高二英语各单元 学案(附答案)
- 格式:doc
- 大小:139.50 KB
- 文档页数:7
Unit 2 Looking into the FutureLearning About Language掌握本节生词及句型表达与运用。
1. security2. 犯罪活动,不法行为3. combine将来进行时一、将来进行时的构成和概念将来进行时由“will/shall be +现在分词”构成,shall 用于第一人称,will 用于各种人称。
将来进行时表示将来某一时间正在进行的动作,常表示已经安排好的事情。
二、将来进行时的用法(1)表示将来某一时刻或某一时间段内正在进行的动作,常与at this time tomorrow, at…o’clock tomorrow afternoon 等表示将来某个具体时间点或时间段的时间状语连用。
(2)将来进行时可以表示已经计划好的事(3)将来进行时用来表示委婉客气(4)将来进行时可以表示现在正在进行的动作,但这个动作会延续到将来。
(5)将来进行时可以用于解释原因。
【注意】一般将来时强调的是“将来要发生”的动作和状态,而将来进行时表示“将来某个时间正在进行”的动作。
练习一、根据汉语意思,用句末括号内单词的正确形式完成句子。
1.省省吧!别叫我出去了。
你知道我今晚会准备考试。
(prepare)Save your breath! Stop asking me ont. You know I .2.当我到家的时候,我妻子可能会正在看电视。
(watch)When I get home, my wife .3.对不起,我明天下午不能到机场去送你了。
那时我正在给一群学生作演讲。
(address)I'm sorry that I can't see you off at the airport tomorrow afternoon. I ______ a groupof students then.4.你最好不要在今晚7 点到8 点之间给经理打电话,因为他那时正在开一个重要的会。
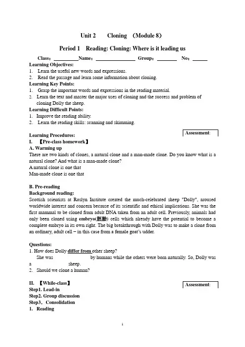
Unit 2 Cloning (Module 8)Period 1 Reading: Cloning: Where is it leading usClass : Name : __________ Group : No :______ Learning Objectives:1. Learn the useful new words and expressions.2. Read the passage and learn some information about cloning. Learning Key Points:1. Grasp the important words and expressions in the reading material.2. Learn the text and master the major uses of cloning and the success and problem of cloning Dolly the sheep. Learning Difficult Points:1. Improve the reading ability.2. Learn the reading skills: scanning and skimming.Learning Procedures:I. 【Pre-class homework 】 A. Warming upThere are two kinds of clones, a natural clone and a man-made clone. Do you know what is a natural clone? And what is a man-made clone?A natural clone is one that ______________________________________________________ Man-made clone is one that ____________________________________________________B. Pre-readingBackground reading:Scottish scientists at Roslyn Institute created the much-celebrated sheep "Dolly", aroused worldwide interest and concern because of its scientific and ethical implications. She was the first mammal to be cloned from adult DNA taken from an adult cell. Previously, animals had only been cloned using embryo(胚胎) cells which already have the potential to become a complete embryo in its own right. The big breakthrough with Dolly was to make a clone from an ordinary, adult cell − in this case from a female goat’s udder.Questions:1. How does Dolly differ from other sheep?She was ______________ by humans while the others were born naturally. So, Dolly was a ______________ sheep. 2. Should we clone a human?II. 【While-class 】 Step1. Lead-inStep2. Group discussion Step3.Consolidation 1. Reading____________________________________________________________________________________________________A. 做《朗声》p23. ⅣB. Read the text again and fill in the blanks.Cloning is a way of making an 1._________ (exactly) copy of another animal or plant. It has two major uses .2. ________, gardeners use it to earn profits. Secondly, it is valuable for research on new plant species and 3.________ medical research on animals. Although cloning mammals is difficult 4.__________ (undertake), the determination and patience of the scientists 5._______ (pay) off in 1996. The fact 6._______ she seemed to develop normally was very 7._____________(encourage). But she had half of the 8.________ (long ) of the original sheep, 9._________ arose scientists’concern. Up to now, cloning is still 10. ___________ (controversy).Step4.PresentationStep5.SummaryIII.【Post-class】Key:【Pre-class homework】A. Warming up:A natural clone is one that occurs in a natural form of cloning without human help.Man-made clone is one that is produced through human intervention(介入) .B. Pre-readingQuestions:1. She was cloned by humans while the others were born naturally. So, Dolly was a cloned sheep.2.In my opinion, I do not agree, for it may cause many moral problems.【While-class】1.exact2. Firstly,3. For4. to undertake. 5, paid 6,that 7. encouraging 8. length9, which 10, controversial____________________________________________________________________________________________________Period 2 Language points in Reading 1Class : Name : __________ Group : No :______ Learning Objectives:1.Learn and grasp the important useful new words and expressions.2. Learn the important useful sentences and patterns.3. Make sentences after the useful expressions. Learning Key Points:Grasp the usages of such important new words and expressions. Learning Difficult Points:Understand some difficult and long sentences.Learning Procedures:Ⅰ.【Pre-class homework 】 A. Phrases:1. 与……不同 11. 对……产生影响 2.一项难以承担的任务 12. 媒体 3.得到回报 13. 变得有争议的 4.一方面……另一方面…… 14. 打开眼界5. 令人感到不安的消息 15. 邪恶头目 6.沮丧,不愉快 16. 道德问题7. 适合于 17. 变得谨慎的8. 无法控制的命运 18. 收集证据9. 改进 19. 赞成 10. 一阵强烈的反对 20. 反对 B. Sentences(尽量用同位语从句翻译下列句子):1. 采纳新规则的建议是主席提出来的。
一、词汇变形Book5 Unit2 The United Kingdom 词汇导学案1. unite (v.) 联合---united (adj.)---union (n.)2. consist (v.) 组成,一致--- consistent (adj.)3. divide( v.)分开 --- division n.4. willing (adj.) 愿意的--- willingness(n.)---unwilling (adj. )不愿的5. educate (v.) 教育---educator 教育家--- education —educational (adj.)教育的6. convenient(adj.) 方便的---inconvenient--- convenience(n.)便利7. attract(v.) 吸引---attraction (n.) ---attractive8. enjoy (v.) 喜欢,享受---enjoyment n.--- enjoyable adj. 令人高兴的9. furnished (adj.) 带家具的--- furniture (n.)家具(不可数)二、重点单词10. d escribe (v.) 描述---description(n.)11. possible (adj.)---possibly( adv.) ---possibility (n.) 可能性 12. arrange (v.) 安排--- arrangement(n.) 13. fold (v.) 折叠--- unfold (v.) 打开;展示 14. delight (n.& v. )高兴 ---delighted/ delightful(adj.) 15. original (adj.)起初的---originally(adv.) ---origin (n.)---originate (v.)发源于 16. c lear(adj.)清楚---clarify(v.)澄清17.accomplish (v )完成---accomplishment(n.) 18.imagine(v.) ---image(n) 影像,形象 ---imaginary (adj.)虚构的---imagination(n.) ---imaginative(adj.) 富于想像的1) This club ___ more than 200 members.这个俱乐部由 200 多个会员组成。
