电工学(少学时)张南编第一章答案学习资料
- 格式:doc
- 大小:6.80 MB
- 文档页数:30
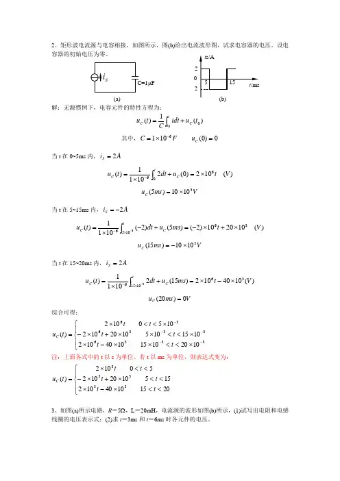
2、矩形波电流源与电容相接,如图所示,图(b)给出电流波形图,试求电容器的电压。
设电容器的初始电压为零。
(a)解:无源惯例下,电容元件的特性方程为:)(1)(00t u idt Ct u C tt C +=⎰ 其中,F C 6101-⨯= 0)0(=C u当t 在0~5ms 内,A i S 2=)(102)0(21011)(606V t u dt t u tC C ⨯=+⨯=⎰-V ms u C 31010)5(⨯=当t 在5~15ms 内,A i S 2-=)(102010)2()5()2(1011)(3610563V t ms u dt t u C tC ⨯+⨯-=+-⨯=⎰-⨯-V ms u C 31010)15(⨯-=当t 在15~20ms 内,A i S 2=)(1040102)15(21011)(36101563V t ms u dt t u C tC ⨯-⨯=+⨯=⎰-⨯-V ms u C 0)20(=综合可得:⎪⎩⎪⎨⎧⨯<<⨯⨯-⨯⨯<<⨯⨯+⨯-⨯<<⨯=-----3336333636102010151040102101510510201021050102)(t t t t t t t u C注:上面各式中的t 以s 为单位。
若t 以ms 为单位,则表达式变为:⎪⎩⎪⎨⎧<<⨯-⨯<<⨯+⨯-<<⨯=20151040102155102010250102)(33333t t t t t t t u C3、如图(a)所示电路,R =5Ω,L =20mH ,电流源的波形如图(b)所示,(1)试写出电阻和电感线圈的电压表示式;(2)求t =3ms 和t =6ms 时各元件的电压。
μF(a)解:(1)在0~2.5ms 内,s A dtdiAt i S )108.0()108.0(33⨯=⨯=VV dtdi L u Vt V t R i u L S R 16)108.01020()104()5108.0(3333=⨯⨯⨯=⋅=⨯=⨯⨯==∴- 在2.5~7.5ms 内,s A dtdi At i S )108.0()4108.0(33⨯-=+⨯-= Vdt diL u Vt R i u L S R 16)20104(3-=⋅=+⨯-==∴ 在7.5~12.5ms 内,s A dtdi A t i S )108.0()8108.0(33⨯=-⨯= VdtdiL u Vt R i u L S R 16)40104(3=⋅=-⨯==∴ 注:上面各式中t 以s 为单位。
第1章 习题解答(部分)1.5.3 有一直流电源,其额定功率P N =200 W ,额定电压U N =50 V ,内阻只RN =0.5Ω,负载电阻R0可以调节,其电路如图所示。
试求: (1)额定工作状态下的电流及负载电阻, (2)开路状态下的电源端电压,分析 电源的额定值有额定功率P N 。
额定电压U N 和额定电流I N 。
三者间的关系为 P N =U N I N 。
额定电压U N 是指输出额定电流I N 时的端电压,所以额定功率P N 也就是电源额定工作状态下负载所吸收的功率。
解 (1)额定电流 负载电阻 5.12450===N N I U R Ω(2)开路状态下端电压U 0 等于 电源电动势E 。
U 0=E =U N +I N R0=50+4×0.5=52 V1.5.6 一只100V ,8W 的指示灯,现在要接在380V 的电源上,问要串多大阻值的电阻?该电阻应选用多大瓦数的?分析 此题是灯泡和电阻器额定值的应用。
白炽灯电阻值随工作时电压和电流大小而变,但可计算出额定电压下的电阻值。
电阻器的额定值包括电阻值和允许消耗功率。
解 据题给的指示灯额定值可求得额定状态下指示灯电流I N 及电阻只R N串入电阻R 降低指示灯电压,使其在380V 电源上仍保持额定电压U N =110V 工作,故有该电阻工作电流为I N =0.073 A,故额定功率为 可选额定值为3.7k Ω,20 W 的电阻。
1.5.7在图1.03的两个电路中,要在12V 的直流电源上使6V ,50 mA 的电珠正常发光,应该采用哪 一个联接电路? 解 要使电珠正常发光,必须保证电珠 获得6V ,50mA 电压与电流。
此时电珠的电阻值为120506==R Ω。
在图1.03(a)中,电珠和120Ω电阻将12V 电源电压平分,电珠能获得所需的6V 电压和50mA 电流,发光正常。
在图1.03(b)中,电珠与120Ω电阻并联后再串联120Ω电阻。
