分式的乘除法典型例题
- 格式:docx
- 大小:37.34 KB
- 文档页数:7
分式的乘除练习题及答案问题1 计算:(1); (2).22238(4xy z z y-A 2226934x x x x x +-+--A 名师指导(1)这道例题就是直接应用分式的乘法法则进行运算.值得注意的是运算结果应约分到不好约分为止,同时还应注意在计算时跟整式运算一样,先确定符号,再进行相关计算,求出结果.(2)这道例题中分式的分子、分母是多项式,应先把分子、分母中的多项式分解因式,再进行约分.解题示范解:(1);2222223824()644xy z xy z xy z y yz -=-=-A (2).22222692(3)(2)(3)3343(2)(2)(3)(2)(2)2x x x x x x x x x x x x x x x x x +-++-+--===---+--+--A A 归纳提炼类比分数的乘法运算不难理解,分式的乘法运算就是根据分式乘法法则,将各式分子、分母分别相乘后再进行约分运算,值得注意的地方有三点:一是要确定好运算结果的符号;二是计算结果中分子和分母能约分则要约分;三是有时计算结果的分母不一定是单一的多项式,而是多个多项式相乘,这时也不必把它们展开.问题2 计算:(1); (2).2236a b ax cd cd-÷2224369a a a a a --÷+++名师指导分式除法运算,根据分式除法法则,将分式除法变为分式乘法运算,注意点同分式乘法.解题示范解:(1);22226636326a b ax a b cd a bcd ab cd cd cd ax acdx x-÷=-=-=-A(2).2222242(3)(2)(3)33693(2)(2)(3)(2)(2)2a a a a a a a a a a a a a a a a a ---+-++÷===+++++-++-+A问题3 已知:,,求代数式的值.2a =-2b =+322222222a b a b a ab a ab b a b+-÷++-名师指导完成这类求值题时,如果把已知条件直接代入,计算将会较为繁杂,容易导致错误产生.解决这种问题,一般应先将代数式进行化简运算,然后再把已知条件代入化简后的式子中进行计算,这样的处理方式可以使运算量少很多.解题示范解:化简代数式得,322222222a b a b a ab a ab b a b+-÷++-22()()()()()a b a b a b a b a b a a b ++-=+-A 222()()()()a b a b a b a a b a b +-=+-.ab =把,,所以2a =-2b =+ab原式.22(222=+=-=归纳提炼许多化简求值题,有的在题目中会明确要求先化简,再求值,这时必须按要求的步骤进行解题.但有的在题目中未必会给出明确的要求或指示,与整式中的求代数式值的问题一样,分式中的求值题一般也是先化简,然后再代入已知条件,这样可以简化运算过程.【自主检测】1.计算:·=___ _____.2()xy x -xy x y-2.计算:____ ____.23233y xy x -÷3.计算:=____ ____.3(9a ab b-÷4.计算:=____ ____.233x y xy a a÷5.若m 等于它的倒数,则分式的值为( m m m m m 332422--÷--)A .-1B .3C .-1或3D .41-6.计算的结果是( 2()x yx xy x ++÷)A .B .C .D .2()x y +y x +22x x7.计算的结果是( 2(1)(2)3(1)(1)(2)a a a a a -++++A )A .3a 2-1B .3a 2-3C .3a 2+6a +3D .a 2+2a +18.已知x 等于它的倒数,则÷的值是(263x x x ---2356x x x --+)A .-3B .-2C .-1D .09.计算÷.22121a a a -++21a aa -+10.观察下列各式:2324325432(1)(1)1(1)(1)1(1)(1)1(1)(1)1x x x x x x x x x x x x x x x x x x -÷-=+-÷-=++-÷-=+++-÷-=++++(1)你能得到一般情况下的结果吗?(1)(1)n x x -÷- (2)根据这一结果计算:.2320062007122222++++++【自主评价】一、自主检测提示8.因为x 等于它的倒数,所以,1x =±2263356x x x x x x ---÷--+.(3)(2)(2)(3)33x x x x x x -+--=--A (2)(2)x x =+-224(1)43x =-=±-=-10.根据所给一组式子可以归纳出:.122(1)(1)1n n n x x x x x x ---÷-=+++++ 所以.232006200720082008122222(21)(21)21++++++=--=- 二、自我反思1.错因分析2.矫正错误3.检测体会4.拓展延伸参考答案1. 2. 3. 4. 5.C 6.C 7.B2x y -292x y -213b -9x 8.A 9. 10.(1),(2) 1a 121n n x x x --++++ 200821-。
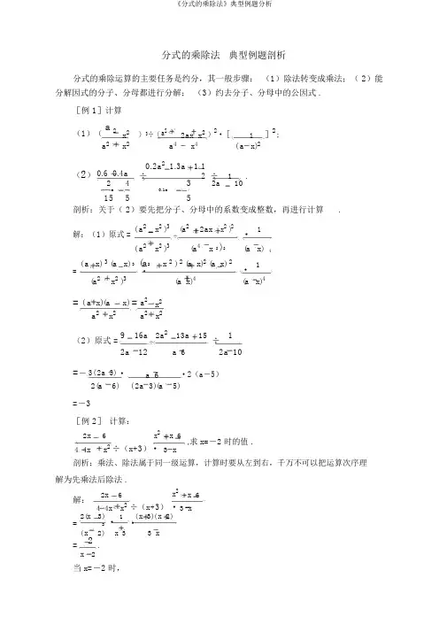
分式的乘除法 典型例题剖析分式的乘除运算的主要任务是约分,其一般步骤: (1)除法转变成乘法;( 2)能分解因式的分子、分母都进行分解; (3)约去分子、分母中的公因式 .[例 1]计算(1)( a2x 2) 3÷( a 22ax x 2 )2·[ 1]2; a 2x 2a 4 x 4( a x)2 (2) 0.6 0.4a0.2a 2 1.3a 1 1 1÷ 3 2 ÷ .242a 10a50.1a15 5剖析:关于( 2)要先把分子、分母中的系数变成整数,再进行计算.解:(1)原式 =( a 2 x 2 )3(a 2 2ax x 2 )2· 1( a 2x 2 )3 ÷(a 4 x 2 ) 24(a x)( a x) 3 (a x) 3 (a 2x 2 ) 2 (a x)2 (a x) 2· 1=x 2 )3·(a x)4(a 2(a x)4= ( a x)(ax) = a 2 x 2a 2 x 2a 2 x 2(2)原式 =9 16a 2a 2 13a 15÷ 12a 12÷a 62a 10=- 3( 2a 3) ·a 6·2(a -5)2(a6)( 2a 3)(a5)=-3[例 2] 计算:2x 6x 2 x 64 4xx 2 ÷(x+3)· 3 x,求 x=-2 时的值 .剖析:乘法、除法属于同一级运算,计算时要从左到右,千万不可以把运算次序理解为先乘法后除法 .解:2x 6x 2x 64 4x x 2÷(x+3) · 3 x2(x 3) · 1 ( x 3)( x 2)=2·( x2)x 33 x=2.x 2当 x=-2 时,原式 =2 = 1. 2 2 2x[例 3]若=12xmx 1求x 6x 3的值 .m 3 x 3 1剖析:先察看前后两个式子的特色,能够发现已知式子和要求值的式子中分子与分母中 x 的指数是 3 倍关系,若倒转式子则发现x 2x 可变成 x 2mx1=x+ 1-mx1xx1x 3可变成 x 6m 3 x 3 1 313,我们便可 m=1,则有 x+ =1+m,而6m 3x 3x 3=(x +x 3)- mxx1以利用 x+ 1与 x 3+13 之间的关系求解 .xx解: x2mx1=x+ 1- m=1xxx+ 1=1+mx63 3xm 3x 1=( x 3 + 13 )- m 3x x=(x+ 1 )( x 2+12- 1)- m 3x x =(x+ 1)[(x+ 1) 2-3]-m 3xx=3m 2-2.因此x 31.m 3x 3 1 =x 6 3m 22。
《分式的乘除》典型例题例1 下列分式中是最简分式的是( )A .264ab B .b a a b --2)(2 C .y x y x ++22 D .yx y x --22 例2 约分(1)36)(12)(3a b a b a ab -- (2)44422-+-x x x (3)b b 2213432-+ 例3 计算(分式的乘除)(1)22563ab cd c b a -⋅- (2)422643mn nm ÷- (3)233344222++-⋅+--a a a a a a (4)22222222bab a b ab b ab b ab a +-+÷-++ 例4 计算(1))()()(4322xy xy y x -÷-⋅- (2)xx x x x x x --+⨯+÷+--36)3(446222 例5 化简求值22232232b ab b a b b a ab a b a b +-÷-+⋅-,其中32=a ,3-=b . 例6 约分(1)3286b ab ; (2)222322xyy x y x x --例7 判断下列分式,哪些是最简分式?不是最简分式的,化成最简分式或整式.(1)44422-+-x x x ; (2)36)(4)(3a b b a a --; (3)222y y x -; (4)882122++++x x x x 例8 通分:(1)223c a b , ab c 2-,cba 5 (2)a 392-, a a a 2312---,652+-a a a参考答案例1 分析:(用排除法)4和6有公因式2,排除A .2)(a b -与)(b a -有公因式)(b a -,排除B ,22y x -分解因式为))((y x y x -+与)(y x -有公因式)(y x -,排除D 。
