全国邮政编码及电话区号表
- 格式:doc
- 大小:51.00 KB
- 文档页数:5
北京,北京,010,100000北京,通县,010,101100北京,昌平,010,102200北京,大兴,010,102600北京,密云,010,101500北京,延庆,010,102100北京,顺义,010,101300北京,怀柔,010,101400北京,平谷,010,101200上海,上海,021,200000上海,上海县,021,201100上海,嘉定,021,201800上海,松江,021,201600上海,南汇,021,201300上海,奉贤,021,201400上海,川沙,021,201200上海,青浦,021,201700上海,崇明,021,202100上海,金山,021,201500天津,天津,022,300000天津,蓟县,022,301900天津,宝坻,022,301800天津,武清,022,301700天津,静海,022,301600天津,宁河,022,301500重庆,万县,023,404000重庆,永川,023,402000重庆,北碚,023,400700重庆,巴县,023,401320重庆,江北,023,401120重庆,重庆,023,400000重庆,涪陵,023,408000重庆,石柱,023,409100重庆,丰都,023,408200重庆,南川,023,408400重庆,城口,023,405900重庆,巫溪,023,405800重庆,奉节,023,404600重庆,云阳,023,404500重庆,忠县,023,404300重庆,梁平,023,405200重庆,开县,023,405400重庆,大足,023,402360重庆,荣昌,023,402460重庆,壁山,023,402760重庆,铜梁,023,402560重庆,潼南,023,402660重庆,合川,023,401520重庆,江津,023,402260重庆,双桥,023,400900重庆,南桐,023,400800重庆,长寿,023,401220重庆,綦江,023,401420重庆,黔江,023,409700重庆,武隆,023,408500重庆,垫江,023,408300重庆,巫山,023,404700香港,香港,852,澳门,澳门,853,台湾,阿莲,886,000822台湾,安定,887,000745台湾,安平,888,000708台湾,八德,889,000334台湾,八里,890,000249台湾,白河,891,000732台湾,白沙,892,000884台湾,板桥,893,000220台湾,褒忠,894,000634台湾,宝山,895,000308台湾,卑南,896,000931台湾,北斗,897,000521台湾,北港,898,000651台湾,北门,899,000727台湾,北埔,900,000314台湾,北投,901,000112台湾,补子,902,000613台湾,布袋,903,000739台湾,草屯,904,000542台湾,长宾,905,000937台湾,长治,906,000905台湾,潮州,907,000910台湾,车城,908,000923台湾,城中区,909,000100台湾,成功,910,000936台湾,池上,911,000934台湾,春日,912,000920台湾,刺桐,913,000647安徽,寿县,0564,232200安徽,舒城,0564,231300安徽,六安,0564,237000安徽,绩溪,0563,245300安徽,广德,0563,242200安徽,旌德,0563,242600安徽,宁国,0563,242300安徽,郎溪,0563,242100安徽,泾县,0563,242500安徽,宣州,0563,242000安徽,铜陵县,0562,244100安徽,铜陵,0562,244000安徽,濉溪,0561,235100安徽,淮北,0561,235000安徽,黟县,0559,245500安徽,休宁,0559,245400安徽,祁门,0559,245600安徽,歙县,0559,245200安徽,黄山,0559,245000安徽,利辛,0558,236700安徽,临泉,0558,236400安徽,太和,0558,236600安徽,颍上,0558,236200安徽,界首,0558,236500安徽,涡阳,0558,233600安徽,蒙城,0558,233500安徽,阜南,0558,236300安徽,毫州,0558,236800安徽,阜阳,0558,236000安徽,泗县,0557,234300安徽,灵壁,0557,234200安徽,砀山,0557,235300安徽,萧县,0557,235200安徽,宿州,0557,234000安徽,岳西,0556,246600安徽,怀宁,0556,246100安徽,宿松,0556,246500安徽,潜山,0556,246300安徽,望江,0556,246200安徽,桐城,0556,231400安徽,枞阳,0556,246700安徽,太湖,0556,246400安徽,安庆,0556,246000安徽,当涂,0555,243100安徽,马鞍山,0555,243000安徽,凤台,0554,232100安徽,淮南,0554,232000安徽,南陵,0553,242400安徽,繁昌,0553,241200安徽,芜湖县,0553,241100安徽,芜湖,0553,241000安徽,固镇,0552,233700安徽,怀远,0552,233400安徽,五河,0552,233300安徽,蚌埠,0552,233000安徽,长丰,0551,231100安徽,肥西,0551,231200安徽,肥东,0551,231600安徽,明光,0550,239400安徽,定远,0550,233200安徽,来安,0550,239200安徽,天长,0550,239300安徽,凤阳,0550,233100安徽,全椒,0550,239500安徽,滁州,0550,239000安徽,合肥,0551,230000安徽,石台,0566,245100安徽,东至,0566,247200安徽,青阳,0566,242800安徽,贵池,0566,247100安徽,含山,0565,238100安徽,和县,0565,238200安徽,庐江,0565,231500安徽,无为,0565,238300安徽,巢湖,0565,238000安徽,金寨,0564,237300安徽,霍山,0564,237200安徽,霍邱,0564,237400福建,福州,0591,350000福建,闽候,0591,350100福建,连江,0591,350500福建,长乐,0591,350200福建,福清,0591,350300福建,平潭,0591,350400福建,永泰,0591,350700福建,闽清,0591,350800福建,罗源,0591,350600福建,厦门,0592,361000福建,同安,0592,361100福建,宁德,0593,352100福建,福安,0593,355000福建,柘荣,0593,355300福建,福鼎,0593,355200福建,霞浦,0593,355100福建,寿宁,0593,355500福建,古田,0593,352200福建,屏南,0593,352300福建,周宁,0593,355400福建,莆田,0594,351100福建,仙游,0594,351200福建,泉州,0595,362000福建,晋江,0595,362200福建,南安,0595,362300福建,安溪,0595,362400福建,永春,0595,362600福建,德化,0595,362500福建,惠安,0595,362100福建,石狮,0595,362700福建,漳州,0596,363000福建,南靖,0596,363600福建,华安,0596,363800福建,长泰,0596,363900福建,龙海,0596,363100福建,漳浦,0596,363200福建,云霄,0596,363300福建,东山,0596,363400福建,诏安,0596,363500福建,平和,0596,363700福建,龙岩,0597,364000福建,漳平,0597,364400福建,永定,0597,364100福建,上杭,0597,364200福建,武平,0597,364300福建,长汀,0597,366300福建,连城,0597,366200福建,三明,0598,365000福建,沙县,0598,365500福建,尤溪,0598,365100福建,大田,0598,366100福建,永安,0598,366000福建,清流,0598,365300福建,宁化,0598,365400福建,明溪,0598,365200福建,建宁,0598,354500福建,泰宁,0598,354400福建,将乐,0598,353300福建,南平,0599,353000福建,建瓯,0599,353100福建,顺昌,0599,353200福建,建阳,0599,354200福建,邵武,0599,354000福建,浦城,0599,353400福建,松溪,0599,353500福建,政和,0599,353600福建,光泽,0599,354100福建,武夷山,0599,354300甘肃,临夏市,0930,731100甘肃,兰州,0931,730000甘肃,红古区,0931,730000甘肃,皋兰,0931,730200甘肃,榆中,0931,730100甘肃,永登,0931,730300甘肃,定西,0932,743000甘肃,静宁,0933,743400甘肃,泾川,0933,744300甘肃,灵台,0933,744400甘肃,崇信,0933,744200甘肃,华亭,0993,744100甘肃,庄浪,0993,741700甘肃,西峰,0934,745000甘肃,金昌,0935,733000甘肃,民勤,0935,733300甘肃,天祝,0935,733200甘肃,古浪,0935,733100甘肃,金川,0935,737100甘肃,永昌,0935,737200甘肃,张掖,0936,734000甘肃,山丹,0936,734100甘肃,高台,0936,734300甘肃,民乐,0936,734500甘肃,临泽,0936,734200甘肃,萧南,0936,734400甘肃,酒泉,0937,735000甘肃,玉门,0937,735200甘肃,安西,0937,736100甘肃,敦煌,0937,736200甘肃,金塔,0937,735300甘肃,阿克塞,0937,736400甘肃,嘉峪关,0937,735100甘肃,肃北,0937,736300甘肃,天水,0938,741000甘肃,甘谷,0938,741200甘肃,武山,0938,741300甘肃,秦安,0938,741600甘肃,张家川,0938,741500甘肃,清水,0938,741400甘肃,武都,0939,746000甘肃,白银,0943,730900甘肃,靖远,0943,730600甘肃,平凉,0943,744000甘肃,景泰,0943,730400甘肃,会宁,0943,743200甘肃,临夏县,09401,731800甘肃,永靖,09402,731600甘肃,和政,09403,731200甘肃,东乡,09404,731400甘肃,康乐,09405,731500甘肃,广河,09406,731300甘肃,积石山,09407,731700甘肃,甘南州,09411,747000甘肃,夏河,09412,747100甘肃,临潭,09413,747500甘肃,舟曲,09414,746300甘肃,碌曲,09415,747200甘肃,玛曲,09416,747300甘肃,旧尼,09417,747600甘肃,迭部,09418,747400甘肃,陇西,09421,748100甘肃,漳县,09422,748300甘肃,通渭,09423,743300甘肃,岷县,09424,748400甘肃,临洮,09425,730500甘肃,渭源,09426,748200甘肃,庆阳,09441,745100甘肃,宁县,09442,745200甘肃,镇原,09443,744500甘肃,环县,09444,745700甘肃,合水,09445,745400甘肃,正宁,09446,745300甘肃,华池,09447,745600甘肃,成县,09491,742500甘肃,康县,09492,746500甘肃,文县,09493,746400甘肃,宕昌,09494,748500甘肃,西和,09495,742100甘肃,礼县,09496,742200甘肃,徽县,09497,742300甘肃,两当,09498,742400广东,广州,020,510000广东,番禺,020,511400广东,花县,020,510800广东,从化,020,510900广东,增城,020,511300广东,汕尾,0660,516600广东,海丰,0660,516400广东,陆河,0660,516700广东,陆丰,0660,516500广东,潮阳,0661,515100广东,阳江,0662,529500广东,阳春,0662,529600广东,阳东,0662,529500广东,阳西,0662,529800广东,揭阳,0663,515500广东,揭东,0663,515500广东,惠来,0663,515200广东,揭西,0663,515400广东,普宁,0663,515300广东,茂名,0668,525000广东,化州,0668,525100广东,高州,0668,525200广东,信宜,0668,525300广东,电白,0668,525400广东,江门,0750,529000广东,台山,0750,529200广东,开平,0750,529300广东,恩平,0750,529400广东,新会,0750,529100广东,鹤山,0750,529700广东,韶关,0751,512000广东,曲江,0751,512100广东,翁源,0751,512600广东,新丰,0751,511100广东,始兴,0751,512500广东,仁化,0751,512300广东,南雄,0751,512400广东,乳源,0751,512700广东,乐昌,0751,512200广东,惠州,0752,516000广东,惠东,0752,526300广东,惠阳,0752,516200广东,博罗,0752,516100广东,龙门,0752,511200广东,梅州,0753,514000广东,梅县,0753,514000广东,蕉岭,0753,514100广东,大埔,0753,514200广东,丰顺,0753,514300广东,五华,0753,514400广东,兴宁,0753,514500广东,平远,0753,514600广东,汕头,0754,515000广东,澄海,0754,515800广东,南澳,0754,515900广东,深圳,0755,518000广东,宝安,0755,518100广东,珠海,0756,519000广东,斗门,0756,519100广东,佛山,0757,528000广东,南海,0757,528200广东,高明,0757,528500广东,三水,0757,528100广东,肇庆,0758,526000广东,高要,0758,526100广东,四会,0758,526200广东,怀集,0758,526400广东,封开,0758,526500广东,德庆,0758,526600广东,广宁,0758,526300广东,湛江,0759,524000广东,遂溪,0759,524300广东,廉江,0759,524400广东,吴川,0759,524500广东,徐闻,0759,524100广东,雷州,0759,524200广东,中山,0760,528400广东,河源,0762,517000广东,连平,0762,517100广东,和平,0762,517200广东,龙川,0762,517300广东,紫金,0762,517400广东,清远,0763,511500广东,佛冈,0763,511600广东,英德,0763,513000广东,连山,0763,513200广东,阳山,0763,513100广东,连南,0763,513300广东,连州,0763,513400广东,顺德,0765,528300广东,云浮,0766,527300广东,罗定,0766,527200广东,郁南,0766,527100广东,新兴,0766,527400广东,潮州,0768,515600广东,潮安,0768,515600广东,饶平,0768,515700广东,东莞,0769,511700广西,防城港,0770,535700广西,上思,0770,535500广西,南宁,0771,530000广西,上林,0771,530500广西,凭祥,0771,532600广西,邕宁,0771,530200广西,崇左,0771,532200广西,宁明,0771,532500广西,武鸣,0771,530100广西,马山,0771,530600广西,龙州,0771,532400广西,宾阳,0771,530400广西,大新,0771,532300广西,天等,0771,532800广西,横县,0771,530300广西,隆安,0771,532700广西,扶绥,0771,532100广西,柳州,0772,545000广西,柳江,0772,545100广西,鹿寨,0772,545600广西,柳城,0772,545200广西,三江,0772,545500广西,融安,0772,545400广西,融冰,0772,545300广西,金秀,0772,545700广西,合山,0772,546500广西,忻城,0772,546200广西,来宾,0772,546100广西,武宣,0772,545900广西,象州,0772,545800广西,桂林,0773,541000广西,阳朔,0773,541900广西,临桂,0773,541100广西,荔浦,0773,546600广西,灌阳,0773,541600广西,平乐,0773,542400广西,兴安,0773,541300广西,灵川,0773,541200广西,全州,0773,541500广西,永福,0773,541800广西,龙胜,0773,541700广西,恭城,0773,542500广西,资源,0773,541400广西,梧州,0774,543000广西,苍梧,0774,543100广西,藤县,0774,543300广西,岑溪,0774,543200广西,昭平,0774,546800广西,贺县,0774,542800广西,蒙山,0774,546700广西,钟山,0774,542600广西,富川,0774,542700广西,玉林,0775,537000广西,容县,0775,537500广西,北流,0775,537400广西,陆川,0775,537700广西,博白,0775,537600广西,贵港,0775,537100广西,桂平,0775,537200广西,平南,0775,537300广西,百色,0776,533000广西,田林,0776,533300广西,隆林,0776,533400广西,西林,0776,533500广西,凌云,0776,533100广西,田阳,0776,533600广西,靖西,0776,533800广西,田东,0776,531500广西,乐业,0776,533200广西,平果,0776,531400广西,德保,0776,533700广西,那坡,0776,533900广西,钦州,0777,535000广西,灵山,0777,535400广西,浦北,0777,535300广西,河池,0778,547000广西,宜州,0778,546300广西,罗城,0778,546400广西,环江,0778,547100广西,天峨,0778,547300广西,凤山,0778,547600广西,东兰,0778,547400广西,南丹,0778,547200广西,巴马,0778,547500广西,都安,0778,530700广西,大化,0778,530800广西,北海,0779,536000广西,合浦,0779,536100贵州,贵阳,0851,550000贵州,清镇,0851,551400贵州,修文,0851,550200贵州,息烽,0851,551100贵州,开阳,0851,550300贵州,遵义,0852,563000贵州,赤水,0852,564700贵州,习水,0852,564600贵州,仁怀,0852,564500贵州,遵义县,0852,563100贵州,桐梓,0852,563200贵州,绥阳,0852,533300贵州,正安,0852,563400贵州,道真,0852,563500贵州,湄潭,0852,564100贵州,凤冈,0852,564200贵州,务川,0852,564300贵州,余庆,0852,564400贵州,安顺,0853,561000贵州,都匀,0854,558000贵州,凯里,0855,556000贵州,铜仁,0856,564300贵州,毕节,0857,551700贵州,六盘水,0858,553000贵州,兴义,0859,562400贵州,册亨,0859,552200贵州,望谟,0859,552300贵州,安龙,0859,552400贵州,兴仁,0859,562300贵州,贞丰,0859,562200贵州,普安,0859,561500贵州,晴隆,0859,561400贵州,平坝,08631,561100贵州,紫云,08632,550800贵州,关岭,08633,561300贵州,镇宁,08634,561200贵州,普定,08635,562100贵州,贵定,08640,551300贵州,福泉,08641,550500贵州,瓮安,08642,550400贵州,三都,08643,558100贵州,荔波,08644,558400贵州,独山,08645,558200贵州,平塘,08646,558300贵州,罗甸,08647,550100贵州,惠水,08648,550600贵州,龙里,08649,551200贵州,榕江,08650,557200贵州,黄平,08651,556100贵州,施秉,08652,556200贵州,镇远,08653,557700贵州,岑巩,08654,557800贵州,三穗,08655,556500贵州,天柱,08656,556600贵州,锦屏,08657,556700贵州,黎平,08658,557300贵州,从江,08659,557400贵州,沿河,08661,565300贵州,松桃,08662,554100贵州,万山,08663,554200贵州,玉屏,08664,554000贵州,江口,08665,554400贵州,石阡,08666,555100贵州,思南,08667,565100贵州,印江,08668,555200贵州,德江,08669,565200贵州,长顺,08670,550700贵州,威宁,08671,553100贵州,赫章,08672,553200贵州,纳雍,08673,553300贵州,黔西,08674,551500贵州,大方,08675,551600贵州,金沙,08676,551800贵州,织金,08677,552100贵州,剑河,08680,556400贵州,六枝,08681,553400贵州,盘县,08682,561600贵州,雷山,08686,557100贵州,丹寨,08687,557500贵州,麻江,08688,557600贵州,台江,08689,556300海南,海口,0898,570000海南,澄迈,0898,571900海南,安定,0898,571200海南,文昌,0898,571300海南,屯昌,0898,571600海南,琼海,0898,571400海南,万宁,0898,571500海南,琼山,0898,571100海南,三亚,0899,572000海南,通什,0899,572200海南,乐东,0899,572500海南,保亭,0899,572300海南,陵水,0899,572400海南,琼中,0899,572900海南,儋州,0890,571700海南,白沙,0890,572800海南,洋浦,0890,578000海南,东方,0890,572600海南,昌江,0890,572700海南,临高,0890,571800河北,石家庄,0311,050000河北,获鹿,0311,050200河北,正定,0311,050800河北,栾城,0311,051400河北,井陉,0311,050300河北,元氏,0311,051100河北,新乐,0311,050700河北,无极,0311,052400河北,深泽,0311,052500河北,辛集,0311,052300河北,晋州,0311,052200河北,赵县,0311,051500河北,赞皇,0311,051200河北,高邑,0311,051300河北,平山,0311,050400河北,灵寿,0311,050500河北,行唐,0311,050600河北,保定,0312,071000河北,潢城,0312,072100河北,清苑,0312,071100河北,涞水,0312,074100河北,易县,0312,074200河北,涞源,0312,102900河北,唐县,0312,072300河北,定兴,0312,072600河北,涿州,0312,072700河北,高碑店,0312,074000河北,博野,0312,071300河北,安国,0312,071200河北,定州,0312,073000河北,曲阳,0312,073100河北,阜平,0312,073200河北,高阳,0312,071500河北,徐水,0312,072500河北,容城,0312,071700河北,雄县,0312,071800河北,安新,0312,071600河北,望都,0312,072400河北,蠡县,0312,071400河北,顺平,0312,072200河北,张家口,0313,075000河北,宣化,0313,075100河北,怀安,0313,076100河北,万全,0313,076200河北,张北,0313,076400河北,崇礼,0313,076300河北,沽源,0313,076500河北,尚义,0313,076700河北,康保,0313,076600河北,赤城,0313,075500河北,怀来,0313,075400河北,涿鹿,0313,075600河北,蔚县,0313,075700河北,阳原,0313,075800河北,承德,0314,067000河北,承德县,0314,067400河北,兴隆,0314,067300河北,隆化,0314,068100河北,围场,0314,068400河北,平泉,0314,067500河北,宽城,0314,067600河北,丰宁,0314,068300河北,滦平,0314,068200河北,唐山,0315,063000河北,玉田,0315,064100河北,滦县,0315,063700河北,遵化,0315,064200河北,滦南,0315,063500河北,唐海,0315,063200河北,丰南,0315,063300河北,乐亭,0315,063600河北,丰润,0315,064000河北,迁安,0315,064400河北,迁西,0315,064300河北,廊坊,0316,102800河北,霸州,0316,065700河北,永清,0316,302650河北,大城,0316,302950河北,文安,0316,302850河北,固安,0316,102700河北,香河,0316,302550河北,大厂,0316,101700河北,三河,0316,101600河北,沧州,0317,061000河北,黄骅,0317,061100河北,海兴,0317,061200河北,盐山,0317,061300河北,孟村,0317,061400河北,青县,0317,062600河北,南皮,0317,061500河北,东光,0317,061600河北,吴桥,0317,061800河北,泊头,0317,062100河北,河间,0317,062400河北,肃宁,0317,062300河北,任丘,0317,062500河北,献县,0317,062200河北,衡水,0318,053000河北,铙阳,0318,052700河北,武强,0318,053300河北,武邑,0318,053400河北,阜城,0318,061700河北,景县,0318,053500河北,故城,0318,253800河北,枣强,0318,053100河北,冀县,0318,053200河北,深州,0318,052800河北,安平,0318,052600河北,邢台,0319,054000河北,临西,0319,057800河北,内丘,0319,054200河北,临城,0319,054300河北,柏乡,0319,055400河北,宁晋,0319,051600河北,隆尧,0319,055300河北,巨鹿,0319,055200河北,新河,0319,051700河北,南宫,0319,051800河北,清河,0319,054800河北,威县,0319,054700河北,广宗,0319,054600河北,平乡,0319,054500河北,南和,0319,054400河北,任县,0319,055100河北,沙河,0319,054100河北,邯郸,0310,056000河北,武安,0310,056300河北,临漳,0310,056600河北,磁县,0310,056500河北,涉县,0310,056400河北,成安,0310,056700河北,永年,0310,057100河北,鸡泽,0310,057300河北,曲周,0310,057200河北,丘县,0310,057400河北,馆陶,0310,057700河北,大名,0310,056900河北,魏县,0310,056800河北,广平,0310,057600河北,肥乡,0310,057500河北,秦皇岛,0335,066000河北,昌黎,0335,066600河北,卢龙,0335,066400河北,抚宁,0335,066300河北,青龙,0335,066500河南,商丘,0370,476000河南,商丘县,0370,476100河南,虞城,0370,476300河南,夏邑,0370,476400河南,永城,0370,476600河南,柘城,0370,476200河南,宁陵,0370,476700河南,睢县,0370,476900河南,民权,0370,476800河南,郑州,0371,450000河南,上街,0371,451000河南,荥阳,0371,450100河南,新郑,0371,451100河南,中牟,0371,451400河南,新密,0371,452300河南,登封,0371,452400河南,巩义,0371,451200河南,安阳,0372,455000河南,安阳县,0372,455100河南,汤阴,0372,456100河南,林州,0372,456500河南,内黄,0372,456300河南,滑县,0372,456400河南,新乡,0373,453700河南,卫辉,0373,453100河南,延津,0373,453200河南,原阳,0373,453500河南,获嘉,0373,453800河南,长垣,0373,453400河南,封丘,0373,453300河南,辉县,0373,453600河南,许昌,0374,461000河南,长葛,0374,461500河南,鄢陵,0374,461200河南,禹州,0374,452500河南,平顶山,0375,467000河南,舞钢,0375,462500河南,郏县,0375,467100河南,襄城,0375,452600河南,叶县,0375,467200河南,鲁山,0375,467300河南,宝丰,0375,467400河南,汝州,0375,467500河南,信阳,0376,464000河南,信阳县,0376,464100河南,罗山,0376,464200河南,卧龙,0377,473000河南,宛城,0377,473100河南,邓州,0377,474100河南,西峡,0377,474500河南,浙川,0377,474400河南,方城,0377,473200河南,社旗,0377,473300河南,唐河,0377,473400河南,新野,0377,473500河南,镇平,0377,474200河南,南召,0377,474600河南,桐柏,0377,474700河南,内乡,0377,474300河南,开封,0378,475000河南,开封县,0378,475100河南,兰考,0378,475300河南,杞县,0378,475200河南,通许,0378,452200河南,尉氏,0378,452100河南,洛阳,0379,471000河南,洛宁,0379,471700河南,孟津,0379,471100河南,偃师,0379,471900河南,伊川,0379,471300河南,宜阳,0379,471600河南,新安,0379,471800河南,汝阳,0379,471200河南,嵩县,0379,471400河南,栾川,0379,471500河南,焦作,0391,454100河南,修武,0391,454300河南,武陟,0391,454900河南,温县,0391,454800河南,孟县,0391,454700河南,博爱,0391,454400河南,沁阳,0391,454500河南,济源,0391,454600河南,鹤壁,0392,456600河南,浚县,0392,456200河南,淇县,0392,456700河南,濮阳,0393,457000河南,濮阳县,0393,457002河南,台前,0393,457600河南,范县,0393,457500河南,南乐,0393,457400河南,清丰,0393,457300河南,周口,0394,466000河南,西华,0394,466600河南,淮阳,0394,466700河南,郸城,0394,477100河南,鹿邑,0394,477200河南,沈丘,0394,466300河南,项城,0394,466200河南,扶沟,0394,461300河南,太康,0394,475400河南,商水,0394,466100河南,漯河,0395,462000河南,临颖,0395,462600河南,舞阳,0395,462400河南,郾城,0395,462300河南,驻马店,0396,463000河南,泌阳,0396,463700河南,遂平,0396,463100河南,汝南,0396,463300河南,确山,0396,463200河南,西平,0396,462100河南,上蔡,0396,463800河南,平舆,0396,463400河南,新蔡,0396,463500河南,正阳,0396,463600河南,潢川,0397,465100河南,光山,0397,465400河南,新县,0397,465500河南,淮滨,0397,464400河南,固始,0397,465200河南,商城,0397,465300河南,息县,0397,464300河南,三门峡,0398,472000河南,卢氏,0398,472200河南,渑池,0398,472400河南,义马,0398,472300河南,灵宝,0398,472500河南,陕县,0398,472100黑龙江,哈尔滨,0451,150000黑龙江,阿城,0451,150300黑龙江,通河,0451,150900黑龙江,方正,0451,150800黑龙江,尚志,0451,150600黑龙江,延寿,0451,150700黑龙江,双成,0451,150100黑龙江,肇东,0451,151100黑龙江,宾县,0451,150400黑龙江,木兰,0451,151900黑龙江,五常,0451,150200黑龙江,巴彦,0451,151800黑龙江,呼兰,0451,150500黑龙江,齐齐哈尔,0452,161000黑龙江,克山,0452,161600黑龙江,拜泉,0452,161700黑龙江,依安,0452,161500黑龙江,龙江,0452,161100黑龙江,讷河,0452,161300黑龙江,甘南,0452,162100黑龙江,富裕,0452,161200黑龙江,克东,0452,161800黑龙江,泰来,0452,162400黑龙江,牡丹江,0453,157000黑龙江,林口,0453,157600黑龙江,穆棱,0453,157500黑龙江,东宁,0453,157200黑龙江,海林,0453,157100黑龙江,宁安,0453,157400黑龙江,绥芬河,0453,157300黑龙江,虎林,0453,158400黑龙江,鸡西,0453,158100黑龙江,鸡东,0453,158200黑龙江,密山,0453,158300黑龙江,七台河,0453,154600黑龙江,勃利,0453,154500黑龙江,佳木斯,0454,154000黑龙江,依兰,0454,154800黑龙江,汤原,0454,154700黑龙江,桦南,0454,154400黑龙江,富锦,0454,156100黑龙江,抚远,0454,156500黑龙江,同江,0454,156400黑龙江,桦川,0454,154300黑龙江,饶河,0454,156700黑龙江,萝北,0454,154200黑龙江,鹤岗,0454,154100黑龙江,绥滨,0454,156200黑龙江,双鸭山,0454,155100黑龙江,友谊,0454,156900黑龙江,宝清,0454,156600黑龙江,集贤,0454,154900黑龙江,绥化,0458,152000黑龙江,明水,0458,151700黑龙江,庆安,0458,152400黑龙江,海伦,0458,152300黑龙江,绥棱,0458,152200黑龙江,望奎,0458,152100黑龙江,兰西,0458,151500黑龙江,青冈,0458,151600黑龙江,黑河,0456,164300黑龙江,北安,0456,164000黑龙江,孙吴,0456,164200黑龙江,逊克,0456,164400黑龙江,德都,0456,164100黑龙江,嫩江,0456,161400黑龙江,五大连池,0456,164500黑龙江,加格达奇,0457,165000黑龙江,塔河,0457,165200黑龙江,呼玛,0457,165100黑龙江,漠河,0457,165300黑龙江,伊春,0458,153000黑龙江,嘉荫,0458,153200黑龙江,铁力,0458,152500黑龙江,大庆,0459,163000黑龙江,林甸,0459,162300黑龙江,安达,0459,151400黑龙江,肇州,0459,151200黑龙江,杜尔伯特,0459,162000黑龙江,肇源,0459,151300湖北,武汉,027,430000湖北,武昌,027,430200湖北,武昌县,027,430200湖北,蔡甸,027,430100湖北,黄陂,027,432200湖北,新洲,027,431400湖北,襄樊,0710,441000湖北,襄阳,0710,441100湖北,宜城,0710,441400湖北,南漳,0710,441500湖北,谷城,0710,441700湖北,枣阳,0710,441200湖北,老河口,0710,441800湖北,保康,0710,441600湖北,鄂州,0711,436000湖北,孝感,0712,432100湖北,大悟,0712,432800湖北,汉川,0712,432300湖北,应城,0712,432400湖北,云梦,0712,432500湖北,安陆,0712,432600湖北,广水,0712,432700湖北,黄冈,0713,436100湖北,黄州,0713,436100湖北,麻城,0713,431600湖北,红安,0713,431500湖北,浠水,0713,436200湖北,罗田,0713,436600湖北,英山,0713,436700湖北,蕲春,0713,436300湖北,黄梅,0713,436500湖北,武穴,0713,436400湖北,黄石,0714,435000湖北,大冶,0714,435100湖北,阳新,0714,435200湖北,咸宁,0715,437000湖北,通山,0715,437600湖北,崇阳,0715,437500湖北,通城,0715,437400湖北,蒲圻,0715,437300湖北,嘉鱼,0715,437200湖北,荆沙,0716,434100湖北,沙市,0716,434000湖北,监利,0716,433300湖北,石首,0716,434400湖北,公安,0716,434300湖北,松滋,0716,434200湖北,钟祥,0716,431900湖北,京山,0716,431800湖北,宜昌,0717,443000湖北,宜昌县,0717,443100湖北,远发,0717,444200湖北,当阳,0717,444100湖北,枝江,0717,443200湖北,枝城,0717,443300湖北,长阳,0717,443500湖北,五峰,0717,443400湖北,秭归,0717,443600湖北,兴山,0717,443700湖北,恩施,0718,445000湖北,建始,0718,445300湖北,巴东,0718,444300湖北,鹤峰,0718,445800湖北,宣恩,0718,445500湖北,来凤,0718,445700湖北,咸丰,0718,445600湖北,利川,0718,445400湖北,十堰,0719,442000湖北,郧县,0719,442500湖北,丹江口,0719,441900湖北,房县,0719,442100湖北,神农架,0719,442400湖北,竹山,0719,442200湖北,竹溪,0719,442300湖北,郧西,0719,442600湖北,随枣,0722,441200湖北,随州,0722,441300湖北,荆门,0727,434500湖北,仙桃,0728,433000湖北,天门,0728,431700湖北,潜江,0728,433100湖北,洪湖,0716,433200湖北,温泉,0715,437100湖南,岳阳,0730,414000湖南,岳阳县,0730,414100湖南,湘阴,0730,410500湖南,华容,0730,414200湖南,临湘,0730