高等数学李伟版课后习题答案第五章.
- 格式:doc
- 大小:2.48 MB
- 文档页数:78
高数大一第五章知识点总结在高等数学的第五章中,我们主要学习了极限与连续的相关知识。
极限与连续是高数中的重要概念,对于理解微积分等后续学科具有重要意义。
下面我将对第五章的知识点进行总结,希望能够帮助大家更好地掌握这一章节内容。
1. 极限的概念和性质极限是一个数列或函数在某一点或者无穷远处的趋近值。
我们通常用“lim”表示极限,例如lim(n→∞) an = a表示当n趋近于无穷大时,数列an的极限为a。
极限具有唯一性、局部有界性、保号性等性质。
2. 极限的计算方法在计算极限时,可以利用数列的性质、极限的四则运算法则、夹逼定理等方法。
对于无穷小量与无穷大量的比较,我们可以使用洛必达法则等方法。
3. 无穷小量与无穷大量无穷小量和无穷大量是指极限为0和极限为正无穷或负无穷的数列或函数。
无穷小量与无穷大量在微积分中有重要应用,例如在计算微分和积分时经常会用到。
4. 函数的极限函数的极限与数列的极限类似,也是描述函数在某一点或者无穷远处的趋近值。
例如lim(x→a) f(x) = L表示当x趋近于a时,函数f(x)的极限为L。
函数的极限计算同样可以利用极限的性质和计算方法。
5. 连续的概念和性质连续是指函数在某一点处具有极限,且该极限等于函数在该点处的函数值。
连续函数具有保持不等式、可加性、介值性等重要性质。
我们还学习了间断点的分类和判定方法。
6. 基本初等函数的连续性基本初等函数包括常数函数、幂函数、指数函数、对数函数、三角函数等。
这些函数在其定义域内均是连续函数。
总的来说,高数第五章的内容较为复杂,但是又非常重要。
掌握了极限和连续的概念和性质,我们才能够更好地理解微积分等后续学科,为以后的学习打下扎实的基础。
希望以上对第五章知识点的总结能够给大家带来帮助,同时也希望大家在学习高等数学的过程中能够保持耐心和积极性,不断提高自己的数学思维能力和解题能力。
通过不断的练习和思考,相信大家都能够掌握好这一章节的内容,为自己的数学学习打下坚实的基础。
⾼等数学李伟版课后习题答案第三章习题3—1(A )1.判断下列叙述是否正确,并说明理由:(1)函数的极值与最值是不同的,最值⼀定是极值,但极值未必是最值;(2)函数的图形在极值点处⼀定存在着⽔平的切线;(3)连续函数的零点定理与罗尔定理都可以⽤来判断函数是否存在零点,⼆者没有差别;(4)虽然拉格朗⽇中值公式是⼀个等式,但将()f ξ'进⾏放⼤或缩⼩就可以⽤拉格朗⽇中值公式证明不等式,不过这类不等式中⼀定要含(或隐含)有某函数的两个值的差.答:(1)不正确.最值可以在区间端点取得,但是由于在区间端点处不定义极值,因此最值不⼀定是极值;⽽极值未必是最值这是显然的.(2)不正确.例如32x y =在0=x 点处取极值,但是曲线在点)00(,却没有⽔平切线.(3)不正确.前者是判断)(x f 是否有零点的,后者是判断)(x f '是否有零点的.(4)正确.⼀类是明显含有)()(a f b f -的;另⼀类是暗含着)()(0x f x f -的. 2.验证函数2)1(e x y -=在区间]20[,上满⾜罗尔定理,并求出定理中的ξ.解:显然2)1(e x y -=在闭区间]20[,上连续,在开区间)20(,内可导,且e )2()0(==y y ,于是函数2)1(ex y -=在区间]20[,上满⾜罗尔定理的条件,2)1(e )1(2)(x x x y ---=',由0)(='ξy ,有0e )1(22)1(=---ξξ,得1=ξ,∈ξ)20(,,所以定理的结论也成⽴.3.验证函数1232-+=x x y 在区间]11[,-上满⾜拉格朗⽇中值定理,并求出公式中的ξ.解:显然1232-+=x x y 在闭区间]11[,-连续,在开区间)11(,-内可导,于是函数1232-+=x x y 在区间]11[,-上满⾜拉格朗⽇中值定理的条件,26)(+='x x y ,2)1(1)1()1(=----y y ,由)()1(1)1()1(ξy y y '=----,有226=+ξ,得0=ξ,∈ξ)11(,-,所以定理的结论也成⽴.4.对函数x x x f cos )(+=、x x g cos )(=在区间]20[π,上验证柯西中值定理的正确性,并求出定理中的ξ.解:显然函数x x x f cos )(+=、x x g cos )(=在闭区间]20[π,上连续,在开区间)20(π,内可导,且x x f sin 1)(-=',x x g sin )(-=',在区间)20(π,内0)(≠'x g ,于是函数x x x f cos )(+=、x x g cos )(=在区间]20[π,上满⾜柯西定理的条件,⼜21)0()2/()0()2/(πππ-=--g g f f ,由)()()0()2/()0()2/(ξξππg f g g f f ''=--,有ξξπsin sin 121--=-,即πξ2sin =,由于∈ξ)20(π,,得πξ2arcsin=,所以定理的结论也成⽴.5.在)(∞+-∞,内证明x x cot arc arctan +恒为常数,并验证2cot arc arctan π≡+x x .证明:设x x x f cot arc arctan )(+=,显然)(x f 在)(∞+-∞,内可导,且-+='211)(x x f 0112≡+x,由拉格朗⽇定理的推论,得在)(∞+-∞,内x x cot arc arctan +恒为常数,设C x f ≡)(,⽤0=x 代⼊,得2π=C ,所以2cot arc arctan π≡+x x .6.不求出函数2()(4)f x x x =-的导数,说明0)(='x f 有⼏个实根,并指出所在区间.解:显然2()(4)f x x x =-有三个零点20±==x x ,,⽤这三点作两个区间]20[]02[,、,-,在闭区间]02[,-上)(x f 连续,在开区间)02(,-内)(x f 可导,⼜0)0()2(==-f f 于是)(x f 在]02[,-满⾜罗尔定理,所以⾄少有∈1ξ)02(,-,使得0)(1='ξf ,同理⾄少有∈2ξ)20(,,使得0)(2='ξf ,所以0)(='x f ⾄少有两个实根.⼜因为)(x f 是三次多项式,有)(x f '时⼆次多项式,于是0)(='x f 是⼆次代数⽅程,由代数基本定理,得0)(='x f ⾄多有两个实根.综上,0)(='x f 恰有两个实根,且分别位于区间)02(,-与)20(,内.7.证明下列不等式:(1)对任何实数b a ,,证明cos cos a b a b -≤-;(2)当0>x 时,x x xx<+<+)1ln(1.证明:(1)当b a =时,cos cos a b a b -≤-显然成⽴.当b a <时,取函数x x f cos )(=,显然)(x f 在闭区间][b a ,上连续,在开间)(b a ,内可导,由拉格朗⽇定理,有∈ξ)(b a ,,使得))(()()(b a f b f a f -'=-ξ,即)(sin cos cos b a b a -?-=-ξ,所以)()(sin cos cos b a b a b a -≤-?-=-ξ.当b a >时,只要将上⾯的区间][b a ,换为][a b ,,不等式依然成⽴.所以,对任何实数b a ,,都有cos cos a b a b -≤-.(2)取函数)1ln()(t t f +=,当0>x 时,函数)1ln()(t t f +=在闭区间]0[x ,上连续,在开区间)0(x ,内可导,根据拉格朗⽇定理,有∈ξ)0(x ,,使得ξξ+='1)(xf .因为x <<ξ0,则x xx x x =+<+<+0111ξ,所以x x x x <+<+)1ln(1. 8.若函数)(x f 在区间),(b a 具有⼆阶导数,且)()()(321x f x f x f ==,其中21x x a <<b x <<3,证明在区间)(3,1x x 内⾄少有⼀点ξ,使得0)(=''ξf .证明:根据已知,函数)(x f 在区间][21x x ,及][32x x ,上满⾜罗尔定理,于是有∈1ξ)(21x x ,,∈2ξ)(32x x ,(其中21ξξ<),所得0)(1='ξf ,0)(2='ξf .再根据已知及)()(21ξξf f '=',函数)(x f '在区间][21ξξ,上满⾜罗尔定理,所以有∈ξ)(21ξξ,?)(3,1x x ,所得0)(=''ξf ,即在区间)(3,1x x 内⾄少有⼀点ξ,使得0)(=''ξf .习题3—1(B )1.在2004年北京国际马拉松⽐赛中,我国运动员以2⼩时19分26秒的成绩夺得了⼥⼦组冠军.试⽤微分中值定理说明她在⽐赛中⾄少有两个时刻的速度恰好为18. 157km/h (马拉松⽐赛距离全长为42.195km ).解:设该运动员在时刻t 时跑了)(t s s =(km ),此刻才速度为)()(t s t v v '==(km/h ),为解决问题的需要,假定)(t s 有连续导数.设起跑时0=t ,到达终点时0t t =,则3238888889.20≈t ,对函数)(t s 在区间]0[0t ,上⽤拉格朗⽇定理,有00t <<ξ,所得)()(0)0()(00ξξv s t s t s ='=--,⽽15706.183238888889.2195.420)0()(00≈=--t s t s km/h ,所以157.1815706.18)(>≈ξv .对)(t v 在区间]0[ξ,及][0t ,ξ上分别使⽤连续函数的介值定理(注意,0)0(=v0)(0=t v ,则数值18. 157分别介于两个区间端点处函数值之间),于是有)0(1ξξ,∈,)0(2,ξξ∈,使得157.18)(1=ξv ,157.18)(2=ξv,这表明该运动员在⽐赛中⾄少有两个时刻的速度恰好为18. 157km/h .2.若函数)(x f 在闭区间][b a ,上连续,在开区间),(b a 内可导,且0)(>'x f ,证明⽅程0)(=x f 在开区间),(b a 内⾄多有⼀个实根.证明:采⽤反证法,若⽅程0)(=x f 在开区间),(b a 有两个(或两个以上)不同的实根21x x <,即0)()(21==x f x f ,根据已知函数)(x f 在][21x x ,上满⾜罗尔定理,于是有∈ξ)()(21b a x x ,,?,使得0)(='ξf ,与在开区间),(b a 内0)(>'x f ⽭盾,所以⽅程0)(=x f 在开区间),(b a 内⾄多有⼀个实根.(注:本题结论也适⽤于⽆穷区间) 3.证明⽅程015=-+x x 只有⼀个正根.证明:设1)(4-+=x x x f ()(∞+-∞∈,x ),则014)(4>+='x x f ,根据上题结果,⽅程015=-+x x 在)(∞+-∞,内⾄多有⼀个实根.取闭区间]10[,,函数1)(4-+=x x x f 在]10[,上连续,且01)0(<-=f ,01)1(>=f ,由零点定理,有)10(,∈ξ,使得0)(=ξf ,从⽽⽅程015=-+x x 在)0(∞+,内⾄少有⼀个实根.综上,⽅程015=-+x x 只有⼀个正根,且位于区间)10(,内. 4.若在),(+∞-∞内恒有k x f =')(,证明b kx x f +=)(.证明:(⽅法1)设函数kx x f x F -=)()(,则0)()(≡-'='k x f x F ,根据拉格朗⽇定理的推论)(x F 恒为常数,设C kx x f x F ≡-=)()(,⽤0=x 代⼊,得)0(f C =,记b f =)0(,则b C kx x f x F ==-=)()(,所以b kx x f +=)(.(⽅法2)记b f =)0(,∈?x ),(+∞-∞,若0=x ,则满⾜b kx x f +=)(;若0≠x ,对函数)(t f 以x t t ==,0为端点的闭区间上⽤拉格朗⽇定理,则有ξ介于0与x 之间,使得)0)(()0()(-'=-x f f x f ξ,即kx b x f =-)(,所以b kx x f +=)(.5.若函数)(x f 在区间)0(∞+,可导,且满⾜0)()(2≡-'x f x f x ,1)1(=f ,证明x x f =)(.证明:设函数xx f x F )()(=(∈x )0(∞+,),则xx x f x f x x x x f x x f x F 2)()(22/)()()(-'=-'=',由0)()(2≡-'x f x f x ,得0)(≡'x F ,根据拉格朗⽇定理的推论)(x F 恒为常数,设C xx f x F ==)()(,⽤1=x 代⼊,且由1)1(=f ,得1=C ,所以1)()(==xx f x F ,即x x f =)(.6.证明下列不等式(1)当0>x 时,证明x x+>1e ;(2)对任何实数x ,证明x x arctan ≥.证明:(1)取函数t t f e )(=(]0[x t ,∈)显然函数)(t f 在区间]0[x ,上满⾜拉格朗⽇定理,则有∈ξ)0(x ,,使得)0)(()0()(-'=-x f f x f ξ,即x xξe 1e =-,所以 x x x+>+=1e 1e ξ.(2)当0=x 时,显然x x arctan ≥.当0≠x 时,取函数t t f arctan )(=,对)(t f 在以x t t ==,0为端点的闭区间上⽤拉格朗⽇定理,则有ξ介于0与x 之间,使得)0)(()0()(-'=-x f f x f ξ,即21arct an ξ+=xx ,所以x x x <+=21arctan ξ.综上,对任何实数x ,都有x x arctan ≥.7.若函数)(x f 在闭区间[1-,1]上连续,在开区间(1-,1)内可导,M f =)0((其中0>M ),且M x f <')(.在闭区间[1-,1]上证明M x f 2)(<.证明:对∈?x [1-,1],当0=x 时,M M f 2)0(<=,.不等式成⽴.当0≠x 时,根据已知,函数)(t f 在以x t t ==,0为端点的区间上满⾜拉格朗⽇定理,则有ξ介于0与x 之间,使得)0)(()0()(-'=-x f fx f ξ,即x f M x f )()(ξ'=-,所以,M x f x f +'=)()(ξ,从⽽M M f M x f M x f x f 2)()()()(<+'≤+'≤+'=ξξξ.综上,在闭区间[1-,1]上恒有M x f 2)(<.8.若函数)(x f 在闭区间]0[a ,上连续,在开区间)0(a ,内可导,且0)(=a f ,证明在开区间)0(a ,内⾄少存在⼀点ξ,使得0)()(='+ξξξf f .证明:设函数)()(x xf x F =(∈x ]0[a ,),则0)(0)0(==a F F ,,再根据已知,函数)(x F 在区间],0[a 满⾜罗尔定理,则有∈ξ)0(a ,,使得0)(='ξf .⽽)()()(ξξξξf f f '+=',于是0)()(='+ξξξf f .所以,在开区间)0(a ,内⾄少存在⼀点ξ,使得0)()(='+ξξξf f .习题3—2(A )1.判断下列叙述是否正确?并说明理由(1)洛必达法则是利⽤函数的柯西中值定理得到的,因此不能利⽤洛必达法则直接求数列极限;(2)凡属“00”,“∞∞”型不定式,都可以⽤洛必达法则来求其的极限值;(3)型如””,“”,“”,“”,““0100∞∞-∞∞?