故选择C.解 C例2 分析(1)中分子、分母都是单项式可直接约分.(2)中分子、分母是多项式,应该先分解因式,再约分.(3)中应该先把分子、分母的各项系数都化为整数,把分子、分母中的最高次项系数化为正整数,再约分.解:(1)36)(12)(3a b a b a ab --)4()(3)()(3333-⋅--⋅-=b a a b b a b a a 3)(41b a b --= (2)44422-+-x x x )2)(2()2(2-+-=x x x 22+-=x x (3)原式2123486)221(6)3432(bb b b -+=⋅-⋅+=312482-+-=b b b b b b 634)12)(12(3)12(4-=-++-= 例3 分析(1)可以根据分式乘法法则直接相乘,但要注意符号。
《分式的乘除法》典型例题例1 下列分式中是最简分式的是( )A .264ab B .b a a b --2)(2 C .y x y x ++22 D .yx y x --22 例2 约分(1)36)(12)(3a b a b a ab -- (2)44422-+-x x x (3)b b 2213432-+ 例3 计算(分式的乘除)(1)22563ab cd c b a -⋅- (2)422643mn nm ÷- (3)233344222++-⋅+--a a a a a a (4)22222222b ab a b ab b ab b ab a +-+÷-++ 例4 计算(1))()()(4322xy xy y x -÷-⋅- (2)xx x x x x x --+⨯+÷+--36)3(446222 例5 化简求值22232232b ab b a b b a ab a b a b +-÷-+⋅-,其中32=a ,3-=b . 例6 约分(1)3286b ab ; (2)222322xy y x y x x --例7 判断下列分式,哪些是最简分式?不是最简分式的,化成最简分式或整式.(1)44422-+-x x x ; (2)36)(4)(3a b b a a --; (3)222y y x -; (4)882122++++x x x x 例8 通分:(1)223c a b , ab c 2-,cb a 5 (2)a 392-,a a a 2312---,652+-a a a参考答案例1 分析:(用排除法)4和6有公因式2,排除A .2)(a b -与)(b a -有公因式)(b a -,排除B ,22y x -分解因式为))((y x y x -+与)(y x -有公因式)(y x -,排除D.故选择C.解 C例2 分析(1)中分子、分母都是单项式可直接约分.(2)中分子、分母是多项式,应该先分解因式,再约分.(3)中应该先把分子、分母的各项系数都化为整数,把分子、分母中的最高次项系数化为正整数,再约分.解:(1)36)(12)(3a b a b a ab --)4()(3)()(3333-⋅--⋅-=b a a b b a b a a 3)(41b a b --= (2)44422-+-x x x )2)(2()2(2-+-=x x x 22+-=x x (3)原式2123486)221(6)3432(b b b b -+=⋅-⋅+=312482-+-=b b b b b b 634)12)(12(3)12(4-=-++-= 例3 分析(1)可以根据分式乘法法则直接相乘,但要注意符号.(2)中的除式是整式,可以把它看成164mn .然后再颠倒相乘,(3)(4)两题都需要先分解因式,再计算.解:(1)22563ab cd c b a -⋅-2253)6(ab c cd b a ⋅--=bad 52= (2)422643mn n m ÷-743286143nm mn n m -=⋅-= (3)原式)2)(1)(3)(1()3)(2)(2(++----+=a a a a a a a 122--=a a (4)原式)()()()(2b a b a b b a b b a -+÷-+=2222))((bb a b b a b a -=-+= 说明:(1)运算的结果一定要化成最简分式;(2)乘除法混合运算,可将除法化成乘法,而根据分式乘法法则,是先把分子、分母相乘,化成一个分式后再进行约分.在实际运算时,可以先约分,再相乘,这样简便易行,可减少出错.例4 分析:(1)对于含有分式乘方,乘除的混合运算,运算顺序是先乘方后乘除,一般首先确定结果的符号,再做其他运算,(2)进行分式的乘除混合运算时,要注意,当分子、分母是多项式时,一般应分解因式,并在运算运程中约分,使运算简化,因式,除式(或被除式)是整式时,可以看作分母是“1”的式子,然后按照分式的乘除法法则计算,这样可以减少错误.解:(1)原式2436221)1()(x xy x y y x =-⋅-⋅= (2)原式x x x x x x --+⨯+⨯--=3)2)(3(31)2()3(22 x-=22 例5 分析 本题要求先化简再求值,实际上就是先将分子、分母分别分解因式,然后约分,把分式化为最简分式以后再代入求值.解 原式=)())((23223b a b b a b a b b a ab a b a b +-+÷-+⋅- ))(()()(32b a b a b a b b b a a b a b -++⨯-⨯-= ba -= 当3,32-==b a 时, 原式92332-=-= 例6 解 (1).4328268623232ba b b b ab b ab =÷÷= (2)222322xy y x y x x --)2()2(2y x xy y x x --=(分子、分母分解因式) yx =(约去公因式) 说明 1.当分子、分母是单项式时,其公因式是系数的最大公约数与相同字母的最低次幂的积.2.当分子、分母是多项式时,先分解因式,再约去公因式.例7 分析 (1)∵44422-+-x x x )2)(2()2(2-+-=x x x ,分子、分母有公因式)2(-x ,所以它不是最简分式;(2)显然也不是最简分式;(3)中))((22y x y x y x -+=-与2y 没有公因式;(4)中22)1(12+=++x x x ,222)2(2)44(2882+=++=++x x x x x ,分子、分母中没有公因式.解 222y y x -和8821222++++x x x x 是最简分式; 44422-+-x x x 和63)(4)(3a b b a a --不是最简分式; 化简(1)44422-+-x x x .22)2)(2()2(2+-=-+-=x x x x x (2)63)(4)(3a b b a a --336)(43)(4)(3a b a a b a b a -=--= 例8 分析 (1)中各分母的系数的绝对值的最小公倍数为30,各字母a 、b 、c 因式的最高次幂分别是2a 、2b 、2c ,所以最简公分母是22230c b a .(2)中分母为多项式,因而先把各分母分解因式,)3(339a a -=-;)3)(1(232-+=--a a a a ;)3)(2(652--=+-a a a a ,因而最简公分母是).3)(2)(1(3--+a a a解 (1)最简公分母为23230c b a .223ca b 23243223301010310c b a b b c a b b =⋅⋅=, abc 2-232322222301515215c b a c ab c ab ab c ab c -=⋅⋅-= cb a 52323232306656c b a c a ca cbc a a -=⋅⋅= (2)最简公分母是)3)(2)(1(3--+a a aa 392-)2)(1()3(3)2)(1(2)3(33-+⋅--+⋅-=-=a a a a a a )3)(2)(1(3)2)(1(2--+-+-=a a a a a aa a 2312---)2(3)3)(1()2(3)1()3)(1(1-⋅-+-⋅-=-+-=a a a a a a a a )3)(2)(1(3)2)(1(3--+--=a a a a a 652+-a a a )1(3)3)(2()1(3)3)(2(+⋅--+⋅=--=a a a a a a a a )3)(2)(1(3)1(3--++=a a a a a 说明 1.通分过程中必须使得化成的分式与其原来的分式相等.2.通分的根据是分式的基本性质,分母需要乘以“什么”,分子也必须随之乘以“什么”,且不漏乘.3.确定最简公分母是通分的关键,当公分母不是“最简”时,虽然也能达到通分的目的,但会使运算变得繁琐,因而应先择最简公分母.。