,414300湖南,平江,0730,410400湖南,汨罗,0730,414400湖南,长沙,0731,410000湖南,长沙县,0731,410100湖南,宁乡,0731,410600湖南,望城,0731,410200湖南,浏阳,0731,410300湖南,湘潭,0732,411100湖南,湘潭县,0732,411200湖南,韶山,0732,411300湖南,湘乡,0732,411400湖南,株洲,0733,412000湖南,株洲县,0733,412100湖南,攸县,0733,412300湖南,茶陵,0733,412400湖南,醴陵,0733,412200湖南,炎陵,0733,412500湖南,衡阳,0734,421000湖南,衡阳县,0734,421200湖南,耒阳,0734,421800湖南,常宁,0734,421500湖南,衡南,0734,421100湖南,衡东,0734,421400湖南,衡山,0734,421300湖南,祁东,0734,421600湖南,郴州,0735,423000湖南,资兴,0735,423400湖南,桂东,0735,423500湖南,汝城,0735,424100湖南,临武,0735,424300湖南,嘉禾,0735,424500湖南,安仁,0735,423600湖南,桂阳,0735,424400湖南,永兴,0735,423300湖南,宜章,0735,424200湖南,常德,0736,415100湖南,桃源,0736,425700湖南,汉寿,0736,415900湖南,石门,0736,415300湖南,澧县,0736,425500湖南,津市,0736,415400湖南,安乡,0736,415600湖南,临澧,0736,415200湖南,益阳,0737,413000湖南,桃江,0737,413400湖南,安化,0737,413500湖南,南县,0737,413200湖南,沅江,0737,413100湖南,娄底,0738,417000湖南,双峰,0738,411500湖南,冷水江,0738,417500湖南,新化,0738,417600湖南,涟源,0738,417100湖南,邵阳,0739,422000湖南,邵阳县,0739,422100湖南,新宁,0739,422700湖南,城步,0739,422500湖南,新邵,0739,422900湖南,绥宁,0739,422600湖南,武岗,0739,422400湖南,洞口,0739,422300湖南,邵东,0739,422800湖南,隆回,0739,422200湖南,吉首,0743,416000湖南,凤凰,0743,416200湖南,龙山,0743,416800湖南,永顺,0743,416700湖南,保靖,0743,416500湖南,花垣,0743,416400湖南,古丈,0743,416300湖南,泸溪,0743,416100湖南,张家界,0744,416600湖南,桑植,0744,416900湖南,慈利,0744,415800湖南,怀化,0745,418000湖南,麻阳,0745,419400湖南,芷江,0745,419100湖南,黔阳,0745,418100湖南,溆浦,0745,419300湖南,通道,0745,418500湖南,靖州,0745,418400湖南,会同,0745,418300湖南,新晃,0745,419200湖南,辰溪,0745,419500湖南,沅陵,0745,419600湖南,洪江,0745,418200湖南,永州,0746,425000湖南,东安,0746,425900湖南,祁阳,0746,421700湖南,新田,0746,425700湖南,宁远,0746,425600湖南,蓝山,0746,425800湖南,江华,0746,425500湖南,江永,0746,425400湖南,道县,0746,425300湖南,双牌,0746,425200吉林,长春,0431,130000吉林,双阳,0431,130600吉林,农安,0431,130200吉林,九台,0431,130500吉林,德惠,0431,130300吉林,榆树,0431,130400吉林,吉林,0432,132000吉林,永吉,0432,132200吉林,磬石,0432,132300吉林,桦甸,0432,132400吉林,蛟河,0432,132500吉林,舒兰,0432,132600吉林,延吉,0433,133000吉林,汪清,0433,133200吉林,和龙,0433,133500吉林,安图,0433,133600吉林,敦化,0433,133700吉林,图们,0433,133100吉林,龙井,0433,133400吉林,四平,0434,136000吉林,双辽,0434,136400吉林,犁树,0434,136500吉林,公主岭,0434,136100吉林,通化,0435,134000吉林,通化县,0435,134100吉林,集安,0435,134200吉林,白城,0436,137000吉林,通榆,0436,137200吉林,大安,0436,131300吉林,洮南,0436,137100吉林,镇赉,0436,137300吉林,辽源,0437,136200吉林,东辽,0437,136600吉林,东丰,0437,136300吉林,松原,0438,131000吉林,扶余,0438,131200吉林,前郭,0438,131100吉林,长岭,0438,131500吉林,乾安,0438,131400吉林,临江,0439,134100吉林,靖宇,0439,135200吉林,长白,0439,134400吉林,抚松,0439,134500吉林,江源,0439,134300吉林,珲春,0440,133300吉林,梅河口,0448,135000吉林,柳河,0448,135300吉林,辉南,0448,135100江苏,南京,025,210000江苏,江浦,025,211800江苏,六合,025,211500江苏,江宁,025,211100江苏,高淳,025,211300江苏,溧水,025,211200江苏,无锡,0510,214000江苏,江阴,0510,214400江苏,宜兴,0510,214200江苏,锡山,0510,214100江苏,镇江,0511,212000江苏,丹徒,0511,212100江苏,丹阳,0511,212300江苏,句容,0511,212400江苏,扬中,0511,212200江苏,苏州,0512,215000江苏,吴江,0512,215200江苏,吴县,0512,215100江苏,南通,0513,226300江苏,如东,0513,226400江苏,如皋,0513,226500江苏,通州市,0513,226300江苏,海门,0513,226100江苏,启东,0513,226200江苏,海安,0513,226600江苏,扬州,0514,225000江苏,江都,0514,225200江苏,邗江,0514,225100江苏,仪征,0514,211400江苏,高邮,0514,225600江苏,宝应,0514,225800江苏,盐城,0515,224000江苏,响水,0515,224600江苏,滨海,0515,224500江苏,阜宁,0515,224400江苏,射阳,0515,224300江苏,建湖,0515,224700江苏,大丰,0515,224100江苏,东台,0515,224200江苏,徐州,0516,221000江苏,铜山,0516,221100江苏,丰县,0516,221700江苏,沛县,0516,221600江苏,邳县,0516,221300江苏,新沂,0516,221400江苏,睢宁,0516,221200江苏,淮阴,0517,223000江苏,淮阴县,0517,223300江苏,淮安,0517,223200江苏,洪泽,0517,223100江苏,金湖,0517,211600江苏,涟水,0517,223400江苏,盱眙,0517,211700江苏,连云港,0518,222000江苏,东海,0518,222300江苏,赣榆,0518,222100江苏,灌云,0518,222200江苏,灌南,0518,223500江苏,常州,0519,213000江苏,武进,0519,213100江苏,金坛,0519,213200江苏,溧阳,0519,213300江苏,张家港,0520,215600江苏,常熟,0520,215500江苏,昆山,0520,215300江苏,太仓,0520,215400江苏,泰州,0523,225300江苏,靖江,0523,214500江苏,泰兴,0523,225400江苏,姜堰,0523,225500江苏,兴化,0523,225700江苏,沭阳,0527,223600江苏,宿迁,0527,223800江苏,泗阳,0527,223700江苏,泗洪,0527,211900江西,新余,0790,336500江西,分宜,0790,336600江西,南昌,0791,330000江西,南昌县,0791,330200江西,新建,0791,330100江西,进贤,0791,331700江西,安义,0791,330500江西,九江,0792,332000江西,九江县,0792,332100江西,庐山,0792,332900江西,修水,0792,322400江西,湖口,0792,332500江西,星子,0792,332800江西,瑞昌,0792,332200江西,德安,0792,330400江西,彭泽,0792,332700江西,都昌,0792,332600江西,永修,0792,330300江西,武宁,0792,332300江西,上饶,0793,334000江西,上饶县,0793,334100江西,玉山,0793,334700江西,余干,0793,335100江西,弋阳,0793,334400江西,波阳,0793,333100江西,广丰,0793,334600江西,万年,0793,335500江西,铅山,0793,334500江西,横峰,0793,334300江西,婺源,0793,333200江西,德兴,0793,334200江西,抚州,0794,344000江西,资溪,0794,335300江西,广昌,0794,344900江西,东乡,0794,331800江西,金溪,0794,344800江西,崇仁,0794,344200江西,临川,0794,344100江西,宜黄,0794,344400江西,乐安,0794,344300江西,南城,0794,344700江西,南丰,0794,344500江西,黎川,0794,344600江西,宜春,0795,336000江西,宜丰,0795,336300江西,上高,0795,336400江西,奉新,0795,330700江西,靖安,0795,330600江西,高安,0795,330800江西,丰城,0795,331100江西,樟树,0795,331200江西,万载,0795,336100江西,铜鼓,0795,336200江西,吉安,0796,343000江西,吉安县,0796,343100江西,新干,0796,331300江西,永丰,0796,331500江西,吉水,0796,331600江西,峡江,0796,331400江西,泰和,0796,343700江西,万安,0796,343800江西,遂川,0796,343900江西,宁冈,0796,343500江西,永新,0796,343400江西,井岗山,0796,343600江西,安福,0796,343200江西,赣州,0797,341000江西,瑞金,0797,342500江西,于都,0797,342300江西,兴国,0797,342400江西,宁都,0797,342800江西,石城,0797,342700江西,寻乌,0797,342200江西,南康,0797,341400江西,赣县,0797,341100江西,大余,0797,341500江西,上犹,0797,341200江西,崇义,0797,341300江西,信丰,0797,341600江西,龙南,0797,341700江西,定南,0797,341900江西,全南,0797,341800江西,安远,0797,342100江西,会昌,0797,342600江西,景德镇,0798,333000江西,乐平,0798,333300江西,浮梁,0798,333400江西,萍乡,0799,337000江西,莲花,0799,337100江西,鹰潭,0701,335000江西,贵溪,0701,335400江西,余江,0701,335200辽宁,沈阳,024,110000辽宁,新民,024,110300辽宁,辽中,024,110200辽宁,康平,024,112200辽宁,法库,024,112100辽宁,铁岭,0410,112000辽宁,铁岭县,0410,112600辽宁,昌图,0410,112500辽宁,开原,0410,112300辽宁,西丰,0410,112400辽宁,铁法,0410,112700辽宁,大连,0411,116000辽宁,庄河,0411,116400辽宁,长海,0411,116500辽宁,瓦房店,0411,116300辽宁,普兰店,0411,116600辽宁,金县,0411,116100辽宁,新金,0411,116200辽宁,鞍山,0412,114000辽宁,海城,0412,114200辽宁,台安,0412,114100辽宁,岫岩,0412,114300辽宁,抚顺,0413,113000辽宁,抚顺县,0413,113100辽宁,清原,0413,113300辽宁,新宾,0413,113200辽宁,本溪,0414,117000辽宁,本溪县,0414,117100辽宁,桓仁,0414,117200辽宁,丹东,0415,118000辽宁,东港,0415,118300辽宁,凤城,0415,118100辽宁,宽甸,0415,118200辽宁,锦州,0416,121000辽宁,凌海,0416,121200辽宁,黑山,0416,121400辽宁,义县,0416,121100辽宁,北宁,0416,121300辽宁,营口,0417,115000辽宁,盖州,0417,115200辽宁,大石桥,0417,115100辽宁,阜新,0418,123000辽宁,阜新县,0418,123100辽宁,彰武,0418,123200辽宁,辽阳,0419,111000辽宁,辽阳县,0419,111200辽宁,灯塔,0419,111300辽宁,朝阳,0421,122000辽宁,朝阳县,0421,122600辽宁,建平,0421,122400辽宁,北票,0421,122100辽宁,凌源,0421,122500辽宁,喀喇沁左翼,0421,122300辽宁,盘锦,0427,124000辽宁,盘山,0427,124100辽宁,大洼,0427,124200辽宁,葫芦岛,0429,121500辽宁,绥中,0429,121700辽宁,建昌,0429,122200辽宁,兴城,0429,121600内蒙古,海拉尔,0470,021000内蒙古,鄂温克,0470,021100内蒙古,阿荣旗,0470,162750内蒙古,牙克石,0470,022100内蒙古,扎兰屯,0470,162650内蒙古,鄂伦春,0470,022400内蒙古,陈巴尔虎旗,0470,021500内蒙古,新巴尔虎左旗,0470,021200内蒙古,新巴尔虎右旗,0470,021300内蒙古,根河,0470,022300内蒙古,额尔古纳右旗,0470,022200内蒙古,莫力达瓦旗,0470,162800内蒙古,满洲里,0470,021400内蒙古,呼和浩特,0471,010000内蒙古,托克托,0471,010200内蒙古,土默特左旗,0471,010100内蒙古,和林格尔,0471,011500内蒙古,武川,0471,011700内蒙古,清水河,0471,011600内蒙古,包头,0472,014000内蒙古,固阳,0472,014200内蒙古,土默特右旗,0472,014100内蒙古,白云鄂博,。
中国电话区号及邮政编码表电话区号表邮政编码表北京市北京:010上海市上海:021天津市天津:022重庆市重庆:023河北省石家庄:0311 保定:0312 张家口:0313承德:0314 唐山:0315 廊坊:0316沧州:0317 衡水:0318 邢台:0319邯郸:0310 秦皇岛:0335山西省太原:0351 朔州:0349 忻州:0350大同:0352 阳泉:0353 榆次:0354长治:0355 晋州:0356 临汾:0357离石:0358 孝义:0358 运城:0359内蒙古自治区呼和浩特:0471 海拉尔:0470 满洲里:0470 包头:0472 乌海:0473 集宁:0474通辽:0475 赤峰:0476 巴林左旗:0476 东胜:0477 准格尔旗:0477 临河:0478锡林浩特:0479 二连浩特:0479 乌兰浩特:0482 辽宁省沈阳:024 大连:0411 鞍山:0412抚顺:0413 本溪:0414 丹东:0415锦州:0416 营口:0417 阜新:0418辽阳:0419 铁岭:0410吉林省长春:0431 吉林:0432 延吉:0433敦化:0433 四平:0434 通化:0435白城:0436 大安:0436 辽源:0437扶余:0438 前郭:0438 浑江:0439临江:0439 珲春:0440黑龙江省哈尔滨:0451 齐齐哈尔0452 牡丹江:0453 佳木斯:0454 绥化:0455 黑河:0456加格达奇:0457 漠河:0457 伊春:0458大庆:0459 阿城:0450 依安:4623 嘉荫:4681江苏省南京:025 无锡0510 镇江:0511丹阳:0511 扬中:0511 句容:0511苏州:0512 吴江:0512 南通:0513海门:0513 启东:0513 南通:0513如东:0513 海安:0513 如皋:0513扬州:0514 江都:0514 胥浦:0514盐城:0515 徐州:0516 淮阴:0517连云港:0518 常州:0519 金坛:0519溧阳:0519 常熟:0520 张家港:0520昆山:0520 太仓:0520 泰州0523姜堰(泰县):0523 六合:025浙江省杭州:0571 余杭:0571 萧山:0571富阳:0571 桐庐:0571 建德:0571淳安:0571 临安:0571 湖州:0572德清:0572 安吉:0572 长兴:0572嘉兴:0573 嘉善:0573 平湖:0573海盐:0573 海宁:0573 桐乡:0573宁波:0574 奉化:0574 余姚:0574慈溪:0574 宁海:0574 象山:0574绍兴:0575 上虞:0575 嵊州:0575诸暨:0575 临海(台州):0576 黄岩:0576 椒江:0576 永嘉:0577 乐清:0577瑞安:0577 平阳:0577 青田:0578温州:0577 丽水:0578 金华:0579义乌:0579 衢州:0570 龙游:0570舟山:0580 岱山:0580 普陀:0580安徽省合肥:0551 滁州:0550 全椒:0550蚌埠:0552 芜湖:0553 芜湖县:0553准南:0554 凤台:0554 马鞍山:0555安庆:0556 宿州:0557 宿县:0557萧县:0557 阜阳:0558 阜南:0558黄山:0559 铜陵:0562 宣州(宣城):0563 六安:0564 巢湖:0565福建省福州:0591 厦门:0592 宁德:0593莆田:0594 泉州:0595 晋江:0595漳州:0596 龙岩:0597 三明:0598南平:0599 建阳:0590 古田:0593江西省南昌:0791 九江:0792 上饶:0793 临川(抚州):0794 宜春:0795 吉安:0796 赣州:0797 景德镇:0798 萍乡:0799 新余:0790 分宜:0790 鹰潭:0701山东省济南:0531 青岛:0532 胶州:0532淄博:0533 德州:0534 烟台:0535莱阳:0535 潍坊:0536 济宁:0537梁山:0537 腾州:0537 曲阜:0537兖州:0537 邹县:0537 微山:0537鱼台:0537 嘉祥:0537 泗水:0537汶上:0537 泰安:0538 临沂:0539菏泽:0530 郓城:0530 威海:0631日照:0633 莱芜:0634河南省郑州:0371 安阳:0372 新乡:0373许昌:0374 平顶山:0375 信阳:0376南阳:0377 开封:0378 洛阳:0379商丘:0370 焦作:0391 鹤壁:0392濮阳:0393 周口:0394 汝南:0396 湖北省武汉:027 襄樊:0710 鄂州:0711 孝感:0712 黄州:0713 黄石:0714 大冶:0714 咸宁:0715 江陵:0716 沙市:0716 宜昌:0717 恩施:0718 十堰:0719 荆门:0724湖南省长沙:0731 湘潭:0732 株洲:0733 衡阳:0734 郴州:0735 常德:0736 益阳:0737 娄底:0738 邵阳:0739 邵东:0739 岳阳:0730 张家界:0744 怀化:0745 冷水滩:0746广东省广州:020 潮阳:0661 揭阳:0663 江门:0750 新会:0750 开平:0750 韶关:0751 惠州:0752 梅县:0753 汕头:0754 深圳:0755 珠海:0756 佛山:0757 南海:0757 三水:0757 肇庆:0758 湛江:0759 中山:0760 潮州:0768 东莞:0769广西壮族自治区南宁:0771 柳州:0772 桂林:0773梧州:0774 玉林:0775 百色:0776钦州:0777 河池:0778 北海:0779海南省海口:0898 三亚:0899 儋州:0890 通什:08001 东方:08003 昌江:08005 定安:0898 文昌:0898四川省成都:028 攀枝花:0812 自贡:0813 永川:0814 温江:0815 金堂:0815 绵阳:0816 江油:0816 南充:0817 达县:0818 万县:0819 涪陵:0810 泸州:0830 宜宾:0831 内江:0832 乐山:0833 五通桥:0833 沙湾:0833 西昌:0834 雅安:0835 康定:0836 马尔康:0837 德阳:0838 广元:0839贵州省贵阳:0851 遵义:0852 安顺:0853都匀:0854 凯里:0855 铜仁:0856 毕节:0857 六盘水:0858 兴义:0859云南省昆明:0871 大理:0872 开远:0873 个旧:0873 曲靖:0874 保山:0875 文山:0876 江川:0877 玉溪:0877 楚雄:0878 思茅:0879 昭通:0870 丽江:0888西藏自治区拉萨:0891陕西省西安:029 临潼:029 咸阳:0910 延安:0911 榆林:0912 渭南:0913 商州:0914 安康:0915 汉中:0916 宝鸡:0917 铜川:0919甘肃省兰州:0931 定西:0932 平凉:0933 庆阳:0934 西峰:0934 金昌:0935 武威:0935 张掖:0936 玉门:0937 敦煌:0937 酒泉:0937 天水:0938陇南:0939 临夏:0930 银川:0951宁夏回族自治区银川:0951 石嘴山:0952 青铜峡:0953吴忠:0953 固源:0954 海原:0954青海省西宁:0971 平安:0972 同仁:0973共和:0974 果洛:0975 玉树:0976德令哈:0977 门源:0978 格尔木:0979新疆维吾尔自治区乌鲁木齐:0991 奎屯:0992 石河子:0993 昌吉:0994 吐鲁番:0995 库尔勒:0996 阿克苏:0997 喀什:0998 伊宁:0999克拉玛依:0990 阿图什:0908港、澳、台地区香港特别行政区HONGKONG:00852澳门MACAU:00853台湾省TAIWAN:00886 北京市北京:100000 通县:101100 门头沟区:102300 房山区:102400 平谷:101200 顺义:101300怀柔:101400 密云:101500 延庆:102100 昌平:102200 大兴:102600上海市上海:200000 郊区:200100 上海县:201100 川沙:201200 南汇:201300 奉贤:201400 金山:201500 松江:201600 青浦:201700 嘉定:201800 宝山:201900 崇明:202100 天津市天津:300000 塘洁:300450 汉沽:300480 宁河:301500 静海:301600 武清:301700 宝坻:301800 蓟县:301900内蒙古自治区呼和浩特:010000 土默特左旗:010100 托克托县:010200 包头:014100 默特右旗:014100 固阳:014200乌海:016000 赤峰:024000宁城:024200 敖汉旗:024300喀喇沁旗:024400 翁牛特旗:024500林西:025200 巴林右旗:025100克什克腾旗:025300 巴林左旗:025400阿鲁科尔沁旗:025500 集宁:012000本镇:012100 察哈尔右翼前旗:012200卓资:012300 清水河:011600察哈尔右翼后旗:012400 和林洛尔:011500 武川:011700 四子王旗:011800达尔罕茂明安:011900 化德:013300商都:013400 察哈尔右翼中旗:013500 兴和:013600 凉城:013700锡林浩特:026000 阿巴嘎旗:026100西乌珠穆沁旗:026200 东乌珠穆沁旗:026300 苏尼特右旗:012500 二连浩特:012600苏尼特左旗:015100 镶黄旗:012300太仆寺旗:027000 正镶白旗:027100多伦:027300 正蓝旗:027200海拉尔:021000 鄂温克族旗:021100 新巴尔虎左旗:021200 新巴尔虎右旗:021300 满洲里:021400 阿巴尔虎旗:021500 牙克石:022100 额尔古纳:022200鄂伦克旗:022100 扎兰屯:162600莫力达:162800 阿荣旗:162700通辽:02800 科尔沁左翼后旗:028100 库伦旗:288200 奈曼旗:028300开鲁:028400 扎鲁特旗:029100霍林郭勒旗:029200 东胜:017000准格尔旗:017100 科尔沁左翼中旗:029300 伊金霍洛旗:017200 乌审旗:017300杭锦旗:017400 达拉特旗:014300鄂托克前旗:016200 鄂托克前旗:015000 临河:015100 五原:015200磴口:015300 乌拉特持后旗:015400乌拉善左旗:015500 阿拉善右旗:014400 突泉:735400 额济纳旗:750300乌兰浩特:737300 扎资特期:137400 科尔沁右翼前旗:137500 科洋沁右:137600 翼中旗:137400山西省太原:030000 古交区:030200 阳曲:030100 娄烦:030300 清徐:030400 大同:037000 孟县:045100 平定:045200 阳泉:045000 襄垣:046200 武乡:046300 长治:046000 沁县:046400 长子:046600 长治:047100 壶关:047300 平厢:046400 潞城:047500 黎城:047600 阳城:048100 晋城:048000 沁水:048200 陵川:048300 高平:046700 左云:037100 右玉:037200 大同:037300 浑源:037400 广灵:037500 应县:037600阳高:038100 天镇:038200 与仁:038300 山明:038400 朔县:038500 平鲁:038600 灵丘:034400 原平:034100 沂洲:034000 代县:034200 繁崎:034300 静乐:035100 定襄:035400 五台:035500 宁武:036000 神池:036100 五寒:036200 岢岚:036300 偏关:036400 河幽:036500 保德:036600 太谷:030800 祁县:030900 榆次:030600 平遥:031100 介休:031200 灵石:031300 寿阳:031700 榆社:031000 左汉:032600 和顺:032700 昔阳:045300 离石:033000 方山:033100 临县:033200 柳林:033300 中阳:023400 交城:030500 岚县:035300 兴县:035300 文水:032100 汾阳:032200 孝义:032300 交口:032400 石楼:032500 蒲县:041200 水和:041400 临汾:041000 襄汾:041500 乡宁:042100 吉县:042200 大宁:042300 古县:042400 安泽:042500 浮山:042600 曲沃:043400 候马:043000 翼城:043500 霍县:031400 汾西:031500 洪洞:031600 临犄:044100 运城:044000 万荣:044200 平陆:044300 夏县:044400水济:044500 芮城:044600 新绛:043100稷山:043200 河津:043300 绛县:043600垣曲:043700 闻喜:043800河北省石家庄050000 井阽矿区:050100 获鹿:050200 井陉:050300 正定:050800 奕城:051400 邯郸:056000 峰峰矿区:056200 武安:056300 刑台县:054000 刑台市:054000 保定:071000 清苑:071100 满城:072100 张家口:075000 庞家保:075200 下花园:075100 宣化:075100 承德:067000 寿王坟:067100 古治:063100 承德:067400 唐山:063000 鹰手营子:067200 唐海:063200 丰南:063300 滦南:063500 乐亭:063600 滦县:063700 丰润:064000 玉田:064100 遵化:064200 迁西:064300 迁安:064400 秦皇岛:066000 北戴河:066100 山海关:066200 抚宁:066300 卢龙:066400 青龙:066500 昌黎:066600 沧州:061000 青县:062600 平山:050400 灵寿:050500 行唐:050600 新乐:050700 元氏:051100 赞皇:051200 高邑:051300 赵县:051500 藁城:052100 晋县:052200 辛集:052300无极:052400 深泽:052500 涉县:056400 磁县:056500 临漳:056600 成安:056700 魏县:056800 大名:056900 永年:057100 曲周:057200 鸡泽:057300 丘县:057400 肥乡:057500 广平:057600 馆陶:057700 宁晋:051600 新河:051700 南宫:051800 沙河:054100 内丘:054200 临城:054300 南和:054400 平乡:054500 广宗:054600 威县:054700 清河:054800 任县:055100 巨鹿:055200 隆尧:055300 柏乡:055400 临西:057800 安国:071200 博野:071300 蠡县:071400 高阳:071500 安新:071600 容城:071700 雄县:071800 完县:072200 唐县:072300 望都:072400 徐水:072500 定兴:072600 涿州:072700 定州:073000 曲阳:073100 阜平:073200 新城:074000 涞水:074100 易县:074200 涞源:102900 怀来:075400 赤城:075500 涿鹿:075600 蔚县:075700 阳源:075800 怀安:076100 万全:076200 崇礼:076300 张北:076400 沽源:076500 康保:076600 尚义:076700 兴隆:067300 平泉:067300 宽城:067600隆化:068100 滦平:068200 丰宁:068300 围场:068400 滩坊:102800 固安:102700 三河:101600 大广:101700 香河:302500 永清:302600 霸县:302700 文安:302800 大城:302900 黄骅:061100 海兴:061200 盐山:061300 孟村:061400 南皮:061500 东光:061600 吴桥:061800 泊头:062100 献县:062200 肃宁:062300 河间:062400 任丘:062500 衡水:053000 枣强:053100 翼县:053200 武强:053300 武邑:053400 景县:053500 安平:052600 饶阳:052700 深县:052800 阜城:061700 故城:253800辽宁省沈阳:110000 辽中:110200 新民:110300 大连:116000 大连市经济技术开发区:116600 金县:116100 新金:111200 瓦房店:116300 庄河:116400 长海:116500 鞍山:114000 台安:114100 海城:114200 抚顺:113000 抚顺县:113100 新宾:113200 清源:113300 本溪:117000 本溪县:117100 楦仁:117200 丹东:116000 岚城:118100 宽甸:118200东沟:118300 郎岩:118400 锦州:121000 义县:121400 曲镇:121200 黑由:121100 锦西:121500 兴城:121600 绥中:121700 营口:115000 营口县:115100 朝阳:122000 北票:122100 建昌:122200 喀喇沁左翼:122300 建平:122400 凌源:125000 朝阳县:122600 吉林省长春130000 农安:130200 德惠:130300 榆树:130400 九台:130500 双阳:130600 吉林:132000 永吉:132200 磐石:132300 桦甸:132400 蛟河:132500 舒兰:132600 四平:136000 公主岭:136100 辽源:136200 东丰:136300 东辽:136600 白城:137000 洮南:137100 通榆:137200 镇赉:137300 长岭:131500 延吉:133000 图们:138100 汪清:133200 珲春:133300 龙井:133400 和龙:133500 安图:133600 敦化:133700黑龙江省哈尔滨:150000 阿城:150300 呼兰:150500 齐齐哈尔:161000 龙江:161100 富裕:161200 讷河:161300 依安:161500 克山:161600拜泉:161700 克东:161800 甘南:162100 杜尔柏特:162200 大庆:163000 伊春:153000 南岔:153100 嘉荫:153200 铁力:152500 牡丹江:157000 海林:157100 东宁:157200 绥芬河:157300 宁安:157400 穆棱:157500 林口:157600 密山:158300 虎林:158400 佳木斯:154400 桦川:154300 桦南:154400 汤原:154700 依兰:154800 富锦:156100 建三江:156300 同江:156400 抚远:156500 宝清:156600 饶河:156700 友谊:156900 七台河:154600 勃利:154500 绥化:152000 望奎:152100 绥棱:152200 海伦:152300 庆安:152400 肇源:151300 安达:151400 兰西:151500 青冈:151600 明水:151700 黑河:154300 德都:164000 五大连池:164500 嫩江:161400 延寿:150700 方正:150800 通河:150900 巴彦:151800 木兰:151900 加格达奇:165000 呼玛:165100 塔河:165200 漠河:165300江苏省南京:210000 江宁:211100 渠水:211200 高淳:211300 六合:211500 江浦:211800镇江:212000 丹徒:212100 扬中:212200 丹阳:212300 无锡:214000 宜兴:214200 江阴:214200 苏州:215000 连云港:222000 赣榆:222100 灌云:222200 东海:222300 盐城:224000 大丰:224100 东台:224200 射阳:224300 阜宁:224400 滨海:224500 建湖:224700 杨州:225000 南通:226000 海门:226100 南通市:227300 如东:226400 如皋:226500 海安:225600安徽省合肥:230000 长丰:231100 肥西:231200 肥东:231600 淮南:232000 风台:232100 蚌埠:233000 五河:233300 怀远:233400 固镇:233700 淮北:235000 芜湖:241000 安庆:246000 黄山:245000 宣州:242000 郎溪:242100 广德:242300 宁国:243400 六安:237000 六安县:237100 霍山:237200 金寨:237300 霍丘:237400 舒城:231300 寿阳:232200 太湖:246400 宿松:246500 岳阳:246600 嘉山:239100 风阳:233100 定远:233200 全椒:239500山东省济南:250000 历城区:250100 长清:250300 青岛:266000 胶南:266400 平度:262800 淄博:255000 东营:257000 台儿庄区:277400 滕县:277500 高密:261500 安丘:262100 昌乐:262400 寿光:262700 福山区:265500 乳山:264500 莱阳:265100 海阳:265100 烟台:264000 齐河:251100 滨县:256800 泗水:273500 平邑:273300 东明:274500 浙江省杭州:310000 湖州:313100 镇海:315200宁海:315600 安吉:313300 绍兴:312000奉化:315500 嘉兴:314000 平湖:314200海盐:314300 温州:325000 永嘉:325100瑞安:325200 江山:324100 庆元:323800仙居:317300 天台:317200 三门:317100桐乡:314500 义乌:322000 青田:323900缙云:321400江西省南昌:330000 新建:330100 南昌县:330200 安义:330500 九江:332000 瑞昌:332200 湖口:332500 星子:332800 庐山:332900永修:330300 德安:330400 乐平:333300 分宜:336600 上饶:334000 德兴:334200 清江:331200 宁都:342300 吉安:343000 安福:343200 井冈山:343600 东乡:331800 广昌:344900 金溪:344800 资溪:335200 福建省福州:350000 长乐:350200 平潭:350400 连江:350500 罗源:350600 闽清:350800 厦门:361000 同安:361100 明溪:365200 宁化:365400 永安:366000 泉州:362000 惠安:362100 德化:362500 宁德:352100 福安:355000 顺昌:353200 南平:353000 屏南:352300 拓荣:355300湖南省长沙:410000 望城:410200 长沙县:410100 浏阳:410300 宁乡:410600 株州:412000 酸陵:412200 攸县:412800 株州县:412100 茶陵:412400 郡县:412500 湘潭:411100 临湘:414300 汩罗:414400 平江:410400 湘阴:410500 益阳:413000 益阳县:413000 沅江:413100 南昌:413200 桃江:413400 安化:413400 常德:413500 常德县:415100临澄:415200 石门:415300湖北省武汉:430000 汉阳:430100 武昌:430200 新洲:431400 黄陂:432200 沙市:434000 十堰:442000 宜昌:443000 荆州:445000 鄂州:436000 黄石:435000 太治:4351000 襄樊:441000 枣阳:441200 随州:441300 宜城:441400 南漳:441500 保康:441600 江陵:431400 天门:431700 老江口:441800 京山:431800 钟祥:431900 仙桃:433000 潜江:433100 洪湖:433100 监利:433300 松滋:434200 公安:434300 石首:434400 孝感:432100河南省郑州:450000 荣阳:450100 新郑:451100 巩县:451200 中牟:451400 资县:452300 登封:452400 新乡:453000 汲县:453100 延津:453200 封丘:453300 长垣:453400 原阳:453500 辉县:453600 新乡:453700 获嘉:453800 焦作:454100 修武:454300 博爱:454400 沁阳:454500 济源:454600 孟县:454700 温县:454800 武陟:464900广东省广州:510000 花县:510800 从化:510900 