(眼睛)瞄准力求达到 针对(2)aim to do sth./aim at doing sth.意欲/企图做某事, 旨在做某事 be aimed at 目的是,旨在,针对 (主语一般是物) be intended to do/for sth. be designed to do/for sth. (同词异构:目的是,旨在)be meant to do /for sth. achieve one’s aim 达到目的 without aim 漫无目的地(1) take aim at 向……瞄准= aim at sth. miss one’s aim 打不中目标,达不到目的 with the aim of 以期……,意在……aim 瞄 准 基本义一、词汇变形Book6 Unit1 Art词汇导学案1. realistic (adj.) 现实的--- real (adj.) ---really (adv.)---reality (n.) ---realize (v.)2. faith (n.) 信心--- faithful (adj.) --- faithfully3. aim (v./n.)---aimless (adj.)---aimlessly(adv.)4. possess (v.) 拥有--- possession (n.)5. predict (v.) 预言--- prediction (n.)6. exhibit (v.) 展出 --- exhibition (n.)7. school--- scholar (n.) 学者--- scholarship8. prefer (v.) 更喜欢--- preferred --- preference(n)8. appeal (v.) 呼吁/ 有吸引力 --- appealing(adj)10. convention(n)习俗; 常规---conventional(adj.)---unconventional(adj.) 11. type(v./n.)---typical(adj.)典型的12.evident(adj.)---evidence(n)证据 13. possess(v.)---possession(n.)财产 14. impress (v.)---impressive(adj.) ---impression(n.)---impressionism(n.) 二、重点单词1.aim v ---impressionist(n.)印象派艺术家 16. critic(n.)评论家---criticize(v.)批评 ---criticism(n.)批评---critical(adj.)批评的,关键的16.carve(v.)雕刻---carving(n.)雕刻品17.effect(n)效果,影响 ---effective(adj)---effectively19. circular(adj.)圆形的---circle(n./v.)圆/盘旋 ---circulate(v.)循环,流传---circulation(n) 20. civil(adj.)国内的---civilize(v.)使文明 ---civilized(adj.)---civilization(n.)文明 21. view(v.)看---vision(n.) 视野 ---visual (adj.)视觉的 22. signature(n.)签字,署名 ---sign(n./v.)标记牌/签字23. adopt(v.)采纳,收养---adoption(n.) 24. specific(adj.)---specifically(adv.) 25. aggressive(adj.)---aggression(n.)侵略 ---aggressiveness(n.)进取精神Denver aimed his gun but did not shoot. The company is aiming at training everybody.*The program aimed at teenagers is well received.take aim at ); 目标,目的(achieve/realize one ’s aim; mi ss one ’s aim)1)*This activity ______(旨在) improving the students’ ability of listening and speaking.2)These educational courses are aimed ___ older people.3)The measures are aimed at ___(prevent) violence.appeal to sb. for sth 呼吁某人做…(call on sb. to do sth.) appeal for mercy 恳求宽恕make/launch an appeal to sb. for sth. 呼吁某人… appeal for aid/help 恳求帮助sth. appeal to sb.吸引某人 (= have appeal for sb. ) lose/drop an appeal 上诉失败/撤诉have hold wide /popular appeal 广受欢迎2. shadow n[C] 影子 When the sun is low, the grand building casts its shadow right across the city. (具体-抽象)阴影/影响 These people have been living for years under the shadow of fear. shadow VS shadeshade 指阳光照不到的地方,如树下或墙边的阴凉处,一般没有具体的轮廓。
Using LanguageⅠ.重点单词1.glory n.光荣;荣誉glorious adj.光荣的2.bargain v i.讨价还价;讲条件;n.便宜货3.hopeless adj.没有希望的;绝望的hope n.希望hopeful adj.有希望的4.foolish adj.愚蠢的;傻的5.pain n.疼痛;痛苦6.deserve v i.& v t.应受(报答或惩罚);值得Ⅱ.核心短语1.on purpose故意地2.make a bargain with sb和某人达成协议3.hear of听说;获悉4.run the race参加赛跑5.change one's mind改变某人的主意6.pick up接收;拾起7.one after another陆续地;一个接一个地8.apart from除了……;除……之外9.hand in hand手拉手Ⅲ.经典句式1.She was very beautiful and could run faster than any man in Greece.她很美丽而且比希腊的任何一个男人跑得都快。
2.She was so angry that she said to her father that she would not marry anyone who could not run faster than her.她如此生气,以至于她对她父亲说,她不会嫁给任何跑不过她的男人。
3.This is important because the more you speak English,the better your English will become.这很重要,因为你开口讲得越多,你的英语就会越好。
阅读清障①Atlanta/ət'læntə/n②princess/pr I n'ses/n.公主③glory/'ɡl rI/n.光荣;荣誉win glory for为……赢得荣誉④would是情态动词,表示“会,将会”※who引导的定语从句,修饰先行词anyone。
Unit 2Learning about Language 教学设计科目:英语课题:Learning about Language 课时:1 课时教学目标与核心素养:知识目标:让学生了解将来进行时的用法。
能力目标:让学生学会分辨和判断将来进行时的应用情况。
情感目标:让学生能够用将来进行时介绍未来活动计划。
教学重难点教学重点:让学生能够了解并运用将来进行时做预测。
教学难点:判断哪些情况适合将来进行时。
课前准备:多媒体,黑板,粉笔教学过程:一、Pre-class1. Greeting2. Leading-in教师活动:教师提出话题:你认为在未来科技可能会怎样发展?学生活动:学生思考教师提出的问题并与同伴讨论。
(注意时态用法)活动目的:通过思考相关问题导入本节课所讲内容。
二、While-class1. 教师活动:引导学生学习将来进行时的用法。
将来进行时由“will/shall be +现在分词”构成,shall 用于第一人称,will 用于各种人称。
将来进行时表示将来某一时间正在进行的动作,常表示已经安排好的事情。
学生活动:理解将来进行时的用法,学会举例说明。
2. 教师活动:介绍将来进行时。
将来进行时的用法(1)表示将来某一时刻或某一时间段内正在进行的动作,常与at this time tomorrow, at…o'clock tomorrow afternoon等表示将来某个具体时间点或时间段的时间状语连用。
(2)将来进行时可以表示已经计划好的事(3)将来进行时用来表示委婉客气(4)将来进行时可以表示现在正在进行的动作,但这个动作会延续到将来。
(5)将来进行时可以用于解释原因。
【注意】一般将来时强调的是“将来要发生”的动作和状态,而将来进行时表示“将来某个时间正在进行”的动作。
学生活动:学生学习其他将来时的表达方法,并进行造句练习。
一般将来时与将来进行时的区别(1)一般将来时表示事先没有考虑而只是在说话时作出的决定;也用于表示事物的倾向性或规律性。
Unit 2 The United Kingdom (Book 5)Period 1 Reading: Puzzle in GeographyClass:_________ Name:_____________ Group:___________ No:_________ Learning Objectives:1.Learn the useful new words and expressions.2. Read the passage and learn something about how the UK was formed geographically,historically and culturally.Learning Key Points:1. Learn reading skill: Scanning and close reading2. Know about the geography,history and culture of the UKLearning Difficult Points:Improve the reading abilityLearning Procedures:A.Scanning : Chose the main idea of the passagea. How many countries make up the United Kingdom?b. Explain how England is divided into three zonesc. The reason why London became the cultural capital of England.d. A brief introduction to the UK about its foundation and development based ongeography,history and culture,etcC. Divide the passage into three parts and match the main idea of each part.Part 1 (Para ___-___) The cultural importance of London (About London)Part 2 (Para ___ ) How the UK came into being. (About the UK)Part 3 (Para ___- ___) England is divided into 3 zones. (About England)II.【While-class】Step1 Lead-inStep2 Check the pre-class homeworkStep3 Furthering reading:A. Decide the following sentences true or false.1. The three countries were united by war instead of peacefully. ( )2. The Union Jack flag unites the flags of three countries in the United Kingdom,andScotland is left out. ( )3. Northern Ireland ,England and Scotland have developed different educational and legalsystems but they do work together in some areas as well.( )4. Most of the large industrial cities are in the south of England. ( )5. The oldest building in London was begun by the Anglo-Saxons in the 1060s. ( )6. The first invaders Norman left their language and their government. ( )B. Try to use context clues to work out the meaning of underlined words and phrase.1. People may wonder why different words are used to describe these four countries: England,Wales,Scotland and Northern Ireland. You can clarify this question if youstudy British history. ( )A. make it harder to understandB. make it easier to understandC. make it important to understandD. make it necessary to understand2. Next England and Wales were joined to Scotland in the seventeenth century and the name was changed to “ Great Britain”. Happily this was accomplished without conflict when King James of Scotland became King of England and Wales as well. ( )A. successfullyB. peacefullyC. cooperativelyD. importantlyStep4 Consideration:A. Try to put the missing sentences into the passage without reading the passage.England is the largest of the four countries,and for convenience it is divided roughly into three zones. _____1_____. You find most of the population settled in the south,butmost of the industrial cities in the Midlands and the North of England. ______2______.It is a pity that the industrial cities built in the nineteenth century do not attract visitors. For historical architecture you have to go to older but smaller towns built by the Romans. There you will find out more about British history and culture.______3_____.It has the oldest port built by the Romans in the 1st century AD,the oldest building begun by the Anglo-Saxons in the 1060s and the oldest castle constructed by later Norman rulers in 1066.____4____. The first invaders,the Romans,left their towns and roads. The second,the Anglo-Saxons,left their language and their government. The third,the Vikings,influences the vocabulary and place-names of the North,and the fourth,the Normans,left castles and the words for food.