含参数的一元一次不等式经典练习题
- 格式:doc
- 大小:97.00 KB
- 文档页数:1
一元一次不等式组含参培优专题1.若关于x 的不等式组0721x m x -⎧⎨-⎩<≤的整数解共有3个,则m 的取值范围是( ) A .56m << B .56m ≤< C .56m ≤≤ D .67m ≤<2.已知关于x 的不等式组:2123x a x b +⎧⎨-⎩<>的解集是32x -<<,则a b +的值为( ) A .3- B .2 C .0 D .6-3.如果不等式组2223x a x b ⎧+⎪⎨⎪-⎩≥<的解集是03x ≤<,那么a b 的值为____________. 4.关于x 的不等式组352x a x a -⎧⎨-⎩><无解,则a 的取值范围是____________. 5.若关于x 的不等式组01321x m x -⎧⎨-⎩>≥的所有整数解的和是15,则m 的取值范围是____________.6.关于x 的不等式组30340x x a -⎧⎨+⎩<<的解集中为3x <,则a 的取值范围是____________. 7.不等式组1726m x m x ++⎧⎨⎩<<<<有解且解集是27x m +<<,则m 的取值范围为____________.8.方程组43165x y k x y -=+⎧⎨+=⎩的解x 、y 满足条件0783x y -<<,则k 的取值范围____________. 9.已知关于x 的不等式组211x m n x m ++⎧⎨--⎩><,的解集为12x -<<,则2020()m n +的值是____________.10.若不等式组11324x x x m+⎧-⎪⎨⎪⎩<<有解,则m 的取值范围为____________. 11.若关于x 的一元一次不等式组1020x x a -⎧⎨-⎩><有2个整数解,则a 的取值范围是____________.12.若不等式组11324x x x m+⎧-⎪⎨⎪⎩<<无解,则m 的取值范围是____________. 13.若不等式组11324x x x m+⎧-⎪⎨⎪⎩<<有解,则m 的取值范围为____________. 14.若不等式组420x a x ⎧⎨-⎩><的解集是x a >,则a 的取值范围是____________. 15.若关于x 的不等式组6050x a x b ⎧-⎨-⎩≥<的整数解仅有1,2,3,则a b +的最大值为____________. 16.若x 为实数,定义:[]x 表示不大于x 的最大整数.(1)例如[1.6]1=,[]π= ,[ 2.82]-= .(请填空)(2)[]1x +是大于x 的最小整数,对于任意的实数x 都满足不等式[][]1x x x +≤<,利用这个不等式,求出满足[]21x x =-的所有解.17.已知方程组317x y a x y a -=+⎧⎨+=--⎩. (1)求方程组的解(用含有a 的代数式表示);(2)若方程组的解x 为负数,y 为非正数,且4a b +=,求b 的取值范围.18.已知关于x、y的方程组22324x y mx y m-=⎧⎨+=+⎩的解满足不等式组3050x yx y⎧+⎨+⎩≤>,求满足条件的m的整数解.19.若关于x的不等式组23(3)1324x xxx a-+⎧⎪⎨++⎪⎩<>有四个整数解,求a的取值范围.20.对x ,y 定义一种新的运算A ,规定:()()()ax by x y A x y ay bx x y ⎧+⎪=⎨+⎪⎩,当时,,当时≥<,(其中0ab ≠).已知(11)0A =,,(02)2A =,.(1)求a ,b 的值;(2)若关于正数p 的不等式组(321)4(132)A p p A p p m -⎧⎨---⎩,,>≤恰好有2个整数解,求m 的取值范围; (3)请直接写出()()22220A x y A y x +=,,时,满足条件的x ,y 的关系.21.对x 、y 定义一种新运算T ,记为:()T x y ,.(1)若()21T x y x y =+-,,如:(01)02111T =+⨯-=,,则(13)T =, ;(2)若()1T x y ax by =+-,,(其中a 、b 为常数),且(11)2T -=-,,(42)3T =,. ①求a 、b 的值;②若关于m 的不等式组(254)4(32)T m m T m m P ⎧-⎨-⎩,,≤>恰好有2个整数解,求实数P 的取值范围.。
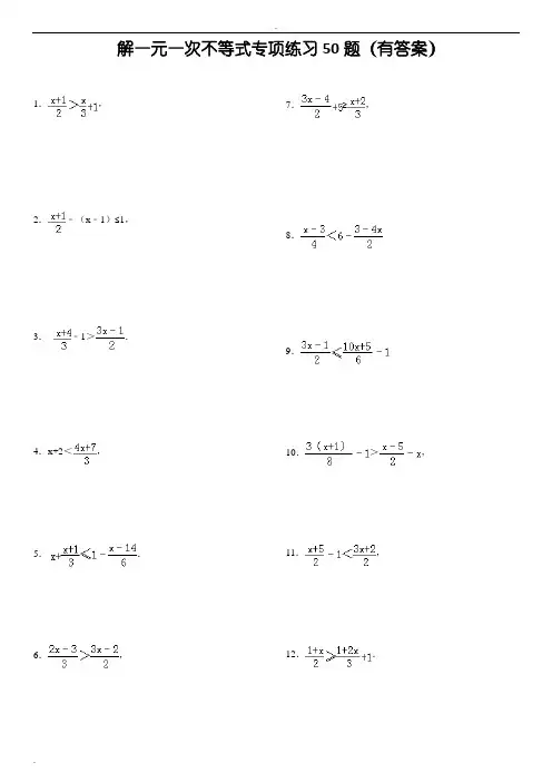
.解一元一次不等式专项练习50题(有答案)1.,2.﹣(x﹣1)≤1,3.﹣1>.4.x+2<,5..6.,7.≥,8.9.10.>,11.,12..14. 3x ﹣,15.3(x﹣1)+2≥2(x﹣3).16.,17.10﹣4(x﹣4)≤2(x﹣1),18.﹣1<.19..21.,22.,23.≥.24.>1.25..26.,28.;29..30.≤31.,32.(x+1)≤2﹣x33.2(5x+3)≤x﹣3(1﹣2x)35.;36..37..38.4x+3≥3x+5.39.2(x+2)≥4(x﹣1)+7.40.>x﹣1.41.2(3﹣x)<x﹣3.42.3(x+2)≤5(x﹣1)+7,43.1﹣≥44.2(x+3)﹣4x>3﹣x.45.2(1﹣2x)+5≤3(2﹣x)46.,47..48.2﹣>3+.49.4(x+3)﹣<2(2﹣x)﹣(x ﹣)50...解不等式50题参考答案:1.解:去分母得:3(x+1)>2x+6,去括号得:3x+3>2x+6,移项、合并同类项得:x>3,∴不等式的解集为x>32.解:去分母得:x+1﹣2(x﹣1)≤2,∴x+1﹣2x+2≤2,移项、合并同类项得:﹣x≤﹣1,不等式的两边都除以﹣1得:x≥13.解:去分母得2(x+4)﹣6>3(3x﹣1),去括号得2x+8﹣6>9x﹣3,移项得2x﹣9x>﹣3﹣8+6,合并同类项得﹣7x>﹣5,化系数为1得x<4.解;x+2<,去分母得:3x+6<4x+7,移项、合并同类项得:﹣x<1,不等式的两边都除以﹣1得:x>﹣1,∴不等式的解集是x>﹣15.解:去分母,得6x+2(x+1)≤6﹣(x﹣14)去括号,得6x+2x+2≤6﹣x+14…(3分)移项,合并同类项,得9x≤18 …(5分)两边都除以9,得x≤26.解:去分母得:2(2x﹣3)>3(3x﹣2)去括号得:4x﹣6>9x﹣6移项合并同类项得:﹣5x>0∴x<07.解:去分母得,3(3x﹣4)+30≥2(x+2),去括号得,9x﹣12+30≥2x+4,移项,合并同类项得,7x≥﹣14,系数化为1得,x>﹣28.解:x﹣3<24﹣2(3﹣4x),x﹣3<24﹣6+8x,x﹣8x<24﹣6+3,﹣7x<21,x>﹣39.解:化简原不等式可得:6(3x﹣1)≤(10x+5)﹣6,即8x≥﹣16,可求得x≥﹣210.解:去分母,得3(x+1)﹣8>4(x﹣5)﹣8x,去括号,得3x+3﹣8>4x﹣20﹣8x,移项、合并同类项,得7x>﹣15,11.解:去分母,得x+5﹣2<3x+2,移项,得x﹣3x<2+2﹣5,合并同类项,得﹣2x<﹣1,化系数为1,得x>12.解:去分母,得3(x+1)≥2(2x+1)+6,去括号,得3x+3≥4x+2+6,移项、合并同类项,得﹣x≥5,系数化为1,得x≤﹣513.解:去分母,得2(2x﹣1)﹣24>﹣3(x+4),去括号,得4x﹣2﹣24>﹣3x﹣12,移项、合并同类项,得7x>14,两边都除以7,得x>214.解:去分母得,6x﹣1<2x+7,移项得,6x﹣2x<7+1,合并同类项得,4x<8,化系数为1得,x<215.解:3(x﹣1)+2≥2(x﹣3),去括号得:3x﹣3+2≥2x﹣6,移项得:3x﹣2x≥﹣6+3﹣2,解得:x≥﹣516.解:去分母得:2(x﹣1)﹣3(x+4)>﹣12,去括号得:2x﹣2﹣3x﹣12>﹣12,移项得:2x﹣3x>﹣12+2+12,合并得:﹣x>2,解得:x<﹣217.解:去括号得:10﹣4x+16≤2x﹣2,移项合并得:﹣6x≤﹣28,解得:x≥18.解:去分母得,3(x+5)﹣6<2(3x+2),去括号得,3x+15﹣6<6x+4,移项、合并同类项得,5<3x,把x的系数化为1得x>.19.解:∵∴3(x+5)﹣6<2(3x+2)∴3x+15﹣6<6x+4∴3x﹣6x<4﹣15+6∴﹣3x<﹣5∴x20.解:去分母得30﹣2(2﹣3x)≤5(1+x),去括号得30﹣4+6x≤5+5x,移项得6x﹣5x≤5+4﹣30,去括号得,4x﹣2﹣6x<3x+3,移项得,4x﹣6x﹣3x<3+2,合并同类项得,﹣5x<5,系数化为1得,x>﹣1.故此不等式的解集为:x>﹣122.解:去分母得,2(2x﹣5)>3(3x+4)+18,去括号得,4x﹣10>9x+12+18,移项得,4x﹣9x>12+18+10,合并同类项得,﹣5x>40,系数化为1得,x<﹣823.解:≥1﹣,去分母得:2(2x﹣1)≥6﹣3(5﹣x),去括号得:4x﹣2≥6﹣15+3x,移项合并得:x≥﹣724.解:原不等式可变为:2(x+4)﹣3(3x﹣1)>6,2x+8﹣9x+3>6,﹣7x>﹣5,x<25.解:原不等式可化为,6(2x﹣1)≥10x+1,去分母得,12x﹣6≥10x+1,合并同类项得,2x≥7,把系数化为1得,x≥26.解:去分母得,2(2x﹣1)﹣6≤3(5x﹣1),去括号得,4x﹣2﹣6≤15x﹣3,移项得,4x﹣15x≤﹣3+2+6,合并同类项得,﹣11x≤5,化系数为1得,x≥﹣27.解:去分母,得32﹣2(3x﹣1)≥5(x+3)+8;去括号,得32﹣6x+2≥5x+15+8;移项,得﹣6x﹣5x≥15+8﹣32﹣2;合并同类项,得﹣11x≥﹣11;系数化为1,得x≤128.解:(1)在不等式的左右两边同乘以2得,(3﹣x)﹣6≥0,解得:x≤﹣3,29. (2)在不等式的左右两边同乘以12得,6(2x﹣1)﹣4(2x+5)<3(6x﹣7),解得:x30.解:不等式两边都乘以8得,32﹣2(3x﹣1)≤5(x+3)+8,∴x≥131.解:∵,∴12x﹣6﹣8x﹣20<18x﹣21﹣12,∴14x>7,∴32.解:不等式两边同时乘以2,得:x+1≤4﹣2x,移项,得:x+2x≤4﹣1,合并同类项,得:3x≤3,解得:x≤133.解:去括号得,10x+6≤x﹣3+6x,移项合并同类项得,3x≤﹣9,解得x≤﹣334.解:去分母,得3(x+2)≤4﹣x+6(2分)去括号,得3x+6≤4﹣x+6移项,得3x+x≤4+6﹣6(4分)合并同类项,得4x≤4两边同除以4,得x≤135.解:(1)去分母,得5(x﹣1)>2(3x+1),去括号,得5x﹣5>6x+2,移项,得5x﹣6x>2+5,合并同类项,得﹣x>7,系数化为1,得x<﹣7.36. 去分母,得5(3x+1)﹣3(7x﹣3)≤30+2(x﹣2),去括号,得15x+5﹣21x+9≤30+2x﹣4,移项,得15x﹣21x﹣2x≤30﹣4﹣5﹣9,合并同类项,得﹣8x≤12,系数化为1,得x≥﹣1.537.解:原不等式的两边同时乘以4,并整理得x﹣7<3x﹣2,移项,得﹣2x<5,不等式的两边同时除以﹣2(不等式的符号的方向发生改变),得x>,故原不等式的解集是x>38.4x+3≥3x+5.