增城:511300 番禹:511400 韶关:512000 曲江:512100 乐昌:512200 仁化:512300 南雄:512400 始兴:512500 翁源:512600 乳源:512700 新丰:511100 清远:511500 佛冈:511600 英德:513000 阳山:513100 连山:513200 连南:513300 连县:513400 梅州:514000 梅县:514000 蕉岭:514100 大埔:514200 丰顺:514300 五华:514400 兴宁:514500 平远:514600海南省海口:575000 琼山:571100 定安:571200 文昌:571000 琼海:571400 万宁:571500 偏县:571700 三亚:572100 通什:572200 保亭:572300 陵水:572400 乐东:572500 东方:572600 昌江:572700 白沙:572800 琼中:572900 西南中沙群岛:573100广西壮族自治区南宁:530000 武鸣:530100 邑宁:530200 柳州:545000 柳江:545100 柳城:545200 桂林:541000 临桂:541100 阳翔:541000梧州:543000 苍梧:543100 北海:536000合浦:536100 西林:533500 田阳:533600德保:533700 靖西:533800 那坡:533900平果:531400 田东:531500 玉林:537000贵县:537100 桂平:537200 平南:537200北流:537300 容县:537400 博白:537500陆川:537700 灵川:541200 兴安:541300贵州省贵阳:550000 六盘水:553000 水域:553000 毕节:551700 六枝特区:553400 盘县特区:561600 黔西:551500 大方:551600 金沙:551800织金:552100 咸宁:553100 赫章:553200纳雍:552300 安顺:561000 平坝:561100镇宁:561200 关岭:561300 修文:550200开阳:550300 紫云:550800 息峰:551100清镇:551400 普定:562100 遵义:563000绥阳:563300 桐梓:563200 遵义县:563100 四川省成都:610000 龙泉区:610100 青白江区:613000 双流:610200 金堂:610400 新都:610500温江:611100 崇安:611200 大邑:611300新津:611400 邛崃:611600 蒲江:611600郫县:611700 灌县:611800 彭县:611900 绵阳:621000 三台:621100 盐亭:621600 江油:621700 梓潼:622100 平武:622500 安县:622600 北川:622700 广元:622800 青川:628100 旺苍:628200 剑阁:628300 苍溪:628400 遂宁:629000 莲溪:629100 射洪:629200 内江:641000陕西省西安:710000 长安:710100 高陵:710200 户县:710300 周至:710400 蓝田:710500 临潼:710600 铜川:727000 耀县:727100 宜君:727200 宝鸡:721000 千阳:721100 陇县:721200 凤翔:721400 麟游:721500 太白:721600 凤县:721700 抚凤:722200 眉县:722300 歧山:722400 咸阳:712000 杨陵:712100 淳化:711200甘肃省兰州:730000 榆中:730100 皋兰:730200 永登:730300 河西:737600 金昌:737100 永昌:737200 白银:730900 景泰:730400 靖远:730600 会宁:743200 天水:741000 甘徐:741200 武山:741300 清水:741400秦安:741650 嘉峪关:735100 张家川:741500 定西:748000 陇西:748100 渭源:748200漳县:748300 岷县:748400 通渭:743300临洮:730500 平凉:744000 庄浪741700宁夏回族自治区银川:750000 永宁:750100 贺兰:750200石咀山:753000 吴忠:751100 石咀山区:753200 平罗:753400 陶乐:753500 石炭井区:753300 中宁:751200 同心:751300 灵武:751400盐池:751500 中卫:751700 青铜峡:751600 固原:756000 海原:756100 西吉:756200隆德:756300 泾源:756400 彭阳:756500青海省西宁:810000 矿区:810200 大通:810100平安:810600 互助:810500 乐都:810700民和:810800 化隆:818900 循化:811100同德:813100 兴海:813300 贵德:811700同仁:811300 尖扎:811200 龙羊峡:811800 泽库:811400 河南:811500 玛沁:814000玛多:813500 甘德:814100 花石峡:813100 达日:814200 班玛:814600 久治:814700玉树:815000 称多:815100 裹谦:815200杂多:815300 治多:815400 曲麻菜:815500 乌兰:817000 乌兰县:817100新疆维吾尔自治区乌鲁木齐:830000 克拉玛依:834000吐鲁番:838000 托克逊:838100鄯善:838200 南山矿区:838300哈密:839000 巴里:839200伊吾:839300 和田:848000墨玉:848100 洛浦:848200策勒:848300 于田:848400民丰:848500 皮山:845100喀什:844000 疏勒:844200伽师:844300 岳普湖:844400英吉沙:844500 麦盖提:844600莎车:844700 泽普:844800叶城:844900 巴楚:843800西藏自治区拉萨:850000 达孜:850100 墨竹工卡:850200 曲水:850600 尼木:851300 堆龙德庆:851400 当雄:851500 林周:851600 那曲:852000巴青:852100 索县:852200 比如:852300嘉黎:852400 班戈:852500 尼玛:852600申扎:853100 文部:853200 双湖:853300 安多:853400 聂荣:853500 昌都:844000 江达:854100 贡觉:854200 察雅:854300 左贡:854400 芒康:854500 八宿:854600 盐井:854700 妥坝:854800 碧土:854900 洛隆:855400 边须:855500 类乌齐:855600 丁青:855700 生达:855800 乃东:856000。
全国各地的邮政编码最佳答案北京市地区邮政编码长途区号地区邮政编码长途区号北京市100000 010 通县101100 010平谷县101200 010 顺义县101300 010怀柔县101400 010 密云县101500 010延庆县102100 010 昌平县102200 010门头沟区102300 010 房山区102400 010燕山区102500 010 大兴县102600 010上海市地区邮政编码长途区号地区邮政编码长途区号上海市200000 021 近郊区200100上海县201100 021 川沙县201200 021南汇县201300 021 奉贤县201400 021金山县201500 021 松江县201600 021青浦县201700 021 嘉定县201800 021宝山县201900 0895 崇明县202100 021天津市地区邮政编码长途区号地区邮政编码长途区号天津市300000 022 塘沽300450汉沽300480 宁河县301500 022静海县301600 022 武清县301700 022宝坻县301800 022 蓟县301900 022大港区300270内蒙古地区邮政编码长途区号地区邮政编码长途区号呼和浩特市010000 0471 集宁市012000 0474二连浩特市012600 0479 包头市014000 0472临河市015000 0478 乌海市016000 0473东胜市017000 0477 海拉尔市021000 0470满洲里市021400 0470 牙克石市022100 0470赤峰市024000 0476 锡林浩特市026000 0479乌兰浩特市137400 0482 通辽市028000 0475霍林郭勒市029200 0475 扎兰屯市162650 0470山西省地区邮政编码长途区号地区邮政编码长途区号太原市030000 0351 榆次市030600 0354忻州市034000 0350 大同市037000 0352临汾市041000 0357 侯马市043000 0357运城市044000 0359 阳泉市045000 0353长治市046000 0355 晋城市048000 0356河北省地区邮政编码长途区号地区邮政编码长途区号石家庄市050000 0311 南宫市051800 0319辛集市052300 0311 衡水市053000 0318邢台市054000 0319 沙河市054100 0319邯郸市056000 0310 沧州市061000 0317泊头市062100 0317 任丘市062500 0317唐山市063000 0315 秦皇岛市066000 0335北戴河066100 承德市067000 0314保定市071000 0312 涿州市072700 0312定州市073000 0312 张家口市075000 0313廊坊市102800 0316辽宁省地区邮政编码长途区号地区邮政编码长途区号沈阳市110000 024 辽阳市111000 0419铁岭市112000 0410 铁法市112700 0410抚顺市113000 0413 鞍山市114000 0412海城市114200 0412 营口市115000 0417大连市116000 0411 瓦房店市116300 0411本溪市117000 0414 丹东市118000 0415锦州市121000 0416 锦西市121500 0421兴城市121600 0429 朝阳市122000 0421北票市122100 0421 阜新市123000 0418盘锦市124000 0427吉林省地区邮政编码长途区号地区邮政编码长途区号长春市130000 0431 扶余市131200吉林市132000 0432 桦甸市132400 0432延吉市133000 0433 图门市133100 0433龙井市133400 0433 敦化市133700 0433通化市134000 0435 集安市134200 0435浑江市134300 0439 梅河口市135000 0448四平市136000 0434 公主岭市136100 0434辽源市136200 0437 白城市137000 0436洮南市137100 0436黑龙江省地区邮政编码长途区号地区邮政编码长途区号哈尔滨市150000 0451 阿城市150300 0450肇东市151100 0451 绥化市152000 0455伊春市153000 0458 佳木斯市154000 0454鹤岗市154100 0454 七台河市154600 0453双鸭山155100 0454 同江市156400 0454牡丹江市157000 0453 绥芬河市157300 0453鸡西市158100 0453 齐齐哈尔市161000 0452大庆市163000 0459 北安市164000 0456黑河市164300 0456 五大连池市164500 0456江苏省地区邮政编码长途区号地区邮政编码长途区号南京市210000 025 仪征市211400 0514镇江市212000 0511 丹阳市212300 0511常州市213000 0519 无锡市214000 0510宜兴市214200 0510 江阴市214400 0510苏州市215000 0512 常熟市215500 0520徐州市221000 0516 连云港市222000 0518淮阴市223000 0517 淮安市223200 0517宿迁市223800 0527 盐城市224000 0515东台市224200 0515 扬州市225000 0514泰州市225300 0523 兴化市225700 0523南通市226000 0513安徽省地区邮政编码长途区号地区邮政编码长途区号合肥市230000 0551 淮南市232000 0554蚌埠市233000 0552 宿州市234000 0557淮北市235000 0561 阜阳市236000 0558毫州市236800 0558 六安市237000 0564巢湖市238000 0565 滁州市239000 0550芜湖市241000 0553 宣州市242000 0563黄山市242700 0559 马鞍山市243000 0555铜陵市244000 0562 黄山市245000 0559安庆市246000 0556山东省地区邮政编码长途区号地区邮政编码长途区号济南市250000 0531 聊城市252000 0635临清市252600 0635 德州市253000 0534淄博市255000 0533 滨州市256600 0543东营市257000 0546 潍坊市261000 0536诸城市262200 0536 青州市262500 0536烟台市264000 0535 威海市264200 0896青岛市266000 0532 泰安市271000 0538莱芜市271100 0634 新泰市271200 0538济宁市272100 0537 曲阜市273100 0537荷泽市274000 0530 临沂市276000 0539日照市276800 0633 枣庄市277100 0632滕州市277500 0632浙江省地区邮政编码长途区号地区邮政编码长途区号杭州市310000 0571 萧山市311200 0571绍兴市312000 0575 湖州市313000 0572嘉兴市314000 0573 海宁市3144000 0573宁波市315000 0574 余姚市315400 0574舟山市316000 0580 临海市317000 0576椒江市317700 0576 金华市321000 0579兰溪市321100 0579 丽水市323000 0578衙州市324000 0570 江山市324100 0570温州市325000 0577 义乌市322000 0579东阳市322100 0579 瑞安市325200 0577江西省地区邮政编码长途区号地区邮政编码长途区号南昌市330000 0791 九江市332000 0792景德镇市333000 0798 上饶市334000 0793鹰潭市335000 0701 伊春市335000 0795新余市336500 0790 萍乡市337000 0799赣州市341000 0797 吉安市343000 0796井岗山市343600 0796 抚州市344000 0794临川市344100 0794福建省地区邮政编码长途区号地区邮政编码长途区号福州市350000 0591 莆田市351100 0594南平市353000 0599 邵武市354000 0599厦门市361000 0592 泉州市362000 0595石狮市362700 0595 漳州市363000 0596龙岩市364000 0597 三明市365000 0598永安市366000 0598湖南省地区邮政编码长途区号地区邮政编码长途区号长沙市410000 0731 湘潭市411100 0732湘乡市411400 0732 株洲市412000 0733益阳市413000 0737 岳阳市414000 0730汨罗市414400 0730 常德市415000 0736津市市415400 0736 吉首市416000 0743大庸市416600 0748 娄底市417000 0738涟源市417100 0738 冷水江市417500 0738怀化市418000 0745 洪江市418200 0745衡阳市421000 0734 浏阳市410300 0731邵阳市422000 0739 彬州市423000 0735永州市425000 0746 冷水滩市425100 0741湖北省地区邮政编码长途区号地区邮政编码长途区号武汉市430000 027 麻城市431600 0713天门市431700 0728 孝感市432100 0712应城市432400 0712 安陆市432600 0712仙桃市433000 0721 洪湖市433200 0728沙市市434000 0716 石首市434400 0716荆门市434500 0727 黄石市435000 0714鄂州市436000 0711 武穴市436400 0713咸宁市437000 0715 襄樊市437300 0710蒲圻市427300 0715 随州市441300 0722老河口市441800 0710 丹江口市441900 0719十堰市442000 0719 宜昌市443000 0717枝城市443300 0717 恩施市445000 0718利川市445400 0718 潜江433100 0728河南省地区邮政编码长途区号地区邮政编码长途区号郑州市450000 0371 新乡市453000 0373焦作市454100 0391 安阳市455000 0372鹤壁市456600 0392 濮阳市457000 0393许昌市461000 0374 漯河市462000 0395驻马店市463000 0396 信阳市464000 0376周口市466000 0394 平顶山市467000 0375洛阳市471000 0379 三门峡市472000 0398义马市472300 0398 南阳市473000 0377开封市475000 0378 商丘市476000 0370广东省地区邮政编码长途区号地区邮政编码长途区号广州市510000 020 清远市511500 0763东莞市511700 0769 韶关市512000 0751梅州市514000 0753 汕头市515000 0754潮州市515600 0768 惠州市516000 0752汕尾市516600 0660 河源市517000 0762深圳市518000 0755 湛江市524000 0759茂名市525000 0668 肇庆市526000 0758佛山市528000 0757 中山市528400 0760江门市529000 0750 阳江市529500 0662海南省地区邮政编码长途区号地区邮政编码长途区号海口市570000 0898 三亚市572100 0898通什市572200 0898广西省地区邮政编码长途区号地区邮政编码长途区号南宁市530000 0771 凭祥市532600 0771百色市533000 0776 钦州市535000 0777北海市536000 0779 玉林市537000 0775桂林市541000 0773 梧州市543000 0774柳州市545000 0772 台山市546500河池市547000 0778贵州省地区邮政编码长途区号地区邮政编码长途区号贵阳市550000 0851 六盘水市553000 0858铜仁市554300 0856 凯里市556000 0855都匀市558000 0854 安顺市561000 0853兴义市562400 0859 遵义市563000 0852赤水市564700四川省地区邮政编码长途区号地区邮政编码长途区号成都市610000 028 乐山市614000 0833西昌市615000 0834 攀枝花市617000 0812得阳市618000 0838 绵阳市621000 0816雅安市625000 0835 广元市628000 0839遂宁市629000 0825 重庆市630000 0811万县市634000 0819 达县市635000 0818南充市637000 0817 华蓥市638600 0825内江市641000 0832 自贡市643000 0813宜宾市644000 0831 泸州市646000 0830涪陵市648000 0810云南省地区邮政编码长途区号地区邮政编码长途区号昆明市650000 0871 东川市654100 0881曲靖市655000 0874 照通市657000 0870开远市661000 0873 个旧市661400 0873大理市671000 0872 楚雄市675000 0878宝山市678000 0875陕西省地区邮政编码长途区号地区邮政编码长途区号西安市710000 029 咸阳市712000 0910渭南市714000 0913 韩城市715400 0913延安市716000 0911 宝鸡市721000 0917汉中市723000 0916 铜川市727000 0919甘肃省地区邮政编码长途区号地区邮政编码长途区号兰州市730000 0931 白银市730900 0943临夏市731100 0930 武威市733000 0935张掖市734000 0936 酒泉市735000 0937嘉峪关市735100 0937 玉门市735200 0937金昌市733000 0935 天水市741000 0938平凉市744000 0933 西峰市745000 0934宁夏地区邮政编码长途区号地区邮政编码长途区号银川市750000 0951 吴忠市7511000 0953青铜峡市751600 0953 石嘴山市753000 0952青海省地区邮政编码长途区号地区邮政编码长途区号西宁市810000 0971 格尔木市816000 0979德令哈市817000 0977新疆地区邮政编码长途区号地区邮政编码长途区号乌鲁木齐市830000 0991 昌吉市831100 0994石河子市832000 0993 奎屯市833200 0992博乐市833400 0909 克拉玛依市834000 0990塔城市834700 0901 伊宁市835000 0999阿勒泰市836500 0906 吐鲁番市838000 0995哈密市839000 0902 库尔勒市841000 0996阿克苏市843000 0997 喀什市844000 0998阿图什市845300 0908 和田市848000 0903西藏地区邮政编码长途区号地区邮政编码长途区号拉萨市850000 0891 日喀则市857000 0892。
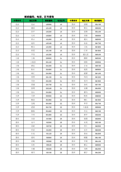
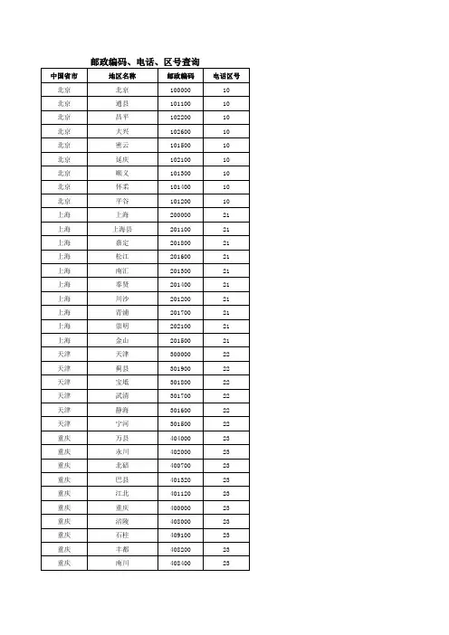
地区名称所属邮政编码电话区号北京北京100000010通县北京101100010昌平北京102200010大兴北京102600010密云北京101500010延庆北京102100010顺义北京101300010怀柔北京101400010平谷北京101200010上海上海200000021上海县上海201100021嘉定上海201800021松江上海201600021南汇上海201300021奉贤上海201400021川沙上海201200021青浦上海201700021崇明上海202100021金山上海201500021天津天津300000022蓟县天津301900022宝坻天津301800022武清天津301700022静海天津301600022宁河天津301500022万县重庆404000023永川重庆402000023北碚重庆400700023巴县重庆401320023江北重庆401120023重庆重庆400000023涪陵重庆408000023石柱重庆409100023丰都重庆408200023南川重庆408400023城口重庆405900023巫溪重庆405800023奉节重庆404600023云阳重庆404500023忠县重庆404300023梁平重庆405200023开县重庆405400023大足重庆402360023荣昌重庆402460023壁山重庆402760023铜梁重庆402560023潼南重庆402660023合川重庆401520023江津重庆402260023双桥重庆400900023南桐重庆400800023长寿重庆401220023綦江重庆401420023黔江重庆409700023武隆重庆408500023垫江重庆408300023巫山重庆404700023香港香港852澳门澳门853阿莲台湾000822886安定台湾000745887安平台湾000708888八德台湾000334889八里台湾000249890白河台湾000732891白沙台湾000884892板桥台湾000220893褒忠台湾000634894宝山台湾000308895卑南台湾000931896北斗台湾000521897北港台湾000651898北门台湾000727899北埔台湾000314900北投台湾000112901补子台湾000613902布袋台湾000739903草屯台湾000542904长宾台湾000937905长治台湾000905906潮州台湾000910907车城台湾000923908城中区台湾000100909成功台湾000936910池上台湾000934911春日台湾000920912刺桐台湾000647913寿县安徽2322000564舒城安徽2313000564六安安徽2370000564绩溪安徽2453000563广德安徽2422000563旌德安徽2426000563宁国安徽2423000563郎溪安徽2421000563泾县安徽2425000563宣州安徽2420000563铜陵县安徽2441000562铜陵安徽2440000562濉溪安徽2351000561淮北安徽2350000561黟县安徽2455000559休宁安徽2454000559祁门安徽2456000559歙县安徽2452000559黄山安徽2450000559利辛安徽2367000558太和安徽2366000558颍上安徽2362000558界首安徽2365000558涡阳安徽2336000558蒙城安徽2335000558阜南安徽2363000558毫州安徽2368000558阜阳安徽2360000558泗县安徽2343000557灵壁安徽2342000557砀山安徽2353000557萧县安徽2352000557宿州安徽2340000557岳西安徽2466000556怀宁安徽2461000556宿松安徽2465000556潜山安徽2463000556望江安徽2462000556桐城安徽2314000556枞阳安徽2467000556太湖安徽2464000556安庆安徽2460000556当涂安徽2431000555马鞍山安徽2430000555凤台安徽2321000554淮南安徽2320000554南陵安徽2424000553繁昌安徽2412000553芜湖县安徽2411000553芜湖安徽2410000553固镇安徽2337000552怀远安徽2334000552五河安徽2333000552蚌埠安徽2330000552长丰安徽2311000551肥西安徽2312000551肥东安徽2316000551明光安徽2394000550定远安徽2332000550来安安徽2392000550天长安徽2393000550凤阳安徽2331000550全椒安徽2395000550滁州安徽2390000550合肥安徽2300000551石台安徽2451000566东至安徽2472000566青阳安徽2428000566贵池安徽2471000566含山安徽2381000565和县安徽2382000565庐江安徽2315000565无为安徽2383000565金寨安徽2373000564霍山安徽2372000564霍邱安徽2374000564福州福建3500000591闽候福建3501000591连江福建3505000591长乐福建3502000591福清福建3503000591平潭福建3504000591永泰福建3507000591闽清福建3508000591罗源福建3506000591厦门福建3610000592同安福建3611000592宁德福建3521000593福安福建3550000593柘荣福建3553000593福鼎福建3552000593霞浦福建3551000593寿宁福建3555000593古田福建3522000593屏南福建3523000593周宁福建3554000593莆田福建3511000594仙游福建3512000594泉州福建3620000595晋江福建3622000595南安福建3623000595安溪福建3624000595永春福建3626000595德化福建3625000595惠安福建3621000595石狮福建3627000595漳州福建3630000596南靖福建3636000596华安福建3638000596长泰福建3639000596龙海福建3631000596漳浦福建3632000596云霄福建3633000596东山福建3634000596诏安福建3635000596平和福建3637000596龙岩福建3640000597漳平福建3644000597永定福建3641000597上杭福建3642000597武平福建3643000597长汀福建3663000597连城福建3662000597三明福建3650000598沙县福建3655000598尤溪福建3651000598大田福建3661000598永安福建3660000598清流福建3653000598宁化福建3654000598明溪福建3652000598建宁福建3545000598泰宁福建3544000598将乐福建3533000598南平福建3530000599建瓯福建3531000599顺昌福建3532000599建阳福建3542000599邵武福建3540000599浦城福建3534000599松溪福建3535000599政和福建3536000599光泽福建3541000599武夷山福建3543000599临夏市甘肃7311000930兰州甘肃7300000931红古区甘肃7300000931皋兰甘肃7302000931榆中甘肃7301000931永登甘肃7303000931定西甘肃7430000932静宁甘肃7434000933泾川甘肃7443000933灵台甘肃7444000933崇信甘肃7442000933华亭甘肃7441000993庄浪甘肃7417000993西峰甘肃7450000934金昌甘肃7330000935民勤甘肃7333000935天祝甘肃7332000935古浪甘肃7331000935金川甘肃7371000935永昌甘肃7372000935张掖甘肃7340000936山丹甘肃7341000936高台甘肃7343000936民乐甘肃7345000936临泽甘肃7342000936萧南甘肃7344000936酒泉甘肃7350000937玉门甘肃7352000937安西甘肃7361000937敦煌甘肃7362000937金塔甘肃7353000937阿克塞甘肃7364000937嘉峪关甘肃7351000937肃北甘肃7363000937天水甘肃7410000938甘谷甘肃7412000938武山甘肃7413000938秦安甘肃7416000938张家川甘肃7415000938清水甘肃7414000938武都甘肃7460000939白银甘肃7309000943靖远甘肃7306000943平凉甘肃7440000943景泰甘肃7304000943会宁甘肃7432000943临夏县甘肃73180009401永靖甘肃73160009402和政甘肃73120009403东乡甘肃73140009404康乐甘肃73150009405广河甘肃73130009406积石山甘肃73170009407甘南州甘肃74700009411夏河甘肃74710009412临潭甘肃74750009413舟曲甘肃74630009414碌曲甘肃74720009415玛曲甘肃74730009416旧尼甘肃74760009417迭部甘肃74740009418陇西甘肃74810009421漳县甘肃74830009422通渭甘肃74330009423岷县甘肃74840009424临洮甘肃73050009425渭源甘肃74820009426庆阳甘肃74510009441宁县甘肃74520009442镇原甘肃74450009443环县甘肃74570009444合水甘肃74540009445正宁甘肃74530009446华池甘肃74560009447成县甘肃74250009491康县甘肃74650009492文县甘肃74640009493宕昌甘肃74850009494西和甘肃74210009495礼县甘肃74220009496徽县甘肃74230009497两当甘肃74240009498广州广东510000020番禺广东511400020花县广东510800020从化广东510900020增城广东511300020汕尾广东5166000660海丰广东5164000660陆河广东5167000660潮阳广东5151000661阳江广东5295000662阳春广东5296000662阳东广东5295000662阳西广东5298000662揭阳广东5155000663揭东广东5155000663惠来广东5152000663揭西广东5154000663普宁广东5153000663茂名广东5250000668化州广东5251000668高州广东5252000668信宜广东5253000668电白广东5254000668江门广东5290000750台山广东5292000750开平广东5293000750恩平广东5294000750新会广东5291000750鹤山广东5297000750韶关广东5120000751曲江广东5121000751翁源广东5126000751新丰广东5111000751始兴广东5125000751仁化广东5123000751南雄广东5124000751乳源广东5127000751乐昌广东5122000751惠州广东5160000752惠东广东5263000752惠阳广东5162000752博罗广东5161000752龙门广东5112000752梅州广东5140000753梅县广东5140000753蕉岭广东5141000753大埔广东5142000753丰顺广东5143000753五华广东5144000753兴宁广东5145000753平远广东5146000753汕头广东5150000754澄海广东5158000754南澳广东5159000754深圳广东5180000755宝安广东5181000755珠海广东5190000756斗门广东5191000756佛山广东5280000757南海广东5282000757高明广东5285000757肇庆广东5260000758高要广东5261000758四会广东5262000758怀集广东5264000758封开广东5265000758德庆广东5266000758广宁广东5263000758湛江广东5240000759遂溪广东5243000759廉江广东5244000759吴川广东5245000759徐闻广东5241000759雷州广东5242000759中山广东5284000760河源广东5170000762连平广东5171000762和平广东5172000762龙川广东5173000762紫金广东5174000762清远广东5115000763佛冈广东5116000763英德广东5130000763连山广东5132000763阳山广东5131000763连南广东5133000763连州广东5134000763顺德广东5283000765云浮广东5273000766罗定广东5272000766郁南广东5271000766新兴广东5274000766潮州广东5156000768潮安广东5156000768饶平广东5157000768东莞广东5117000769防城港广西5357000770上思广西5355000770南宁广西5300000771上林广西5305000771凭祥广西5326000771邕宁广西5302000771崇左广西5322000771宁明广西5325000771武鸣广西5301000771马山广西5306000771龙州广西5324000771宾阳广西5304000771大新广西5323000771天等广西5328000771横县广西5303000771隆安广西5327000771扶绥广西5321000771柳州广西5450000772柳江广西5451000772鹿寨广西5456000772柳城广西5452000772三江广西5455000772融安广西5454000772融冰广西5453000772金秀广西5457000772合山广西5465000772忻城广西5462000772来宾广西5461000772武宣广西5459000772象州广西5458000772桂林广西5410000773阳朔广西5419000773临桂广西5411000773荔浦广西5466000773灌阳广西5416000773平乐广西5424000773兴安广西5413000773灵川广西5412000773全州广西5415000773永福广西5418000773龙胜广西5417000773恭城广西5425000773资源广西5414000773梧州广西5430000774苍梧广西5431000774藤县广西5433000774岑溪广西5432000774昭平广西5468000774贺县广西5428000774蒙山广西5467000774钟山广西5426000774富川广西5427000774玉林广西5370000775容县广西5375000775北流广西5374000775陆川广西5377000775博白广西5376000775贵港广西5371000775桂平广西5372000775平南广西5373000775百色广西5330000776田林广西5333000776隆林广西5334000776西林广西5335000776凌云广西5331000776田阳广西5336000776靖西广西5338000776田东广西5315000776乐业广西5332000776平果广西5314000776德保广西5337000776那坡广西5339000776钦州广西5350000777灵山广西5354000777浦北广西5353000777河池广西5470000778宜州广西5463000778罗城广西5464000778环江广西5471000778天峨广西5473000778凤山广西5476000778东兰广西5474000778南丹广西5472000778巴马广西5475000778都安广西5307000778大化广西5308000778北海广西5360000779合浦广西5361000779贵阳贵州5500000851清镇贵州5514000851修文贵州5502000851息烽贵州5511000851开阳贵州5503000851遵义贵州5630000852赤水贵州5647000852习水贵州5646000852仁怀贵州5645000852遵义县贵州5631000852桐梓贵州5632000852绥阳贵州5333000852正安贵州5634000852道真贵州5635000852湄潭贵州5641000852凤冈贵州5642000852务川贵州5643000852余庆贵州5644000852安顺贵州5610000853都匀贵州5580000854凯里贵州5560000855铜仁贵州5643000856毕节贵州5517000857六盘水贵州5530000858兴义贵州5624000859册亨贵州5522000859望谟贵州5523000859安龙贵州5524000859兴仁贵州5623000859贞丰贵州5622000859普安贵州5615000859晴隆贵州5614000859平坝贵州56110008631紫云贵州55080008632关岭贵州56130008633镇宁贵州56120008634普定贵州56210008635贵定贵州55130008640福泉贵州55050008641瓮安贵州55040008642三都贵州55810008643荔波贵州55840008644独山贵州55820008645平塘贵州55830008646罗甸贵州55010008647惠水贵州55060008648龙里贵州55120008649榕江贵州55720008650黄平贵州55610008651施秉贵州55620008652镇远贵州55770008653岑巩贵州55780008654三穗贵州55650008655天柱贵州55660008656锦屏贵州55670008657黎平贵州55730008658从江贵州55740008659沿河贵州56530008661松桃贵州55410008662万山贵州55420008663玉屏贵州55400008664江口贵州55440008665石阡贵州55510008666思南贵州56510008667印江贵州55520008668德江贵州56520008669长顺贵州55070008670威宁贵州55310008671赫章贵州55320008672纳雍贵州55330008673黔西贵州55150008674大方贵州55160008675金沙贵州55180008676织金贵州55210008677剑河贵州55640008680六枝贵州55340008681盘县贵州56160008682雷山贵州55710008686丹寨贵州55750008687麻江贵州55760