______5____.You must keep your eyes open if you are going to make your trip to the United Kingdom enjoyable and worthwhile!A.If you look around the British countryside,you will find evidence of all these invaders.B.The greatest historical treasure of all is London with its museums,art collections,theatres,parks and buildings.C.The zone nearest France is called the South of England,the middle zone is called theMidlands and the one nearest to Scotland is known as the North.D.There have been four sets of invaders of England.E. Although,nationwide,these cities are not as large as those in China,they have world-famous football teams and some of them even have two!B.Blank fillingThe United Kingdom 1.___________(consist)of four countries: England,Wales,Scotland and Northern Ireland, 2 _____________ are shown to the world in a flag3.___________(call) the Union Jack. The four countries do work together in some areas,butthey 4. ___________ (develop) different educational and 5.___________ (legality) systems. England,the 6.___________ (large) of the four countries,is roughly 7.___________ (divide) into three zones.8 ____________capital,London,has been influenced by the 9.____________ (invader) of England,and you will find the greatest 10. ____________(history) treasures in it.Step5 SummaryIII.【Post-class】【Pre-class homework】A.Scanning : DC. Divide the passage into three parts and match the main idea of each part.Part 1(Para 1-3) The cultural importance of London (About London)Part 2(Para 4) How the UK came into being. (About the UK)Part 3(Para 5-6) England is divided into 3 zones. (About England)Step3 Furthering reading:A. Decide the following sentences true or false.F F T F T FB. Try to use context clues to work out the meaning of underlined words and phrase. BBStep4 Consideration:A. Try to put the missing sentences into the passage without reading the passage. CEBDAB .Blank fillingconsists , which , called , have developed , legal , largest , divided , its , invaders , historicalPeriod 2 Language focus in Reading 1 (Book 5)Class :_________ Name :_____________ Group :___________ No :_________ Learning Objectives :1. Make sentences using the important useful new words and expressions.2. Learn the important useful sentences and patterns.Learning Key Points :Grasp the usages of the important new words , expressions and sentence structure above. Learning Difficult Points :Learning Procedures :I.【Pre-class homework 】A. Translate the phrases into English1. 由……组成2.把……分成3.阐明这个问题4.提到;查阅5.同样;也6.挣脱(束缚);脱离7.为……带来荣誉;值得赞扬;在……名下8.教育和立法制度9.为了方便10. 历史建筑11.艺术收藏品12. 历史瑰宝13.省去;遗漏;不考虑B. Make sentences using the following words and phrases:1. consist2. divide3. clarify4. accomplish5. convenience6. conflict7. break away (from)8. to one’s creditⅡ.【While-class】Step1 DiscussionSs discuss their pre-class homework in groupStep2 PresentationStep3 Consolidation:A. Imitative writing (句子仿写)1.It is a pity that the industrial cities built in the nineteenth century do not attract visitors.Translate:结构:1)it为形式主语,真正的主语是:2)在该主语从句中,built in the nineteenth century 修饰,作仿写:遗憾的是,坐落于老城区的建筑没有得到很好的保护。
新教材适用高中英语学案新人教版必修第二册:UNIT 2 WILDLIFE PROTECTION主题语境单元语法单元写作人与自然——人与动植物现在进行时的被动语态保护野生动物的海报语言知识语音知识多音节单词的读音规律单词巧记illegal, hunter, immediately, rating, alarming,extinction, endanger, concerned, beauty, effective,remove, recover, threaten, goods, emotion, unusual,neighbourhood高频单词alarming, aware, average, concern, adapt, measure,pressure, reserve, observe, remind, profit, attack,recover, remove, intend, exist, reduce, due重点短语die out, make out, watch over, search for, put out, stirup常用句式This is why... 现在分词短语作状语only when+部分倒装as引导的状语从句keep+宾语+宾补since引导的原因状语从句if引导的条件状语从句when it comes to... sothat引导的目的状语从句[导语]对于很多旅游爱好者来说,南极游可能是一生一次的梦想;但是对于南极“土著”鸟类来说,游客的到来却可能是对它们生命的威胁。
英国《新科学家》杂志近日报道称,随着南极游火爆,越来越多游客踏足南极大陆,使得原本与世隔绝、免疫系统脆弱的南极鸟类面临的病菌威胁增加,甚至可能会危及它们的生命。
Thanks to its awful environment,Antarctica remained largely untouched by humans for thousands of years,allowing a growing ecosystem to develop.However,since the 1990s,the last true wilderness on the planet is becoming an increasingly popular destination for adventure-seeking tourists.Now,a new study declares that the visitors may be leaving behind harmful bacteria(细菌) which could devastate the area's native bird numbers.Humans can infect animals with illnesses such as the flu.Researchers,however,believed that the Antarctic animals weren't influenced by the danger due to the continent's extreme weather.However, scientist Marta Cerdà-Cuéllar was not convinced this was true.She and some colleagues decided to examine waste samples from Antarctic birds for evidence of human bacteria.To ensure(确保) the waste was not polluted,the scientists had to collect it from the birds themselves.The results of their study showed the presence of several types of human bacteria in the bird waste.This included a common strain of bacteria that causes food poisoning in humans.The researchers say the bacteria kinds were resistant to commonly-used human antibiotics(抗生素), proving they were brought in by the visitors,rather than traveling birds.“These strains,which are a common cause for infections in humans and livestock,do not usually cause death outbreaks in wild animals,”says González-Solís.“However,the rising or invasive(扩散的) pathogens(病菌)that arrive to highly sensitive populations could have severe results and cause the extinction of some populations.”The researcher also fears the presence of these bugs could know in advance the arrival of other,more deadly,pathogens as the number of tourists people increases.Experts believe the only way to prevent the mass damage of the birds is to impose stricter regulations or,at least,put into effect the ones already in place.For example,while the Antarctica Treaty requires visitors to carry their waste back home to safeguard the ancient environment,the regulation is rarely carried out.Hopefully,officials will take steps to protect the vulnerable birds before it's too late.1.What problem is Antarctica facing now according to Paragraph 1? AA.The increasing number of tourists.B.The worsening wilderness.C.The reducing native bird numbers.D.The spread of infectious illness.解析:细节理解题。