解:移项、合并得x≥2.39.解:2(x+2)≥4(x﹣1)+7,2x+4≥4x﹣4+7,2x﹣4x≥﹣4+7﹣4,﹣2x≥﹣1,移项得2x﹣3x>﹣3﹣1,合并同类项得﹣x>﹣4,解得x<441.解:去括号,得6﹣2x<x﹣3,移项、合并同类项,得﹣3x<﹣9,化系数为1,得x>342.解:去括号得,3x+6≤5x﹣5+7,移项得,3x﹣5x≤2﹣6,合并同类项得,﹣2x≤﹣4系数化为1,得x≥243.解:去分母,原不等式的两边同时乘以6,得6﹣3x+1≥2x+2,移项、合并同类项,得5x≤5,不等式的两边同时除以5,得x≤144.解:去括号,得:2x+6﹣4x>3﹣x,移项,得:2x﹣4x+x>﹣6,合并同类项,得:﹣x>﹣6,则x<645.解:去括号,得:2﹣4x+5≤6﹣3x,移项,得:﹣4x+3x≤6﹣2﹣5,合并同类项,得﹣x≤1,解得x≥﹣146.解;去分母得:x+1﹣6≤6x移项得:x﹣6x≤6﹣1合并同类项得:﹣5x≤5系数化1得:x≥﹣147.解:去分母得:7x+4﹣12>12(x+1),去括号得:7x+4﹣12>12x+12,移项得:7x﹣12x>12+12﹣4,合并同类项得:﹣5x>20,系数化为1得:x<﹣448.解:去分母得:16﹣(3x﹣2)>24+2(x﹣1)16﹣3x+2>24+2x﹣2﹣3x﹣2x>24﹣2﹣16﹣2﹣5x>4x <﹣49.解;去括号得,4x+12﹣<4﹣2x﹣x+,把x的系数化为1得,x <﹣,50.解:不等式的两边同时乘以12,得3(x+1)﹣2(2x﹣3)≤12,即﹣x+9≤12,不等式的两边同时减去9,得﹣x≤3,不等式的两边同时除以﹣1,得x≥﹣3,∴原不等式的解集是x≥﹣3。
解一元一次不等式专项练习50题〔有答案〕1.,2.﹣〔x﹣1〕≤1,3.﹣1>.4.x+2<,5..6.,7.≥,8.9.10.>,11.,12..13.,14. 3x ﹣,15.3〔x﹣1〕+2≥2〔x﹣3〕.16.,17.10﹣4〔x﹣4〕≤2〔x﹣1〕,18.﹣1<.19..20.≤.21.,22.,23.≥.24.>1.25..26.,27.≥,28.;29..30.≤31.,32.〔x+1〕≤2﹣x 33.2〔5x+3〕≤x﹣3〔1﹣2x〕34.≤+1.35.;36..37..38.4x+3≥3x+5.40.>x﹣141.2〔3﹣x〕<x﹣3.42.3〔x+2〕≤5〔x﹣1〕+7,43.1﹣≥44.2〔x+3〕﹣4x>3﹣x.45.2〔1﹣2x〕+5≤3〔2﹣x〕46.,47..48.2﹣>3+.49.4〔x+3〕﹣<2〔2﹣x〕﹣〔x ﹣〕50..解不等式50题参考答案:1.解:去分母得:3〔x+1〕>2x+6,去括号得:3x+3>2x+6,移项、合并同类项得:x>3,∴不等式的解集为x>32.解:去分母得:x+1﹣2〔x﹣1〕≤2,∴x+1﹣2x+2≤2,3.解:去分母得2〔x+4〕﹣6>3〔3x﹣1〕,去括号得2x+8﹣6>9x﹣3,移项得2x﹣9x>﹣3﹣8+6,合并同类项得﹣7x>﹣5,化系数为1得x <移项、合并同类项得:﹣x<1,不等式的两边都除以﹣1得:x>﹣1,∴不等式的解集是x>﹣15.解:去分母,得6x+2〔x+1〕≤6﹣〔x﹣14〕去括号,得6x+2x+2≤6﹣x+14…〔3分〕移项,合并同类项,得9x≤18 …〔5分〕两边都除以9,得x≤26.解:去分母得:2〔2x﹣3〕>3〔3x﹣2〕去括号得:4x﹣6>9x﹣6移项合并同类项得:﹣5x>0∴x<07.解:去分母得,3〔3x﹣4〕+30≥2〔x+2〕,去括号得,9x﹣12+30≥2x+4,移项,合并同类项得,7x≥﹣14,系数化为1得,x>﹣28.解:x﹣3<24﹣2〔3﹣4x〕,x﹣3<24﹣6+8x,x﹣8x<24﹣6+3,﹣7x<21,x>﹣39.解:化简原不等式可得:6〔3x﹣1〕≤〔10x+5〕﹣6,即8x≥﹣16,可求得x≥﹣210.解:去分母,得3〔x+1〕﹣8>4〔x﹣5〕﹣8x,去括号,得3x+3﹣8>4x﹣20﹣8x,移项、合并同类项,得7x>﹣15,系数化为1,得x >﹣11.解:去分母,得x+5﹣2<3x+2,移项,得x﹣3x<2+2﹣5,合并同类项,得﹣2x<﹣1,化系数为1,得x >12.解:去分母,得3〔x+1〕≥2〔2x+1〕+6,去括号,得3x+3≥4x+2+6,移项、合并同类项,得﹣x≥5,系数化为1,得x≤﹣513.解:去分母,得2〔2x﹣1〕﹣24>﹣3〔x+4〕,去括号,得4x﹣2﹣24>﹣3x﹣12,移项、合并同类项,得7x>14,两边都除以7,得x>214.解:去分母得,6x﹣1<2x+7,移项得,6x﹣2x<7+1,合并同类项得,4x<8,化系数为1得,x<215.解:3〔x﹣1〕+2≥2〔x﹣3〕,解得:x≥﹣516.解:去分母得:2〔x﹣1〕﹣3〔x+4〕>﹣12,去括号得:2x﹣2﹣3x﹣12>﹣12,移项得:2x﹣3x>﹣12+2+12,合并得:﹣x>2,解得:x<﹣217.解:去括号得:10﹣4x+16≤2x﹣2,移项合并得:﹣6x≤﹣28,解得:x≥18.解:去分母得,3〔x+5〕﹣6<2〔3x+2〕,去括号得,3x+15﹣6<6x+4,移项、合并同类项得,5<3x,把x的系数化为1得x >.19.解:∵∴3〔x+5〕﹣6<2〔3x+2〕∴3x+15﹣6<6x+4∴3x﹣6x<4﹣15+6∴﹣3x<﹣5∴x20.解:去分母得30﹣2〔2﹣3x〕≤5〔1+x〕,去括号得30﹣4+6x≤5+5x,移项得6x﹣5x≤5+4﹣30,合并得x≤﹣2121.解:去分母得,2〔2x﹣1〕﹣6x<3x+3,去括号得,4x﹣2﹣6x<3x+3,移项得,4x﹣6x﹣3x<3+2,合并同类项得,﹣5x<5,系数化为1得,x>﹣1.故此不等式的解集为:x>﹣122.解:去分母得,2〔2x﹣5〕>3〔3x+4〕+18,去括号得,4x﹣10>9x+12+18,移项得,4x﹣9x>12+18+10,合并同类项得,﹣5x>40,系数化为1得,x<﹣823.解:≥1﹣,去分母得:2〔2x﹣1〕≥6﹣3〔5﹣x〕,去括号得:4x﹣2≥6﹣15+3x,移项合并得:x≥﹣724.解:原不等式可变为:2〔x+4〕﹣3〔3x﹣1〕>6,2x+8﹣9x+3>6,﹣7x>﹣5,25.解:原不等式可化为,6〔2x﹣1〕≥10x+1,去分母得,12x﹣6≥10x+1,合并同类项得,2x≥7,把系数化为1得,x≥26.解:去分母得,2〔2x﹣1〕﹣6≤3〔5x﹣1〕,去括号得,4x﹣2﹣6≤15x﹣3,移项得,4x﹣15x≤﹣3+2+6,合并同类项得,﹣11x≤5,化系数为1得,x≥﹣27.解:去分母,得32﹣2〔3x﹣1〕≥5〔x+3〕+8;去括号,得32﹣6x+2≥5x+15+8;移项,得﹣6x﹣5x≥15+8﹣32﹣2;合并同类项,得﹣11x≥﹣11;系数化为1,得x≤128.解:〔1〕在不等式的左右两边同乘以2得,〔3﹣x〕﹣6≥0,解得:x≤﹣3,29. 〔2〕在不等式的左右两边同乘以12得,6〔2x﹣1〕﹣4〔2x+5〕<3〔6x﹣7〕,解得:x30.解:不等式两边都乘以8得,32﹣2〔3x﹣1〕≤5〔x+3〕+8,去括号得,32﹣6x+2≤5x+15+8,移项得,11≤6x+5x,∴x≥131.解:∵,∴12x﹣6﹣8x﹣20<18x﹣21﹣12,∴14x>7,∴32.解:不等式两边同时乘以2,得:x+1≤4﹣2x,移项,得:x+2x≤4﹣1,合并同类项,得:3x≤3,解得:x≤133.解:去括号得,10x+6≤x﹣3+6x,移项合并同类项得,3x≤﹣9,解得x≤﹣334.解:去分母,得3〔x+2〕≤4﹣x+6〔2分〕去括号,得3x+6≤4﹣x+6移项,得3x+x≤4+6﹣6〔4分〕合并同类项,得4x≤4两边同除以4,得x≤1移项,得5x﹣6x>2+5,合并同类项,得﹣x>7,系数化为1,得x<﹣7.36. 去分母,得5〔3x+1〕﹣3〔7x﹣3〕≤30+2〔x﹣2〕,去括号,得15x+5﹣21x+9≤30+2x﹣4,移项,得15x﹣21x﹣2x≤30﹣4﹣5﹣9,合并同类项,得﹣8x≤12,系数化为1,得x≥﹣1.537.解:原不等式的两边同时乘以4,并整理得x﹣7<3x﹣2,移项,得﹣2x<5,不等式的两边同时除以﹣2〔不等式的符号的方向发生改变〕,得x >,故原不等式的解集是x >38.4x+3≥3x+5.解:移项、合并得x≥2.39.解:2〔x+2〕≥4〔x﹣1〕+7,2x+4≥4x﹣4+7,2x﹣4x≥﹣4+7﹣4,﹣2x≥﹣1,40.解:去分母得1+2x>3x﹣3,移项得2x﹣3x>﹣3﹣1,合并同类项得﹣x>﹣4,解得x<441.解:去括号,得6﹣2x<x﹣3,移项、合并同类项,得﹣3x<﹣9,化系数为1,得x>342.解:去括号得,3x+6≤5x﹣5+7,移项得,3x﹣5x≤2﹣6,合并同类项得,﹣2x≤﹣4系数化为1,得x≥243.解:去分母,原不等式的两边同时乘以6,得6﹣3x+1≥2x+2,移项、合并同类项,得5x≤5,不等式的两边同时除以5,得x≤1合并同类项,得:﹣x>﹣6,那么x<645.解:去括号,得:2﹣4x+5≤6﹣3x,移项,得:﹣4x+3x≤6﹣2﹣5,合并同类项,得﹣x≤1,解得x≥﹣146.解;去分母得:x+1﹣6≤6x移项得:x﹣6x≤6﹣1合并同类项得:﹣5x≤5系数化1得:x≥﹣147.解:去分母得:7x+4﹣12>12〔x+1〕,去括号得:7x+4﹣12>12x+12,移项得:7x﹣12x>12+12﹣4,合并同类项得:﹣5x>20,系数化为1得:x<﹣448.解:去分母得:16﹣〔3x﹣2〕>24+2〔x﹣1〕16﹣3x+2>24+2x﹣2﹣3x﹣2x>24﹣2﹣16﹣2﹣5x>4x<﹣49.解;去括号得,4x+12﹣<4﹣2x﹣x+,移项合并同类项得,7x<﹣1,把x的系数化为1得,x<﹣,50.解:不等式的两边同时乘以12,得3〔x+1〕﹣2〔2x﹣3〕≤12,即﹣x+9≤12,不等式的两边同时减去9,得﹣x≤3,不等式的两边同时除以﹣1,得x≥﹣3,∴原不等式的解集是x≥﹣3。
