于零的直剪试验中发生破坏,试画出其莫尔圆。
计算题四、岩石的强度特征(1) 在劈裂法测定岩石单轴抗拉强度的试验中,采用的立方体岩石试件的边长为5cm,一组平行试验得到的破坏荷载分别为16.7、17.2、17.0kN,试求其抗拉强度。
解:由公式σt=2P t/πa2=2×P t×103/3.14×52×10-4=0.255P t(MPa)σt1=0.255×16.7=4.2585σt2=0.255×17.2=4.386σt3=0.255×17.0=4.335则所求抗拉强度:σt==(4.2585+4.386+4.335)/3=4.33MPa。
(2) 在野外用点荷载测定岩石抗拉强度,得到一组数据如下:试计算其抗拉强度。
(K=0.96)解:因为K=0.96,P t、D为上表数据,由公式σt=KI s=KP t/D2代入上述数据依次得:σt=8.3、9.9、10.7、10.1、7.7、8.7、10.4、9.1。
求平均值有σt=9.4MPa。
(3) 试导出倾斜板法抗剪强度试验的计算公式。
解:如上图所示:根据平衡条件有:Σx=0τ-P sinα/A-P f cosα/A=0τ=P (sinα- f cosα)/AΣy=0σ-P cosα-P f sinα=0σ=P (cosα+ f sinα)式中:P为压力机的总垂直力。
σ为作用在试件剪切面上的法向总压力。
τ为作用在试件剪切面上的切向总剪力。
f为压力机整板下面的滚珠的磨擦系数。
α为剪切面与水平面所成的角度。
则倾斜板法抗剪强度试验的计算公式为:σ=P(cosα+ f sinα)/Aτ=P(sinα- f cosα)/A(4) 倾斜板法抗剪强度试验中,已知倾斜板的倾角α分别为30º、40º、50º、和60º,如果试样边长为5cm,据经验估计岩石的力学参数c=15kPa,φ=31º,试估计各级破坏荷载值。
二、岩块和岩体的地质基础一、解释下例名词术语5、节理密度:反映结构面发育的密集程度,常用线密度表示,即单位长度内节理条数。
6、节理连续性:节理的连续性反映结构面贯通程度,常用线连续性系数表示,即单位长度内贯通部分的长度。
7、节理粗糙度系数JRC:表示结构面起伏和粗糙程度的指标,通常用纵刻面仪测出剖面轮廓线与标准曲线对比来获得。
8、节理壁抗压强度JCS:用施密特锤法(或回弹仪)测得的用来衡量节理壁抗压能力的指标。
9、节理张开度:指节理面两壁间的垂直距离。
10、岩体:岩体是指在地质历史过程中形成的,由岩块和结构面网络组成的,具有一定的结构,赋存于一定的天然应力状态和地下水等地质环境中的地质体。
11、结构体:岩体中被结构面切割围限的岩石块体。
12、岩体结构:岩体中结构面与结构体的排列组合特征。
14、岩石质量指标RQD:大于10cm的岩芯累计长度与钻孔进尺长度之比的百分数。
二、简答题(1) 岩体中的结构面按成因有哪几种分法?分别是什么?答:结构面的成因类型分成两种,一是地质成因类型,根据地质成因的不同,可将结构面划分为原生结构面、构造结构面和次生结构面三类;按破裂面的力学成因可分为剪性结构面和张性结构面两类。
(2) 结构面的连续性有几种定义方法?如何定义?结构面的连续性反映结构面的贯通程度,常用线连续系数和面连续性系数表示。
线连续性系数是指结构面迹线延伸方向单位长度内贯通部分的总和;面连续性系数是指结构面单位面积内贯通部分面积的总和。
(5) 在我国,通常将岩体结构分为哪几类?.将岩体结构划分为5大类,即:整体状结构、块状结构、层状结构、碎裂状结构、散体状结构。
(6) 通常用哪些指标评价岩体的风化程度?答:岩石的风化程度可通过定性指标和某些定量指标来表述,定性指标主要有:颜色、矿物蚀变程度、破碎程度及开挖锤击技术特征等。
定量指标主要有风化空隙率指标和波速指标等。
国标《岩土工程勘察规范》中提出用风化岩块的纵波速度、波速比和风化系数等指标来评价岩块的风化程度。
某均质岩体的纵波波速是,横波波速是,岩石容重,求岩体的动弹性模量,动泊松比和动剪切模量。
解:弹性理论证明,在无限介质中作三维传播时,其弹性参数间的关系式如下:动泊松比动弹性模量动剪切模量G,按公式计算题(普氏理论,次生应力)1抗拉强度的公式是什么巴西法p41.St=2P/πD·t=D·tP-劈裂载荷 D、t-试件直径、厚度2将岩石试件单轴压缩压应力达到120MPa时,即破坏,破坏面与最大主应力方向夹角60度,根据摩尔库伦准则计算1岩石内摩擦角2正应力为零时的抗剪强度(就是求C)α=45°+ψ;τ=C+fσ=C+σtanψ增加公式Sc=2Ccosψ/(1 - sinψ)3计算原岩自重应力的海姆假说和金尼克假说的内容和各自的公式p85海姆假说:铅垂应力为上覆掩体的重量,历经漫长的地质年代后,由于材料的蠕变性及地下水平方向的约束条件,导致水平应力最终与铅垂应力相均衡。