Unit 1 Great scientists (Book 5 )Period 1 Reading: John Snow Defeats“King Cholera”:________ Group:No:2.Read the passage and learn something about how John Snow defeated cholera. Learning Key Points:1. Learn reading skill: Scanning and skimming、2. Know about how John Snow defeated cholera.Learning Difficult Points:Improve the reading abilityLearning Procedures:I.【Pre-class homework】A. Try to get the main idea of the text.Who: ________________What: ________________:When: ________________How: __________________________________________________II.]III.【While-class】Step1. Lead-inStep2. Group discussionSs discuss their pre-class homework in groupStep3 Consolidation:A.Reading comprehension1. John Snow became inspired when ________.B.he became a well-known doctor in LondonC.^D.he attended Queen Victoria to ease the birth of her babiesE.he thought about helping ordinary people exposed to choleraF.he found the cause of cholera and defeated “King Cholera”2.The reason why John Snow used the map in his research was that with its help_______.A.he wouldn’t lose his wayB.he could find out the houses in Broad Street and Cambridge Street easilyC.he could find out what caused the outbreak of choleraD.he could find out how many people died3.】4.Why did such houses as 20 and 21 Broad Street and 8 and 9 Cambridge Street have nodeaths? Because_______.A.people there were given free beer and they had not drunk the water from the BroadStreet pumpB.people there had known that the water was polluted by the dirty water from London.C.the disease began to slow down in Broad Street and Cambridge StreetD.people in these families were much stronger than those near the Broad Street pump5.The following measures should be taken to prevent cholera except_________.A.always drinking beerB.instructing the water companies not to expose people to polluted water any moreC.、D.examining all water suppliesE.finding new methods of dealing with polluted water6.What made John Snow find the cause of cholera?A.Queen Victoria’s order.B.His wife’s death.C.Kindness, carefulness and good observation.D.Strong determination, patience and selfishness.B. Complete the blanks.】Cholera was the deadly disease in London in 1. ___________ middle of the 19th century. Once it broke out, thousands of 2. _____________ (terrify) people died. John Snow, a famous doctor at the time, decided to challenge 3. _________________.4. ____________ that time, there were two main ideas about cholera. One was that cholera5. _____________ (multiply) in the air and a strange floating could with it attacked itsvictims. The other was that people absorbed the disease 6. _____________ their bodies with their meals. John Snow agreed with the second one, 7. ______________ he needed evidence.Another outbreak hit London in 1854, 8. _______________ again killed many people. John Snow was determined to find out the reason. After looking into the cause carefully, he concluded with 9. ________________ (certain) that the drinking water polluted by dirty water from London was 10.________________ (blame).Step4.PresentationStep5.SummaryKeys:A.Read the passage and write down the main idea of each paragraph.Try to get the main idea of the text.)Who: John SnowWhat: defeated King choleraWhen: in the 19th centuryHow: through a scientific research~C C A A CComplete the blanks.1. the2. terrified3. it4. At5. multiplied6. into7. but8. which9. certainty 10. to blamePeriod 2 Language points in Reading 1:__________ Group:No:______《2. Learn the important useful sentences and patterns.3. Make sentences after the useful expressions.Learning Key Points:Grasp the usages of such important new words and expressions.Learning Difficult Points:Understand some difficult and long sentences.Learning Procedures:Ⅰ.【Pre-class homework】-A. Phrases1. 提出2. 得出结论3. 护理某人,照料某人4. 暴露于……5. 私人医生6. 致命的疾病7. 面对挑战8. 解决问题9. 收集信息10. 决心做某事11. 有价值的线索12. 水泵13. 做进一步的调查14. 调查15. 减缓,慢下来16. 将A与B联系起来17. 死于霍乱18. 肯定地宣布19. 阻止某事再次发生20. 命令某人做某事B. Make sentences using the following words1. attend2. expose to3. cure4. challenge5. contribute6. suspect7. blame8. link…toⅡ.【While-class】Step1. Lead-inStep2. Group discussionStep3.Consolidation1. Neither its cause nor its cure was understood.翻译:______________________________________________________________________仿写:你和我都不是电脑高手。
Unit 4Wildlife protection开启快乐学习之旅Elephants move into new community centerThe old Elephant House at the National Zoo in Washington D.C. has been renovated ( 翻新) to include a lot more space for the giant animals to play, rest and even take a shower. It has been renamed the Elephant Community Center, and it also offers a lot more for human guests.“It's a great place for elephants to socialize ,”said Marie Galloway, who is the elephant manager at the zoo.The community center is designed to hold as many as 10 elephants. Although the zoo plans to increase the herd (象群), there are now just three elephants; Ambika, Shanthi and Kandula.Galloway said each animal reacted (作出反应) differently to the new space. Shanthi, 38 years old, walked right in and explored everywhere. Ambika, 65, was very cautious (谨慎的) the first day, not sure if the new space was safe. And Kandula, Shanthi's 11-year-old son, had a funny way of dealing with the unknown. “He backed his way in,”Galloway said with a laugh.“The elephants are already enjoying throwing sand on one another,”said Galloway.People also have a lot more to do than in the old building, where they had few chances to learn about endangered species from Asia.There's a display featuring one of Kandula's old toys:a 750-pound tire. Visitors can watch a video of him playing.There are several other hands-on activities, including a machine that compares elephant sounds and human voices. You also can make apromise to save the elephants.Lastly, “protection”is the message zoo officials hope visitors willtake away from the exhibition. “We're hoping people will come to...andbecome educated ,”Galloway said. “And take action to protectelephants.”为了给大象创造更好的生存环境,美国华盛顿的国家动物园将它们的居所整修一新。
[学案]人教版高二英语必修5Unit3lifeinthefuture学案含答案Unit3 Module 5Period 1: Reading班级_____________ 姓名___________ 学号____________学习目标:1. Learn the useful new words and expressions.2. Read the passage and learn about what life will be like in the future.学习重点:Get students to learn different reading skills: scanning and skimming学习难点:1.Grasp the important words and expressions.2.Improve the reading ability学习过程:一、Pre-class homework (课堂前置性作业)Part A : Fast reading —Try to get the main idea of the text.Who: ________________What: ________________How: __________________________________________________Summary:_____________________________________________________ ______ ___________________________________________________________ Part B: Fill in the blanks,each blank for one word.Before the journey1. Li Qiang felt_______ and ________ at first, as a result he suffered from ________ _________. Wang ping , who was Li Qiang’s ______ and ______ gave him some green ______, which helped _________ __________.2. Li Qiang was going to be ________ into the future in a time _______by ________ _______company named “Future Tours”.During the journey1. Li Qiang and his friends climbed in through a small ______. The seats were comfortable and after they had a ______ drink, they felt ______ and _______ their eyes. A few minutes later when they woke up they found themselves _______ _______ the earth but _______ _______ years in the future.2. The _______ _______ being difficult to tolerate , Li Qiang was hit by the lack of _______ _______ and his _________ ached. Just at the moment Li Qiang had a“time lag ”_______ . He saw the area again in the year_________ _________ . He realized he was still in his ________.After the journey1. Arriving at a strange-looking house, Li Qiang was showed into a large, bright clean room with a _____ wall, a brown floor and soft lighting.2. _________, he slid into bed and fell fast asleep.