四川大学化工学院2015年硕士研究生招生拟录取名单公示
- 格式:docx
- 大小:33.67 KB
- 文档页数:4
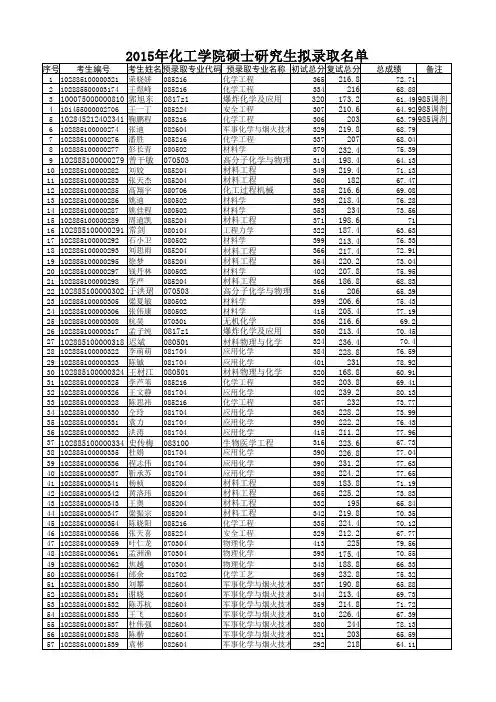
2015年化工学院硕士研究生拟录取名单序号考生编号考生姓名预录取专业代码预录取专业名称初试总分复试总分总成绩备注1102885100000321荣晓娇085216化学工程365216.872.71 2102885500003174王煜峰085216化学工程33421668.88 3100075000000810郭旭东0817z1爆炸化学及应用320173.261.49985调剂4101455000002706王一丁085224安全工程307210.664.92985调剂5102845212402341鞠鹏程085216化学工程30620363.79985调剂6102885100000274张迪082604军事化学与烟火技术329219.868.79 7102885100000276潘胜085216化学工程33720768.04 8102885100000277彭长青080502材料学370232.475.39 9102885100000279曾干敏070503高分子化学与物理314198.464.13 10102885100000282刘姣085204材料工程349219.471.13 11102885100000283张天杰085204材料工程36018267.47 12102885100000285高翔宇080706化工过程机械335216.669.08 13102885100000286姚迪080502材料学393218.476.28 14102885100000287姚佳程080502材料学35323473.56 15102885100000289周道凯085204材料工程371198.671 16102885100000291常剑080104工程力学322187.463.63 17102885100000292石小卫080502材料学399213.476.33 18102885100000293刘思雨085204材料工程366217.472.91 19102885100000295徐梦085204材料工程364220.273.04 20102885100000297钱丹林080502材料学402207.875.95 21102885100000298李严085204材料工程366186.868.83 22102885100000302于洪珺070503高分子化学与物理31620665.39 23102885100000305梁夏敏080502材料学399206.675.43 24102885100000306张伟康080502材料学415205.477.19 25102885100000308杭昊070301无机化学336216.669.2 26102885100000317孟子纯0817z1爆炸化学及应用350213.470.45 27102885100000318迟斌080501材料物理与化学324236.470.4 28102885100000322李萌萌081704应用化学384228.876.59 29102885100000323陈铖081704应用化学40123178.92 30102885100000324王材江080501材料物理与化学320168.860.91 31102885100000325李芦苇085216化学工程352203.869.41 32102885100000326王文静081704应用化学402239.280.13 33102885100000328陈思祎085216化学工程35723273.77 34102885100000330仝玲081704应用化学363228.273.99 35102885100000331袁力081704应用化学390222.276.43 36102885100000332洪涛081704应用化学415211.277.96 37102885100000334史传梅083100生物医学工程316223.667.73 38102885100000335杜娟081704应用化学390226.877.04 39102885100000336程志伟081704应用化学390231.277.63 40102885100000337靳承苏081704应用化学398224.277.65 41102885100000341杨桢085204材料工程389183.871.19 42102885100000342黄洛玮085204材料工程365225.273.83 43102885100000343王奥085204材料工程33219565.84 44102885100000347梁振宗085204材料工程342219.870.35 45102885100000354陈晓阳085216化学工程335224.470.12 46102885100000356张天喜085224安全工程329212.267.77 47102885100000359叶仁龙070304物理化学41322579.56 48102885100000361孟洲渔070304物理化学393175.470.55 49102885100000362焦越070304物理化学343188.866.33 50102885100000364邰余081702化学工艺369232.875.32 51102885100001530刘攀082604军事化学与烟火技术337190.865.88 52102885100001531谢晓082604军事化学与烟火技术344213.469.73 53102885100001532陈苏杭082604军事化学与烟火技术359214.871.72 54102885100001533王飞082604军事化学与烟火技术310226.467.39 55102885100001537杜伟强082604军事化学与烟火技术38024478.13 56102885100001538陈楷082604军事化学与烟火技术32120365.59 57102885100001539袁彬082604军事化学与烟火技术29221864.1158102885100001540郭伟082604军事化学与烟火技术373238.476.55 59102885100001541李婷婷082604军事化学与烟火技术322213.867.15 60102885100001542徐聪082604军事化学与烟火技术353202.469.35 61102885100001544陈泽082604军事化学与烟火技术308208.864.8 62102885100001545陈亮082604军事化学与烟火技术410240.881.31 63102885100001546王嘉鑫082604军事化学与烟火技术293223.264.92 64102885100001547王帅082604军事化学与烟火技术329210.667.56 65102885100001549范晓巍082604军事化学与烟火技术364202.270.64 66102885100001707姚志085204材料工程33921369.08 67102885100001710肖婷婷080502材料学361225.873.43 68102885100001713李翰080502材料学37222474.51 69102885100001716赵小乔080104工程力学370219.273.63 70102885100001722孙琦081704应用化学371243.877.03 71102885100001725高嵩085216化学工程352229.872.88 72102885100001728曾欣081704应用化学354239.274.37 73102885100001729李丹丹081704应用化学401253.481.91 74102885100001730曾晚婷081704应用化学344254.675.23 75102885100001731王乾081704应用化学379229.876.12 76102885100001732黄志达085216化学工程35919769.35 77102885100001733顾焱081704应用化学375241.877.24 78102885100001742凡川085204材料工程377209.673.19 79102885100001752王昊彬085235制药工程340203.867.97 80102885300002160单聪明082604军事化学与烟火技术318163.459.95强军81102885500003191杨超081704应用化学38023677.07 82102885500003238杨昀080502材料学366222.873.63 83102885500003288唐丽娜081702化学工艺366228.674.4 84102885500003408陈秉文085204材料工程352224.472.16 85102885500003419胡传峰081704应用化学398202.674.77 86102885500003499李文海0817z1爆炸化学及应用336202.267.28 87102885500003503赵树芳081704应用化学368222.673.84 88102885500003585梁光芸081704应用化学386222.475.97 89102885500003626程龙085216化学工程34920168.68 90102885500003641王东宇081701化学工程366213.272.35 91102885500003732马泽文085224安全工程349191.667.43 92102885500003747万早雁082604军事化学与烟火技术340203.867.97 93102885500003774张军085224安全工程381213.474.17 94102885500003897李庆勇080502材料学385222.675.88 95102885500003950夏腾飞085216化学工程34518365.8 96102885500004030王昊天085204材料工程34821770.69 97102885500004102张倬涵081704应用化学376220.474.51 98102885500004150王炎083700安全科学与工程39623678.99 99102885500004287张芬085204材料工程359186.867.99 100102885500004288朱炯080502材料学368241.276.32 101102885500004289张啸081704应用化学407216.877.75 102102885500004318李娜娜085216化学工程381208.473.51 103102885500004329刘晓慧085235制药工程342225.671.12 104102885500004335李顺070302分析化学333232.270.92 105102885500004336吴萍085224安全工程423209.878.73 106102885500004379桑圣军080104工程力学350156.862.91 107102885500004392李广超085204材料工程366218.873.09 108102885500004400朱元玉085216化学工程375209.272.89 109102885500004401温彦威085204材料工程389195.672.76 110102885500004402陈星星085204材料工程340214.469.39 111102885500004403汤贝贝085216化学工程384238.877.92 112102885500004451邢翔081705工业催化37923176.28 113102885500004548张继海081701化学工程346228.271.95 114102885500004552詹平085216化学工程36821672.96 115102885500004553田曜恺085216化学工程354236.674.03 116102885500004604颜雯085204材料工程359222.472.73 117102885500004673许永帅081701化学工程36222673.57118102885500004676崔建东085216化学工程377202.872.28 119102885500004710王志强080502材料学383206.873.53 120102885500004711张文文080502材料学39421876.35 121102885500004712邹文秀080502材料学40021676.8 122102885500004715陈镜伊081704应用化学396213.275.95 123102885500004716朱春鸠085204材料工程338217.469.55 124102885500004721陈龙085235制药工程413237.281.19 125102885500004787陈清081704应用化学37823776.96 126102885500004788赵志美081704应用化学380229.876.24 127102885500004789熊华林081704应用化学395216.476.25 128102885500004858周彤080502材料学385238.477.99 129102885500004859宋超然080502材料学374236.276.37 130102885500004861霍长安080502材料学397205.875.08 131102885500004862丁永跃080503材料加工工程39322777.43 132102885500004867张维彦081704应用化学384218.275.17 133102885500004952刘家伟085204材料工程375223.874.84 134102885500004953苗益鸣085204材料工程360197.669.55 135102885500005051胡珊083700安全科学与工程35522172.07 136102885500005052李凯丽083700安全科学与工程37521974.2 137102885500005172毛浩清085224安全工程370235.875.84 138102885500005223王路路085204材料工程350200.268.69 139102885500005227赵多艳081701化学工程343241.273.32 140102885500005229马汉翔085224安全工程345206.468.92 141102885500005365胡小莲085216化学工程376213.273.55 142102885500005433许祝兵081704应用化学39723278.57 143102885500005599余新乐082604军事化学与烟火技术319196.464.47 144102885500005610王明烨083700安全科学与工程350180.266.03 145102885500005660昂秦082604军事化学与烟火技术343198.867.67 146102885500005674陈羽085216化学工程360227.873.57 147102885500005707王素云081701化学工程392231.677.92 148102885500005708赵双飞081704应用化学39919774.15 149102885500005872王美庆085204材料工程346237.673.2 150102885500005910李强085235制药工程34520468.6 151102885500005923刘雪070304物理化学33519165.67 152102885500005977罗闯085216化学工程333193.865.8 153102885500006007梁然081702化学工艺364217.272.64 154102885500006035张帆081704应用化学365226.473.99 155102885500006104刘蓓080502材料学381218.874.89 156102885500006127王阿龙081704应用化学365226.473.99 157102885500006206邓斌081701化学工程391201.673.8 158102885500006272曾毅清085216化学工程354214.871.12 159102885500006290张伟康081701化学工程360236.674.75 160102885500006574谈义萌081704应用化学41123580.65 161102885500006651张玉环085204材料工程37420972.75 162102885500006908刘小琴085224安全工程357184.467.43 163102885500006909余亮085224安全工程335192.265.83 164102885500007094张翔085204材料工程371216.873.43 165102885500007180牛磊085216化学工程341180.665 166102885500007182黄晏峰085224安全工程355192.268.23 167102885500007345罗然085235制药工程368201.471.01 168102885500007370范丽娟081702化学工艺362221.272.93 169102885500007387郭亚婷085216化学工程37121573.19 170102885500007419秦楠081704应用化学37522875.4 171102885500007422赵金钢081704应用化学381225.475.77 172102885500007493张玉婷080502材料学368232.675.17 173102885500007637李诗涵080502材料学355242.274.89 174102885500007643胡江生081704应用化学351240.874.23 175102885500007680黄雪丽081701化学工程385220.675.61 176102885500007690夏勇080502材料学387203.873.61 177102885500007744王福蕾085204材料工程385203.673.35178102885500007745袁凛080502材料学353233.473.48 179102885500007773胡翔宇070303有机化学371197.270.81 180102885500007919仲银085216化学工程334196.666.29 181102885500008051谢康俊070303有机化学38723978.31 182102885500008186李柠芮082604军事化学与烟火技术318193.864 183102885500008202郭齐香082604军事化学与烟火技术366205.671.33 184102885500008271张冬冬0817z1爆炸化学及应用372189.269.87 185102885500008342顾昊085216化学工程385198.472.65 186102885500008395杨超飞085216化学工程332221.869341 187104865203018657李锦坤085216化学工程304209.464.4985调剂188106105081700278廖茂颖085204材料工程319180.262.31985调剂189106995121083203金佳明085204材料工程29822966.29985调剂190102885500003637张秀娟081704应用化学24719856.04少民。