U2.1求阳113所示电坤:|切关S闭介和盼汕闻种佶况 J、b・c二点的电他.【龊】S匱仟时.K = ^V. l;=_3V・V c = 0 V.S 断开吋.V, = V; = 6 V, K =(6+3) V=9 V.1・3」冷田1 14所环:电拓•"・电诉电劝外虫一120 V・内电阻7^-03 述按导线电阻心/ =O2・・jX-ftftlSfl A L= 115 Q. 4<J( 1)遽路时的电沆•负载和电淅的电爪.侑载消克的电功沖、削滋产牛和输II]的电功屮:(2〉升略时的电加屯压和负找屯圧,(3)在负皴均和屯凍玳如滋时屯源的巳滄恵电压。
2 1.D LU 114【解】(1)通络时电険的电流E120I = ------------------ = ---------------------- A= 10 J A+• R、・+R L 0.3 + 0.2-t-11.5负我电圧U L■%】-11.5X1OV-115 V 屯折屯斥f/5=叫 * R X}1 = (0 2 + 11 5)x10 V =117 V 或者U s -£-&/-(120 - 0・3x10)V-117 V 负找消耗的电功冰^=^7 = 115x10 W = 1 150 W 或古化=R』=1 I 5xl0; W = 1 150 W 电源产生的电功率件二日“ 20x10 W 二 1 200 W电游城)出的电功率化一UJ -117X10 w-l 170 W(2>幵路时U、=£=120 V久-0⑶短幷吋S 二 O 二 0・2xZ4() V 二 4H V- E-/1.7- (120-0.3x240)V-48 V 1.5.1试分析图1.15所示西电路中电阳的电压刃电浹以&图(3)中电Ml 液的电压和IM M 中电压涯恂电盜.【解】的足为了理解Rih 游棚电浜・的待点•选择待求电压和屯讹 的參考方向如图1」5所示.(1》在阁1.15 <3)所禾电路中•山于二匕并联.屯压和问・故 〃•二 S =1 v K •>/ = ―— = A = 2 A R 0.5i/c =(/s =l V(2>右图l.M (b)所示电腔中,川丁「者皿段,电涼相I 町故= 7S = 1 A—pRI* =05x1 V =05 V人=4 = 1 A1.5.2 在町1丄6所示直淀屯册帀•乜知17十37 ■人二3A ;求41、b 、C 三点的电位C 【解】木题H 的是力了复习理母电経元件 的特点以及电位的槪念・ill T a 点电型就足a 点对卷為点c 们电压,M «=5・3 V由丁• b 点电位比4点电位高7?/fl ・a 点电位乂120 0.3 4-0.2 = 240 A孔卅)A 0.3R 05Q3)(b >1・8J 用叠加左理求BB 123所示电踣中的电流人和【解】 电朮源単独作用时,电路如图1.24 (a)所示.则1: = ——— 1、= | —-—x 5 IA = 3 A&F 〔2 + 3 /x5 A = 2 A比c 点岳U“故b 丘电位儿%=RS =0x3 + 3)V = 6 V c*;为翁考点.故c 点电位为v c = 01.7.1用支賂屯说注求图1.220详口跑中各支肉的电血•并说叨匕% 昆起电源作用还足起负栽作用“廉中(7SI =12 V,O S2 = 15 V , &=3a • = 1.5 Q, R ? = 9 □.【解】结血、回控标十图1.22屮。
电工学习题少学时答案标准化管理处编码[BBX968T-XBB8968-NNJ668-MM9N]2012年《电工学》习题(上)解答第1章直流电路习题一、单项选择题1.图示电阻元件R消耗电功率10W,则电压U为( A )。
A)5V B)5V C)20VU题1图2.在图示的电路中,A点的电位V A为( C )。
A)2 V B)4 V C) 2 V-2 k7 kΩΩ题2图3.在图示电路中,U、I的关系式正确的是( B )。
A)U= (I S + I )R0 B)U = (I S-I )R0C)U = (I I S )R0R L题3图2题4图4.图示电路中电流I2为( C )。
A )7AB )3AC )3A5.理想电流源的外接电阻越大,则它的端电压( A )。
A )越高B )越低C )不能确定6.图示电路中,用一个等效电源代替,应该是一个( B )。
A )2A 的理想电流源B )2V 的理想电压源C )不能代替,仍为原电路2 V题6图7.把图1所示的电路改为图2的电路,其负载电流I 1和I 2将( B )。
A )增大B )不变C )减小221Ω2V 2A图 1图 2+题7图8.图示电路中,供出功率的电源是( A )。
A )理想电压源B )理想电流源C )理想电压源与理想电流源U 4VS +题8图S题9图9.在图示电路中,各电阻值和U S 值均已知。
欲用支路电流法求解流过电阻R G 的电流I G ,需列出独立的电流方程数和电压方程数分别为( B )。