公式:σ1=σ2=σ3=ρgz=γz金尼克假说:铅垂应力仍是自重应力σz=γz,而水平方向上,均质岩体相邻微元体相互受到弹性约束,且机会均等,故由虎克定律应有εx=[σx-ν(σy+σz)]/E=0εy=[σy-ν(σx+σz)]/E=0,得到自重力的水平分量为σx=σy=νγz/(1-ν)例题求在自重作用下地壳中的应力状态:如果花岗岩,泊松比,则一公里深度以下的应力是多少解:因为地壳厚度比地球半径小的多。
在局部地区可以把地表看作一个半平面,在水平方向为,深度也无限。
现考虑地面下深度Z 处的一个微小单元体。
它受到在它上边岩、土体重量的压力。
在单位面积上,这个重量是,其中,是它上面物体的体积,是物理单位体积的重量,因此:如果单元体四周是空的,它将向四周膨胀,当由于单元体四周也都在自重作用下,相互作用的影响使单元体不能向四周扩张。
即;解之,则得:对于花岗岩,,一公里深度以下的应力为:由此可见,深度每增加一公里,垂直压力增加,而横向压力约为纵向压力的三分之一。
第2章 岩石物理力学性质例:某岩样试件,测得密度为1。
9kg/cm3,比重为2.69,含水量为29%.试求该岩样的孔隙比、孔隙率、饱和度和干容量.解:孔隙比:83.019.1)29.01(69.21)1(=-+=-+∆=γωεd v孔隙度:%3.45%10083.0183.0%1001=⨯+=⨯+=v v n εε 饱和度:%9483.0%2969.2=⨯==εωG S r 干容重:)/(47.183.0169.213cm g d =+=+∆=εγ 例 某岩石通过三轴试验,求得其剪切强度c=10MPa ,φ=45°,试计算该岩石的单轴抗压强度和单轴抗拉强度.解:由例 大理岩的抗剪强度试验,当σ1n=6MPa, σ2n=10MPa ,τ1n=19.2MPa, τ2n=22MPa 。
该岩石作三轴抗压强度试验时,当σa=0,则Rc=100MPa.求侧压力 σa=6MPa 时,其三轴抗压强度等于多少?解:(1)计算内摩擦角φφστtg C n n 11+= (1) φστtg C n n 22+= (2)联立求解: 021212219.20.735106n n n n tg ττφφσσ--===⇒=--(2)计算系数K :7.335sin 135sin 1sin 1sin 10=-+=-+=φφK(3)计算三轴抗压强度: 0100 3.7612.22C a S S K MPa σ=+=+⨯=第3章 岩石本构关系与强度理论例:已知岩石的应力状态如图,并已知岩石的内聚力为4MPa ,内摩擦角为35°。
求: (1)各单元体莫尔应力圆,主应力大小和方向; (2)用莫尔库仑理论判断,岩石是否发生破坏解:(1)A 单元:主应力大小:122223 5.00 5.00 5.0()()002222x y x y xy MPa σσσσστσ+-+-=±+=±+= 方向:与x σ的夹角20tan 200 5.0xyx yτθσσ===--,0θ=︒莫尔应力图:圆心:135.002.522σσ++==半径:13 5.002.522σσ--==B 单元:主应力大小:122223 4.00000()() 4.0 4.02222x y x y xy MPa σσσσστσ+-+-=±+=±+=- 方向:与x σ的夹角2 4.0tan 20xyx yτθσσ===∞-,45θ=︒ 莫尔应力图:圆心:134.0 4.0022σσ+-==半径:13 4.0( 4.0)4.022σσ---==C 单元:主应力大小:122223 5.705.00 5.00()() 2.00.702222x y x y xy MPa σσσσστσ+-+-=±+=±+=-方向:与x σ的夹角22 2.0tan 20.85.00xyx yτθσσ⨯===--莫尔应力图:圆心:135.70.72.522σσ+-==半径:13 5.7(0.7)3.222σσ---==D 单元: 主应力大小:122223 6.06.0 6.0 6.0 6.0()()0 6.02222x y x y xy MPa σσσσστσ+-+-=±+=±+=方向:与x σ的夹角20tan 206.0 6.0xyx yτθσσ===--,0θ=︒莫尔应力图:圆心:136.0 6.06.022σσ++==半径:13 6.0 6.0022σσ--==E 单元:主应力大小:12222310.9110.0 1.010.0 1.0()() 3.00.092222x y x y xy MPa σσσσστσ+-+-=±+=±+= 方向:与x σ的夹角22 3.0tan 20.6710.0 1.0xyx yτθσσ⨯===--莫尔应力图:圆心:1310.910.095.522σσ++==半径:1310.910.095.4122σσ--==A 岩石单元体没有破坏,B 不存在正应力,存在切应力。