2015年拟录取硕士研究生名单注:1.本拟录取名单分学院按专业排序,根据上级要求,考生姓名和考生编号已做适当隐私保护处理;2.本拟录取名单中含单考、援藏计划、少数民族骨干计划(下注“骨干”),不包括拟录取的推荐免试生;3.备注中所列加分项目均以教育部下发名单为准。
经济学院 - 国际商务(专业学位)姓名考生编号初试成绩复试成绩加权总成绩备注余**10002*****0163838931181.11王**10002*****0162336831878.77刘**10002*****1102137830078.63邓**10002*****0924236831078.09张**10002*****0159437330178.02唐**10002*****0164536530977.58虞**10002*****0160836530877.5路**10002*****0164636330977.30王**10002*****0924137029777.25费**10002*****0161537329277.24朱**10002*****0162436330476.87李**10002*****0163236530076.81余**10002*****0159536130676.76腾**10002*****0160935631076.41李**10002*****0162836030376.37吴**10002*****1079536429476.16王**10002*****0731435530876.1朱**10002*****0160735930176.06王**10002*****0161435830276.00梁**10002*****0164335830175.92刘**10002*****1369035530475.75韩**10002*****0159235829775.57江**10002*****0158035330475.47朱**10002*****1384135629975.46屈**10002*****0162135829575.40刘**10002*****0163035430175.36张**10002*****0744835430175.36宋**10002*****0158635330275.30李**10002*****0161635330175.22邓**10002*****0162935230074.99韩**10002*****0164136128574.96林**10002*****0163135729074.83于**10002*****0834735429174.50吴**10002*****1277635828274.29程**10002*****1500535928074.26于**10002*****0164935029474.2张**10002*****0161935328874.10曹**10002*****0159135028973.77褚**10002*****0159935028573.42赵**10002*****1397635527673.35财政金融学院 - 金融(专业学位)姓名考生编号初试成绩复试成绩加权总成绩备注朱**10002*****0213840530683.57冯**10002*****0737640330282.87李**10002*****0206440928581.65李**10002*****0201042227181.61杨**10002*****0199539929581.59吴**10002*****1552139629781.46张**10002*****0694238730681.41于**10002*****0214240428581.05戴**10002*****0201338830180.96郭**10002*****1430639828880.67覃**10002*****0202638430280.59吴**10002*****0704039229280.41金**10002*****0211939228879.95蓝**10002*****0200039628379.86白**10002*****0206539328679.84董**10002*****0190138429479.68石**10002*****1503239728079.64朱**10002*****0212438529279.57吕**10002*****0926739228479.49蒋**10002*****0189139128579.49刘**10002*****1020039627979.40张**10002*****0210138329279.33陈**10002*****0953239727779.29孙**10002*****1545139527979.28李**10002*****1548439028479.25汪**10002*****0197938828679.24卢**10002*****0213738229279.21董**10002*****0188838328978.98李**10002*****0952539427778.93罗**10002*****0184538628578.89黄**10002*****0195238628378.66吴**10002*****0807738328678.64于**10002*****0194639127778.57冯**10002*****0201538927978.56李**10002*****0197238328578.53张**10002*****1502738728078.44张**10002*****0198539627078.37熊**10002*****1080439926578.16许**10002*****1067038328178.07张**10002*****0209138128378.06李**10002*****1237839826578.04毕**10002*****0200839027378吴**10002*****1323538427977.96卢**10002*****0212638727577.86杨**10002*****1452238727477.75蒋**10002*****0973338028077.6李**10002*****0212338227777.49刘**10002*****1149639526377.45赵**10002*****1105438827077.41李**10002*****0200438727077.29邵**10002*****1492238726977.18廖**10002*****0207338027376.8张**10002*****0953538127176.69张**10002*****1504038127176.69陈**10002*****0208138726476.61卢**10002*****0209638426676.48阮**10002*****0210838126976.46黄**10002*****0185539924876.22任**10002*****1388238726076.15黄**10002*****0185438626076.03潘**10002*****0194038026575.88李**10002*****0188036025071.77骨干谢**10002*****1347933723967.75骨干赵**10002*****0193737831080.78陈**10002*****0185035431578.48卢**10002*****0184937129778.46曾**10002*****0722536330478.30黄**10002*****0195536429677.50郭**10002*****0197735330777.44刘**10002*****0198635930077.36刘**10002*****1554934031376.57孟**10002*****0189535429476.08杨**10002*****0193636827875.93王**10002*****0192134630175.92沈**10002*****0218534630175.92吴**10002*****1430235529075.74蔡**10002*****0219134329875.21张**10002*****0218034928974.90孟**10002*****0865334928974.90严**10002*****1062435528074.6乔**10002*****0758835927374.28林**10002*****0219535327874.13伊**10002*****0193835527473.91赵**10002*****0808134628373.86韦**10002*****0188535227473.55杨**10002*****0853034827673.30王**10002*****1201035426973.22李**10002*****1014434328073.16张**10002*****0202935326472.53宁**10002*****0216533727772.09欧**10002*****0182534027372王**10002*****0861133827471.87袁**10002*****0926233427871.85刘**10002*****0195633527671.74贾**10002*****0693833826670.96陈**10002*****0197135624270.37宁**10002*****0193332227770.29吕**10002*****0217733726170.26刘**10002*****0219632327369.96刘**10002*****0198833925669.93杨**10002*****0199132126668.92王**10002*****0219434423568.13财政金融学院 - 税务(专业学位)姓名考生编号初试成绩复试成绩加权总成绩备注孙**10002*****0222041230183.84贾**10002*****1329041029182.45陈**10002*****1388640129081.26魏**10002*****1504540029081.14谭**10002*****1329140427880.25王**10002*****0220739228679.72齐**10002*****1504239528279.62周**10002*****0222639128579.49林**10002*****0222837030779.48周**10002*****0223539927679.42范**10002*****0788138229379.32王**10002*****0222738029479.2张**10002*****1431838928278.90罗**10002*****0222138728178.55朱**10002*****0223439027778.45宋**10002*****0704639226977.78钟**10002*****0927338327477.27吴**10002*****1349038726776.95葛**10002*****1054138227076.69柯**10002*****1080938126876.34李**10002*****0221537727076.09鲁**10002*****0221737726475.41赵**10002*****1348937726275.18毕**10002*****0223037825874.84马**10002*****0220234125970.52骨干刘**10002*****0237936427575.10王**10002*****0235135927574.50杨**10002*****0234234927172.85张**10002*****0236634926472.05黄**10002*****0224234027171.77陈**10002*****0229332428471.33杨**10002*****0243634026571.08李**10002*****0232033726370.49闫**10002*****0227032527370.2徐**10002*****0234732627069.97薛**10002*****0229532225868.12财政金融学院 - 保险(专业学位)姓名考生编号初试成绩复试成绩加权总成绩备注周**10002*****0244941531585.8郭**10002*****1388739330782.24王**10002*****0244538931082.10孟**10002*****0244839230381.66刘**10002*****0244038829980.73施**10002*****0244638230480.58董**10002*****0244237230879.84张**10002*****0746338429579.79倪**10002*****1504838628779.12范**10002*****0244137228977.66统计学院 - 应用统计(专业学位)姓名考生编号初试成绩复试成绩加权总成绩备注梁**10002*****0816741330684.04刘**10002*****0279941829683.89黎**10002*****1082041130283.42陈**10002*****0278241030183.2张**10002*****0278540329781.87林**10002*****0280440429581.84陈**10002*****0278938931881.71邓**10002*****0280740628681.35吉**10002*****1506138731381.00何**10002*****1506539429680.53金**10002*****0278840427980.47郝**10002*****1493939429480.36李**10002*****0278739129780.19尹**10002*****1506239828580.14李**10002*****0956539029279.62留**10002*****1350640127279.45林**10002*****0956738829279.34赵**10002*****0804338529679.27鞠**10002*****1111238129678.71宋**10002*****0276439327378.42吴**10002*****0868437530278.38白**10002*****0280338627977.95王**10002*****0279338028677.71赵**10002*****0277939026977.65张**10002*****0275437229877.62闫**10002*****1553138527277.21辛**10002*****0828038826476.94贾**10002*****1111037428476.70王**10002*****1110937428376.61何**10002*****0278138626376.58王**10002*****0277837328276.39李**10002*****1228936928876.34韩**10002*****0837237228376.33孙**10002*****0929236529476.3李**10002*****1506938625876.15周**10002*****1110636529075.95熊**10002*****0802037926675.86李**10002*****1586437027575.37李**10002*****0956636827575.09叶**10002*****1432937725974.98胡**10002*****1244436727574.95法学院(专业学位) - 法律(非法学)姓名考生编号初试成绩复试成绩加权总成绩备注范**10002*****1387339429781.22林**10002*****0661638230380.46张**10002*****1334338729780.38陈**10002*****0665237829879.41詹**10002*****1010738728679.12王**10002*****0668838528678.88伍**10002*****1036737929278.85陈**10002*****0666537829278.73李**10002*****0653238128878.63张**10002*****1090238128678.40李**10002*****1423937729078.38朱**10002*****1490037229578.35王**10002*****0945436130678.29陈**10002*****1057336729978.21黄**10002*****0658036430278.19温**10002*****1143438128478.17侯**10002*****0646238028578.17赵**10002*****0660536629978.09魏**10002*****0648036629877.97钟**10002*****0898637229177.89贠**10002*****1293436330077.84宋**10002*****0669137828477.81刘**10002*****0657337728577.81刘**10002*****0875137229077.78王**10002*****1306538028177.71邵**10002*****0659036529677.62林**10002*****0663838028077.6刘**10002*****1049637029077.54兰**10002*****1570737728177.35谢**10002*****1389936729077.18魏**10002*****1142636529076.94任**10002*****1387136329276.93孔**10002*****1567037827676.90张**10002*****0743538526876.82谢**10002*****1405436429076.82王**10002*****1478435529976.77邓**10002*****0691237427976.76唐**10002*****0664035929476.68陈**10002*****0743638726476.61谭**10002*****0655637927276.56王**10002*****1558037327876.53徐**10002*****0646936129076.46刘**10002*****0848335929276.45宋**10002*****0847736428676.36付**10002*****1478536728276.26周**10002*****0658936228776.24史**10002*****0992736228676.12王**10002*****1489835828975.98藏**10002*****1556136328375.90唐**10002*****0663635529175.85施**10002*****1090035529175.85叶**10002*****0665834929775.82李**10002*****0665135928675.76海**10002*****1285537027475.71黄**10002*****0700536727775.69牛**10002*****1333736428075.68祁**10002*****1031935828675.64肖**10002*****