分式的乘除乘方专题练习例1、下列分式abc 1215,a b b a --2)(3,)(222b a b a ++,b a b a +-22中最简分式的个数是( ). A.1 B.2 C.3 D.4例23234)1(x y y x • aa a a 2122)2(2+⋅-+ x y xy 2263)3(÷ 41441)4(222--÷+--a a a a a1.约分把一个分式的分子与分母的公因式约去,叫做约分.约分的依据是分式的基本性质. 若分式的分子、分母是多项式,必须先把分子、分母分解因式,然后才能约去公因式. 分子与分母没有公因式的分式,叫做最简分式,又叫做既约分式.分式的运算结果一定要化为最简分式.2.分式的乘法3.分式的除法 例3、 若432z y x ==,求222z y x zx yz xy ++++的值.例4、计算(1)3322)(cb a - (2)43222)()()(x y x y y x -÷-⋅-(3)2332)3()2(c b a bc a -÷- (4)232222)()()(x y xy xy x y y x -⋅+÷-分式的乘方求n 个相同分式的积的运算就是分式的乘方,用式子表示就是(ba )n .分式的乘方,是把分子、分母各自乘方.)56(3)1(122ab cd c b a -÷-、计算: (2)432643xy y x ÷-(3)(xy -x 2)÷x y xy -(4)2223ba a ab -+÷b a b a -+3 (5)3224)3()12(y x y x -÷-(6)322223322322)2()2()34(cb ab ac b a b a ab c +-÷-⋅2、如果32=b a ,且a ≠2,求51-++-b a b a 的值、 计算(1))22(2222a b ab b a a b ab ab a -÷-÷+-- (2)(2334b a )2·(223a b -)3·(a b 3-)2(3)(22932x x x --+)3·(-xx --13)22、先化简,再求值:(b a ab 22+)3÷2223)b a ab (-·[)(21b a -]2,其中a=-21,b=323、(1)先化简后求值:2(5)(1)5a a a a-+-÷(a 2+a ),其中a=-13.(2)先化简,再求值:21x x x -+÷1x x +,其中x=1.4.已知m+1m=2,计算4221m m m ++的值.7.(宁夏)计算:(9a 2b -6ab 2)÷(3ab )=_______.8.(北京)已知x -3y=0,求2222x y x x y +-+·(x -y )的值. 9.(杭州)给定下面一列分式:3x y ,-52x y ,73x y ,-94x y,…(其中x ≠0). (1)把任意一个分式除以前面一个分式,你发现了什么规律?(2)根据你发现的规律,试写出给定的那列分式中的第7个分式..11.(结论开放题)请你先化简,再选取一个使原式有意义而你又喜爱的数代入求值:322m m m m --÷211m m -+.12.(阅读理解题)请阅读下列解题过程并回答问题:计算:22644x x x--+÷(x+3)·263x x x +-+. 解:22644x x x --+÷(x+3)·263x x x +-+ =22644x x x--+·(x 2+x -6)① =22(3)(2)x x --·(x+3)(x -2)② =22182x x -- ③ 上述解题过程是否正确?如果解题过程有误,请给出正确解答.13.已知a 2+10a+25=-│b -3│,求代数式42()b a b -·32232a ab a b b +-÷222b a ab b -+的值.(一)、填空题1.把一个分式的分子与分母的 约去,叫做分式的约分.2.在分式xyxy y x 222+中,分子与分母的公因式是 . 3.将下列分式约分: (1)258x x = (2)22357mn n m -= (3)22)()(a b b a --= 4.计算2223362c ab b c b a ÷= . 5.计算42222ab a a ab ab a b a --÷+-= . 6.计算(-y x )2·(-32yx )3÷(-y x )4= . (二)、解答题7.计算下列各题316412446222+⋅-+-÷+--x x x x x x x y x y xy x -+-24422 ÷(4x 2-y 2)(3) 4344516652222+-÷-++⋅-+-a a a a a a a a (4)22222xa bx x ax a ax -÷+-8、某厂每天能生产甲种零件a 个或乙种零件b 个,且a ∶b=2∶3.甲、乙两种零件各一个配成一套产品,30天内能生产的产品的最多套数为多少?1、已知x 2+4y 2-4x+4y+5=0,求22442y xy x y x -+-·22y xy y x --÷(y y x 22+)2的值.2、已知a b c =1,求a a ba b b cb c a c c ++++++++111的值。
初二分式乘除练习题50道1. 计算下列分式的乘积:a) $\frac{2}{3} \times \frac{4}{5}$b) $\frac{3}{4} \times \frac{5}{6}$c) $\frac{1}{2} \times \frac{3}{4}$d) $\frac{5}{6} \times \frac{7}{8}$e) $\frac{2}{5} \times \frac{3}{7}$2. 计算下列分式的商:a) $\frac{2}{3} ÷ \frac{4}{5}$b) $\frac{3}{4} ÷ \frac{5}{6}$c) $\frac{1}{2} ÷ \frac{3}{4}$d) $\frac{5}{6} ÷ \frac{7}{8}$e) $\frac{2}{5} ÷ \frac{3}{7}$3. 计算下列分式的乘积或商:a) $\frac{2}{3} \times \frac{4}{5} ÷ \frac{1}{2}$b) $\frac{3}{4} ÷ \frac{5}{6} \times \frac{4}{5}$c) $\frac{1}{2} \times \frac{3}{4} \div \frac{2}{3}$d) $\frac{5}{6} \div \frac{7}{8} \times \frac{6}{7}$e) $\frac{2}{5} \times \frac{3}{7} \div \frac{4}{5}$4. 将下列分式化简,使分母为正数:a) $\frac{-2}{3}$b) $\frac{3}{-4}$c) $\frac{-5}{-6}$d) $\frac{4}{-7}$e) $\frac{-6}{8}$5. 计算下列表达式的值:a) $3 \times \left(\frac{2}{5} - \frac{1}{3}\right)$b) $\frac{2}{9} + \frac{3}{7} - \frac{5}{21}$c) $\frac{3}{4} \div \left(\frac{2}{5} + \frac{1}{3}\right)$d) $\left(\frac{4}{5} + \frac{1}{6}\right) \div \left(\frac{2}{3} -\frac{1}{4}\right)$e) $\frac{2}{3} \times \left(\frac{3}{4} - \frac{1}{6}\right) +\frac{1}{2}$6. 用分式表示下列问题,并计算:a) Tom做了$\frac{2}{5}$小时的作业,占他学习时间的$\frac{3}{4}$,他学习了多久?b) 如果$\frac{1}{8}$块蛋糕可以给一个人吃,那么12个人可以吃多少块蛋糕?c) 一个学生做数学作业花费$\frac{4}{9}$小时,然后又花费$\frac{5}{8}$小时做英语作业,一共花了多久?d) $\frac{3}{4}$米绳子被剪成了$\frac{2}{3}$米和剩下的部分,剩下的部分有多长?e) 如果一个邮箱的容量是$\frac{7}{10}$倍于另一个邮箱,容量较大的邮箱可以放几个较小邮箱的邮件?7. 将下列百分数转换为分数或小数:a) $50\%$b) $75\%$c) $25\%$d) $20\%$e) $80\%$8. 将下列分数转换为百分数或小数:a) $\frac{3}{5}$b) $\frac{2}{10}$c) $\frac{1}{4}$d) $\frac{3}{8}$e) $\frac{5}{6}$9. 在下列方程中解出未知数的值:b) $\frac{5}{2}y + \frac{1}{4} = \frac{11}{4}$c) $\frac{1}{3}z - \frac{4}{5} = -\frac{11}{15}$d) $\frac{3}{4}w + \frac{2}{3} = \frac{17}{12}$e) $4a - \frac{1}{5} = 5$10. 解下列方程组,给出未知数的值:a)$\begin{cases}2x - y = 5 \\x + 3y = 1\end{cases}$b)$\begin{cases}3x - 2y = 8 \\2x + y = 4\end{cases}$c)$\begin{cases}5x - 4y = 6 \\\end{cases}$d)$\begin{cases}\frac{x}{2} - \frac{y}{3} = 1 \\\frac{x}{4} + \frac{y}{5} = \frac{3}{10}\end{cases}$e)$\begin{cases}2x + 3y = 7 \\4x - 5y = 1\end{cases}$通过以上50道分式乘除练习题,相信你对初二阶段的分式乘除运算有了更深入的理解。