∞型的不定式,要想⽤洛必达法则,需先通过变形.⽐如“0?∞”型要变型成为“00”,“∞∞”型,”,”,““00∞-∞””,““01∞∞型要先通过变型,转化为“0?∞”型的不定式,然后再化为基本类型.答:(1)正确.因为数列是离散型变量,对它是不能求导的,要想对数列的“不定式”极限使⽤洛必达法则,⾸先要根据“海涅定理”将数列极限转换为普通函数极限,然后再使⽤洛必达法则.(2)不正确.如0sin 1sinlim 20=→xx x x (00型)、1cos sin lim -=-+∞→x x x x x (∞∞型)、11lim 2=++∞→x x x (∞∞型)都不能⽤洛⽐达法则求得极限值.(3)正确.可参见本节3.其他类型的不定式极限的求法,但是“∞-∞”型通常是直接化为“00”,“∞∞”型. 2.⽤洛必达法则求下列极限:(1)x x x --→e 1ln lim e ;(2)11lim 1--→n m x x x (0≠mn );(3)x x x 5tan 3sin limπ→;(4)2e e cos 1lim 0-+--→x x x x;(5)1sec tan 2lim0-→x x x x ;(6)xxx 3tan tan lim 2/π→;(7)x x x 2cot lim 0→;(8)x x x cot arc lim +∞→;(9))sin 11(lim 0x x x -→;(10)111lim()ln 1x x x →--;(11)xx x tan 0lim +→;(12))1ln(1)(lim x x x ++∞→;(13)21)(cos lim x x x →;(14)nn n ln lim∞→;解:(1)e11/1lim e 1ln lime e -=-=--→→x x x x x .(2)==----→→1111lim 11lim n m x nm x nx mx x x nm.(3)=-?-==→→22)1(535sec 53cos 3lim 5tan 3sin limx x x x x x ππ53-.(4)=+=-=-+--→-→-→x x x x x x x x x x x x e e cos lim e e sin lim 2e e cos 1lim00021.(5)===-=-→→→→xxx x x x x x x x x x x x tan 4lim tan sec 4lim 1sec 2lim 1sec tan 2lim002004. (6) =---=-=?=→→→→x xx x xx x x x x x x x x sin 3sin 3lim cos 3cos lim )cos 3cos 3sin sin (lim 3tan tan lim2/2/2/2/ππππ3.(7)===→→→x x x x x x x x 2sec 21lim 2tan lim 2cot lim 200021.(8)=+=-+-==+∞→+∞→+∞→+∞→22221lim /1)1/(1lim 1/cot arc lim cot arc lim xx x x x x x x x x x x 1.(9)=-=-=-=-=-→→→→→2sin lim 21cos lim sin lim sin sin lim )sin 11( lim 002000xx x x x x x x x x x x x x x x x 0.(10)xx x x x x x x x x x x x /)1(ln /11lim ln )1(ln 1lim )11ln 1(lim 111-+-=---=--→→→=+=-+-=→→2ln 1lim 1ln 1lim11x x x x x x x 21.(11)设xxy tan =,则x x y ln tan ln =,因为0lim /1/1lim /1ln lim ln lim ln tan lim ln lim 0200=-=-====++++++→→→→→→x xxx x x x x x y x x x x x x ,所以, ==+→0tan 0e lim xx x 1.(12)设)1ln(1)(x x y +=,则)1ln(ln 21)1ln(ln ln x xx x y +=+=,因为 21)11(lim 21)1/(1/1lim 21)1ln(ln lim 21ln lim =+=+=+= +∞→+∞→+∞→+∞→x x x x x y x x x x ,所以 ==++∞→21)1ln(1e )(lim x x x e .(13)设21)(cos x x y =,则2cos ln ln x xy =,因为 21cos 2sin lim cos ln lim ln lim 0200-=-==→→→x x x x x y x x x ,所以==-→2 110e )(cos lim 2x x x e1.(14)根据海涅定理,====+∞→+∞→+∞→∞→xxx xx nn x x x n 2lim2/1/1limln limln lim0.3.验证极限xx xx x cos 2sin 2lim -+∞→存在,并说明不能⽤洛必达法则求得.解:=-+=-+=-+∞→∞→0102/)cos 2(1/)(sin 2lim cos 2sin 2limx x x x x x x x x x 2.因为极限xxx x x x x x sin 21cos 2lim )cos 2()sin 2(lim++='-'+∞→∞→不存在,因为此极限不能⽤洛必达法则求得.4.验证极限x x x x sin )/1sin(lim 20→存在,并说明不能⽤洛必达法则求得.解:=?=?=→→→011sin lim sin lim sin )/1sin(lim0020xx x x x x x x x x 0.因为极限xx x x x x x x x cos )/1sin()/1sin(2lim)(sin ])/1sin([lim 020-=''→→不存在,因为此极限不能⽤洛必达法则求得.习题3—2(B )1.⽤洛必达法则求下列极限:(1)311lnarctan 2limx x xx x -+-→;(2)xx x x 30sin arcsin lim -→(3))tan 11(lim 220xx x -→;(4)]e )11[(lim -+∞→xx x x ; (5) 260)sin (lim x x xx →;(6)n n nn b a )2(lim +∞→(00>>b a ,).解:(1)原式30)1ln()1ln(arctan 2limx x x x x -++-=→=--=--+-+=→→)1(34lim 3111112lim 40220x x x x x x x 34-.(2)原式2220220301311lim 31/11lim arcsin lim xx x x x x x x x x x ---=--=-=→→→=-=--=→→22022032/lim 311lim xx x x x x 61-.(3)原式30022220tan lim tan lim tan tan lim xxx x x x x x x x x x x -?+=-=→→→ ==-=-=→→→22022030tan lim 3231sec lim 2tan lim 2x x xx x x x x x x 32.(4)令t x 1=,则原式21010)1ln()1()1(lim e )1(lim tt t t t t t t t tt ++-+=-+→→ =+-=-+-=++-=→→→t t t t t t t t t t t )1ln(lim 2e 21)1ln(1lim e )1ln()1(lim e 002 02 e -.(5)令6)sin (x x x y =,则2sin ln 6ln x x xy =,因为 30200sin cos lim 3)sin cos 2sin /6(lim ln lim xxx x x x x x x x x y x x x -=-?=→→→ 13sin lim 320-=-=→x x x x ,所以==-→160e )sin (lim x x xx e 1.(6)令=n x nn nb a )2(+,则]2ln )[ln(ln -+=n n n b a n x ,再令x t 1=,因为 tb a b a x x t t t xx x n n 2ln )ln(lim ]2ln )[ln(lim ln lim 011-+=-+=→+∞→∞→ ab b a ba b b a a t t t t t ln 2ln ln ln ln lim 0=+=++=→,所以==+∞→abnn nn b a ln e )2(lim ab .2.当0→x 时,若)(e )(2c bx ax x f x ++-=是⽐2x ⾼阶的⽆穷⼩,求常数c b a 、、.解:根据已知,有0)(e lim220=++-→x c bx ax x x ,由分母极限为零,则有分⼦极限也为零,于是01)]([e lim 2x =-=++-→c c bx ax x ,得1=c ,此时02)2(e lim )(e lim 0220=+-=++-→→x b ax x c bx ax x x x x ,再由分⼦极限为零,同样得1=b ,进⽽022122e lim 2)12(e lim )(e lim 00220=-=-=+-=++-→→→a a x ax x c bx ax x x x x x x ,得21=a ,所以1121===c b a ,,时,当0→x 时,)(e )(2c bx ax x f x ++-=是⽐2x ⾼阶的⽆穷⼩.3.若函数)(x f 有⼆阶导数,且2)0(,1)0(,0)0(=''='=f f f ,求极限2)(limxxx f x -→.解:1)0(210)0()(lim 2121)(lim )(lim002=''=-'-'=-'=-→→→f x f x f x x f x x x f x x x .(注:根据题⽬所给条件,不能保证)(x f ''连续,所以只能⽤⼀次洛⽐达法则,再⽤⼆阶导数的分析定义)习题3—3(A )1.判断下列叙述是否正确?并说明理由:(1)只要函数在点0x 有n 阶导数,就⼀定能写出该函数的泰勒多项式.⼀个函数的泰勒多项式永远都不会与这个函数恒等,⼆者相差⼀个不恒为零的余项;(2)⼀个函数在某点附近展开带有拉格朗⽇余项的n 阶泰勒公式是它的n 次泰勒多项式加上与该函数的n 阶导数有关的所谓拉格朗⽇型的余项;(3)在应⽤泰勒公式时,⼀般⽤带拉格朗⽇型余项的泰勒公式⽐较⽅便.答:(1)前者正确,其根据是泰勒多项式的定义;后者不正确.当)(x f 本⾝是⼀个n 次多项式时,有0)(≡x R n ,这时函数的泰勒多项式恒等于这个函数.(2)不正确.拉格朗⽇型的余项与函数)(x f 的1+n 阶导数有关.(3)不正确.利⽤泰勒公式求极限时就要⽤带有⽪亚诺余项的泰勒公式,⼀般在对余项进⾏定量分析时使⽤带拉格朗⽇型余项的泰勒公式,在对余项进⾏定性分析时使⽤带⽪亚诺型余项的泰勒公式.2.写出函数x x f arctan )(=的带有佩亚诺型余项的三阶麦克劳林公式.解:因为211)(x x f +=',)1(2)(2x x x f +-='',322)1(62)(x x x f ++-=''',于是 2)0(0)0(1)0(0)0(-='''=''='=f f f f ,,,,代⼊到)(!3)0(!2)0()0()0()(332x o x f x f x f f x f +'''+'+'+=中,得 )(3arctan 33x o x x x +-=. 3.按1-x 的乘幂形式改写多项式1)(234++++=x x x x x f .解:因为1234)(23+++='x x x x f ,2612)(2++=''x x x f ,624)(+='''x x f ,24)()4(=x f ,更⾼阶导数都为零,于是,,,20)1(10)1(5)1(=''='=f f f 30)1(='''f ,24)0()4(=f ,将其带⼊到)()1(!4)1()1(!3)1()1(!2)1()1)(1()1()(44)4(32x R x f x f x f x f f x f +-+-'''+-'+-'+=中,得 432)1()1(5)1(10)1(105)(-+-+-+-+=x x x x x f(其中5)5(4)1(!5)()(-=x f x R ξ恒为零). 4.将函数1)(+=x xx f 在1x =点展开为带有佩亚诺型余项的三阶泰勒公式.解:因为111)(+-=x x f ,则2)1(1)(+='x x f ,3)1(2)(+-=''x x f ,4)1(6)(+='''x x f ,于是83)1(41)0(41)1(21)1(='''-=''='=f f f f ,,,,将其带⼊到 ))1(()1(!3)1()1(!2)1()1)(1()1()(332-+-'''+-'+-'+=x o x f x f x f f x f 中,得))1((16)1(8)1(41211332-+-+---+=+x o x x x x x . 5.写出函数xx x f e )(=的带有拉格朗⽇型余项的n 阶麦克劳林公式.解:因为)(e )()(k x x f x k +=(1321+=n n k ,,,,,)(参见习题2.5(B )3),于是,k fk =)0()((n k ,,,,210=),=+=++1)1()!1()()(n n n x n x f x R θ1)!1(e )1(++++n x x n x n θθ,将其带⼊到)(!)0(!2)0()0()0()()(2x R x n f x f x f f x f n nn +++'+'+= ,得 132)!1(e )1()!1(!2e +++++-++++=n x n xx n x n n x x x x x θθ )10(<<θ.6.将函数xx f 1)(=按(1)x +的乘幂展开为带有拉格朗⽇型余项的n 阶泰勒公式.解:因为1)(!)1()(+-=k k k xk x f,于是!)1()(k f k -=-(13210+=n n k ,,,,,,), 1211211)1()1()1()1()!1()!1()1()1()!1()()(+++++++++-=+++-=++=n n n n n n n n n x x n n x n f x R ξξξ,将其代⼊到中)()1(!)1()1(!2)1()1)(1()1()()(2x R x n f x f x f f x f n n n ++-+++-'++-'+-= ,得2112)1()1()1()1()1(11++++-++--+-+--=n n n nx x x x x ξ(ξ介于1-与x 之间).习题3—3(B )1.为了修建跨越沙漠的⾼速公路,测量员测量海拔⾼度差时,必须考虑地球是⼀个球体⽽表⾯不是⽔平,从⽽对测量的结果加以修正.(1)如果R 表⽰地球的半径,L 是⾼速公路的长度.证明修正量为R RLR C -=sec . (2)利⽤泰勒公式证明3422452R L R L C +≈.