0662235528975.62梁**10002*****0655437127275.60梁**10002*****0645137027375.6李**10002*****1164336927475.59王**10002*****1334634629875.57陈**10002*****0647936228175.55李**10002*****0656235928475.53张**10002*****0824235728675.52韩**10002*****0945635528875.51李**10002*****1574636627675.46樊**10002*****1333836028275.42袁**10002*****0992535828475.41郜**10002*****1140335628675.40洪**10002*****1403837626575.40左**10002*****1089935428875.39范**10002*****1333136427775.33陈**10002*****1166736028175.31郭**10002*****0667434829375.24叶**10002*****0651735029075.14张**10002*****1207236627375.12雷**10002*****1272435628375.06黄**10002*****0685036127774.97白**10002*****1426435328574.93亓**10002*****1233536727074.89张**10002*****1026136627174.89孟**10002*****1199735728074.84韩**10002*****1223036227474.75谢**10002*****1187835428274.70孙**10002*****1143635328374.70曾**10002*****1089536227374.64孙**10002*****0992835727874.61兰**10002*****1489934928674.56江**10002*****1051736227274.52周**10002*****1477136127374.52孔**10002*****0760335028474.45赖**10002*****1442335028474.45高**10002*****1028334828674.44宋**10002*****1327534728674.32江**10002*****1406335627674.26尚**10002*****0662735128174.23赵**10002*****0655936127074.17张**10002*****0667535527674.14王**10002*****0653135427774.13臧**10002*****0658235327874.13孙**10002*****0997535028174.11朱**10002*****0786334628574.09王**10002*****0656636027074.05黄**10002*****1478335727374.04胡**10002*****1090435427674.02高**10002*****0822035327774.01刘**10002*****1334735627373.92崔**10002*****0999035127873.89李**10002*****0647835027973.88常**10002*****0668235727173.81陈**10002*****1520835227673.78蒋**10002*****1477934927873.65官**10002*****0982534728073.64蒋**10002*****1396635627073.57徐**10002*****0664535427273.56胡**10002*****0654735327373.56田**10002*****0822435327273.44刘**10002*****1411535227373.44赵**10002*****0970136326173.38靳**10002*****1308135926573.36马**10002*****0653335626873.34石**10002*****0664735227273.32王**10002*****1242834927573.30甄**10002*****0737234827673.30饶**10002*****1050134727773.29连**10002*****0760134527973.28王**10002*****1164135726673.24胡**10002*****0661135227173.21杨**10002*****0713134227672.58骨干马**10002*****0970431926668.68骨干吉**10002*****1488231726468.21骨干法学院(专业学位) - 法律(法学)考生编号初试成绩复试成绩加权总成绩10002*****1481536230878.64 10002*****1336835529376.08 10002*****1335835029075.14 10002*****1026935428474.93 10002*****1167734928774.68 10002*****0670835328174.47 10002*****1145434328874.07 10002*****1480134928073.8810002*****1336934028573.3710002*****0673333429173.3310002*****1069834228273.2610002*****0825034627172.4910002*****1188333927872.4510002*****1145133727872.2110002*****1334933527671.7410002*****1013434126871.5410002*****0673833927071.5310002*****0678833627071.1710002*****0678233027671.1410002*****0680333027270.6810002*****0677833226770.35公共管理学院(专业学位) - 公共管理(专业学位)考生编号初试成绩复试成绩加权总成绩10002*****050412302807810002*****0478920730275.9110002*****0468322926175.6210002*****0473323624775.42提10002*****0466922127375.4提10002*****0496720329774.5410002*****0480221627474.5110002*****0489922126574.4810002*****0504921327674.1410002*****0492019830274.1110002*****0473520728373.7410002*****0492920229173.6510002*****0507121826373.6510002*****049622092737310002*****0505120428172.9110002*****0499022224872.74村10002*****0475320228272.6210002*****0493120228172.51村10002*****0507820128272.4210002*****0486921725372.3110002*****0478820627072.05提10002*****0503719528871.9110002*****0500020427071.6510002*****0502619528571.5710002*****0491319128971.22提10002*****0484620925771.1710002*****0468118130571.05提10002*****0506119727470.7110002*****0505020625770.5710002*****0504819727270.4810002*****0482618329670.4210002*****0509520026670.410002*****0499819727170.3710002*****0479519028370.34提10002*****0481718229670.2210002*****0503320625470.22提10002*****0506319127970.08提10002*****0469718429170.0510002*****0500618928270.0210002*****0488819726769.9110002*****0485520724969.8510002*****0473719327369.8提10002*****0476519526869.62提10002*****0499518828069.610002*****0489318029369.4810002*****0474819925969.4提10002*****0498218927669.3410002*****0478219326869.2210002*****0486218827569.0210002*****0496419226869.0210002*****0484717729469提10002*****0475118527868.7710002*****0476318028668.68提10002*****0503218827268.6810002*****0483817030268.5110002*****0499218228168.5110002*****0478419126368.25提10002*****0476419126268.1410002*****0494619126268.14村10002*****0505419226068.1110002*****0467717728668.0810002*****0502517329368.0810002*****0481118726767.9110002*****0506618527067.8510002*****0510618726567.68提10002*****0499419125767.5710002*****0469318826267.54提10002*****0488918626567.48村10002*****0501419025767.3710002*****0483218127267.2810002*****0494718925667.0510002*****0497017827567.0210002*****0501016629667.02提10002*****050041712876710002*****0489818126866.8210002*****0494118925466.8210002*****0485817428066.810002*****0482817228366.7410002*****0498018326366.65村10002*****0506017827166.5710002*****0492519723766.4810002*****0489619224566.410002*****0486718026265.94提10002*****0487916928165.91提10002*****0492818126065.9110002*****0470617527065.85提10002*****0481419423665.77提10002*****0491118125765.57提10002*****0475416827565.02提10002*****0477016428265.02提10002*****0483716926864.42提10002*****0486617525664.25提10002*****0487816926163.62提10002*****0479116925963.4提10002*****0478116526363.05提10002*****0484116525862.48提10002*****0507317523862.2提10002*****0473216225962提10002*****0471116125861.68提10002*****0475616424060.22提10002*****0512120528873.9110002*****0511419030072.2810002*****0510721325671.85提10002*****0511619825969.210002*****0510321122167.45提10002*****0511519025667.2510002*****0510518526467.17提10002*****051191832666710002*****0512417527165.9710002*****0510218325665.8510002*****0500218425465.8210002*****0468019822965.7710002*****0511116728365.7410002*****0510916728165.5110002*****0486116827865.3710002*****0497516827665.1410002*****0498717625964.810002*****0500816827364.810002*****0512017326464.7710002*****0484016727464.7110002*****0501216727464.7110002*****0473117525964.610002*****0507418524164.5410002*****0502717625364.1110002*****0480816627064.0510002*****0509017026364.0510002*****0488317225763.7710002*****0469217026063.7110002*****0503016327263.6810002*****0489416227363.610002*****0505916626663.610002*****0498517225563.54 10002*****0507216027663.54 10002*****0499617624763.42 10002*****0501816227163.37 10002*****0468216226963.14 10002*****0479916825863.08 10002*****0490716026662.4 10002*****0484916724961.85 10002*****0488716924361.57文学院(专业学位) - 汉语国际教育(专业学位)考生编号初试成绩复试成绩加权总成绩10002*****0326737530479.74 10002*****0994338027877.37 10002*****0959035030476.74 10002*****1229735629676.54 10002*****0978736128776.12 10002*****1047235229475.84 10002*****1182336527975.68 10002*****0733436827575.58 10002*****1153834430075.56 10002*****1169635828275.18 10002*****0326334429675.10 10002*****0325934629274.89 10002*****1182234828874.67 10002*****1572335028474.45 10002*****0733235527574.02 10002*****1119134828273.98 10002*****1572134728373.98 10002*****1022235926973.82 10002*****1083835427473.79 10002*****1596335027773.65 10002*****0799435527173.57 10002*****0794934228273.26 10002*****1119333328972.98 10002*****1067734327872.9310002*****0958834527572.8210002*****1191934826972.50志愿10002*****1117735825872.4410002*****1075133728072.4410002*****0876833328272.1810002*****0727032429172.1310002*****1255734327172.1310002*****0727334426972.0210002*****1181834326971.9010002*****1395634227071.8910002*****0697134326871.7810002*****1342033827371.7610002*****0837634226871.6610002*****0789433727371.6410002*****1059334526471.5710002*****1202233627271.4010002*****0326433327571.3810002*****0995633127771.3710002*****1330232828071.3610002*****0325234326471.3310002*****0727233826971.3010002*****1169733227571.2610002*****0750236024571.210002*****1069933926771.1910002*****0917335025571.1410002*****1375033027671.1410002*****1239035125371.0310002*****1169833926570.9610002*****1118633626870.9410002*****0326533726570.7210002*****1153932427870.6510002*****0858233826370.6110002*****0326832827270.4410002*****0917232827170.3310002*****1452832727270.3210002*****0819633826070.2710002*****1230033925870.1610002*****0784133725869.92 10002*****0998233625869.80 10002*****1343833326169.78 10002*****0862933725669.69 10002*****1575233425869.56 10002*****1549132726569.52 10002*****1047133225969.44 10002*****1051132826069.07 10002*****0733633125668.97 10002*****0726833025768.97 10002*****0917432825868.84 10002*****1308733125068.29文学院(专业学位) - 电影(专业学位)考生编号初试成绩复试成绩加权总成绩10002*****0327939229981.21 10002*****1279438927978.56 10002*****1036235930678.05 10002*****0327437428677.56 10002*****0327336128676.00 10002*****1460234928774.68 