3《分式的乘除法》典型例题例1下列分式中是最简分式的是( ) 4b 6^ 22(b a) C . x 2 例2 约分(1)3ab(a 12a(b b)6a)32 (2)x 4x 4 x 24例3 计算 (分式的乘除)(1) a 2b 6cd (2) 23m 42 6mn 4n3c 5ab 2 (3)4x y x y 2a2 4b3 3 -2b 2(3)a 2 4a 3 aa 22ab b 2ab b 2(4)2 2 .2 ab ba 2ab b例4 计算2(1) (与(y )3 ( xy 4)yx2x 62“ x x 6(22 (x 3)4 4xx3 x例5 化简求值3 ■ 2 .2、 2 .2 b a ab 2 a b a b a b b 3 ab b2,3a 2 2其中例6 约分3.(1) 6ab 28b 33^2x 2x y -22x y 2xy通分:(1) ,3a2c22 (2) —,9 3a2ab a 1 a23 2a '判断下列分式, 哪些是最简分式?不是最简分式的,化成最简分式或整式.(1)x2 4x 4x2 4⑵4(b3a(a b)6、3 ?a)(3)2 2x y ;2 ,y(4) 2x 12x 8x 8a5cbaa25a 6参考答案例1分析:(用排除法)4和6有公因式2,排除A . (b a )2与(a b )有公 因式(a b ),排除B , x 2 y 2分解因式为(x y )(x y )与(x y )有公因式(x y ), 排除D.故选择C. 解C例2分析(1)中分子、分母都是单项式可直接约分.(2)中分子、分母是 多项式,应该先分解因式,再约分.(3)中应该先把分子、分母的各项系数都化 为整数,把分子、分母中的最高次项系数化为正整数,再约分因式,再计算.说明:(1)运算的结果一定要化成最简分式;(2)乘除法混合运算,可将除解:(1)3ab(a b)6a) 12a(b 3a(a b)3 (a b)3b 3a(a b)3 ( 4) b)3(2)4x 4x(x 2)2 (x 2)(x 2)(3) 原式 4 -b) 6 3 丿 8b 4 1 3 12b 2(2 2b) 6 3 l2b2(I8b 212b 4 3 4(2b 1) 3(2b 1)( 2b 1) 4 3 6b 分析 (1)可以根据分式乘法法则直接相乘,但要注意符号 .(2)中的除式是整式,可以把它看成 4亍.然后再颠倒相乘,(3)( 4)两题都需要先分解解:(1)a 2b 3c6cd 5ab 2a 2b( 6cd)23c 5ab 2ad 5b (2)3m 2 4n 26mn3 m 2 1 ~~~ ~ 4m 8n 7 (3) 原式(a 2)(a 2)(a 3)(a 1)(a 3)(a 1)(a 2) a 2 a 2 1(4) 原式(a b)2b(a b)b(a b) (a b)(a b) (a b)b 2a 2b 2法化成乘法,而根据分式乘法法则,是先把分子、分母相乘,化成一个分式后再 进行约分•在实际运算时,可以先约分,再相乘,这样简便易行,可减少出错•例4分析:(1)对于含有分式乘方,乘除的混合运算,运算顺序是先乘方 后乘除,一般首先确定结果的符号,再做其他运算,(2)进行分式的乘除混合运 算时,要注意,当分子、分母是多项式时,一般应分解因式,并在运算运程中约 分,使运算简化,因式,除式(或被除式)是整式时,可以看作分母是 “ 1的式子,然后按照分式的乘除法法则计算,这样可以减少错误 •解: (1)原式 2笃( 爲)(丄)4yxxy x(2)原式2(X3) 1 (x 3)(x 2)(x2)2 x 33 x22 x例5分析本题要求先化简再求值,实际上就是先将分子、分母分别分解 因式,然后约分,把分式化为最简分式以后再代入求值 •3^22 z(2)沁a (分子、分母分解因式)x y 2xy xy (x 2y )a 3 ab 2 2a 2bb 3(a b)(a b) b(a b)b a(a b)2 b(a b)a b b 3 (a b)(a b)a b 2 , 当 a —,b3 2 原式_3_33时,2 9(1) 6ab 2 8b r26ab 2b 8b 3 2b 23a 4b-(约去公因式)2),说明1 •当分子、分母是单项式时,其公因式是系数的最大公约数与相同 字母的最低次幕的积.2 •当分子、分母是多项式时,先分解因式,再约去公因式分子、分母中没有公因式.2 2 22 1 解宁和缶乱是最简分式;23击 和 普 不是最简分式; 化简c 因式的最高次幕分别是a 2、b 2、c 2,所以最简公分母是30a 2b 2解 (1)最简公分母为30a 2b 3c 2.34b 10b 10b-_r~23 2 3 2,3a c 10b 30a b c c 15ab 2c 2 15ab 2c 32ab 15ab 2c 2 30a 2b 3c 2233 2a (a 1)(a 3) ; a 2 5a 6 (a 2)(a 3),因而最简公分母是a 2 3(a 1)(a 2)(a 3).2 2例7分析("宁F 舜 环,分子、分母有公因式(x所以它不是最简分式;(2)显然也不是最简分式; (3)中 x 2 y 2 (x y)(xy)与2、 2 2 2 y 没有公因式;(4)中x 2x 1 (x 1) , 2x8x 8 2(x 24x 4)2(x 2)2,(1)x 2 4x 4 x 24(x 2)2 (x 2)(x 2) (2)3 3a(a b) 64( b a)63a(b a) 3 3 a4( b a)4(b a)3分析 (1) 中各分母的系数的绝对值的最小公倍数为 30, 各字母a 、(2)中分母为多项式,因而先把各分母分解因式,9 3a 3(3 a);b 3a 2c 2 c 2ab2),a a 6a c6a c322 3~25cb 5cb 6a c 30a b c(2)最简公分母是3(a 1)(a 2)(a 3)2 3 2 (a 1)(a 2) 2(a 1)(a 2) 9 3a3(3 a)3(a 3) (a 1)(a 2)3(a 1)(a 2)(a 3)a 1a 1 (a 1) 3(a 2)3(a 1)(a 2)a 2 3 2a(a 1)(a 3)(a 1)(a 3) 3(a2) 3(a 1)( a 2)(a3)aaa 3(a 1)3a(a 1)a 2 5a6 (a 2)(a 3)(a 2)(a 3) 3(a1) 3(a 1)(a 2)(a3)说明 1. 通分过程中必须使得化成的分式与其原来的分式相等2•通分的根据是分式的基本性质,分母需要乘以 什么”分子也 必须随之乘以 什么”且不漏乘.3 •确定最简公分母是通分的关键,当公分母不是 最简”时,虽然也能达到通分的目的,但会使运算变得繁琐,因而应先择最简公分母.。
第四讲 分式的乘除一、分式的乘法1、计算:(1)3n 24m 2 ·( -m 6n ); (2)xy -2yz ·-8yz 9x 3z (3)x+3x-3 ·1x 2+3x ; (4)a 2-4b 23ab 2 ·ab a-2b .2、化简求值:3x-6 x 2- 4 ·x 2+4x+4x+2 ,其中x=8.二、分式的除法1、计算:(1)a 2b 2c 2 ÷3a 2b 24dc ; (2)2a 3c b ÷ 4ac 3-3b 2 ; (3)1m 2-1 ÷1+m 1-m ;(4)x 2-2xy+y 2xy ÷(xy-x 2).2、化简求值:x 2+2xy+y 2x 2+xy ÷ 1x ,其中x=2, y=-1.3、(分式的概念与除法的综合)求使式子x-5x-6 ÷x+3x+4 有意义的x 的取值范围.4、(实际应用)已知m米布料能做n件上衣,2m米布料能做3n条裤子,求一件上衣的用料与一条裤子用料哪个少?三、混合计算:1、计算:1x2-y2÷x+y(x-y)2·x-yx+y.2、化简求值:先化简2x-4x2-4÷2xx+2·(x2+1),再任选一个你喜欢的数代入求值.四、分式的乘方1、(单个分式的乘方)(3aa-b)2的结果为()A、6a2a2-b2B、9a2a2-b2C、6a2(a-b)2D、9a2(a-b)22、分式的乘除、乘方的混合运算计算:(- ab)2·(-ba)3÷(-a b4).3、化简求值:已知a=3,x=1,求代数式(a 2-x 2a 2+x 2 )3÷( a 2+2ax+x 2a 4-x 4 )2·(1a 2-2ax+x 2 )2的值。
强化训练:1、计算:(1) 3x 2y 4ab 2 ·10a 2b 9xy 2 (2) (1-x)2x(1-x 2) ·xy+x 2y x-x 2 (3) -15a 2bc6b 2 ÷(-24ac 2)(4) a 2a 2-4 ÷a a+2 (5) x 2+xy x 2-xy ÷(x+y)·y 2-xy xy(6) (- y 22x )·( x 2y )3÷( 1xy 2 )3 (7) ( 1-x 3-x )2÷( x 2-6x+99-x 2 )2·1x 2-2x+12、综合题1、已知 |2a-b+1|+(3a+32 b)2 = 0 ,求 b 2a+b ÷(a a+b -1)(a -a 2a+b )的值。
分式的乘除法练习及答案分式的乘除法练及答案运算法则:1)分式乘法法则:$\frac{a}{b} \cdot \frac{c}{d} = \frac{ac}{bd}$2)分式的除法法则:$\frac{a}{b} \div \frac{c}{d} = \frac{a}{b} \cdot \frac{d}{c} = \frac{ad}{bc}$3)分式的乘方法则:$\frac{a}{n} \cdot \frac{n}{b} = \frac{a}{b}$1.下列各式的约分正确的是()A。