A )4和3B )3和3C )3和410.在计算线性电阻电路的电压和电流时,用叠加原理。
在计算线性电阻电路的功率时,加原理( B )。
A )可以用B )不可以用C )有条件地使用11.在图示电路中,已知U S =12V ,I S =2A 。
A 、B 两点间的电压U AB 为( A )。
A )18VB )18VC )6VU I SS题11图SA题12图12.在图示电路中,当开关S 闭合时A 点的电位V A ( C )。
第一章 电路的基本概念和基本定律习题解答1-1 在图1-39所示的电路中,若I 1=4A ,I 2=5A ,请计算I 3、U 2的值;若I 1=4A ,I 2=3A ,请计算I 3、U 2、U 1的值,判断哪些元件是电源?哪些是负载?并验证功率是否平衡。
解:对节点a 应用KCL 得 I 1+ I 3= I 2 即4+ I 3=5, 所以 I 3=1A 在右边的回路中,应用KVL 得6⨯I 2+20⨯I 3= U 2,所以U 2=50V 同理,若I 1=4A ,I 2=3A ,利用KCL 和KVL 得I 3= -1A ,U 2= -2V 在左边的回路中,应用KVL 得20⨯I 1+6⨯I 2= U 1,所以U 1=98V 。
U 1,U 2都是电源。
电源发出的功率:P 发= U 1 I 1+ U 2 I 3=98⨯4+2=394W 负载吸收的功率:P 吸=2021I +622I +2023I =394W 二者相等,整个电路功率平衡。
1-2 有一直流电压源,其额定功率P N =200W ,额定电压U N =50V ,内阻R o =0.5Ω,负载电阻R L 可以调节,其电路如图1-40所示。
试求:⑴额定工作状态下的电流及负载电阻R L 的大小;⑵开路状态下的电源端电压;⑶电源短路状态下的电流。
解:⑴A U P I N N N 450200===Ω===5.12450NN L I U R ⑵ =⨯+==0R I U U U N N S OC 50+4⨯0.5 = 52V ⑶ A R U I S SC 1045.0520===图1-39 习题1-1图 图1-40 习题1-2图1-3 一只110V 、8W 的指示灯,现在要接在220V 的电源上,问要串多大阻值的电阻?该电阻的瓦数为多大?解:若串联一个电阻R 后,指示灯仍工作在额定状态,电阻R 应分去110V 的电压,所以阻值Ω==5.151281102R 该电阻的瓦数W RP R 81102== 1-4 图1-41所示的电路是用变阻器R P 调节直流电机励磁电流I f 的电路。
电工学少学时1-4章课后习题答案第一章电路的基本概念和基本定律一、填空题1、电路的作用是实现电能的传输和转换,以及对电信号的传递和处理。
2、电流的实际方向规定为正电荷定向移动的方向,电压的实际方向规定为由高电位指向低电位。
3、电阻元件的伏安特性曲线是一条过原点的直线,其斜率表示电阻的大小。
4、电源的电动势是电源将其他形式的能转化为电能的能力的物理量,其方向规定为在电源内部由负极指向正极。
二、选择题1、已知空间有 a、b 两点,电压 Uab=10V,a 点电位为 Va=4V,则b 点电位 Vb 为()A 6VB -6VC 14VD -14V答案:B解析:Vb = Va Uab = 4 10 =-6V2、一电阻元件,当其电流减为原来的一半时,其功率为原来的()A 1/2B 1/4C 2 倍D 4 倍答案:B解析:P = I²R,当 I 变为原来的一半时,P' =(I/2)²R = 1/4 I²R三、计算题1、如图所示电路,已知 E1 = 18V,E2 = 12V,R1 =3Ω,R2 =6Ω,R3 =9Ω,求各支路电流。
解:首先设各支路电流方向如图所示。
根据基尔霍夫电压定律(KVL),对于回路①:E1 I1R1 I3R3 = 0即 18 3I1 9I3 = 0 (1)对于回路②:E2 I2R2 + I3R3 = 0即 12 6I2 + 9I3 = 0 (2)根据基尔霍夫电流定律(KCL),在节点 A 处:I1 = I2 + I3 (3)联立(1)、(2)、(3)式,解得:I1 = 3A,I2 = 1A,I3 = 2A第二章电路的分析方法一、填空题1、支路电流法是以支路电流为未知量,应用基尔霍夫定律列出方程组求解的方法。
2、网孔电流法是以网孔电流为未知量,列写网孔的 KVL 方程进行求解的方法。
3、节点电压法是以节点电压为未知量,列写节点的 KCL 方程进行求解的方法。
第一章习题1-1 指出图1-1所示电路中A 、B 、C 三点的电位。