10002*****0799734229174.29 10002*****0343634528573.97 10002*****0340335127573.54 10002*****0697432629773.06 10002*****1449532928371.82新闻学院 - 新闻与传播(专业学位)考生编号初试成绩复试成绩加权总成绩10002*****0355740929482.68 10002*****0351040129281.49 10002*****0354239529881.45 10002*****0355040528781.4 10002*****1375838930281.19 10002*****0839639029980.97 10002*****0355540428180.5910002*****0751237830580.21 10002*****0354739228980.06 10002*****1055839029079.94 10002*****0355438229779.78 10002*****0960538529379.68 10002*****0354838329179.21 10002*****1405737929579.19 10002*****1196838328978.98 10002*****0918238328578.53 10002*****0353838228478.29 10002*****0352537728778.04 10002*****1256638727577.86 10002*****0709037828477.81 10002*****0761137628577.69 10002*****1269337927777.13 10002*****0355637128476.97 10002*****0350437428076.88 10002*****1075834525370.31外国语学院(专业学位) - 英语笔译(专业学位)考生编号初试成绩复试成绩加权总成绩10002*****0784335729477.7 10002*****0356636528877.64 10002*****1211436927476.04 10002*****0328234628274.88 10002*****1235437325573.72 10002*****1210636125973.1 10002*****1154834826873.08 10002*****1279835124169.52 10002*****1202636023469.42 10002*****1210234823768.65 10002*****1376035323068.15外国语学院(专业学位) - 英语口译(专业学位)考生编号初试成绩复试成绩加权总成绩10002*****1041940730584.2710002*****1220836429378.25 10002*****0357136528777.5 10002*****1192535728476.27 10002*****1465935027674.42 10002*****1573135526973.92历史学院 - 文物与博物馆(专业学位)考生编号初试成绩复试成绩加权总成绩10002*****0361639630081.15 10002*****0361439330481.07 10002*****1376239030380.57 10002*****0904339130180.54 10002*****1416839828379.97 10002*****1578039029479.8 10002*****1549538429779.21 10002*****1580037829778.37 10002*****1355937929578.34 10002*****0360937629477.84 10002*****1123637029877.34 10002*****1579837828477.26 10002*****0361036030976.88 10002*****1549436430276.84 10002*****0870936629676.61 10002*****1577937228376.33 10002*****1048336928075.66 10002*****1183337327275.53 10002*****1522337227375.48艺术学院 - 美术(专业学位)考生编号初试成绩复试成绩加权总成绩10002*****0370134031278.57 10002*****0368332832078.51 10002*****0371636829278.51 10002*****0371434230677.91 10002*****0369333829375.65 10002*****0370333929075.3210002*****0370032130275.24 10002*****0371233629075.02 10002*****0370534927874.61艺术学院 - 艺术设计(专业学位)考生编号初试成绩复试成绩加权总成绩10002*****0372939331283.87 10002*****0372836629779.02 10002*****0373533828474.37信息学院(专业学位) - 软件工程(专业学位)考生编号初试成绩复试成绩加权总成绩10002*****0374237732180.29 10002*****1546137128776.54 10002*****1016536026973.45 10002*****0379633329571.90 10002*****0379332530171.3 10002*****0734935024870.25 10002*****0379232928270.23 10002*****0378633227770.22 10002*****1330831329469.02 10002*****0374031427467.44 10002*****1037931227266.99 10002*****0858731026566.11 10002*****1124330625164.35 10002*****1124130223061.99 10002*****0962030023361.97商学院(专业学位) - 国际商务(专业学位)考生编号初试成绩复试成绩加权总成绩10002*****1127837530378.47 10002*****1437337430478.41 10002*****0395738129178.28 10002*****1407138627977.95 10002*****1509337329677.5910002*****0894837529177.44 10002*****0790938427477.24 10002*****1453736828976.29 10002*****0394836129175.48 10002*****0395636228675.19 10002*****1331236328375.07 10002*****0392935529675.07 10002*****0392536627474.72 10002*****1361736527474.58 10002*****1011836826974.57 10002*****0394736726974.43 10002*****0394935328974.19 10002*****0395437026074.08 10002*****1376835128873.82 10002*****1158835927473.74 10002*****1509135128273.31 10002*****1317336326073.10 10002*****0393535126972.19商学院(专业学位) - 资产评估(专业学位)考生编号初试成绩复试成绩加权总成绩10002*****0397141530283.98 10002*****1331341127881.36 10002*****1231540628481.18 10002*****0397240128780.74 10002*****0872539927579.43 10002*****0937040027279.31 10002*****1509539327078.16 10002*****1158939027478.08 10002*****0963438128577.76 10002*****1376938926477.08 10002*****0398638826577.03 10002*****0397737528677.01 10002*****0396537129076.79 10002*****0396736929276.68 10002*****0810037627976.5510002*****0397538126576.05 10002*****0397337526775.38 10002*****0753137426675.16 10002*****0991036924372.48 10002*****1356936921470.00商学院(会计) - 会计(专业学位)姓名考生编号初试成绩复试成绩加权总成绩备注许**10002*****0534425130885.4朱**10002*****0534624731485.28周**10002*****0533024731084.82刘**10002*****0522424231584.4王**10002*****0528124530984.31金**10002*****0521124630483.94李**10002*****0533524430683.77姚**10002*****0969624330283.11李**10002*****1304723730782.48卢**10002*****0532224229882.45王**10002*****0535023830582.45刘**10002*****0870123530281.51郭**10002*****0532524428681.48李**10002*****1381823630081.48毕**10002*****0530824129181.45王**10002*****024727981.28许**10002*****0533923629781.14姜**10002*****1518323529480.6钱**10002*****0526624427880.57谢**10002*****0528023828880.51孙**10002*****0531724228080.4李**10002*****0689023728780.2杨**10002*****0870323828079.6花**10002*****0537024226879.02宋**10002*****0532324027178.97陈**10002*****1381423626777.71任**10002*****1381121326673骨干牧**10002*****1077321426272.74骨干曾**10002*****0516420024968.45骨干喻**10002*****0548122929979.97石**10002*****0547321930778.88刘**10002*****0556721830878.8刘**10002*****0546522130278.71陆**10002*****0558521631078.62于**10002*****0556522329778.54王**10002*****023626977.94查**10002*****0556321730277.91王**10002*****0550221929877.85裴**10002*****0548021529977.17柳**10002*****0559320930376.42熊**10002*****0542022627376.4邓**10002*****0551022128176.31连**10002*****0545020231376.17熊**10002*****0548321329275.97贺**10002*****0969722127275.28王**10002*****0540321128975.22吕**10002*****0543721528275.22王**10002*****0551820430175.2孙**10002*****1305820529774.94丁**10002*****0541822226774.91许**10002*****0540620629474.8田**10002*****0552719830874.8李**10002*****0543621028674.68秦**10002*****0559121028674.68王**10002*****1232919830774.68李**10002*****020429474.4郭**10002*****0818320129874.25王**10002*****0548220229574.11姚**10002*****0554619530373.62杨**10002*****0546621626673.6滕**10002*****0553921925873.28韩**10002*****0716119629072.34温**10002*****0556620926772.31王**10002*****0559420227772.05刘**10002*****0552119528871.91徐**10002*****0873121325571.74陈**10002*****0540420726471.57高**10002*****0539719927571.22王**10002*****0545820825971.2杨**10002*****0555420126970.94郭**10002*****0557720326470.77刘**10002*****0540021224870.74张**10002*****0538519527670.54魏**10002*****0554820725570.54左**10002*****0546419827070.45李**10002*****020126470.37村官加分马**10002*****0558019627270.28农业与农村发展学院 - 农村与区域发展(专业学位)考生编号初试成绩复试成绩加权总成绩10002*****0414938431081.5010002*****0414338131381.4910002*****0415237530679.9710002*****1216039727879.4110002*****1275236430077.9610002*****0813436728576.6110002*****0415136628075.9210002*****0742736927675.8210002*****0414835429175.7310002*****1557735628775.5210002*****0711335428575.0510002*****1204935628074.7210002*****1204836227274.5210002*****1498035228274.4610002*****0414635127673.6610002*****1192935127573.5410002*****1438035826573.2410002*****1064334527372.610002*****1204734227672.5810002*****1023934327472.4710002*****0414735525771.9710002*****0414435725371.7510002*****1394135325070.9310002*****1221433726670.8410002*****1543933529373.68援信息资源管理学院 - 图书情报(专业学位)考生编号初试成绩复试成绩加权总成绩10002*****1213023228978.9010002*****0641122530078.21国10002*****0643122529878.04国10002*****0642522429577.55国10002*****0642722928177.51国10002*****0970022528977.2710002*****0642021629976.0210002*****0640222327475.5110002*****0643021129774.69国10002*****0982420830574.6710002*****0642621328974.47国10002*****0642321228774.06国10002*****1518821328273.8710002*****0859520928973.5310002*****0642921227973.38国10002*****0642421227673.12国10002*****0643320528772.43国10002*****1402320927672.4210002*****0640320129572.1810002*****0716320229172.0710002*****0643220428371.85国10002*****0756620827271.8410002*****0640120527671.4910002*****1306219928871.1110002*****0641720527171.0610002*****0870519528970.2710002*****1306319827870.0210002*****1138820126069.1810002*****0641619926268.8910002*****1217220723768.6110002*****0818619425767.29社会与人口学院(专业学位) - 社会工作(专业学位)考生编号初试成绩复试成绩加权总成绩10002*****0424643031587.610002*****0425741832086.7310002*****0424141432186.3610002*****1486642030485.14 10002*****1060741131385.09 10002*****0896141231084.86 10002*****0424541131184.86 10002*****0980540130883.32 10002*****0939039731183.18 10002*****0769840330483.10 10002*****1060539930883.08 10002*****0712041029582.91 10002*****0425538731682.55 10002*****1466340129882.17 10002*****0966040529382.08 10002*****1027941128581.89 10002*****1319941627881.69 10002*****0424339430181.68 10002*****0721540528881.51 10002*****1060839629781.46 10002*****0425039629681.34 10002*****1319039429781.22 10002*****1438939829281.13 10002*****0966239429681.10 10002*****1319238130981.03 10002*****1095439329680.98 10002*****1065138929980.85 10002*****0769740028780.8 10002*****1319740428180.59 10002*****0965939229380.52 10002*****1042739229380.52 10002*****0425438530080.48 10002*****1580639129380.40 10002*****1132640427980.36 10002*****0905738629580.03 10002*****1318740327780.01 10002*****0974838129979.89 10002*****1160538030079.88 10002*****0742939428579.85 10002*****0423938729079.58。