(3)当⾼速公路长100公⾥时,⽐较(1)和(2)中两个修正量(地球半径取6370公⾥).证明:(1)由αR L =,有R L =α,⼜在直⾓三⾓形ODB 中,CR R+=αcos ,于是R C R L+==1s e cs e c α,由此得R RLR C -=sec .(2)先将x x f sec )(=展开为4阶麦克劳林公式,为此求得x x x f tan sec )(=',x x x x f 32s e c t a n s e c )(+='',x x x x x f tan sec 5tan sec )(33+=''',x x x x x x f5234)4(s e c 5t a n s e c 18tan sec )(++=,,,,,,5)0(0)0(1)0(0)0(1)0()4(=='''=''='=f f f f f 于是 )(245211sec 442x R x x x +++=;当1<2245211sec x x x ++≈,取R L x =,得442224521sec RL R L R L ++≈,于是≈-=R R L R C sec 3422452R L R L +.(3)按公式R RLR C -=sec计算,得修正量为785010135.0)1(≈C ,按公式3422452RL R L C +≈计算,得修正量为785009957.0)2(≈C ,它们相差⼤约为000000178.0)2()1(≈-C C .2.写出函数212e)(x x f -=的带佩亚诺型余项的n 2阶麦克劳林公式.解:由)(!!3!21e 32nn tt o n t t t t ++++++= ,令22x t -=,得 )]2(!2)1(!62!42!221[e eee223624222122n n n nn x x x o n x x x x +?-++?-?+?-==--)(]!)!2()1(!!6!!4!!21[e 22642n n n x o n x x x x +-++-+-= ,按规律,由于nx2项的后⼀项为22+n x,所以余项也可以⽤)(12+n xo .3.写出函数x x f 2sin )(=的带⽪亚诺型余项的m 2阶麦克劳林公式.解:x x 2cos 2121sin 2-=)2()!2()2()1(!6)2(!4)2(!2)2(1[2121222642m m mn x o m x x x x +-++-+--=)()!2(2)1(4523122121642m m m m x o x m x x x +-+-+-=-- ,同上⼀题,余项也可以⽤)(12+m x o .(注意:像2、3题⽤变量代换写泰勒公式的⽅法只使⽤于带有佩亚诺型余项的泰勒公式,不适⽤带有拉格朗⽇型余项的泰勒公式,否则得到的余项不再是拉格朗⽇型余项) 4.应⽤三阶泰勒公式计算下列各数的近似值,并估计误差:(1)330;(2)18sin .解:(1)取函数31)(x x f +=,展开为三阶麦克劳林公式,有31154323)1(3108159311)(x xx x x x x f θ+?-+-+=+=,3339/11332730+?=+=,现取9/1=x ,)59049572912711(3303+-+≈,误差为54431089.19310-?R , 10725.3)000085.0001372.0037037.01(3)59049572912711(3303=+-+≈+-+≈;(2)⽤x sin 的麦克劳林公式,取1018π==x ,得53)10(!5)cos()10(!311018sin πθππx +-=,则3)10(!311018sin ππ-≈,误差为5531055.2)10(!51-?≈<≤πR3090.030899.000517.031416.018sin ≈=-≈.5.利⽤泰勒公式求下列极限:(1)642/012/e cos lim 2x x x x x +--→;(2)x x x x x x x sin )1(sin e lim 20+-→.解:(1)原式64636426 642012/)](!32821[)](!62421[lim xx x o x x x x o x x x x ++?-+--+-+-=→ 3607)(360/7lim 6660=+=→x x o x x .(2)原式3233220)](6/)][(2/1[lim x x x x o x x x o x x x --+-+++=→ 31)(3/lim3330=+=→x x o x x .6.设函数)(x f 在区间][b a ,上有⼆阶连续导数,证明:有)(b a ,∈ξ使得)(4)()2(2)()(2ξf a b b a f b f a f ''-=+-+.证明:将函数)(x f y =在20ba x +=点展开为⼀阶泰勒公式,有 20000)(!2)())(()()(x x f x x x f x f x f -''+-'+=η.(η介于x 与0x 之间)分别⽤b x a x ==、代⼊上式,得 201000)(!2)())(()()(x a f x a x f x f a f -''+-'+=η 4)(!2)(2)2()2(21b a f b a b a f b a f -''+-+'++=η(21b a a +<<η),202000)(!2)())(()()(x b f x b x f x f b f -''+-'+=η 4)(!2)(2)2()2(22a b f a b b a f b a f -''+-+'++=η(b b a <<+22η),上两式相加,得]2)()([4)()2(2)()(212ηηf f a b b a f b f a f ''+''-++=+,由)(x f ''连续,根据习题1-7(B )4,得)(2)()(21ξηηf f f ''=''+''()(b a ,∈ξ),于是,)(4)()2(2)()(2ξf a b b a f b f a f ''-++=+,所以,有)(b a ,∈ξ使得)(4)()2(2)()(2ξf a b b a f b f a f ''-=+-+. 7.若函数)(x f 有⼆阶导数,0)(>''x f ,且1)(lim=→xx f x ,⽤泰勒公式证明x x f ≥)(. 证明:由函数)(x f 可导,及1)(lim=→xx f x ,得1)0(0)0(='=f f ,,将)(x f 展开为⼀阶麦克劳林公式,有22)()(x f x x f ξ''+=(ξ介于0与x 之间),由0)(>''x f ,得x x f x x f ≥''+=22)()(ξ.8.设函数)(x f 在区间]20[,上⼆次可微,)2()0(f f =,且M x f ≤'')(,对任何]20[,∈x ,证明M x f ≤')(.证明:对任何∈x ]20[,,将函数)(t f y =在x t =点展开为⼀阶泰勒公式,有 2)(!2)())(()()(x t f x t x f x f t f -''+-'+=ξ.(ξ介于x 与t 之间)分别⽤20==t t 、代⼊上式,得 21!2)()()()0(x f x x f x f f ξ''+'-=,(x <<10ξ)(1) 22)2(!2)()2)(()()2(x f x x f x f f -''+-'+=ξ,(22<<ξx )(2)(2)-(1),并由条件)2()0(f f =,有 ])()2)(([21)(202122x f x f x f ξξ''--''+'=,即])()2)(([41)(2122x f x f x f ξξ''--''-=',所以M x x M x x M x f =+-?≤+-≤'222])2[(4])2[(4)(.习题3—4(A )1.下列叙述是否正确?并按照你的判断说明理由:(1)设函数()f x 在区间[,]a b 上连续,在(,)a b 内可导,那么()f x 在区间[,]a b 上单调增加(减少)的充分必要条件是对任意的(,)x a b ∈,0)(>'x f (0)(<'x f );(2)函数的极⼤值点与极⼩值点都可能不是唯⼀的,并且在其驻点与不可导点处均取得极值;(3)判定极值存在的第⼀充分条件是根据驻点两侧导数的符号来确定该驻点是否为极值点,第⼆充分条件是根据函数在其驻点处⼆阶导数的符号来判定该驻点是否为极值点;(4)在区间I 上连续的函数,其最⼤值点或最⼩值点⼀定是它的极值点.答:(1)不正确.如3x y =在]11[,-上单调增加,⽽032≥='x y .(2)前者正确,后者不正确.驻点与不可导点是取得极值必要条件不是充分条件,如函数3x y =有驻点0=x ,⽽3x y =在0=x 点不取极值;⼜如函数3x y =有不可导点0=x ,⽽3x y =在0=x 点也不取极值.(3)前者不正确,后者正确.第⼀充分条件对连续函数的不可导点也适⽤.(4)不正确.函数的最⼤(⼩)值点可以是闭区间端点,这时的最值点就不是极值点. 2.证明函数x x x f arcsin )(-=在]11[,-上单调减少.解:在开区间)11(,-内,0111)(2≤--='xx f ,且等号只在0=x 点成⽴,所以)(x f 在开区间)11(,-内单调减少,⼜因为函数x x x f arcsin )(-=在区间]11[,-的左、右端点处分别右连续、左连续,所以x x x f arcsin )(-=在]11[,-上单调减少. 3.求下列函数的单调区间和极值:(1)323y x x =-;(2)xx y 12+=;(3)3232x x y +?=;(4)2exy x =;(5)x x y -+=)1ln(;(6))1ln(2-=x y .解:(1)定义域为)(∞+-∞,,)2(3632-=-='x x x x y ,由0='y ,得驻点0=x ,2=x ,函数没有不可导点.单增区间为:)2[]0(∞+-∞,、,,单减区间为:]20[,,极⼤值为:0)0(=y ,极⼩值为:4)2(-=y .(2)定义域为)0()0(∞+-∞,,,221xx y -=',由0='y ,得驻点1±=x ,在定义域内函数没有不可导点.单增区间为:)1[]1(∞+--∞,、,,单减区间为:]10()01[,、,-,极⼤值为:2)1(-=-y ,极⼩值为:2)1(=y .(3)定义域为)(∞+-∞,,2233)1(2xx y ?+=',由0='y ,得驻点1-=x ,不可导点0=x .单增区间为:)1[∞+-,,单减区间为:]1(--∞,,⽆极⼤值,极⼩值为:1)1(-=-y .(4)定义域为)0()0(∞+-∞,,,3)2(e xx y x -=',由0='y ,得驻点2=x ,在定义域内函数没有不可导点.单增区间为:、,)0(-∞)2[∞+,,单减区间为:]20(,,⽆极⼤值,极⼩值为:4/e )2(2=y .(5)定义域为)1(∞+-,,xxy +-='1,由0='y ,得驻点0=x ,在定义域内函数没有不可导点.单增区间为:]01(,-,单减区间为:)0[∞+,,极⼤值为:0)0(=y ,⽆极⼩值.(6)定义域为)1()1(∞+--∞,,,122-='x xy ,在定义域内0≠'y ,且没有不可导点.单增区间为:)1(∞+,,单减区间为:)1(--∞,,既⽆极⼤值,也⽆极⼩值.4.求下列函数在指定区间的最⼤值M 和最⼩值m :(1)163)(24+-=x x x f ,]20[,∈x ;(2)11)(+-=x x x f ,]40[,∈x .解:(1))1(121212)(23-=-='x x x x x f ,由0)(='x f ,得1=x (10-==x x ,都不在)20(,内),⽐较数值25)2(2)1(1)0(=-==f f f ,,,得163)(24+-=x x x f 在。
高等数学第五章教材答案第一节:导数与微分1. a) 导数的定义是:对于函数y=f(x),若极限lim(h→0)[f(x+h)-f(x)]/h存在,则称此极限为函数f在点x处的导数,记作f'(x)。
b) 导数的几何意义是函数图像在某一点处的切线斜率。
2. a) 由导数的定义可得,对于函数y=ax^n,其中a为常数,n为正整数,则它的导数为f'(x)=nax^(n-1)。
b) 对于常数函数y=c,其中c为常数,则它的导数为f'(x)=0。
c) 对于自然指数函数y=e^x,则它的导数为f'(x)=e^x。
d) 对于对数函数y=log_a(x),其中a为常数且不等于1,则它的导数为f'(x)=1/(xlna)。
e) 对于三角函数y=sin(x),则它的导数为f'(x)=cos(x)。
3. a) 利用导数定义证明:对于函数y=kx,其中k为常数,则它的导数为f'(x)=k。
b) 利用导数的四则运算法则证明:对于两个可导函数f(x)和g(x),则有(f±g)'(x)=f'(x)±g'(x)。
c) 利用导数的链式法则证明:对于复合函数y=f(g(x)),其中函数g(x)可导且函数f(u)可导,则它的导数为f'(g(x))·g'(x)。
4. a) 用导数求函数在一点处的切线方程:对于函数y=f(x),若知道函数在点x=a处的导数f'(a),则可求得切线方程为y=f'(a)(x-a)+f(a)。
b) 用导数求函数的极值点:对于函数y=f(x),若函数在点x=a处的导数f'(a)存在且为零,且函数在该点的导数由正变负或由负变正,则该点为函数的极值点。
第二节:不定积分1. a) 不定积分的定义是:对于函数y=f(x),若存在函数F(x),使得F'(x)=f(x),则称F(x)为函数f(x)的一个原函数,并记作∫f(x)dx=F(x)+C,其中C为常数。