专题8.6一元一次不等式(组)中的含参问题专项训练(60道)【华东师大版】考卷信息:本套训练卷共60题,题型针对性较高,覆盖面广,选题有深度,可深化学生对一元一次不等式(组)中的含参问题的理解!一、单选题(共30小题)1.(2022·山东济宁·七年级期末)已知关于的不等式1−<2的解集为<21−,则的取值范围为()A.>0B.>1C.<0D.<1【答案】D【分析】根据不等式的性质,当不等式左右两边除以同一个正数时,不等号方向不改变,可得1−>0,解不等式可得a的取值范围.【详解】解:由题意可得,1−>0,解得<1,故选D【点睛】本题考查不等式的性质、解一元一次不等式,准确掌握不等式的性质是解题的关键.2.(2022·四川乐山·七年级期末)若关于的不等式组{2K43≤−1−>0的整数解恰有5个,则取值范围为()A.2<≤3B.2≤<3C.3<≤4D.3≤<4【答案】C【分析】分别解出两个一元一次不等式的解集,再根据已知条件,原一元一次不等式组的整数解恰有5个,确定该不等式组解集的公共解集,进而求得的取值范围.【详解】解:不等式整理得{O−1<,∵关于的不等式组{2K43⩽−1−>0的整数解恰有5个,∴3<N4.故选:C.【点睛】本题考查一元一次不等式组的整数解、不等式的解集等知识,解题的关键是熟知“同大取大;同小取小;大小小大中间找;大大小小找不到”的原则.3.(2022·河南新乡·七年级期末)若关于x<0的解集为2<<5,则多项式A可以是()A.−5B.2−5C.−10D.3−12【答案】A【分析】根据题意A<0解集为x<5,据此可得答案.【详解】解:∵8−3<∴>2∵若关于x<0的解集为2<<5,∴<0的解集为<5A.−5<0,解得<5,符合题意;B.2−5<0,解得<52,不合题意;C.−10<0,解得<10,不合题意;D.3−12<0,解得<4,不合题意;故选:A【点睛】本题考查的是解一元一次不等式组,根据题意得到A<0解集为x<5是解答此题的关键.4.(2022·云南临沧·八年级期末)若整数a使关于x的不等式组K12≤6+34−>+1,有且只有19个整数解,且使关于y的方程2rr31++10r1=1的解为非正数,则a的值是()A.−13或−12B.−13C.−12D.−12或−11【答案】C【分析】解不等式组,根据有且只有19个整数解求出a的范围,再解方程,根据方程的解为非正数,求出a的范围,找出公共部分的整数a值即可.【详解】解:解K12≤6+34−>+1,得r13<≤15,∵不等式组有且只有19个整数解,∴−4≤r13<−3,解得:-13≤a<-10,解2rr31++10r1=1得y=-12-a,∵方程的解为非正数,∴-12-a≤0,∴a≥-12.∴≥−12−13≤<−10,∴-12≤a<-10.∵a为整数,∴a=-12或-11.当a=-11时,y+1=0,应舍去,故a=-12,故选:C.【点睛】本题主要考查了解一元一次不等式组,解分式方程,一元一次不等式组的整数解,正确求得不等式组的解集是解题的关键.5.(2022·重庆秀山·七年级期末)关于x的方程k﹣2x=3(k﹣2)的解为非负数,且关于x 的不等式组−2(−1)≤32r3≥有解,符合条件的整数k的值的和为()A.3B.4C.5D.6【答案】C【分析】求出每个不等式的解集,根据不等式组有解得出k≥-1,解方程得出x=-k+3,由方程的解为非负数知-k+3≥0,据此得k≤3,从而知-1≤k≤3,继而可得答案.【详解】解:−2(−1)≤32r3≥解不等式x-2(x-1)≤3,得:x≥-1,解不等式2r3≥,得:x≤k,∵不等式组有解,∴k≥-1,解方程k-2x=3(k-2),得:x=-k+3,∵方程的解为非负数,∴-k+3≥0,解得k≤3,则-1≤k≤3,∴符合条件的整数k的值的和为-1+0+1+2+3=5,故C正确.故选:C.【点睛】本题考查的是解一元一次方程和一元一次不等式组,正确求出每一个不等式解集和一元一次方程的解是基础,熟知“同大取大;同小取小;大小小大中间找;大大小小找不到”的原则是解答此题的关键.6.(2022·重庆涪陵·七年级期末)若关于x的一元一次不等式组−5−≤13(−p3+1>4+2有解,则符合条件的所有正整数a的和为()A.50B.55C.66D.70【答案】B【分析】先解不等式组得OK154<−1,根据关于的一元一次不等式组−5−N 13(−p 3+1>4+2有解可得K154<−1,从而得出正整数,再求和即可得解.【详解】解:解不等式组−5−N 13(−p 3+1>4+2,得OK154<−1,∵关于的一元一次不等式组−5−N 13(−p 3+1>4+2有解,∴K154<−1,∴<11,∴正整数的和为1+2+3+4+5+6+7+8+9+10=55,故选:B .【点睛】本题主要考查了一元一次不等式组的整数解,熟练掌握不等式组的解法是解此题的关键.7.(2022·福建漳州·七年级期末)若不等式组−4<0≥有解,则m 的取值范围为()A .m <4B .m >4C .≤4D .≥4【答案】A【分析】先求出不等式−4<0的解集,再根据已知不等式组有解即可得出m 的范围.【详解】解:解不等式−4<0得:<4,∵不等式组−4<0≥有解,∴m <4,故选:A .【点睛】本题考查了解一元一次不等式组,能根据不等式组的解的情况得出m 的不等式是解此题的关键.8.(2022·广东广州·七年级期末)若不等式组+9<5+1>的解集为>2,则m 的取值范围是()A .≤2B .<2C .≥2D .>2【答案】A【分析】先解不等式组,再根据不等式组的解集为>2,可得答案.【详解】解:+9<5+1①>t 由①得:>2,∵不等式组+9<5+1>的解集为>2,∴≤2.故选:A【点睛】本题考查的是一元一次不等式的解法,根据不等式组的解集求解参数的取值范围,理解“同大取大”是解本题的关键.9.(2022·重庆·巴川初级中学校八年级期中)若关于x的一元一次不等式组−44−2≤123K12<+3的解集是≤,且关于y的方程2−−3=0有非负整数解,则符合条件的所有整数a的个数为()个A.5B.4C.3D.2【答案】A【分析】先解不等式组,根据不等式组的解集可得<7,再解一元一次方程可得=r32,然后根据r32为非负整数即可得.【详解】解:−44−2≤12①3K12<+3②,解不等式①得:≤,解不等式②得:<7,∵这个不等式组的解集是≤,∴<7,解方程2−−3=0得:=r32,∵关于的方程2−−3=0有非负整数解,∴r32≥0,且为非负整数,解得≥−3,在−3≤<7内,当整数取−3,−1,1,3,5时,r32为非负整数,则符合条件的所有整数的个数为5个,故选:A.【点睛】本题考查了解一元一次不等式组和一元一次方程,熟练掌握不等式组的解法是解题关键.10.(2022·广东云浮·七年级期末)若关于的一元一次不等式组−4<0+≥6有解,则的取值范围为()A.>−2B.≤2C.>2D.<−2【答案】C【分析】分别求出每一个不等式的解集,根据不等式组的解集得出关于m的不等式,解之即可.【详解】解:解不等式x﹣4<0,得:x<4,解不等式x+m≥6,得:x≥6﹣m,∵不等式组有解,∴6﹣m<4,解得m>2,故选:C.【点睛】本题考查的是解一元一次不等式组,正确求出每一个不等式解集是基础,熟知“同大取大;同小取小;大小小大中间找;大大小小找不到”的原则是解答此题的关键.11.(2022·重庆·四川外国语大学附属外国语学校七年级期末)若实数使关于的不等式组3−2+3≤r322K2≤−1有解且至多有3个整数解,且使关于的方程2=4K3+2的解为非负整数解,则满足条件的所有整数的和为()A.15B.11C.10D.6【答案】C【分析】先解一元一次不等式组,根据题意可得1⩽K22<4,再解一元一次方程,根据题意可得6−2⩾0且6−2为整数,从而可得4⩽N6且6−2为整数,然后进行计算即可解答.【详解】解:3−2+3⩽r32①2K2⩽−1②,解不等式①得:O1,解不等式②得:N K22,∵不等式组有解且至多有3个整数解,∴1⩽K22<4,∴4⩽<10,2=4K3+2,解得:=6−2,∵方程的解为非负整数解,∴6−2⩾0且6−2为整数,∴N6且6−2为整数,∴4⩽N6且6−2为整数,∴=4或6,∴满足条件的所有整数的和为4+6=10,【点睛】本题考查了一元一次方程的解,一元一次不等式组的整数解,准确熟练地进行计算是解题的关键.12.(2022·山东烟台·七年级期末)已知关于的不等式−<0,5−2≤1的整数解共有2个,则m的取值范围为()A.>3B.≤4C.3<<4D.3<≤4【答案】D【分析】先解出不等式组的解集,再根据不等式−<0,5−2≤1的整数解共有2个,即可得到m的取值范围.【详解】解:−<0①5−2≤1②,解不等式①,得<,解不等式②,得≥2,由题意可知,不等式组有解集,∴原不等式组的解集是2≤<,∵不等式−<0,5−2≤1的整数解共有2个,∴这两个整数解是2,3,∴3<m≤4,故选:D.【点睛】此题考查了由一元一次不等式组解集的情况求参数,解题的关键是明确解一元一次不等式组的方法,知道求不等式组的解集应遵循的原则:同大取较大,同小取较小,小大大小中间找,大大小小解不了.13.(2022·福建·泉州市城东中学七年级期中)若关于x的方程42−+=B的解为正整数,且关于x2>2≤0有解,则满足条件的所有整数a的值有()个.A.1B.2C.3D.4【答案】B【分析】先求出方程的解x=8r3,根据方程的解为正整数求出a的值,再根据不等式组有解得出a<1,得出a的值,即可得出选项.【详解】解:4(2﹣x)+x=ax,ax﹣x+4x=8,(a+3)x=8,x=8r3,∵关于x的方程4(2﹣x)+x=ax的解为正整数,∴a+3=1或a+3=2或a+3=4或a+3=8,解得:a=﹣2或a=﹣1或a=1或a=5;2>2s≤0②解不等式①得:x<1,解不等式②得:x≥a,∵关于x2>2≤0有解,∴a<1,∴a只能为﹣1和﹣2,故选B.【点睛】考查了解一元一次方程、解一元一次不等式和解一元一次不等式组等知识点,能得出a的取值范围和a的值是解此题的关键.14.(2022·重庆荣昌·七年级期末)若关于x的方程B+32−2K13=1的解为正数,且a使得关于y的不等式组+3>13−<1恰有两个整数解,则所有满足条件的整数a的值的和是()A.0B.1C.2D.3【答案】B【分析】解方程B+32−2K13=1得=54−3,根据解为正数,得<43,根据关于y的不等式组+3>13−<1恰有两个整数解,得−1<<2,进而根据为整数,即可求解.【详解】解:B+32−2K13=13B+3−22−1=6解得=54−3∵关于x的方程B+32−2K13=1的解为正数,∴54−3>0∴4−3>0解得<43+3>1①3−<1②解不等式①得:>−2解不等式②得:<r13关于y的不等式组+3>13−<1有解,∴不等式组的解集为:−2<<r13∵关于y的不等式组+3>13−<1恰有两个整数解,∴0<r13≤1,解得−1<≤2,∵<43,∵−1<<43,∵为整数,则=0,1,其和为1.故选B【点睛】本题考查了解一元一次方程,求一元一次不等式组的解集,求不等式组的整数解,正确的计算是解题的关键.15.(2022·江苏镇江·七年级期末)关于x的不等式组≤−1>的整数解只有2个,则m的取值范围为()A.>−3B.<−2C.−3≤<−2D.−3<≤−2【答案】C【分析】先求出两个不等式的解,再根据“不等式组的整数解只有2个”即可得.【详解】解:不等式组的解集为:<≤−1,∵不等式组的整数解只有2个,∴不等式的整数解为-2,-1,∴−3≤<−2,故选:C.【点睛】此题考查了一元一次不等式组的整数解,熟练掌握运算法则是解本题的关键.16.(2022·黑龙江佳木斯·七年级期末)已知不等式组+>1,2−<2解集为−2<<3,则−2022的值为()A.1B.2022C.−1D.−2022【答案】A【分析】按照解一元一次不等式组的步骤进行计算,可得1-a=-2,2+2=3,即可求出a,b的值,最后再代入式子中进行计算即可解答.【详解】解:+>1①2−<2②,解不等式①得:x>1-a,解不等式②得:x<2+2,∴原不等式组的解集为:1-a<x<2+2,∵该不等式组的解集为-2<x<3,∴1-a=-2,2+2=3,∴a=3,b=4,∴(a-b)2022=(3-4)2022=(-1)2022=1,故选:A.【点睛】本题考查了一元一次不等式组、有理数的乘方,熟练掌握解一元一次不等式组是解题的关键.17.