008688台江贵州55630008689海口海南5700000898澄迈海南5719000898安定海南5712000898文昌海南5713000898屯昌海南5716000898琼海海南5714000898万宁海南5715000898琼山海南5711000898三亚海南5720000899通什海南5722000899保亭海南5723000899陵水海南5724000899琼中海南5729000899儋州海南5717000890白沙海南5728000890洋浦海南5780000890东方海南5726000890昌江海南5727000890临高海南5718000890石家庄河北0500000311获鹿河北0502000311正定河北0508000311栾城河北0514000311井陉河北0503000311元氏河北0511000311新乐河北0507000311无极河北0524000311深泽河北0525000311辛集河北0523000311晋州河北0522000311赵县河北0515000311赞皇河北0512000311高邑河北0513000311平山河北0504000311灵寿河北0505000311行唐河北0506000311保定河北0710000312潢城河北0721000312清苑河北0711000312涞水河北0741000312易县河北0742000312涞源河北1029000312唐县河北0723000312定兴河北0726000312涿州河北0727000312高碑店河北0740000312博野河北0713000312安国河北0712000312定州河北0730000312曲阳河北0731000312阜平河北0732000312高阳河北0715000312徐水河北0725000312容城河北0717000312雄县河北0718000312安新河北0716000312望都河北0724000312蠡县河北0714000312顺平河北0722000312张家口河北0750000313宣化河北0751000313怀安河北0761000313万全河北0762000313康保河北0766000313赤城河北0755000313怀来河北0754000313涿鹿河北0756000313蔚县河北0757000313阳原河北0758000313承德河北0670000314承德县河北0674000314兴隆河北0673000314隆化河北0681000314围场河北0684000314平泉河北0675000314宽城河北0676000314丰宁河北0683000314滦平河北0682000314唐山河北0630000315玉田河北0641000315滦县河北0637000315遵化河北0642000315滦南河北0635000315唐海河北0632000315丰南河北0633000315乐亭河北0636000315丰润河北0640000315迁安河北0644000315迁西河北0643000315廊坊河北1028000316霸州河北0657000316永清河北3026500316大城河北3029500316文安河北3028500316固安河北1027000316香河河北3025500316大厂河北1017000316三河河北1016000316沧州河北0610000317黄骅河北0611000317海兴河北0612000317盐山河北0613000317孟村河北0614000317青县河北0626000317南皮河北0615000317东光河北0616000317吴桥河北0618000317泊头河北0621000317河间河北0624000317肃宁河北0623000317任丘河北0625000317献县河北0622000317衡水河北0530000318景县河北0535000318故城河北2538000318枣强河北0531000318冀县河北0532000318深州河北0528000318安平河北0526000318邢台河北0540000319临西河北0578000319内丘河北0542000319临城河北0543000319柏乡河北0554000319宁晋河北0516000319隆尧河北0553000319巨鹿河北0552000319新河河北0517000319南宫河北0518000319清河河北0548000319威县河北0547000319广宗河北0546000319平乡河北0545000319南和河北0544000319任县河北0551000319沙河河北0541000319邯郸河北0560000310武安河北0563000310临漳河北0566000310磁县河北0565000310涉县河北0564000310成安河北0567000310永年河北0571000310鸡泽河北0573000310曲周河北0572000310丘县河北0574000310馆陶河北0577000310大名河北0569000310魏县河北0568000310广平河北0576000310肥乡河北0575000310秦皇岛河北0660000335昌黎河北0666000335卢龙河北0664000335抚宁河北0663000335青龙河北0665000335商丘河南4760000370商丘县河南4761000370虞城河南4763000370夏邑河南4764000370永城河南4766000370柘城河南4762000370宁陵河南4767000370荥阳河南4501000371新郑河南4511000371中牟河南4514000371新密河南4523000371登封河南4524000371巩义河南4512000371安阳河南4550000372安阳县河南4551000372汤阴河南4561000372林州河南4565000372内黄河南4563000372滑县河南4564000372新乡河南4537000373卫辉河南4531000373延津河南4532000373原阳河南4535000373获嘉河南4538000373长垣河南4534000373封丘河南4533000373辉县河南4536000373许昌河南4610000374长葛河南4615000374鄢陵河南4612000374禹州河南4525000374平顶山河南4670000375舞钢河南4625000375郏县河南4671000375襄城河南4526000375叶县河南4672000375鲁山河南4673000375宝丰河南4674000375汝州河南4675000375信阳河南4640000376信阳县河南4641000376罗山河南4642000376卧龙河南4730000377宛城河南4731000377邓州河南4741000377西峡河南4745000377浙川河南4744000377方城河南4732000377社旗河南4733000377唐河河南4734000377新野河南4735000377镇平河南4742000377南召河南4746000377桐柏河南4747000377内乡河南4743000377开封河南4750000378开封县河南4751000378洛阳河南4710000379洛宁河南4717000379孟津河南4711000379偃师河南4719000379伊川河南4713000379宜阳河南4716000379新安河南4718000379汝阳河南4712000379嵩县河南4714000379栾川河南4715000379焦作河南4541000391修武河南4543000391武陟河南4549000391温县河南4548000391孟县河南4547000391博爱河南4544000391沁阳河南4545000391济源河南4546000391鹤壁河南4566000392浚县河南4562000392淇县河南4567000392濮阳河南4570000393濮阳县河南4570020393台前河南4576000393范县河南4575000393南乐河南4574000393清丰河南4573000393周口河南4660000394西华河南4666000394淮阳河南4667000394郸城河南4771000394鹿邑河南4772000394沈丘河南4663000394项城河南4662000394扶沟河南4613000394太康河南4754000394商水河南4661000394漯河河南4620000395临颖河南4626000395舞阳河南4624000395郾城河南4623000395驻马店河南4630000396泌阳河南4637000396遂平河南4631000396汝南河南4633000396确山河南4632000396西平河南4621000396上蔡河南4638000396平舆河南4634000396新蔡河南4635000396光山河南4654000397新县河南4655000397淮滨河南4644000397固始河南4652000397商城河南4653000397息县河南4643000397三门峡河南4720000398卢氏河南4722000398渑池河南4724000398义马河南4723000398灵宝河南4725000398陕县河南4721000398哈尔滨黑龙江1500000451阿城黑龙江1503000451通河黑龙江1509000451方正黑龙江1508000451尚志黑龙江1506000451延寿黑龙江1507000451双成黑龙江1501000451肇东黑龙江1511000451宾县黑龙江1504000451木兰黑龙江1519000451五常黑龙江1502000451巴彦黑龙江1518000451呼兰黑龙江1505000451齐齐哈尔黑龙江1610000452克山黑龙江1616000452拜泉黑龙江1617000452依安黑龙江1615000452龙江黑龙江1611000452讷河黑龙江1613000452甘南黑龙江1621000452富裕黑龙江1612000452克东黑龙江1618000452泰来黑龙江1624000452牡丹江黑龙江1570000453林口黑龙江1576000453穆棱黑龙江1575000453东宁黑龙江1572000453海林黑龙江1571000453宁安黑龙江1574000453绥芬河黑龙江1573000453虎林黑龙江1584000453鸡西黑龙江1581000453鸡东黑龙江1582000453密山黑龙江1583000453七台河黑龙江1546000453勃利黑龙江1545000453佳木斯黑龙江1540000454依兰黑龙江1548000454汤原黑龙江1547000454桦南黑龙江1544000454抚远黑龙江1565000454同江黑龙江1564000454桦川黑龙江1543000454饶河黑龙江1567000454萝北黑龙江1542000454鹤岗黑龙江1541000454绥滨黑龙江1562000454双鸭山黑龙江1551000454友谊黑龙江1569000454宝清黑龙江1566000454集贤黑龙江1549000454绥化黑龙江1520000458明水黑龙江1517000458庆安黑龙江1524000458海伦黑龙江1523000458绥棱黑龙江1522000458望奎黑龙江1521000458兰西黑龙江1515000458青冈黑龙江1516000458黑河黑龙江1643000456北安黑龙江1640000456孙吴黑龙江1642000456逊克黑龙江1644000456德都黑龙江1641000456嫩江黑龙江1614000456五大连池黑龙江1645000456加格达奇黑龙江1650000457塔河黑龙江1652000457呼玛黑龙江1651000457漠河黑龙江1653000457伊春黑龙江1530000458嘉荫黑龙江1532000458铁力黑龙江1525000458大庆黑龙江1630000459林甸黑龙江1623000459安达黑龙江1514000459肇州黑龙江1512000459杜尔伯特黑龙江1620000459肇源黑龙江1513000459武汉湖北430000027武昌湖北430200027武昌县湖北430200027蔡甸湖北430100027黄陂湖北432200027新洲湖北431400027襄樊湖北4410000710襄阳湖北4411000710宜城湖北4414000710南漳湖北4415000710谷城湖北4417000710枣阳湖北4412000710老河口湖北4418000710保康湖北4416000710孝感湖北4321000712大悟湖北4328000712汉川湖北4323000712应城湖北4324000712云梦湖北4325000712安陆湖北4326000712广水湖北4327000712黄冈湖北4361000713黄州湖北4361000713麻城湖北4316000713红安湖北4315000713浠水湖北4362000713罗田湖北4366000713英山湖北4367000713蕲春湖北4363000713黄梅湖北4365000713武穴湖北4364000713黄石湖北4350000714大冶湖北4351000714阳新湖北4352000714咸宁湖北4370000715通山湖北4376000715崇阳湖北4375000715通城湖北4374000715蒲圻湖北4373000715嘉鱼湖北4372000715荆沙湖北4341000716沙市湖北4340000716监利湖北4333000716石首湖北4344000716公安湖北4343000716松滋湖北4342000716钟祥湖北4319000716京山湖北4318000716宜昌湖北4430000717宜昌县湖北4431000717远发湖北4442000717当阳湖北4441000717枝江湖北4432000717枝城湖北4433000717长阳湖北4435000717五峰湖北4434000717秭归湖北4436000717兴山湖北4437000717恩施湖北4450000718建始湖北4453000718巴东湖北4443000718鹤峰湖北4458000718宣恩湖北4455000718来凤湖北4457000718咸丰湖北4456000718利川湖北4454000718十堰湖北4420000719丹江口湖北4419000719房县湖北4421000719神农架湖北4424000719竹山湖北4422000719竹溪湖北4423000719郧西湖北4426000719随枣湖北4412000722随州湖北4413000722荆门湖北4345000727仙桃湖北4330000728天门湖北4317000728潜江湖北4331000728洪湖湖北4332000716温泉湖北4371000715岳阳湖南4140000730岳阳县湖南4141000730湘阴湖南4105000730华容湖南4142000730临湘湖南4143000730平江湖南4104000730汨罗湖南4144000730长沙湖南4100000731长沙县湖南4101000731宁乡湖南4106000731望城湖南4102000731浏阳湖南4103000731湘潭湖南4111000732湘潭县湖南4112000732韶山湖南4113000732湘乡湖南4114000732株洲湖南4120000733株洲县湖南4121000733攸县湖南4123000733茶陵湖南4124000733醴陵湖南4122000733炎陵湖南4125000733衡阳湖南4210000734衡阳县湖南4212000734耒阳湖南4218000734常宁湖南4215000734衡南湖南4211000734衡东湖南4214000734衡山湖南4213000734祁东湖南4216000734郴州湖南4230000735资兴湖南4234000735桂东湖南4235000735汝城湖南4241000735临武湖南4243000735嘉禾湖南4245000735安仁湖南4236000735桂阳湖南4244000735永兴湖南4233000735常德湖南4151000736桃源湖南4257000736汉寿湖南4159000736石门湖南4153000736澧县湖南4255000736津市湖南4154000736安乡湖南4156000736临澧湖南4152000736益阳湖南4130000737桃江湖南4134000737安化湖南4135000737南县湖南4132000737沅江湖南4131000737娄底湖南4170000738双峰湖南4115000738冷水江湖南4175000738新化湖南4176000738涟源湖南4171000738邵阳湖南4220000739邵阳县湖南4221000739新宁湖南4227000739城步湖南4225000739新邵湖南4229000739绥宁湖南4226000739武岗湖南4224000739洞口湖南4223000739邵东湖南4228000739隆回湖南4222000739吉首湖南4160000743凤凰湖南4162000743龙山湖南4168000743永顺湖南4167000743保靖湖南4165000743花垣湖南4164000743古丈湖南4163000743泸溪湖南4161000743张家界湖南4166000744桑植湖南4169000744慈利湖南4158000744怀化湖南4180000745麻阳湖南4194000745芷江湖南4191000745黔阳湖南4181000745溆浦湖南4193000745通道湖南4185000745靖州湖南4184000745会同湖南4183000745新晃湖南4192000745辰溪湖南4195000745沅陵湖南4196000745洪江湖南4182000745永州湖南4250000746东安湖南4259000746祁阳湖南4217000746新田湖南4257000746宁远湖南4256000746蓝山湖南4258000746江华湖南4255000746江永湖南4254000746道县湖南4253000746双牌湖南4252000746长春吉林1300000431双阳吉林1306000431农安吉林1302000431九台吉林1305000431德惠吉林1303000431榆树吉林1304000431吉林吉林1320000432永吉吉林1322000432磬石吉林1323000432桦甸吉林1324000432蛟河吉林1325000432舒兰吉林1326000432延吉吉林1330000433汪清吉林1332000433和龙吉林1335000433安图吉林1336000433敦化吉林1337000433图们吉林1331000433龙井吉林1334000433四平吉林1360000434双辽吉林1364000434犁树吉林1365000434公主岭吉林1361000434通化吉林1340000435通化县吉林1341000435集安吉林1342000435白城吉林1370000436通榆吉林1372000436大安吉林1313000436洮南吉林1371000436镇赉吉林1373000436辽源吉林1362000437东辽吉林1366000437东丰吉林1363000437松原吉林1310000438扶余吉林1312000438前郭吉林1311000438长岭吉林1315000438乾安吉林1314000438临江吉林1341000439靖宇吉林1352000439长白吉林1344000439抚松吉林1345000439江源吉林1343000439珲春吉林1333000440梅河口吉林1350000448柳河吉林1353000448辉南吉林1351000448南京江苏210000025江浦江苏211800025六合江苏211500025江宁江苏211100025高淳江苏211300025溧水江苏211200025无锡江苏2140000510江阴江苏2144000510宜兴江苏2142000510锡山江苏2141000510镇江江苏2120000511丹徒江苏2121000511丹阳江苏2123000511句容江苏2124000511扬中江苏2122000511苏州江苏2150000512吴江江苏2152000512吴县江苏2151000512南通江苏2263000513如东江苏2264000513如皋江苏2265000513通州市江苏2263000513海门江苏2261000513启东江苏2262000513海安江苏2266000513扬州江苏2250000514江都江苏2252000514邗江江苏2251000514仪征江苏2114000514高邮江苏2256000514宝应江苏2258000514盐城江苏2240000515响水江苏2246000515滨海江苏2245000515阜宁江苏2244000515射阳江苏2243000515建湖江苏2247000515大丰江苏2241000515东台江苏2242000515徐州江苏2210000516铜山江苏2211000516丰县江苏2217000516沛县江苏2216000516邳县江苏2213000516新沂江苏2214000516睢宁江苏2212000516淮阴江苏2230000517淮阴县江苏2233000517淮安江苏2232000517洪泽江苏2231000517金湖江苏2116000517涟水江苏2234000517盱眙江苏2117000517连云港江苏2220000518东海江苏2223000518赣榆江苏2221000518灌云江苏2222000518灌南江苏2235000518常州江苏2130000519武进江苏2131000519金坛江苏2132000519溧阳江苏2133000519张家港江苏2156000520常熟江苏2155000520昆山江苏2153000520太仓江苏2154000520泰州江苏2253000523靖江江苏2145000523泰兴江苏2254000523姜堰江苏2255000523兴化江苏2257000523沭阳江苏2236000527宿迁江苏2238000527泗阳江苏2237000527泗洪江苏2119000527新余江西3365000790分宜江西3366000790南昌江西3300000791南昌县江西3302000791新建江西3301000791进贤江西3317000791安义江西3305000791九江江西3320000792九江县江西3321000792庐山江西3329000792修水江西3224000792湖口江西3325000792星子江西3328000792瑞昌江西3322000792德安江西3304000792彭泽江西3327000792都昌江西3326000792永修江西3303000792武宁江西3323000792上饶江西3340000793上饶县江西3341000793玉山江西3347000793余干江西3351000793弋阳江西3344000793波阳江西3331000793广丰江西3346000793万年江西3355000793铅山江西3345000793横峰江西3343000793婺源江西3332000793德兴江西3342000793抚州江西3440000794广昌江西3449000794东乡江西3318000794金溪江西3448000794崇仁江西3442000794临川江西3441000794宜黄江西3444000794乐安江西3443000794南城江西3447000794南丰江西3445000794黎川江西3446000794宜春江西3360000795宜丰江西3363000795上高江西3364000795奉新江西3307000795靖安江西3306000795高安江西3308000795丰城江西3311000795樟树江西3312000795万载江西3361000795铜鼓江西3362000795吉安江西3430000796吉安县江西3431000796新干江西3313000796永丰江西3315000796吉水江西3316000796峡江江西3314000796泰和江西3437000796万安江西3438000796遂川江西3439000796宁冈江西3435000796永新江西3434000796井岗山江西3436000796安福江西3432000796赣州江西3410000797瑞金江西3425000797于都江西3423000797兴国江西3424000797宁都江西3428000797石城江西3427000797寻乌江西3422000797南康江西3414000797赣县江西3411000797大余江西3415000797上犹江西3412000797崇义江西3413000797信丰江西3416000797龙南江西3417000797定南江西3419000797全南江西3418000797安远江西3421000797会昌江西3426000797景德镇江西3330000798乐平江西3333000798萍乡江西3370000799莲花江西3371000799鹰潭江西3350000701贵溪江西3354000701余江江西3352000701沈阳辽宁110000024新民辽宁110300024辽中辽宁110200024康平辽宁112200024法库辽宁112100024铁岭辽宁1120000410铁岭县辽宁1126000410昌图辽宁1125000410开原辽宁1123000410西丰辽宁1124000410铁法辽宁1127000410大连辽宁1160000411庄河辽宁1164000411长海辽宁1165000411瓦房店辽宁1163000411普兰店辽宁1166000411金县辽宁1161000411新金辽宁1162000411鞍山辽宁1140000412海城辽宁1142000412台安辽宁1141000412岫岩辽宁1143000412抚顺辽宁1130000413抚顺县辽宁1131000413清原辽宁1133000413新宾辽宁1132000413本溪辽宁1170000414本溪县辽宁1171000414桓仁辽宁1172000414丹东辽宁1180000415东港辽宁1183000415凤城辽宁1181000415宽甸辽宁1182000415锦州辽宁1210000416凌海辽宁1212000416黑山辽宁1214000416义县辽宁1211000416北宁辽宁1213000416营口辽宁1150000417盖州辽宁1152000417大石桥辽宁1151000417阜新辽宁1230000418阜新县辽宁1231000418彰武辽宁1232000418辽阳辽宁1110000419辽阳县辽宁1112000419灯塔辽宁1113000419朝阳辽宁1220000421朝阳县辽宁1226000421建平辽宁1224000421北票辽宁1221000421凌源辽宁1225000421喀喇沁左翼辽宁1223000421盘锦辽宁1240000427盘山辽宁1241000427大洼辽宁1242000427葫芦岛辽宁1215000429绥中辽宁1217000429建昌辽宁1222000429兴城辽宁1216000429海拉尔内蒙古021*******鄂温克内蒙古021*******阿荣旗内蒙古1627500470牙克石内蒙古022*******扎兰屯内蒙古1626500470鄂伦春内蒙古022*******陈巴尔虎旗内蒙古021*******内蒙古021*******新巴尔虎左旗内蒙古021*******新巴尔虎右旗根河内蒙古022*******内蒙古022*******额尔古纳右旗莫力达瓦旗内蒙古1628000470满洲里内蒙古021*******呼和浩特内蒙古010*******托克托内蒙古010*******土默特左旗内蒙古010*******和林格尔内蒙古0115000471武川内蒙古0117000471清水河内蒙古0116000471包头内蒙古0140000472固阳内蒙古0142000472土默特右旗内蒙古0141000472白云鄂博内蒙古0140800472达茂旗内蒙古0143000472乌海内蒙古0160000473集宁内蒙古0120000474四子王旗内蒙古0118000474化德内蒙古0133000474丰镇内蒙古0121000474卓资内蒙古0123000474商都内蒙古0134000474兴和内蒙古0136000474凉城内蒙古0137000474内蒙古0122000474察哈尔右翼前内蒙古0135000474察哈尔右翼中内蒙古0124000474察哈尔右翼后通辽内蒙古028*******开鲁内蒙古028*******库伦旗内蒙古028*******奈曼旗内蒙古028*******扎鲁特旗内蒙古029*******内蒙古029*******科尔沁左翼中内蒙古028*******科尔沁左翼后霍林郭勒内蒙古029*******赤峰内蒙古024*******阿鲁科尔沁内蒙古025*******宁城内蒙古024*******敖汉旗内蒙古024*******翁牛特旗内蒙古024*******巴林左旗内蒙古025*******巴林右旗内蒙古025*******林西内蒙古025*******克什克腾旗内蒙古025*******喀喇沁旗内蒙古024*******东胜内蒙古0170000477达拉特旗内蒙古0143000477伊金霍洛旗内蒙古0172000477准格尔旗内蒙古0171000477杭棉旗内蒙古0174000477乌审内蒙古0173000477鄂托克旗内蒙古0161000477鄂托克前旗内蒙古0162000477临河内蒙古0150000478五原内蒙古0151000478磴口内蒙古0152000478乌拉特前镇内蒙古0144000478乌拉特中镇内蒙古0153000478乌拉特后镇内蒙古0155000478杭锦后旗内蒙古0154000478锡林浩特内蒙古0260000479二连浩特内蒙古0126000479多伦内蒙古027*******太仆寺旗内蒙古027*******苏尼特左旗内蒙古0131000479苏尼特右旗内蒙古0125000479镶黄旗内蒙古0132000479内蒙古0263000479东乌珠穆沁旗内蒙古0262000479西乌珠穆沁旗阿马嗄旗内蒙古0261000479正镶白旗内蒙古027*******正蓝旗内蒙古027*******乌兰浩特内蒙古1374000482扎赉特旗内蒙古1376000482突泉内蒙古0375000482科右中旗内蒙古029*******阿拉善左旗内蒙古75030004831阿拉善右旗内蒙古73730004887额济纳旗内蒙古73540004888银川宁夏7500000951贺兰宁夏7502000951永宁宁夏7501000951石嘴山宁夏7530000952平罗宁夏7534000952惠农宁夏7536000952陶乐宁夏7535000952吴忠宁夏7511000953中宁宁夏7512000953中卫宁夏7517000953青铜峡宁夏7516000953灵武宁夏7514000953同心宁夏7513000953盐池宁夏7515000953固原宁夏7560000954海原宁夏7561000954西吉宁夏7562000954隆德宁夏7563000954泾源宁夏7564000954彭阳宁夏7565000954海晏青海8122000970西宁青海8100000971大通青海8101000971乐都青海8107000972湟中青海8116000972互助青海8105000972湟源青海8121000972民和青海8108000972循化青海8111000972化隆青海8109000972同仁青海8113000973共和青海8130000974玛沁青海8140000975玉树青海8150000976德令哈青海8170000977门源青海8103000978格尔木青海8160000979河南青海81150009820尖扎青海81120009828泽库青海81140009828乌兰青海81710009831都兰青海81610009832天峻青海81720009833治多青海81540009834称多青海81510009835囊谦青海81520009836杂多青海81530009837曲麻莱青海81550009838龙羊峡青海81180009839茫崖青海81750009840贵德青海81170009841贵南青海81310009842兴海青海81330009843同德青海81320009844祁连青海81040009846刚察青海81230009847大柴旦青海81730009848冷湖青海81740009849达日青海81420009851玛多青海81350009852班玛青海81430009853甘德青海81410009854荷泽山东2740000530巨野山东2749000530定陶山东2741000530成武山东2436000530单县山东2737000530曹县山东2744000530东明山东2745000530鄄城山东2746000530郓城山东2747000530济南山东2500000531长清山东2503000531章丘山东2502000531商河山东2516000531济阳山东2514000531平阴山东2504000531青岛山东2660000532胶南山东2664000532胶州山东2663000532平度山东2628000532莱西山东2666000532即墨山东2662000532淄博山东2550000533桓台山东2564000533高青山东2563000533沂源山东2561000533德州山东2530000534庆云山东2537000534监邑山东2515000534夏津山东2532000534平原山东2531000534宁津山东2534000534齐河山东2511000534乐陵山东2536000534武城山东2533000534禹城山东2512000534陵县山东2535000534烟台山东2640000535招远山东2654000535莱阳山东2652000535海阳山东2651000535长岛山东2658000535莱州山东2614000535龙口山东2657000535蓬莱山东2656000535栖霞山东2653000535牟平山东2641000535潍坊山东2610000536寿光山东2627000536昌邑山东2613000536高密山东2615000536诸城山东2622000536安丘山东2621000536临朐山东2626000536青州山东2625000536济宁山东2721000537梁山山东2748000537曲阜山东2731000537兖州山东2720000537邹城山东2735000537微山山东2776000537鱼台山东2723000537金乡山东2722000537嘉祥山东2724000537泗水山东2732000537汶上山东2725000537泰安山东2710000538新泰山东2712000538宁阳山东2714000538东平山东2715000538肥城山东2716000538临沂山东2760000539苍山山东2777000539平邑山东2733000539蒙阴山东2762000539沂水山东2764000539沂南山东2763000539莒南山东2766000539临沭山东2767000539郯城山东2761000539费县山东2734000539滨州山东2566000543博兴山东2565000543邹平山东2562000543惠民山东2517000543无棣山东2519000543沾化山东2568000543阳信山东2518000543东营山东2570000546利津山东2574000546广饶山东2573000546垦利山东2575000546威海山东2642000631荣城山东2643000631文登山东2644000631乳山山东2645000631枣庄山东2771000632滕州山东2775000632日照山东2768000633五莲山东2623000633河口山东2572000633莱芜山东2711000634聊城山东2520000635临清山东2526000635茌平山东2521000635高唐山东2513000635东阿山东2522000635冠县山东2525000635朔州山西0385000349怀仁山西0383000349应县山西0376000349右玉山西0372000349山阴山西0384000349忻州山西0340000350原平山西0341000350定襄山西0354000350五台山西0355000350代县山西0342000350繁峙山西0343000350宁武山西0360000350神池山西0361000350五寨山西0362000350岢岚山西0363000350河曲山西0365000350保德山西0366000350偏关山西0364000350静乐山西0351000350太原山西0300000351阳曲山西0301000351娄烦山西0303000351清徐山西0304000351古交山西0302000351大同山西0370000352大同县山西0373000352天镇山西0382000352阳高山西0381000352浑源山西0374000352广灵山西0375000352灵丘山西0344000352左云山西0371000352阳泉山西0758000353孟县山西0451000353平定山西0452000353榆次山西0306000354灵石山西0313000354昔阳山西0453000354和顺山西0327000354左权山西0326000354榆社山西0318000354寿阳山西0317000354太谷山西0308000354祁县山西0309000354平遥山西0311000354介休山西0312000354长治山西0460000355长治县山西0471000355壶关山西0473000355平顺山西0474000355黎城山西0476000355。