图1-1 题 1-1 的电路解:图(a )中,电流 mA I 51226.=+=, 各点电位 V C = 0 V B = 2×1.5 = 3V V A = (2+2)×1.5 = 6V图(b )中,电流mA I 1246=+=, 各点电位 V B = 0V A = 4×1 = 4VV C =- 2×1 = -2V图(c )中,因S 断开,电流I = 0, 各点电位 V A = 6V V B = 6VV C = 0图(d )中,电流mA I 24212=+=, 各点电位 V A = 2×(4+2) =12VV B = 2×2 = 4V V C = 0图(e )的电路按一般电路画法如图,电流mA I 12466=++=,各点电位 V A = E 1 = 6VV B = (-1×4)+6 = 2V V C = -6V1-2 图1-2所示电路元件P 产生功率为10W ,则电流I 应为多少? 解:由图1-2可知电压U 和电流I 参考方向不一致,P = -10W =UI 因为U =10V , 所以电流I =-1A图 1-2 题 1-2 的电路1-3 额定值为1W 、10Ω的电阻器,使用时通过电流的限额是多少? 解:根据功率P = I 2 R A R P I 3160101.===1-4 在图1-3所示三个电路中,已知电珠EL 的额定值都是6V 、50mA ,试问哪个电珠能正常发光?图 1-3 题 1-4 的电路解:图(a )电路,恒压源输出的12V 电压加在电珠EL 两端,其值超过电珠额定值,不能正常发光。
图(b )电路电珠的电阻Ω=Ω==120120506K R .,其值与120Ω电阻相同,因此电珠EL 的电压为6V ,可以正常工作。
图(c )电路,电珠与120Ω电阻并联后,电阻为60Ω,再与120Ω电阻串联,电珠两端的电压为V 4126012060=+⨯小于额定值,电珠不能正常发光。
电工学章节试题及答案第一章电路分析基础1. 电流、电压和电阻的关系是?答案:根据欧姆定律,电流与电压成正比,与电阻成反比。
即 I =U/R,其中 I 表示电流,U 表示电压,R 表示电阻。
2. 并联电路和串联电路的特点和区别是什么?答案:特点:- 并联电路:并联电路中,电流从不同的支路流过,并且在分流点重新汇合。
每个支路的电压相同,总电流等于各支路电流之和。
- 串联电路:串联电路中,电流只有一个路径可以流通,并且在各元件之间依次通过。
各元件之间的电压可以不同,总电压等于各元件电压之和。
区别:- 并联电路:电流分流,电压相同,等效电阻计算使用倒数之和。
- 串联电路:电流不分流,电压相加,等效电阻计算使用直接之和。
3. 如何计算电路中的总电阻?答案:根据欧姆定律,电阻的总和等于各个电阻的直接相加。
如果电路中存在并联电阻,则需要将并联电阻的倒数相加,再取倒数作为总电阻。
4. 什么是电路的节点和支路?答案:电路的节点是指两个或多个元件连接的交汇点,节点是电路中的连接点。
支路是指电路中的路径,通过支路可以完成电流的流通。
5. 如何计算电路中各支路的电流?答案:根据欧姆定律,可以使用基尔霍夫定律来计算电路中各支路的电流。
根据基尔霍夫定律,节点的电流入射等于电流散射,可以建立节点电流方程进行计算。
第二章交流电路分析1. 什么是交流电路?答案:交流电路指的是电路中电压和电流的变化方式是交变的。
交流电路中的电压和电流都是随时间变化的,通常使用正弦函数来描述。
2. 如何计算交流电路中的电压、电流和功率?答案:在交流电路中,电压和电流的大小和相位差可以使用复数形式表示,即使用幅值和相位来描述。
根据欧姆定律和功率公式,可以利用复数运算来计算交流电路中的电压、电流和功率。
3. 什么是交流电路中的阻抗和导纳?答案:交流电路中的阻抗是指电路对交流电的阻碍程度,它与电路中的电阻、电抗和电容有关。
阻抗可以使用复数表示。
导纳是阻抗的倒数,它表示电流通过电路的能力。
上篇: 电工技术第一章: 电路分析基础1.1: 电路的基本概念、定律、分析方法 1.1.1:基本要求(1) 正确理解电压、电流正方向的意义。
(2) 在正确理解电位意义的基础上,求解电路各点电位。
(3) 加强电压源的概念,建立电流源的概念。
(4) 了解电路有载工作、开路与短路的状态,强化额定值概念。
(5) 熟悉电路基本定律并能正确应用之。
(6) 学会分析、计算电路的基本方法 1.1.2: 基本内容 1.1.2.1基本概念1 电压、电流的正方向 在分析计算电路之前,首先在电路图上标注各元件的未知电流和电压的正方向(这些假设的方向,又名参考方向),如图1-1-1所示。
3R I图1-1-1根据这些正方向,应用电路的定理、定律列写方程(方程组),求解后若为正值..,说明假设的方向与实际的方向相同;求解后若为负值..,说明假设的方向与实际方向相反。
对于电路中的某个(些)已知的方向,有两种可能,其一是实际的方向,其二也是正方向,这要看题目本身的说明。