(2022·重庆丰都·七年级期末)若关于x的不等式组K24<K133−≤3−恰有2个整数解,且关于x、y的方程组B+=43−=0也有整数解,则所有符合条件的整数m的乘积为()A.−6B.−2C.2D.0【答案】C【分析】先求出不等式组的解集,根据一元一次不等式组的整数解得出关于m的不等式组,求出m的取值范围,根据m为整数得出m为-3,-2,-1,0,求出方程组的解,再根据方程组有整数解得出答案即可.【详解】解:不等式组K24<K133−≤3−整理得>−2≤r3 4,∵关于x的不等式组K24<K133−≤3−恰有2个整数解,即-1和0,∴0≤r34<1,解得:-3≤m<1,∵m为整数,∴m为-3,-2,-1,0,解方程组B+=43−=0得:=4r3=12r3,∵方程组有整数解,∴m只能为-2或-1,∴所有符合条件的整数m的乘积为2,故选:C.【点睛】本题考查了解二元一次方程组,解一元一次不等式组,一元一次不等式组的整数解等知识点,能求出m的范围是解此题的关键.18.(2022·重庆·七年级期末)若关于x的不等式组K24<K134−≤4−恰有2个整数解,且关于x,y的方程组B+=43−=0也有整数解,则所有符合条件的整数m的和为()A.−2B.−3C.−6D.−7【答案】D【分析】表示出不等式组的解集,根据解集中恰有2个整数解,确定出m的范围,再由方程组有整数解,确定出满足题意的整数m的值,求出之和即可.【详解】解:不等式组整理得:>−2≤r45,解得:-2<x≤r45,∵不等式组恰有2个整数解,即-1,0,∴0≤r45<1,解得:-4≤m<1,即整数m=-4,-3,-2,-1,0,解方程组B+=43−=0得:=4r3=12r3,∵x,y为整数,∴m+3=±1或±2或±4,解得:m=-4或-2或-1,则m值的和为-4-2-1=-7.故选:D.【点睛】此题考查了一元一次不等式的整数解,以及二元一次方程组的解,熟练掌握各自的解法是解本题的关键.19.(2022·重庆铜梁·七年级期末)若a使关于x的不等式组4+2≥+−23+3≥2有三个整数解,且使关于y的方程2+=5r62有正数解,则符合题意的整数a的和为()A.12B.9C.5D.3【答案】B【分析】不等式组整理后,根据有三个整数解,表示出解集,确定出a的范围,再由方程有正数解,确定出符合题意整数a的值,求出之和即可.【详解】解:不等式组整理得:≥K83≤32,∵不等式组有三个整数解,∴K83≤≤32,整数解为-1,0,1,∴−2<−83≤1解得2<a≤5,∴整数解a=3,4,5,方程去分母得:4y+2a=5y+6,解得:y=2a-6,∵方程有正数解,∴2a-6>0,解得:a>3,综上所述,a=4,5,之和为4+5=9.故选:B.【点睛】此题考查了一元一次不等式组的整数解,以及一元一次方程的解,弄清题意是解本题的关键.20.(2022·浙江舟山·八年级期末)对于任意实数p、q,定义一种运算:p@q=p-q+pq,例如2@3=2-3+2×3.请根据上述定义解决问题:若关于x的不等式组2@<4M2≥有3个整数解,则m的取值范围为是()A.-8≤m<-5B.-8<m≤-5C.-8≤m≤-5D.-8<m<-5【答案】B【分析】利用题中的新定义得到不等式组,然后解不等式组,根据不等式组有3个整数解,确定出m的范围即可.【详解】解:根据题中的新定义得到不等式组:2−+2<4①−2+2≥t,解不等式①得:x<2,解不等式②得:≥r23,∴不等式组的解集是r23≤x<2,∵不等式组有3个整数解,即整数解为﹣1,0,1,∴﹣2<r23≤﹣1,解得:﹣8<m≤﹣5.故选:B.【点睛】此题考查了新定义下的实数运算、解一元一次不等式组、求一元一次不等式组的整数解等知识,弄清题中的新定义是解本题的关键.21.(2022·重庆九龙坡·七年级期末)整数a使得关于x,y的二元一次方程组B−=113−=1的解为正整数(x,y均为正整数),且使得关于x+8)≥7−<2无解,则所有满足条件的a的和为()A.9B.16C.17D.30【答案】C【分析】表示出方程组的解,由a为整数且方程组的解为正整数确定出a的值,再由不等式组无解,确定出满足题意a的值,求出之和即可.【详解】解:方程组B−=11①3−=1②,①−②得:(a−3)x=10,解得:x=10K3,把x=10K3代入②得:30K3−=1,解得:=33−K3,∵a为整数,x,y为正整数,∴a−3=1或2或5或10,解得:a=4或5或8或13,不等式组整理得:≥10<+2,∵不等式组无解,∴a+2≤10,解得:a≤8,∴满足题意a的值为4或5或8,之和为4+5+8=17,故C正确.故选:C.【点睛】本题主要考查了解一元一次不等式组,以及二元一次方程组的解,熟练掌握各自的解法是解本题的关键.22.(2022·四川资阳·七年级期末)若关于的一元一次不等式组{2(+1)<+3−≤+5的解集是<1,且为非正整数,则满足条件的的取值有()个.A.1B.2C.3D.4【答案】C【分析】不等式组整理后,根据已知解集确定出a的范围,进而确定出非负正整数解的个数即可.【详解】解:不等式组整理得:<1≤2+5,∵不等式组的解集为x<1,∴2a+5≥1,解得:a≥-2,则非负正整数a=-2,-1,0,共3个.故选:C.【点睛】此题考查了一元一次不等式组的整数解,熟练掌握不等式组的解法是解本题的关键.23.(2022·重庆江北·七年级期末)已知关于x的不等式组>s≤5至少有三个整数解,关于y的方程−3=12的解为正数,则满足条件的所有整数a的值之和为()A.−7B.−3C.0D.3【答案】B【分析】首先根据不等式组整数解的情况确定a<3;再根据方程y−3a=12解的情况确定a >−4.从而确定a的取值范围,再进一步确定整数a的值,进而求出所有整数a的值和.【详解】解:∵不等式组>≤5至少有三个整数解,∴a<3,解方程y−3a=12得,y=12+3a,∵方程的解y为正数,∴12+3a>0,∴a>−4,∴a的取值范围为:−4<a<3,∴整数a的值为:−3,−2,−1,0,1,2,∴整数a的值之和为:−3+(−2)+(−1)+1+2+0=−3,故选:B.【点睛】本题主要考查了根据不等式组解集的情况确定参数的取值范围,解这类题目的关键是题目中有关字母取值范围的确定.24.(2022·重庆巴南·七年级期末)若关于x的不等式组2−1>7−≤0无解,且关于x的方程ax=3x+2的解为整数,则满足条件的所有整数a的和为()A.12B.7C.3D.1【答案】B【分析】解不等式组,根据不等式组无解得出≤4,解方程得出=2K3,结合方程的解为整数知=1,2,4,从而得出答案.【详解】解:由2−1>7,得:>4,由−≤0,得:≤,∵不等式组无解,∴≤4,解关于x的方程ax=3x+2,得:=2K3,∵方程的解为整数,∴=1,2,4,则满足条件的所有整数a的和为1+2+4=7,故选:B.【点睛】本题考查了解一元一次不等式组,正确求出每一个不等式解集是基础,熟知“同大取大;同小取小;大小小大中间找;大大小小找不到”的原则是解题的关键.25.(2022·重庆·七年级期末)若关于的一元一次不等式组−≥02+1<3无解,关于的一元一次方程2(−3)+=0的解为非负数,则满足所有条件的整数的和为()A.14B.15C.20D.21【答案】D【分析】分别求出每一个不等式的解集,根据口诀:同大取大、同小取小、大小小大中间找、大大小小找不到,确定不等式组的解集.【详解】解:∵−≥0,∴≥,∵2+1<3,∴<1,∵不等式组无解,∴≥1,∵2(−3)+=0,∴=3−2,∵关于的一元一次方程2(−3)+=0的解为非负数,∴=3−2≥0,∴≤6,∴1≤≤6,∴满足所有条件的整数为:1,2,3,4,5,6,∴它们的和为:1+2+3+4+5+6=21.故选:D.【点睛】此题考查的是解—元一次不等式组,正确求出每一个不等式解集是基础,熟知“同大取大,同小取小,大小小大中间找,大大小小找不到”的原则是解答此题的关键.26.(2022·重庆北碚·七年级期末)若关于x的不等式组+2−1≤−52r3≤无解,且关于y 的一元一次方程2(y+1)+3k=11的解为非负数,则符合条件的所有整数的和是()A.2B.3C.5D.6【答案】D【分析】先解出方程的解和不等式组的解集,再根据题意即可确定k的取值范围,从而可以得到符合条件的整数,然后相加即可.【详解】解:+2−1≤−5①2r3≤t,由不等式①,得:x≤-1,由不等式②,得:x≥k,∵关于x的不等式组+2−1≤−52r3≤无解,∴k>-1,由方程2(y+1)+3k=11,得y=9−32,∵关于y的方程2(y+1)+3k=11的解为非负数,∴9−32≥0,得k≤3,由上可得,k的取值范围是-1<k≤3,∴k的整数值为0,1,2,3,∴符合条件的整数k的值的和为:0+1+2+3=6,故选:D.【点睛】本题考查解一元一次方程、解一元一次不等式组,解答本题的关键是求出k的取值范围.27.(2022·福建省福州屏东中学七年级期末)已知关于x,y的方程组−3=4−+=3,其中−3≤≤1,若=−,则M的最小值为()A.−2B.−1C.2D.3【答案】B【分析】由①+②得x-y=2+t,将=−代入得t=M-2,再根据−3≤≤1可得−1≤≤3即可得出答案.【详解】解:−3=4−s+=3t①+②得2x-2y=4+2t即x-y=2+t,∵=−,∴M=2+t,∴t=M-2∵−3≤≤1,∴−3≤−2≤1即−1≤≤3∴M的最小值为-1故选:B.【点睛】本题考查含参二元一次方程组参数满足的条件求字母的最小值问题,用整体思想直接找到两个参数之间的关系是解题的关键.28.(2022·重庆·巴川初级中学校七年级期中)如果整数m使得关于x的不等式组>0 ≥−4有解,且使得关于x,y的二元一次方程组B+=52+=1的解为整数(x,y均为整数),则符合条件的所有整数m的个数为()A.2个B.3个C.4个D.5个【答案】C【分析】不等式组整理后,根据有解确定出m的范围,再由方程组的解为整数确定出满足题意m的值,判断即可.>0①≥−4②由①得,>,由②得,≤4>0,≥−4有解,∵不等式组的解集为m<x≤4,∴m<4,方程组B+=5①2+=1②,①-②得:(m﹣2)x=4,解得:x=4K2,把x=4K2代入②得:8K2+y=1,解得:y=1−8K2,∵x与y都为整数,∵m<4,∴m-2<2,且m≠2,∴m-2=1或﹣1或﹣2或﹣4,解得:m=3或1或0或﹣2,故符合条件的所有整数m的个数为4个.故选:C.【点睛】此题考查了二元一次方程组的整数解,解一元一次不等式组,熟练掌握各自的解法是解本题的关键.29.(2022·重庆忠县·七年级期末)若整数a使关于x≤2r59Kr13至少有1个整数解,且使关于x,y的方程组B+2=−4+=4的解为正整数,那么所有满足条件的a值之和为()A.﹣17B.﹣16C.﹣14D.﹣12【答案】B【分析】根据不等式组求出的范围,然后再根据关于,的方程组B+2=−4+=4的解为正整数得到−2=−4或−6或−12−2=−6,从而确定所有满足条件的整数的值的和.【详解】⩽2r59Kr13整理得:N2>+2,由不等式组至少有1个整数解,得到+2<2,解得:<0,解方程组B+2=−4+=4,得=−12K2=4r4K2,∵关于,的方程组B+2=−4+=4的解为正整数,∴−2=−4或−6或−12,解得=−2或=−4或=−10,∴所有满足条件的整数的值的和是−16.