$\frac{2}{2(a-c)^2} = \frac{1}{a-c}$B。
$\frac{abc}{233+(a-c)^3} = \frac{abc}{233+a^3-3a^2c+3ac^2-c^3}$C。
$\frac{2}{a-b} = \frac{2}{a-b}$D。
$\frac{2a-c}{1-4a+c^2+2a^2} = \frac{2a-c}{(1+2a)(1-c)}$2.在等式$\frac{a^2+aM}{a+1} = \frac{a^2-1}{a}$中,M的值为()A。
$a$B。
$a+1$C。
$-a$D。
$a-1$3.XXX在下面的计算题中只做对了一道题,你认为他做对的题目是()A。
$\frac{111b}{1bab} \div 2 = \frac{1}{b}$B。
$\frac{2}{2} \div \frac{2}{2} = 1$C。
$\frac{2}{2} \cdot \frac{2}{2} = 1$D。
$(x-y) \div \frac{1}{2} = 2(x-y)$4.将分式$\frac{2}{x+1}+\frac{x}{x+1}$化简得,$x$满足的条件是$x \neq -1$5.化简1)$\frac{-x^2}{2b} = -\frac{x^2}{2b}$2)$\frac{2y}{3a} \cdot \frac{a}{2} = \frac{y}{3}$6.计算frac{2b^2-3ab^2x^2}{2} \div \frac{-3ab}{1+3ax} =\frac{2b(1-3ax)}{9a}$frac{x^2-y^2}{x^2+xy-a-2} \div \frac{x+y}{2y-a} \cdot \frac{2a^2+2a}{2a^2+2a} = \frac{(x-y)(2a+y)}{(x+2y-a)(2a+2y)}$frac{4m^2-4m+1}{4m^2-1} \div \frac{2}{2} = \frac{2m-1}{2m+1}$frac{(4x-y)}{2x-ym+1} \cdot \frac{m-1}{m+1} \div \frac{-4}{(7n^2-4x^2)(-8x^2)} = \frac{(4x-y)(m-1)(7n^2-4x^2)}{2(m+1)x^2}$frac{2xy}{-ynm} \div \frac{5}{4x^2} = -\frac{8x^3}{5nymy}$frac{a^2-14}{a^2+4a-1} \div (a+1) \cdot \frac{2a-1}{a+4} = \frac{2a-1}{a^2+4a-1}$。
分式的乘除运算一、基础知识点: 1.约分把一个分式的分子与分母的公因式约去,叫做约分.约分的依据是分式的基本性质. 若分式的分子、分母是多项式,必须先把分子、分母分解因式,然后才能约去公因式. 分子与分母没有公因式的分式,叫做最简分式,又叫做既约分式.分式的运算结果一定要化为最简分式.2.分式的乘法 乘法法测:b a ·dc =bdac . 3.分式的除法 除法法则:b a ÷d c =b a ·c d =bcad 4.分式的乘方求n 个相同分式的积的运算就是分式的乘方,用式子表示就是(ba )n . 分式的乘方,是把分子、分母各自乘方.用式子表示为:(ba )n =n nb a (n 为正整数)二、典型例题例1、下列分式a bc 1215,a b b a --2)(3,)(222b a b a ++,b a b a +-22中最简分式的个数是( ).A.1B.2C.3D.4例2.计算:3234)1(x y y x ∙ a a a a 2122)2(2+⋅-+ x y xy 2263)3(÷ 41441)4(222--÷+--a a a a a 例3、 若432zy x ==,求222z y x zx yz xy ++++的值.例4、计算(1)3322)(c b a - (2)43222)()()(x y x y y x -÷-⋅-(3)2332)3()2(cb a bc a -÷- (4)232222)()()(x y xy xy x y y x -⋅+÷- 例5计算:1814121111842+-+-+-+--x x x x x 练习:1.计算:8874432284211x a x x a x x a x x a x a --+-+-+--例6.计算:2018119171531421311⨯+⨯++⨯+⨯+⨯ 练习1、()()()()()()()()1011001431321211++++++++++++x x x x x x x x例7、已知21)2)(1(12++-=+-+x Bx A x x x ,求A. B 的值。
初二分式乘除运算练习题1. 将分式进行乘法运算:(a) $\frac{2}{3} \times \frac{4}{5}$(b) $-\frac{3}{4} \times \frac{5}{6}$(c) $\frac{7}{8} \times (-\frac{2}{5})$(d) $(-\frac{2}{3}) \times (-\frac{1}{4})$2. 将分式进行除法运算:(a) $\frac{2}{5} \div \frac{3}{4}$(b) $\frac{3}{4} \div (-\frac{1}{2})$(c) $-\frac{7}{8} \div \frac{2}{3}$(d) $(-\frac{2}{3}) \div (-\frac{1}{4})$3. 解决下列的分式运算练习题:(a) $3 \frac{1}{4} + \frac{2}{3}$(b) $5 \frac{2}{3} - \frac{3}{4}$(c) $2 \frac{1}{5} \times \frac{5}{6}$(d) $7 \frac{2}{3} \div \frac{3}{4}$4. 解决下列的复杂分式运算练习题:(a) $(2 + \frac{1}{2}) \div (3 \frac{2}{3}) \times (1 \frac{3}{4})$(b) $(4 \frac{2}{5} - \frac{3}{2}) \times (2 \frac{3}{4} +\frac{1}{3})$(c) $(3 \frac{3}{4} \times \frac{2}{5}) \div (1 \frac{1}{3} -\frac{1}{2})$(d) $(5 \frac{2}{3} + \frac{4}{5}) \div (2 \frac{3}{4} - \frac{1}{2})$5. 解决下列分式方程:(a) $\frac{x + 1}{4} = \frac{x - 2}{3}$(b) $\frac{3x - 1}{2} = \frac{5 - x}{6}$(c) $\frac{2x}{5} - 3 = \frac{x}{10} + 4$(d) $\frac{3x + 1}{2} - \frac{x + 2}{3} = \frac{5}{6}$6. 解决下列应用题:(a) 小明有$\frac{2}{3}$千克的巧克力,他将其平均分成$\frac{1}{4}$千克一份,共分成多少份?(b) 长方形花坛的长是$\frac{3}{4}$米,宽是$\frac{5}{6}$米,面积是多少平方米?(c) 小明运动会比赛时,以$\frac{2}{5}$分钟完成百米赛跑。
分式的乘除练习题及答案问题1计算:(1)22238()4xy zz y-g;(2)2226934x x xx x+-+--g.名师指导(1)这道例题就是直接应用分式的乘法法则进行运算.值得注意的是运算结果应约分到不好约分为止,同时还应注意在计算时跟整式运算一样,先确定符号,再进行相关计算,求出结果.(2)这道例题中分式的分子、分母是多项式,应先把分子、分母中的多项式分解因式,再进行约分.解题示范解:(1)2222223824()644xy z xy zxyz y yz-=-=-g;(2)22222692(3)(2)(3)3 343(2)(2)(3)(2)(2)2x x x x x x x xx x x x x x x x x+-++-+--===---+--+--g g.归纳提炼类比分数的乘法运算不难理解,分式的乘法运算就是根据分式乘法法则,将各式分子、分母分别相乘后再进行约分运算,值得注意的地方有三点:一是要确定好运算结果的符号;二是计算结果中分子和分母能约分则要约分;三是有时计算结果的分母不一定是单一的多项式,而是多个多项式相乘,这时也不必把它们展开.问题2计算:(1)2236a b axcd cd-÷;(2)2224369a aa a a--÷+++.名师指导分式除法运算,根据分式除法法则,将分式除法变为分式乘法运算,注意点同分式乘法.解题示范解:(1)22226636326a b ax a b cd a bcd ab cd cd cd ax acdx x -÷=-=-=-g;(2)2222242(3)(2)(3)33693(2)(2)(3)(2)(2)2a a a a a a a a a a a a a a a a a ---+-++÷===+++++-++-+g .问题3 已知:2a =,2b =322222222a b a b a ab a ab b a b+-÷++-的值. 名师指导完成这类求值题时,如果把已知条件直接代入,计算将会较为繁杂,容易导致错误产生.