2电路中的电位计算求解电路某点的电位,必须首先确定参考点,令该点电位为零,记为“⊥”, 电路其余各点与之比较,高者为正(电位),低者为负(电位),如图1-1-2所示:U图 1-1-2设C 为参考点,则:c 点的电位: V C =0(V) a 点的电位: V a = +6 (V) b 点的电位: V b =-9 (V)ab 两点间的电压:U ab = V a - V b = (+6)-(-9) =15(V)注·电位具有单值性(参考点一旦设定,某点的电位是唯一的)。
·电位具有相对性(参考点选择不同,某点的电位也不同)。
·任意两点间的电位差叫电压,例如U ab = V a - V b ,显然电压具有单值性和绝对性(与参考点选择无关) 1.1.2.2基本定律 1 欧姆定律(1)一段无源支路(元件)的欧姆定律。
在图1-1-3中,U ab = R ·I (取关联正方向)。
电工学(少学时)张南编第一章答案1-1题~ 1-5题,根据题意,画出电路,通过求解,进一步增强电源、负载、额定值的概念。
1-6:在图 1-63中, d 点为参考点,即其电位 V d =0,求 a 、b 、c 三点的电位 V a 、V b 、V c 。
根据电压降准则:解:根据电位与电压的关系: V a =U ao ,V b =U bo , V c =U co ,求电压需求电流:I3624 60 2(A) 。
I8410 6 230根据电压降准则:V a U ao ( I 8) 36 ( 2 8) 36 20(V) 。
V b U bo I (84 5) 36 ( 34) 36 2(V)V c U co (I 2) (24) 4 2420(V) 。
要求电压:需求电流: 50 20 10 20 3010 20 600.5(A) 。
V aV bU adU bd V c U cd10201-7:在图I) I) 20 50 10 10 (I ) (0.5 10(V) 1-64中,已知 R 1= R 2=5 200.5) 50 50 30 ( 45(V)0.5) 50 35(V),求电位 V a 、V b 、V c 。
解:根据电位与电压的关系: Va Uad, V b U bd , V c U cda 4 10 6图 1-64 题 1-71-8:在图 1-64中, b 为电位器移动触点的引出端。
试问 R 1和 R 2为何值时, b 点电位等于零?解:V b U bo 0 I (R 2 6 2) ( 24) R 2 (24 16)/2 4( ) R 1 10 R 2 10 4 6( )1-9:求图 1-65 中的电压 U abUabab图 1-65 题 1-9解:本题不限方法,首先进行化简。
R中无电流,电压降为零,图 1-65 化简为 图 1-65-1,设参考点 O ,U ab = U ao – U bo ,求 U ao 。
第一章 直流电路1、理想电压源的( b )由外电路决定;理想电流源的( a )由外电路决定。
(a )两端电压 (b )输出电流 (c )两端电压和输出电流 2、图示电路中,提供功率的电源是( b )。
(a)理想电压源(b)理想电流源 (c)理想电压源与理想电流源RU 6VS提示:功率小于零的为提供功率的电源3、图示电路中产生功率的元件是 电流源 。
4、图示电路中,当R 1增加时,电压U 2将( c )。
(a)变大(b)变小(c)不变25.在下图电路中,E =2V , R =1Ω 。
当U 为1V 时,求I 。
解:UR=U-E=1-2=-1V I=UR/R=-1A6、对具有b 条支路n 个结点的电路,应用基尔霍夫电流定律只能得到( n-1 )个独立方程;再应用基尔霍夫电压定律又能得到( b-(n-1) )个独立方程。
7、在图示电路中,E =16V , R 1 = R 2 = R 3 = R 4;Uab = 10V 。
除去理想电压源后U ab =?abU解:(提示:利用叠加原理,分析各个电源在电阻R3除去理想电流源后 (如右图所示) U ab = 16/4=4V则 除去理想电压源后 U ab = 10-4=6V8、图示电路中,已知:U S = 8V ,I S1= 2A ,I S2= 4A ,R 1= 4Ω,R 2= 5Ω,R 3= 6Ω。
用戴维南定理求电流I ,说明电压源是发出还是吸收功率,并计算其数值。
S 2解:断开R 3支路,求开路电压U OCBS 2U OC =U AB = -R 1(I S2-I S1)-R 2I S2= -28V ;再求等效电阻R 0 = R AB = R 1+R 2 = 9Ω画出等效电路U B3S根据等效电路求 A .R R U U I OCS 4230=+-=电压源P = -U S I = -19.2W 发出功率第二章 正弦交流电路1、已知某正弦电压在t =0时为220V ,其初相位为30o ,则它的有效值为( 311.1 )V 。