二、While- class (课堂教学流程)Step1.Lead in1. How did people go to other places 1000 years ago?2. What kind of houses do they live?3. How do people go to other places at present?4. What kind of houses do we live?5. Can you imagine how people go to other places 1000 years later?6. What kind of houses will they live?Step 2. Discussion:小组讨论课堂前置性作业Step 3. detailed reading:A.True or False.( ) 1. When you suffer from time lag, you keep getting flashback from your previous time period.( ) 2. When Li Qiang was flying in a hovering carriage, he was transported to a new place far from his hometown.( ) 3. Li Qiang had this chance to travel to the future because he won a prize last year.( ) 4. When Li Qiang was hit by a lack of fresh air and his head ached, Wang Peng gave him some tablets to feel better.( ) 5. After arriving at a new house, Li Qiang was so exhausted that he went to bed at once.B. Cloze TestLi Qiang couldn’t believe that he had travelled to the year AD 3008 (1)________a time capsule. Because this was his (2) ___________ time trip, he was worried and(3) _________(settle)and he suffered (4) ______”time lag”. Besides, he was hit by the lack of fresh air. His guide, Wang Ping, who was very (5) ____________(understand),gave him some green tablets and a mask, which helped him (6) ___________ the problem. However, Li Qiang experienced something new.He flew (7) __________ the ground in a hovering carriage. (8) ____________(arrive) home, he was shown into a large bright, clean room with a wall of tree. After eating something, he fell (9)___________ asleep in the bed that (10) __________(produce) from the floor.Step 4.Presenting (成果展示与教师点拨)Ss present their group jobA. True or False statementsB. Cloze testStep 5.Summary(学生小结)Ss talk about what they have learned in the lessonKeys:课堂前置性作业Part AWho: Li Qiang and Wang PingWhat: They took a journey to the year AD 3008How: by taking a time capsuleSummary:Li Qiang wrote to his parents about his future journey. He travelled in a time capsule there, though the surroundings were difficult to tolerate at first, he found the transport and house new and exciting.Part BBefore the journey1. nervous ; uncertain; time lag; friend ;guide; tablets; a lot.2. transported; capsule ;Wang ping`s parents`During the journey1. opening; calming; sleepy; closed; still on; one thousand2. new surroundings; fresh air; head; flashback; AD 2008; hometown.After the journey1.green2.Exhausted课堂教学流程I.Lead in1. How did people go to other places 1000 years ago?By riding horses or on foot2.What kind of houses do they live?Houses made of wood ;bamboo or grasses.3. How do people go to other places at present?By taking buses; trains;planes; driving cars or on foot4. What kind of houses do we live?Houses made of brick, stone, steel, glass and so on5. Can you imagine how people go to other places 1000 years later?6. What kind of houses will they live?Ⅱ. Discussion:III. detailed reading:True or False.1. T2. F3. T4. F5. FIV. consolidation1.in2.first.3.unsettled4.from5.understanding6.overcome/solve7. above 8.Arriving 9.fast 10.was producedUnit 3 Module 5Period 2: Grammarthe –ed form as the Predicative, Attributive and Object Complement班级_____________ 姓名___________ 学号____________学习目标:知识与技能:1. Learn the past participle used as the Adverbial and Attribute.2. Use the past participle correctly according to the context.过程与方法Task-based teaching and learning / Cooperative learning / Discussion情感态度与价值观Get Ss to become interested in grammar learning.学习重点:Learn how to use past participle correctly.学习难点:Have Ss grasp the skills needed to extend both their active and passive vocabulary.学习过程:Pre-class homework (课堂前置性作业)Part A. Try to understand the meaning of the sentences and the use of the underlined words.1. Frightened by the loud noise, I went to see what was happening..2. We have been told to read the book written by a new reporter.3. We have all been very satisfied with the service in the space hotel recommendedby Li Qiang..4. The fallen leaves are yellow.5. Confused by the problem, he decided to turn to his teacher for help..6. Supported by her family, she decided to settle in the northwest of China.7. Accused of stealing the mobile phone in the office, she found that all her friendshad deserted her.语法规则:1. ____________充当后置定语时,作用相当于一个定语从句。
高中英语必修2Unit5Music单元复习精品导学案(含答案解析)1.Guesswhichmusicmatcheswhichpicture.(P33)猜猜看,哪段音乐与哪幅图片相匹配。
阅读下列句子,注意match的词性和意思。
(1)It’sdifficulttofindacurtaintomatchthecolorofthewall.(v.与……相配)(2)Tomatchtheneedofthesociety,weneedtobewell-qualified.(v.满足……的需要)(3)Thetieisanicematchtotheshirt.(n.相配的人/物)(4)Lastnightwewatchedanexcitingbasketballmatch.(n.比赛)(5)Hesearchedhispocketforamatch.(n.火柴)2.DoyousingkaraokeandpretendyouareafamoussingerlikeSongZuyingorLiuHuan?(P34)你唱卡拉OK时,是否假装自己就是宋祖英或刘欢一样著名的歌星吗?◆词语归纳pretendsth./tobesb.把……假装成……pretendtodosth.假装做……pretendtobedoingsth.假装正在做……pretendtohavedonesth.假装已经做……pretend+that从句装作……,假装……即学即练根据括号中的提示完成下列小片段。
AsTomwasn,tinterestedinhislessons,whenevertherewasanexam,hewould(1)(假装生病).Lastweek,he(2)(假装头痛)whentheteacherwasgoingtogiveaquiz.He(3)(假装痛得厉害)duringthequiz.Anhourlater,whenthequizwasfinished,he(4).(假装好了)答案:(1)pretendthathewasill/pretendtobeill(2)pretendedaheadache(3)pretendedtobesufferinggreatpain(4)pretendedtohaverecovered3.Tobehonest,alotofpeopleattachgreatimportancetobecomingrichandfamous.(P34)说实在的,许多人把名和利看得很重。