解决这种问题,一般应先将代数式进行化简运算,然后再把已知条件代入化简后的式子中进行计算,这样的处理方式可以使运算量少很多.解题示范解:化简代数式得,322222222a b a b a ab a ab b a b +-÷++- 22()()()()()a b a b a b a b a b a a b ++-=+-g 222()()()()a b a b a b a a b a b +-=+- ab =.把2a =2b =ab ,所以原式22(222=+=-=.归纳提炼许多化简求值题,有的在题目中会明确要求先化简,再求值,这时必须按要求的步骤进行解题.但有的在题目中未必会给出明确的要求或指示,与整式中的求代数式值的问题一样,分式中的求值题一般也是先化简,然后再代入已知条件,这样可以简化运算过程.【自主检测】1.计算:2()xy x -·xy x y-=___ _____. 2.计算:23233y xy x -÷____ ____.3.计算:3()9a ab b-÷=____ ____. 4.计算:233x y xy a a÷=____ ____. 5.若m 等于它的倒数,则分式mm m m m 332422--÷--的值为 ( ) A .-1 B .3 C .-1或3 D .41-6.计算2()x yx xy x ++÷的结果是( ) A .2()x y + B .y x +2 C .2x D .x7.计算2(1)(2)3(1)(1)(2)a a a a a -++++g 的结果是( ) A .3a 2-1 B .3a 2-3 C .3a 2+6a +3 D .a 2+2a +18.已知x 等于它的倒数,则263x x x ---÷2356x x x --+的值是( ) A .-3 B .-2 C .-1 D .09.计算22121a a a -++÷21a aa -+.10.观察下列各式:2324325432(1)(1)1(1)(1)1(1)(1)1(1)(1)1x x x x x x x x x x x x x x x x x x -÷-=+-÷-=++-÷-=+++-÷-=++++L L(1)你能得到一般情况下(1)(1)n x x -÷-的结果吗?(2)根据这一结果计算:2320062007122222++++++L .【自主评价】一、自主检测提示8.因为x 等于它的倒数,所以1x =±,2263356x x x x x x ---÷--+(3)(2)(2)(3)33x x x x x x -+--=--g (2)(2)x x =+-224(1)43x =-=±-=-.10.根据所给一组式子可以归纳出:122(1)(1)1n n n x x x x x x ---÷-=+++++L .所以232006200720082008122222(21)(21)21++++++=--=-L .二、自我反思1.错因分析2.矫正错误3.检测体会4.拓展延伸参考答案1.2x y - 2. 292x y- 3. 213b - 4.9x 5.C 6.C 7.B8.A 9.1a 10.(1)121n n x x x --++++L ,(2)200821-。
第十九讲 分式的乘除【要点梳理】 要点一、分式的乘除法1.分式的乘法法则:分式乘分式,用分子的积作为积的分子,分母的积作为积的分母.用字母表示为:a c acb d bd⋅=,其中a b c d 、、、是整式,0bd ≠.2.分式的除法法则:分式除以分式,把除式的分子、分母颠倒位置后,与被除式相乘.用字母表示为:a c a d adb d bc bc÷=⋅=,其中a b c d 、、、是整式,0bcd ≠.要点诠释:(1)分式的乘除法都能统一成乘法,然后约去公因式,化为最简分式或整式.(2)分式与分式相乘,若分子和分母是多项式,则先分解因式,看能否约分,然后再乘. (3)整式与分式相乘,可以直接把整式(整式可以看作分母是1的代数式)和分式的分子相乘作为分子,分母不变.当整式是多项式时,同样要先分解因式,便于约分. (4)分式的乘除法计算结果,要通过约分,化为最简分式或整式.要点二、分式的乘方分式的乘方运算法则:分式的乘方是把分子、分母分别乘方,用字母表示为:nn n a a b b⎛⎫= ⎪⎝⎭(n 为正整数). 要点诠释:(1)分式乘方时,一定要把分式加上括号.不要把n n n a a b b ⎛⎫= ⎪⎝⎭写成nn a a b b ⎛⎫= ⎪⎝⎭(2)分式乘方时,要首先确定乘方结果的符号,负数的偶次方为正,负数的奇次方为负.(3)在一个算式中同时含有分式的乘方、乘法、除法时,应先算乘方,再算乘除,有多项式时应先分解因式,再约分.(4)分式乘方时,应把分子、分母分别看作一个整体.如()222222a b a b a b b b b ---⎛⎫=≠ ⎪⎝⎭.【典型例题】 类型一、分式的乘法例1、计算:(1)422449158a b xx a b;(2)222441214a a a a a a -+--+-. 【思路点拨】(1)中分子、分母都是单项式,直接用分式乘法法则计算,结果要通过约分化简;(2)中分子、分母都是多项式,要先把可分解因式的分子、分母分解因式,然后用乘法法则化简计算. 【答案与解析】解:(1)422449158a b x x a b 422449315810a b x bx a b x==. (2)222441214a a a a a a -+--+-22(2)1(1)(2)(2)a a a a a --=-+-22(2)(1)(1)(2)(2)a a a a a --=-+-222(1)(2)2a a a a a a --==-++-.【总结升华】分式的乘法运算的实质就是运用分式的基本性质把分式约分化简的过程,熟练之后也可先约分后运用乘法法则计算. 举一反三: 【变式】计算.(1)26283m x xm ;(2)22122x x x x+-+ 【答案】解:(1)原式22621283242m x mx xx m mx ===;(2)原式22112(2)2x x x x x x+==-+-;类型二、分式的除法例2、 计算:(1)222324a b a bc cd-÷;(2)2222242222x y x y x xy y x xy -+÷+++. 【思路点拨】(1)先运用法则将分式的除法转化为乘法,然后约分化简;(2)先运用分式的除法法则将分式的除法转化为乘法,同时将分子、分母分解因式,然后约分化简. 【答案与解析】解:(1)222324a b a b c cd -÷22222244236a bcd a b cd c a b c a b ==--23dc=-. (2) 2222242222x y x y x xy y x xy-+÷+++2(2)(2)2()()2x y x y x x y x y x y+-+=++22(2)24x x y x xyx y x y --==++.【总结升华】分式的除法和实数的除法一样,均是转化为乘法来完成的. 举一反三: 【变式】化简:.【答案】 解:原式=•=.类型三、分式的乘方例3、(2014秋•华龙区校级月考)下列计算正确的是( )A. B.C. D.【思路点拨】把四个选项先利用分式的乘方法则,将分子分母分别乘方,然后利用积与幂的乘法法则,积的乘方的运算法则,积的乘方等于积中每一个因式分别乘方并把结果相乘,幂的乘方法则是底数不变,指数相乘,即可计算出结果,得到计算正确的选项.【答案】C.【解析】解:A、,本选项错误;B、,本选项错误;C、,本选项正确;D、,本选项错误.所以计算结果正确的是C.【总结升华】此题考查了分式的乘方法则,考查了积的乘方及幂的乘方法则,完全平方公式的运用,是一道基础题.类型四、分式的乘除法、乘方的混合运算例4、计算:(1)(2016春•淅川县期中)(﹣2ab﹣2c﹣1)2÷×()3;(2)22 2223()a b aba abb b a⎛⎫-⎛⎫÷+⎪ ⎪-⎝⎭⎝⎭.【思路点拨】先算乘方,再算乘、除.【答案与解析】解:(1)(﹣2ab﹣2c﹣1)2÷×()3 =﹣••=﹣.(2)222223()a b ab a ab b b a ⎛⎫-⎛⎫÷+ ⎪ ⎪-⎝⎭⎝⎭ 2222232()1()[()]()a b ab b a a b b a -=+-22222332()()1()()a b a b a b b a a b a b +-=+-211()a a b a ab==++.【总结升华】(1)题中有除法和乘方运算,应先算乘方,要特别注意符号的处理.(2)本题是乘除混合运算,首先把除法运算转化为乘法运算,再用乘法运算法则计算. 举一反三:【变式】计算:(1)332212b b a a ab ⎛⎫⎛⎫⎛⎫-÷-÷ ⎪ ⎪ ⎪⎝⎭⎝⎭⎝⎭;(2)2222()m n n m m nm n mn m --+⎛⎫÷⎪-⎝⎭. 【答案】解: (1)332212b b a a ab ⎛⎫⎛⎫⎛⎫-÷-÷ ⎪ ⎪ ⎪⎝⎭⎝⎭⎝⎭23263382633312212b b b a a b a b a a a ba b ⎛⎫⎛⎫=-÷-÷==⎪ ⎪⎝⎭⎝⎭. (2)2222()m n n m m n m n mn m --+⎛⎫÷ ⎪-⎝⎭22222()()()()m n m n m n m m nm n m n m n mn +---==-+.【巩固练习】 一.选择题 1.计算261053ab cc b 的结果是( )A .24a cB .4aC .4a cD .1c2. (2016•迁安市一模)化简:(a ﹣2)•的结果是( )A .a ﹣2B .a+2C .D .3.