电工学少学时1-4章课后习题答案第一章电路的基本概念和基本定律11 电路和电路模型电路是电流通过的路径,它由电源、负载、导线和开关等组成。
电路模型是对实际电路的理想化抽象,用理想的电路元件来表示实际电路中的部件。
12 电流和电压的参考方向电流的参考方向是人为假定的电流流动的方向,若实际电流方向与参考方向相同,电流为正值;反之则为负值。
电压的参考方向也是假定的,从高电位指向低电位。
13 电功率和电能电功率表示单位时间内电路所消耗或产生的电能,若功率为正值,说明电路吸收功率;若为负值,则电路释放功率。
电能是功率在时间上的积累。
例 1:在一个电路中,已知电流 I = 2 A,从 a 点流向 b 点,电阻 R =5 Ω,求 a、b 两点间的电压 Uab 及电阻消耗的功率 P。
解:根据欧姆定律 Uab = IR = 2×5 = 10 V电阻消耗的功率 P = I²R = 2²×5 = 20 W例 2:某电路元件两端电压 U =-5 V,电流 I = 3 A,问该元件是吸收还是发出功率?解:元件的功率 P = UI =-5×3 =-15 W,功率为负,说明元件发出功率。
第二章电路的分析方法21 电阻串并联连接的等效变换串联电阻的等效电阻等于各电阻之和;并联电阻的等效电阻的倒数等于各电阻倒数之和。
22 电源的两种模型及其等效变换实际电源可以用电压源和电流源两种模型表示,它们之间可以进行等效变换。
23 支路电流法以支路电流为未知量,依据基尔霍夫定律列出方程组求解。
24 结点电压法选择电路中的一个结点为参考点,其余结点相对于参考点的电压称为结点电压,利用结点电压来求解电路。
例 3:求图中所示电路的等效电阻 Rab。
在此处插入相应的电路图解:先将两个6 Ω 的电阻并联,等效电阻为3 Ω;再与3 Ω 的电阻串联,总电阻为6 Ω;最后与4 Ω 的电阻并联,Rab =24 Ω。
第1章 习题解答(部分)1.5.3 有一直流电源,其额定功率P N =200 W ,额定电压U N =50 V ,内阻只RN =0.5Ω,负载电阻R0可以调节,其电路如图所示。
试求: (1)额定工作状态下的电流及负载电阻, (2)开路状态下的电源端电压,分析 电源的额定值有额定功率P N 。
额定电压U N 和额定电流I N 。
三者间的关系为 P N =U N I N 。
额定电压U N 是指输出额定电流I N 时的端电压,所以额定功率P N 也就是电源额定工作状态下负载所吸收的功率。
解 (1)额定电流 负载电阻 5.12450===N N I U R Ω(2)开路状态下端电压U 0 等于 电源电动势E 。
U 0=E =U N +I N R0=50+4×0.5=52 V1.5.6 一只100V ,8W 的指示灯,现在要接在380V 的电源上,问要串多大阻值的电阻?该电阻应选用多大瓦数的?分析 此题是灯泡和电阻器额定值的应用。
白炽灯电阻值随工作时电压和电流大小而变,但可计算出额定电压下的电阻值。
电阻器的额定值包括电阻值和允许消耗功率。
解 据题给的指示灯额定值可求得额定状态下指示灯电流I N 及电阻只R N串入电阻R 降低指示灯电压,使其在380V 电源上仍保持额定电压U N =110V 工作,故有该电阻工作电流为I N =0.073 A,故额定功率为 可选额定值为3.7k Ω,20 W 的电阻。
,要在12V 的直流电源上使6V ,50 mA 的电珠正常发光,应该采用哪 一个联接电路? 解 要使电珠正常发光,必须保证电珠 获得6V ,50mA 电压与电流。
此时电珠 的电阻值为120506==R Ω。
在图1.03(a)中,电珠和120Ω电阻将12V 电源电压平分,电珠能获得所需的6V 电压和50mA 电流,发光正常。
在图1.03(b)中,电珠与120Ω电阻并联后再串联120Ω电阻。
并联的120Ω电阻产生分流作用,使总电流大于50mA ,串联的120Ω电阻压降大于6V ,电珠电压将低于6V ,电流将小于50mA ,不能正常发光。
电工学(少学时)张南编第一章答案1-1题~1-5题,根据题意,画出电路,通过求解,进一步增强电源、负载、额定值的概念。
1-6:在图1-63中,d 点为参考点,即其电位V d =0,求a 、b 、c 三点的电位V a 、V b 、V c 。
20V图 1-63 题1-6Ω1050VΩ解:根据电位与电压的关系:a ad b bd c cd V U , V U , V U === 要求电压:需求电流: 0.5(A)6030201020102050I ==+++-=。