姓名考生编号艾毕颖旻105425431502169艾红娥105425105420163艾斯百仁105425432602527安炜成105425431504515白帆105425115405828白蛟蛟105425431205674包俊105425105420214包兴平105425431204979毕璐105425431907755毕水华105425431205368毕玉祥105425501100772边奇峰105425140905182卞春燕105425105420241宾津佑105425432105155邴军104865105014199伯桂欢105425130503132彩广畏104875000136140蔡广庆105425431500216蔡虹瑛105425431502731蔡姣105425432304212蔡静105425431204028蔡乐黎105425431506263蔡渠105425432702993蔡人杰105425432602606蔡诗婷105425105420291蔡婷105425431900558蔡微娜105425330208148蔡薇薇105335430400567蔡轩105425431503683蔡雅薇105425431506452蔡亚玲105425105420300蔡英桂144305100000471曹畅105425431502732曹丹丹105425430602722曹滴105425105420018曹海娜105425431203069曹华鹃105425431502428曹金果100275219060079曹竞婧105425105420082曹康莉105425410501012曹蕾105425431204984曹立辉105425432306385曹丽娟105425432402937曹梦月105425431504585曹茜105425360203644曹茜105335431000879曹倩倩105425360104942曹素105425431507871曹轩105425431502099曹艳青105425431507628曹艺璇105425431501871曹钰萤105425431205612曹正龙105425432402458曹之艺105425432902232柴林典105425105420223昌幸105425431805880常广104975400339692常密朵121215000003784常艳梅105425361004770车亚兰105425431206945陈斌105425431207423陈兵105425431502430陈超105335431201248陈超萍105425360700566陈晨105425430706308陈晨105425105890229陈出新105425105420140陈楚芬105425431708024陈春香105425105420067陈春艳105745000001370陈从俊105425341202768陈达倩105425431401106陈迪105425431402164陈芳105425431504565陈福宗105425431206305陈国英105425431500503陈昊105425430803214陈浩105425431500188陈红105425430702638陈红秀105425342202308陈洪雨105425411604961陈虹帆105425431506468陈虹屹105425105420159陈怀玉104875000134984陈慧105425330203319陈慧105425431203005陈吉清105425431203601陈佳105425432200359陈佳佳105425105420068陈佳佳105425351207185陈佳月105425370602910陈家威105425432500710陈江川105425431200004陈江俊105425431203204陈洁105425430501081陈晋茹105425141503140陈娟105425411606644陈君兰105425422102266陈轲105425431507698陈可人105425370606151陈磊105425432404214陈冷昕105425431500166陈立105425431507674陈林希105425431507647陈林霄105425431204785陈玲平105425105420187陈龙105425431507660陈炉105425431505131陈璐105425431205375陈孟琪105425105420017陈苗苗105425431205473陈明亮105425360704376陈盼105425432202218陈培瑶105425431205548陈启航105425411600764陈茜105425431702877陈巧105425432308088陈日球105425431502108陈容105425432700728陈锐105425431205381陈珊105425141505739陈绍鹏103585210002505陈淑娟105425360703025陈帅105425340106138陈思思105425421605264陈思瑶105425432308381陈思语900025431500852陈松105425410505068陈婷105425105420110陈童105425431507251陈暾105425431502343陈拓青105425432002594陈婉玲105425361000568陈维105425372506642陈维伟105425431204541陈伟105425432900796陈伟105425431000111陈娓迪105425431207301陈文杰105425431503446陈文婧105425431207001陈希文105425431205699陈曦105425430804145陈小娟105425410602913陈小燕100025110010176陈晓105425321105197陈晓丹105425501304447陈晓根105425360104944陈晓妹105425431500467陈晓萍105425501606778陈昕彤105425431500242陈秀晶102005211204581陈雪玮105425431205466陈雅婷105425431502168陈雅萱105425432202518陈亚105425431500663陈亚东105425510900437陈娅诺105425460406597陈彦玢105425431507972陈彦停105425410500758陈艳琳105425431205690陈艳琴105425431200020陈一萍105425431204981陈怡珊105425431205640陈奕奕102805210002214陈溢砚105425432302957陈颖105425410503972陈颖105425431205461陈勇105425431207534陈勇治105425431500209陈予晴105425432102516陈予仁105425431207450陈宇迪105425105420077陈宇霖103355000911758陈羽彪105425431305858陈玉婷105425431803013陈园105425340804940陈月105425105420087陈云芳105425432605896陈珍珍105425431501232陈正旭105425431503092陈志刚105425360203024陈志武106315020831065陈智105425431503252陈卓君105425105420076陈祖龙105425520805843谌珺105425105420078谌叶105425431200582成畅105425431804921成红阳105425130205730成锦105425105420105成静105425431507718成康105425431205936成文超105425370808383成希楠105425431303667成依明105425105420218成怡105425105420073程丹105425410705786程东105425432703299程汉华105425342204059程俊105425431604748程立敬105425341206751程露105425422404430程敏105425460405841程石婧105425105420157程伟利105425431506665仇诗雪105425431502698褚明辉105425371402322崔玲玉105425431203032崔露露105425431403224崔阳阳105425412201491崔媛105115115447879代亚105425431000109戴常婷105425104030134戴初凤105335360702283戴红梅105425321405805戴佳利105425431805727戴皎皎105425360604375戴莉105425105420266戴娜105425432101893戴婉璘105425431504632戴玮杰105425431501764戴秀秀105425341204370邓佳105425430906367邓江105425432605020邓俊杰105425432602717邓丽燕105425432702763邓梁一秀105425431207243邓璐瑶105425432501640邓梦珊105425432203486邓倩105425431207843邓杉文奇105425431205111邓珊珊105425432306330邓绍阳105425431500133邓思105555431501229邓婷婷105425431203360邓伟105425431506018邓蔚105425500408215邓文105425431000112邓西平105425105420063邓小琴105425360702906邓雪婧105425460404445邓亚兰105425431800906邓毅105425432700719邓英竹105425501604012邓颖杰105425431207526丁娣105425100650111丁浩东105425432702415丁娇105325432312395丁久洪105425432100525丁俊105335432501904丁孟105425220605044丁上105425431205941丁新宇105425106630015丁杨105425432905901丁怡丹105425431206352董思汝105425511906400董婉琼105425361003618董湘宁105425370100995董晓捷105425410406764董亚龙105425431207329董亚南105425140907273董之然105425105420042窦同宇105425372305231杜铭105425411606169杜旭105425142005734杜艳艳105425361002313段风博105425421902265段会莲105425431200803段家充105425130305738段琳105425430607073段满敏105425140903795段伟豪105425431205669段雄105425432407856段钰婷105425431207553段云祥105325430805257凡娟105425430707077凡艳亭105425410704902樊方方105425141003315樊雯雯105425105420176范冲105425431302852范玲玲105425432106505范璞105205670600539范榕轩105425431205475范瑞105425421908191范时斌105425431502003范学君105425410507061范怡鸣115355431600530范迎105425431302562范云霞105425140904172方卉105425431205604方璐105425431806485方民105425431507676方倩105425430802950方友辉105425431205471方圆105425431207502方子玉105425432106504冯灿105425105420135冯楚105425411802778冯静105425131802235冯磊105425432102991冯娜105425142003316冯琴105425431200005冯婷婷105425412307205冯雯105425231006543冯新建102005211204460冯宇晴105425431500163冯运文105425141303058冯宙强105425431505867扶乐婷105425432501901符刚105425431507702符蓉105425431502182符文105425430703008符洋105425432902375符玉玲105425510607226付冰婵105425422201818付成杰100555333307136付飞亚100075000005301付丽霞105425432506807付伟男105425431500858付原庆101455000006443傅玲燕105425431506343傅小利105425360805909甘蕾105425431902293高安超105425530202831高畅105425422102828高冬冬105425341204371高景玉105425411707202高梦翘105425411405078高树平105425371102774高思105425105420151高威105425370803955高兴105425431502577高焱105425432504332高瑶105425530900779高宇105425431206852高宇驰105425142000971高玉静105425460302272戈星105425130204343葛芬105325432009283葛书龄105425105420236葛玮105425115403130葛亚杰105425105420040葛莹105425130500941耿恬105425431706265龚成105425431205849龚兰105425431504726龚丽105425432304095龚攀105425431200612龚晔颖105425431502794龚勇强105585800108999龚酉105425410406342龚玉婷105425105420117龚珍105425432408100巩莉105425140906979苟艳105425511702273谷安玉105425431607724谷萧105425431501210谷鑫星105425432703499谷晔雨105425432906742顾超105425431800680关涛105425430502477关毅105425430602554管艳匠105425620604021管源颖105425431506023桂丹妮105325431308375郭超105425432404323郭程105425105420133郭丛玮105425431507872郭丹103845214312016郭芬105325431506412郭鹤龄105555432502189郭鹤阳105425104030136郭佳105425431205590郭剑105425431507870郭丽君105425411204903郭柃妤105425431501166郭念舟105425105420123郭宁105425614306210郭琦105425431503093郭巧105425431504273郭庆斌105425370605221郭书香105425430906901郭卫参105425412308186郭小燕105425410504398郭妍105425370102248郭妍105425420501504郭艳105425431207394郭艳艳105425432100520郭雁飞105425142004759郭阳105425432201302郭逸鸣105425361002941郭宇105425372503750郭真105425370402973郭振宇105425431506315郭忠媛105425231107851韩虹105595210008739韩林树105425120706101韩明丽105425372500570韩伟105425370901002韩小月105425105420161郝鹏波105425410705070郝垚丽105425410703163何波105425360703060何丰威105425432302599何凤英105425432503718何皓105425431700312何惠105425501100770何晶晶105425432403491何晶晶105425431207473何骏105425430305750何莉莉105425441202268何丽娜105425430704163何伶俐105425421808319何玲105425113308394何羚凤105425511002928何蒙105325431207026何梦君105425431505972何其辉105425431502290何舒岑100025612106494何婷105425105420194何威105425360700747何微105425432703055何纤105425360103745何香艳105425431402288何湘国105425442008322何湘琼105425105420168何翔105425431200062何小院105425432503723何晓芳105425511108270何欣辰105425431506028何幸105425105420071何宣利105425520102332何雅静105425360103532何亚105425430502944何燕婷105425431207606何艺105425432700534何英105425431205705何迎风105425431504511何颖瑶105335430400630何永涛105425411601031何昱坤105425105420206何岳辉105425440404435何珍105425431501206和慧媛105425430207919贺安康105425431802888贺辰衎105425432801904贺春林105425431501170贺聪105425105420269贺瑾105425431205411贺敬飞105425370101444贺莉莎105425431502444贺玲玲105425431204190贺明105585510111216贺宁宁101455000004226贺莎莎105425431703262贺诗琴105425431503088贺娅105425441103807贺焰105425432308096贺业鹏105425431206216贺叶琴105325432108546贺稚杨105425431503229贺紫贤105425431506009洪航105425431905006洪思思105425360303059洪志祥105425431401105侯佳美105425431502727侯岚105425410503753侯力丹105425431507124侯荣荣105425410506559侯文丽105425360704947侯玺105425430707923侯小康105425431501798