《岩石力学》习题一、岩体分级(1)取直径为50mm 、长度为70mm 的标准岩石试件,进行径向点荷载强度试验,测得破坏时的极限荷载为4000N ,破坏瞬间加荷点未发生贯入现象。
试确定岩石的单轴抗压强度c R 。
(2)测得某中等风化花岗岩体的压缩波速s m v pm /2777=,剪切波速s m v s /1410=;已知相应岩石的压缩波速s m v pr /5067=,剪切波速s m v s /2251=,重度3/3.22m kN r =。
岩石饱和单轴抗压强度MPa R c 40=,根据《工程岩体分级标准》(GB50218-94),该岩体的基本质量级别为几级?(3)某工程岩体,已测得岩石点荷载强度指标5.2)50(=s I ,岩石的压缩波速s km /6.6,岩体的压缩波速s km /1.4,根据《工程岩体分级标准》(GB50218-94),该岩体的基本质量级别为几级?二、岩石强度(4)自地表向下的岩层依次为:表土层,厚m H 601=,容重31/20m KN =γ,内摩擦角 301=φ,泊松比3.01=μ;砂岩层,厚m H 602=,容重32/25m KN =γ,内摩擦角 452=φ,泊松比25.02=μ。
求距地表m 50及m 100处的原岩中由自重引起的水平应力。
(5)将岩石试件进行一系列单轴试验,求得抗压强度的平均值为0.23MPa ,将同样岩石在0.59 MPa 的围压下进行一系列三轴试验,求得主应力的平均值为2.24 MPa . 请你在Mohr 图上绘出代表这两种试验结果的应力圆,确定其内摩擦角及粘结力.(6)某均质岩石的强度曲线为: 30,40,tan ==+=φφστMPa c c 其中. 试求在侧向围岩应力MPa 203=σ的条件下,岩石的极限抗压强度,并求出破坏面的方位.(7)将一个岩石试件进行单轴试验,当其压应力达到27.6MPa 时即发生破坏,破坏面与最大主应力作用面的夹角为60º. 假设抗剪强度随正应力呈线性变化,试计算:①内摩擦角;②破坏面上的正应力和剪应力;③在正应力等于零的那个平面上的抗剪强度; ④在上述试验中与最大主应力作用面的夹角为30º的那个平面上的抗剪强度。
习题一绪论1.1 选择题1.1.1 岩石与岩体的关系是()。
(A)岩石就是岩体(B)岩体是由岩石和结构面组成的(C)岩体代表的范围大于岩石(D)岩石是岩体的主要组成部分1.1.2 大部分岩体属于()。
(A)均质连续材料(B)非均质材料(C)非连续材料(D)非均质、非连接、各向异性材料1.2 简答题1.2.1 岩石力学的基本研究内容和研究方法?1.2.2 常见岩石的结构连结类型有哪几种?1.2.3 影响岩石力学性质的主要因素有哪些,如何影响的?1.2.4 岩石与岩体的关系是什么?1.2.5 岩石与岩体的地质特征的区别与联系?习题二第一章岩石物理力学性质2.1 选择题2.1.1 已知某岩石饱水状态与干燥状态的抗压强度之比为0.82,则该岩石()(A)软化性强,工程地质性质不良(B)软化性强,工程地质性质较好(C)软化性弱,工程地质性质较好(D)软化性弱,工程地质性质不良2.1.2 当岩石处于三向应力状态且比较大的时候,一般应将岩石考虑为()(A)弹性体(B)塑性体(C)弹塑性体(D)完全弹性体2.1.3 在岩石抗压强度试验中,若加荷速率增大,则岩石的抗压强度()(A)增大(B)减小(C)不变(D)无法判断2.1.4 在岩石的含水率试验中,试件烘干时应将温度控制在()(A)95~105℃(B)100~105℃(C)100~110℃(D)105~110℃2.1.5 按照格理菲斯强度理论,脆性岩体破坏主要原因是()(A)受拉破坏(B)受压破坏(C)弯曲破坏(D)剪切破坏2.1.6在缺乏试验资料时,一般取岩石抗拉强度为抗压强度的()(A)1/2~1/5(B)1/10~1/50(C)2~5倍(D)10~50倍2.1.7岩石的弹性模量一般指()。