根据电压降准则:a adb bdc cd V U 10(I)5010(0.5)5045(V)V U 20(I)10(I)5030(0.5)5035(V) V U 20I 200.510(V)==⨯-+=⨯-+===⨯-+⨯-+=⨯-+===⨯=⨯=1-7:在图1-64中,已知R 1= R 2=5Ω,求电位V a 、V b 、V c 。
Ω01图 1-64 题1-7Ω6cΩ4解:根据电位与电压的关系:V a =U ao ,V b =U bo ,V c =U co ,求电压需求电流:2(A)30602610482436I ==+++++=。
根据电压降准则:[]。
20(V )24424)(2)I (U V 。
(V)236)34(36)548(I U V 。
(V)2036)82(368)I (U V co c bo b ao a -=-=-+⨯===+-=+++⨯-===+⨯-=+⨯-==1-8:在图1-64中,b 为电位器移动触点的引出端。
试问R 1和R 2为何值时,b 点电位等于零? 解:)6(410R 10R )4(16)/2(24R 24)(2)6(R I 0U V 2122bo b Ω=-=-=Ω=-=-+++⨯===1-9:求图1-65中的电压U ab图1-65 题1-9Ω6abU R解:本题不限方法,首先进行化简。
R中无电流,电压降为零,图1-65化简为图1-65-1,设参考点O ,U ab = U ao – U bo ,求U ao 。
可用多种方法:图1-65-1Ω6abU (1) 叠加法求U ao ,除源求R ao ; (2) 结点法求U ao ,除源求R ao ; (3) 把电压源转换为电流源,电流源合并,最后把电流源再转换为电压源,如图1-65-2所示。
(4) 用KVL 求回路电流,再用电压降准则求出U ao ,除源求R ao 。
同样,用上面的思路求U bo ,图1-65-2已经是简单电路了,U ab 不难求出。
图 1-65-2Ω2.422VabU1-10:求图1-66中的电压U cd 。
在图1-66的4Ω与6V 的连结处插入点m ,根据电压降准则:cd ca am mb bd ca mb bd am cd U U U U U U 3V; U 6V; U 12V U 4I1266amba I 0.5(A)8412U 30.546(12) 1(V)=+++===-=⨯-===+=+⨯++-=-解: 在回路中 图 1-66 题1-10+-1-11:求图1-67中两个电源的电流以及导线ab 的电流。
1k Ω图1-67 题1-114k23k Ω'解:此题主要为了练习KCL 、及KVL 。
I ab 的正方向是从a 流向b 。
画出各支路电流的实际方向。
1(mA)1)(2I I I 10(mA)91I I I 9(mA)19I 1(mA)369I 5(mA)I I I 2(mA)4212I 3(mA)412I ''2''1ab '2''22'2''2''1'11''1'1=-+=+==+=+====+==+==+===1-12:用支路电流法求图1-68各支路中的电流。
解:在图上标注各支路电流正方向,插入a 、b 、c 、d 四点,选定两个回路(两个网孔),标注回路绕行方向。
图 1-68 题1-12Ω32sΩ10I 2I R R 列a 结点的KCL :321I I I =+ ……………………………(1) 在acba 回路:0)R (I )U ()R (I )R I (111s112133=+-++……(2) 在acda 回路:0)R (I )U ()R (I )R I (212s222233=+-++……(3) 代入各电阻、电源数值。
联立求解(1)(2)(3)方程得:123I 2A, I 3A , I 5A ===。
1-13:求图1-69中开关断开和闭合时的电压U ab 。
20Ω图1-69 题1-1350V3R该题若用结点电压法求解很方便,若用其他方法求解都比结点电压法烦,比较如下:结点法求解:开关断开时:s1s212ab 12U U 5080R R 520U 24(V)1111R R 520⎛⎫-⎛⎫++- ⎪⎪⎝⎭⎝⎭===++开关接通时:s1s212ab 123U U 5080R R 520U 20(V)111111R R R 52020⎛⎫-⎛⎫++- ⎪ ⎪⎝⎭⎝⎭===++++其他方法求解:开关断开时: "ab 'ab ab U U U += U S1作用,U S2除源, 40(V)2020550U 'ab =⨯+=(方向↓) U S2作用,U S1除源, 16(V)552080U "ab =⨯+=(方向↑) 故ab U 40(16)24(V)=+-=开关闭合时:图1-69 改画为图1-69-1Ω20图1-69-13R d在图1-69-1上标注各电流正方向并插入c 、d 两点。