全国邮政编码及长途区号大全北京市地区邮政编码长途区号地区邮政编码长途区号北京市100000010通县101100010平谷县101200010顺义县101300010怀柔县101400010密云县101500010延庆县102100010昌平县102200010门头沟区102300010房山区102400010燕山区102500010大兴县102600010上海市地区邮政编码长途区号地区邮政编码长途区号上海市200000021近郊区200100上海县201100021川沙县201200021南汇县201300021奉贤县201400021金山县201500021松江县201600021青浦县201700021嘉定县201800021宝山县2019000895崇明县202100021天津市地区邮政编码长途区号地区邮政编码长途区号天津市300000022塘沽300450汉沽300480宁河县301500022静海县301600022武清县301700 022宝坻县301800 022蓟县301900 022大港区300270内蒙古地区邮政编码长途区号地区邮政编码长途区号呼和浩特市010000 0471集宁市0120000474二连浩特市0126000479包头市0140000472临河市0150000478乌海市0160000473东胜市0170000477海拉尔市021*******满洲里市021400 0470牙克石市022100 0470赤峰市024000 0476锡林浩特市026000 0479乌兰浩特市1374000482通辽市028*******霍林郭勒市029*******扎兰屯市1626500470山西省地区邮政编码长途区号地区邮政编码长途区号太原市0300000351榆次市0306000354忻州市0340000350大同市0370000352临汾市0410000357侯马市0430000357运城市0440000359阳泉市0450000353长治市0460000355晋城市0480000356河北省地区邮政编码长途区号地区邮政编码长途区号石家庄市0500000311南宫市0518000319辛集市0523000311衡水市053000 0318邢台市054000 0319沙河市054100 0319邯郸市056000 0310沧州市0610000317泊头市0621000317任丘市0625000317唐山市0630000315秦皇岛市0660000335北戴河066100承德市0670000314保定市0710000312涿州市0727000312定州市0730000312张家口市0750000313廊坊市1028000316辽宁省地区邮政编码长途区号地区邮政编码长途区号沈阳市110000024辽阳市111000 0419铁岭市112000 0410铁法市112700 0410抚顺市1130000413鞍山市1140000412海城市1142000412营口市1150000417大连市116000 0411瓦房店市116300 0411本溪市117000 0414丹东市118000 0415锦州市121000 0416锦西市121500 0421兴城市121600 0429朝阳市122000 0421北票市1221000421阜新市1230000418盘锦市1240000427吉林省地区邮政编码长途区号地区邮政编码长途区号长春市1300000431扶余市131200吉林市1320000432桦甸市1324000432延吉市1330000433图门市1331000433龙井市133400 0433敦化市133700 0433通化市134000 0435集安市134200 0435浑江市1343000439梅河口市1350000448四平市1360000434公主岭市1361000434辽源市1362000437白城市1370000436洮南市1371000436黑龙江省地区邮政编码长途区号地区邮政编码长途区号哈尔滨市1500000451阿城市1503000450肇东市1511000451绥化市1520000455伊春市1530000458佳木斯市1540000454鹤岗市1541000454七台河市1546000453双鸭山1551000454同江市1564000454牡丹江市1570000453绥芬河市1573000453鸡西市1581000453齐齐哈尔市1610000452大庆市1630000459北安市1640000456黑河市1643000456五大连池市1645000456江苏省地区邮政编码长途区号地区邮政编码长途区号南京市210000025仪征市2114000514镇江市2120000511丹阳市12123000511常州市2130000519无锡市2140000510宜兴市2142000510江阴市214400 0510苏州市215000 0512常熟市215500 0520徐州市221000 0516连云港市2220000518淮阴市2230000517淮安市2232000517宿迁市2238000527盐城市2240000515东台市2242000515扬州市2250000514泰州市225300 0523兴化市225700 0523南通市226000 0513安徽省地区邮政编码长途区号地区邮政编码长途区号合肥市2300000551淮南市2320000554蚌埠市2330000552宿州市2340000557淮北市2350000561阜阳市2360000558毫州市236800 0558六安市237000 0564巢湖市238000 0565滁州市239000 0550芜湖市2410000553宣州市2420000563黄山市2427000559马鞍山市2430000555铜陵市244000 0562黄山市245000 0559安庆市246000 0556山东省地区邮政编码长途区号地区邮政编码长途区号济南市2500000531聊城市2520000635临清市2526000635德州市2530000534淄博市2550000533滨州市2566000543东营市2570000546潍坊市2610000536诸城市2622000536青州市2625000536烟台市2640000535威海市2642000896青岛市2660000532泰安市271000 0538莱芜市271100 0634新泰市271200 0538济宁市272100 0537曲阜市2731000537荷泽市2740000530临沂市2760000539日照市2768000633枣庄市2771000632滕州市2775000632浙江省地区邮政编码长途区号地区邮政编码长途区号杭州市3100000571萧山市3112000571绍兴市3120000575湖州市3130000572嘉兴市3140000573海宁市31440000573宁波市3150000574余姚市3154000574舟山市3160000580临海市3170000576椒江市317700 0576金华市321000 0579兰溪市321100 0579丽水市323000 0578衙州市3240000570江山市3241000570温州市3250000577义乌市3220000579东阳市322100 0579瑞安市325200 0577江西省地区邮政编码长途区号地区邮政编码长途区号南昌市3300000791九江市3320000792景德镇市3330000798上饶市3340000793鹰潭市3350000701伊春市3350000795新余市3365000790萍乡市3370000799赣州市3410000797吉安市3430000796井岗山市343600 0796抚州市344000 0794临川市344100 0794福建省地区邮政编码长途区号地区邮政编码长途区号福州市3500000591莆田市3511000594南平市3530000599邵武市3540000599厦门市3610000592泉州市3620000595石狮市362700 0595漳州市363000 0596龙岩市364000 0597三明市365000 0598永安市3660000598湖南省地区邮政编码长途区号地区邮政编码长途区号长沙市4100000731湘潭市4111000732湘乡市4114000732株洲市4120000733益阳市413000 0737岳阳市414000 0730汨罗市414400 0730常德市415000 0736津市市4154000736吉首市4160000743大庸市4166000748娄底市4170000738涟源市4171000738冷水江市4175000738怀化市4180000745洪江市4182000745衡阳市4210000734浏阳市4103000731邵阳市4220000739彬州市423000 0735永州市425000 0746冷水滩市425100 0741湖北省地区邮政编码长途区号地区邮政编码长途区号武汉市430000027麻城市4316000713天门市4317000728孝感市4321000712应城市4324000712安陆市4326000712仙桃市433000 0721洪湖市433200 0728沙市市434000 0716石首市434400 0716荆门市4345000727黄石市4350000714鄂州市4360000711武穴市4364000713咸宁市4370000715襄樊市4373000710蒲圻市4273000715随州市4413000722老河口市4418000710丹江口市4419000719十堰市4420000719宜昌市4430000717枝城市4433000717恩施市4450000718利川市4454000718潜江24331000728河南省地区邮政编码长途区号地区邮政编码长途区号郑州市4500000371新乡市4530000373焦作市4541000391安阳市4550000372鹤壁市4566000392濮阳市4570000393许昌市4610000374漯河市4620000395驻马店市4630000396信阳市4640000376周口市4660000394平顶山市4670000375洛阳市4710000379三门峡市4720000398义马市4723000398南阳市473000 0377开封市475000 0378商丘市476000 0370广东省地区邮政编码长途区号地区邮政编码长途区号广州市510000 020清远市511500 0763东莞市5117000769韶关市5120000751梅州市5140000753汕头市5150000754潮州市5156000768惠州市5160000752汕尾市5166000660河源市5170000762深圳市518000 0755湛江市524000 0759茂名市525000 0668肇庆市526000 0758佛山市5280000757中山市5284000760江门市5290000750阳江市5295000662海南省地区邮政编码长途区号地区邮政编码长途区号海口市570000 0898三亚市5721000898通什市5722000898广西省地区邮政编码长途区号地区邮政编码长途区号南宁市5300000771凭祥市5326000771百色市5330000776钦州市5350000777北海市5360000779玉林市5370000775桂林市5410000773梧州市543000 0774柳州市545000 0772台山市546500河池市547000 0778贵州省地区邮政编码长途区号地区邮政编码长途区号贵阳市5500000851六盘水市5530000858铜仁市5543000856凯里市5560000855都匀市5580000854安顺市561000 0853兴义市5624000859遵义市563000 0852赤水市564700四川省地区邮政编码长途区号地区邮政编码长途区号成都市610000028乐山市6140000833西昌市6150000834攀枝花市6170000812得阳市6180000838绵阳市6210000816雅安市6250000835广元市6280000839遂宁市6290000825重庆市630000 0811万县市634000 0819达县市635000 0818南充市637000 0817华蓥市6386000825内江市6410000832自贡市6430000813宜宾市6440000831泸州市6460000830涪陵市6480000810云南省地区邮政编码长途区号地区邮政编码长途区号昆明市6500000871东川市6541000881曲靖市6550000874照通市6570000870开远市6610000873个旧市6614000873大理市671000 0872楚雄市675000 0878宝山市678000 0875陕西省地区邮政编码长途区号地区邮政编码长途区号西安市710000 029咸阳市712000 0910渭南市7140000913韩城市7154000913延安市7160000911宝鸡市7210000917汉中市7230000916铜川市7270000919甘肃省地区邮政编码长途区号地区邮政编码长途区号兰州市7300000931白银市7309000943临夏市7311000930武威市7330000935张掖市7340000936酒泉市7350000937嘉峪关市7351000937玉门市7352000937金昌市7330000935天水市7410000938平凉市7440000933西峰市7450000934宁夏地区邮政编码长途区号地区邮政编码长途区号银川市7500000951吴忠市75110000953青铜峡市7516000953石嘴山市7530000952青海省地区邮政编码长途区号地区邮政编码长途区号西宁市8100000971格尔木市816000 0979德令哈市817000 09773。
全国邮政编码汇总F·全国各地邮政编码、区号大全长途区号邮政编码市、县、区名长途区号邮政编码10 100000 西城区 10 10000010 100000 宣武区 10 10000010 100000 丰台区 10 10000010 100000 海淀区 10 10000010 102300 房山区 10 10240010 101100 顺义区 10 10130010 102200 大兴区 10 10260010 101400 平谷区 10 10120010 101500 延庆县 10 102100长途区号邮政编码市、县、区名长途区号邮政编码22 300000 河东区 22 30000022 300000 南开区 22 30000022 300000 红桥区 22 30000022 300450 汉沽区 22 30048022 300000 东丽区 22 30000022 300000 津南区 22 30000022 300000 武清区 22 30170022 301800 宁河县 22 30150022 301600 蓟县 22 301900长途区号邮政编码市、县、区名长途区号邮政编码21 200000 卢湾区 21 20000021 200000 长宁区 21 20000021 200000 普陀区 21 20000021 200000 虹口区 21 20000021 200000 闵行区 21 20110021 201900 嘉定区 21 20180021 200120 金山区 21 20150021 201600 青浦区 21 20170021 201300 奉贤区 21 20140021 202150长途区号邮政编码市、县、区名长途区号邮政编码23 404100 涪陵区 23 40800023 400000 大渡口区 23 40000023 400000 沙坪坝区 23 40000023 400000 南岸区 23 40000023 400700 万盛区 23 40080023 400900 渝北区 23 40112023 401320 黔江区 23 40900023 401220 綦江县 23 40142023 402660 铜梁县 23 40256023 402360 荣昌县 23 40246023 402760 梁平县 23 40520023 405900 丰都县 23 40820023 408300 武隆县 23 40850023 404300 开县 23 40540023 404500 奉节县 23 40460023 404700 巫溪县 23 40580023 409100 秀山土家族苗族自治县 23 40990023 409800 彭水苗族土家族自治县 23 40960023 402260 合川市 23 40152023 402160 南川市 23 408400长途区号邮政编码市、县、区名长途区号邮政编码311 50000 鹿泉市 311 50200311 50000 桥东区 311 50000311 50000 新华区 311 50000311 50100 裕华区 311 50000311 50300 正定县 311 50800311 51430 行唐县 311 50600311 50500 高邑县 311 51330311 52500 赞皇县 311 51230311 52400 平山县 311 50400311 51130 赵县 311 51530311 52300 藁城市 311 52160311 52200 新乐市 311 50700315 63000315 63000 路北区 315 63000315 63100 开平区 315 63000315 63300 丰润区 315 63000315 63700 滦南县 315 63500315 63600 迁西县 315 64300315 64100 唐海县 315 63200315 64200 迁安市 315 64400335 66000 卢龙县 335 66400335 66000 山海关区 335 66200335 66100 青龙满族自治县 335 66500335 66600 抚宁县 335 66300310 56000 武安市 310 56300310 56000 丛台区 310 56000310 56000 峰峰矿区 310 56200310 56000 临漳县 310 56600310 56700 大名县 310 56900310 56400 磁县 310 56500 310 57550 永年县 310 57150 310 57450 鸡泽县 310 57350310 57650 馆陶县 310 57750 310 56800 曲周县 310 57250 319 54000 沙河市 319 54100 319 54000 桥西区 319 54000 319 54000 临城县 319 54300 319 54200 柏乡县 319 55450 319 55350 任县 319 55150 319 54400 宁晋县 319 55550 319 55250 新河县 319 51730 319 54600 平乡县 319 54500 319 54700 清河县 319 54800 319 54900 南宫市 319 51800 312 71000 高碑店市 312 74000 312 71000 北市区 312 71000 312 71000 满城县 312 72150 312 71100 涞水县 312 74100 312 73200 徐水县 312 72550 312 72650 唐县 312 72350 312 71500 容城县 312 71700 312 102900 望都县 312 72450 312 71600 易县 312 74200 312 73100 蠡县 312 71400 312 72250 博野县 312 71300 312 71800 涿州市 312 72750 312 73000 安国市 312 71200 313 75000 崇礼县 313 76350313 75000 桥西区 313 75000313 75000 下花园区 313 75300313 75100 张北县 313 76450313 76650 沽源县 313 76550313 76750 蔚县 313 75700313 75800 怀安县 313 76150313 76250 怀来县 313 75400313 75600 赤城县 313 75500314 67000 围场满族蒙古族314 68450314 67000 双滦区 314 67000314 67200 承德县 314 67400314 67300 平泉县 314 67500314 68250 隆化县 314 68150314 68350 宽城满族自治县 314 67600 317 61000317 61000 运河区 317 61000317 61000 青县 317 62650317 61600 海兴县 317 61200317 61300 肃宁县 317 62350317 61500 吴桥县 317 61800317 62250 孟村回族自治县 317 61400 317 62150 任丘市 317 62550317 61100 河间市 317 62450316 65000316 65000 广阳区 316 65000316 65500 永清县 316 65600316 65400 大城县 316 65900316 65800 大厂回族自治县 316 65300 316 65700 三河市 316 65200318 53000 深州市 318 52800318 53000 枣强县 318 53100318 53400 武强县 318 53300318 53900 安平县 318 53600318 53800 景县 318 53500318 53700 冀州市 318 53200长途区号邮政编码市、县、区名长途区号邮政编码351 30000 古交市 351 30200351 30000 迎泽区 351 30000351 30000 尖草坪区 351 30000351 30000 晋源区 351 30000351 30400 阳曲县 351 30100351 30300352 37000 大同县 352 37300352 37000 矿区 352 37000352 37000 新荣区 352 37000352 38100 天镇县 352 38200352 37500 灵丘县 352 34400352 37400 左云县 352 37100353 45000 盂县 353 45100353 45000 矿区 353 45000353 45000 平定县 353 45200355 46000 潞城市 355 47500355 46000 郊区 355 46000355 47100 襄垣县 355 46200355 46100 平顺县 355 47400355 47600 壶关县 355 47300355 46600 武乡县 355 46300355 46400 沁源县 355 46500356 48000 沁水县 356 48200 356 48100 陵川县 356 48300 356 48000349 38500 怀仁县 349 38300 349 38500 平鲁区 349 38500 349 38400 应县 349 37600 349 37200354 38300 介休市 354 31200 354 30600 榆社县 354 31800354 32600 和顺县 354 32700 354 45300 寿阳县 354 31700 354 30800 祁县 354 30900 354 31100 灵石县 354 31300 359 44000 河津市 359 43300 359 44000 临猗县 359 44100 359 44200 闻喜县 359 43800 359 43200 新绛县 359 43100 359 43600 垣曲县 359 43700 359 44400 平陆县 359 44300 359 44600 永济市 359 44500 350 34000 原平市 350 34100 350 34000 定襄县 350 35400 350 35500 代县 350 34200 350 34300 宁武县 350 36000 350 35100 神池县 350 36100 350 36200 岢岚县 350 36300 350 36500 保德县 350 36600 350 36400357 41000 曲沃县 357 43400357 43500 襄汾县 357 41500357 31600 古县 357 42400357 42500 浮山县 357 42600357 42200 乡宁县 357 42100357 42300 隰县 357 41300357 41400 蒲县 357 41200357 31500 侯马市 357 43000358 33000 汾阳市 358 32200358 33000 文水县 358 32100358 30500 兴县 358 35300358 33200 柳林县 358 33300358 32500 岚县 358 35200358 33100 中阳县 358 33400358 32400 孝义市 358 32300长途区号邮政编码市、县、区名长途区号邮政编码371 450000 登封市 371 452470371 450000 二七区 371 450000371 450000 金水区 371 450000371 450041 邙山区 371 450000371 451450 巩义市 371 452100371 450100 新密市 371 452370371 451100378 475000 兰考县 378 475300378 475000 顺河回族区 378 475000378 475000 南关区 378 475000378 475000 杞县 378 475200378 452200 尉氏县 378 452100378 475100379 471000 偃师市 379 471900 379 471000 西工区 379 471000 379 471000 涧西区 379 471000 379 471000 洛龙区 379 471000 379 471100 新安县 379 471800 379 471500 嵩县 379 471400 379 471200 宜阳县 379 471600 379 471700 伊川县 379 471300 375 467000 汝州市 375 467500 375 467000 卫东区 375 467000 375 467000 湛河区 375 467000 375 467400 叶县 375 467200 375 467300 郏县 375 467100 375 462500 林州市 372 456500 372 455000 林州市 372 456500 372 455000 北关区 372 455000 372 455000 龙安区 372 455000 372 455100 汤阴县 372 456150 372 456400 内黄县 372 456300 392 458000 淇县 392 456750 392 458000 山城区 392 458000 392 458000 浚县 392 456250 373 453000 辉县市 373 453600 373 453000 新乡县 373 453700 373 453800 原阳县 373 453500 373 453200 封丘县 373 453300 373 453400 卫辉市 373 453100 391 454150 孟州市 391 454750 391 454150 中站区 391 454150391 454150 山阳区 391 454150 391 454350 博爱县 391 454450 391 454950 温县 391 454850 391 454650 沁阳市 391 454550 393 457000 濮阳县 393 457100 393 457300 南乐县 393 457400 393 457500 台前县 393 457600 374 461000 长葛市 374 461500 374 461000 许昌县 374 461100 374 461200 襄城县 374 452670 374 452570395 462000 临颍县 395 462600 395 462000 郾城区 395 462300 395 462300 舞阳县 395 462400 398 472000 灵宝市 398 472500 398 472000 渑池县 398 472400 398 472100 卢氏县 398 472200 398 472300377 473000 邓州市 377 474150 377 473000 卧龙区 377 473000 377 474650 方城县 377 473200 377 474550 镇平县 377 474250 377 474350 淅川县 377 474450 377 473300 唐河县 377 473400 377 473500 桐柏县 377 474750 370 476000 永城市 370 476600 370 476000 睢阳区 370 476000 370 476800 睢县 370 476900 370 476700 柘城县 370 476200370 476300 夏邑县 370 476400376 464000 息县 397 464300376 464000 平桥区 376 464000376 464200 光山县 397 465450397 465500 商城县 397 465350397 465200 潢川县 397 465150397 464400394 466000 项城市 394 466200394 466000 扶沟县 394 461300394 466600 商水县 394 466100394 466300 郸城县 394 477150394 466700 太康县 394 475400394 477200396 463000 新蔡县 396 463500396 463000 西平县 396 463900396 463800 平舆县 396 463400396 463600 确山县 396 463200396 463700 汝南县 396 463300396 463100长途区号邮政编码市、县、区名长途区号邮政编码24 110000 新民市 24 11030024 110000 沈河区 24 11000024 110000 皇姑区 24 11000024 110020 苏家屯区 24 11010024 110000 新城子区 24 11000024 110000 辽中县 24 11020024 110500 法库县 24 110400411 116000 庄河市 411 116400411 116000 西岗区 411 116000411 116000 甘井子区 411 116000411 116000 金州区 411 116000411 116500 瓦房店市 411 116300411 116200412 114000 海城市 412 114200412 114000 铁西区 412 114000412 114000 千山区 412 114000412 114100 岫岩满族自治县 412 118400 413 113000 清原满族自治县 413 113300 413 113000 东洲区 413 113000413 113000 顺城区 413 113000413 113100 新宾满族自治县 413 113200 414 117000 桓仁满族自治县 414 117200 414 117000 溪湖区 414 117000414 117000 南芬区 414 117000414 117100415 118000 凤城市 415 118100415 118000 振兴区 415 118000415 118000 宽甸满族自治县 415 118200 415 118300416 121000 北宁市 416 121300416 121000 凌河区 416 121000416 121000 黑山县 416 121400416 121100 凌海市 416 121200417 115000 大石桥市 417 115100417 115000 西市区 417 115000417 115000 老边区 417 115000417 115200418 123000 彰武县 418 123200418 123000 新邱区 418 123000418 123000 清河门区 418 123000418 123000 阜新蒙古族自治418 123100419 111000 灯塔市 419 111300419 111000 文圣区 419 111000419 111000 弓长岭区 419 111000419 111000 辽阳县 419 111200427 124000 盘山县 427 124100427 124000 兴隆台区 427 124000427 124200410 112000 开原市 410 112300410 112000 清河区 410 112000410 112600 西丰县 410 112400410 112500421 122000 凌源市 421 122500421122000 龙城区 421 122000421 122000 建平县 421 122400421 122300 北票市 421 122100429 125000 兴城市 429 125100429 125000 龙港区 429 125000429 125000 绥中县 429 125200429 125300长途区号邮政编码市、县、区名长途区号邮政编码431 130000 德惠市 431 130300431 130000 宽城区 431 130000431 130000 二道区 431 130000431 130000 双阳区 431 130600431 130200 九台市 431 130500431 130400432 132000 磐石市 432 132300432 132000 龙潭区 432 132000432 132000 丰满区 432 132000432 132100 蛟河市 432 132500432 132400 舒兰市 432 132600434 136000 双辽市 434 136400434 136000 铁东区 434 136000434 136500 伊通满族自治县 434 130700 434 136100437 136200 东辽县 437 136600437 136200 西安区 437 136200437 136300435 134000 集安市 435 134200435 134000 二道江区 435 134000435 134100 辉南县 448 135100448 135300 梅河口市 448 135000439 134300 临江市 439 134600439 134300 抚松县 439 134500439 135200 长白朝鲜族自治439 134400439 134700438 138000 扶余县 438 131200438 138000 前郭尔罗斯蒙古438 131100438 131500 乾安县 438 131400436 137000 大安市 436 131300436 137000 镇赉县 436 137300436 137200 洮南市 436 137100433 133000 汪清县 433 133200433 133000 图们市 433 133100433 133700 珲春市 440 133300433 133400 和龙市 433 133500433 133600长途区号邮政编码市、县、区名长途区号邮政编码451 150000 五常市 451 150200451 150000 南岗区 451 150000451 150000 香坊区 451 150000451 150000 平房区 451 150000451 150000 呼兰区 451 150500451 154800 方正县 451 150800451 150400 巴彦县 451 151800451 151900 通河县 451 150900451 150700 阿城市 451 150300451 150100 尚志市 451 150600452 161000452 161000 建华区 452 161000452 161000 昂昂溪区 452 161000452 161000 碾子山区 452 161000452 161000 龙江县 452 161100452 161500 泰来县 452 162400452 162100 富裕县 452 161200452 161600 克东县 452 164800452 164700 讷河市 452 161300467 158100 密山市 467 158300467 158100 恒山区 467 158100467 158100 梨树区 467 158100467 158100 麻山区 467 158100467 158200 虎林市 467 158400468 154100468 154100 工农区 468 154100 468 154100 兴安区 468 154100 468 154100 兴山区 468 154100 468 154200 绥滨县 468 156200 469 155100469 155100 岭东区 469 155100 469 155100 宝山区 469 155100 469 155900 友谊县 469 155800 469 155600 饶河县 469 155700 459 163000 杜尔伯特蒙古族459 166200459 163000 龙凤区 459 163000 459 163000 红岗区 459 163000 459 163000 肇州县 459 166400 459 166500 林甸县 459 166300 458 153000 铁力市 458 152500 458 153000 南岔区 458 153000 458 153000 西林区 458 153000458 153000 新青区 458 153000 458 153000 金山屯区 458 153000 458 153000 乌马河区 458 153000 458 153000 带岭区 458 153000 458 153000 红星区 458 153000 458 153000 嘉荫县 458 153200 454 154000 富锦市 454 156100 454 154000 向阳区 454 154000 454 154000 东风区 454 154000 454 154000 桦南县 454 154400454 154300 汤原县 454 154700454 156500 同江市 454 156400464 154600464 154600 桃山区 464 154600464 154600 勃利县 464 154500453 157000453 157000 阳明区 453 157000453 157000 西安区 453 157000453 157200 林口县 453 157600453 157300 海林市 453 157100453 157400 穆棱市 453 157500456 164300456 164300 嫩江县 456 161400456 164400 孙吴县 456 164200456 164000 五大连池市 456 164100455 152000455 152000 望奎县 455 152100455 151500 青冈县 455 151600455 152400 明水县 455 151700455 152200 安达市 455 151400455 151100 海伦市 455 152300, 165000 漠河县 457 165300457 165100 塔河县 457 165200长途区号邮政编码市、县、区名长途区号邮政编码471 10000 武川县 471 11700471 10000 回民区 471 10000471 10000 土默特左旗 471 10100471 10200 和林格尔县 471 11500471 11600472 14000 达尔罕茂明安联472 14500472 14000 昆都伦区 472 14000472 14000 白云矿区 472 14000472 14100 固阳县 472 14200473 16000 乌达区 473 16000473 16000476 24000 海南区 473 16000476 24000 元宝山区 476 24000476 24000 阿鲁科尔沁旗 476 25500 476 25450 巴林右旗 476 25150476 25250 克什克腾旗 476 25350 476 24500 喀喇沁旗 476 24400476 24200 敖汉旗 476 24300475 28000 霍林郭勒市 475 29200 475 28000 科尔沁左翼中旗 475 29300 475 28100 开鲁县 475 28400475 28200 奈曼旗 475 28300475 29100477 伊金霍洛旗 477 17200477 17000 达拉特旗 477477 17100 鄂托克前旗 477 16200 477 16100 杭锦旗 477 17400477 17300470 21000 根河市 470 22350470 21000 阿荣旗 470 162750470 162850 鄂伦春自治旗 470 22450 470 21100 陈巴尔虎旗 470 21500 470 21200 新巴尔虎右旗 470 21300 470 21400 牙克石市 470 22150470 162650 额尔古纳市 470 22250478 15000 杭锦后旗 478 15400478 15000 五原县 478 15100478 15200 乌拉特前旗 478 14400478 15300 乌拉特后旗 478 15500474 丰镇市 474 12100474 12000 卓资县 474 12300474 13350 商都县 474 13400474 13650 凉城县 474 13750474 12200 察哈尔右翼中旗 474 13500474 12400 四子王旗 474 11800482 突泉县 482 137500482 137400 阿尔山市 482 137400482 137400 科尔沁右翼中旗 482 29400482 137600479 26000 多伦县 479 27300479 12600 锡林浩特市 479 26000479 11400 苏尼特左旗 479 11300479 11200 东乌珠穆沁旗 479 26300479 26200 太仆寺旗 479 27000479 13250 正镶白旗 479 13800479 27200483 额济纳旗 483 735400483 750300 阿拉善右旗 483 737300长途区号邮政编码市、县、区名长途区号邮政编码25 210000 高淳县 25 21130025 210000 白下区 25 21000025 210000 建邺区 25 21000025 210000 下关区 25 21000025 210000 栖霞区 25 21000025 210000 江宁区 25 21110025 211500 溧水县 25 211200 510 214000 宜兴市 510 214200 510 214000 南长区 510 214000 510 214000 锡山区 510 214000 510 214000 江阴市 510 214400 516 221000 邳州市 516 221300 516 221000 云龙区 516 221000 516 221000 贾汪区 516 221000 516 221000 丰县 516 221700 516 221600 铜山县 516 221100 516 221200 新沂市 516 221400 519 213000 金坛市 519 213200 519 213000 钟楼区 519 213000 519 213000 武进区 519 213100 519 213300512 215000 太仓市 512 215400 512 215000 平江区 512 215000 512 215000 虎丘区 512 215000 512 215100 相城区 512 215100 512 215500 张家港市 512 215600 512 215300 吴江市 512 215200 513 226000 海门市 513 226100 513 226000 港闸区 513 226000 513 226600 如东县 513 226400 513 226200 如皋市 513 226500 513 226300518 222000 灌南县 518 223500518 222000 新浦区 518 222000518 222000 赣榆县 518 222100518 222300 灌云县 518 222200517 223001 金湖县 517 211600517 223001 楚州区 517 223200517 223300 清浦区 517 223001517 223400 洪泽县 517 223100517 211700515 224000 大丰市 515 224100515 224000 响水县 515 224600515 224000 阜宁县 515 224400515 224300 建湖县 515 224700515 224200514 225000 江都市 514 225200514 225000 邗江区 514 225100514 225800 仪征市 514 211400514 225600511 212000 句容市 511 212400511 212000 润州区 511 212000511 212100 