第五章 定积分及其应用习 题 5-11. 如何表述定积分的几何意义?根据定积分的几何意义推出下列积分的值: (1)⎰-x x d 11, (2)⎰--x x R R R d 22, (3)⎰x x d cos 02π, (4)⎰-x x d 11.解:若[]⎰≥∈x x f x f b a x ab d )(,0)(,,则时在几何上表示由曲线)(x f y =,直线b x a x ==,及x 轴所围成平面图形的面积. 若[]b a x ,∈时,⎰≤x x f x f ab d )(,0)(则在几何上表示由曲线)(x f y =,直线b x a x ==,及x 轴所围平面图形面积的负值. (1)由下图(1)所示,0)(d 1111=+-=⎰-A A x x .(2)由上图(2)所示,2πd 2222R A x x R R R==-⎰-.(3)由上图(3)所示,0)()(d cos 5353543π20=--++=+-+=⎰A A AA A A A x x . (4)由上图(4)所示,1112122d 611=⋅⋅⋅==⎰-A x x . 2. 设物体以速度12+=t v 作直线运动,用定积分表示时间t 从0到5该物体移动的路程S.( 2 )( 1 )( 3 )(4)解:=s ⎰+t t d )12(053. 用定积分的定义计算定积分⎰bax c d ,其中c 为一定常数.解:任取分点b x x x x a n =<<<<= 210,把],[b a 分成n 个小区间],[1i i x x -)2,1(n i =,小区间长度记为x ∆i =i x -1-i x )2,1(n i =,在每个小区间[]i i x x ,1-上任取一点i ξ作乘积i i x f ∆⋅)(ξ的和式:∑∑==--=-⋅=∆⋅n i ni i iiia b c x xc x f 111)()()(ξ,记}{max 1i n i x ∆=≤≤λ, 则)()(lim )(lim d 0a b c a b c x f x c ni i i b a-=-=∆⋅=∑⎰=→→λλξ.4. 利用定积分定义计算120d x x ⎰.解:上在]1,0[)(2x x f =连续函数,故可积,因此为方便计算,我们可以对[]0,1 n 等分,分点i i n i nix ξ;1,,2,1,-==取相应小区间的右端点,故 ∑∑∑===∆=∆=∆ni i i ni i i ni i i x x x x f 12121)(ξξ=∑∑===ni ni in n n i 1232111)(=311(1)(21)6n n n n ⋅++ =)12)(11(61nn ++ 当时0→λ(即时∞→n ),由定积分的定义得: 120d x x ⎰=31.5. 利用定积分的估值公式,估计定积分⎰-+-1134)524(x x x d 的值.解:先求524)(34+-=x x x f 在[]1,1-上的最值,由0616)(23=-='x x x f , 得0=x 或83=x . 比较 35093(1)11,(0)5,(),(1)781024f f f f -====的大小,知min max 5093,111024f f ==,由定积分的估值公式,得[])1(1d )524()]1(1[max 1134min --⋅≤+-≤--⋅⎰-f x x x f ,即14315093(425)d 22512x x x -≤-+≤⎰. 6. 利用定积分的性质说明⎰1d xe x与⎰1d 2x e x ,哪个积分值较大?解:在[]0,1区间内:22xx x x e e ≥⇒≥ 由性质定理知道:⎰1d xe x≥⎰1d 2x e x7. 证明:⎰---<<2121212d 22x e ex 。
第五章 不定积分与定积分 第一节 定积分的概念及性质1.=S 61 2.(1)1;(2)4π. 3.(1)⎰102dx x >⎰12dx x ;(2)⎰12dx e x <⎰1dx e x . 4.利用积分中值定理证明.5.利用定积分估值定理证明.第二节 微积分基本公式1.(1)0; (2)0; (3)2cos x ; (4)2e x-; (5)24sin sin 2x x x -.2.2232y xe x y --='3.(1)1; (2)42π; (3)0; (4)1sin ; (5)11+p .4.(1)6π; (2)1; (3)4; (4)35.5.利用双曲函数表达式及原函数的定义证明.第三节 不定积分的概念与性质1.(1)x x cos 2ln 2+; (2)23x ; (3)C x +-sin .2.(1)C x +36; (2)C x+3ln 3; (3)C x ++1e ; (4)C x x +-cos sin ; (5)C x +arctan 3; (6)C x +arcsin 2;(7)C t t+-34433e ; (8)C x x +--tan cot ; (9)C x +158815; (10)C t +20ln 20; (11)C e x x x ++e -33ln 313; (12)C x x +--arctan 1; (13)C x x +-sin ; (14)C x x ++arctan ; (15)C x x ++arctan 212; (16)C x x x +--cot 9tan 4. 3.x x y +=3.第四节 换元积分法1.(1)C x +-32ln 21; (2)C e x+--22; (3)C x a a+)22arctan(21;(4)C x +--22121; (5)C x ++)4ln(212; (6)C x +4)(arcsin 41;(7)C x +)arctan(sin 212; (8)C x x ++cos ln sin ln ; (9)C x ++14; (10)C x x x ++-53sin 51sin 32sin ; (11)C x x ++sin cos ln ; (12)C x x +-ln 1.2.(1)0; (2)31; (3)2; (4)1; (5)2)2(ln 21; (6)2332a .3.(1)C x a x a x a +--2222arcsin 2; (2)C x +1arccos ; (3)C xx++21;(4)C x x ++-)21ln(2; (5)C e e x x+++-+1111ln; (6)C xa x a +--3223223)(. 4.(1)2π; (2)3322-; (3)61; (4)32ln 22+; (5)e e+12ln .5.2ln .6.(1)0; (2)3ln .第五节 分部积分法1.(1)C x x x +-2ln ; (2)C x x x ++-)41ln(412arctan 2; (3)C x x x ++-)21(e 2122; (4)C x x x ++)3cos 23sin 3(e 1312; (5)C x x x ++-2sin 412cos 21; (6)C x x x x ++-2arctan 8142arctan 22; (7)C x x x ++-]2ln 2)[(ln 2; (8)C x x ex++-)22(33323;(9))1()1(112+++n ne n ; (10))11(2e -; (11)5e ; (12)463ππ-. 第六节 有理函数的积分及应用1.(1)C x x +++-111ln 212; (2)C x x x x +-++--+312arctan 3)1ln(211ln 2; (3)C x x x ++--1ln 2)2(ln ;(4)C x x x x x x ++---+++1ln 41ln 3ln 8213123; (5)⎪⎪⎪⎪⎭⎫ ⎝⎛+512tan 3arctan 51x ; (6)C x x ++)2tan 3(2tan ln 312; (7)C x ++-tan 11; (8)C x x +-+-32)11(43.第七节 广义积分1.答:不正确.因为该积分是以0=x 为瑕点的广义积分,且该积分是发散的. 2.答:不正确.奇函数在对称区间上的定积分为零是以积分存在为前提的,而dxxx ⎰∞+∞-+21是发散的. 3.1>k 时dx x)x(k⎰∞+2ln 1收敛,1≤k 时dx x)x(k ⎰∞+2ln 1发散.4.(1)4π; (2)82π-; (3)π55; (4)38; (5)91-; (6)23.总复习题五1.(1)A ; (2)A ; (3)C ; (4)C ; (5)D ; (6)D . 2.(1)C x x +-cos ; (2)61; (3)0; (4)1-; (5)2)1(2--x ; (6)c x x x +-sin cos . 3.(1)C x+20ln 20; (2)C x x x x ++-arctan arctan ; (3)2; (4))1(411--e ; (5)π; (6)1. 4.C x x dx x +-+=⎰1ln 2)(ϕ. 5.1=α,1=β.6.提示:利用闭区间上连续函数的最值定理、定积分的估值定理、闭区间上连续函数的介值定理证明.。
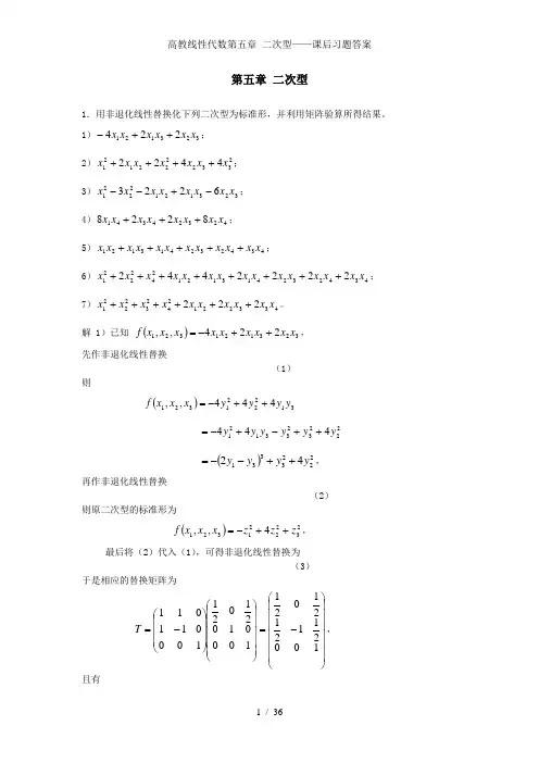
第五章 二次型1.用非退化线性替换化下列二次型为标准形,并利用矩阵验算所得结果。
1)323121224x x x x x x ++-;2)23322221214422x x x x x x x ++++; 3)32312122216223x x x x x x x x -+--;4)423243418228x x x x x x x x +++; 5)434232413121x x x x x x x x x x x x +++++;6)4342324131212422212222442x x x x x x x x x x x x x x x ++++++++; 7)43322124232221222x x x x x x x x x x ++++++。
解 1)已知 ()323121321224,,x x x x x x x x x f ++-=, 先作非退化线性替换(1) 则()312221321444,,y y y y x x x f ++-=2223233121444y y y y y y ++-+-=()222333142y y y y ++--=, 再作非退化线性替换(2) 则原二次型的标准形为()2322213214,,z z z x x x f ++-=,最后将(2)代入(1),可得非退化线性替换为 (3) 于是相应的替换矩阵为⎪⎪⎪⎪⎪⎪⎭⎫⎝⎛-=⎪⎪⎪⎪⎪⎭⎫⎝⎛⎪⎪⎪⎭⎫ ⎝⎛-=100211212102110001021021100011011T , 且有。
2)已知()=321,,x x x f 23322221214422x x x x x x x ++++,由配方法可得()()()233222222121321442,,x x x x x x x x x x x f +++++=()()2322212x x x x +++=,于是可令, 则原二次型的标准形为()2221321,,y y x x x f +=,且非退化线性替换为, 相应的替换矩阵为 , 且有⎪⎪⎪⎭⎫ ⎝⎛=⎪⎪⎪⎭⎫ ⎝⎛--⎪⎪⎪⎭⎫ ⎝⎛⎪⎪⎪⎭⎫ ⎝⎛--='000010001100210211420221011122011001AT T 。
班级姓名学号1 第五章定积分1.证明定积分性质:òò=b abadxx f kdx x kf )()((k 是常数). 证:òåòå=D =D ==®=®banii ban ii x kf x kf x f k x f k)()(lim )(lim )(1010x x l l 2.估计下列积分值:(1)dxx )sin 1(4542ò+p p解:令x x f 2sin 1)(+=,则02sin cos sin 2)(===x x x x f ‘得驻点:,,221p p==x x 由23)4(,23)4(,1)(,2)2(====p p p pf f f f ,得2)(max ,1)(min ==x f x f 由性质,得pp p p2)(454££òdx x f (2)ò333arctan xdxx 解:令x x x f arctan )(=,01arctan )(2>++=xxx x f ‘,所以)(x f 在]333[,上单调增加,p p33)(max ,36)(min ==\x f x f ,)()(33333arctan 33336333-££-\òp pxdx x ,即pp32a r c t a n 9333££òx d x x班级班级 姓名姓名 学号学号3.比较下列积分值的大小:.比较下列积分值的大小: (1)dx x ò12与dxx ò13解:当10££x 时,有23x x £,且23x x -不恒等于0,0312>-\òdx x x )(,即,即 dxx dxx òò>1212。
(2)ò6pxdx 与ò6sin pxdx解:当60p££x 时,有x x £sin ,且x x sin -不恒等于0,0sin 10>-\òdx x x )(,即,即 dx x dx x òò>1010sin 。
习题8—1(A)1.判断下列论述是否正确,并说明理由:(1)一个点集的内点一定属于,其外点一定不属于,其边界点一定不属于,其聚点一定属于;(2)开集的所有点都是其内点,开集也称为开区域;(3)一个有界集一定能包含在以坐标原点为圆心,适当长的线段为半径的圆内;(4)考查二元函数的定义域时,应从两方面去考虑:用解析式表达的函数要考虑使该解析式有意义的所对应的点的集合(自然定义域).对有实际意义的函数还应该从自然定义域中找出使实际问题有意义的点集;(5)当沿某一条曲线趋于时,函数的极限存在,并不能说明极限存在,但如果当沿某一条使函数有定义的曲线趋于时,函数的极限不存在,则一定不存在;(6)为说明极限不存在,通常也采取用当沿两条不同曲线趋于时,函数的极限不相等的方法;(7)如果函数在点连续,点必须是函数定义域的内点;(8)若是二元函数的间断点,那么一定不存在.答:(1)前两者都正确,这是根据内点、外点的定义;后两者都不正确,无论是边界点还是聚点它们都可以是的点,也可以是非的点,如当是闭集是,的边界点是的点当是开集时的边界点就不是的点;又如点是集合的聚点,但是它不是的点.(2)前者正确,这是有开集定义决定的;后者不正确,连通的开集才是开区域,不连通的开集不是开区域,如是开集,但是不是开区域.(3)正确,这就是有界集的定义.(4)正确,求多元函数的自然定义域如同一元函数的定义域,要从以下几个方面考虑:①分式中分母不能为零,②开偶次方底数要大于等于零,③对数中真数要于零,④、中要求,⑤若干个式子的四则运算中,取每个式子有意义的交集,等等.(5)两者都正确,如:不存在,但是沿取极限时值为1;后者是由极限的定义决定.(6)正确,这是证明多元函数极限不存在的基本方法,它源于在中,是以(定义域内的)任意方式实现的.(7)不正确.如:在点连续,但是点不是函数定义域的内点.(8)不正确.如:点是函数的间断点,但是极限.2.判定下列平面点集中哪些是开集、闭集、区域、有界集、无界集?并分别指出它们的聚点所组成的集合(称为导集,用表示)和边界:(1);(2);(3);(4).解:(1)是有界闭区域,其导集,其边界.(2)是非开非闭的有界区域,其导集,其边界.(3)是无界区域,其导集,.(4)是有界开集(不是区域),其导集,其边界.3.设函数,求,.解:,.4.设函数,求.解:.5.设函数,已知时,,求及的表达式.解:由时,,有,即,所以;而.6.设函数,求的表达式.解:(方法1)因为,所以.(方法2)令,则,于是,所以.7.求下列各函数的定义域,并作定义域草图:(1);(2);(3);(4).解:(1)由且,得定义域.(2)由及,有,得定义域.(3)由,有,得定义域.(4)由,有,或,得定义域.8.求下列极限:(1);(2);(3);(4);(5);(6).解:(1).(2).(3).(4)因为有界,而,所以.(5).(6).9.证明下列极限不存在:(1);(2).证明:(1)沿取极限,则,当取不同值时,该极限值不同,所以极限不存在.(2)先沿取极限,则;再沿取极限,则,由于沿两种不同方式取极限其极限值不同,所以极限不存在.10.找出下列函数的间断点的集合:(1);(2);(3).解:三个函数都是初等函数,找间断点只需找函数无定义的点,并且这些点又是定义域的聚点.(1)函数只在点无定义,且是定义域的聚点,所以断点的集合.(2)函数在圆周上无定义,且圆周上的点都是定义域的聚点,所以断点的集合.(3)函数的定义域,函数在及上无定义,这些点中只有,及()是定义域的聚点,所以断点的集合.习题8—1(B)1.某厂家生产的一种产品在甲、乙两个市场销售,销售价格分别为(单位:元),两个市场的销售量各自是销售价格的均匀递减函数,当售价为10元时,销售量分别为2400、850件,当售价为12元时,销售量分别为2000、700件.