故选:B.【点睛】本题考查解一元一次不等式组,学生的计算能力以及推理能力,解题的关键是根据不等式组以及二元一次方程组求出的范围,本题属于中等题型.30.(2022·重庆綦江·七年级期末)如果关于x 、y 的方程组3+2=+12+=−1中x >y ,且关于x 的不等式组K12<1+35+2≥+有且只有4个整数解,则符合条件的所有整数m 的和为()A .8B .9C .10D .11【答案】D【分析】解二元一次方程组求出x ,y 的值,根据x >y 得到关于m 的不等式,根据不等式组只有4个整数解求出m 的取值范围,取交集,找出符合条件的所有整数m ,即可求解.【详解】解:解方程组3+2=+12+=−1得=−3=5−,∵x >y ,∴−3>5−,∴>4,解不等式组K12<1+35+2≥+得<5≥K24,∴K24≤<5,∵关于x 的不等式组K12<1+35+2≥+有且只有4个整数解,∴0<K24≤1,∴2<≤6,∴4<≤6,∴整数m 为5和6,∴符合条件的所有整数m 的和为11.故选:D .【点睛】本题考查解一元一次不等式组和解二元一次方程组,根据不等式组只有4个整数解求出m 的取值范围是解题的关键.二、填空题(共15小题)31.(2022·江苏·南京市第一中学泰山分校七年级阶段练习)若不等式组>−2<3无解,则a 的取值范围为________.【答案】≥5【分析】根据不等式组无解,则两个不等式的解集没有公共部分解答.【详解】解:−2<3解得<5,∵不等式组>−2<3无解,∴≥5;故答案为:≥5.【点睛】本题主要考查了一元一次不等式组解集的求法,其简便求法就是用口诀求解.求不等式组解集的口诀:同大取大,同小取小,大小小大中间找,大大小小找不到(无解).32.(2022·湖北孝感·七年级期末)若关于x的不等式组2−1>4−>0的解集为>3,那么a的取值范围是_____.【答案】≤3【分析】先解出每个不等式的解集,再根据不等式组的解集为>3,,即可得到a的取值范围.【详解】解:2−1>4①−>0②,由不等式①,得:x>3,由不等式②,得:x>a,∵关于x的不等式组2−1>4−>0的解集为>3,∴a≤3,故答案为:a≤3.【点睛】本题考查解一元一次不等式组,解答本题的关键是明确解一元一次不等式的方法.33.(2022·湖南永州·八年级期末)若关于x的不等式组{2−≥0+≤0的解集为3≤x≤4,则关于x的不等式ax+b<0的解集为_____.【答案】>32【分析】分别求出每一个不等式的解集,确定不等式组的解集,由已知解集得出、的值,代入不等式,求解即可.【详解】解:解不等式2−O0,得:O2,解不等式+N0,得:N−,∵不等式组的解集为3⩽N4,∴2=3,−=4,则=−4,=6,∴关于的不等式B+<0为:−4+6<0,解得:>32,故答案为:>32.【点睛】本题考查的是解一元一次不等式组,解题的关键是掌握“同大取大;同小取小;大小小大中间找;大大小小找不到”的原则.34.(2022·北京平谷·七年级期末)若<的解集中的最大整数解为2,则a的取值范围是_________.【答案】2<≤3【分析】根据最大整数解的意义即可得到a的取值范围.【详解】解:∵x<a的解集中的最大整数解为2,∴2<a≤3,故答案为2<a≤3.【点睛】此题考查了最大整数解的意义,正确理解最大整数解的意义及范围是解题的关键.35.(2022·湖北·武汉市光谷实验中学七年级阶段练习)若关于的不等式组,3−24<K13 2−≤2−3有且只有两个整数解,=2,则整数的值为______.【答案】4【分析】先求出每个不等式的解集,再求出不等式组的解集,最后根据已知得出关于的不等式组,进一步求得的整数解.【详解】解:3−24<K13①2−≤2−3②,解不等式①得:>1310,解不等式②得:≤3r27,∴不等式组的解集为:1310<≤3r27,∵不等式组只有两个整数解,1<1310<2,∴不等式组的两个整数解为:2和3,∴3≤3r27<4,解得:193≤<263,∵=2,∵196≤<266,∴整数的值为4.故答案为:4.【点睛】本题考查了解一元一次不等式组,不等式组的整数解的应用,解此题的关键是求出关于的不等式组,难度适中.36.(2022·河南·鹿邑县基础教育研究室七年级期末)已知关于的不等式组2−≥0−<0的整数解是−1,0,1,2,若、为整数,则−的值为______.【答案】5或6【分析】先解两个不等式,结合不等式组的整数解得出m、n的取值范围,结合m、n为整数可以确定m、n的值,代入计算可得.【详解】解:解不等式2x﹣m≥0,得:x≥12m,解不等式x﹣n<0,得:x<n,∵不等式组的整数解是﹣1,0,1,2,∴﹣2<12m≤﹣1,2<n≤3,即﹣4<m≤﹣2,2<n≤3,∵m,n为整数,∴n=3,m=﹣3或m=﹣2,当m=﹣3时,n﹣m=3﹣(﹣3)=6;当m=﹣2时,n﹣m=3﹣(﹣2)=5;综上,n﹣m的值为5或6,故选:C.【点睛】本题考查的是一元一次不等式组的整数解,正确求出每一个不等式解集是基础,熟知“同大取大;同小取小;大小小大中间找;大大小小找不到”的原则是解答此题的关键.37.(2022·黑龙江·大庆市庆新中学九年级阶段练习)关于x的不等式组2K13<2−1+>恰好只有4个整数解,则a的取值范围为_________.【答案】−2≤<−1【分析】先求出不等式组的解集,根据其只有四个整数解即可确定的取值范围.【详解】解:2K13<2①−1+>②解不等式①得<3.5,解不等式②得>+1,根据题意,可得该不等式组的解集为+1<<3.5,∵不等式组只有4个整数解∴这4个整数解为3、2、1、0,∴−1≤+1<0,解得:−2≤<−1,所以的取值范围是−2≤<−1,故答案为:−2≤<−1.【点睛】本题考查了不等式组,已知不等组解集的整数解情况确定参数的取值范围关键是灵活的表示不等式组的解集.38.(2022·湖北·+4≤0+>0的整数解的和为-5,则m的取值范围为_______【答案】32<≤2【分析】分别求出不等式组中不等式的解集,利用“大小小大取中间”表示出不等式组的解集,根据解集中整数解的和为-5,求得m的取值范围即可+4≤0+>0解不等式2+4≤0解得:≤−2解不等式12+>0解得:>−2∴不等式组的解集为−2<≤−2∵不等式组的整数解和为-5∴−4≤−2<−3解得:32<≤2故答案为:32<≤2【点睛】此题考查了一元一次不等式组的整数解,表示出不等式组的解集,根据题意找出整数解是解本题的关键.39.(2022·河南南阳·七年级期末)如果不等式组<4<3+1的解集为<3+1,则的取值范围为______.【答案】a≤1##1≥a【分析】利用不等式组确定解集的方法得到关于a的不等式,求解即可.【详解】解:∵不等式组<4<3+1的解集为x<3a+1,∴3a+1≤4,解得a≤1,故答案为:a≤1.【点睛】本题考查了确定不等式组的解集,解一元一次不等式,掌握确定一元一次不等式组。
专题训练14-《含参数的一元一次不等式组》郧西三中 薛代星类型一 根据不等式组的解集确定字母的取值范围例1 不等式组21159〉⎩⎨⎧+〉+〈+x m x x x 的解集是,则m 的取值范围练习:已知不等式组的取值范围是则的解集为a x a a x a x ,5351〈〈⎩⎨⎧+〈〈〈〈练习:若不等式组⎩⎨⎧≤≥-m x x 062无解,则求m 的取值范围练习:若不等式组⎩⎨⎧〉≤〈mx x 21有解,则求m 的取值范围练习:关于x 的不等式组⎪⎩⎪⎨⎧〉+〈--x x a x x 422)2(3有解,则求a 的取值范围类型二 根据不等式租的整数解情况确定字母的取值范围例2关于x 的不等式组⎪⎩⎪⎨⎧+〉++-〈a x x x x 4231)3(32有四个整数解,则a 的取值范围是练习:1、已知不等式组⎩⎨⎧〈+〉-bx ax 122的整数解只有5,6,求b a 和的取值范围。
2、试确定a 的取值范围,使不等式组⎪⎪⎩⎪⎪⎨⎧++〉++〉++a x a x x x )1(343450312恰有两个整数解。
类型三 根据未知数解集或者未知数间的关系确定字母的取值范围例3 已知方程组⎩⎨⎧-=++=+m y x my x 12312满足0〈+y x ,求m 的取值范围练习:已知的取值范围求且x a x b x a ,64,01623,0132〈≤=--=+-。
练习:当k 为何负整数时,方程组⎩⎨⎧-=++=+134123k y x k y x 的解适合6〈-〉y x y x 且?练习:已知⎩⎨⎧+=+=+12242k y x ky x 且的取值范围为则k y x ,01-〈-〈。
一元一次不等式(一)1、下列不等式中,是一元一次不等式的是()A 012>-x ;B 21<-;C 123-≤-y x ;D 532>+y ;2.下列各式中,是一元一次不等式的是()A.5+4>8B.2x -1C.2x ≤5D.1x -3x ≥03. 下列各式中,是一元一次不等式的是()(1)2x<y (2) (3) (4)4.用“>”或“<”号填空.若a>b,且c,则:(1)a+3______b+3; (2)a-5_____b-5; (3)3a____3b;(4)c-a_____c-b (5); (6)5.若m >5,试用m 表示出不等式(5-m )x >1-m 的解集______.二、填空题(每题4分,共20分)1、不等式122x >的解集是:;不等式133x ->的解集是:; 2、不等式组⎩⎨⎧-+0501>>x x 的解集为. 不等式组3050x x -<⎧⎨-⎩>的解集为.3、不等式组2050x x ⎧⎨-⎩>>的解集为. 不等式组112620x x ⎧<⎪⎨⎪->⎩的解集为.三.解下列不等式,并在数轴上表示出它们的解集.(1)8223-<+x x 2. x x 4923+≥-(3). )1(5)32(2+<+x x (4). 0)7(319≤+-x(5)31222+≥+x x (6)223125+<-+x x (7)7)1(68)2(5+-<+-x x (8))2(3)]2(2[3-->--x x x x(9)1215312≤+--x x (10)215329323+≤---x x x (11)11(1)223x x -<-(12))1(52)]1(21[21-≤+-x x x(13)41328)1(3--<++x x (14)⋅->+-+2503.0.02.003.05.09.04.0x x x三、解不等式组,并在数轴上表示它的解集1. ⎩⎨⎧≥-≥-.04,012x x2.⎩⎨⎧>+≤-.074,03x x 4⎪⎩⎪⎨⎧+>-<-.3342,121x x x x5.-5<6-2x <3.6.⎪⎩⎪⎨⎧⋅>-<-322,352x x x x 7.⎪⎩⎪⎨⎧->---->-.6)2(3)3(2,132x x x x 8⎪⎩⎪⎨⎧+>-≤+).2(28,142x x x 9..234512x x x -≤-≤- 10.532(1)314(2)2x x x -≥⎧⎪⎨-<⎪⎩ 11.⎪⎩⎪⎨⎧≥--+.052,1372x x x 12.⎪⎩⎪⎨⎧---+.43)1(4,1321x x x x 13.14321<--<-x四.变式练习1不等式组⎩⎨⎧+>+<+1,159m x x x 的解集是x >2,则m 的取值范围是( ).