Unit 4 Making the news(Module 5)Period 1 Reading: My First Work Assignment“ Unforgettable”, says new journalist班级__________ 姓名____________ 学号_____________学习目标:1. Learn the new words and expressions in the reading material2.Read the passage and know about Zhou Yang’s first work assignment.3. Learn the reading skills学习重点:1. Grasp the important words and expressions in the reading material2. Know about Zhou Yang’s first assignment.学习难点:1.Grasp the important words and expressions.2. Encourage the students to talk about jobs in newspapers and what is needed to work in a newspaper office学习过程:I. Pre-class homework (课堂前置性作业)Ⅰ. Pre-readingDiscuss the question in groups.If you want to be a reporter, do you think what qualities a good news reporter needs to have? Collect their idea and fill in the chart on P25.Ⅱ. ReadingA. Main idea:The passage is about Zhou Yang’s first__________at the office of a popular newspaper. His boss, an __________ journalist, told Zhou Yang _______________________________.B. Skimming:Read the passage and answer the following questions:1. What does the reading passage mainlyA. The skills necessary to become a good reporterB. The skills necessary to become a good photographerC. How to conduct a good interviewD. Being carefully in the new environmentE. A and C2. How many questions does Zhou Yang ask his new boss, Hu Xin? Please underline all these questions.3. How did Zhou Yang feel on his first day at work ?II. While-class (课堂教学流程)Step1.Lead inStep2.Discussion (小组讨论交流课堂前置性作业)Step3.Detailed readingⅢ. Post-reading1. Choose the correct explanations to the underlined phrases.(1) What do I need to remember when I go out to cover a story?A. tell a storyB. write storyC. report a story(2) A good journalist must have a good “nose” for a story.A. be able to “smell” the truth when somebody is telling part of it.B. be able to discover the whole truth by doing research.C. B and C(3) This is a trick of the trade.A. something that cheats somebodyB. something that helps you do the job in a professional way.C. something used to hide secrets.(4)We sometimes use small recorders to make sure that we get all your facts straight.A. to make sure that the story is accurateB. to get the facts directlyC. to get the things specially2. Fill in the blanks with the correct words.Zhou Yang’s first job will be an (1) ______________ (assist) journalist and his boss has told him many things he should keep in mind. Firstly, he can’t go out (2) _____________ a story immediately because he is not (3) ________________ (experience) enough. There is no (4) _______________ for a camera because he’ll have a (5) ________________ (profession) photographer with him to take photographs. Secondly, (6) _________________ (be ) a good journalist, he needs to be curious if he wants to acquire all the information he wants. A good journalist must have a good “nose”(7) _______________ a story. Thirdly, he needs to learn to listen for detailed facts and prepare the next question (8) _________________ (depend) on what the interviewee says. Lastly, the boss told him a case (9) ________________ someone accused their journalists (10) ___________________ getting the wrong end of the stick.Step5.Presenting (成果展示与教师点拨)Ss present their group jobA. choose the correct answersB. Cloze testStep8.Summary(学生小结)Ss talk about what they have learned in the lessonkeys:1.pre-reading :略Ⅱ. ReadingA. Main idea:Key: assignment, experienced, something about what to do when a journalist goes out to cover a story./ how to be a good reporter.B.SkimmingⅠ1. E2.(1) Can I go out on a story immediately?(2) What do I need to take with me?(3) What do in need to remember when I go out to cover a story?(4) What should I keep in mind?(5) Why is listening so important?(6) But how can I listen carefully while taking notes?(7) Have you ever had a case where someone accused your journalists of getting thewrong end of the stick?3. enthusiastic, eager to learn, modest…Step3.Detailed readingⅢ. Post-reading(1) C(2) C(3) B(4) A2. Cloze test(1) assistant (2) on (3) experienced (4) need (5) professional(6) to be (7) for (8) depending (9) where (10) ofUnit4 Module 5Period 2 Grammar:Inversion班级_____________ 姓名___________ 学号____________学习目标:. 1. Ss learn the use of inversion.2. Ss use inversion correctly and properly according to the context.学习重点:How to use Inversion correctly学习难点:Have Ss grasp the skills needed to use Inversion correctly.学习过程:I. Pre-class homework (课堂前置性作业)一. 知识回顾英语最基本的语序是_________在前,_________在后。
教学目的和建议(Teaching aid and demands)1. Words and Expressions类别课程标准要求掌握的项目话题 1. talking about nature, ecology and the environment2. talking about how to save the earth.词汇ecology coal summary content representative killer access premier stressequality fairness responsibility willingness harmony wipe per alternativedefend incorrect affect adviseThe united nations take part in take action air conditioner in harmony with put an end to wipe out advise sb to do sth功能表示某种意见(supporting an opinion)we must m ake sure that……..it’s clear that…….I believe that we must …….I’m all fo r…..If nothing is done …,then …..I can’t imagine that…..Sure/ certainly/ absolutelyIs there a better way to ……语法常见的倒装句式1.there exist serious problem and there is still time to take action2 Not until we know more will we be able to improve the situation3. Only by changing the way we live can we save the earth.4. had I known that air conditioners cause so much pollution , I would never have bought one5. a better understanding of the environment is necessary ,as is the willingness to act.2. Teaching periods.4 periodsPeriod One: Practice speaking and listening.Period Two: Reading Comprehension.Period Three: The study of language points.Period Four: The Study of Grammar and writing.Teaching Steps for SEFC Book 2A unit9Period 1 Warming up, listening and SpeakingI. Goals:1. To make Ss know pollution and present situation throughout theworld and encourage them to find solutions to this problem.2. To encourage Ss to activate the relevant vocabulary.3. To develop Ss' speaking by practicing supporting an opinion.II. Teaching proceduresStep 1 Warming up1. Greetings2. Talk about the picturesPresent the students a series of pictures to assure them how serious the pollution isand ask them some questions about these pictures.⑴ ⑵ ⑶⑷ ⑸ ⑹Q1: What can you see in these pictures? How does it happen?Q2: What causes the problem?Q3: What are the biggest problems facing the earth? Why do you think so?Q4: Have you ever done something bad to the environment?Q5: Can you give me more examples that happened in people's daily life and is badfor the environment?Step 2 Listening1. Lead inMore and more people are realizing the damage that is being done the environment and learning more and more harm that the environment is doing to our human inhabit. People are celebrating International Earth Day, when varieties of activities are held so that more people will be involved in environment protection.2. While-listeningListen to Part 1 and answer the questions.1) Why is she giving this speech?2) What does she think the most serious problem is?3) What does she say that we should do about it?4) What do you think she will say next?Listen to Part 2 and fill in the blanks with what Ss hear.Argument 1: We should _____________.We must _________________________.We should _______________________.If we _______, we ________________. Argument 2; _______________________Problem: _______________________Solutions: _______________________3. Post-listeningPair work: Infer what the speaker will say next, list like the above one and share the speech with the partner and the class.Group work: Discuss with group members about the measures that we may take to protect air, forest; animals; grassland.Ask Ss to deliver their speech on environment protection.Step 3 Speaking1. Talking about what Ss can see in the picture.