侯雪梅105425432703126侯银梦144305076000056侯玉莹105425371402623侯苑岳105425105420260侯政105425106940014侯志鹏105335430207395侯宗延105425105420217后文其105425340200740候晓杰105425105420170胡聪105425411401738胡丹丹105425431803105胡二曼105425411305075胡龚前105425431204547胡海芸105425431503043胡贺兰105425141503932胡纪功105425411303405胡嘉丽105425105420173胡建105425340801735胡洁105425441502781胡金萍105425432305159胡静105425105420052胡静105425430504113胡丽琛105425105420149胡丽娟105425431204737胡丽玲105425105420296胡梦琪105425431000117胡梦瑶105205670610423胡敏祺105425431205285胡培培105425431205433胡巧琳105425431507975胡琼105425431903702胡琼蕊105425430506688胡若璇105425431208236胡述鹏103845214321017胡硕105425370101445胡思圆105425432707813胡文105425105420204胡铣105425105420167胡霞105425430902558胡霞105425432103478胡弦105425431404474胡湘君105425431205697胡艳晖105425431504488胡洋105425105420056胡耀躲105425432302402胡轶群105425105420267胡益高105425432900417胡勇105425432102401胡钰敏103585210001248胡煜豪100435151111721胡紫薇105425105420114胡遵105425431700308华明权105425360102311华夏105425431207240皇甫仁秀105425432401320黄炳珠103195320804126黄灿105425431508340黄辰惠100275219100219黄传祥105425431502792黄丹105425620104112黄东105325430309468黄凡105425411701036黄凡105335431000903黄芳105425104030132黄桂姣105425450206649黄华105425432903730黄华丽105425105420181黄继生105425422202919黄嘉怡105425431203422黄江媚105425105420104黄瑾105425431205589黄晶晶105425440706828黄立萍105425432502714黄丽娟105325431203448黄丽俐105425431203848黄丽玲105425432601663黄玲105425360103744黄玲玲105425431202834黄柳柳105425106020301黄曼105425410501013黄美瑶105425441504000黄梦帆105425413102917黄梦竹105425431205425黄明畅105425231104764黄茗湘105425450202270黄南艳105425432608109黄佩琦105335431201308黄萍105425530208328黄琦105425431807742黄强105325431206253黄琼105425412204417黄蓉105425510603591黄蓉105425432006723黄石锋105425442004772黄世瑾105425431502790黄世智105425450802976黄水波105325430502530黄显亮105425421106178黄向琴105425431808036黄小玢105425431507685黄小娟105425431204985黄小妹105425430705295黄小圆105425431507962黄新105425500701058黄兴星105425431503038黄杏清105425450804774黄璇105425105420152黄雅倩105425432408425黄雅婷105425431503243黄妍君105335432003807黄燕105425431406904黄燕进105425431207531黄尧105425431803104黄瑶105425432708428黄瑶105425420501505黄宜宜105325431511373黄益105425431205559黄胤105425340600742黄永浩105425450804773黄玉莹105425105420050黄昱芸105425431507375黄煜婷105745000002053黄悦欣105425431202546黄越竹105425441500576黄召凤105425372301004黄兆楠105425431205798黄振105425431200033黄竹丽105425431206353霍烈105425431904810吉毅105425430504742季梦娜105325321109736冀奋勇105425140905829贾红琳105425431502747贾佳105325430305155贾江平105425142004761贾荣果105425410404396江碧波105425140101377江克瑞105425371300751江莉君105425105420253江丽105425432602138江明杨105425430804744江娜105425432402129江世昕105425410501011江未来105425521102417江悦滢105425430907083江喆105425105370180江梓豪105425105420005姜沣珊105425105420107姜洁燕105425620100549姜娟娟105425431806242姜雁105425431205404蒋成钰105425105420254蒋菲144305113000128蒋恒105425432500385蒋将105425432601334蒋静105425422206180蒋乐105425421900598蒋莉芬105425431502728蒋俐萍105425431200461蒋明慧105425431204540蒋倩105425430805820蒋蕊蔓105425105420225蒋婷婷105425411704908蒋卫105425431307827蒋筱娜105425105420084蒋星宇105425431205581蒋亚丽105425432101892蒋彦105425341001420蒋伊琳105425105420096蒋云英105425105600022蒋庄105425431501222揭鹏105425431602588解金柯105425410300756金赐105425432601902金戈105425432402809金梦珂103355000912225金星105325422101959金则徐105425360108155金泽家105335431901618靳晓瑞103845214312019荆赟智105425430707862居妮105425430703212瞿欧玲105425431207300瞿晓芳105425105420262瞿心兰105425130603509瞿友元105425360204373康飞枭105425431202079康文倩105425431708408康秀芝105425432104924柯飞燕105425422104425孔超兰105425431802880孔丹竹105425431506951孔辉105425431403668孔小敏105425431500851孔颖妮105325430709492匡斌105425422205088匡斌105425431207498匡靓靓105425431807748匡平萍105425421908194匡伊慧105325612709326匡钰瑶105335431000982邝桂萍105425411601028况倩倩105425321706545旷岳峰105425431205600赖彦105425361005058蓝宇枫105425360105316蓝志清105425640102391乐杨桦105425105420299雷碧洋105425105420124雷光花105425142003141雷佳豪105325430308103雷洁105425431506372雷蕾105425360903645雷蕾105425105420081雷鹏105425105420162雷强105425105420208雷舒琴105425430806900雷涛105425431401743雷天昊105425431207493雷习琼105425432106969雷颜瑛105425431900519雷奕璐105425431407247冷爱玲105425432502460冷雅妮105425101400065黎茶林105425360106390黎洁媛105425431901278黎明月105425360104060黎深莲105425431204240黎燚隆105425310602304李白佳105425460308418李佰元105425431200023李斌105425431207888李兵105425431500553李博105425430708332李超105425431806241李超男105425431906916李铖105425141102766李春105425431205107李从然105425511403627李聪105425430804194李达105425431904752李娣105425431500793李冬珍105425350305213李栋105425411303833李帆影105425431506004李芳105425460406651李芬105425360800427李扶桑105425104100172李改改105115115447839李广花105425431207422李国峰105325432903544李海霞105425432700533李豪105425432608104李洪吉106315020490326李洪晔105425360907280李慧105425105420146李季宏105425432000692李佳105585330105231李佳曦105425431507649李江华105425130206810李姣105425432400702李姣105335431103776李佼105425105930248李金龙106145081208116李金晴105425141004757李晶105425360202814李晶晶105425370604389李静芳105425432108083李军山105585800108795李凯华105425431502863李凯莉102885500007226李康104975400338537李可欣105425431501238李雷105425431207403李蕾105425501101940李莉105425105420196李莉凤105425422001047李礼壹105425431505800李霖105425431206304李玲105425360700991李玲105425370800428李龙山105425430706307李梦霞105425431204077李敏105425431506322李敏敏105585120103783李明105425431207431李牧翰105425410402465李娜105425431202157李娜105425431200783李南105425431700305李宁105425431206612李攀105425411602826李配105325431802103李奇恩105425431804291李迁105425106940106李谦105425431503077李茜105425431205377李茜子105425105420102李倩105425430208387李倩105425341006750李倩玉105425410706765李倩玉105425430702844李强105425431500831李青105425431506956李秋芳105425104460191李秋霞105425431800315李荣荣105425141005184李若彬105425411602915李赛105425431205121李赛105425432007047李珊105425432705030李尚升105425410703061李少航105425432906337李绍合105425431200632李声豪105425431702365李淑华105425411107286李淑娴105425431203847李思达105425105420256李思婷105425431802881李躺105425432501744李涛利105425431205104李甜105425130806533李甜105425431506026李婷105425105420072李婷105425432308397李婷105425431500493李维105425441500769李伟杰105425413103762李炜琪105335421910587李文105425431806910李喜105425431707741李霞105425432302220李晓迪105425371402974李晓玲105425411403171李晓梅105425371302251李肖杰105425431207474李欣105425431507112李鑫105425430700637李鑫尧105425432302404李旭105325431209523李雪105425370104949李雪妍105425340106139李雅倩105425431804999李雅婷105425431207448李亚105325430308345李亚杰105425411605081李亚蕾105425431706042李妍昀105425432405772李彦秋105425342904941李艳锋105425431802934李艳君105325410505341李艳梅105425431504201李艳梅105425360104898李燕105335431000976李阳光105425431803269李尧105425431508406李伊105425360102244李溢105425431200580李懿105425432805725李盈盈105425460401545李莹105425613302628李泳庆105425441106187李有斌105425231004763李有琴105425431500590李宇星105425432701341李玉燕105335430400528李昱莹105425432406516李钰105425501702925李原伶105425105420293李袁105425431806914李缘105425430701831李璋奇105425620803066李贞104225510095206李珍105425432004304李振105425105420158李郑105425411604105李志飞105425431204464李志鹏105425431202421李志强105425370902250李智强105425431206355李宗幸105425460405840利媛媛100275219090068廉明静105425231004098梁彬105335431201251梁陈思胜105425431200026梁楚榆105425440406583梁丹夫104875000138163梁国璀105425431902513梁花105425432407783梁蕙105425431207504梁晶晶105425432302958梁静琳105425431205412梁茜薇105425520107296梁蓉105425105420093梁言105425431507881梁瑶105425105420263梁贻婷105425370706154梁雨雯105425106020116梁玉峰105425130602298廖朝霞105425431502797廖晨芳105425431204193廖凤韵105425422500827廖新105425431803102廖雪105425430505742廖雪辉105425370100569廖艳伟105425421802996廖志丹105425105420019林伯稳106105071000539林楚婕105425105360277林欢105425432908468林卷容105425431500886林军卓105425340800983林丽颖105425411407288林玲凤105425350108413林梦璐105425450806596林妮107185360104289林宁105425432402712林燕永105425431808048林益贤105425350501714林泽涛105425440804439蔺代标105425530902832凌晨105425431902347凌欢瑛105425430903073凌昀105325430805775刘佰慧105425231804936刘贝105425431207533刘备105425431701673刘彪105425431502342刘彬毅105425432806740刘斌105425105370021刘斌105335430806340刘博煜105425431100121刘晨105425360702247刘晨105425120405804刘成城105425432402602刘成文105425431202336刘楚105425440401052刘春梅105325431010254刘翠微105325430701775刘丹105425431206999刘丹丹105425410705248刘东明105595210002899刘盾105425431207238刘多105335430500825刘恩泽105425432906387刘芳105425431507630刘付娉婷105425431502875刘伽105425431207593刘高翔105425105420034刘鸽105425432503719刘广105425431204741刘贵丽105425431207459刘贵平105425501603349刘贵艳105425431506950刘海涛105335530402647刘浩然105425431207566刘洪媛105425105420264刘桦105425411406931刘欢105425432702939刘辉105425431906227刘辉105425431207421刘慧105425431806632刘慧105425422200767刘伋105425431504662刘吉105425432103017刘继贺105425432102992刘霁105595210004987刘佳105425431205366刘佳音105425430906426刘嘉105425360205833刘嘉莉105425431206357刘嘉莹105425431502705刘健光105425431503042刘杰105425431205451刘婕雯105425450803808刘金格105425431502651刘金龙105425105370272刘静105425501205914刘静茹105335430403079刘娟105425431204244刘俊东800005010101069刘康105425442008323刘浪琴105425105420239刘雷亮105425105420222刘蕾105425220602284刘莉107015143185916刘李105425107320032刘丽艳105425431304255刘亮明105425431501864刘林105