(A)m ≤2(B)m ≥2 (C)m ≤1 (D)m ≥12. k 满足______时,方程组⎩⎨⎧=-=+4,2y x k y x 中的x 大于1,y 小于1.3. 若m 、n 为有理数,解关于x 的不等式(-m 2-1)x >n .4. .已知关于x ,y 的方程组⎩⎨⎧-=++=+134,123p y x p y x 的解满足x >y ,求p 的取值范围.5. 已知方程组⎩⎨⎧-=++=+②①m y x m y x 12,312的解满足x +y <0,求m 的取值范围.6. 适当选择a 的取值范围,使1.7<x <a 的整数解:(1) x 只有一个整数解;(2) x 一个整数解也没有.7. 当310)3(2k k -<-时,求关于x 的不等式k x x k ->-4)5(的解集.8. 已知A =2x 2+3x +2,B =2x 2-4x -5,试比较A 与B 的大小.9. 当k 取何值时,方程组⎩⎨⎧-=+=-52,53y x k y x 的解x ,y 都是负数.10. 已知⎩⎨⎧+=+=+122,42k y x k y x 中的x ,y 满足0<y -x <1,求k 的取值范围.11. 已知a 是自然数,关于x 的不等式组⎩⎨⎧>-≥-02,43x a x 的解集是x >2,求a 的值.12. 关于x 的不等式组⎩⎨⎧->-≥-123,0x a x 的整数解共有5个,求a 的取值范围.13. k 取哪些整数时,关于x 的方程5x +4=16k -x 的根大于2且小于10?14. 已知关于x ,y 的方程组⎩⎨⎧-=-+=+34,72m y x m y x 的解为正数,求m 的取值范围.15. 若关于x 的不等式组⎪⎪⎩⎪⎪⎨⎧+<+->+a x x x x 322,3215只有4个整数解,求a 的取值范围.。
一元一次不等式组含参数经典练习题1、已知方程组begin{cases}2x+y=1+3m\\x+2y=1-mend{cases}满足$x+y-1$ B。
$m>1$ C。
$m<-1$ D。
$m<1$2、若不等式组begin{cases}x+9<5x+1\\x>m+1end{cases}的解集为$x>2$,则$m$的取值范围是()A。
$m\leq 2$ B。
$m\geq 2$ C。
$m\leq 1$ D。
$m>1$3、若不等式组begin{cases}a-x>\dfrac{1}{x+1}\\x+1>aend{cases}无解,则$a$的取值范围是()A。
$a\leq -1$ B。
$a\geq -1$ C。
$a-1$4、如果不等式组begin{cases}2x-1>3(x-2)end{cases}的解集是$x2$ C、$m<2$ D、$m\geq 2$5、如果不等式组begin{cases}dfrac{x}{2}+a\geq 2\\2x-b<3end{cases}的解集是$0\leq x<1$,那么$a+b$的值为.6、若不等式组begin{cases}1-2x>x-2\\x+a\geq 0end{cases}有解,则$a$的取值范围是()A。
$a>-1$ B。
$a\geq -1$ C。
$a\leq 1$ D。
$a<1$7、关于$x$的不等式组begin{cases}x>2\\x<3end{cases}的解集是()$x\in (\。
\ )$ 8、已知关于$x$的不等式组begin{cases}x>-3\\x\leq 1end{cases}的解集是()$x\in (\。
\ )$ 9、若不等式组begin{cases}15>x-3\\x+\dfrac{2}{3}<x+aend{cases}的解集是$x>-1$,则$m=$()$m=$10、关于$x$的不等式组begin{cases}2x+2<3\\dfrac{x+2}{3}>x+aend{cases}只有4个整数解,则$a$的取值范围是()A。
完整版)一元一次不等式组练习题及答案(经典)1、选择题1、选B。
解集为2<x<3的不等式组是x<3且x>2.2、选B。
根据题意可列出不等式组:a<1+a,1+a<-a,-a<a,解得a<0.3、选D。
将不等式组化简可得x≤1或x>2,所以解集在数轴上表示为(-∞,1]∪(2,+∞)。
4、选C。
将不等式组化简可得2<x<5/3,所以整数解的个数是3个。
5、选C。
根据题意可列出不等式组:2x-6>0,x-5<0,解得-5<x<3.6、选D。
将每个不等式化简,得到①x>1,②x>4,③x <2,④x<3,所以选项D符合条件。
7、选B。
根据题意可得2-b<a<2-a,即b-2<x<a-2.8、选A。
将方程组化简可得x=(3m-2)/7,y=(8x-m)/3,代入x>y中得到4m<25,即m>9/4,所以m的取值范围是m>xxxxxxx。
二、填空题9、解得y<1或y>3,所以取值范围为y<1或y>3.10、将不等式组化简可得x<2或x≥3,所以解集是(-∞,2)∪[3,+∞)。
11、将不等式组化简可得x≤-0.25或x≥0.8333,所以解集是(-∞,-0.25]∪[0.8333,+∞)。
12、将不等式组化简可得m≤0.5或m≥1.5,所以取值范围是m≤0.5或m≥1.5.13、解得x≥2,所以解集为[2,+∞)∩(-∞,5)=[2,5)。
14、将不等式组化简可得x>a且x>2,所以解得a<2.15、将不等式组化简可得x<2b-1且x>(x+3)/2,所以解得b>3/2且a<1/2,所以(a+1)(b-1)=ab+a-b+1=(3/2)a+1/2.16、将不等式组化简可得x<4a-1且x>x-2b-3,所以解得a<(x+1)/4且b<(x-3)/2,所以(a+1)(b-1)<(x+1)/4·(x-3)/2=(x²-2x-3)/8.1)解不等式组begin{cases}3x-2<8\\2x-1>2end{cases}化简得begin{cases}x<10/3\\x>3/2end{cases}因此解集为$(3/2,10/3)$。
含参数的一元一次不等式题选
1、若关于x 的方程233=+a x 的解是正数,则a 的取值范围是 。
变式:若关于x 的方程233=+a x 的解是非负数,则a 的取值范围是 。
2、若关于x 的方程4
152435-=-m m x 的解是非正数,则m 的取值范围是 。
3、已知实数x ,y ,m 满足032=++++m y x x ,且y 为负数,则m 的取值范围是 。
4、已知02=-y x 且y x >-5,则x ,y 的取值范围分别是 , 。
5、若关于x 的方程3x+2a=0的解是2,求a 的值。
变式:若关于x 的不等式023≤+a x 的解集是2≤x ,求a 的值。
6、如果方程3x+2a=12和方程3x-4=2的解相同,求a 的值。
变式:如果关于x 的不等式1223≤+a x 和不等式243≤-x 的解集相同,求a 的值。
7、如果关于x 的不等式
m x x --≥+21232的解集为2≤x ,求m 的值
8、已知关于x 的方程
m x m x =--+2
123的解的负数,求m 的取值范围。
9、已知关于x ,y 的方程组⎩⎨⎧=+=-a y x y x 623的解满足不等式3<+y x ,求实数a 的取值范围。
解一元一次不等式专项练习50题(有答案)之老阳三干创作1.,2.﹣(x﹣1)≤1,3.﹣1>.4.x+2<,5..6.,7.≥,8.9.10.>, 11.,12..13.,14.3x ﹣,15.3(x﹣1)+2≥2(x﹣3).16., 17.10﹣4(x﹣4)≤2(x﹣1), 18.﹣1<.19..20.≤.21.,22.,23.≥.24.>1.25..26.,27.≥, 28.;29. .30.≤31., 32.(x+1)≤2﹣x33.2(5x+3)≤x﹣3(1﹣2x)34.≤+1.35.;36. .37..38.4x+3≥3x+5.39.2(x+2)≥4(x﹣1)+7.40.>x﹣141.2(3﹣x)<x﹣3.42.3(x+2)≤5(x﹣1)+7,43.1﹣≥44.2(x+3)﹣4x>3﹣x.45.2(1﹣2x)+5≤3(2﹣x)46.,47..48.2﹣>3+.49.4(x+3)﹣<2(2﹣x)﹣(x ﹣)50..解不等式50题参考答案:1.解:去分母得:3(x+1)>2x+6,去括号得:3x+3>2x+6,移项、合并同类项得:x>3,∴不等式的解集为x>32.解:去分母得:x+1﹣2(x﹣1)≤2,∴x+1﹣2x+2≤2,移项、合并同类项得:﹣x≤﹣1,不等式的两边都除以﹣1得:x≥13.解:去分母得2(x+4)﹣6>3(3x﹣1),去括号得2x+8﹣6>9x﹣3,移项得2x﹣9x>﹣3﹣8+6,合并同类项得﹣7x>﹣5,化系数为1得x <4.解; x+2<,去分母得:3x+6<4x+7,移项、合并同类项得:﹣x<1,不等式的两边都除以﹣1得:x>﹣1,∴不等式的解集是x>﹣15.解:去分母,得 6x+2(x+1)≤6﹣(x﹣14)去括号,得 6x+2x+2≤6﹣x+14…(3分)移项,合并同类项,得 9x≤18 …(5分)两边都除以9,得 x≤26.解:去分母得:2(2x﹣3)>3(3x﹣2)去括号得:4x﹣6>9x﹣6移项合并同类项得:﹣5x>0∴x<07.解:去分母得,3(3x﹣4)+30≥2(x+2),去括号得,9x﹣12+30≥2x+4,移项,合并同类项得,7x≥﹣14,系数化为1得,x>﹣28.解:x﹣3<24﹣2(3﹣4x),x﹣3<24﹣6+8x,x﹣8x<24﹣6+3,﹣7x<21,x>﹣39.解:化简原不等式可得:6(3x﹣1)≤(10x+5)6,即8x≥﹣16,可求得x≥﹣210.解:去分母,得3(x+1)﹣8>4(x﹣5)﹣8x,去括号,得3x+3﹣8>4x﹣20﹣8x,移项、合并同类项,得7x>﹣15,系数化为1,得x >﹣11.解:去分母,得x+5﹣2<3x+2,移项,得x﹣3x<2+2﹣5,合并同类项,得﹣2x<﹣1,化系数为1,得x >12.解:去分母,得3(x+1)≥2(2x+1)+6,去括号,得3x+3≥4x+2+6,移项、合并同类项,得﹣x≥5,系数化为1,得x≤﹣513.解:去分母,得2(2x﹣1)﹣24>﹣3(x+4),去括号,得4x﹣2﹣24>﹣3x﹣12,移项、合并同类项,得 7x>14,两边都除以7,得x>214.解:去分母得,6x﹣1<2x+7,移项得,6x﹣2x<7+1,合并同类项得,4x<8,化系数为1得,x<215.解:3(x﹣1)+2≥2(x﹣3),去括号得:3x﹣3+2≥2x﹣6,移项得:3x﹣2x≥﹣6+3﹣2,解得:x≥﹣516.解:去分母得:2(x﹣1)﹣3(x+4)>﹣12,去括号得:2x﹣2﹣3x﹣12>﹣12,移项得:2x﹣3x>﹣12+2+12,合并得:﹣x>2,解得:x<﹣217.解:去括号得:10﹣4x+16≤2x﹣2,移项合并得:﹣6x≤﹣28,解得:x ≥18.解:去分母得,3(x+5)﹣6<2(3x+2),去括号得,3x+15﹣6<6x+4,移项、合并同类项得,5<3x,把x的系数化为1得x >.19.解:∵∴3(x+5)﹣6<2(3x+2)∴3x+15﹣6<6x+4∴3x﹣6x<4﹣15+6∴﹣3x<﹣5∴x20.