如果生产该产品的成本函数是,试用表示该厂生产此产品的利润.解:根据已知,设,由时,;时,,有得,于是.由时,;时,,有得,于是.两个市场销售该产品的收入为,该产品的成本.根据利润等于收入减去成本,得.2.设函数求函数值.解:当时,则,于是;当时,则,于是.3.求函数的定义域.解:由,有且,即且,或写作且;或且,即且,或写作且,所以定义域.4.求下列极限:(1);(2);(3);(4).解:(1)令,则当时,,所以.或者:因为时,与是等价无穷小,所以.(2).(3)令,则当时,(其中在区间内任意变化),所以.(4)因为,而,,根据“夹逼准则”得.5.证明极限不存在.证明:先沿取极限,,再取极限,,由于沿两种不同方式取极限其极限值不同,所以极限不存在.6.讨论函数的连续性.解:当时,是连续函数.当时,满足的点是轴上点或轴上点,对轴上点,极限,这些点是函数的连续点.对轴上点(除去),当时,极限不存在(极限不是零,震荡),所以这些点是间断点.综上,函数在点()处不连续,其余点处都连续.习题8—2(A)1.判断下列论述是否正确,并说明理由:(1)极限既是的一元函数在点处的导数,也是二元函数在点处对变量的偏导数;(2)二元函数在某一点处连续是在这点偏导数存在的必要条件;(3)二元函数的两个二阶混合偏导数与只要存在就一定相等.答:(1)正确,这是根据导数与偏导数的定义.(2)不正确,例如函数在点处连续,但是都不存在.事实上:因为不存在,所以不存在;由变量的对称性得,也不存在.(3)不正确.还需要与连续,否则它们不一定相等,如函数在点处,,从而.事实上,,特别,,特别,,.2.求下列函数对各个自变量的一阶偏导数:(1)();(2);(3);(4);(5)();(6);(7);(8);(9);(10).解:(1)将函数改写为,则,.(2),.(3),.(4),.(5),.(6),.(7),.(8),由变量的对称性,得.(9),,.(10),,.3.求下列函数在指定点的偏导数:(1)设,求及;(2)设,求及.解:(1)在时,将函数改写为,则,,.(2)因为,所以,因为,所以.4.求曲线在点处的切线与轴正向的夹角.解:,,用表示曲线在点处的切线与轴正向的夹角,则,所以.5.求下列函数的高阶偏导数:(1)设,求,,和;(2)设,求,和;(3)设,求,和.解:(1),,,,,,.(2),,,,,.(3),,,,.6.设函数,求,和.解:因为,则,因为,则,.7.设函数,证明.证明:因为,所以.8.设函数,证明.证明:因为,所以.9.设函数,证明.证明:因为,,,,,,所以.10.若函数都可导,设,证明.证明:因为,,,所以.习题8—2(B)1.设一种商品的需求量是其价格及某相关商品价格的函数,如果该函数存在偏导数,称为需求对价格的弹性、为需求对价格的交叉弹性.如果某种数码相机的销售量与其价格及彩色喷墨打印机的价格有关,为,当,时,求需求对价格的弹性、需求对价格的交叉弹性.解:由,,有,,当,时,需求对价格的弹性:,需求对价格的交叉弹性:.2.已知满足,证明.证明:由,有,由,有,由,有,得.3.设函数,证明.证明:将函数改写为,则,,由变量的对称性,有,,所以.4.设函数满足,且,,求.解:由,两边同时对求不定积分,有,用代入该式,有,根据条件,得,于是.上式两边同时再对求不定积分,有,由条件,得,所以.5.设函数,求及.解:,(或由变量的对称性求得).6.设函数证明在点处的两个偏导数都不存在.证明:因为极限不存在,极限不存在,所以在点处的两个偏导数都不存在.习题8—3(A)1.判断下列论述是否正确,并说明理由:(1)称函数在可微分,如果在这一点函数的两个偏导数都存在,并且,其中为函数在点的全增量,;(2)函数在一点可微分,它在这点必连续;(3)函数在一点可微分的充分必要条件是,在这点的偏导数都存在;(4)函数在一点的偏导数连续,能保证在这点附近曲面可以用平面来近似替代,其中.答:(1)正确,可微的必要条件是两个偏导数存在,且,再根据,有,即.,这就是函数可微的定义.(2)正确,事实上,由可微,根据定义有,于是,这表明函数在该点连续.(3)不正确,偏导数存在仅仅是可微的必要条件,而不是可微的充分条件,如函数在两个偏导数都存在且等于零(习题8-2(B)5),但是函数在不可微.事实上,若可微,则,但是不存在(分别沿、取极限,其值为0及),这与矛盾,所以函数在不可微.函数可微的充分条件是偏导数在该点连续.(4)正确,若记,则,由此得,这表明在点附近曲面可以用平面来近似替代,这就是所谓的局部线性化.2.求下列函数的全微分:(1);(2);(3);(4);(5);(6).解:(1)因为,,所以.(2)因为,,所以.(3)因为,,所以.(4)因为,,所以(5)因为,,,所以.(6)因为,,,所以.3.当,时,求函数的全微分和局部线性化.解:因为,,,,所以,而,.4.当,,,时,求函数的全增量及全微分.解:,,,,当,,,时:全增量,全微分.习题8—3(B)1.一个圆柱形构件受压后发生形变,它的半径由cm增加到cm,高由cm减少到cm,求此构件体积变化的近似值.解:设构件的高为、底半径为、体积为,则.,,于是,当时,(,即体积大约减少了628 (.2.计算的近似值.解:考虑函数,取,而,,、、,则.3.设函数在点的某个邻域内可微,且,其中,求函数在点处的全微分及局部线性化.解:在中,令,得.在点考虑函数的全增量:,(其中)根据全微分的定义,有,并且得..4.设函数在点处讨论偏导数的存在性、偏导数的连续性以及函数的可微性.解:因为,,所以在点处函数的两个偏导数都存在,且.再讨论可微性,函数在处的全增量用表示,则,记,则不存在(沿取极限,其值为;沿取极限,其值为),所以函数在点处不可微.进而得偏导(函)数在点处不连续(若偏导(函)数在点处连续,根据可微的充分条件,则函数一点可微,与函数不可微矛盾).习题8—4(A)1.判断下列论述是否正确,并说明理由:(1)对多元复合函数来说,欲求其对自变量的偏导数,借助于树形图比较方便.不论中间变量是几元函数,最终求出的偏导数所含的项数等于从因变量到达该自变量的路径数目,某一项有几个因式,取决于与该项相对应的路径中所含有的线段数目;(2)对于可微的复合函数,,对于的偏导数;(3)利用全微分形式的不变性,对一个多元复合函数来说可以先求其全微分,最后再得出该复合函数对各自变量的偏导数.答:(1)正确,这是复合函数的链式求导法则决定的,如若函数由函数复合而成,复合函数的树形图为右图,而在图中我们可以看到从变量到变量有四条路径,由此导数公式中有四项之和,而每一项中(如第一项)偏导数或导数的个数(3个)等于这条路径上从到段数(3段).(2)不正确,左、右式中的含义不同,左式中表示对自变量求导,它涉及图中三个,而右式中的仅表示对中间变量(一)求导,(当某一个变量在复合函数中有双重身份,既是自变量又是中间变量时会出现这种记号混淆情况),为了与左式中区别,此处应当用记号(同时分别用)表示,即写作.(3)正确,即若某个复合函数的全微分是(通常这个全微分是由微分法则与微分形式不变性求得),则、,这是多元复合函数求偏导数的方法之一.2.设函数,而,,求.解:(方法1)函数的复合关系如图,则.(方法2)消去中间变量,有,按一元函数求导,得.(注:具体函数的复合函数都有以上两种方法,并且方法2简单,但是本节的目的在于练习复合函数链式求导方法,所以后面只用方法1求导)3.设函数而是的可微函数,求.解:.4.设函数,而,求.解:.5.设函数,而,,求和.解:,.6.设函数,求和.解:这是幂指函数求导,为方便求导,将它写作复合函数,为此令,则,.(注:可以由变量的对称性直接写出)7.求下列函数的一阶偏导数(其中函数具有一阶连续的偏导数或导数):(1);(2);(3);(4).解:(1),.(2),.(3),.(4),,.8.设函数,其中是可微函数,证明.证明:因为,,所以.9.设函数,其中是可微函数,证明.证明:因为,,所以.10.用微分形式不变性求函数的偏导数和.解:令,则,则根据微分法则与微分形式不变性,得所以,,.习题8—4(B)1.在解偏微分方程(含有未知函数的偏导数的方程,也称为数理方程)时,常常要用变量代换将一个复杂的方程化为一个简单的方程,从而可以求其解.设具有二阶连续偏导数,若用变量代换将偏微分方程化为,求的值.解:,,,,.由,有,即,要化为,必须,且,由,即,得或,但是由,所以只能是.2.设有一阶连续偏导数,且满足,,,求.解:令,等式两边同时对求导,有,(*)由于,,则(*)式化为,所以.3.若函数有二阶导数,且,又函数满足方程,求.解:令,则,于是,,,,由,有,即,这是二阶常系数线性齐次微分方程,特征方程是,特征根为,方程的通解是,,由条件,有,,得,所求所求函数是.4.若函数可微,且对任何正实数有,证明.证明:等式两边同时对导,则,记,则上式为,令,得,将该式中的分别用表示,则,即.5.求下列函数的二阶偏导数(其中函数具有二阶连续偏导数):(1);(2);解:(1),,,,.(2),,,,.6.设,其中函数、有二阶导数,求、及.解:,,,,.7.设,其中函数、有二阶导数,证明.证明:因为,,.所以.习题8—5(A)1.判断下列论述是否正确,并说明理由:(1)要使方程确定一个隐函数,如果将定理5.1中的条件换为而其它不变,则该方程仍能确定一个隐函数;(2)如果函数满足类似于定理5.1的条件,对各个自变量有连续偏导数,且对某个变量的偏导数不为零,则元方程可以确定一个具有连续偏导数的元函数;(3)若按照教材中的说法,一个方程组可以确定一组多元函数.那么函数的个数等于方程组中方程的个数,函数的元数等于方程中所含变量的总个数减去方程的个数;(4)若方程组能确定两个二元隐函数那么通过对该方程组中的各个方程的两边对同一个变量求导,就可以得到含有的方程组,通过解这个方程组,就可以求得.答:(1)不正确,如方程(其中),在点处有,但是它不能确定一个隐函数,因为在这点左侧附近给定一个对应有两个值,在这点右侧附近没有值对应;当且其它条件不变时,可以确定一个一元函数.(2)正确,这是定理5.1的推广.(3)正确,但是要注意两点,一是变量的个数需大于方程的个数(否则方程组可能只确定一点,或者无解);二是要满足隐函数存在的条件(超出教学要求,此处略去).(4)正确,如同例5.4、例5.5等的解法.2.若函数分别由下列方程确定,求.(1);(2);(3);(4).解:(1)(方法1)设,则,所以(方法2)方程两边同时对求导,有,解得.(注:两种方法最大的差别在于:方法1中在求时都看作自变量,而方法2在求导过程中要看作的函数.尽管方法1简单一些,但是它有局限性,只适用于求一个方程确定的隐函数的一阶导数或偏导数,而方法2适用于各类隐函数的各阶导数或偏导数的求法,后面一般都按方法2作)(2)方程两边同时对求导,有,解得.(3)方程两边同时对求导,有,得.(4)方程两边取对数,有,该式两边同时对求导,有,即,解得.3.设函数分别由下列方程确定,求.(1);(2).解:(1)方程两边同时对求导,有,得,.(2)方程两边同时对求导,有,解得,.4.若函数分别由下列方程确定,求及.(1);(2);(3);(4).解:(1)(方法1)设,则,所以.(方法2)方程两边对求导,有,得,方程两边对求导,有,得.(以下都按方法2作)(2)方程两边同时对求导,有,得,方程两边同时对求导,有,得(或由变量的对称性,得).(3)方程两边对求导,有,即,而,所以,得,由变量对称性有.(4)方程改写为,方程两边对求导,有,得,方程两边对求导,有,得.5.若函数,,都是由方程确定的隐函数,其中有一阶连续非零的偏导数,证明.证明:因为,所以.6.设函数,而函数由方程确定,求全导数.解:方程两边同时对求导,有,得,.7.设函数,而函数、分别由方程及确定,求全导数.解:方程两边同时对求导,有,得,方程两边同时对求导,有,得,所以.8.设函数,而由方程确定,求.解:方程两边同时对求导,有,用、代入,有,得.于是,所以.习题8—5(B)1.某工件的外表面是一个椭球面,方程由给出,现在点处要将其局部线性化(即做一个切平面),求局部线性化表达式.解:设方程在点确定的隐函数为,方程两边对求导,有,用、代入,有,得,由变量对称性,得.所以.2.若函数由方程确定,求.解:方程两边对求导,有,得,由变量的对称性,得.等式两边同时对求导,有,即所以.或.3.若函数由方程确定,其中是可微函数,求、.解:方程两边同时对求导,有,解得,方程两边同时对求导,有,解得.4.若函数由方程确定,其中是可微函数,证明.证明:方程两边同时对求导,有,得,方程两边同时对求导,有,得,所以.5.设函数,而由方程确定,其中函数连续,、可微,且,求.解:方程两边对求导,有,得,方程两边对求导,有,得.,所以.6.求由下列方程组所确定函数的导数或偏导数:(1)求和.(2)求及.解:(1)方程组两边同时对求导,有消去,有,得,而.(2)方程组两边同时对求导,有(1)(2),有,得,再代入到(2)之中得.方程组两边同时对求导,有与前面解法类似,得,.习题8—6(A)1.判断下列论述是否正确,并说明理由:(1)如果曲线的参数方程为(),那么它就对应一个向量值方程若存在并且不同时为零,那么,曲线在相应点处的切向量为,由此利用直线的点向式方程就可写出该点处的切线方程;(2)求曲线的切线方程与法平面方程的关键是求切向量,而其中又以参数方程为基础,其它形式的曲线方程都划归为参数方程,找出相应的切向量,然后写出要求的方程;(3)曲面的切平面方程是以曲面的一般方程为基础进行讨论的,如果曲面方程为的形式,那么必须把它化为的形式,其中,因而它在点处的法向量一定为,切平面方程为:;(4)如果曲线为一般方程那么,曲线在点的切向量可取为.答:(1)正确,这就是曲线为参数方程时,切线方向向量的求法.此时切线方程为;法平面方程为.(2)正确,对参数方程,在处的切向量;对形如的取向方程,将变量看作参数,在处的切向量对一般方程按隐函数它可以确定两个一元函数,如,按隐函数求导方法得到,从而得在处的切向量.(3)不确切,曲面的法向量可以直接由给出,也可以由给出.(4)正确,设曲面在点处的法向量为,曲面在点处的法向量为,根据法平面的定义有,于是可取.2.空间一质点在时刻时的位置为,求质点在时刻的速度.解:.3.求曲线在点处的切线及法平面方程.解:点对应参数为,切向量,切线方程为,法平面方程为,即.4.求曲线,在对应于的点处的切线及法平面方程.解:切点为,切向量,切线方程为,法平面方程为,即.5.求曲线在点处的切线及法平面方程.解:,切向量,切线方程为,法平面方程为,即.6.求曲线在点处的切线及法平面方程.解:设,则切向量,切线方程为,法平面方程为,即.7.求曲面在点处的切平面及法线方程.解:设,则法向量,切平面方程是,即,法线方程是.8.求曲面在点处的切平面及法线方程.解:法向量切平面方程是,即,法线方程是.习题8—6(B)1.求曲线()上平行于平面的切线方程,并写出该点处的法平面方程.解:设切点坐标为,该点对应参数,曲线在该点的切向量为,由切线与平面平行,有,得,即,由于,所以.切点坐标为,切向量,切线方程为,法平面方程为,即.2.在椭球面上求平行于平面的切平面方程.解:设切点坐标为,,则法向量,由切平面平行于平面,有,即,代入到曲面方程之中,有,得,切点为或,在点,切平面为,即;在点,切平面为,即.3.问旋转抛物面上哪一点处的切平面过曲线,,在点处的切线.解:设切点坐标为,则法向量,切平面方程为,即.曲线,,在点对应参数,曲线在点处的切向量.由在曲面上,有.①由切平面过,有.②曲线,,在点处的切线在切平面上,有所以,即.③由方程①、②、③式解得或,于是所求点为或.4.证明二次曲面在点处的切平面方程为:.证明:设,则曲面在的法向量。