丹阳市 511 212300511 212200523 225300 姜堰市 523 225500523 225300 高港区 523 225300523 225700 靖江市 523 214500523 225400527 223800 泗洪县 527 223900527 223800 宿豫区 527 223800527 223600 泗阳县 527 223700长途区号邮政编码市、县、区名长途区号邮政编码531 250000 市中区 531 250000 531 250000 天桥区 531 250000 531 250100 长清区 531 250300 531 250400 济阳县 531 251400 531 251600532 266000 莱西市 532 266600 532 266000 市北区 532 266000 532 266000 黄岛区 532 266000 532 266100 李沧区 532 266000 532 266000 胶州市 532 266300 532 266200 平度市 532 266700 532 266400533 255000 沂源县 533 256100 533 255100 张店区 533 255000 533 255200 临淄区 533 255400 533 255300 桓台县 533 256400 533 256300632 277000 滕州市 632 277500 632 277000 薛城区 632 277000 632 277300 台儿庄区 632 277400 632 277200546 257000 广饶县 546 257300 546 257100 河口区 546 257200 546 257500 利津县 546 257400 535 264000 海阳市 535 265100 535 264000 福山区 535 265500 535 264100 莱山区 535 264000 535 265800 龙口市 535 265700 535 265200 莱州市 535 261400535 265300536 261000 昌邑市 536 261300 536 261000 寒亭区 536 261100 536 261200 奎文区 536 261000 536 262600 昌乐县 536 262400 536 262500 诸城市 536 262200 536 262700 安丘市 536 262100 536 261500537 272000 邹城市 537 273500 537 272000 任城区 537 272000 537 277600 鱼台县 537 272300 537 272200 嘉祥县 537 272400 537 272500 泗水县 537 273200 537 272600 曲阜市 537 273100 537 272000538 271000 肥城市 538 271600 538 271000 岱岳区 538 271000 538 271400 东平县 538 271500 538 271200631 264200 乳山市 631 264500 631 264200 文登市 631 264400 631 264300633 276800 莒县 633 276500 633 276800 岚山区 633 276800 633 262300634 271100 钢城区 634 271100 634 271100539 276000 临沭县 539 276700 539 276000 罗庄区 539 276000539 276100 沂水县 539 276400539 277700 费县 539 273400539 273300 莒南县 539 276600539 276200534 253000 禹城市 534 251200534 253000 陵县 534 253500534 253400 庆云县 534 253700534 251500 齐河县 534 251100534 253100 夏津县 534 253200534 253300 乐陵市 534 253600635 252000 临清市 635 252600635 252000 阳谷县 635 252300635 252400 茌平县 635 252100635 252200 冠县 635 252500635 252800543 256600 邹平县 543 256200543 256600 惠民县 543 251700543 251800 无棣县 543 251900543 256800 博兴县 543 256500530 274000 东明县 530 274500530 274000 曹县 530 274400530 274300 成武县 530 274200530 274900 郓城县 530 274700530 274600 定陶县 530 274100长途区号邮政编码市、县、区名长途区号邮政编码551 230000 肥东县 551 230000551 231100 肥西县 551 231200553 241000 南陵县 553 242400553 241000 鸠江区 553 241000 553 241100 繁昌县 553 241200 552 233000 固镇县 552 233700 552 233000 蚌山区 552 233000 552 233000 淮上区 552 233000 552 233400 五河县 552 233300 554 232000 凤台县 554 232100 554 232000 田家庵区 554 232000 554 232000 八公山区 554 232000 554 232000555 243000 当涂县 555 243100 555 243000 花山区 555 243000 555 243000561 235000 濉溪县 561 235100 561 235000 相山区 561 235000 561 235000562 244000 铜陵县 562 244100 562 244000 狮子山区 562 244000 562 244000556 246000 桐城市 556 231400 556 246000 大观区 556 246000 556 246000 怀宁县 556 246100 556 246700 潜山县 556 246300 556 246400 宿松县 556 246500 556 246200 岳西县 556 246600 559 245000 祁门县 559 245600 559 245000 黄山区 559 24500559 245000 歙县 559 245200550 239000 明光市 550 239400 550 239000 南谯区 550 239000 550 239200 全椒县 550 239500 550 233200 凤阳县 550 233100 550 239300558 236000 界首市 558 236500 558 236000 颍东区 558 236000 558 236000 临泉县 558 236400 558 236600 阜南县 558 236300 558 236200557 234000 泗县 557 234300 557 234000 砀山县 557 235300 557 235200 灵璧县 557 234200 565 238000 和县 565 238200 565 238000 庐江县 565 231500 565 238300 含山县 565 238100 564 237000564 237000 裕安区 564 237000 564 232200 霍邱县 564 237400 564 231300 金寨县 564 237300 558 236000 利辛县 558 236700 558 236800 涡阳县 558 233600 558 233500566 247100 青阳县 566 242800 566 247100 东至县 566 247200 566 245100563 242000 宁国市 563 242300 563 242000 郎溪县 563 242100 563 242200 泾县 563 242500长途区号邮政编码市、县、区名长途区号邮政编码571 310000 临安市 571 311300571 310000 下城区 571 310000571 310000 拱墅区 571 310000571 310000 滨江区 571 310000571 311200 余杭区 571 311100571 311500 淳安县 571 311700571 311600 富阳市 571 311400574 315000 奉化市 574 315500574 315000 江东区 574 315000574 315000 北仑区 574 315800574 315200 鄞州区 574 315100574 315700 宁海县 574 315600574 315400 慈溪市 574 315300577 325000 乐清市 577 325600577 325000 龙湾区 577 325000577 325000 洞头县 577 325700577 325100 平阳县 577 325400577 325800 文成县 577 325300577 325500 瑞安市 577 325200573 314000 平湖市 573 314200573 314000 嘉善县 573 314100573 314300 海宁市 573 314400573 314500572 313000 安吉县 572 313300572 313000 南浔区 572 313000572 313200 长兴县 572 313100575 312000 嵊州市 575 312400575 312000 绍兴县 575 312000575 312500 诸暨市 575 311800575 312300579 321000 永康市 579 321300579 321000 金东区 579 321000579 321200 浦江县 579 322200579 322300 兰溪市 579 321100579 322000 东阳市 579 322100570 324000 江山市 570 324100570 324000 衢江区 570 324000570 324200 开化县 570 324300570 324400580 316000 嵊泗县 580 202450580 316000 普陀区 580 316100580 316200576 318000 临海市 576 317000576 317700 黄岩区 576 318020576 318000 玉环县 576 317600576 317100 天台县 576 317200576 317300 温岭市 576 317500578 323000 龙泉市 578 323700578 323000 青田县 578 323900578 321400 遂昌县 578 323300578 323400 云和县 578 323600578 323800 景宁畲族自治县 578 323500长途区号邮政编码市、县、区名长途区号邮政编码591 350000 长乐市 591 350200591 350000 台江区 591 350000591 350000 马尾区 591 350000591 350000 闽侯县 591 350100591 350500 罗源县 591 350600 591 350800 永泰县 591 350700 591 350400 福清市 591 350300 592 361000 翔安区 592 361100 592 361000 海沧区 592 361000 592 361000 集美区 592 361000 592 361100594 351100 仙游县 594 351200 594 351100 涵江区 594 351100 594 351100 秀屿区 594 351100 598 365000 永安市 598 366000 598 365000 三元区 598 365000 598 365300 清流县 598 365300 598 365400 大田县 598 366100 598 365100 沙县 598 365500 598 353300 泰宁县 598 354400 598 354500595 362000 南安市 595 362300 595 362000 丰泽区 595 362000 595 362000 泉港区 595 362100 595 362100 安溪县 595 362400 595 362600 德化县 595 362500 595 362000 石狮市 595 362700 595 362200596 363000 龙海市 596 363100 596 363000 龙文区 596 363000 596 363300 漳浦县 596 363200 596 363500 长泰县 596 363900596 363400 南靖县 596 363600596 363700 华安县 596 363800599 353000 建阳市 599 354200599 353000 顺昌县 599 353200599 353400 光泽县 599 354100599 353500 政和县 599 353600599 354000 武夷山市 599 354300599 353100597 364000 漳平市 597 364400597 364000 长汀县 597 366300597 364100 上杭县 597 364200597 364300 连城县 597 366200593 352000 福鼎市 593 355200593 352000 霞浦县 593 355100593 352200 屏南县 593 352300593 355500 周宁县 593 355400593 355300 福安市 593 355000长途区号邮政编码市、县、区名长途区号邮政编码27 430000 新洲区 27 43140027 430014 江汉区 27 43000027 430000 汉阳区 27 43005027 430000 青山区 27 43008027 430070 东西湖区 27 43004027 430090 蔡甸区 27 43010027 430200 黄陂区 27 432200714 435000 大冶市 714 435100714 435000 下陆区 714 435000714 435000 阳新县 714 435200719 442000 丹江口市 719 442700719 442000 张湾区 719 442000719 442500 郧西县 719 442600719 442200 竹溪县 719 442300719 442100717 443000 枝江市 717 443200717 443000 伍家岗区 717 443000717 443000 虎亭区 717 443000717 443100 远安县 717 444200717 443700 秭归县 717 443600717 443500 五峰土家族自治县 717 443400 717 443000 当阳市 717 444100710 441000 宜城市 710 441400710 441000 樊城区 710 441000710 441100 南漳县 710 441500710 441700 保康县 710 441600710 441800 枣阳市 710 441200711 436000 鄂城区 711 436000711 436000 华容区 711 436000724 448000 钟祥市 724 431900724 448000 掇刀区 724 448000724 431800 沙洋县 724 448200712 432000 汉川市 712 432300712 432100 孝昌县 712 432900712 432800 云梦县 712 432500712 432400 安陆市 712 432600716 434000 松滋市 716 434200716 434000 荆州区 716 434020716 434300 监利县 716 433300716 434100 石首市 716 434400716 433200713 438000 团风县 713 438000713 438400 罗田县 713 438600713 438700 浠水县 713 438200713 435300 黄梅县 713 435500713 438300715 437000 赤壁市 715 437300715 437000 嘉鱼县 715 437200715 437400 崇阳县 715 437500715 437600722 441300 广水市 722 432700722 441300718 445000 鹤峰县 718 445800718 445000 利川市 718 445400718 445300 巴东县 718 444300718 445500 咸丰县 718 445600718 445700728 433000 潜江市 728 433100728 431700 神农架林区 719 442400长途区号邮政编码市、县、区名长途区号邮政编码731 410000 浏阳市 731 410300731 410000 天心区 731 410000731 410000 开福区 731 410000731 410000 长沙县 731 410100731 410200 宁乡县 731 410600733 412000 醴陵市 733 412200733 412000 芦淞区 733 412000733 412000 天元区 733 412000733 412400 炎陵县 733 412500 732 411100 韶山市 732 411300 732 411100 岳塘区 732 411100 732 411200 湘乡市 732 411400 734 421000 常宁市 734 421500 734 421000 雁峰区 734 421000 734 421000 蒸湘区 734 421000 734 421000 衡阳县 734 421200 734 421100 衡山县 734 421300 734 421400 祁东县 734 421600 734 421800739 422000 武冈市 739 422400 739 422000 大祥区 739 422000 739 422000 邵东县 739 422800 739 422900 邵阳县 739 422100 739 422200 洞口县 739 422300 739 422600 新宁县 739 422700 739 422500730 414000 临湘市 730 414300 730 414000 云溪区 730 414000 730 414000 岳阳县 730 414100 730 414200 湘阴县 730 410500 730 410400 汨罗市 730 414400 736 415000 津市市 736 415400 736 415000 鼎城区 736 415100 736 415600 汉寿县 736 415900 736 415500 临澧县 736 415200 736 415700 石门县 736 415300 744 427000 桑植县 744 427100744 427000 武陵源区 744 427400744 427200 &nb,737 413000 沅江市 737 413100737 413000 赫山区 737 413000737 413200 桃江县 737 413400737 413500735 423000 资兴市 735 423400735 423000 苏仙区 735 423000735 424400 宜章县 735 424200735 423300 嘉禾县 735 424500735 424300 汝城县 735 424100735 423500 安仁县 735 423600746 425000 江华瑶族自治县 746 425500 746 425000 冷水滩区 746 425000746 421700 东安县 746 425900746 425200 道县 746 425300746 425400 宁远县 746 425600746 425800 新田县 746 425700745 418000 洪江市 745 418200745 418000 中方县 745 418000745 419600 辰溪县 745 419500745 419300 会同县 745 418300745 419400 新晃侗族自治县 745 419200 745 419100 靖州苗族侗族自治县 745 418400 745 418500738 417000 涟源市 738 417100738 417000 双峰县 738 417700738 417600 冷水江市 738 417500743 416000 龙山县 743 416800743 416000 泸溪县 743 416100743 416200 花垣县 743 416400743 416500 古丈县 743 416300743 416700长途区号邮政编码市、县、区名长途区号邮政编码20 510000 从化市 20 51090020 510000 荔湾区 20 51000020 510000 海珠区 20 51000020 510000 芳村区 20 51000020 510000 黄埔区 20 51070020 511400 花都区 20 51080020 511300751 512000 南雄市 751 512400751 512000 浈江区 751 512000751 512100 始兴县 751 512500751 512300 翁源县 751 512600751 512600 新丰县 751 511100751 512200755 518000 盐田区 755 518000755 518000 福田区 755 518000755 518000 宝安区 755 518100755 518100756 519000 金湾区 756 519090756 519000 斗门区 756 519100754 515000 澄海区 754 515800754 515000 金平区 754 515000754 515000 潮阳区 661 515100661 515100 南澳县 754 515900757 528000 高明区 757 528500757 528000 南海区 757 528200750 529000 恩平市 750 529400 750 529000 江海区 750 529000 750 529100 台山市 750 529200 750 529300 鹤山市 750 529700 759 524000 吴川市 759 524500 759 524000 霞山区 759 524000 759 524000 麻章区 759 524000 759 524300 徐闻县 759 524100 759 524400 雷州市 759 524200 668 525000 信宜市 668 525300 668 525000 茂港区 668 525000 668 525400 高州市 668 525200 668 525100758 526000 四会市 758 526200 758 526000 鼎湖区 758 526000 758 526300 怀集县 758 526400 758 526500 德庆县 758 526600 758 526100752 516000 龙门县 752 516800 752 516000 惠阳区 752 516200 752 516100 惠东县 752 516300 753 514000 兴宁市 753 514500 753 514000 梅县 753 514700 753 514200 丰顺县 753 514300 753 514400 平远县 753 514600 753 514100660 516600 陆丰市 660 516500 660 516600 海丰县 660 516400 660 516700762 517000 紫金县 762 517400762 517300 连平县 762 517100762 517200662 529500 阳春市 662 529600662 529500 阳西县 662 529800662 529900763 511500 连州市 763 513400763 511500 佛冈县 763 511600763 513100 连山壮族瑶族自763 513200763 513300 清新县 763 511800763 513000769 523000 中山市 760 528400768 521000 饶平县 768 515700768 521000 潮安县 768 515600663 522000 普宁市 663 515300663 522000 揭东县 663 515500663 515400 惠来县 663 515200766 527300 罗定市 766 527200766 527300 新兴县 766 527400766 527100 云安县 766 527500长途区号邮政编码市、县、区名长途区号邮政编码771 530000 横县 771 530300771 530000 青秀区 771 530000771 530000 西乡塘区 771 530000771 530200 邕宁区 771 530200771 530100 隆安县 771 532700771 530600 上林县 771 530500771 530400772 545000 三江侗族自治县 772 545500 772 545000 鱼峰区 772 545000772 545000 柳北区 772 545000772 545100 柳城县 772 545200772 545600 融安县 772 545400772 545300773 541000 恭城瑶族自治县 773 542500 773 541000 叠彩区 773 541000773 541000 七星区 773 541000773 541000 阳朔县 773 541900773 541100 灵川县 773 541200773 541500 兴安县 773 541300773 541800 灌阳县 773 541600773 541700 资源县 773 541400773 542400 荔蒲县 773 546600774 543000 岑溪市 774 543200774 543000 蝶山区 774 543000774 543000 苍梧县 774 543100774 543300 蒙山县 774 546700779 536000 合浦县 779 536100779 536000 银海区 779 536000779 536000770 538000 东兴市 770 538100770 538000 防城区 770 538000770 535500777 535000 浦北县 777 535300777 535000 钦北区 777 535000777 535400775 537000 桂平市 775 537200。
全国主要城市邮政编码及长途电话区号北京市地 区邮政编码长途区号地 区邮政编码长途区号北京市100000010通县101100010平谷县101200010顺义县101300010怀柔县101400010密云县101500010延庆县102100010昌平县102200010门头沟区102300010房山区102400010燕山区102500010大兴县102600010上海市地 区邮政编码长途区号地 区邮政编码长途区号上海市200000021近郊区200100 上海县201100021川沙县201200021南汇县201300021奉贤县201400021金山县201500021松江县201600021青浦县201700021嘉定县201800021宝山县201900 崇明县202100021县202204 天津市地 区邮政编码长途区号地 区邮政编码长途区号天津市300000022塘沽300450 汉沽300480 宁河县301500022静海县301600022武清县301700022宝坻县301800022县301900022大港区300270 地 区邮政编码长途区号地 区邮政编码长途区号呼和浩特市010*******集宁市0120000474二连浩特市01260004813包头市0140000472临河市0150000478乌海市0160000473东胜市0170000477海拉尔市021*******满洲里市021********牙克石市022********赤峰市024*******锡林浩特市0260000479乌兰浩特市137********通辽市028*******霍林郭勒市029********扎兰屯市16260004802山西省地 区邮政编码长途区号地 区邮政编码长途区号太原市0300000351榆次市0306000354忻州市0340000350大同市0370000352临汾市0410000357侯马市04300003651运城市0440000359阳泉市0450000353长治市0460000355晋城市0480000356河北省地 区邮政编码长途区号地 区邮政编码长途区号石家庄市0500000311南宫市0518*******辛集市0523*******衡水市0530000318邢台市0540000319沙河市05410003286邯郸市0560000310沧州市0610000317泊头市06210003439任丘市06250003426唐山市0630000315秦皇岛市0660000335北戴河066100 承德市0670000314保定市0710000312涿州市07270003234定州市0730*******张家口市0750000313廊坊市1028000316 地 区邮政编码长途区号地 区邮政编码长途区号沈阳市110000024辽阳市1110000419铁岭市1120000410铁法市112700 抚顺市1130000413鞍山市1140000412海城市11420004221营口市1150000417大连市1160000411瓦房店市1163000411本溪市1170000414丹东市1180000415锦州市1210000416锦西市12150004261兴城市12160004262朝阳市12200004284北票市12210004285阜新市1230000418盘锦市12400004271 吉林省地 区邮政编码长途区号地 区邮政编码长途区号长春市1300000431扶余市131200 吉林市1320000432桦甸市132********延吉市1330000433图门市133********龙井市133********敦化市133********通化市1340000435集安市134********浑江市1343000439梅河口市135********四平市1360000434公主岭市136********辽源市1362000437白城市1370000436洮南市137******** 黑龙江省地 区邮政编码长途区号地 区邮政编码长途区号哈尔滨市1500000451阿城市1503000450肇东市151********绥化市1520000455伊春市1530000458佳木斯市1540000454鹤岗市15410004618七台河市15460004640双鸭市155********同江市156400 牡丹江市1570000453绥汾河市157********鸡西市158********齐齐哈尔市1610000452大庆市1630000459北安市16400004661江苏省地 区邮政编码长途区号地 区邮政编码长途区号南京市210000025仪征市21140005291镇江市2120000511丹阳市21230005211常州市2130000519无锡市2140000510宜兴市214200005218江阴市21440005217苏州市2150000512常熟市21550005221徐州市2210000516连云港市2220000518淮阴市2230000517淮安市2232000517宿迁市22380005274盐城市2240000515东台市22420005251扬州市2250000514泰州市22530005241兴化市22570005245南通市2260000513 安徽省地 区邮政编码长途区号地 区邮政编码长途区号合肥市2300000551淮南市2320000554蚌埠市2330000552宿州市234000 淮北市23500005600阜阳市2360000558毫州市23680005681六安市23700005645巢湖市23800005655滁州市2390000550芜湖市2410000553宣州市24200005631黄山市2427000559马鞍山市2430000555铜陵市24400005612黄山市245000 安庆市2460000556 山东省地 区邮政编码长途区号地 区邮政编码长途区号济南市2500000531聊城市25200005411临清市25260005412德州市2530000534淄博市2550000533滨州市25660005431东营市25700005461潍坊市2610000536诸城市26220005465青州市26250005469烟台市2640000535威海市2642000896青岛市2660000532泰安市2710000538莱芜市27110005481新泰市27120005482济宁市2721000537曲阜市27310005437荷泽市2740000530临沂市2760000539日照市27680005400枣庄市27710005471藤州市27750005472 浙江省地 区邮政编码长途区号地 区邮政编码长途区号杭州市3100000571萧山市31120005812绍兴市3120000575湖州市3130000572嘉兴市3140000573海宁市31440000573宁波市3150000574余姚市31540005844舟山市31600005856临海市3170000576椒江市31770005860金华市3210000579兰溪市32110005896丽水市3230000578衙州市3240000570江山市32410005801温州市3250000577义乌市32200005892东阳市32210005893瑞安市32520005874江西省地 区邮政编码长途区号地 区邮政编码长途区号南昌市3300000791九江市3320000792景德镇市3330000798上饶市3340000793鹰潭市33500007032伊春市3350000795新余市3365000790萍乡市3370000799赣州市3410000797吉安市3430000796井冈山市34360007060抚州市3440000794临川市3441000794 福建省地 区邮政编码长途区号地 区邮政编码长途区号福州市3500000591莆田市3511000594南平市3530000599邵武市35400005906厦门市3610000592泉州市3620000595石狮市3627000595漳州市3630000596龙岩市3640000597三明市3650000598永安市36600005084 湖南省地 区邮政编码长途区号地 区邮政编码长途区号长沙市4100000731湘潭市4111000732湘乡市4114000732株洲市4120000733益阳市4130000737岳阳市4140000730汨罗市41440007409常德市4150000736津市市41540007464吉首市41600007481大庸市41660007483娄底市4170000738连源市41710007479冷水江市41750007477怀化市41800007402洪江市41820007429衡阳市4210000734来阳市421800 邵阳市4220000739彬州市4230000735永州市42500007401冷水滩市42510007410 湖北省地 区邮政编码长途区号地 区邮政编码长途区号武汉市430000027麻城市43160007232天门市43170007261孝感市4321000712应城市43240007223安陆市43260007225仙桃市43300007214洪湖市43320007213沙市市4340000716石首市43440007264荆门市43450007267黄石市4350000714鄂州市4360000711武穴市43640007239咸宁市4370000715襄樊市4373000710蒲昕市44100007255随州市44130007202老河口市44180007207丹江口市44190007292十堰市4420000719宜昌市4430000717枝城市44330007275恩施市4450000718利川市44540007287 河南省地 区邮政编码长途区号地 区邮政编码长途区号郑州市4500000371新乡市4530000373焦作市4541000391安阳市4550000372鹤壁市45660003812濮阳市45700003829许昌市4610000374缧河市46200003813驻马店市46300003011信阳市4640000376周口市46600003851平顶山市4670000375洛阳市4710000379三门峡市47200003891义马市47230003887南阳市4730000377开封市4750000378商丘市4760000370广东省地 区邮政编码长途区号地 区邮政编码长途区号广州市510000020清远市51150007617东莞市5117000769韶关市5120000751梅州市5140000753汕头市5150000754潮州市51560007681惠州市5160000752汕尾市51660007647河源市51700007623深圳市5180000755湛江市5240000759茂名市52500007683肇庆市5260000758佛山市5280000757中山市528400007654江门市5290000750阳江市52950007677海南省地 区邮政编码长途区号地 区邮政编码长途区号海口市5700000898三亚市5721000899通什市57220008001广西地 区邮政编码长途区号地 区邮政编码长途区号南宁市5300000771凭祥市53260007815百色市5330000776钦州市5350000777北海市5360000779玉林市5370000775桂林市5410000773梧州市5430000774柳州市5450000772台山市546500 河池市5470000778 贵州省地 区邮政编码长途区号地 区邮政编码长途区号贵阳市5500000851六盘水市5530000858铜仁市5543000856凯里市5560000855都匀市5580000854安顺市5610000853兴义市5624000859遵义市5630000852赤水市564700 四川省地 区邮政编码长途区号地 区邮政编码长途区号成都市610000028乐山市6140000833西昌市6150000834攀枝花市6170000812得阳市6180000838绵阳市6210000816雅安市6250000835广元市6280000839遂宁市62900008252重庆市6300000811万县市6340000819达县市6350000818南充市6370000817华鉴市63860008260内江市6410000832自贡市6430000813宜宾市6440000831泸州市6460000830涪陵市6480000810 云南省地 区邮政编码长途区号地 区邮政编码长途区号昆明市6500000871东川市65410008811曲靖市6550000874照通市6570000870开远市66100008844个旧市6614000873大理市6710000872楚雄市6750000878宝山市6780000875 陕西省地 区邮政编码长途区号地 区邮政编码长途区号西安市710000029咸阳市7120000910渭南市7140000913韩城市71540009238延安市7160000911宝鸡市7210000917汉中市7230000916铜川市7270000919甘肃省地 区邮政编码长途区号地 区邮政编码长途区号兰州市7300000931白银市73090009430临夏市7311000930武威市7330000935张掖市7340000936酒泉市7350000937嘉峪关市73510009477玉门市73520009471金昌市73710009455天水市7410000938平凉市744000 0933西峰市7450000934宁夏地 区邮政编码长途区号地 区邮政编码长途区号银川市7500000951吴忠市75110000953青铜峡市7516000953石嘴山市7530000952青海省地 区邮政编码长途区号地 区邮政编码长途区号西宁市8100000971格尔木市8160000979德令哈市8170000977 新疆地 区邮政编码长途区号地 区邮政编码长途区号乌鲁木齐市8300000991昌吉市8311000994石河子市8320000993奎屯市8332000992博乐市83340009093克拉玛依市8340000990塔城市83470009003伊宁市8350000999阿勒泰市83650009009吐鲁番市8380000995哈密市83900009022库尔勒市8410000996阿克苏市8430000997喀什市8440000998阿图什市84530009081和田市84800009032 西藏地 区邮政编码长途区号地 区邮政编码长途区号拉萨市8500000891日喀则市857000 。