解:去分母得30﹣2(2﹣3x)≤5(1+x),去括号得30﹣4+6x≤5+5x,移项得6x﹣5x≤5+4﹣30,合并得x≤﹣2121.解:去分母得,2(2x﹣1)﹣6x<3x+3,去括号得,4x﹣2﹣6x<3x+3,移项得,4x﹣6x﹣3x<3+2,合并同类项得,﹣5x<5,系数化为1得,x>﹣1.故此不等式的解集为:x>﹣122.解:去分母得,2(2x﹣5)>3(3x+4)+18,去括号得,4x﹣10>9x+12+18,移项得,4x﹣9x>12+18+10,合并同类项得,﹣5x>40,系数化为1得,x<﹣823.解:≥1﹣,去分母得:2(2x﹣1)≥6﹣3(5﹣x),去括号得:4x﹣2≥6﹣15+3x,移项合并得:x≥﹣724.解:原不等式可变成:2(x+4)﹣3(3x﹣1)>6,2x+8﹣9x+3>6,﹣7x>﹣5,x <25.解:原不等式可化为,6(2x﹣1)≥10x+1,去分母得,12x﹣6≥10x+1,合并同类项得,2x≥7,把系数化为1得,x ≥26.解:去分母得,2(2x﹣1)﹣6≤3(5x﹣1),去括号得,4x﹣2﹣6≤15x﹣3,移项得,4x﹣15x≤﹣3+2+6,合并同类项得,﹣11x≤5,化系数为1得,x≥﹣27.解:去分母,得32﹣2(3x﹣1)≥5(x+3)+8;去括号,得32﹣6x+2≥5x+15+8;移项,得﹣6x﹣5x≥15+8﹣32﹣2;合并同类项,得﹣11x≥﹣11;系数化为1,得x≤128.解:(1)在不等式的左右两边同乘以2得,(3﹣x)﹣6≥0,解得:x≤﹣3,29. (2)在不等式的左右两边同乘以12得,6(2x﹣1)﹣4(2x+5)<3(6x﹣7),解得:x30.解:不等式两边都乘以8得,32﹣2(3x﹣1)≤5(x+3)+8,去括号得,32﹣6x+2≤5x+15+8,移项得,11≤6x+5x,∴x≥131.解:∵,∴12x﹣6﹣8x﹣20<18x﹣21﹣12,∴14x>7,∴32.解:不等式两边同时乘以2,得:x+1≤4﹣2x,移项,得:x+2x≤4﹣1,合并同类项,得:3x≤3,解得:x≤133.解:去括号得,10x+6≤x﹣3+6x,移项合并同类项得,3x≤﹣9,解得x≤﹣334.解:去分母,得3(x+2)≤4﹣x+6(2分)去括号,得3x+6≤4﹣x+6移项,得3x+x≤4+6﹣6(4分)合并同类项,得4x≤4两边同除以4,得x≤135.解:(1)去分母,得5(x﹣1)>2(3x+1),去括号,得5x﹣5>6x+2,移项,得5x﹣6x>2+5,合并同类项,得﹣x>7,系数化为1,得x<﹣7.36. 去分母,得5(3x+1)﹣3(7x﹣3)≤30+2(x﹣2),去括号,得15x+5﹣21x+9≤30+2x﹣4,移项,得15x﹣21x﹣2x≤30﹣4﹣5﹣9,合并同类项,得﹣8x≤12,系数化为1,得x≥﹣1.537.解:原不等式的两边同时乘以4,并整理得x﹣7<3x﹣2,移项,得﹣2x<5,不等式的两边同时除以﹣2(不等式的符号的标的目的产生改动),得x >,故原不等式的解集是x >38.4x+3≥3x+5.解:移项、合并得x≥2.39.解:2(x+2)≥4(x﹣1)+7,2x+4≥4x﹣4+7,2x﹣4x≥﹣4+7﹣4,﹣2x≥﹣1,40.解:去分母得1+2x>3x﹣3,移项得2x﹣3x>﹣3﹣1,合并同类项得﹣x>﹣4,解得x<441.解:去括号,得6﹣2x<x﹣3,移项、合并同类项,得﹣3x<﹣9,化系数为1,得x>342.解:去括号得,3x+6≤5x﹣5+7,移项得,3x﹣5x≤2﹣6,合并同类项得,﹣2x≤﹣4系数化为1,得x≥243.解:去分母,原不等式的两边同时乘以6,得6﹣3x+1≥2x+2,移项、合并同类项,得5x≤5,不等式的两边同时除以5,得x≤144.解:去括号,得:2x+6﹣4x>3﹣x,移项,得:2x﹣4x+x>﹣6,合并同类项,得:﹣x>﹣6,则x<645.解:去括号,得:2﹣4x+5≤6﹣3x,移项,得:﹣4x+3x≤6﹣2﹣5,合并同类项,得﹣x≤1,解得x≥﹣146.解;去分母得:x+1﹣6≤6x移项得:x﹣6x≤6﹣1合并同类项得:﹣5x≤5系数化1得:x≥﹣147.解:去分母得:7x+4﹣12>12(x+1),去括号得:7x+4﹣12>12x+12,移项得:7x﹣12x>12+12﹣4,合并同类项得:﹣5x>20,系数化为1得:x<﹣448.解:去分母得:16﹣(3x﹣2)>24+2(x﹣1)16﹣3x+2>24+2x﹣2﹣3x﹣2x>24﹣2﹣16﹣2﹣5x>4x <﹣49.解;去括号得,4x+12﹣<4﹣2x﹣x+,移项合并同类项得,7x<﹣1,把x的系数化为1得,x <﹣,50.解:不等式的两边同时乘以12,得3(x+1)﹣2(2x﹣3)≤12,即﹣x+9≤12,不等式的两边同时减去9,得﹣x≤3,不等式的两边同时除以﹣1,得x≥﹣3,∴原不等式的解集是x≥﹣3时间:二O二一年七月二十九日。
专题3.6一元一次不等式(组)中的含参问题专项训练(60道)【浙教版】考卷信息:本套训练卷共60题,题型针对性较高,覆盖面广,选题有深度,可深化学生对一元一次不等式(组)中的含参问题的理解!一、单选题(共30小题)1.(2022·山东济宁·七年级期末)已知关于x的不等式1−a x<2的解集为x<21−a,则a的取值范围为()A.a>0B.a>1C.a<0D.a<12.(2022·四川乐山·七年级期末)若关于x的不等式组{2x−43≤x−1a−x>0的整数解恰有5个,则a取值范围为()A.2<a≤3B.2≤a<3C.3<a≤4D.3≤a<43.(2022·河南新乡·七年级期末)若关于x<x0的解集为2<x<5,则多项式A可以是() A.x−5B.2x−5C.x−10D.3x−124.(2022·云南临沧·八年级期末)若整数a使关于x的不等式组x−12≤6+x34x−a>x+1,有且只有19个整数解,且使关于y的方程2y+a+31+y+10y+1=1的解为非正数,则a的值是()A.−13或−12B.−13C.−12D.−12或−115.(2022·重庆秀山·七年级期末)关于x的方程k﹣2x=3(k﹣2)的解为非负数,且关于x的不等式组x−2(x−1)≤32k+x3≥x 有解,符合条件的整数k的值的和为()A.3B.4C.5D.66.(2022·重庆涪陵·七年级期末)若关于x的一元一次不等式组−5−x≤13(x−a)3x+1>4x+2有解,则符合条件的所有正整数a的和为()A.50B.55C.66D.707.(2022·福建漳州·七年级期末)若不等式组x−4<0x≥m有解,则m的取值范围为()A.m<4B.m>4C.m≤4D.m≥4 8.(2022·广东广州·七年级期末)若不等式组x+9<5x+1x>m的解集为x>2,则m的取值范围是()A.m≤2B.m<2C.m≥2D.m>2 9.(2022·重庆·巴川初级中学校八年级期中)若关于x的一元一次不等式组x−44a−2≤123x−12<x+3的解集是x≤a,且关于y的方程2y−a−3=0a的个数为()个A.5B.4C.3D.2 10.(2022·广东云浮·七年级期末)若关于x的一元一次不等式组x−4<0x+m≥6有解,则m的取值范围为()A.m>−2B.m≤2C.m>2D.m<−211.(2022·重庆·四川外国语大学附属外国语学校七年级期末)若实数m使关于x的不等式组3−2+x3≤x+322x−m2≤−1有解且至多有3个整数解,且使关于y的方程2y=4y−m3+2的解为非负整数解,则满足条件的所有整数m的和为()A.15B.11C.10D.612.(2022·山东烟台·七年级期末)已知关于x的不等式x−m<0,5−2x≤1的整数解共有2个,则m的取值范围为()A.m>3B.m≤4C.3<m<4D.3<m≤413.(2022·福建·泉州市城东中学七年级期中)若关于x的方程42−x+x=ax的解为正整数,且关于x的不等2>2x x≤0有解,则满足条件的所有整数a的值有()个.A.1B.2C.3D.414.(2022·重庆荣昌·七年级期末)若关于x的方程ax+32−2x−13=1的解为正数,且a使得关于y的不等式组y+3>13y−a<1恰有两个整数解,则所有满足条件的整数a的值的和是()A.0B.1C.2D.315.(2022·江苏镇江·七年级期末)关于x的不等式组x≤−1x>m的整数解只有2个,则m的取值范围为()A.m>−3B.m<−2C.−3≤m<−2D.−3<m≤−216.(2022·黑龙江佳木斯·七年级期末)已知不等式组x+a>1,2x−b<2解集为−2<x<3,则a−b2022的值为()A.1B.2022C.−1D.−202217.(2022·重庆丰都·七年级期末)若关于x的不等式组x−24<x−133x−m≤3−x恰有2个整数解,且关于x、y的方程组mx+y=43x−y=0也有整数解,则所有符合条件的整数m的乘积为()A.−6B.−2C.2D.018.(2022·重庆·七年级期末)若关于x 的不等式组x−24<x−134x −m ≤4−x 恰有2个整数解,且关于x ,y 的方程组mx +y =43x −y =0也有整数解,则所有符合条件的整数m 的和为()A .−2B .−3C .−6D .−719.(2022·重庆铜梁·七年级期末)若a 使关于x 的不等式组4x +2≥x +a −23x +3≥2有三个整数解,且使关于y 的方程2y +a =5y+62有正数解,则符合题意的整数a 的和为()A .12B .9C .5D .320.(2022·浙江舟山·八年级期末)对于任意实数p 、q ,定义一种运算:p @q =p -q +pq ,例如2@3=2-3+2×3.请根据上述定义解决问题:若关于x 的不等式组2@x <4x@2≥m有3个整数解,则m 的取值范围为是()A .-8≤m <-5B .-8<m ≤-5C .-8≤m ≤-5D .-8<m <-521.(2022·重庆九龙坡·七年级期末)整数a 使得关于x ,y 的二元一次方程组ax −y =113x −y =1的解为正整数(x ,y 均为正整数),且使得关于x +8)≥7x −a <2无解,则所有满足条件的a 的和为()A .9B .16C .17D .3022.(2022·四川资阳·七年级期末)若关于x 的一元一次不等式组{2(x +1)<x +3x −a ≤a +5的解集是x <1,且a 为非正整数,则满足条件的a 的取值有()个.A .1B .2C .3D .423.(2022·重庆江北·七年级期末)已知关于x 的不等式组x >a,x ≤5至少有三个整数解,关于y 的方程y −3a =12的解为正数,则满足条件的所有整数a 的值之和为()A .−7B .−3C .0D .324.(2022·重庆巴南·七年级期末)若关于x的不等式组2x−1>7x−a≤0无解,且关于x的方程ax=3x+2的解为整数,则满足条件的所有整数a的和为()A.12B.7C.3D.1 25.(2022·重庆·七年级期末)若关于x的一元一次不等式组x−m≥02x+1<3无解,关于y的一元一次方程2(y−3)+m= 0的解为非负数,则满足所有条件的整数m的和为()A.14B.15C.20D.21 26.(2022·重庆北碚·七年级期末)若关于x的不等式组x+2x−1≤−52k+x3≤x无解,且关于y的一元一次方程2(y+1)+3k=11的解为非负数,则符合条件的所有整数k的和是()A.2B.3C.5D.6 27.