(A)弹性变形曲线的斜率(B)割线模量(C)切线模量(D)割线模量、切线模量及平均模量中的任一种2.1.8某岩石试件相对密度d s=2.60,孔隙比e=0.05,则该岩石的干密度ρd为()(A)2.45(B)2.46(C)2.47(D)2.482.1.9下列研究岩石弹性、塑性和粘性等力学性制裁的理想力学模型中,哪一种被称为凯尔文模型?()(A)弹簧模型(B)缓冲模型(C)弹簧与缓冲器并联(D)弹簧与缓冲器串联2.2简答题2.2.1 何谓岩石中的微结构面,主要指哪些,各有什么特点?2.2.2 常见岩石的结构连结类型有哪几种?2.2.3 影响岩石力学性质的主要因素有哪些,如何影响的?2.2.4 什么是全应力应变曲线?为什么普通材料试验机得不出全应力应变曲线?2.2.5 在三轴压缩试验条件下,岩石的力学性质会发生哪些变化?2.2.6 什么是莫尔强度包络线?如何根据实验结果绘制莫尔强度包络线?2.2.7 表示岩石物理性质的主要指标及其表示方式是什么?2.2.8 岩石破坏有几种形式?对各种破坏的原因作出解释。
岩石力学试卷(闭卷)一、填空题(每空1分,共20分)1、沉积岩按结构可分为()、(),其中,可作为油气水在地下的良好储层的是(),不能储存流体,但是可作为油气藏的良好盖层的是()。
2、为了精确描述岩石的复杂蠕变规律,许多学者定义了一些基本变形单元,它们是()、()、()。
3、在水力压裂的加压过程中,井眼的切向或垂向的有效应力可能变成拉应力,当此拉应力达到地层的()时,井眼发生破裂。
此时的压力称为()。
当裂缝扩展到()倍的井眼直径后停泵,并关闭液压系统,形成(),当井壁形成裂缝后,围岩被进一步连续地劈开的压力称为()。
如果围岩渗透性很好,停泵后裂缝内的压力将逐渐衰减到()。
4、通常情况下,岩石的峰值应力及弹性模量随着应变率降低而(),而破坏前应变则随着应变率降低而()。
5、一般可将蠕变变形分成三个阶段:第一蠕变阶段或称();第二蠕变阶段或称();第三蠕变阶段或称()。
但蠕变并一定都出现这三个阶段。
6、如果将岩石作为弹性体看待,表征其变形性质的基本指标是()和()。
二、选择题(每题2分,共10分)1、格里菲斯强度准则不能作为岩石的宏观破坏准则的原因是()A、该准则不是针对岩石材料的破坏准则B、该准则没有考虑岩石的非均质的特性C、该准则忽略了岩石中裂隙的相互影响2、在地下,岩石所受到的应力一般为()。
A、拉应力B、压应力C、剪应力3、一般情况下,岩石的抗拉强度()抗压强度。
A、等于B、小于C、大于4、地层坍塌压力越高,井壁越()。
A、稳定B、不稳定C、无关5、初始地应力主要包括()A、自重应力和残余应力B、构造应力和残余应力C、自重应力和构造应力三、判断改错题(每题2分,共10分)1、岩石中的孔隙和裂隙越多,岩石的力学性质越好。
2、岩石在常温常压下的变形特征与深层一致。
3、围压越高,岩石的变形能力越大。
4、岩石的力学性质主要是指岩石的变形特征和强度特征。
5、岩石应力应变的全过程曲线可以通过在常规试验机上进行单轴压缩试验得到。
岩石力学计算题1.在具有一组平行节理的岩体中开挖一地下硐室,岩体节理面倾角β=30°,内摩擦角φ=35°,粘结力c f =0,边墙内垂直应力σy =1000kPa ,假设该岩石破坏遵循莫尔—库伦准则,问:(1)岩石干燥时,硐室边墙是否稳定?(2)节理中存在裂隙水压p w =150kPa 时硐室边墙是否稳定?(3)若边墙不稳定,应给给硐室边墙多大的水平支护力σx 才能保持边墙稳定?(武汉大学05年研究生入学考试试题)解:(1)边墙岩体处于单向应力状态,节理面上正应力与剪应力由下式计算:θσσ2cos y ==1000ccc 230°=750cccθστsin 2y ==10002sin60°=433kPa由库伦准则,结构面极限抗剪强度:τmax =c +σtanφ=0+750tan35°=525kPaτ<τmax 故边墙稳定。
(2)当存在裂隙水压p w =150kPa 时,库伦准则表述为: τmax =c +(σ−p ω)tanφ=0+(750−150)tan35°=420kPa τ>τmax 故边墙不稳定。
(3)设边墙水平支护力σx :节理面上的正应力与剪应力由下式给出:σ=σy +σx 2+σy −σx 2cos2θ τ=σy −σx 2sin2θ 库伦准则,由下式表述:τmax =c +(σ−p ω)tanφ极限状态,令τmax =τ,θ=30°得σx =21.4kPa及最小水平支护力为21.4kPa 。
2.由某工程采集的岩样进行常规三轴压缩试验,为围压分别为1MPa ,3MPa ,5MPa ,7 MPa ,9 MPa 时,对应的抗压强度分别为:8MPa ,16MPa ,25MPa ,34MPa ,42MPa ,已知岩体强度折减系数0.7,求岩体单轴抗压强度Rc ,内摩擦角与粘集力。
(矿冶总院2010年研究生)解:以直线型库伦强度准则判定:φστtan +=c 其中τ:岩体抗剪强度,σ:岩体强度,φ:内摩擦角,c:粘结力。