高等数学课后习题及参考答案(第五章)习题5-11. 利用定积分定义计算由抛物线y =x 2+1, 两直线x =a 、x =b (b >a )及横轴所围成的图形的面积.解 第一步: 在区间[a , b ]内插入n -1个分点i nab a x i -+=(i =1, 2, ⋅ ⋅ ⋅, n -1), 把区间[a , b ]分成n 个长度相等的小区间, 各个小区间的长度为: nab x i -=∆(i =1, 2, ⋅ ⋅ ⋅, n ). 第二步: 在第i 个小区间[x i -1, x i ] (i =1, 2, ⋅ ⋅ ⋅, n )上取右端点i nab a x i i -+==ξ, 作和 nab i n a b a x f S ni i i ni n -⋅+-+=∆=∑∑==]1)[()(211ξ ∑=+-+-+-=n i i na b i n a b a a n a b 12222]1)()(2[ ]6)12)(1()(2)1()(2[)(222n n n n n a b n n n a b a na n a b +++⋅-++⋅-+-= ]16)12)(1()()1)(()[(222+++-++-+-=n n n a b n n a b a a a b . 第三步: 令λ=max{∆x 1, ∆x 2, ⋅ ⋅ ⋅ , ∆x n }nab -=, 取极限得所求面积 ∑⎰=→∆==ni i i ba x f dx x f S 10)(lim )(ξλ]16)12)(1()()1)(()[(lim 222+++-++-+-=∞→n n n a b n n a b a a a b n a b a b a b a b a a a b -+-=+-+-+-=)(31]1)(31)()[(3322.2. 利用定积分定义计算下列积分:(1)xdx ba ⎰(a <b ); (2)dx e x ⎰10.解 (1)取分点为i n a b a x i -+=(i =1, 2, ⋅ ⋅ ⋅, n -1), 则nab x i -=∆(i =1, 2, ⋅ ⋅ ⋅, n ). 在第i 个小区间上取右端点i nab a x i i -+==ξ (i =1, 2, ⋅ ⋅ ⋅, n ). 于是 ∑∑⎰=∞→=∞→-⋅-+=∆=ni n ni i i n ba nab i n a b a x xdx 11)(lim lim ξ )(21]2)1()()([lim )(22222a b n n n a b a b a a b n -=+-+--=∞→. (2)取分点为n i x i =(i =1, 2, ⋅ ⋅ ⋅, n -1), 则nx i 1=∆(i =1, 2, ⋅ ⋅ ⋅, n ). 在第i 个小区间上取右端点nix i i ==ξ (i =1, 2, ⋅ ⋅ ⋅, n ). 于是) (1lim 1lim 21110n n n n n n i n i n xe e e nn e dx e +⋅⋅⋅++==∞→=∞→∑⎰1)1(]1[lim1])(1[1lim 11111-=--=--⋅=∞→∞→e e n e e e e e nnn n nn n n n .3. 利用定积分的几何意义 说明下列等式: (1)1210=⎰xdx ; (2)41102π=-⎰dx x ;(3)⎰-=ππ0sin xdx ;(4)⎰⎰=-2022cos 2cos πππxdx xdx .解 (1)⎰102xdx 表示由直线y =2x 、x 轴及直线x =1所围成的面积, 显然面积为1.(2)⎰-1021dx x 表示由曲线21x y -=、x 轴及y 轴所围成的四分之一圆的面积, 即圆x 2+y 2=1的面积的41:41411212ππ=⋅⋅=-⎰dx x .(3)由于y =sin x 为奇函数, 在关于原点的对称区间[-π, π]上与x 轴所夹的面积的代数和为零, 即⎰-=ππ0sin xdx .(4)⎰-22cos ππxdx 表示由曲线y =cos x 与x 轴上]2,2[ππ-一段所围成的图形的面积. 因为cos x为偶函数, 所以此图形关于y 轴对称. 因此图形面积的一半为⎰20cos πxdx , 即⎰⎰=-2022cos 2cos πππxdx xdx .4. 水利工程中要计算拦水闸门所受的水压力, 已知闸门上水的压强p (单位面积上的压力大小)是水深h 的函数, 且有p =9⋅8h (kN/m 2). 若闸门高H =3m , 宽L =2m , 求水面与闸门顶相齐时闸门所受的水压力P .解 建立坐标系如图. 用分点i nHx i =(i =1, 2, ⋅ ⋅ ⋅, n -1)将区间[0, H ]分为n 分个小区间, 各小区间的长为nHx i =∆(i =1, 2, ⋅ ⋅ ⋅, n ). 在第i 个小区间[x i -1, x i ]上, 闸门相应部分所受的水压力近似为 ∆P i =9.8x i l ⋅∆x i . 闸门所受的水压力为22118.42)1(lim 8.9lim 8.98.9lim H L nn n H L n Hi n H L x L x P n ni n ni i i n ⋅=+⋅=⋅=∆⋅⋅=∞→=∞→=∞→∑∑.将L =2, H =3代入上式得P =88.2(千牛).5. 证明定积分性质: (1)⎰⎰=ba b a dx x f k dx x kf )()(; (2)a b dx dx ba b a -==⋅⎰⎰1.证明 (1)⎰∑∑⎰=∆=∆==→=→ba ni i i ni i i ba dx x f k x f k x kf dx x kf )()(lim )(lim )(1010ξξλλ.(2)a b a b x x dx ni i ni i ba -=-=∆=∆⋅=⋅→=→=→∑∑⎰)(lim lim 1lim 101010λλλ.6. 估计下列各积分的值: (1)⎰+412)1(dx x ; (2)⎰+ππ4542)sin 1(dx x ;(3)⎰331arctan xdx x ;(4)⎰-022dx e xx.解 (1)因为当1≤x ≤4时, 2≤x 2+1≤17, 所以 )14(17)1()14(2412-⋅≤+≤-⋅⎰dx x , 即 51)1(6412≤+≤⎰dx x . (2)因为当ππ454≤≤x 时, 1≤1+sin 2x ≤2, 所以 )445(2)sin 1()445(14542ππππππ-⋅≤+≤-⋅⎰dx x ,即 ππππ2)sin 1(4542≤+≤⎰dx x .(3)先求函数f (x )=x arctan x 在区间]3 ,31[上的最大值M 与最小值m .21arctan )(xx x x f ++='. 因为当331≤≤x 时, f '(x )>0, 所以函数f (x )=x arctan x 在区间]3 ,31[上单调增加. 于是3631arctan31)31(π===f m , 33arctan 3)3(π===f M .因此)313(3arctan )313(36331-≤≤-⎰ππxdx x ,即32arctan 9331ππ≤≤⎰xdx x . (4)先求函数xx e x f -=2)(在区间[0, 2]上的最大值M 与最小值m .)12()(2-='-x e x f xx , 驻点为21=x .比较f (0)=1, f (2)=e 2,41)21(-=e f ,得41-=e m , M =e 2. 于是)02()02(220412-⋅≤≤-⎰--e dx e e xx,即 41022222---≤≤-⎰e dx dx e e xx .7. 设f (x )及g (x )在[a , b ]上连续, 证明:(1)若在[a , b ]上 f (x )≥0, 且0)(=⎰ba dx x f , 则在[a ,b ]上f (x )≡0; (2)若在[a , b ]上, f (x )≥0, 且f (x )≢0, 则0)(>⎰ba dx x f ;(3)若在[a , b ]上, f (x )≤g (x ), 且⎰⎰=b a ba dx x g dx x f )()(, 则在[ab ]上f (x )≡g (x ).证明 (1)假如f (x )≢0, 则必有f (x )>0. 根据f (x )在[a , b ]上的连续性, 在[a , b ]上存在一点x 0, 使f (x 0)>0, 且f (x 0)为f (x )在[a , b ]上的最大值.再由连续性, 存在[c , d ]⊂[a , b ], 且x 0∈[c , d ], 使当x ∈[c , d ]时, 2)()(0x f x f >. 于是0)(2)()()()()()(0>-≥≥++=⎰⎰⎰⎰⎰c d x f dx x f dx x f dx x f dx x f dx x f dc bd d c c a b a . 这与条件0)(=⎰ba dx x f 相矛盾. 因此在[a ,b ]上f (x )≡0.(2)证法一 因为f (x )在[a , b ]上连续, 所以在[a , b ]上存在一点x 0, 使f (x 0)>0, 且f (x 0)为f (x )在[a , b ]上的最大值.再由连续性, 存在[c , d ]⊂[a , b ], 且x 0∈[c , d ], 使当x ∈[c , d ]时, 2)()(0x f x f >. 于是⎰⎰>-≥≥badcc d x f dx x f dx x f 0)(2)()()(0. 证法二 因为f (x )≥0, 所以0)(≥⎰ba dx x f . 假如0)(>⎰ba dx x f 不成立. 则只有0)(=⎰ba dx x f , 根据结论(1), f (x )≡0, 矛盾. 因此0)(>⎰ba dx x f . (3)令F (x )=g (x )-f (x ), 则在[a ,b ]上F (x )≥0且0)()()]()([)(=-=-=⎰⎰⎰⎰ba b a b a b a dx x f dx x g dx x f x g dx x F ,由结论(1), 在[a , b ]上F (x )≡0, 即f (x )≡g (x ).4. 根据定积分的性质及第7题的结论, 说明下列积分哪一个的值较大: (1)⎰102dx x 还是⎰103dx x ?(2)⎰212dx x 还是⎰213dx x ? (3)⎰21ln xdx 还是⎰212)(ln dx x ? (4)⎰10xdx 还是⎰+10)1ln(dx x ? (5)⎰10dx e x 还是⎰+10)1(dx x ?解 (1)因为当0≤x ≤1时, x 2≥x 3, 所以⎰⎰≥103102dx x dx x . 又当0<x <1时, x 2>x 3, 所以⎰⎰>103102dx x dx x . (2)因为当1≤x ≤2时, x 2≤x 3, 所以⎰⎰≤213212dx x dx x . 又因为当1<x ≤2时, x 2<x 3, 所以⎰⎰<213212dx x dx x .(3)因为当1≤x ≤2时, 0≤ln x <1, ln x ≥(ln x )2, 所以⎰⎰≥21221)(ln ln dx x xdx . 又因为当1<x ≤2时, 0<ln x <1, ln x >(ln x )2, 所以⎰⎰>21221)(ln ln dx x xdx . (4)因为当0≤x ≤1时, x ≥ln(1+x ), 所以⎰⎰+≥1010)1ln(dx x xdx . 又因为当0<x ≤1时, x >ln(1+x ), 所以⎰⎰+>1010)1ln(dx x xdx .(5)设f (x )=e x -1-x , 则当0≤x ≤1时f '(x ) =e x -1>0, f (x )=e x -1-x 是单调增加的. 因此当0≤x ≤1时, f (x )≥f (0)=0, 即e x ≥1+x , 所以⎰⎰+≥1010)1(dx x dx e x .又因为当0<x ≤1时, e x >1+x , 所以⎰⎰+>1010)1(dx x dx e x .习题5-21. 试求函数⎰=xtdt y 0sin 当x =0及4π=x 时的导数.解 x tdt dx dy x sin sin 0=='⎰, 当x =0时, y '=sin0=0;当4π=x 时, 224sin =='πy .2. 求由参数表示式⎰=tudu x 0sin , ⎰=tudu y 0cos 所给定的函数y 对x的导数.解 x '(t )=sin t , y '(t )=cos t ,t t x t y dx dy cos )()(=''=. 3. 求由⎰⎰=+xy ttdt dt e 00cos 所决定的隐函数y 对x 的导数dxdy. 解 方程两对x 求导得 0cos =+'x y e y , 于是ye x dx dy cos -=. 4. 当x 为何值时, 函数⎰-=xt dt te x I 02)(有极值?解 2)(x xe x I -=', 令I '(x )=0, 得x =0.因为当x <0时, I '(x )<0; 当x >0时, I '(x )>0, 所以x =0是函数I (x )的极小值点. 5. 计算下列各导数:(1)⎰+2021x dt t dx d ; (2)⎰+32411x x dt tdx d ; (3)⎰x x dtt dxd cos sin 2)cos(π.解 (1)dxdu dt t du d u x dt t dx d u x ⋅+=+⎰⎰02202112令 421221x x x u +=⋅+=.(2)⎰⎰⎰+++=+323204044111111x x x x dt t dx d dt t dx d dt t dx d ⎰⎰+++-=3204041111x x dt t dx d dt t dx d )()(11)()(11343242'⋅++'⋅+-=x x x x 12281312xx x x +++-=. (3)⎰⎰⎰+-=x x x x dt t dx d dt t dx d dt t dx d cos 02sin 02cos sin 2)cos()cos()cos(πππ))(cos cos cos())(sin sin cos(22'+'-=x x x x ππ )cos cos(sin )sin cos(cos 22x x x x ππ⋅-⋅-= )sin cos(sin )sin cos(cos 22x x x x πππ-⋅-⋅-= )sin cos(sin )sin cos(cos 22x x x x ππ⋅+⋅-= )sin cos()cos (sin 2x x x π-=.6. 计算下列各定积分: (1)⎰+-adx x x 02)13(;解a a a x x x dx x x a a+-=+-=+-⎰230230221|)21()13(.