(1) (2)Q1: What is being piled in the picture 1?Q2: What can coal be used for?Q3: What is being giving off from the workshop?Q4: What is being polluted?Every coin has two sides. It is true with coal, which is a valuable resource that can be used to produce energy, but it can also cause serious pollution.2. Group work: A debate Coal is/isn’t a valuable resource.pros consA businessman An environmentalistA scientist A local citizenA local leader… …Period 2 Reading Welcome to the Earth SummitI. Goals:1.To promote the students' understanding of the text2. To get the students to grasp the detailed information of the text3. To enable the students to master some words and expressions4. To improve the students' reading abilityII. Teaching proceduresStep 1 Warming upAsk the students some questions connected with pollutionQ1: Did you use to go swimming in a river when you were young?What about the children today? Why not?Q2: Do you use one-off chopsticks while having fast food?Q3: How do you deal with the plastic bags?Q4: What do you think of the air today?Q5: What do you think of the relationship between economy development andpollution?Step 2 Pre-reading1. DiscussionRead the title and discuss in pairs what problems will be discussed at the summit.(As the title states, problems related to the earth will be discussed at the summit, like air, water, forest, desert, grassland, etc)2. PredictionGroup work: Fill in the chart with what Ss predict about what each part of the text will be about.IntroductionBodyConclusion3. Problem-solvingGo through the whole passage and compare whose guess is the closest to the content of the passage.4. Find the answers to these two questions.Q1: When and where was the Earth Summit held?(In 2002 in Johannesburg in South Africa.)Q2: Which Chinese officer attended the meeting? What did he say?(Premier Zhu Rongji; Stressed the need for quality and fairness in the world. )Step 3 While-reading1. Individual workGet the students to read the text carefully and ask some students to answer the following questions in their own words.Q1: What was the meeting held in 1972 about ?Q2: What's the main theme of the Earth Summit?Q3: Do you know the 'big three’? What are they?Q4: Where do you think usually has 'the big three'? Why?Q5: What does global development mean nowadays? What should developedcountries actually do?Q6: What's the use of conferences like the Earth Summit?Q7: What's the key to the future? As a student, what should you do?2. Reading for informationIntroduction Name The Earth SummitWhen In 2002Where Johannesburg, south AfricaTheme Sustainable developmentHow to continue developing the world without damaging the environmentBodyThe “big three” Contaminated drinking water; 20%Poor sanitation:Air pollution: three million deaths; in rural areas in developing countriesGlobal development Equality Each country takes part inFairnessInternational cooperation Rich counties help poor countries; Prosperity of developing countries; Possible sustainable developmentConclusionImpact 1. help to understand the existing serious problems2. there’s still time to take action3. change the way we live to save the earth4. Ss are learning “earth issues”5. a place to find solutions for the futureStep 4 Post-reading1. RetellingSuppose you were the Chinese girl who attended the Earth Summit, tell what she heard and saw at the Summit. Beg in with “Hello, everyone. I’m the luckiest girl to attend the 2002 Earth Summit in Johannesburg. Now let me tell you about the summit. …”2. InterviewSs work in pairs, playing the role of a newspaper reporter, attendants from different continents attending the Earth Summit. Finally the teacher invites some pairs to act out their interview2. Design the coming Earth SummitGroup work:Task: Prepare the coming Earth SummitArrangement: S1: organizationS2: Prepare necessities for the SummitS3: Mess mediaS4: Attendants invitedS5: budgetS6: Transportation & accommodationHave Ss present the preparations for the Summit in groups.Period 3Language Study & GrammarI. Goals:1. To get Ss to learn and master the usages of the new words and the useful expressions in this unit.2. To enable Ss to grasp the grammar: Inversion.II. Teaching procedures:Step 1 Warming up1. Greetings2. Play a guessing game: first some items are shown on the screen, and each item is the paraphrase of one new word. Divide the class into four groups. Ss are encouraged to guess the word as quickly as possible. This game is to enlarge Ss’ vocabulary.(1) To make a place or substance dirty and dangerous by adding sth to it.(2) To make a short statement giving only the main information and not the details of a plan, report etc.(3) The situation or experience of being poor.(4) A position or situation in which people have the same rights, advantages.(5) To do sth in order to protect someone or sth from being attacked(6) To do sth that produces an effect or change in someone or sth(7) .Behavior that is intended to hurt other people physically(8).Not right or fair(9).Sth that you can choose to do or use instead of sth elsecontaminate, summarize, poverty, equality, defend, affect;violence, unfair, alternative )Complete the following sentences with the words from the bracket, using the correct form.1. According to the report, the environment has become a major _______ worldwide.One in five children before age five die from diseases caused by environmentalproblems. ( kill )2. Internet use has been spreading at a(n) _________ speed in China. “Have you surfed the net?’’ has become a more common greeting than the traditional “ Have you eaten?’’ ( alarm )3. The word “netizen”, which means a person who uses the Internet, comes from “net” and “________”. ( city )4. During the interview, the young man asked about the job ____________ as a sales manager. ( responsible)5. How many Chinese ______________ will be sent to the international meeting in Stockholm, Sweden? ( represent )6. The people who listened to the report were shocked by the ________ of the villagers. ( suffer )7. It was there people’s __________ to work hard and well that impressed me most. ( willing )( possible answers: killer, alarming, citizen, responsibility, representatives, suffering, willingness )Step 3 language points and useful expressions1. Attend: 出席,上(大学等),照料To go to an event such as a meetingeg: Only 7 people attended the meeting.To go regularly to a school, church etceg: All children between the ages of 5 and 16 must attend school.To look after someone, especially because they are illeg: The nurse attended the patient daily.attend to sb/sth 处理,照应eg: I may be late – I have got one or two things to attend to.Are you being attended to in a shop?Then do some exercises to enable Ss to distinguish the following words:attend / join / join in / take part in / join sb in sth Ex: Fill in the blanks with the expressions given.1. He’ll _________ an important meeting tomorrow.2. Almost all the teams in our school __________ the basketball match.3. My wish is to ________ the army after graduation.4. We’ll _______________ social activities during the summer vacation.5. They didn’t ___________ the wedding.6. I ________ the party last year.7. Our headmaster will _______ us ____ the discussion this afternoon.