六、计算题一、如果某种岩石的强度条件为τ=σtg30°十10(MPa),试求, (1)这种岩石的单轴抗压强度;(2)设σ1>σ2>σ3(压应力为正,单位为MPa),则应力状态为(53.7,30,1)时岩石是否破坏。
解答:由a MP 1030tan 0 知 a MP C 10 ,030 ; (1)由sin 1sin 12 CR C有a C MP R 64.3430sin 130sin 11020(2)由三向抗压强度331sin 1sin 1sin 1sin 1sin 1sin 12C R C有:(53.7,30,1)时三向抗压强度a a MP MP 70.5364.371364.341 ,已破坏; 二、在均质岩体中开一巷道,巳知岩石的内摩擦角υ=30°,内聚力C=30MPa,由实测知道巷道围岩所受平均垂直应力为200MPa ,这种情况下至少应对巷道边帮提供多大的侧向应力才能维持巷道边帮的平衡?解答:本题实质为求三向受力下最大主应力为200a MP 不破坏时的最小侧压3 。
由31sin 1sin 1sin 1sin 12C有a MP C64.05.133025.0200sin1sin 1sin 1sin 1213需提供最小侧向应力为0.64a MP 。
三、某岩块强度符合库仑准则,c = 5 MPa ,φ=30°。
如果三轴应力状态下的σ3=10 MPa 保持常数,求极限平衡时σ1。
(6分) 解: c = 5 MPa ,φ=30°,σ3=10 MPa 极限平衡状态莫尔圆与强度线相切,有312510(10.5)2c o s (1s i n )247.321s i n10.5c M P a ϕσϕσϕ⨯+⨯+++===--四、已知在某岩体中,仅含有一条节理面,节理面和最大主应力平面成某角度α。
图1表示出了完整岩块的莫尔应力圆,并给出了完整岩块和结构面的强度线。
岩体力学习题1.已知大理岩的单向抗压强度为MPa 80,内摩擦角︒=25ϕ,试估计侧压MPa a 40=σ时,其三向抗压强度为多大?2.设莫尔理论的强度包络线为直线,C ,ϕ分别为岩石的凝聚力和内摩擦角,证明: (1)岩石的强度条件为:ϕσσϕσσs i n 23131≤++⋅-c t g c(2)岩石的c S 与c ,ϕ之间的关系为: )245(2ϕ-︒=tg S c c3.用无节理的岩块做三轴试验时,对试件施加的均匀侧压为MPa 50,通过纵向传力柱对试件施加的垂直破坏荷载为KN 1960,若试件的横截面积为2100cm ,单轴抗压强度为MPa 100,岩块强度符合库伦—莫尔准则,试求试件的内摩擦角和凝聚力。
4.对某一岩石试件进行单轴试验时,当压应力达到28MPa 时,岩石发生破坏,破坏面与最大主平面夹角为60°。
若抗剪强度随正应力呈线性变化,试计算: (1)正应力等于零的那个面上的抗剪强度;(2)与最大主平面成夹角30°的那个面上的抗剪强度; (3)岩石的内摩擦角是多少?(4)破坏面上的正应力与剪应力各是多少?(5)试预估单轴拉伸试验的抗拉强度有多大?破坏面如何?5.某地段受东西方向水平压应力为50MPa ,垂直方向压应力为10MPa ,求倾向正东,倾角为60°断层面上的正应力与剪应力。
6.已知某岩石试件的内聚力为MPa c 5.2=,内摩擦角︒=30ϕ,当岩石试件受侧向围岩MPa 103=σ时,求该岩石试件的轴向抗压强度。
7.做岩石试件等围压三轴试验,已知节理与3σ方向的夹角为30°,M P a c j 5.2=,︒=35j ϕ,MPa c 10=,︒=45ϕ,MPa 63=σ,求岩体的三轴抗压强度、破裂面的位置和方向。
8.单节理岩体受载如图所示。
MPa 302=σ,MPa 53=σ,节理面平行于主应力3σ,倾角︒=45α,节理面间的摩擦角︒=30j ϕ,内聚力MPa c j 2=。
岩体力学习题集二、填空题1.表征岩石抗剪性能的基本指数是()和()。
2.如果将岩石作为弹性体看待,表征其变形性质的基本指标是()和()。
3.岩石在单轴压力作用下,随加荷、卸荷次数的增加,变形总量逐次(),变形增量逐次()。
4.所谓洞室围岩一般是指洞室周围()倍半径范围内的岩体。
5.边坡岩体中,滑移体的边界条件包括()、()和()三种类型。
6.垂直于岩石层面加压时,其抗压强度(),弹性模量();顺层面加压时的抗压强度(),弹性模量()。
7.莫尔强度理论认为:岩石的破坏仅与()应力和()应力有关,而与()应力无关。
8.岩石在复杂应力状态下发生剪切破坏时,破坏面的法线与最大主应力之间的夹角总是等于()的;而破坏面又总是与中间主应力()。
9.不论何种天然应力条件下,边坡形成后,在边坡表面岩体中的最大主应力的作用方向与边坡面(),最小主应力作用方向与边坡面()。