(2022·福建省福州屏东中学七年级期末)已知关于x,y的方程组x−3y=4−tx+y=3t,其中−3≤t≤1,若M=x−y,则M的最小值为()A.−2B.−1C.2D.328.(2022·重庆·巴川初级中学校七年级期中)如果整数m使得关于x m>0 −x≥−4有解,且使得关于x,y的二元一次方程组mx+y=52x+y=1的解为整数(x,y均为整数),则符合条件的所有整数m的个数为()A.2个B.3个C.4个D.5个29.(2022·重庆忠县·七年级期末)若整数a使关于x≤2x+59x−a+13至少有1个整数解,且使关于x,y的方程组ax+2y=−4x+y=4的解为正整数,那么所有满足条件的a值之和为()A.﹣17B.﹣16C.﹣14D.﹣12 30.(2022·重庆綦江·七年级期末)如果关于x、y的方程组3x+2y=m+12x+y=m−1中x>y,且关于x的不等式组x−12<1+x35x+2≥x+m有且只有4个整数解,则符合条件的所有整数m的和为()A.8B.9C.10D.11二、填空题(共15小题)31.(2022·江苏·南京市第一中学泰山分校七年级阶段练习)若不等式组x>a x−2<3无解,则a的取值范围为________.32.(2022·湖北孝感·七年级期末)若关于x的不等式组2x−1>4x−a>0的解集为x>3,那么a的取值范围是_____.33.(2022·湖南永州·八年级期末)若关于x的不等式组{2x−b≥0x+a≤0的解集为3≤x≤4,则关于x的不等式ax+b<0的解集为_____.34.(2022·北京平谷·七年级期末)若x<a的解集中的最大整数解为2,则a的取值范围是_________.35.(2022·湖北·武汉市光谷实验中学七年级阶段练习)若关于x的不等式组,3−2x4<x−132x−m≤2−x3有且只有两个整数解,m=2n,则整数n的值为______.36.(2022·河南·鹿邑县基础教育研究室七年级期末)已知关于x的不等式组2x−m≥0x−n<0的整数解是−1,0,1,2,若m、n为整数,则n−m的值为______.37.(2022·黑龙江·大庆市庆新中学九年级阶段练习)关于x的不等式组2x−13<2−1+x>a恰好只有4个整数解,则a 的取值范围为_________.38.(2022·湖北·+4≤0+m>0的整数解的和为-5,则m的取值范围为_______39.(2022·河南南阳·七年级期末)如果不等式组x<4x<3a+1的解集为x<3a+1,则a的取值范围为______.40.(2022·江西宜春·七年级期末)若整数a使关于x的不等式组x−12≤11+x34x−a>x+1,有且只有45个整数解,则a的值为_____.41.(2022·四川雅安·八年级期末)已知关于x,y的方程组2x+y=−4m+5x+2y=m+4的解满足x+y≤5,且2m﹣n<1.若m只有三个整数解,则n的取值范围为________.42.(2022·黑龙江·大庆外国语学校八年级期中)关于x的不等式组2x−5<0x−a>0无整数解,则a的取值范围为_____.43.(2022·全国·河南省淮滨县第一中学七年级期末)已知不等式组3x+a<2x,−13x<53x+2,有解但没有整数解,则a的取值范围为________.44.(2022·福建·平潭第一中学七年级期末)已知关于x的不等式组3x+m<0x>−5的所有整数解的和为﹣9,m的取值范围为_________45.(2022·全国·七年级专题练习)已知关于x的不等式组x+2>0x−a≤0的整数解共有4个,则a的最小值为__________.三、解答题(共15小题)46.(2022·四川宜宾·七年级期中)已知关于x的不等式组2x+4>03x−k<6.(1)当k为何值时,该不等式组的解集为−2<x<2?(2)若该不等式组只有4个正整数解,求k的取值范围.47.(2022·四川宜宾·七年级期中)已知关于x的不等式组2x+4>03x−k<6.(1)当k为何值时,该不等式组的解集为−2<x<2?(2)若该不等式组只有4个正整数解,求k的取值范围.48.(2022·吉林·东北师大附中七年级期中)若关于x的不等式组{x−a>−b,x+a≤2b+1的解集为1<x≤3,求a b的值.49.(2022·江苏徐州·七年级期末)已知关于x、y的方程组2x+y=5m−1x+2y=4m+1(m为常数)(1)若x+y=1,求m的值;(2)若−3≤x−y≤5,求m的取值范围.50.(2022·全国·七年级)定义新运算为:对于任意实数a、b都有a⊕b=a−b b−1,等式右边都是通常的加法、减法、乘法运算,比如1⊕2=1−2×2−1=−3.(1)求2⊕3的值.(2)若x⊕2<7,求x的取值范围.(3)若不等式组x⊕1≤22x⊕3>a恰有三个整数解,求实数a的取值范围.51.(2022·全国·七年级)新定义:如果一元一次方程的解是一元一次不等式组的解中的一个,则称该一元一次方程为该不等式组的关联方程.(1)在方程①2x−1=0,②13x+=0,③x−(3x+1)=−5中,不等式组−x+3>x−43x−1>−x+2的关联方程是_____;(填序号)(2)若不等式组x−2<11+x>−3x+6的一个关联方程的根是整数,则这个关联方程可以是________;(写出一个即可)(3)若方程6−x=2x,7+x=3x+x的不等式组x<2x−mx−2≤m的关联方程,直接写出m的取值范围.52.(2022·河南周口·七年级期末)已知关于x的不等式组2x−m>13x−2m<−1(1)如果不等式组的解集为6<x<7,求m的值;(2)如果不等式组无解,求m的取值范围;53.(2022·江苏·泰州中学附属初中七年级阶段练习)如果一元一次方程的解也是一元一次不等式组的解,则称该一元一次方程为该不等式组的关联方程.例如:方程2x﹣6=0的解为x=3,不等式组x−1>0x<4的解集为1<x<4,因为1<3<4,所以称方程2x﹣6=0为不等式组x−1>0x<4的关联方程.(1)在方程①3x﹣3=0;②23x+1=0;③x﹣(3x+1)=﹣9中,不等式组2x−8<0−4x−3<x+2的关联方程是.(填序号)(2)若不等式组x−12<32x−3>−x+5的一个关联方程的解是整数,则这个关联方程可以是.(写出一个即可)(3)若方程2x−1=x+2,x+5=2x+x的不等式组x+3>2ax≤a+8的关联方程,且关于y的不等式组y−4<02y+1>a−2y恰好有两个奇数解,求a的取值范围.54.(2022·河南省淮滨县第一中学七年级单元测试)已知,关于x的不等式组x+1>mx−1≤n有解.(1)若上不等式的解集与1−2x<53x−12≤4的解集相同,求m+n的值;(2)若上不等式有4个整数解①若m=−1,求n的取值范围;②若n=2m,则m的取值范围为______.55.(2022·广东江门·七年级期末)已知方程组x−y=1+3ax+y=−7−a中x为负数,y为非正数.(1)求a的取值范围;(2)在a的取值范围中,当a为何整数时,不等式2ax+3x>2a+3的解集为x<1 56.(2022·北京·人大附中西山学校七年级期末)若关于x的不等式组2x−a<1x−5b>3的解集为−1<x<1,则a+5b 的值为________.57.(2022·河南·商水县希望初级中学七年级期中)已知方程组x+y=−7−ax−y=1+3a的解x为非正数,y为负数.(1)求a的取值范围:(2)化简|a−3|+|a+3|;(3)在a的取值范围内,当a取何整数时,不等式2ax+x>2a+1的解为x<1?58.(2022·福建·龙海二中一模)已知对于任意实数a,b,定义min{a,b}的含义为:当a≥b时,min{a,b}=b;当a<b时,min{a,b}=a.例如:min{1,−2}=−2,min{−3,−3}=−3.(1)若min{−2k+5,−1)=−1,求k的取值范围;(2)解不等式组:{x+1≥x−321−3(x−1)>8−x设不等式组的最大整数解为m,求min{m,−2.5}的值.59.(2022·甘肃白银·八年级期中)已知关于x,y的不等式组{x+k≤5−2x4(x−34)≥x−1,(1)若该不等式组的解为23≤x≤3,求k的值;(2)若该不等式组的解中整数只有1和2,求k的取值范围.60.(2022·江苏·扬州市江都区华君外国语学校七年级阶段练习)如果一元一次方程的根是一元一次不等式组的解,则称该一元一次方程为该不等式组的伴随方程,这个根在数轴上对应的点该不等式组的伴随点.(1)在方程①23x+1=0,②x−3x+1=−5,③3x−1=0中,不等式组−x+2>x−5,5x−1>x+2的伴随方程是;(填序号)(2)如图,M、N都是关于x的不等式组x<2x−mx−5≤m的伴随点,求m的取值范围.(3)不等式组−x>−2x+12x≤m+2的伴随方程的根有且只有2个整数,求m的取值范围.。
1)1
a x a的解集为
B.a<-2
的方程组
25
3
x
x y
+⎧
⎨
+
⎩
87.定义:给定两个不等式组P 和Q ,若不等式组P 的任意一个解,都是不等式组Q
的一个解,则称不等式组P 为不等式组Q 的“子集”.例如:不等式组:M :21x x >⎧⎨>⎩
是N :21x x >-⎧⎨>-⎩
的“子集”. (1)若不等式组:A :+14+1<5x x >⎧⎨⎩,B :2113x x ->⎧⎨>-⎩,则其中不等式组 是不等式组M :21
x x >⎧⎨>⎩的“子集”(填A 或B );
(2)若关于x 的不等式组1x a x >⎧⎨>-⎩是不等式组21x x >⎧⎨>⎩
的“子集”,则a 的取值范围是 ; (3)已知a ,b ,c ,d 为互不相等的整数,其中a b c d <<,,下列三个不等式组:
A :a x b ≤≤,
B :c x d ≤≤,
C :16x <<满足:A 是B 的“子集”且B 是C 的“子集”,则a b c d -+-的值为 ;
(4)已知不等式组M :23x m x n ≥⎧⎨<⎩
有解,且N :13x <≤是不等式组M 的“子集”,请写出m ,n 满足的条件: .
【答案】(1)A
(2)2a ≥
(3)4-
(4)29m n ≤>,
22⎩。
祖π数学
新人教 七年级下册
之高分速成 1
【题型2】不等式的整数解及含参数的不等式
1.不等式3)1(42-≥-x x 的所有非负整数解的和等于 .
2.如果不等式30≤-m x 的正整数解为1,2,3,那么m 的取值范围是 .
【变式训练】
1.不等式14x-7(3x-8)<4(25+x)的负整数解是 .
2.不等式32-x 6- ≤
2x 3+2
1 成立的最小整数是 . 3.满足不等式3(1+x )≥﹣0.5x ﹣7的最大负整数的解是 .
4.能使(3x ﹣1)﹣(5x+2)>这个不等式成立的x 的最大整数值是 _________ .
5.若不等式03≤-m x 的正整数解是1,2,3,则m 的取值范围是 .
6.如果不等式(a+1)x>a+1的解集为 x<1,则a 必须满足的条件是 .
7.若代数式的值是非负数,则x 的取值范围是 .
8.关于x 的方程(x ﹣2)+3k=
的解是负数,则k 的取值范围是 . 9.已知关于x 的不等式(2m ﹣n )x >0,其中n >2m ,则它的解集是 .。