中国电话区号及邮政编码表电话区号表编码表北京市北京:010上海市上海:021天津市天津:022重庆市重庆:023河北省石家庄:0311 保定:0312 张家口:0313承德:0314 唐山:0315 廊坊:0316沧州:0317 衡水:0318 邢台:0319邯郸:0310 秦皇岛:0335山西省太原:0351 朔州:0349 忻州:0350大同:0352 阳泉:0353 榆次:0354长治:0355 晋州:0356 临汾:0357离石:0358 孝义:0358 运城:0359邮政内蒙古自治区呼和浩特:0471 海拉尔:0470 满洲里:0470包头:0472 乌海:0473 集宁:0474通辽:0475 赤峰:0476巴林左旗:0476东胜:0477 准格尔旗:0477 临河:0478锡林浩特:0479 二连浩特:0479 乌兰浩特:0482 辽宁省沈阳:024 大连:0411 鞍山:0412抚顺:0413 本溪:0414 丹东:0415锦州:0416 营口:0417 阜新:0418辽阳:0419 铁岭:0410吉林省长春:0431 吉林:0432 延吉:0433敦化:0433 四平:0434 通化:0435白城:0436 大安:0436 辽源:0437扶余:0438 前郭:0438 浑江:0439临江:0439 珲春:0440黑龙江省哈尔滨:0451 齐齐哈尔0452 牡丹江:0453 佳木斯:0454 绥化:0455 黑河:0456加格达奇:0457 漠河:0457 伊春:0458大庆:0459 阿城:0450 依安:4623嘉荫:4681江苏省南京:025 无锡0510 镇江:0511丹阳:0511 扬中:0511 句容:0511苏州:0512 吴江:0512 南通:0513海门:0513 启东:0513 南通:0513如东:0513 海安:0513 如皋:0513扬州:0514 江都:0514 胥浦:0514 盐城:0515 徐州:0516 淮阴:0517 连云港:0518 常州:0519 金坛:0519溧阳:0519 常熟:0520 张家港:0520昆山:0520 太仓:0520 泰州0523姜堰(泰县):0523 六合:025浙江省杭州:0571 余杭:0571 萧山:0571富阳:0571 桐庐:0571 建德:0571淳安:0571 临安:0571 湖州:0572德清:0572 安吉:0572 长兴:0572吉、'/..力口八•0573 嘉善:0573 平湖:0573 海盐:0573 海宁:0573 桐乡:0573宁波:0574 奉化:0574 余姚:0574慈溪:0574 宁海:0574 象山:0574 绍兴:0575 上虞:0575 嵊州:0575诸暨:0575临海(台州):0576黄岩:0576椒江:0576 永嘉:0577 乐清:0577瑞安:0577 平阳:0577 青田:0578温州:0577 丽水:0578 金华:0579义乌:0579 衢州:0570 龙游:0570舟山:0580 岱山:0580 普陀:0580安徽省合肥:0551 滁州:0550 全椒:0550蚌埠:0552 芜湖:0553 芜湖县:0553准南:0554 凤台:0554 马鞍山:0555安庆:0556 宿州:0557 宿县:0557萧县:0557 阜阳:0558 阜南:0558黄山:0559 铜陵:0562宣州(宣城):0563六安:0564 巢湖:0565福建省福州:0591 厦门:0592 宁德:0593莆田:0594 泉州:0595 晋江:0595漳州:0596 龙岩:0597 三明:0598 南平:0599 建阳:0590 古田:0593江西省南昌:0791 九江:0792 上饶:0793临川(抚州):0794 宜春:0795 吉安:0796赣州:0797 景德镇:0798 萍乡:0799新余:0790 分宜:0790 鹰潭:0701山东省济南:0531 青岛:0532 胶州:0532淄博:0533 德州:0534 烟台:0535莱阳:0535 潍坊:0536 济宁:0537梁山:0537 腾州:0537 曲阜:0537兖州:0537 邹县:0537 微山:0537鱼台:0537 嘉祥:0537 泗水:0537汶上:0537 泰安:0538 临沂:0539菏泽:0530 郓城:0530 威海:0631日照:0633 莱芜:0634河南省郑州:0371 安阳:0372 新乡:0373许昌:0374 平顶山:0375 信阳:0376南阳:0377 开封:0378 洛阳:0379商丘:0370 焦作:0391 鹤壁:0392濮阳:0393 周口:0394 汝南:0396 湖北省武汉:027 襄樊:0710 鄂州:0711孝感:0712 黄州:0713 黄石:0714大冶:0714 咸宁:0715 江陵:0716沙市:0716 宜昌:0717 恩施:0718十堰:0719 荆门:0724湖南省长沙:0731 湘潭:0732 株洲:0733衡阳:0734 郴州:0735 常德:0736益阳:0737 娄底:0738 邵阳:0739邵东:0739 岳阳:0730 张家界:0744怀化:0745 冷水滩:0746广东省广州:020 潮阳:0661 揭阳:0663江门:0750 新会:0750 开平:0750韶关:0751 惠州:0752 梅县:0753汕头:0754 深圳:0755 珠海:0756佛山:0757 南海:0757 三水:0757肇庆:0758 湛江:0759 中山:0760 潮州:0768 东莞:0769广西壮族自治区1柳州:0772 桂林:0773南宁:0771梧州:0774 玉林:0775 百色:0776河池:0778 北海:0779钦州:0777海南省海口:0898 三亚:0899 儋州:0890通什:08001 东方:08003 昌江:08005文昌:0898定安:0898四川省0812 自贡:0813 成都:028 攀枝花:永川:0814 温江:0815 金堂:08150816 南充:0817 绵阳:0816 江油:0819 涪陵:0810 达县:0818 万县:0831 内江:0832 泸州:0830 宜宾:0833 沙湾:0833 乐山:0833 五通桥:0835 康定:0836 西昌:0834 雅安:德阳:0838 广元:0839 马尔康:0837贵州省贵阳:0851 遵义:0852 安顺:0853都匀:0854 凯里:0855 铜仁:0856 毕节:0857 六盘水:0858 兴义:0859云南省昆明:0871 大理:0872 开远:0873个旧:0873 曲靖:0874 保山:0875文山:0876 江川:0877 玉溪:0877楚雄:0878 思茅:0879 昭通:0870丽江:0888西藏自治区拉萨:0891陕西省西安:029 临潼:029 咸阳:0910延安:0911 榆林:0912 渭南:0913商州:0914 安康:0915 汉中:0916宝鸡:0917 铜川:0919甘肃省兰州:0931 定西:0932 平凉:0933 庆阳:0934 西峰:0934 金昌:0935武威:0935 张掖:0936 玉门:0937敦煌:0937 酒泉:0937 天水:0938陇南:0939 临夏:0930 银川:0951 宁夏回族自治区银川:0951 石嘴山:0952 青铜峡:0953吴忠:0953 固源:0954 海原:0954青海省西宁:0971 平安:0972 同仁:0973共和:0974 果洛:0975 玉树:0976德令哈:0977 门源:0978 格尔木:0979新疆维吾尔自治区乌鲁木齐:0991 奎屯:0992 石河子:0993 昌吉:0994 吐鲁番:0995 库尔勒:0996 阿克苏:0997 喀什:0998 伊宁:0999克拉玛依:0990 阿图什:0908港、澳、台地区香港特别行政区HONGKON:G00852澳门MACA:U 00853台湾省TAIWAN:00886 北京市北京:100000 通县:101100 门头沟区:102300 房山区:102400 平谷:101200 顺义:101300怀柔:101400 密云:101500 延庆:102100昌平:102200 大兴:102600上海市上海:200000 郊区:200100 上海县:201100川沙:201200 南汇:201300 奉贤:201400金山:201500 松江:201600 青浦:201700嘉定:201800 宝山:201900 崇明:202100天津市天津:300000 塘洁:300450 汉沽:300480宁河:301500 静海:301600 武清:301700宝坻:301800 蓟县:301900内蒙古自治区呼和浩特:010000 土默特左旗:010100托克托县:010200 包头:014100默特右旗:014100 固阳:014200乌海:016000 赤峰:024000宁城:024200 敖汉旗:024300喀喇沁旗:024400 翁牛特旗:024500林西:025200 巴林右旗:025100克什克腾旗:025300 巴林左旗:025400阿鲁科尔沁旗:025500 集宁:012000本镇:012100 察哈尔右翼前旗:012200卓资:012300 清水河:011600察哈尔右翼后旗:012400 和林洛尔:011500 武川:011700 四子王旗:011800达尔罕茂明安:011900 化德:013300商都:013400 察哈尔右翼中旗:013500 兴和:013600 凉城:013700锡林浩特:026000 阿巴嘎旗:026100西乌珠穆沁旗:026200 东乌珠穆沁旗:026300 苏尼特右旗:012500 二连浩特:012600苏尼特左旗:015100 镶黄旗:012300太仆寺旗:027000 正镶白旗:027100 多伦:027300 正蓝旗:027200海拉尔:021000 鄂温克族旗:021100 新巴尔虎左旗:021200 新巴尔虎右旗:021300 满洲里:021400 阿巴尔虎旗:021500 牙克石:022100 额尔古纳:022200鄂伦克旗:022100 扎兰屯:162600莫力达:162800 阿荣旗:162700通辽:02800 科尔沁左翼后旗:028100 库伦旗:288200 奈曼旗:028300开鲁:028400 扎鲁特旗:029100霍林郭勒旗:029200 东胜:017000准格尔旗:017100 科尔沁左翼中旗:029300伊金霍洛旗:017200 乌审旗:017300杭锦旗:017400 达拉特旗:014300鄂托克前旗:016200 鄂托克前旗:015000 临河:015100 五原:015200磴口:015300 乌拉特持后旗:015400乌拉善左旗:015500 阿拉善右旗:014400 突泉:735400 额济纳旗:750300乌兰浩特:737300 扎资特期:137400 科尔沁右翼前旗:137500 科洋沁右:137600 翼中旗:137400山西省太原:030000 古交区:030200 阳曲:030100娄烦:030300 清徐:030400 大同:037000孟县:045100 平定:045200 阳泉:045000襄垣:046200 武乡:046300 长治:046000沁县:046400 长子:046600 长治:047100壶关:047300 平厢:046400 潞城:047500 黎城:047600 阳城:048100 晋城:048000 沁水:048200 陵川:048300 高平:046700左云:037100 右玉:037200 大同:037300 浑源:037400 广灵:037500 应县:037600阳高:038100 天镇:038200 与仁:038300山明:038400 朔县:038500 平鲁:038600灵丘:034400 原平:034100 沂洲:034000代县:034200 繁崎:034300 静乐:035100定襄:035400 五台:035500 宁武:036000神池:036100 五寒:036200 岢岚:036300偏关:036400 河幽:036500 保德:036600太谷:030800 祁县:030900 榆次:030600平遥:031100 介休:031200 灵石:031300寿阳:031700 榆社:031000 左汉:032600和顺:032700 昔阳:045300 离石:033000方山:033100 临县:033200 柳林:033300中阳:023400 交城:030500 岚县:035300兴县:/、•035300 文水:032100 汾阳:032200孝义:032300 交口:032400 石楼:032500蒲县:041200 水和:041400 临汾:041000襄汾:041500 乡宁:042100 吉县:042200大宁:042300 古县:042400 安泽:042500浮山:042600 曲沃:043400 候马:043000翼城:043500 霍县:031400 汾西:031500洪洞:031600 临犄:044100 运城:044000 万荣:044200 平陆:044300 夏县:044400*3n H «I TTV-fits • •限 • •w凹rviW • •&• •牙 • •• •• •• • • •>> g S o• • ••洼吵如【054000 洼吵司【054000痂M O 71O OO 掘淫-071100B M - 072100 耒>口 -075000同>痂一075200 T ^H - 075100 町左075100 漁B 【067000>m M 【 申漁B 【067400 W 厳【063200労*【063600 W 田-064100冲卅【064400E 厳冰【066200珊H 〔066500珊如【062600 3W 〔050600w m -wLIn063000卅M 【063300蒋如【063700醯左【064200 *m>【066000戢7【066300皿琴066600 书三一050400邃労【050700M 凹〔051300052200」>g°T B>啪吋『067200蒋M063500卅越064000 点目064300-0661002【06640f ..0-000 刘>【050500Ml 丹【您如-无极:052400 深泽:052500 涉县:056400 磁县:056500 临漳:056600 成安:056700 魏县:056800 大名:056900 永年:057100 曲周:057200 鸡泽:057300 丘县:057400 肥乡:057500 广平:057600 馆陶:057700 宁晋:051600 新河:051700 南宫:051800 沙河:054100 内丘:054200 临城:054300 南和:054400 平乡:054500 广宗:054600 威县:054700 清河:054800 任县:055100 巨鹿:055200 隆尧:055300 柏乡:055400 临西:057800 安国:071200 博野:071300 蠡县:071400 高阳:071500 安新:071600 容城:071700 雄县:071800 完县:072200 唐县:072300 望都:072400 徐水:072500 定兴:072600 涿州:072700 定州:073000 曲阳:073100 阜平:073200 新城:074000 涞水:074100 易县:074200 涞源:102900 怀来:075400 赤城:075500 涿鹿:075600 蔚县:075700 阳源:075800 怀安:076100 万全:076200 崇礼:076300 张北:076400 沽源:076500 康保:076600 尚义:076700 兴隆:067300 平泉:067300 宽城:067600隆化:068100 滦平:068200 丰宁:068300围场:068400 滩坊:102800 固安:102700三河:101600 大广:101700 香河:302500永清:302600 霸县:302700 文安:302800大城:302900 黄骅:061100 海兴:061200盐山:061300 孟村:061400 南皮:061500东光:061600 吴桥:061800 泊头:062100献县:062200 肃宁:062300 河间:062400任丘:062500 衡水:053000 枣强:053100翼县:053200 武强:053300 武邑:053400景县:053500 安平:052600 饶阳:052700深县:052800 阜城:061700 故城:253800辽宁省沈阳:110000 辽中:110200 新民:110300大连:116000 大连市经济技术开发区:116600金县:116100 新金:111200 瓦房店:116300庄河:116400 长海:116500 鞍山:114000台安:114100 海城:114200 抚顺:113000 抚顺县:113100 新宾:113200 清源:113300本溪:117000 本溪县:117100楦仁:117200丹东:116000 岚城:118100 宽甸:118200东沟:118300 郎岩:118400 锦州:121000义县:121400 曲镇:121200 黑由:八、、121100锦西:121500 兴城:121600 绥中:121700营口:115000 营口县:115100 朝阳:122000北票:122100 建昌:122200 喀喇沁左翼:122300建平:122400 凌源:125000 朝阳县:122600吉林省长春130000 农安:130200 德惠:1心•130300榆树:130400 九台:130500 双阳:130600吉林:132000 永吉:132200 磐石:132300桦甸:132400 蛟河:132500 舒兰:132600四平:136000 公主岭:136100 辽源:136200东丰:136300 东辽:136600 白城:137000洮南:137100 通榆:137200 镇赉:137300长岭:131500 延吉:133000 图们:138100汪清:133200 珲春:133300 龙井:133400 和龙:133500 安图:133600 敦化:133700黑龙江省哈尔滨:150000 阿城:150300 呼兰:150500齐齐哈尔:161000 龙江:161100 富裕:161200 讷河:161300 依安:161500 克山:161600拜泉:161700 克东:161800 甘南:162100杜尔柏特:162200 大庆:163000 伊春:153000 南岔:153100 嘉荫:153200 铁力:152500 牡丹江:157000 海林:157100 东宁:157200绥芬河:157300 宁安:157400 穆棱:157500林口:157600 密山:158300 虎林:158400佳木斯:154400 桦川:154300 桦南:154400汤原:154700 依兰:154800 富锦:156100建三江:156300 同江:156400 抚远:156500宝清:156600 饶河:156700 友谊:156900七台河:154600 勃利:154500 绥化:152000望奎:152100 绥棱:152200 海伦:152300庆安:152400 肇源:151300 安达:151400 兰西:151500 青冈:151600 明水:151700黑河:154300 德都:164000 五大连池:164500嫩江:161400 延寿:150700 方正:150800 通河:150900 巴彦:151800 木兰:151900加格达奇:165000 呼玛:165100 塔河:165200 漠河:165300江苏省南京:210000 江宁:211100 渠水:211200 高淳:211300 六合:211500 江浦:211800镇江:212000 丹徒:212100 扬中:212200丹阳:212300 无锡:214000 宜兴:214200江阴:214200 苏州:215000 连云港:222000赣榆:222100 灌云:222200 东海:222300盐城:224000 大丰:224100 东台:224200射阳:224300 阜宁:224400 滨海:224500建湖:224700 杨州:225000 南通:226000海门:226100 南通市:227300如东:226400如皋:226500 海安:225600安徽省合肥:230000 长丰:231100 肥西:231200肥东:231600 淮南:232000 风台:232100 蚌埠:233000 五河:233300 怀远:233400固镇:233700 淮北:235000 芜湖:241000安庆:246000 黄山:245000 宣州:242000郎溪:242100 广德:242300 宁国:243400六安:237000 六安县:237100霍山:237200金寨:237300 霍丘:237400 舒城:231300寿阳:232200 太湖:246400 宿松:246500 岳阳:246600 嘉山:239100 风阳:233100 定远:233200 全椒:239500山东省济南: 250000 历城区 : 250100 长清: 250300 青岛: 266000 胶南: 266400平度: 262800淄博: 255000 东营: 257000 台儿庄区 :277400 滕县: 277500 高密: 261500 安丘: 262100 昌乐: 262400 寿光: 262700 福山区 :265500 乳山: 264500 莱阳: 265100 海阳: 265100 烟台: 264000 齐河: 251100 滨县: 256800 泗水: 273500平邑:273300东明: 274500浙江省杭州: 310000 湖州:313100镇海: 315200宁海: 315600 安吉: 313300绍兴: 312000奉化: 315500 吉、'/.. 力口八• 314000 平湖: 314200 海盐: 314300 温州: 325000 永嘉: 325100 瑞安: 325200 江山: 324100 庆元: 323800 仙居: 317300 天台: 317200 三门: 317100 桐乡: 314500义乌:322000青田: 323900缙云: 321400江西省南昌: 330000 新建: 330100 南昌县 :330200 安义:330500九江:332000瑞昌: 332200 湖口: 332500 星子: 332800庐山: 332900永修:330300 德安:330400 乐平:333300334200 分宜:336600 上饶:334000 德兴:清江:331200 宁都:342300 吉安:343000343600 东乡:331800 安福:343200 井冈山:广昌:344900 金溪:344800 资溪:335200 福建省350400福州:350000 长乐:350200 平潭:连江:350500 罗源:350600 闽清:350800365200厦门:361000 同安:361100 明溪:362000宁化:365400 永安:366000 泉州:352100惠安:362100 德化:362500 宁德:353000福安:355000 顺昌:353200 南平:屏南:352300 拓荣:355300湖南省410100 长沙:410000 望城:410200 长沙县:412000浏阳:410300 宁乡:410600 株州:412100 酸陵:412200 攸县:412800 株州县:411100茶陵:412400 郡县:412500 湘潭:临湘:414300 汩罗:414400 平江:410400湘阴:410500 益阳:413000 益阳县:413000413400沅江:413100 南昌:413200 桃江:安化:413400 常德:413500 常德县:415100临澄:415200 石门:415300湖北省武汉:430000 汉阳:430100 武昌:430200新洲:431400 黄陂:432200 沙市:434000十堰:442000 宜昌:443000 荆州:445000鄂州:436000 黄石:435000 太治:4351000襄樊:441000 枣阳:441200 随州:441300宜城:441400 南漳:441500 保康:441600江陵:431400 天门:431700 老江口:441800京山:431800 钟祥:431900 仙桃:433000潜江:433100 洪湖:433100 监利:433300松滋:434200 公安:434300 石首:434400孝感:432100河南省郑州:450000 荣阳:450100 新郑:451100巩县:451200 中牟:451400 资县:452300登封:452400 新乡:453000 汲县:453100延津:453200 封丘:453300 长垣:453400原阳:453500 辉县:453600 新乡:453700获嘉:453800 焦作:454100 修武:454300博爱:454400 沁阳:454500 济源:454600孟县:454700 温县:454800 武陟:464900广东省广州:510000 花县:510800 从化:510900增城:511300 番禹:511400 韶关:512000曲江:512100 乐昌:512200 仁化:512300南雄:512400 始兴:512500 翁源:512600乳源:512700 新丰:511100 清远:511500佛冈:511600 英德:513000 阳山:513100连山:513200 连南:513300 连县:513400梅州:514000 梅县:514000 蕉岭:514100大埔:514200 丰顺:514300 五华:514400 兴宁:514500 平远:514600海南省海口:575000 琼山:571100 定安:571200文昌:571000 琼海:571400 万宁:571500偏县:571700 三亚:572100 通什:572200保亭:572300 陵水:572400 乐东:572500东方:572600 昌江:572700 白沙:572800 琼中:572900 西南中沙群岛:573100广西壮族自治区1南530000 武鸣:530100 口邑宁:530200柳州:545000 柳江:545100 柳城:545200桂林:541000 临桂:541100 阳翔:541000梧州:543000 苍梧:543100 北海:536000合浦:536100 西林:533500 田阳:533600德保:533700 靖西:533800 那坡:533900平果:531400 田东:531500 玉林:537000贵县:537100 桂平:537200 平南:537200北流:537300 容县:537400 博白:537500陆川:537700 灵川:541200 兴安:541300贵州省贵阳:550000 六盘水:553000 水域:553000 毕节:551700 六枝特区:553400 盘县特区:561600黔西:551500 大方:551600 金沙:551800织金:552100 咸宁:553100 赫章:553200纳雍:552300 安顺:561000 平坝:561100镇宁:561200 关岭:561300 修文:550200开阳:550300 紫云:550800 息峰:551100清镇:551400 普定:562100 遵义:563000绥阳:563300 桐梓:563200 遵义县:563100 四川省成都:610000 龙泉区:610100 青白江区:613000双流:610200 金堂:610400 新都:610500温江:611100 崇安:611200 大邑:611300新津:611400 邛崃:611600 蒲江:611600郫县:611700 灌县:611800 彭县:611900绵阳:621000 三台:621100 盐亭:621600江油:621700 梓潼:622100 平武:622500安县:622600 北川:622700 广元:622800青川:628100 旺苍:628200 剑阁:628300苍溪:628400 遂宁:629000 莲溪:629100射洪:629200 内江:641000陕西省西安:710000 长安:710100 高陵:710200户县:710300 周至:710400 蓝田:710500临潼:710600 铜川:727000 耀县:727100宜君:727200 宝鸡:721000 千阳:721100陇县:721200 凤翔:721400 麟游:721500太白:721600 凤县:721700 抚凤:722200眉县:722300 歧山:722400 咸阳:712000杨陵:712100 淳化:711200 甘肃省兰州:730000 榆中:730100 皋兰:730200永登:730300 河西:737600 金昌:737100永昌:737200 白银:730900 景泰:730400靖远:730600 会宁:743200 天水:741000甘徐:741200 武山:741300 清水:741400秦安:741650 嘉峪关:735100 张家川:741500定西:748000 陇西:748100 渭源:748200漳县:748300 岷县:748400 通渭:743300临洮:730500 平凉:744000 庄浪741700宁夏回族自治区银川:750000 永宁:750100 贺兰:750200石咀山:753000 吴忠:751100 石咀山区:753200平罗:753400 陶乐:753500 石炭井区:753300中宁:751200 同心:751300 灵武:751400盐池:751500 中卫:751700 青铜峡:751600固原:756000 海原:756100 西吉:756200隆德:756300 泾源:756400 彭阳:756500青海省西宁:810000 矿区:810200 大通:810100平安:810600 互助:810500 乐都:810700民和:810800 化隆:818900 循化:811100同德:813100 兴海:813300 贵德:811700同仁:811300 尖扎:811200 龙羊峡:811800泽库:811400 河南:811500 玛沁:814000玛多:813500 甘德:814100 花石峡:813100达日:814200 班玛:814600 久治:814700玉树:815000 称多:815100 裹谦:815200杂多:815300 治多:815400 曲麻菜:815500 乌兰:817000 乌兰县:817100新疆维吾尔自治区乌鲁木齐:830000 克拉玛依:834000吐鲁番:838000 托克逊:838100鄯善:838200 南山矿区:838300哈密:839000 巴里:839200伊吾:839300 和田:848000墨玉:848100 洛浦:848200策勒:848300 于田:848400民丰:848500 皮山:845100喀什:844000 疏勒:844200伽师:844300 岳普湖:844400英吉沙:844500 麦盖提:844600莎车:844700 泽普:844800叶城:844900 巴楚:843800西藏自治区拉萨:850000 达孜:850100 墨竹工卡:850200曲水:850600 尼木:851300 堆龙德庆:851400当雄:851500 林周:851600 那曲:852000巴青:852100 索县:852200 比如:852300嘉黎:852400 班戈:852500 尼玛:852600申扎:853100 文部:853200 双湖:853300安多:853400 聂荣:853500 昌都:844000江达:854100 贡觉:854200 察雅:854300左贡:854400 芒康:854500 八宿:854600盐井:854700 妥坝:854800 碧土:854900洛隆:855400 边须:855500 类乌齐:855600丁青:855700 生达:855800 乃东:856000。
广州越秀区、荔湾区、海珠区、天河区、白云区、黄埔区、番禺区、花都区、南沙区、罗岗区、增城市、从化市深圳福田区、罗湖区、南山区、宝安区、龙岗区、盐田区珠海香洲区、斗门县汕头达濠区、龙湖区、金园区、升平区、河浦区、南澳县、潮阳市、澄海市佛山禅城区、南海区、顺德区、三水区、高明区韶关北江区、武江区、浈江区、曲江县、始兴县、仁化县、翁源县、乳源瑶族自治县、新丰县、乐昌县、南雄县湛江赤坎区、霞山区、坡头区、麻章区、遂溪县、徐闻县、廉江市、雷州市、吴川市肇庆端州区、鼎湖区、广宁县、怀集县、封开县、德庆县、高要市、四会市江门蓬江区、江海区、台山市、新会市、开平市、鹤山市、恩平市茂名茂南区、茂港区、电白县、高州市、化州市、信宜市惠州惠城区、博罗县、惠东县、龙门县、惠阳市梅州梅江区、梅县、大埔县、丰顺县、五华县、平远县、蕉岭县、兴宁市汕尾城区、海丰县、陆河县、陆丰市河源源城区、紫金县、龙川县、连平县、和平县、东源县阳江江城区、阳东县、阳春市清远清城区、佛冈县、阳山县、连山壮族瑶族自治县、连南瑶族自治县、清新县、英德市、连州市东莞莞城区、万江区、东城区、南城区、中堂镇、高埗镇、石碣镇、石龙镇、麻涌镇、望牛墩镇、茶山镇、石排镇、企石镇、洪梅镇、道窖镇、寮步镇、横沥镇、东坑镇、桥头镇、常平镇、沙田镇、厚街镇、大岭山镇、大朗镇、黄江镇、樟木头镇、谢岗镇、虎门镇、长安镇、塘夏镇、清溪镇、凤岗镇中山石岐区、东区、南区、西区、火炬区、黄圃镇、东凤镇、小榄镇、民众镇、东升镇、古镇镇、沙溪镇、坦洲镇、港口镇、三角镇、横栏镇、南头镇、阜沙镇、南朗镇、三乡镇、板芙镇、大涌镇、神湾镇、五桂山镇潮州湘桥区、潮安县、饶平县揭阳榕城区、揭东县、揭西县、惠来县、普宁县、东山区云浮云城区、新兴县、郁南县、云安县、罗定市防城港港口区、防城区、上思县、东兴市崇左江州区、扶绥县、大新县、天等县、宁明县、龙州县、凭祥市南宁兴宁区、青秀区、江南区、西乡塘区、良庆区、邕宁区、武鸣县、横县、宾阳县、上林县、隆安县、马山县来宾兴宾区、象州县、武宣县、金秀瑶族自治县、忻城县、合山市柳州城中区、鱼峰区、柳南区、柳北区、柳江县、柳城县、鹿寨县、融安县、三江侗族自治县、融水苗族自治县桂林秀峰区、叠彩区、象山区、七星区、雁山区、阳朔县、临桂县、灵川县、全州县、兴安县、永福县、灌阳县、龙胜各族自治县、资源县、平乐县、荔浦县、恭城瑶族自治县贺州八步区、昭平县、钟山县、富川瑶族自治县梧州万秀区、蝶山区、长洲区、苍梧县、藤县、蒙山县、岑溪市贵港港北区、港南区、覃塘区、平南县、桂平市玉林玉州区、容县、陆川县、博白县、兴业县、北流市百色右江区、田阳县、田东县、平果县、德保县、靖西县、那坡县、凌云县、乐业县、田林县、隆林各族自治县、西林县钦州钦南区、钦北区、灵山县、浦北县河池金城江区、罗城仫佬族自治县、环江毛南族自治县、南丹县、天峨县、凤山县、东兰县、巴马瑶族自治县、都安瑶族自治县、大化瑶族自治县、宜州市北海海城区、银海区、铁山港区、合浦县岳阳岳阳楼区、君山区、云溪区、临湘市、汨罗市、岳阳县、湘阴县、平江县、华容县长沙岳麓区、芙蓉区、天心区、开福区、雨花区、浏阳市、长沙县、望城县、宁乡县湘潭岳塘区、雨湖区、湘乡市、韶山市、湘潭县株洲天元区、荷塘区、芦淞区、石峰区、醴陵市、株洲县、炎陵县、茶陵县、攸县衡阳雁峰区、珠晖区、石鼓区、蒸湘区、南岳区、耒阳市、常宁市、衡阳县、衡东县、衡山县、衡南县、祁东县郴州北湖区、苏仙区、资兴市、宜章县、汝城县、安仁县、嘉禾县、临武县、桂东县、永兴县、桂阳县常德武陵区、鼎城区、津市市、澧县、临澧县、桃源县、汉寿县、安乡县、石门县益阳赫山区、资阳区、沅江市、桃江县、南县、安化县娄底娄星区、冷水江市、涟源市、新化县、双峰县邵阳双清区、大祥区、北塔区、武冈市、邵东县、洞口县、新邵县、绥宁县、新宁县、邵阳县、隆回县、城步苗族自治县湘西土家族苗族自治州吉首市、古丈县、龙山县、永顺县、凤凰县、泸溪县、保靖县、花垣县张家界永定区、武陵源区、慈利县、桑植县怀化鹤城区、洪江市、会同县、沅陵县、辰溪县、溆浦县、中方县、新晃侗族自治县、芷江侗族自治县、通道侗族自治县、靖州苗族侗族自治县、麻阳苗族自治县永州冷水滩区、零陵区、祁阳县、蓝山县、宁远县、新田县、东安县、江永县、道县、双牌县、江华瑶族自治县武汉江岸区、武昌区、江汉区、硚口区、汉阳区、青山区、洪山区、东西湖区、汉南区、蔡甸区、江夏区、黄陂区、新洲区襄樊襄城区、樊城区、襄阳区、老河口市、枣阳市、宜城市、南漳县、谷城县、保康县鄂州鄂城区、华容区、梁子湖区孝感孝南区、应城市、安陆市、汉川市、云梦县、大悟县、孝昌县黄冈黄州区、麻城市、武穴市、红安县、罗田县、浠水县、蕲春县、黄梅县、英山县、团风县黄石黄石港区、西塞山区、下陆区、铁山区、大冶市、阳新县咸宁咸安区、赤壁市、嘉鱼县、通山县、崇阳县、通城县荆州沙市区、荆州区、洪湖市、石首市、松滋市、监利县、公安县、江陵县宜昌西陵区、伍家岗区、点军区、猇亭区、夷陵区、宜都市、当阳市、枝江市、秭归县、远安县、兴山县、五峰土家族自治县、长阳土家族自治县恩施土家族苗族自治州恩施市、利川市、建始县、来凤县、巴东县、鹤峰县、宣恩县、咸丰县十堰吉张湾区、茅箭区、丹江口市、郧县、竹山县、房县、郧西县、竹溪县随州曾都区、广水市荆门东宝区、掇刀区、钟祥市、京山县、沙洋县潜江市天门市仙桃市神农架林区四川各地邮编及电话区号地区邮编区号下属市、县、区、镇成都青羊区、锦江区、武侯区、成华区、金牛区、龙泉驿区、青白江区、高新区、金堂县、双流县、温江区、崇州市、新都区、都江堰市、邛崃市、郫县、蒲江县、新津县、大邑县、彭州市自贡自流井区、贡井区、大安区、沿滩区、荣县、富顺县攀枝花东区、西区、仁和区、米易县、盐边县泸州江阳区、龙马潭区、纳溪区、泸县、合江县、叙永县、古蔺县德阳旌阳区、广汉市、什邡市、绵竹市、中江县、罗江县绵阳涪城区、游仙区、江油市、平武县、安县、梓潼县、北川羌族自治县、盐亭县、三台县广元市中区、元坝区、朝天区、剑阁县、旺苍县、青川县、苍溪县遂宁船山区、安居区、蓬溪县、射洪县、大英县内江市中区、东兴区、资中县、威远县、隆昌县资阳雁江区、简阳市、安岳县、乐至县眉山东坡区、仁寿县、彭山县、洪雅县、青神县、丹棱县乐山市中区、五通桥区、沙湾区、金口河区、峨眉山市、犍为县、夹江县、井研县、峨边彝族自治县、沐川县、马边彝族自治县南充阆中市、顺庆区、高坪区、嘉陵区、营山县、仪陇县、蓬安县、南部县、西充县雅安雨城区、名山县、石棉县、天全县、芦山县、宝兴县、荥经县、汉源县广安广安区、岳池县、武胜县、邻水县、华蓥市巴中巴州区、通江县、南江县、平昌县达州通川区、达县、宣汉县、大竹县、开江县、万源市、渠县宜宾翠屏区、江安县、长宁县、高县、筠连县、屏山县、珙县、兴文县、宜宾县、南溪县阿坝汶川县、松潘县、南坪县、金川县、小金县、阿坝县、黑水县、壤塘县、马尔康县、理县、茂县、若尔盖县、红原县、九寨沟县甘孜康定县、泸定县、丹巴县、九龙县、雅江县、道孚县、炉霍县、甘孜县、新龙县、德格县、白玉县、石渠县、色达县、理塘县、巴塘县乡城县、稻城县、得荣县凉山西昌市、盐源县、德昌县、会理县、昭觉县、美姑县、雷波县、木里藏族自治县、会东县、宁南县、普格县、布拖县、金阳县、喜德县、冕宁县、越西县、甘洛县贵阳修文县、息烽县、开阳县、清镇市、小河区、白云区、花溪区、云岩区、南明区、乌当区六盘水钟山区、六枝特区、盘县、水城县遵义红花岗区、汇川区、赤水市、仁怀市、正安县、桐梓县、遵义县、凤冈县、余庆县、湄潭县、绥阳县、习水县、道真仡佬族苗族自治县、务川仡佬族苗族自治县安顺西秀区、普定县、平坝县、关岭布依族苗族自治县、镇宁布依族苗族自治县、紫云苗族布依族自治县黔南都匀市、福泉市、瓮安县、贵定县、惠水县、长顺县、独山县、荔波县、平塘县、罗甸县、龙里县、三都水族自治县黔西南兴义市、普安县、晴隆县、贞丰县、册亨县、望谟县、安龙县、兴仁县黔东南凯里市、雷山县、黎平县、施秉县、麻江县、锦屏县、台江县、剑河县、三穗县、黄平县、从江县、镇远县、天柱县、榕江县、岑巩县、丹寨县铜仁铜仁市、万山特区、德江县、思南县、江口县、石阡县、沿河土家族自治县、印江土家族苗族自治县、松桃苗族自治县、玉屏侗族自治县毕节毕节市、大方县、黔西县、金沙县、纳雍县、织金县、赫章县、威宁彝族回族苗族自治县昆明市盘龙区、五华区、官渡区、西山区、东川区、高新开发区、滇池旅游区、经济开发区、世博区、安宁市、呈贡区、晋宁县、富民县、宜良县、嵩明县、石林县、禄劝县、寻甸县曲靖市麒麟区、宣威市、会泽县、陆良县、富源县、罗平县、马龙县、师宗县、沾益县玉溪市红塔区、华宁县、澄江县、易门县、通海县、江川县、元江县、新平县、峨山县保山市隆阳区、施甸县、昌宁县、龙陵县、腾冲县昭通市昭阳区、永善县、绥江县、镇雄县、大关县、盐津县、巧家县、彝良县、威信县、水富县、鲁甸县普洱市思茅区、宁洱县、镇沅县、景东县、景谷县、墨江县、澜沧县、江城县、孟连县、西盟县、临沧市临翔区、镇康县、凤庆县、云县、永德县、双江县、沧源县、耿马县、丽江市华坪县、永胜县、古城区、宁蒗县、玉龙县文山州文山市、麻栗坡县、砚山县、广南县、马关县、富宁县、西畴县、丘北县红河州弥勒县、红河县、绿春县、蒙自市、个旧市、开远市、泸西县、建水县、元阳县、石屏县、金平县、河口县、屏边县西双版纳州景洪市、勐海县、勐腊县楚雄州楚雄市、元谋县、南华县、牟定县、武定县、大姚县、双柏县、禄丰县、永仁县、姚安县大理州大理市、剑川县、弥渡县、云龙县、洱源县、鹤庆县、祥云县、宾川县、永平县、漾濞县、巍山县、南涧县德宏州芒市、畹町市、瑞丽市、盈江县、梁河县、陇川县怒江州泸水县、福贡县、兰坪县、贡山县迪庆州香格里拉县、德钦县、维西县。