( possible answers: attend, join in, join, take part in, attend, joined, join in )2. take notes: 作笔记,记录take action: 采取行动Eg: Do you takes notes of the lectures?He sat quietly in the corner taking notes carefully.They took action to stop him.The police took action to deal with this thing immediately.The medicine will not take action for several hours.开始起作用,见效,生效The pill takes effect as soon as you swallow it.take turnstake measures/stepstake placetake caretake medicinetake timetake coldtake noticetake sidesEg: You always takes sides with him without even listening to me.3. content:1). n. 内容,目录 (常作 ~ s ) ; 容量,容积Eg: the contents of a booka table of contentsLook up the contents at the beginning of the book.a bucket of more than usual content2). Adj. 满足的,满意的be content to do sthbe content with sthcontent oneself with sthHe is quite content to watch TV for hours.I’m very content with my life a t present.As there’s no butter we must content ourselves with dry bread.access: 进入,接近Eg: The dead-end street was the only access to her home.Access to the mountain-town is often difficult because of the bad roads.have access to :Eg: Twenty percent of the people on earth do not have access to clean drinking water.have sth that you can useEg: The public don’t have access to the site.the right to enter a placeNot until we know more will we be able to improve the situation.Until 的三种句式I didn’t go to bed until my mother came back. (陈述句) vNot until my mother came back did I go to bed. (倒装句)It was not until my mother came back that I went to bed. (强调句)直到她母亲把一切对杰克和盘托出,杰克才明白她为什么跟自己生气。
Book 5 Unit 2 练习I. Words and expressions.一、句子完型根据语境选择最佳选项1. I can’t tell you how _______ I was with the beautiful birthday present you gave me; it’s so attractive.A. delightedB. pleasantC. surprisingD. cautious2. Police chiefs call on the local people to ________ against the drug dealers so as to deal with drug taking problems better. A. defend B. attract C. unite D. support3. I can’t ________ lend you so much money. I wonder if you can return it in time when it is needed.A. probablyB. enjoyablyC. pleasantlyD. possibly4. Taiwan is part of China, so we do not allow any one under any name or by any means to ______ it from China.A. separateB. divideC. leaveD. absorb5. Let your partner describe the picture, and then add something to his or her _______.A. wordB. analysisC. instructionD. description答案ACDAD二、选用短语的正确形式填空1.Listening is thus an active,not a passive behavior ______ hearing,understanding and remembering.答案:consisting of2.The circle ________ sections,and each section represents a fraction(小部分)of the data.答案:is divided into3.This word is wrongly spelt.You have ________ a letter.答案:left out4.Computers __________ human beings in many fields so far.答案:have taken the place of5.The TV ________ again,which made me very unhappy.答案:broke down6.Taiwan is never allowed to ______________ the mainland anyway.It is known to all that it belongs to China.答案:break away from7.She occupies a room of 90 square feet,which __________ a bed,a chair,a table,and a television.答案:is furnished with8.All the collections will be ________ from June 16 to 18 in the gym.答案:on show9.Many people came to the square ________ the founding of the country.答案:in memory of10.She ______ terror when she saw a shadow on the curtain.答案:was thrilled with三、根据短文填空我的表弟和他妻子在举办了婚礼后到联合王国做全国旅游观光去了。
他昨天传真了一封英文信给我,让我高兴的是,他再也不犯时态错误了,而且他的描述也粗略地向我阐明了关于英国的一些问题——它的货币啦,行政管理啦,把它分成四个行政区的制度啦,还有在南爱尔兰脱离联合王国时发生的一些历史上的冲突和争拗。
因为不愿意漏掉任何一个景点,我表弟仔细地安排了他愉快的旅程。
他参观的其中一个吸引人的地方是苏格兰乡村的一个城堡。
城堡靠近一座港口,曾经是共产主义联盟会的总部,但是在战争中倒塌了。
人们发现没有任何东西可以取代这座辉煌的建筑,于是在1952年完成了重建。
值得赞扬的是,所有配备家具的房间都和它们过去一致的。
由雕像加折叠在玻璃柜里的皇家制服组成的收藏品使我表弟震撼不已。
尽管没有可能购买这些展览品,拍照却很方便,他在传真中一起发给了我。
After the wedding, my cousin and his wife went to the United Kingdom for nationwide____________. He fax ed a letter to me in English yesterday. To my ____________, he no longer made any tense error. And his ____________roughly clarified my questions about the UK--its currency, its administration, the institution which divide s it into four province s, and the historical conflict s and quarrel s when Southern Ireland ____________ the UK.Unwilling to leave out any attraction, my cousin ____________his enjoyable journey carefully. One ____________ place he visited was a castle in the countryside of Scotland, which lies near a port. It used to be the headquarters(请注意:音频里面是headquarter,没有加s,是不对的。
)of the Communism Union but broke down during the war. Finding nothing could take the place of this splendid architecture, people ____________rebuilding it in 1952. It was to their credit that all furnish ed rooms are consistent with what they used to be. My cousin was thrill ed by its collection s consisting of statue s plus royal uniform s ____________ in glass tanks. Though there was no ____________ to buy some of these exhibits, it was ____________ to take photos, which he sent me along with his fax.Suggested answer:After the wedding, my cousin and his wife went to the United Kingdom for nationwide sightseeing. He fax ed a letter to me in English yesterday. To my delight, he no longer made any tense error. And his description roughly clarified my questions about the UK--its currency, its administration, the institution which divide s it into four province s, and the historical conflict s and quarrel s when Southern Ireland broke away from the UK.Unwilling to leave out any attraction, my cousin arrange d his enjoyable journey carefully. One attractive place he visited was a castle in the countryside of Scotland, which lies near a port. It used to be the headquarters(请注意:音频里面是headquarter,没有加s,是不对的。
)of the Communism Union but broke down during the war. Finding nothing could take the place of this splendid architecture, people accomplish ed rebuilding it in 1952. It was to their credit that all furnish ed rooms are consistent with what they used to be. My cousin was thrill ed by its collection s consisting of statue s plus royal uniform s fold ed in glass tanks. Though there was no possibility to buy some of these exhibits, it was convenient to take photos, which he sent me along with his fax.II.Grammar and sentences一、根据句子意思,用所给动词的适当形式填空。