10.主要的岩体工程分类有()、()、()、()等。
11.水对边坡岩体的影响表现在()、()和()。
12.天然应力场的主要成分有()、()和()。
13.地质结构面对岩体力学性质的影响表现在()和()。
14.结构面在法向应力作用下,产生()变形,其变形性质用指标()表征。
15.岩石抗拉强度的试验室方法有()和()。
16.地质结构面按力学条件可分为()和()。
17.岩体结构类型可分为()、()、)、()和()。
18.岩体的强度处在()强度与()强度之间。
19.结构面的线连续性系数是在()至()变化的。
20.水对岩石力学性质的影响表现在()、()和()。
21.格里菲斯强度理论认为材料破坏的原因是()。
22.八面体强度理论认为材料破坏的原因是()。
23.有一对共轭剪性结构面,其中一组走向为N30E,而另一组为N30W,则岩体中最大主应力方向为()。
如果服从库仑-纳维尔判据,则岩体的内摩擦角为()。
24.软弱夹层的基本特点有()、()、)、()和()。
25.岩体中逆断层形成时,最大主应力方向为(),最小主应力方向为()。
六、计算题一、如果某种岩石的强度条件为τ=σtg30°十10(MPa),试求, (1)这种岩石的单轴抗压强度;(2)设σ1>σ2>σ3(压应力为正,单位为MPa),则应力状态为(53.7,30,1)时岩石是否破坏。
解答:由a MP 1030tan 0 知 a MP C 10 ,030 ; (1)由sin 1sin 12 CR C有a C MP R 64.3430sin 130sin 11020(2)由三向抗压强度331sin 1sin 1sin 1sin 1sin 1sin 12C R C有:(53.7,30,1)时三向抗压强度a a MP MP 70.5364.371364.341 ,已破坏;二、在均质岩体中开一巷道,巳知岩石的内摩擦角φ=30°,内聚力C=30MPa,由实测知道巷道围岩所受平均垂直应力为200MPa ,这种情况下至少应对巷道边帮提供多大的侧向应力才能维持巷道边帮的平衡?解答:本题实质为求三向受力下最大主应力为200a MP 不破坏时的最小侧压3 。
由31sin 1sin 1sin 1sin 12C有a MP C64.05.133025.0200sin1sin 1sin 1sin 1213需提供最小侧向应力为0.64a MP 。
三、某岩块强度符合库仑准则,c = 5 MPa ,φ=30°。
如果三轴应力状态下的σ3=10 MPa 保持常数,求极限平衡时σ1。
(6分) 解: c = 5 MPa ,φ=30°,σ3=10 MPa极限平衡状态莫尔圆与强度线相切,有312510(10.5)2c o s (1s i n )247.321s i n10.5c M P a ϕσϕσϕ⨯+⨯+++===--四、已知在某岩体中,仅含有一条节理面,节理面和最大主应力平面成某角度α。
图1表示出了完整岩块的莫尔应力圆,并给出了完整岩块和结构面的强度线。
计算题四、岩石的强度特征(1) 在劈裂法测定岩石单轴抗拉强度的试验中,采用的立方体岩石试件的边长为5cm ,一组平行试验得到的破坏荷载分别为16.7、17.2、17.0kN ,试求其抗拉强度。
解:由公式σt =2P t /πa 2=2×P t ×103/3.14×52×10-4=0.255P t (MPa)σt1=0.255×16.7=4.2585 σt2=0.255×17.2=4.386 σt3=0.255×17.0=4.335则所求抗拉强度:σt ==(4.2585+4.386+4.335)/3=4.33MPa 。
解:因为K =0.96,P t 、D 为上表数据,由公式σt =KI s =KP t /D 2代入上述数据依次得:σt =8.3、9.9、10.7、10.1、7.7、8.7、10.4、9.1。
求平均值有σt =9.4MPa 。
(3) 试导出倾斜板法抗剪强度试验的计算公式。
解:如上图所示:根据平衡条件有: Σx=0τ-P sin α/A -P f cos α/A =0 τ=P (sin α- f cos α)/AΣy=0σ-P cos α-P f sin α=0 σ=P (cos α+ f sin α)式中:P 为压力机的总垂直力。
σ为作用在试件剪切面上的法向总压力。
τ为作用在试件剪切面上的切向总剪力。
f 为压力机整板下面的滚珠的磨擦系数。
α为剪切面与水平面所成的角度。