全国各地邮政编码大全全国各地邮政编码、区号大全北京市邮编区号大全市、县、区名长途区号邮政编码市、县、区名东城区 10 100000 西城区崇文区 10 100000 宣武区朝阳区 10 100000 丰台区石景山区 10 100000 海淀区门头沟区 10 102300 房山区通州区 10 101100 顺义区昌平区 10 102200 大兴区怀柔区 10 101400 平谷区密云县 10 101500 延庆县天津市邮编区号大全市、县、区名长途区号邮政编码市、县、区名和平区 22 300000 河东区河西区 22 300000 南开区河北区 22 300000 红桥区塘沽区 22 300450 汉沽区大港区 22 300000 东丽区西青区 22 300000 津南区长途区号邮政编码10100000 10 100000 10 100000 10 100000 10 102400 10 101300 10 102600 10 101200 10102100长途区号邮政编码22 300000 22 300000 22 300000 22 300480 22 300000 22300000北辰区 22 300000 武清区宝坻区 22 301800 宁河县静海县 22 301600 蓟县上海市邮编区号大全市、县、区名长途区号邮政编码市、县、区名黄浦区 21 200000 卢湾区徐汇区 21 200000 长宁区静安区 21 200000 普陀区闸北区 21 200000 虹口区杨浦区 21 200000 闵行区宝山区 21 202100 嘉定区浦东新区 21 200120 金山区松江区 21 202100 青浦区南汇区 21 202100 奉贤区崇明县 21 202150 重庆市邮编区号大全市、县、区名长途区号邮政编码市、县、区名万州区 23 404100 涪陵区渝中区 23 400000 大渡口区江北区 23 400000 沙坪坝区22 301700 22 301500 22 301900长途区号邮政编码21200000 21 200000 21 200000 21 200000 21 202100 21 202100 21 202100 21 202100 21 202100长途区号邮政编码23 408000 23 400000 23400000九龙坡区 23 400000 南岸区北碚区 23 400700 万盛区双桥区 23 400900 渝北区巴南区 23 401320 黔江区长寿区 23 401220 綦江县潼南县 23 402660 铜梁县大足县23 402360 荣昌县璧山县 23 402760 梁平县城口县 23 405900 丰都县垫江县 23 408300 武隆县忠县 23 404300 开县云阳县 23 404500 奉节县巫山县 23 404700 巫溪县石柱土家族自治县 23409100 秀山土家族苗族自治县酉阳土家族苗族自23 409800 彭水苗族土家治县族自治县江津市 23 402260 合川市永川市 23 402160南川市河北省邮编区号大全市、县、区名长途区号邮政编码市、县、区名23 400000 23 400800 23 401120 23 409000 23 401420 23 402560 23 402460 23 405200 23 408200 23 408500 23 405400 23 404600 23 405800 23409900 23409600 23 401520 23408400长途区号邮政编码石家庄市 311 长安区 311 桥西区 311 井陉矿区 311 井陉县 311 栾城县 311 灵寿县 311 深泽县 311 无极县 311 元氏县 311 辛集市 311 晋州市 311 唐山市 315 路南区 315 古冶区 315 丰南区 315 滦县 315 乐亭县 315 玉田县 315 遵化市 315 秦皇岛市 335 海港区33550000 鹿泉市 50000 桥东区 50000 新华区 50100 裕华区 50300 正定县 51430 行唐县 50500 高邑县 52500 赞皇县 52400 平山县 51130 赵县 52300 藁城市 52200 新乐市 6300063000 路北区 63100 开平区 63300 丰润区 63700 滦南县 63600 迁西县 64100 唐海县 64200 迁安市 66000 卢龙县 66000山海关区311 50200 311 50000 311 50000 311 50000 311 50800 311 50600 311 51330 311 51230 311 50400 311 51530 311 52160 311 50700315 63000 315 63000 315 63000 315 63500 315 64300 315 63200 315 64400 335 66400 33566200北戴河区 335 昌黎县邯郸市 335 310 66100 66600 56000 青龙满族自治县抚宁县武安市 335 335 310 66500 66300 56300 邯山区复兴区邯郸县成安县涉县肥乡县邱县广平县魏县邢台市桥东区邢台县内丘县隆尧县南和县巨鹿县广宗县威县临西县保定市310 56000 310 56000 310 56000 310 56700 310 56400 310 57550 310 57450 310 57650 310 56800 319 54000 319 54000 319 54000 319 54200 319 55350 319 54400 319 55250 319 54600 319 54700 319 54900 31271000丛台区峰峰矿区临漳县大名县磁县永年县鸡泽县馆陶县曲周县沙河市桥西区临城县柏乡县任县宁晋县新河县平乡县清河县南宫市高碑店市310 56000 310 56200 310 56600 310 56900 310 56500 310 57150 310 57350 310 57750 310 57250 319 54100 319 54000 319 54300 319 55450 319 55150 319 55550 319 51730 319 54500 319 54800 319 51800 31274000感谢您的阅读,祝您生活愉快。
中国各省电话区号及邮编北京市地区邮政编码长途区号地区邮政编码长途区号北京市100000 010 东城区100010 010西城区100032 010 宣武区100053 010崇文区100061 010 朝阳区100020 010海淀区100080 010 丰台区100071 010门头沟区102300 010 石景山区100043 010通县101149 010 平觳县101200 010顺义县101300 010 怀柔县101400 010密云县101500 010 延庆县102100 010昌平县102200 010 大兴县102600 010上海市地区邮政编码长途区号地区邮政编码长途区号上海市200000 021 长宁区200050 021卢湾区200020 021 杨浦区200082 021吴松区200940 021 闵行区200240 021闸北区200070 021 南市区200011 021虹口区200080 021 徐汇区200030 021黄浦区200002 021 普陀区200063 021静安区200040 021 嘉定县201800 021上海县201100 021 川沙县201200 021南汇县201300 021 奉贤县201400 021金山县201500 021 松江县201600 021青浦县201700 021 崇明县202100 021宝山县201900 021天津市地区邮政编码长途区号地区邮政编码长途区号天津市300000 022 河东区300171 022河西区300202 022 河北区300143 022南开区300100 022 红桥区300131 022塘沽区300450 022 汉沽区300480 022东郊区300300 022 南郊区300350 022西郊区300380 022 北郊区300400 022大港区300270 022内蒙古地区邮政编码长途区号地区邮政编码长途区号呼和浩特市010000 0471 集宁市012000 0474二连浩特市012600 0479 包头市014000 0472临河市015000 0478 乌海市016000 0473东胜市017000 0477 海拉尔市021000 0470满洲里市021400 0470 牙克石市022100 0470赤峰市024000 0476 锡林浩特市026000 0479乌兰浩特市137400 0482 通辽市028000 0475鄂尔多斯市017000 0477 呼伦贝尔市021000 0470 兴安盟137400 0482 锡林郭勒盟026000 0479乌兰察布盟012000 0474 巴彦淖尔盟015000 0478 阿拉善盟750300 0483山西省地区邮政编码长途区号地区邮政编码长途区号太原市030000 0351 榆次市030600 0354忻州市034000 0350 大同市037000 0352临汾市041000 0357 侯马市043000 0357运城市044000 0359 阳泉市045000 0353长治市046000 0355 晋城市048000 0356朔州市036000 0349 晋中市038300 0354吕梁地区033000 0358河北省地区邮政编码长途区号地区邮政编码长途区号石家庄市050000 0311 南宫市051800 0319辛集市052300 0311 衡水市053000 0318邢台市054000 0319 沙河市054100 0319邯郸市056000 0310 沧州市061000 0317泊头市062100 0317 任丘市062500 0317唐山市063000 0315 秦皇岛市066000 0335北戴河066100 承德市067000 0314保定市071000 0312 涿州市072700 0312定州市073000 0312 张家口市075000 0313廊坊市065000 0316辽宁省地区邮政编码长途区号地区邮政编码长途区号铁岭市112000 0410 铁岭市112700 0410抚顺市113000 0413 鞍山市114000 0412海城市114200 0412 营口市115000 0417大连市116000 0411 瓦房店市116300 0411本溪市117000 0414 丹东市118000 0415锦州市121000 0416 锦西市121500 0429兴城市121600 0429 朝阳市122000 0421北票市122100 0421 阜新市123000 0418盘锦市124000 0427 葫芦岛市125000 0429吉林省地区邮政编码长途区号地区邮政编码长途区号长春市130000 0431 扶余市131200 0438吉林市132000 0432 桦甸市132400 0432延吉市133000 0433 图门市133100 0433龙井市133400 0433 敦化市133700 0433通化市134000 0435 集安市134200 0435浑江市134300 0439 梅河口市135000 0448四平市136000 0434 公主岭市136100 0434辽源市136200 0437 白城市137000 0436洮南市137100 0436 白山市134300 0439松原市138000 0438 延边朝鲜族自治州133000 0433 黑龙江省地区邮政编码长途区号地区邮政编码长途区号哈尔滨市150000 0451 阿城市150300 0450肇东市151100 0451 绥化市152000 0455伊春市153000 0458 佳木斯市154000 0454鹤岗市154100 0468 七台河市154600 0464双鸭山市155100 0469 同江市156400 0454牡丹江市157000 0453 绥汾河市157300 0453鸡西市158100 0467 齐齐哈尔市161000 0452大庆市163000 0459 北安市164000 0456黑河市164300 0456 五大连池市164500 0456大兴安岭地区165000 0457江苏省地区邮政编码长途区号地区邮政编码长途区号镇江市212000 0511 丹阳市212300 0511常州市213000 0519 无锡市214000 0510宜兴市214200 0510 江阴市214400 0510苏州市215000 0512 常熟市215500 0520徐州市221000 0516 连云港市222000 0518淮阴市223000 0517 淮安市223000 0517宿迁市223800 0527 盐城市224000 0515东台市224200 0515 扬州市225000 0514泰州市225300 0523 兴化市225700 0523南通市226000 0513安徽省地区邮政编码长途区号地区邮政编码长途区号合肥市230000 0551 淮南市232000 0554蚌埠市233000 0552 宿州市234000 0557淮北市235000 0561 阜阳市236000 0558毫州市236800 0558 六安市237000 0564巢湖市238000 0565 滁州市239000 0550芜湖市241000 0553 宣城市242000 0563黄山市245000 0559 马鞍山市243000 0555铜陵市244000 0562 池州市247100 0566安庆市246000 0556山东省地区邮政编码长途区号地区邮政编码长途区号济南市250000 0531 聊城市252000 0635临清市252600 0635 德州市253000 0534淄博市255000 0533 滨州市256600 0543东营市257000 0546 潍坊市261000 0536诸城市262200 0536 青州市262500 0536烟台市264000 0535 威海市264200 0631青岛市266000 0532 泰安市271000 0538莱芜市271100 0634 新泰市271200 0538济宁市272100 0537 曲阜市273100 0537荷泽市274000 0530 临沂市276000 0539日照市276800 0633 枣庄市277100 0632藤州市277500 0632浙江省地区邮政编码长途区号地区邮政编码长途区号杭州市310000 0571 上城区310002 0571下城区310006 0571 西湖区310007 0571江干区310008 0571 萧山市311200 0571绍兴市312000 0575 湖州市313000 0572嘉兴市314000 0573 海宁市314400 0573宁波市315000 0574 余姚市315400 0574舟山市316000 0580 临海市317000 0576椒江市317700 0576 金华市321000 0579兰溪市321100 0579 丽水市323000 0578衢州市324000 0570 江山市324100 0570温州市325000 0577 义乌市322000 0579东阳市322100 0579 瑞安市325200 0577乐清市325600 0577 台州市318000 0576江西省地区邮政编码长途区号地区邮政编码长途区号南昌市330000 0791 九江市332000 0792景德镇市333000 0798 上饶市334000 0793鹰潭市335000 0701 宜春市336000 0795新余市338000 0790 萍乡市337000 0799赣州市341000 0797 吉安市343000 0796井冈山市343600 0796 抚州市344000 0794临川市344100 0794福建省地区邮政编码长途区号地区邮政编码长途区号福州市350000 0591 莆田市351100 0594南平市353000 0599 邵武市354000 0599厦门市360000 0592 泉州市362000 0595石狮市362700 0595 漳州市363000 0596龙岩市364000 0597 三明市365000 0598永安市366000 0598 宁德市352100 0593湖南省地区邮政编码长途区号地区邮政编码长途区号长沙市410000 0731 湘潭市411100 0732湘乡市411400 0732 株洲市412000 0733益阳市413000 0737 岳阳市414000 0730汨罗市414400 0730 常德市415000 0736津市市415400 0736 吉首市416000 0743大庸市416600 0744 娄底市417000 0738连源市417100 0738 冷水江市417500 0738怀化市418000 0745 洪江市418200 0745衡阳市421000 0734 耒阳市421800 0734邵阳市422000 0739 彬州市423000 0735永州市425000 0746 冷水江市425100 0738张家界市427000 0744 湘西土家族苗族自治州416000 0743 湖北省地区邮政编码长途区号地区邮政编码长途区号武汉市430000 027 麻城市431600 0713天门市431700 0728 孝感市432000 0712应城市432400 0712 安陆市432600 0712仙桃市433000 0728 洪湖市433200 0728沙市市434000 0716 石首市434400 0716荆门市448000 0724 黄石市435000 0714鄂州市436000 0711 武穴市436400 0713咸宁市437000 0715 襄樊市441000 0710蒲昕市441000 0715 随州市441300 0722老河口市441800 0710 丹江口市441900 0719十堰市442000 0719 宜昌市443000 0717枝城市443300 0717 恩施土家族苗族自治州445000 0718 利川市445400 0718 荆州市434000 0716黄冈市438000 0713河南省地区邮政编码长途区号地区邮政编码长途区号郑州市450000 0371 新乡市453000 0373焦作市454000 0391 安阳市455000 0372鹤壁市458000 0392 濮阳市457000 0393许昌市461000 0374 缧河市462000 0395驻马店市463000 0396 信阳市464000 0376周口市466000 0394 平顶山市467000 0375洛阳市471000 0379 三门峡市472000 0398义马市472300 0398 南阳市473000 0377开封市475000 0378 商丘市476000 0370广东省地区邮政编码长途区号地区邮政编码长途区号广州市510000 020 清远市511500 0763东莞市523000 0769 韶关市512000 0751梅州市514000 0753 汕头市515000 0754潮州市521000 0768 惠州市516000 0752汕尾市516600 0660 河源市517000 0762深圳市518000 0755 湛江市524000 0759茂名市525000 0668 肇庆市526000 0758佛山市528000 0757 中山市528400 0760江门市529000 0750 阳江市529500 0662珠海市519000 0756 揭阳市522000 0663云浮市527300 0766海南省地区邮政编码长途区号地区邮政编码长途区号海口市570000 0898 三亚市572200 0898通什市572200 0898 海南省570000 0898广西省地区邮政编码长途区号地区邮政编码长途区号南宁地区530000 0771 凭祥市532600 0771百色市530000 0776 钦州市535000 0777北海市536000 0779 玉林市537000 0775桂林市541000 0773 梧州市543000 0774柳州地区545000 0760 合山市546500 0760河池市540000 0778 防城港市538000 0770贵港市537100 0775 贺州市542800 0774贵州省地区邮政编码长途区号地区邮政编码长途区号贵阳市550000 0851 六盘水市553000 0858铜仁地市500000 0856 凯里市556000 0855都匀市558000 0854 安顺市561000 0853兴义市562400 0859 遵义市563000 0852赤水市564700 0852 毕节地区550000 0857黔西南布依族苗族自治州562400 0859 黔东南苗族侗族自治州556000 0855 黔南布依族苗族自治州558000 0854四川省地区邮政编码长途区号地区邮政编码长途区号成都市610000 028 都江堰市611830 028温江县611130 028 自贡市643000 0813攀枝花市617000 0812 泸州市646000 0830德阳市618000 0838 绵阳市621000 0816广元市628000 0839 遂宁市629000 0825内江市641000 0832 乐山市614000 0833南充市637000 0817 眉山市620000 0833宜宾市644000 0831 广安市638000 0826达州市635000 0818 雅安市625000 0835巴中市636000 0827 资阳市641300 0832阿坝藏族羌族自治州624000 0837 甘孜藏族自治州626000 0836凉山彝族自治州615000 0834云南省地区邮政编码长途区号地区邮政编码长途区号昆明市650000 0871 东川市654100 0881曲靖市655000 0874 昭通市650000 0870开远市661000 0873 个旧市661400 0873大理市671000 0872 楚雄彝族自治州600000 0878保山市678000 0875 思茅地区600000 0879丽江地区674000 0888 临沧地区677000 0883红河哈尼族彝族自治州661400 0873 文山壮族苗族自治州660000 0876 西双版纳傣族自治州666100 0691 大理白族自治州670000 0872德宏傣族景颇族自治州678400 0692 怒江僳僳族自治州670000 0886 迪庆藏族自治州674400 0887 玉溪市653100 0877陕西省地区邮政编码长途区号地区邮政编码长途区号西安市710000 029 咸阳市712000 0910渭南市714000 0913 韩城市715400 0913延安市716000 0911 宝鸡市721000 0917汉中市723000 0916 铜川市727000 0919榆林市719000 0912 安康市725000 0915商洛市726000 0914甘肃省兰州市730000 0931 白银市730900 0943临夏回族自治州731000 0930 武威市733000 0935张掖市734000 0936 酒泉市735000 0937嘉峪关市735100 0937 玉门市735200 0937金昌市737100 0937 天水市741000 0938平凉市744000 0933 西峰市745000 0934庆阳市745100 0934 定西地区743000 0932陇南地区746000 0939 甘南藏族自治州747000 0941宁夏地区邮政编码长途区号地区邮政编码长途区号银川市750000 0951 吴忠市7511000 0953青铜峡市751600 0953 石嘴山市753000 0952固原市756000 0954青海省地区邮政编码长途区号地区邮政编码长途区号西宁市810000 0971 格尔木市816000 0979德令哈市817000 0977 海东地区810600 0972海北藏族自治州810200 0970 黄南藏族自治州811300 0973海南藏族自治州813000 0974 果洛藏族自治州814000 0975玉树藏族自治州815000 0976 海西蒙古族藏族自治州816000 0977新疆地区邮政编码长途区号地区邮政编码长途区号乌鲁木齐市830000 0991 昌吉回族自治州830000 0994石河子市832000 0993 奎屯市833200 0992博乐塔拉蒙古族自治州833400 0909 克拉玛依市834000 0990塔城地区834700 0901 伊宁市835000 0999阿勒泰地区836500 0906 吐鲁番市838000 0995哈密地区839000 0902 库尔勒市841000 0996阿克苏地区843000 0997 喀什地区844000 0998阿图什市845300 0908 和田地区848000 0903巴音郭楞蒙古自治州841000 0996 克孜勒苏柯尔克孜自治州845350 0908 伊犁哈萨克自治州835100 0992西藏拉萨市850000 0891 日喀则地区850000 0892昌都地区850000 0895 山南地区850000 0893那曲地区852000 0896 阿里地区859000 0897林芝地区850000 0894重庆市地区邮政编码长途区号地区邮政编码长途区号重庆市400000 023 重庆市辖区400000 023重庆市辖县400000 023 重庆市辖市400000 023台湾省地区邮政编码长途区号地区邮政编码长途区号台湾省00886 台北008862基隆008862 台中008864台南008866 高雄008867台东0088689香港特别行政区地区邮政编码长途区号香港特别行政区000852澳门特别行政区地区邮政编码长途区号澳门特别行政区000853。
全国邮政编码及长途区号·北京市地区邮政编码长途区号地区邮政编码长途区号北京市100000 010 通县101100 010平谷县101200 010 顺义县101300 010怀柔县101400 010 密云县101500 010延庆县102100 010 昌平县102200 010门头沟区102300 010 房山区102400 010燕山区102500 010 大兴县102600 010·上海市地区邮政编码长途区号地区邮政编码长途区号上海市200000 021 近郊区200100 021上海县201100 021 川沙县201200 021南汇县201300 021 奉贤县201400 021金山县201500 021 松江县201600 021青浦县201700 021 嘉定县201800 021宝山县201900 021 崇明县202100 021·天津市地区邮政编码长途区号地区邮政编码长途区号天津市300000 022 塘沽300450 022汉沽300480 022 宁河县301500 022静海县301600 022 武清县301700 022宝坻县301800 022 县301900 022大港区300270 022·内蒙古地区邮政编码长途区号地区邮政编码长途区号呼和浩特010000 0471 集宁市012000 0474二连浩特012600 0479 包头市014000 0472临河市015000 0478 乌海市016000 0473东胜市017000 0477 海拉尔市021000 0470满洲里市021400 0470 牙克石市022100 0470赤峰市024000 0476 锡林浩特026000 0479乌兰浩特137400 0482 通辽市028000 0475霍林郭勒029200 0475 扎兰屯市162600 0470·山西省地区邮政编码长途区号地区邮政编码长途区号太原市030000 0351 榆次市030600 0354忻州市034000 0350 大同市037000 0352临汾市041000 0357 晋城市048000 0356运城市044000 0359 阳泉市045000 0353长治市046000 0355·河北省地区邮政编码长途区号地区邮政编码长途区号石家庄市050000 0311 南宫市051800 0319辛集市052300 0311 衡水市053000 0318邢台市054000 0319 沙河市054100 0319邯郸市056000 0310 沧州市061000 0317泊头市062100 0317 任丘市062500 0317唐山市063000 0315 秦皇岛市066000 0335北戴河066100 0335 承德市067000 0314保定市071000 0312 涿州市072700 0312定州市073000 0312 张家口市075000 0313廊坊市102800 0316·辽宁省地区邮政编码长途区号地区邮政编码长途区号沈阳市110000 024 辽阳市111000 0419抚顺市113000 0413 鞍山市114000 0412海城市114200 0412 营口市115000 0417大连市116000 0411 瓦房店市116300 0411本溪市117000 0414 丹东市118000 0415锦州市121000 0416 锦西市121500 0416兴城市121600 0429 朝阳市122000 0421北票市122100 0421 阜新市123000 0418盘锦市124000 0427·吉林省地区邮政编码长途区号地区邮政编码长途区号长春市130000 0431 松原市138000 0438吉林市132000 0432 桦甸市132400 0432延吉市133000 0433 图门市133100 0436龙井市133400 0433 敦化市133700 0433通化市134000 0435 集安市134200 0435浑江市134300 0439 梅河口市135000 0448四平市136000 0434 公主岭市136100 0434辽源市136200 0437 白城市137000 0436·黑龙江省地区邮政编码长途区号地区邮政编码长途区号哈尔滨市150000 0451 阿城市150300 0450肇东市151100 04616 绥化市152000 0455伊春市153000 0458 佳木斯市154000 0454鹤岗市154100 0454 七台河市154600 0453双鸭市155100 0454 同江市156400 0454牡丹江市157000 0453 绥汾河市157300鸡西市158100 0453 齐齐哈尔161000 0452大庆市163000 0459 北安市164000 0456黑河市164300 0456 五大连池164500 0456·江苏省地区邮政编码长途区号地区邮政编码长途区号南京市210000 025 仪征市211400 0514镇江市212000 0511 丹阳市212300 0511常州市213000 0519 无锡市214000 0510宜兴市2142000 0510 江阴市214400 0510苏州市215000 0512 常熟市215500 0520徐州市221000 0516 连云港市222000 0518淮阴市223000 0517 淮安市223200 0517宿迁市223800 0527 盐城市224000 0515东台市224200 0515 扬州市225000 0514泰州市225300 0523 兴化市225700南通市226000 0513·安徽省地区邮政编码长途区号地区邮政编码长途区号合肥市230000 0551 淮南市232000 0554蚌埠市233000 0552 宿州市234000淮北市235000 0561 阜阳市236000 0558毫州市236800 0558 六安市237000 0564巢湖市238000 0565 滁州市239000 0550芜湖市241000 0553 宣州市242000 0563黄山市242700 0559 马鞍山市243000 0555铜陵市244000 0562 黄山市245000安庆市246000 0556·山东省地区邮政编码长途区号地区邮政编码长途区号济南市250000 0531 聊城市252000 0635临清市252600 0635 德州市253000 0534东营市257000 05461 潍坊市261000 0536诸城市262200 0536 青州市262500 0536烟台市264000 0535 威海市264200 0596青岛市266000 0532 泰安市271000 0538莱芜市271100 0634 新泰市271200 0538济宁市272100 0537 曲阜市273100 0537荷泽市274000 0530 临沂市276000 0539日照市276800 0633 枣庄市277100 0632藤州市277500·浙江省地区邮政编码长途区号地区邮政编码长途区号杭州市310000 0571 萧山市311200 0571绍兴市312000 0575 湖州市313000 0572嘉兴市314000 0573 海宁市3144000 0573宁波市315000 0574 余姚市315400 0574舟山市316000 0580 临海市317000 0576椒江市317700 0576 金华市321000 0579兰溪市321100 0579 丽水市323000 0578衙州市324000 0570 江山市324100 0570温州市325000 0577 义乌市322000 0579东阳市322100 0579 瑞安市325200 0577·江西省地区邮政编码长途区号地区邮政编码长途区号南昌市330000 0791 九江市332000 0792景德镇市333000 0798 上饶市334000 0793鹰潭市335000 0701 伊春市335000 0795新余市336500 0790 萍乡市337000 0799赣州市341000 0797 吉安市343000 0796井冈山市343600 抚州市344000 0794临川市344100 0794·福建省地区邮政编码长途区号地区邮政编码长途区号福州市350000 0591 莆田市351100 0594南平市353000 0599 邵武市354000 0599厦门市361000 0592 泉州市362000 0595石狮市362700 0595 漳州市363000 0596龙岩市364000 0597 三明市365000 0598永安市366000·湖南省地区邮政编码长途区号地区邮政编码长途区号长沙市410000 0731 湘潭市411100 0732吉首市416000 0743 株洲市412000 0733益阳市413000 0737 岳阳市414000 0730汨罗市414400 0730 常德市415000 0736津市市415400 0736 湘乡市411400 0732张家界市416600 0744 娄底市417000 0738连源市417100 冷水江市417500 0738怀化市418000 0745 洪江市418200 0745衡阳市421000 0734 来阳市421800邵阳市422000 0739 彬州市423000 0735永州市425000 0746 冷水滩市425100·湖北省地区邮政编码长途区号地区邮政编码长途区号武汉市430000 027 麻城市431600 0713天门市431700 0728 孝感市432100 0712应城市432400 0712 安陆市432600 0712仙桃市433000 洪湖市433200 0728沙市市434000 0716 石首市434400 0716荆门市434500 0727 黄石市435000 0714鄂州市436000 0711 武穴市436400 0713咸宁市437000 0715 襄樊市437300 0710蒲昕市441000 随州市441300 0722老河口市441800 0710 丹江口市441900 0719十堰市442000 0719 宜昌市443000 0717枝城市443300 0717 恩施市445000 0718利川市445400 0718·河南省地区邮政编码长途区号地区邮政编码长途区号郑州市450000 0371 新乡市453000 0373焦作市454100 0391 安阳市455000 0372鹤壁市456600 0392 濮阳市457000 0393许昌市461000 0374 缧河市462000驻马店市463000 0396 信阳市464000 0376周口市466000 0394 平顶山市467000 0375洛阳市471000 0379 三门峡市472000 0398义马市472300 0398 南阳市473000 0377开封市475000 0378 商丘市476000 0375·广东省地区邮政编码长途区号地区邮政编码长途区号广州市510000 020 清远市511500 0761东莞市511700 0769 韶关市512000 0751梅州市514000 0753 汕头市515000 0754潮州市515600 0768 惠州市516000 0752汕尾市516600 0660 河源市517000 0762深圳市518000 0755 湛江市524000 0759茂名市525000 0668 肇庆市526000 0758佛山市528000 0757 中山市5284000 0760江门市529000 0750 阳江市529500 0662·海南省地区邮政编码长途区号地区邮政编码长途区号海口市570000 0898 三亚市572100 0899通什市572200 0899·广西地区邮政编码长途区号地区邮政编码长途区号南宁市530000 0771 凭祥市532600 0771百色市533000 0776 钦州市535000 0777北海市536000 0779 玉林市537000 0775桂林市541000 0773 梧州市543000 0774柳州市545000 0772 台山市546500河池市547000 0778·贵州省地区邮政编码长途区号地区邮政编码长途区号贵阳市550000 0851 六盘水市553000 0858铜仁市554300 0856 凯里市556000 0855都匀市558000 0854 安顺市561000 0853兴义市562400 0859 遵义市563000 0852赤水市564700·四川省地区邮政编码长途区号地区邮政编码长途区号成都市610000 028 乐山市614000 0833西昌市615000 0834 攀枝花市617000 0812得阳市618000 0838 绵阳市621000 0816雅安市625000 0835 广元市628000 0839遂宁市629000 0825 重庆市630000 0811万县市634000 0819 达县市635000 0818南充市637000 0817 华鉴市638600内江市641000 0832 自贡市643000 0813宜宾市644000 0831 泸州市646000 0830涪陵市648000 0810·云南省地区邮政编码长途区号地区邮政编码长途区号昆明市650000 0871 东川市654100 0881曲靖市655000 0874 照通市657000 0870开远市661000 0873 个旧市661400 0873大理市671000 0872 楚雄市675000 0878宝山市678000 0875·陕西省地区邮政编码长途区号地区邮政编码长途区号西安市710000 029 咸阳市712000 0910渭南市714000 0913 韩城市715400 0913延安市716000 0911 宝鸡市721000 0917汉中市723000 0916 铜川市727000 0919·甘肃省地区邮政编码长途区号地区邮政编码长途区号兰州市730000 0931 白银市730900 0943临夏市731100 0930 武威市733000 0935张掖市734000 0936 酒泉市735000 0937嘉峪关市735100 0937 玉门市735200 0937金昌市737100 0935 天水市741000 0938平凉市744000 0933 西峰市745000 0934·宁夏地区邮政编码长途区号地区邮政编码长途区号银川市750000 0951 吴忠市751100 0953青铜峡市751600 0953 石嘴山市753000 0952·青海省地区邮政编码长途区号地区邮政编码长途区号西宁市810000 0971 格尔木市816000 0979德令哈市817000 0977·新疆地区邮政编码长途区号地区邮政编码长途区号乌鲁木齐830000 0991 昌吉市831100 0994石河子市832000 0993 奎屯市833200 0992博乐市833400 0909 克拉玛依834000 0990塔城市834700 0901 伊宁市835000 0999阿勒泰市836500 0906 吐鲁番市838000 0995哈密市839000 0902 库尔勒市841000 0996阿克苏市843000 0997 喀什市844000 0998阿图什市845300 0908 和田市848000 0903·西藏地区邮政编码长途区号地区邮政编码长途区号拉萨市850000 0891 日喀则市857000 0892·香港、澳门、台湾地区邮政编码长途区号地区邮政编码长途区号香港999077 00852 澳门999078 00853台北999079 2 高雄999079 7。