(2015•蜀山区一模)化简的结果是( )A.12B.1a a + C. D.4.分式32)32(ba 的计算结果是( ) A .3632b aB .3596b aC .3598b aD .36278b a5.下列各式计算正确的是( )A .yx y x =33B .326m m m =C .b a ba b a +=++22D .b a a b b a -=--23)()(6.22222nm m n m n ⋅÷-的结果是( )A .2n m -B .32nm -C .4mn -D .-n二.填空题7.1a c b c÷⨯_____; 2233y xy x -÷_____.8.389()22x yy x⋅-=______;=+-÷-x y x x xy x 33322______. 9.(2015•泰安模拟)化简的结果是 .10.如果两种灯泡的额定功率分别是21U P R =,225U P R=,那么第一只灯泡的额定功率是第二只灯泡额定功率的________倍.11.3322()a bc =____________;=-522)23(z y x ____________. 12.222222.2ab b a b a ab b a ab+-=++-______. 三.解答题13. (2016•黄石)先化简,再求值:÷•,其中a=2016.14.阅读下列解题过程,然后回答后面问题计算:2111ab c d b c d÷⨯÷⨯÷⨯解:2111ab c d b c d÷⨯÷⨯÷⨯=2a ÷1÷1÷1① =2a . ②请判断上述解题过程是否正确?若不正确,请指出在①、②中,错在何处,并给出正确的解题过程.15.小明在做一道化简求值题:22222().,x xy y x yxy x xy x-+--÷他不小心把条件x 的值抄丢了,只抄了y =-5,你说他能算出这道题的正确结果吗?为什么?【答案与解析】 一.选择题 1.【答案】C ; 【解析】 ∵2261061045353ab c ab c ac b c b c==,∴ 选C 项. 2.【答案】B ;【解析】原式=(a ﹣2)•=a+2,故选B .3.【答案】B ;【解析】解:原式=×=.故选B.4.【答案】D ;【答案】23663333228()3327a a a b b b==. 5.【答案】D ;【解析】3322()()()()a b a b a b b a a b --==---. 6.【答案】B ;【解析】222222222223n n m n m m m m n n m m n n-÷⋅=-⋅⋅=-.二.填空题7.【答案】2abc;292x y -;【解析】2111a a ac b c b c c bc÷⨯=⨯⨯=.22223933322y x x xy xy x y y -÷=-⨯=-. 8.【答案】218x-;-1; 【解析】328918()22x y y x x⋅-=-;22233()3133()x xy x y x x y x x x x x y --+-÷=⨯=---. 9.【答案】;【解析】解:原式=••=.10.【答案】5;【解析】222122555U U U RP P R R R U ÷=÷=⨯=. 11.【答案】9368a b c;1010524332x y z -;【解析】3399323636228()a a a bc b c b c==;25101052510510533243()2232x x x y z y z y z -=-=-. 12.【答案】ba; 【解析】()()()()()2222222.2b a b a b a b ab b a b ba ab b a ab a a b aa b ++-+-=⋅=++--+. 三.解答题13.【解析】 解:原式=••=(a ﹣1)•=a+1当a=2016时,原式=2017. 14.【解析】解:第①步不正确,因为乘除运算为同级运算时,应从左到右依次计算.应为:22111111111a b c d a b c d b b c c d d ÷⨯÷⨯÷⨯=⨯⨯⨯⨯⨯⨯=2222a b c d.15.【解析】解:22222().x xy y x yxy x xy x-+--÷=()()22xyx yx x y xx y ---⨯⨯- =5y -=这道题的结果与x 的值无关,所以他能算出正确结果是5.。
分式的乘除练习题及答案初二乘法练习题:1. 计算下列分式相乘的结果:(答案在括号中)a) $\frac{3}{4} \cdot \frac{2}{3}$ ($\frac{1}{2}$)b) $\frac{5}{6} \cdot \frac{3}{10}$ ($\frac{1}{4}$)c) $\frac{7}{8} \cdot \frac{9}{12}$ ($\frac{21}{32}$)2. 将下列混合数转化为带分数形式,并进行相乘:(答案在括号中)a) $2\frac{2}{3} \cdot 3\frac{1}{4}$ ($8\frac{1}{4}$)b) $5\frac{3}{4} \cdot 2\frac{1}{2}$ ($14\frac{3}{8}$)c) $7\frac{5}{6} \cdot 1\frac{2}{3}$ ($13\frac{5}{12}$)3. 将分式约简并相乘:(答案在括号中)a) $\frac{12}{15} \cdot \frac{9}{12}$ ($\frac{3}{5}$)b) $\frac{18}{24} \cdot \frac{8}{9}$ ($\frac{4}{3}$)c) $\frac{14}{21} \cdot \frac{5}{6}$ ($\frac{5}{9}$)除法练习题:1. 计算下列分式相除的结果:(答案在括号中)a) $\frac{2}{3} \div \frac{1}{4}$ ($\frac{8}{3}$)b) $\frac{5}{6} \div \frac{2}{5}$ ($\frac{25}{12}$)c) $\frac{7}{9} \div \frac{3}{8}$ ($\frac{56}{27}$)2. 将带分数转化为假分数,并进行相除:(答案在括号中)a) $3\frac{1}{2} \div 2\frac{3}{4}$ ($\frac{7}{8}$)b) $7\frac{2}{5} \div 1\frac{1}{3}$ ($\frac{53}{40}$)c) $6\frac{3}{4} \div 1\frac{1}{2}$ ($4\frac{7}{24}$)3. 将分式约简并相除:(答案在括号中)a) $\frac{15}{18} \div \frac{9}{12}$ ($\frac{4}{3}$)b) $\frac{16}{24} \div \frac{4}{9}$ ($\frac{3}{2}$)c) $\frac{20}{28} \div \frac{5}{6}$ ($\frac{12}{7}$)总结:通过以上乘除法的练习题,我们可以巩固和加深对分式乘除的理解和掌握。
分式的乘除专项训练一.分式的乘除1.化简:.2.计算:(ab3)2•.3..4.化简:()÷.5.化简:.6.化简:.7.化简:8.化简:9.计算:.10.化简•(x2﹣9)11.计算:.12.计算:.13.计算:.14.化简:÷.15.计算:.16.计算:.17.计算:18.计算:.19.计算:.20.化简21.化简:.22.计算:.23.计算.24.化简:(xy﹣x2)÷÷25.计算:.26.计算:÷•.27.计算÷(a2﹣4)•.2014年4月962316839的初中数学组卷参考答案与试题解析一.解答题(共27小题)1.化简:.考点:分式的乘除法.分析:本题可先将分式的乘除运算统一为乘法运算,然后通过约分、化简可得出结果.解答:解:原式==.点评:本题考查的是分式的乘除运算.把除法运算转化成乘法运算,做乘法运算时先找出分子、分母能约分的公因式,然后约分.2.(2002•汕头)计算:(ab3)2•.考点:分式的乘除法.专题:计算题.分析:根据积的乘方,等于把积中的每一个因式分别乘方,再把所得的幂相乘计算即可得出结果.解答:解:原式=a2b6•=﹣b5.点评:本题考查积的乘方的性质,熟练掌握性质是解题的关键,难度适中.3..考点:分式的乘除法.专题:计算题.分析:先把分式中的分子分母因式分解,再约分即可.解答:解:原式=×=x﹣y.点评:本题考查了分式的乘法.解题的关键是分式的分子分母要因式分解.4.(2007•朝阳区二模)化简:()÷.考点:分式的乘除法;因式分解-运用公式法;约分.专题:计算题.分析:首先把分式的分子、分母分解因式,把除法变成乘法,进行约分即可.解答:解:原式=×,=,=.点评:本题主要考查对分式的乘除法,约分,因式分解﹣运用公式法等知识点的理解和掌握,能正确分解因式和约分是解此题的关键.5.(2012•南昌)化简:.考点:分式的乘除法.专题:计算题.分析:根据分式的乘法与除法法先把各分式的分子因式分解,再把分式的除法变为乘法进行计算即可.解答:解:原式=÷=×=﹣1.点评:本题考查的是分式的乘除法,即分式乘除法的运算,归根到底是乘法的运算,当分子和分母是多项式时,一般应先进行因式分解,再约分.6.(2012•漳州)化简:.考点:分式的乘除法.专题:计算题.分析:先把各分式的分子和分母因式分解以及除法运算转化为乘法运算得到原式=•,然后约分即可.解答:解:原式=•=x.