则倾斜板法抗剪强度试验的计算公式为:σ=P (cos α+ f sin α)/A τ=P (sin α- f cos α)/A(4) 倾斜板法抗剪强度试验中,已知倾斜板的倾角α分别为30º、40º、50º、和60º,如果试样边长为5cm,据经验估计岩石的力学参数c =15kPa ,φ=31º,试估计各级破坏荷载值。
(f =0.01)解:已知α分别为30º、40º、50º、和60º,c =15kPa ,φ=31º,f =0.01,τ=σ tg φ+cσ=P (cos α+ f sin α)/A τ=P ( sin α- f cos α)/AP ( sin α- f cos α)/A = P (cos α+ f sin α) tg φ/A +c ( sin α- f cos α)= (cos α+ f sin α) tg φ+cA /P P =cA /[( sin α- f cos α)- (cos α+ f sin α) tg φ]由上式,代入上述数据,计算得:P 30=15(kN/mm 2)×25×102(mm 2)/[( sin30 - 0.01×cos30) - (cos30 + 0.01×sin30) tg31]α sin α cos α ( sin α- f cos α) (cos α+ f sin α) (cos α+ f sin α)tg φ P 30 0.5 0.866025 0.49134 0.873751 0.525002 -111.4 40 0.642788 0.766044 0.635127 0.772522 0.464178 21.93638 50 0.766044 0.642788 0.759617 0.647788 0.38923 10.12456 60 0.8660250.50.8610250.50.300436.68932把(2)代入(1)式化简得:φφσsin 1cos 2+=c t (3)ΔAO 2D ≌ΔAOC 得:φcsc 2112⨯++=c r r AO c r 2112csc csc 1r r r r ++=φφ∵ r 1=σt /2 r 2=σc /2σc (csc φ-1)= σt (csc φ+1) (4)把(4)代入(3)得:φφσsin 1cos 2-=cc(5)由(3),(5)2222224sin 1cos 4)sin 1)(sin 1(cos 4c c c t c =-=-+=φφφφφσσ t c c σσ21=(6) 由(3),(5)2c cos φ=σt (1+sin φ) , 2c cos φ=σc (1-sin φ), 相等有 sin φ=(σc -σt )/ (σc +σt ) (7) 由(5)+(3)cos φ=4c /(σc +σt ) (8) 由(6),(7),(8)tc t c t c t c t c t c σσσσσσσσσσσσφφφ2)()(2)()(cos sin tan -=++-== (9) (6) 在岩石常规三轴试验中,已知侧压力σ3分别为5.1MPa 、20.4MPa 、和0MPa 时,对应的破坏轴向压力分别是179.9MPa 、329MPa 、和161MPa ,近似取包络线为直线,求岩石的c 、φ值。
.1.图解法由上图可知,该岩石的c 、φ值分别为:28MPa 、52°。
2.计算法 由M-C 准则φσσσσφctg 2sin 3131c ++-=变形)sin 1()sin 1(cos 231φσφσφ+--=c (1)考虑Coulomb 曲线为直线,则强度线应与Mohr 圆中的任意两圆均相切,此时的c 、φ值相等,则任一圆都满足(1)式。
设任意两圆中的应力分别为23211311,,σσσσ和,由(1)式得)sin 1()sin 1()sin 1()sin 1(23211311φσφσφσφσ+--=+--整理得φφσφσσσσσσσσσφcos 2)sin 1()sin 1()()()()(sin 312313211123132111+--=-+----=c将已知数据代入计算结果如下:σ1 Σ3 φ c179.9 5.1 54.47565 20.85393 329 20.4 51.57658 28.05152 161 0 35.0996341.81673计算结果分析,第一组数据与第三组数据计算结果明显低于第一组与第二组数据和第二组与第三组数据的计算结果,考虑包络线为外包,故剔除第一组数据与第三组数据计算结果,取平均后得:φ=53.02611°,c=24.45272MPa 。