(2)⎰+2142)1(dx xx ;解852)11(31)22(31|)3131()1(333321332142=---=-=+---⎰x x dx x x . (3)⎰+94)1(dx x x ;解94223942194|)2132()()1(x x dx x x dx x x +=+=+⎰⎰6145)421432()921932(223223=+-+=.(4)⎰+33121x dx ; 解 66331arctan 3arctan arctan 13313312πππ=-=-==+⎰x x dx . (5)⎰--212121x dx ; 解3)6(6)21arcsin(21arcsin arcsin 1212121212πππ=--=--==---⎰x x dx .(6)⎰+ax a dx 3022;解aa a ax a x a dx a a30arctan 13arctan 1arctan 1303022π=-==+⎰.(7)⎰-1024x dx ;解60arcsin 21arcsin 2arcsin 41012π=-==-⎰x x dx .(8)dx x x x ⎰-+++012241133; 解 01301221224|)arctan ()113(1133---+=++=+++⎰⎰x x dx x x dx x x x 41)1arctan()1(3π+=----=.(9)⎰---+211e xdx ; 解1ln 1ln ||1|ln 12121-=-=+=+------⎰e x xdx e e .(10)⎰402tan πθθd ;解4144tan )(tan )1(sec tan 4040242πππθθθθθθπππ-=-=-=-=⎰⎰d d .(11)dx x ⎰π20|sin |;解⎰⎰⎰-=ππππ2020sin sin |sin |xdx xdx dx xπππ20cos cos x x +-==-cos π +cos0+cos2π-cos π=4. (12)⎰2)(dx x f , 其中⎪⎩⎪⎨⎧>≤+=1 2111)(2x x x x x f . 解38|)61(|)21(21)1()(213102212102=++=++=⎰⎰⎰x x x dx x dx x dx x f . 7. 设k 为正整数. 试证下列各题: (1)⎰-=ππ0cos kxdx ;(2)⎰-=ππ0sin kxdx ;(3)⎰-=πππkxdx 2cos ;(4)⎰-=πππkxdx 2sin .证明 (1)⎰--=-=--==ππππππ000)(sin 1sin 1|sin 1cos k kk k kx k kxdx . (2))(cos 1cos 1cos 1sin ππππππ-+-=-=--⎰k kk k x k k kxdxcos 1cos 1=+-=ππk kk k(3)πππππππππ=+=+=+=---⎰⎰22|)2sin 21(21)2cos 1(21cos 2kx k x dx kx kxdx . (4)πππππππππ=+=-=-=---⎰⎰22|)2sin 21(21)2cos 1(21sin 2kx k x dx kx kxdx . 8. 设k 及l 为正整数, 且k ≠l . 试证下列各题: (1)⎰-=ππ0sin cos lxdx kx ;(2)⎰-=ππ0cos cos lxdx kx ;(3)⎰-=ππ0sin sin lxdx kx .证明 (1)⎰⎰----+=ππππdx x l k x l k lxdx kx ])sin()[sin(21sin cos0])cos()(21[])cos()(21[=----++-=--ππππx l k l k x l k l k .(2)⎰⎰---++=ππππdx x l k x l k lxdx kx ])cos()[cos(21cos cos0])sin()(21[])sin()(21[=--+++=--ππππx l k l k x l k l k .(3)⎰⎰----+-=ππππdx x l k x l k lxdx kx ])cos()[cos(21sin sin . 0])sin()(21[])sin()(21[=--+++-=--ππππx l k l k x l k l k .9. 求下列极限: (1)xdt t xx ⎰→020cos lim ; (2)⎰⎰→xt xt x dttedt e 0220022)(lim.解 (1)11cos lim cos lim20020==→→⎰x xdt t x xx . (2)22222200022)(2lim)(limx xt x t x xt xt x xedt e dt e dttedt e '⋅=⎰⎰⎰⎰→→222220202lim2limx xt x x x xt x xedte xeedt e ⎰⎰→→=⋅=2212lim 22lim 2020222=+=+=→→x e x e e x x x x x . 10. 设⎩⎨⎧∈∈=]2 ,1[ ]1 ,0[ )(2x x x x x f . 求⎰=x dt t f x 0)()(ϕ在[0, 2]上的表达式,并讨论ϕ(x )在(0, 2)内的连续性.解 当0≤x ≤1时, 302031)()(x dt t dt t f x xx===⎰⎰ϕ;当1<x ≤2时, 6121212131)()(2211020-=-+=+==⎰⎰⎰x x tdt dt t dt t f x xxϕ.因此 ⎪⎩⎪⎨⎧≤<-≤≤=21 612110 31)(23x x x x x ϕ.因为31)1(=ϕ, 3131lim )(lim 30101==-→-→x x x x ϕ,316121)6121(lim )(lim 20101=-=-=+→+→x x x x ϕ,所以ϕ(x )在x =1处连续, 从而在(0, 2)内连续.11. 设⎪⎩⎪⎨⎧><≤≤=ππx x x x x f 或0 00 sin 21)(. 求⎰=x dt t f x 0)()(ϕ在(-∞, +∞)内的表达式.解 当x <0时,00)()(0===⎰⎰xxdt dt t f x ϕ;当0≤x ≤π时,21cos 21|cos 21sin 21)()(000+-=-===⎰⎰x t tdt dt t f x xxxϕ;当x >π时,πππϕ000|cos 210sin 21)()(t dt tdt dt t f x x x-=+==⎰⎰⎰10cos 21cos 21=+-=π.因此 ⎪⎩⎪⎨⎧≥≤≤-<=ππϕx x x x x 10 )cos 1(210 0)(.12. 设f (x )在[a , b ]上连续, 在(a , b )内可导且f '(x )≤0,⎰-=x a dt t f ax x F )(1)(. 证明在(a , b )内有F '(x )≤0.证明 根据积分中值定理, 存在ξ∈[a , x ], 使))(()(a x f dt t f xa -=⎰ξ.于是有)(1)()(1)(2x f ax dt t f a x x F x a -+--='⎰ ))(()(1)(12a x f a x x f a x ----=ξ )]()([1ξf x f ax --=.由 f '(x )≤0可知f (x )在[a , b ]上是单调减少的, 而a ≤ξ≤x , 所以f (x )-f (ξ)≤0. 又在(a , b )内, x -a >0, 所以在(a , b )内)]()([1)(≤--='ξf x f a x x F .习题5-31. 计算下列定积分:(1)⎰+πππ2)3sin(dx x ;解 0212132cos 34cos)3cos()3sin(22=-=+-=+-=+⎰ππππππππx dx x . (2)⎰-+123)511(x dx;解51251110116101)511(2151)511(22122123=⋅+⋅-=+-⋅=+-----⎰x x dx. (3)⎰203cos sin πϕϕϕd ;解⎰⎰-=20323sin cos cos sin ππϕϕϕϕϕd s d410cos 412cos 41cos 4144204=+-=-=πϕπ.(4)⎰-πθθ03)sin 1(d ; 解⎰⎰⎰⎰-+=+=-πππππθθθθθθθθ02002003cos )cos 1(cos sin )sin 1(d d d d34)cos 31(cos 03-=-+=πθθππ.(5)⎰262cos ππudu ;解2626262622sin 4121)2cos 1(21cos ππππππππu u du u udu +=+=⎰⎰836)3sin (sin 41)62(21-=-+-=πππππ.(6)dx x ⎰-2022;解dt t tdt t t x dx x ⎰⎰⎰+=⋅=-202022)2cos 1(cos 2cos 2sin 22ππ令2)2sin 21(20ππ=+=t t .(7)dy y ⎰--22228;解⎰⎰⎰---⋅=-=-44222222cos 2cos 22sin 24228ππxdx x xy dy y dy y 令)2(2)2sin 21(22)2cos 1(224444+=+=+=--⎰πππππy x dx x .(8)⎰-121221dx xx ;解41)cot ()1sin 1(cos sin cos sin 12424224212122πππππππ-=--=-=⋅=-⎰⎰⎰t t dt t tdt t t t x dx x x 令.(9)⎰-adx x a x 0222; 解⎰⎰⎰=⋅⋅=-2024202202222sin4cos cos sin sin ππtdt a tdt a t a t a t a x dx x a xa令164sin 328)4cos 1(84204204204ππππa t a t a dt t a =-=-=⎰. (10)⎰+31221xxdx ;解⎰⎰⋅⋅=+34223122secsec tan 1tan 1ππtdt t t tx xxdx 令3322sin 1sin cos 34342-=-==⎰ππππt dt tt. (11)⎰--1145xxdx ;解61)315(81)5(81454513133211=--=-=--⎰⎰-u u du u u x x xdx 令. (12)⎰+411xdx ;解)32ln 1(2|)1|ln (2)111(2211121212141+=+-=+-=⋅+=+⎰⎰⎰u u du u udu u u x x dx 令.(13)⎰--14311x dx ;解2ln 21|)1|ln (2)111(2)2(11111210210021143-=-+=-+=-⋅-=---⎰⎰⎰u u du u du u u ux x dx 令.(14)⎰-axa xdx 20223;解)13(3)3(3121320202222222022-=--=---=-⎰⎰a x a x a d x a xa xdx a a a.(15)dt te t ⎰-1022;解2110102221021)2(222-----=-=--=⎰⎰e etd e dt tet t t .(16)⎰+21ln 1e x x dx; 解)13(2ln 12ln ln 11ln 1222111-=+=+=+⎰⎰e e e xx d xxx dx .(17)⎰-++02222x x dx;解 2)1arctan(1arctan )1arctan()1(112202022022π=--=+=++=++---⎰⎰x dx x x x dx .(18)⎰-222cos cos ππxdx x ;解32)sin 32(sin sin )sin 21(2cos cos 22322222=-=-=---⎰⎰ππππππx x x d x xdx x . (19)⎰--223cos cos ππdx x x ;解⎰⎰---=-222223cos 1cos cos cos ππππdx x x dx x x34cos 32cos 32sin cos )sin (cos 20230223202=-=+-=--⎰⎰ππππx xxdx x dx x x (20)⎰+π02cos 1dx x .解22cos 2sin 22cos 1000=-==+⎰⎰πππxxdx dx x .2. 利用函数的奇偶性计算下列积分: (1)⎰-ππxdx x sin 4;解 因为x 4sin x 在区间[-π, π]上是奇函数, 所以0sin 4=⎰-ππxdx x . (2)⎰-224cos 4ππθθd ;解⎰⎰⎰+==-202204224)22cos 1(8cos 42cos 4ππππθθθθθd x d d ⎰⎰++=++=20202)4cos 212cos 223(2)2cos 2cos 21(2ππθθd x x d x x23)4sin 412sin 23(20πθπ=++=x x . (3)⎰--2121221)(arcsin dx xx ;解⎰⎰⎰=-=--21221022212122)(arcsin )(arcsin 21)(arcsin 21)(arcsin x d x dx xx dx xx324)(arcsin 3232103π==x .(4)⎰-++55242312sin dx x x xx . 解 因为函数12sin 2423++x x x x 是奇函数, 所以012sin 552423=++⎰-dx x x x x .3. 证明:⎰⎰-=aa adx x dx x 022)(2)(ϕϕ, 其中ϕ(u )为连续函数.证明 因为被积函数ϕ(x 2)是x 的偶函数, 且积分区间[-a , a ]关于原点对称, 所以有⎰⎰-=aa adx x dx x022)(2)(ϕϕ.4. 设f (x )在[-b , b ]上连续, 证明⎰⎰---=bb bb dx x f dx x f )()(. 证明 令x =-t , 则dx =-dt , 当x =-b 时t =b , 当x =b 时t =-b , 于是⎰⎰⎰----=--=b b bb bbdt t f dt t f dx x f )()1)(()(,而 ⎰⎰---=-bb bb dx x f dt t f )()(, 所以⎰⎰---=bb bb dx x f dx x f )()(.5. 设f (x )在[a , b ]上连续., 证明⎰⎰-+=ba ba dx xb a f dx x f )()(. 证明 令x =a +b -t , 则dx =d t , 当x =a 时t =b , 当x =b 时t =a , 于是 ⎰⎰⎰-+=--+=b a ba ab dt t b a f dt t b a f dx x f )()1)(()(, 而 ⎰⎰-+=-+ba badx x b a f dt t b a f )()(,所以⎰⎰-+=ba ba dx xb a f dx x f )()(.6. 证明:⎰⎰>+=+11122)0(11x x x x dxx dx. 证明 令t x 1=, 则dt tdx 21-=, 当x =x 时x t 1=, 当x =1时t =1, 于是⎰⎰⎰+=-⋅+=+11121122211)1(1111xx xdt t dt t tx dx , 而 ⎰⎰+=+x x dx x dt t 1121121111,所以 ⎰⎰+=+1112211x xxdx x dx.7. 