点评:本题考查了分式得乘除法:先把各分式的分子或分母因式分解,再把除法运算转化为乘法运算,然后进行约分得到最简分式或整式.7.(2007•双柏县)化简:考点:分式的乘除法.分析:在完成此类化简题时,应先将分子、分母中能够分解因式的部分进行分解因式.有些需要先提取公因式,而有些则需要运用公式法进行分解因式.通过分解因式,把分子分母中能够分解因式的部分,分解成乘积的形式,然后找到其中的公因式约去.解答:解:原式=÷=•=x.点评:分式的乘除混合运算一般是统一为乘法运算,分子分母因式分解,进行约分.8.(2009•清远)化简:考点:分式的乘除法.专题:计算题.分析:本题可先将分式的除法运算转化为乘法运算,然后将各分式的分子、分母分解因式,进而可通过约分、化简得出结果.解答:解:原式==.点评:分式的除法计算首先要转化为乘法运算,然后对式子进行化简,化简的方法就是把分子、分母进行分解因式,然后进行约分.分式的乘除运算实际就是分式的约分.9.(2006•襄阳)计算:.考点:分式的乘除法.分析:本题可先将分式的除法运算转化为乘方运算,然后将各分式的分子、分母分解因式,进而可通过约分、化简得出结果.解答:解:原式==.点评:分式的除法计算首先要转化为乘法运算,然后对式子进行化简,化简的方法就是把分子、分母进行分解因式,然后进行约分.分式的乘除运算实际就是分式的约分.10.(2005•江西)化简•(x2﹣9)考点:分式的乘除法.分析:在完成此类化简题时,应先将分子、分母中能够分解因式的部分进行分解因式.然后进行约分.解答:解:原式=•(x+3)(x﹣3)=x+3.点评:此题比较简单,将原式通过分解因式、约分化为最简分式或整式即可.11.计算:.考点:分式的乘除法.专题:计算题.分析:原式第一个因式分子利用平方差公式分解因式,分母利用十字相乘法分解因式,约分即可得到结果.解答:解:原式=•==.点评:此题考查了分式的乘除运算,分式的乘除运算关键是约分,约分的关键是找公因式,约分时,分式的分子分母出现多项式,应将多项式分解因式后再约分.12.(2005•南京)计算:.考点:分式的乘除法.分析:分式的除法计算首先要转化为乘法运算,然后对式子进行化简,化简的方法就是把分子、分母进行分解因式,然后进行约分.解答:解:原式==.点评:在完成此类化简题时,应先将分子、分母中能够分解因式的部分进行分解因式.有些需要先提取公因式,通过分解因式,把分子分母中能够分解因式的部分,分解成乘积的形式,然后找到其中的公因式约去.13.(2004•淄博)计算:.考点:分式的乘除法.专题:计算题.分析:本题可先将分式的除法运算转化为乘法运算,然后将各分式的分子、分母分解因式,进而可通过约分、化简得出结果.解答:解:原式==x.点评:在完成此类化简题时,应先将分子、分母中能够分解因式的部分先进行分解因式.然后进行约分计算.14.(2014•长春一模)化简:÷.考点:分式的乘除法.专题:计算题.分析:原式利用除法法则变形,约分即可得到结果.解答:解:原式=•=.点评:此题考查了分式的乘除法,熟练掌握运算法则是解本题的关键.15.(2012•大连二模)计算:.考点:分式的乘除法.分析:首先将除法运算化为乘法运算,要注意先把分子、分母能因式分解的先分解,然后约分.解答:解:原式=y(x﹣y)÷=y(x﹣y)•=y.点评:此题考查了分式的除法.此题难度不大,注意把分子分母中能够分解因式的部分首先因式分解,然后约分,化为最简分式.16.计算:.考点:分式的乘除法.分析:首先把分子分母分解因式,再约分后相乘即可.解答:解:原式=×,=.点评:此题主要考查了分式的除法,应先将分子、分母中能够分解因式的部分进行分解因式.有些需要先提取公因式,而有些则需要运用公式法进行分解因式.通过分解因式,把分子分母中能够分解因式的部分,分解成乘积的形式,然后找到其中的公因式约去.17.计算:考点:分式的乘除法.分析:本题可先将分式的除法运算转化为乘法运算,然后将各分式的分子、分母分解因式,进而可通过约分、化简得出结果.解答:解:原式=﹣×(a2﹣7a)=﹣×a(a﹣7)=﹣.点评:分式的除法计算首先要转化为乘法运算,然后对式子进行化简,化简的方法就是把分子、分母进行分解因式,然后进行约分.分式的乘除运算实际就是分式的约分.18.计算:.考点:分式的乘除法.分析:首先把分式除法变为乘法,再把分式的分子分母分解因式,然后分子乘以分子,分母乘以分母,最后要约分化简.解答:解:原式==﹣2.点评:此题主要考查了分式除法的运算,归根到底是乘法的运算,当分子和分母是多项式时,一般应先进行因式分解,再约分.19.计算:.考点:分式的乘除法.分析:首先对分子分母进行因式分解,然后把除法转化为乘法,最后对结果进行化简即可.解答:解:=(3分)=(4分)=1.(5分)点评:本题主要考查分式的乘除法法则,分式的化简,关键在于正确的对分子分母进行因式分解.20.化简考点:分式的乘除法.分析:做除法时要注意先把除法运算转化为乘法运算,而做乘法运算时要注意先把分子、分母能因式分解的先分解,然后约分.解答:解:原式=••=.故答案为.点评:分式的运算要注意先把分子、分母能因式分解的先因式分解;除法要统一为乘法运算.21.化简:.考点:分式的乘除法.专题:计算题.分析:先把除法化为乘法运算,再把各分式的分子和分母因式分解得到原式=••,然后进行约分即可.解答:解:原式=••=.点评:本题考查了分式的乘除法:先把除法化为乘法运算,再把各分式的分子或分母因式分解,然后约分得到最简分式或整式.22.计算:.考点:分式的乘除法.专题:计算题.分析:将分子及分母中的整式分别分解为因式相乘的形式,然后利用约分的知识进行计算即可,注意除以一个分式等于乘以这个分式的倒数.解答:解:原式==.点评:本题考查分式的乘除法运算,分式的乘除混合运算一般是统一为乘法运算,如果有乘方,还应根据分式乘方法则先乘方,即把分子、分母分别乘方,然后再进行乘除运算.23.计算.考点:分式的乘除法.专题:计算题.分析:原式分子分母分解因式后,利用除法法则变形,约分即可得到结果.解答:解:原式=•=.点评:此题考查了分式的乘除法,分式乘除法的关键是约分,约分的关键是找公因式.24.化简:(xy﹣x2)÷÷考点:分式的乘除法.分析:先运用分式的除法法则将分式的除法转化为乘法,同时将分子、分母中的多项式分解因式,然后约分化简.解答:解:原式=﹣x(x﹣y)•=﹣y.点评:本题主要考查了分式的除法运算,做题时把除法运算转化为乘法运算,然后进行解答.25.计算:.考点:分式的乘除法.专题:计算题.分析:将原式的第一项的分子分母分解因式,且分子提取﹣1,第三项利用分式的乘方法则:给分式的分子分母分别平方,并把结果相除,然后根据除以一个数等于乘以这个数的倒数把原式化为积的形式,约分后即可得到结果.解答:解:原式===.点评:此题考查了分式的乘除法以及分式的乘方运算.学生在做此类题若出现多项式时,一般将多项式分解因式,以便于进行约分,同时注意运算结果一定要为最简分式的形式.26.计算:÷•.考点:分式的乘除法.专题:计算题.分析:原式利用除以一个数等于乘以这个数的倒数将除法运算化为乘法运算,约分即可得到结果.解答:解:原式=÷•=••=.点评:此题考查了分式的乘除法,分式乘除法的关键是约分,约分的关键是找公因式.27.计算÷(a2﹣4)•.考点:分式的乘除法.分析:首先对分子分母进行因式分解,把除法转化为乘法,然后分子分母同除以公因式,进行化简,最后按照分式的乘除法法则进行计算即可.解答:解:原式==.点评:本题主要考查分式的乘除法法则,分式的化简,关键在于正确的对分子和分母进行因式分解,认真的进行计算.©2010-2014 菁优网。
八年级上册分式的乘除法计算题一、分式乘除法的运算法则1. 分式乘法法则分式乘以分式,用分子的积做积的分子,分母的积做积的分母。
即(a)/(b)·(c)/(d)=(ac)/(bd)(b≠0,d≠0)。
2. 分式除法法则分式除以分式,把除式的分子、分母颠倒位置后,与被除式相乘。
即(a)/(b)÷(c)/(d)=(a)/(b)·(d)/(c)=(ad)/(bc)(b≠0,c≠0,d≠0)。
二、计算题及解析1. 计算(2x)/(3y)·frac{9y^2}{4x^2}解析:根据分式乘法法则,分子相乘为2x·9y^2=18xy^2,分母相乘为3y·4x^2 = 12x^2y。
所以原式=frac{18xy^2}{12x^2y},然后约分,分子分母同时约去6xy,得到(3y)/(2x)。
2. 计算frac{x^2-1}{x^2+2x + 1}÷(x 1)/(x+1)解析:先将分子分母进行因式分解,x^2-1=(x + 1)(x 1),x^2+2x + 1=(x + 1)^2。
根据分式除法法则,将除法转化为乘法,原式变为((x + 1)(x 1))/((x +1)^2)·(x + 1)/(x 1)。
然后约分,分子分母中的(x 1)和(x + 1)分别约掉,结果为1。
3. 计算(3a 3b)/(10ab)·frac{25a^2b^3}{a^2-b^2}解析:先对分子3a 3b = 3(a b)进行化简,对a^2-b^2=(a + b)(a b)进行因式分解。
原式=(3(a b))/(10ab)·frac{25a^2b^3}{(a + b)(a b)}。
分子相乘为3(a b)·25a^2b^3=75a^2b^3(a b),分母相乘为10ab·(a + b)(a b)=10ab(a + b)(a b)。