(7) 某岩石的单轴抗压强度为164.5MPa ,φ=35.2°,如果在侧压力σ3=40.8MPa 下作三轴试验,请估计破坏时的轴向荷载是多少?解:已知如图所示:ΔAOC ≌ΔABC 得:AFACc r =1 即:φφcsc tan c 11c r c c r +=因为:r 1=82.25 MPa ,φ=35.2°, 所以求得:c=42.64 MPa所以:AO=c ctan φ=60.45 MPaΔABC ≌ΔADE 得:23121AO tan c r r c AE AC r r +++==σφ 解得:r 2=137.76 MPa所以σ1=40.8+2×137.76=316.32 MPa(8) 在威克尔(Wuerker)假定条件下,岩石抗压强度是它的抗拉强度的多少倍? 解:由上述题(5)知:故 φφφφφφσσsin 1sin 1sin 1cos 2sin 1cos 2-+=+-=c c t cφ (1+sin φ)(1-sin φ) σc /σt25 1.422618 0.577382 2.463913 30 1.50.5 335 1.5735760.4264243.690172 40 1.642788 0.3572124.59891 45 1.707107 0.2928935.82842750 1.766044 0.2339567.54863255 1.819152 0.18084810.05901 601.866025 0.13397513.9282根据此式点绘的图如下:五、岩石的变形特征(1) 试导出体积应变计算式:εv =εa -2εc解:如上图所示得:V = πc 2a /4 V ´ =π(c +Δc )2(a +Δa )/4ac ac c ac ac ac c a c ac ac c a c ac ac a c a c a a c c V V V v 22222222222'2224/4/4/)()(∆+∆=-∆∆+∆∆+∆+∆+∆+=-∆+∆+=-=πππε 其中略去了Δc 、Δa 的高次项,整理得:c a v cc a a εεε22+=∆+∆=(2) 岩石变形实验数据如下,a. 作应力应变曲线(εa 、εc 、εv )。
b. 求初始模量、切线模量、50%σc 的割线模量和泊松比。
σ(MPa) 16 30 47 62 77 92 154 164 εa (×10-6) 188 375 550 740 930 1412 1913 破坏 εc (×10-6) 63 100 175 240 300 350 550 破坏 解:由公式:εv =εa -2 εc得:εv =250、175、200、260、330、712、713 则初始模量:E i =σi /εi =16/188=0.085切线模量: E t =(σ2-σ1)/(ε2-ε1) =(77-62)/(930-740) =0.079 割线模量: E s =σ50/ε50=77/930=0.083 泊松比:μ=εc /εa = 319.48/990.39=0.32六、岩石的强度理论(1) 导出莫尔–库伦强度准则。
解:如图:由图中几何关系,在ΔABO 1中,B ∠是直角,φ=∠Aφφσφφσφσσσσσσφσσφσσφσσσσφsin 1cos 2sin 1sin 1ctg 22ctg 2sin 2ctg ,2,2,ctg ,3131313131113111311311-+-+=++-=++-==++=+=+=-===c c c AO B O c OO OA A O OO B O c OA c OD 或:(3) 对岩石试样作卸载试验,已知C=12kPa ,φ=36º,σy =100MPa ,当σ1=200MPa 时,按莫尔–库论判据,卸载达到破坏的最大围压σ3是多少?如果按米色士判据又是多少?解:由上题Mohr 判据MPa87.5136sin 136cos 012.0220036sin 136sin 1sin 1cos 2sin 1sin 1sin 1cos 2sin 1sin 11331=-⨯⨯-⨯+-=--+-=-+-+=φφσφφσφφσφφσc c 得:按米色士判据:MPa1001002002)()()(1331322213232221=-=-==-==-+-+-y yy σσσσσσσσσσσσσσσ,上式变为:等围压时,(4) 岩体内存在不同方向裂纹,已知σt =–8MPa ,a. 当σ1=42MPa ,σ3=–6MPa 时,按格里菲斯准则是否破坏,沿哪个方向破坏?b. 当σ1=20MPa ,σ3=–8MPa 时,是否破坏,沿哪个方向破坏?解:a.由于σ1+3σ3=42+3×(-6)=24>0,所以其破坏准则为:t σσσσσ8)(31231=+- 把σ1=42MPa ,σ3=–6MPa ,σt =8MPa (σt 取绝对值)代入上式,6488646426422=⨯==-+=右边)(左边 左边=右边,刚好达到破坏。