425214605043刘林平105335421404831刘玲玲105425340806815刘玲香105425410504956刘璐105425431808292刘璐105425431205686刘璐瑶105425105420028刘茂105425431501705刘梅105425360804381刘美105425432306510刘梦瑶105425105420039刘梦宇105425431502177刘苗105425431200039刘敏105425440707840刘敏敏105425411402914刘敏强105425431205939刘明105425105420126刘沫105335430400598刘盼倩105425360901440刘飘也105425430506898刘萍105425431502646刘奇105425431205331刘琴105425431501953刘沁娜105425141202663刘沁沁105425105420258刘青105425432701664刘庆105425142000563刘琼英105425105420186刘秋香105425360700565刘溶105425371308169刘蓉105425421908192刘赛姣105425432308409刘姗105425431505975刘珊105425432105729刘闪闪105425412904962刘帅105425231602535刘双105425431504257刘思105335431501434刘素均105425431205493刘弢105425431607721刘湉105325430307148刘廷媛105425432906878刘婷105425432901713刘婷婷105425360108306刘统华105425360804768刘薇薇105115115447799刘为顺105425370705062刘维105425105380112刘伟105425360808452刘伟荣105425431201067刘文105425431902294刘文邦103845214315041刘文娟105425411405079刘文路105425370802773刘文文105425321903396刘文烨102855212510522刘雯105425431607731刘曦穗105425431806486刘湘瑜105425500705795刘祥105425431502733刘向荣105425431206407刘小芳105425431504563刘小可105425432902615刘小倩105425432705343刘小雪105425105420185刘晓105425421600544刘晓菲105425142004352刘晓涵105425110602534刘晓玲105425431507720刘晓彤105425360103320刘笑105425370600998刘笑寒105425431205646刘欣105425105930230刘馨仪105425431205434刘星105425430500874刘轩105425105420013刘雅玲105425431200069刘雅文105425360704946刘亚兰105425431804922刘亚男105425411600542刘亚南105425370604390刘艳105425431208474刘燕105425421102918刘洋100535014040106刘洋105425432503911刘洋105325430905263刘洋105425105420201刘洋105335430400753刘也驰105425431504268刘一璐105425431504552刘一鸣105425210706258刘祎妮105425611407297刘祎霞105425430907303刘羿105425432900795刘翊龙105425450304441刘翌姝105425500204232刘逸105425431207462刘垠君105425432507800刘银春105425431608020刘莹105425430807079刘颖105425140101378刘永105425410704957刘永浪105425440406348刘雨潇105425431503842刘禹105335422408642刘玉嫚105425410203962刘玉萍105425105420119刘育育105425372506556刘钰105425432300592刘沅105425422104866刘月105425430902559刘悦105425131102901刘芸105425421800765刘兆涵105425431204070刘哲英105425431202835刘铮凯105425431200065刘铮扬105425431202339刘智明105425460403771刘朱东105425430702947刘子莹105425370803542柳芳105425431907262柳菲菲105425411403801柳倩妮105425432406074龙海涛105425105420195龙际群105425431502566龙嘉佳105425431502578龙洁105425431206360龙娟105425432507793龙乐群105425105370130龙盼盼105425431507039龙萍105425431508463龙赛105425431205383龙显辉105425430902726龙响105425431207399龙艳105425370103157龙玉航105425431202341龙悦105425613904879龙云105425432106384龙贞亦105425431200043卢斌105425105420109卢坤兰105425431204237卢龙生103845213701113卢燊105425432901808卢天祥105425360804769卢巷文104865113016788芦飞106995114123074芦梦105425431501217鲁玲雅105425360702907鲁思宇105425431505335鲁璇溦105425120401369陆佳黛105425431200077陆璐105425431206363陆小芳105425432607809陆燕105425431205565陆玉婷105425431204543路露105425431203200路瑶105425431205819闾衣105425430903071吕朝露105425105420171吕丹105425432705174吕定红105335430508682吕凤丽105425342905313吕建平105425432504330吕江林105425430602555吕梅106985431207643吕姗105425431800517吕媛105425431207003吕喆105335430400114吕志洋105425211306637罗炳玲105425412701985罗宸彦105425350503153罗丹丹104975400337477罗丹锋105425411704415罗方菲105425431207348罗丰105425431501133罗赣湘105425431807743罗河兰105425431506021罗焕105585330105305罗慧舟105425431800683罗杰英105555431501261罗洁105425431200027罗静105425370703798罗黎明105425432402054罗玲慧105425431200079罗璐105425432904220罗曼斯105425360706754罗萌105425231801404罗南105425432307779罗鹏105425360905217罗琪105425105420169罗倩105325431510619罗倩105425431504789罗倩雯105425432302893罗思伟105425431508005罗苏105425431205626罗涛105425432702961罗婷105425431506955罗婷105425432102935罗威105425432004093罗午洋105425432506332罗小立105425431205450罗孝宇107305021801291罗旭105325432408421罗亚丽105425620600578罗瑶105425104100016罗熠105425105420138罗翼105425431802590罗莹105425431205946罗禹105425431206220骆礼林105425520107023马超105425432700595马过105425411103554马吉图105585330105201马婧105425611405101马静105425431208488马娟105425371400540马君105425511707228马令华105425431902592马璞玉105425431200049马清蓉105425431503822马瑞雪106525351010850马苏苏105425431204075马涛105425431200001马翔105425460403588马晓楠105425432807169马欣105325432909679马艳红105425370304951马艳茹105425431205459马媖105425105420257马子雯105425431507031毛桂惠105425432502657毛璟玲105425432102216毛善检105425432605021毛鑫鑫105425432106500毛玉环105425105420298毛庄文105425430703009梅芮105425431207342孟贝105425104750103孟嫦誉105425105420233孟海云105425340406389孟至恒105425620606893孟紫为105425432702810闵婕105425105420252莫慧敏105425231803739莫梦萍105425431804891牟海频105425431200052穆丽思105425431203034倪丽丽105425105420026聂海105325430309846聂盼105425360706984聂婷婷105425431206836聂媛媛105425105420062聂紫彤105425115406100宁剑秋105425431500248宁宁105425431208484宁艳玲105425106020153宁贻崇105425430905332牛保秀105425141500958牛丽娟105425410804851牛新媛105425410204843欧巧105425431003666欧沭杰105335430400317欧天颖105425431502752欧万珍105425431207612欧欣105425105420295欧阳杰105425431500270欧阳进105425431007625欧阳婧105425450602626欧阳凯铃105425431202549欧阳璐105425431507999欧阳佩105425431507864欧阳群英105425105420058欧阳唯一105425431203781欧阳祎105425431206781欧喆105425101090189潘海玲105425431307947潘兰兰105425432504928潘力105425431502746潘柳园105425431203413潘栖夙105425431906721潘琪104225510002365潘赛105425105420095潘栩105425431502179潘雅婷105425360108432潘扬105425431203068潘紫安105425432901356庞菁105425431208492彭超105425431207509彭楚怡105425431803468彭聪105335432401809彭德正105425430905334彭飞105425431200046彭丰105335210203856彭佳105425431000850彭娟105425431205396彭蓝宇105425431002162彭磊105335431501375彭蕾105425431000105彭满娟105425105420154彭妙105425431501668彭乔宁105425105420166彭琼105425105420198彭荣105425431505299彭锐105425431502495彭珊105425105420290彭师哲105425430903603彭述生105425431200864彭婷105425431202156彭婷婷105425431507102彭伟105425432806252彭翔105425431800323彭新柳105425432403490彭鑫105425432902898彭亚军105425450803028彭娅丽105425431507096彭杨105425431608019彭银兴105425431205502彭英秀106105100200093彭莹105425431500668彭颖蕊105425432105014彭哲也105425431202340彭志超105425431204076彭智恩105425431205810彭钟哲105425431208375皮扬洋105425432103707戚洛源105205670611588漆灵灵105425432706089祁振苹105425412304422齐小芳105425360100987齐娅冰105425360101432齐艳华105425432703002杞昊橙105585350106580钱程105425431204974钱梦婷105425432705826钱通华105425105420011乔韵100125000000410秦丹蕾105425431207510秦光远105425431205722秦思涵105425430203362秦恬恬105425105420092青柯利105425105420240卿建飞105425432302403卿柳梅105425431907139邱程伟105425432300696邱帆妤105425431507959邱峰105425410605350邱磊105425431507967邱晓君105425431402673邱羽亭105425105420280屈金兰105425432705026屈美105425141506388屈志斌105425105420143饶丽丽105425431500859饶路林105425360702537饶云洁105425431203662任放105425431506024任琪琪105335430508683任乔105425431207327任小夏105425431204071任毅105325351207615任志兰105425410508311荣森105425105420139阮坚105425431500794阮湘程105425431500792商梓轩105425105420242尚程鹏105425421602328尚冬琼105425431902208尚彦飞105425431502436尚园园105425411404905尚媛媛105425412306646邵海琴105425431501952邵俐102885100001735邵诗慧105425450206593申娉105615000006570申瑞瑞105425431701256申思105425431508241申文姣105585160110557沈忱100105100003369沈娟105425431204980沈珂105425105420043沈玲105425441207217沈帅言105425431706226沈欣萍105325501203681沈雁翔105425411501481沈跃元105425431502799沈韫青105425104030232沈忠原106105071000158盛贵105425105420286盛祎105425431506224师瑞宁107295008010609石嘉蔚105425105420219石雪105425371402319石一綪105425370104385史航105425431202338史慧珍105425141505037史蒙萌107185410707574史明森105425413002264史少菲105425141602354史艳105425431207492史志伟105425431301758首子航105425360100745舒放105425431207499舒丽霞105425105300113舒敏105425431207453舒盼105425432605340舒幸运105425421908415舒沂105425431502865舒璋艺105425360408164司品法105425370405740宋秉翰105425431207484宋丰君106105071000508宋冠杰105425411901984宋红燕105425411305254宋慧玲105425130202900宋姣姣105425411605259宋金玲105425431207513宋启帆105425431205576宋茜105425431506323宋群105335431501423宋柔力105425431503605宋文芳105425441600547宋先先105425411606645宋肖瑜105425105420276宋昕阑105425411301476宋欣105425431404477宋鑫105425107420024宋雪菲105425411605261宋志翔900025360101132苏百灵105425431502167苏格105425330305347苏梁峰105425432503720苏领105335432308691苏同欢105425371302824苏艺瑶105425431202841苏梓灵105425431504042宿光俊105425371102823粟锋105425105420006粟海青105425640104024粟琴105425431204983睢玉芸105425141504934孙贝芬105425431804521孙冬雪105425411503559孙红蕾105425130204171孙佳佳105425410502719孙菁檬105425431508478孙菁妍105425431202419孙军105425350602381孙栎105425105420148孙玲105425620308229孙美105425371106156孙美琪102465210001107孙梦佳105425411603560孙梦强105425410306558孙楠105425105420174孙盼105425411105250孙倩105425370600997孙胜男105425620606406孙诗源105425431205376孙文喆104235337063882孙晓华105425372308171孙晓祺105325141205317孙妍105425105420234孙艳105425431701876孙泽民105425431205574索婉105425130800560覃娟娟105425105420125覃满云105425431904293谭冰105425430907930谭波105425431501604谭菲菲105425431906050谭宏臻105425520405109谭婕105425430801092谭玲花105425511000438谭梦泽105425431202631谭飘105425432906338谭睿802015303000003谭淑雅105425101350075谭午兴105425105420127谭祥花105425431501132谭艳文105425450801543谭怡欣105425220703830谭应波105425430506689谭煜105425431502579谭珍105425432401312谭庄105425431403386汤陈宸105425431203003汤浩105325430502529汤洁105425431902954汤捷105425431207072汤靓105425430907933