选定两个回路(两个网孔),标注回路绕行方向。
列a 结点的KCL :321I I I =+………………………………(1) 在cbac 回路中:11s1s222(-R )I U U I 0R +++=……………(2) 在dbad 回路中;33s222R I U I 0R ++= …………………(3) 代入各电阻、电源数值,联立求解(1)(2)(3)方程得: 123I 6A , I 5A , I 1A ==-= 故:ab 33U I 12020(V)R ==⨯=1-14:用叠加原理求图1-68中各支路电流。
图 1-68 题1-14Ω32s Ω10I 2I R R解:方法已限定,只能按照叠加原理三步法进行。
第一步:在图1-68中,标注各支路电流的正方向: 第二步:画出两个源单独作用的分图:s1U 作用,s2U 除源分图为1-68-1,在分图1-68-1上求各分电流大小及确定各分电流实际流向。
s2U 作用,s1U 除源分图为1-68-2,在分图1-68-2上求各分电流大小及确定各分电流实际流向。
图 1-68-1Ω3Ω10R R '2I '1I图 1-68-2Ω32sΩ10R R ''1I ''2。
1.0862064.678I 。
3.6620204.678I 。
4.6783(6//20)245I 。
1.68(A)5663.08I 。
1.4(A)5653.08I 。
3.08(A)10(6//5)1070I '1''3''2'2'3'1=+==+==++==+==+==++=第三步:叠加:)()()()(A I I I 208.108.3111=-+=↓''+↑'= )()()()(A I I I 368.468.1222=+-=↑''+↓'= )()()(A I I I 56.34.1333=+=↓''+↓'= 1-15:此题与1-14基本相同,方法已限定,只能按照叠加原理三步法进行。
第一步:待求电流的正方向已经给出,无须假设。
第二步:画出两个源单独作用的分图,在各分图上,求各分电流的大小及确定各分电流实际流向30V 作用,90V 除源:)( 1A I '→= 90V 作用,30V 除源:)( 3A I ''←= 第三步:叠加2(A)3)(1I I I '''-=-+=+= 1-16:用电源变换法求图1-71中的电流I 。
8d图1-71 题1-16解:此题方法已限,尽管元件多,支路多,但可以逐步化简,化简准则见前述。
为了说明方便,在图1-71上标注电阻代号。
(1)R1对6A而言可短接之,6A与R2的并接可变换为电压源。
如图1-71-1所示。
82图1-71-1(2)R2与R3相加,把电压源用电流源换之,R4与20V也用电流源换之,如图1-71-2所示:83Af图1-71-2(3)电流源代数相加,R23与R4并联,如图1-71-3所示:8图1-71-3利用分流公式求出I ':I '=2]20.6224//53=⎡+++⎣()(A )再利用一次分流公式求出I : I=I '440.60.24812==+(A ) 1-17用电源变换法求图1-72中的电压U cdΩ3c +-cdU图1-72 题1-17解:此题与1-16题相似,方法限定,元件多,支路多,使用化简准则逐步化简。
为说明方便,在图上标注元件代号。
(1)处理R 1、R 2及R 3:'123R (R R )//R 2=+=Ω 图1-72变为图1-72-1;Ωc +-cdU图1-72-1(2)把10A 、2Ω及3A 、10Ω两个电流源转换为电压源,如图1-72-2所示:Ωc +-cdU 20V图1-72-2(3)图1-72-2电路,已经变为简单电路,根据KVL : I=8210202030++-+=2030=1.5(A )(4)求cd U :cd 5U I 1.5812R ==⨯=(V ) 1-18 用戴维宁定理求图1-73中电流I O图1-73 题1-18 解:按照等效电源解题三步法:第一步:除待求支路(6Ω)产生a ,b 两点,余者为有源二端网络如图1-73-1所示。
图1-73-1第二步:把有源二端网络等效为电压源[S ab U =U ;o ab R R =],根据化简准则④(电压源除之),图1-73-1变为图1-73-2,把(5A 、3Ω)、(2A 、3Ω)分别化为电压源,合并后如图1-73-3所示。
在图1-73-3中,U ab =15-6=9(V ),R ab =3+3=6(Ω),画出电压源的模型,如图1-73-4所示。
9VI6图1-73-4图1-73-2图1-73-3第三步:接进待求支路(6Ω),求出电流I :9I=0.75(A)6+6= 注:也可以用叠加原理求U ab :''''''''''ab ab ab ab ab U U +U +U +U =1-19:用戴维南定理求图1-74中电流I。