汤澜105425431205410汤玲英105425431802399汤明鑫102845210514494汤茜105425431806046汤唯唯105425431507675汤维105425105420282汤文105425321700863汤智105425105420118唐博宇105425431404659唐琛105425431203851唐辰明105425431202665唐纯105595210004984唐杜鹃105425431504503唐耿义105425431201644唐国君105425431502107唐红艳105425431805338唐惠萍105425120401629唐慧105325431703492唐佳乐105425105420237唐杰105425431606037唐婧105325431501643唐腊梅105425431804751唐立105425432406075唐莲105425370106929唐梦华105585330105540唐梦姣105425431503786唐娜105335432101696唐群105425410203799唐荣105425141604351唐茹萍105425432603296唐姗姗105425432607055唐声远105325431209540唐烁霖105425105420210唐苔苔105425431503460唐文焱105425105420051唐先悦121215000001614唐小兵105325430303393唐小超105425340605348唐晓玲105425432700933唐啸105425432102455唐秀丽105425431207624唐雪梅105425431500125唐艳姣105425105420297唐艺竭105325431712159唐于琴105425430602637唐禹105425432905306唐月亮105425431505823唐泽宇105425432602605唐志博105425430705292陶单宜105425105420249陶莉105425321101405陶俐芝105425105420179陶婷103165210202599陶侠妹105425105420057陶宇105425105420184滕东茁105425431501203滕飞105425341003642滕佩利105425370602249田达105425105420190田丰105425105420002田合兵105425432304319田灵芝105425432104306田佩105425432606250田庆庆105425431207417田仕芸105425431202838田思怡105425431900912田甜105425431902990田婷105425105420270田晓玉105425310601812田星星105425340402904田秀丽105425105420053田亚慧105325430903439田亚平105425105420001田忆105425431202632童亦劲105425432007760宛盈105425431504708万搏微105425360205834万芳105425431401100万峰105425640100579万格格105425105420226万康105425422102829万里105425431507249万露105325430703414万沙105425361003155万婷婷105425420507845万伟伟105425441506591万小双105425421103765万雨娟105425431204987万紫昕105425432705827汪丽萍105425105420088汪佩105425500204446汪巧蕾105425431205106汪雅婧105425340106547汪燕燕105425432500528汪杨105425105420177汪洋105425431200009汪奕舒105425431207913汪月琴105425361005057汪洲105425105420089王艾华105425431205928王宝斌105425370901003王兵105425432602960王炳淇105425431604115王朝俊900305140900067王朝阳105425431502576王承建105425105420098王春红105425411601485王春艳105425432506081王聪105425431207339王丹105425431802754王丹妮105425105360285王狄建105425431904301王方鸣105425140605732王芳105425431203660王芳105425430603782王飞105425342405209王菲105425511404014王菲105425340807181王丰盛105425431506012王官华105425141004893王昊105335430400208王浩吉105425372506159王浩文105425105420101王宏宇105425105420283王洪晶105425372506158王华云105425410505785王卉105425371403749王佳玉105425105420085王剑105425430702933王健105425431507655王杰105425231003737王晶晶105425432606786王娟105425431200037王俊杰105425101350122王开元105425431202472王凯旋105425431500834王柯淇105425431508464王莉105425431507636王立红105425431207428王立州102805210009098王丽莎105425411602325王丽霞105425520108218王灵105425360700989王玲玲105425361005056王留成105425410505836王龙妃105425370405220王露婷104865303023208王璐105425431207588王璐璐105425105420247王璐滔105425105420029王梅105425431204738王梅婷子105425431504594王美亚105425141505039王梦婕102485121517233王梦君105425421908435王梦梦105425412303650王梦雅105425105420211王苗苗105425431205484王妙婷105425431504087王娜105425411605082王攀105425430501084王培文105425105420220王琪105425432306067王倩105425431501854王倩105425431507259王青105425421902691王青锋105425141105903王青青105425422603623王清琪105425431602586王庆105425410503548。
学院2015年硕士研究生招生入学成绩公示(以考生编号为序)读:826 次 发布时间:2015-4-3最终成绩1.06105E+14温冬80706化工过程机76.2370156.81.06105E+14曹思雨80706化工过程机75.65357159.81.06105E+14王管80706化工过程机73.28326162.71.06105E+14张科80706化工过程机75.08329168.71.06105E+14冉洺东81701化学工程66.47331133.461.06105E+14石柯81701化学工程61346105.61.06105E+14郭杨锐81701化学工程69.31341140.861.06105E+14李俊同81701化学工程62.99339116.371.06105E+14刘健81701化学工程65.57334128.671.06105E+14王夏青81701化学工程66.06334130.631.06105E+14万文浩81701化学工程35.133181.06105E+14郑威81701化学工程62.55331117.811.06105E+14罗显富81701化学工程69.57334144.681.06105E+14闫钊81702化学工艺74.54345160.161.06105E+14刘梦龙81702化学工艺67.25345130.991.06105E+14黄懿81702化学工艺63.68355112.731.06105E+14张越81702化学工艺68.27354131.471.06105E+14冯媛81702化学工艺69.82334145.681.06105E+14邓富丽81702化学工艺74.36347158.621.06105E+14赵倩81702化学工艺72.75336156.621.06105E+14赵贤江81702化学工艺69.66334145.041.06105E+14赵梦雪81702化学工艺68.76344137.451.06105E+14刘迪81702化学工艺69.71338143.651.06105E+14朱春晓81702化学工艺74.6380146.411.06105E+14刘超辉81702化学工艺67.27342132.271.06105E+14舒磊81702化学工艺63.41327122.851.06105E+14邓金凤81702化学工艺61.12327113.691.06105E+14黄亿81702化学工艺70.83340147.331.06105E+14袁川81702化学工艺73.12342155.681.06105E+14任明明81702化学工艺71.34336150.941.06105E+14孙福进81702化学工艺64.36352116.621.06105E+14杨亚静81702化学工艺66.6333133.221.06105E+14李艳平81702化学工艺69.83331461.06105E+14张敏81702化学工艺68.51337139.251.06105E+14杨晴方81702化学工艺69.09339140.751.06105E+14马海斌81702化学工艺75.96378152.631.06105E+14娄倩81702化学工艺64.75346120.611.06105E+14边亚静81702化学工艺67.48342133.131.06105E+14张顺81702化学工艺71.23821321.06105E+14胡畅81702化学工艺75360156.021.06105E+14柳庆亮81702化学工艺63.52339118.481.06105E+14杨永昌81702化学工艺72.12378137.31.06105E+14陈亭儒81702化学工艺76.19370156.77,考生编号考生姓名报考专业代码报考专业名称初试成绩复试总成绩1.06105E+14万佳丽81702化学工艺77.21385154.83 1.06105E+14何凯武81702化学工艺70.45379130.21 1.06105E+14景江81702化学工艺72.88363146.31 1.06105E+14朱鼎81702化学工艺66.79360123.17 1.06105E+14孙书雄81702化学工艺73.99356153.54 1.06105E+14熊盈盈81702化学工艺65.34344123.77 1.06105E+14夏畅81702化学工艺32.632601.06105E+14李娜81702化学工艺69.93370131.72 1.06105E+14范雄华81702化学工艺71.03372135.33 1.06105E+14杨亚铃81702化学工艺70.28357138.33 1.06105E+14张超磊81702化学工艺32.932901.06105E+14梁伟杰81703生物化工74.49367151.14 1.06105E+14赵靖文81703生物化工78.04345174.14 1.06105E+14石伊园81704应用化学77.42362164.88 1.06105E+14古隆81704应用化学72.33357146.5 1.06105E+14陈国兵81704应用化学71.54357143.38 1.06105E+14李孟秋81704应用化学34.234201.06105E+14徐龙坤81704应用化学76.15379153 1.06105E+14李晓鹏81704应用化学76.84375157.38 1.06105E+14赵鲁丹81704应用化学71.15329153 1.06105E+14朱凯旋81704应用化学74.88366153.13 1.06105E+14杜巧红81704应用化学75.59360158.38 1.06105E+14贺昇昇81704应用化学69.36333144.25 1.06105E+14赖双权81704应用化学71.18333151.5 1.06105E+14刘晓文81704应用化学72.58363145.13 1.06105E+14张梵81704应用化学71.11342147.63 1.06105E+14赵瑶81704应用化学74.4364152 1.06105E+14张国麒81704应用化学73.98346157.5 1.06105E+14王亚玲81704应用化学72.78355149.13 1.06105E+14陈小娟81704应用化学72.84354149.75 1.06105E+14伍娇0817Z1制药工程72.33343152.13 1.06105E+14宋士连0817Z1制药工程67.96338136.63 1.06105E+14戴朵谦0817Z1制药工程69.02343138.88 1.06105E+14刘亚娟0817Z1制药工程63.78350115.13 1.06105E+14张海81704应用化学74.77378147.88 1.06105E+14王照猛81704应用化学72.65364145 1.06105E+14李渊0817Z1制药工程73.87359151.88 1.06105E+14张艳锦0817Z1制药工程72.28355147.13 1.06105E+14秦本林0817Z1制药工程66.91325137.63 1.06105E+14付丁强0817Z1制药工程81.6401166.01 1.06105E+14黄小霞0817Z1制药工程80.22390164.86 1.06105E+14董冰0817Z1制药工程73.29361148.76 1.06105E+14姜红武0817Z1制药工程74.82361154.88 1.06105E+14吴聪0817Z1制药工程77.27368161.88 1.06105E+14邹江东85206动力工程75.25357158.2 1.06105E+14梅显斌85216化学工程67.25309145.42 1.06105E+14齐瑞峰85216化学工程62.07309124.7 1.06105E+14葛敬85216化学工程72.7329159.21 1.06105E+14蔡炜85216化学工程68.08314146.731.06105E+14刘殊壮85216化学工程72.82366144.87 1.06105E+14李晓琳85216化学工程56.75302106.22 1.06105E+14倪海翔85216化学工程70.43306159.32 1.06105E+14毕娜85216化学工程72.59357147.56 1.06105E+14谢晨光85216化学工程70.37332148.7 1.06105E+14邓皓月85216化学工程31.131101.06105E+14陈廷辉85216化学工程29.429401.06105E+14陶阳85216化学工程80.01362175.23 1.06105E+14李锦东85216化学工程69.43359134.11 1.06105E+14陆振谱85216化学工程63.3290137.21 1.06105E+14侯典浩85216化学工程29.129101.06105E+14干沛然85216化学工程66.18314139.13 1.06105E+14吴天昊85216化学工程29.429401.06105E+14邵志亮85216化学工程73.7364149.18 1.06105E+14周柳85216化学工程58.96293118.62 1.06105E+14胡海洋85216化学工程74.14339160.95 1.06105E+14严志辉85216化学工程68.22349133.28 1.06105E+14万赛鸿85216化学工程31.531501.06105E+14陈冲85216化学工程70.88318156.32 1.06105E+14郑晗骁85216化学工程64.18299137.11 1.06105E+14雷玉庄85216化学工程69.29345139.14 1.06105E+14王伟85216化学工程58.21316106.42 1.06105E+14田昭翔85216化学工程70.07339144.68 1.06105E+14肖亚雄85216化学工程68.91304154.04 1.06105E+14张棋茜85216化学工程76.78351166.71 1.06105E+14曾霞85216化学工程68.35310149.38 1.06105E+14邹腾修85216化学工程69.82327148.47 1.06105E+14王美美85216化学工程63.07302131.5 1.06105E+14刘菊85216化学工程29.229201.06105E+14王正85216化学工程69.99355137.95 1.06105E+14尚超85235制药工程64.35305135.38 1.06105E+14官小琴85224安全工程70.95298164.6 1.06105E+14吴柯江85224安全工程76.8342170.4 1.06105E+14周明明85216化学工程65.7325132.79 1.06105E+14刘强85216化学工程69.08366129.94 1.06105E+14高士元85216化学工程61.09305122.37 1.06105E+14张晓同85216化学工程71.53355144.13 1.06105E+14但顺民85216化学工程66.2340128.81 1.06105E+14冯洁85216化学工程72.02368140.86 1.06105E+14黄博文85216化学工程65.84349123.75 1.06105E+14胡俊要85216化学工程70.5366135.6 1.06105E+14谢逸85216化学工程63.22326122.48 1.06105E+14韩雪85216化学工程63.53316127.71 1.06105E+14吕欣芮85216化学工程65.65325132.6 1.06105E+14孔令朋85216化学工程60.42341105.28 1.06105E+14常文明85216化学工程56.28302104.32 1.06105E+14甄方臣85216化学工程62.11319120.83 1.06105E+14牛飞兴85216化学工程58.4234396.48 1.06105E+14邹强85216化学工程54.96297101.041.06105E+14刘晓东85216化学工程33.9531791.06105E+14陈雨85216化学工程69.8386124.791.06105E+14汪霖85216化学工程64.7334125.191.06105E+14王磊85216化学工程61.16322115.861.06105E+14周鹏85216化学工程63.87332122.671.06105E+14张羽85216化学工程61.89326117.151.06105E+14朱晓红85216化学工程64.5320130.011.06105E+14白进维85224安全工程69.73121541.06105E+14邓婉琴85216化学工程64.47329126.291.06105E+14孟雪飞85235制药工程66.51326135.63大学化工学院研究生办公室2015年4月3日。