证明:⎰⎰-=-1010)1()1(dx x x dx x xm n n m.证明 令1-x =t , 则⎰⎰⎰⎰-=-=--=-10100110)1()1()1()1(dx x x dt t t dt t t dx x x m n n m n m n m , 即⎰⎰-=-1010)1()1(dx x x dx x x m n n m . 8. 证明: ⎰⎰=ππ020sin 2sinxdx xdx n n.证明 ⎰⎰⎰+=ππππ2020sin sin sin xdx xdx xdx nn n,而⎰⎰⎰⎰==---=2020202sin sin ))((sin sinπππππππxdx tdt dt t t x xdx n n nn 令,所以⎰⎰=ππ020sin 2sinxdx xdx n n.9. 设f (x )是以l 为周期的连续函数, 证明⎰+1)(a a dx x f 的值与a 无关.证明 已知f (x +l )=f (x ). ⎰⎰⎰⎰⎰⎰⎰-+=++=+++ala ll la ll a a adx x f dx x f dx x f dx x f dx x f dx x f dx x f 00001)()()()()()()(,而 ⎰⎰⎰⎰=+=++=+a a ala ldx x f dx l x f dt l t f l t x dx x f 000)()()()(令,所以 ⎰⎰=+la adx x f dx x f 01)()(.因此⎰+1)(a adx x f 的值与a 无关.10. 若f (t )是连续函数且为奇函数, 证明⎰xdt t f 0)(是偶函数; 若f (t )是连续函数且为偶函数, 证明⎰xdt t f 0)(是奇函数. 证明 设⎰=xdt t f x F 0)()(.若f (t )是连续函数且为奇函数, 则f (-t )=-f (t ), 从而)()()()1)(()()(0000x F dx x f dx u f du u f u t dt t f x F x x xx ===---==-⎰⎰⎰⎰-令,即⎰=xdt t f x F 0)()(是偶函数.若f (t )是连续函数且为偶函数, 则f (-t )=f (t ), 从而)()()()1)(()()(0000x F dx x f dx u f du u f u t dt t f x F x x x x -=-=-=---==-⎰⎰⎰⎰-令,即⎰=xdt t f x F 0)()(是奇函数.11. 计算下列定积分: (1)⎰-10dx xe x ; 解11011010101021--------=--=+-=-=⎰⎰⎰e e e dx e xe xde dx xe xx x x x .(2)⎰e xdx x 1ln ; 解)1(414121121ln 21ln 21ln 21220212121+=-=⋅-==⎰⎰⎰e x e dx x x x x xdx xdx x ee e e e.(3)⎰ωπω20sin tdt t (ω为常数); 解⎰⎰⎰+-=-=ωπωπωπωπωωωωωωω20202020cos 1cos 1cos 1sin tdt tt t td tdt t 220222sin 12ωπωωωπωπ-=+-=t.(4)⎰342sin ππdx xx;解34343434342sin ln 4313cot cot cot sin ππππππππππππxxdx xx x xd dx x x++⋅-=+-=-=⎰⎰⎰23ln 21)9341(+-=π.(5)⎰41ln dx x x; 解 ⎰⎰⎰⋅-==4141414112ln 2ln 2ln dx xx x x x xd dx xx )12ln 2(442ln 8122ln 84141-=-=-=⎰x dx x.(6)⎰10arctan xdx x ;解x d x x x x xdx xdx x ⎰⎰⎰+⋅-==1022102102101121arctan 21arctan 21arctan214)41(218)arctan (218)111(21810102-=--=--=+--=⎰πππππx x x d x. (7)⎰202cos πxdx e x ; 解⎰⎰⎰-==202202202202sin 2sin sin cos ππππxdx e xe x d e xdx e x x x x⎰⎰⎰-+=-+=+=202202202202cos 42cos 4cos 2cos 2πππππππxdx e e xdx e xe e x d e e x x xx所以)2(51cos 202-=⎰ππe xdx e x ,于是(8)⎰212log xdx x ; 解⎰⎰⎰⋅-==212212221222122ln 121log 21log 21log dx x x x x xdx xdx x2ln 432212ln 212212-=⋅-=x . (9)⎰π02)sin (dx x x ; 解⎰⎰⎰-=-=ππππ02302022sin 4161)2cos 1(21)sin (x d x x dx x x dx x x πππππππ03000332cos 41622sin 412sin 416⎰⎰-=⋅+-=xxd xdx x xx 462sin 81462cos 412cos 416303003ππππππππ-=+-=+-=⎰x xdx x x .(10)⎰edx x 1)sin(ln ; 解法一 ⎰⎰⋅=101sin ln )sin(ln dt e t tx dxx te令.因为⎰⎰⎰-==⋅10101010cos sin sin sin tdt e te tde dt e t t tt t⎰⎰--⋅=-⋅=101010sin cos 1sin cos 1sin tdt e t e e tde e t t t⎰-+⋅-⋅=10sin 11cos 1sin tdt e e e t , 所以 )11cos 1sin (21sin 10+⋅-⋅=⎰e e tdt e t .因此)11cos 1sin (21)sin(ln 1+⋅-⋅=⎰e e dx x e. 解法二⎰⎰⎰-⋅=⋅⋅-⋅=e e eedx x e dx x x x x x dx x 1111)cos(ln 1sin 1)cos(ln )sin(ln )sin(ln ⎰⋅⋅-⋅-⋅=e edx x x x x x e 111)sin(ln )cos(ln 1sin ⎰-+⋅-⋅=edx x e e 0)sin(ln 11cos 1sin , 故)11cos 1sin (21)sin(ln 1+⋅-⋅=⎰e e dx x e . (11)dx x e e⎰1|ln |; 解⎰⎰⎰⎰⎰-++-=+-=eee eee e e dx dx xx x x dx x dx x dx x 1111111111ln ln ln ln |ln |)11(2)1()11(1ee e e e -=---++-=.(12)⎰-1022)1(dx xm (m 为自然数); 解⎰⎰+=-2011022cos sin )1(πtdt t x dx xm m 令.根据递推公式⎰⎰--=20220cos 1cos ππxdx n n xdx n n ,⎪⎩⎪⎨⎧⋅⋅⋅⋅⋅--⋅--⋅+⋅⋅⋅⋅⋅⋅--⋅--⋅+=-⎰为偶数为奇数m m m m m m m m m m m m m m dx x m325476 34121 2214365 34121)1(1022π. (13)⎰=π0sin xdx x J m m (m 为自然数). 解 因为⎰⎰⎰⎰-=----=ππππππππ0000sin sin )1)((sin )(sin tdt t tdt dt t t t x xdx x mm m m 令,所以 ⎰⎰⎰⎰=⋅===20200sin sin 22sin 2sin πππππππxdx xdx xdx xdx x J m m mmm (用第8题结果).根据递推公式⎰⎰--=20220sin 1sin ππxdx n n xdx n n , ⎪⎩⎪⎨⎧⋅⋅⋅⋅⋅--⋅--⋅-⋅⋅⋅⋅⋅⋅--⋅--⋅-=为奇数为偶数m m m m m m m m m m m m m m J m 325476 45231 2214365 452312ππ.习题5-71. 判别下列各反常积分的收敛性, 如果收敛, 计算反常积分的值:(1)⎰+∞14xdx; 解 因为3131)31(lim 3131314=+-=-=-+∞→+∞-+∞⎰x x x dx x , 所以反常积分⎰+∞14x dx收敛, 且3114=⎰∞+x dx . (2)⎰+∞1xdx ;解 因为+∞=-==+∞→+∞∞+⎰22lim 211x xxdx x , 所以反常积分⎰+∞1xdx 发散.(3)dx e ax ⎰+∞-0(a >0); 解 因为aa e a e adx e ax x ax ax 11)1(lim 100=+-=-=-+∞→+∞-+∞-⎰, 所以反常积分dx e ax ⎰+∞-0收敛, 且adx e ax 10=⎰+∞-.(4)⎰+∞-0ch tdt e pt (p >1); 解 因为1]1111[21][21ch 2)1()1(0)1()1(0-=+--=+=+∞+--∞++--∞+-⎰⎰p p e pe p dt e e tdt e tp t p t p tp pt ,所以反常积分⎰+∞-0ch tdt e pt 收敛, 且1ch 20-=⎰∞+-p p tdt e pt .(5)⎰+∞-0sin tdt e pt ω(p >0, ω>0); 解⎰⎰+∞-+∞--=0cos 1sin t d e tdt e pt pt ωωω⎰⎰+∞-+∞-+∞--=-⋅+-=020sin 1)(cos 1cos 1t d e pdt pe t te pt pt pt ωωωωωωω⎰+∞-+∞--⋅+-=0202)(sin sin 1dt pe t pte p ptpt ωωωωω⎰+∞--=022sin 1tdt e p pt ωωω,所以 22sin w p tdt e pt +=⎰+∞-ωω.(6)⎰+∞∞-++222x x dx;解 πππ=--=+=++=++⎰⎰+∞∞-+∞∞-+∞∞-)2(2)1arctan()1(12222x x dxx x dx .(7)dx xx ⎰-121;解 这是无界函数的反常积分, x =1是被积函数的瑕点.11)1(lim 112110212=+--=--=--→⎰x x dx x x x . (8)⎰-22)1(x dx;解 这是无界函数的反常积分, x =1是被积函数的瑕点. 因为⎰⎰⎰-+-=-212102202)1()1()1(x dxx dx x dx , 而 +∞=--=-=--→⎰111lim 11)1(110102xx x dx x ,所以反常积分⎰-202)1(x dx发散. (9)⎰-211x xdx ;解 这是无界函数的反常积分, x =1是被积函数的瑕点.21232121]12)1(32[)111(1-+-=-+-=-⎰⎰x x dx x x x xdx322]12)1(32[lim 38231=-+--=+→x x x . (10)⎰-ex x dx 12)(ln 1.解 这是无界函数的反常积分, x =e 是被积函数的瑕点.2)arcsin(ln lim )arcsin(ln ln )(ln 11)(ln 111212π===-=--→⎰⎰x x x d x x x dx ex e ee.2. 当k 为何值时, 反常积分⎰+∞)(ln kx x dx收敛? 当k 为何值时, 这反常积分发散? 又当k 为何值时, 这反常积分取得最小值?解 当k <1时, +∞=-==+∞+-+∞+∞⎰⎰2122)(ln 11ln )(ln 1)(ln k k k x k x d x x x dx ;当k =1时, +∞===+∞+∞+∞⎰⎰222)ln(ln ln ln 1)(ln x x d x x x dxk ; 当k >1时,k k kkk x kx d x x x dx -+∞+-+∞+∞-=-==⎰⎰12122)2(ln 11)(ln 11ln )(ln 1)(ln . 因此当k >1时, 反常积分⎰+∞0)(ln k x x dx 收敛; 当k ≤1时, 反常积分⎰+∞0)(ln k x x dx发散. 当k >1时, 令k kk x x dx k f -∞+-==⎰10)2(ln 11)(ln )(, 则 )2ln ln 11()1(2ln ln )2(ln 2ln ln )2(ln 11)2(ln )1(1)(21112+---=----='---k k k k k f k kk. 令f '(k )=0得唯一驻点2ln ln 11-=k . 因为当2ln ln 111-<<k 时f '(k )<0, 当2ln ln 11->k 时f '(k )>0, 所以2ln ln 11-=k 为极小值点,同时也是最小值点, 即当2ln ln 11-=k 时, 这反常积分取得最小值 3. 利用递推公式计算反常积分⎰+∞-=0dx e x I x n n . 解 因为101000-+∞--+∞-+∞-+∞-=+-=-==⎰⎰⎰n x n x n x n x n n nI dx e x n e x de x dx e x I ,所以 I n = n ⋅(n -1)⋅(n -2)⋅ ⋅ ⋅2⋅I 1. 又因为 1000001=-=+-=-==+∞-+∞-+∞-+∞-+∞-⎰⎰⎰xx xx x e dx e xe xde dx xe I ,所以 I n = n ⋅(n -1)⋅(n -2)⋅ ⋅ ⋅2⋅I 1=n !.总习题五1. 填空:(1)函数f (x )在[a , b ]上(常义)有界是f (x )在[a , b ]上可积的______条件, 而f (x )在[a , b ]上连续是f (x )在[a , b ]上可积______的条件;解 函数f (x )在[a , b ]上(常义)有界是f (x )在[a , b ]上可积的___必要___条件, 而f (x )在[a , b ]上连续是f (x )在[a , b ]上可积___充分___的条件;(2)对[a , +∞)上非负、连续的函数f (x ), 它的变上限积分⎰xa dx x f )(在[a , +∞)上有界是反常积分⎰+∞a dx x f )(收敛的______条件;解 对[a , +∞)上非负、连续的函数f (x ), 它的变上限积分⎰xa dx x f )(在[a , +∞)上有界是反常积分⎰+∞a dx x f )(收敛的___充分___条件;(3)绝对收敛的反常积分⎰+∞a dx x f )(一定______; 解 绝对收敛的反常积分⎰+∞a dx x f )(一定___收敛___;(4)函数f (x )在[a , b ]上有定义且|f (x )|在[a , b ]上可积, 此时积分⎰ba dx x f )(______存在. 解 函数f (x )在[a ,b ]上有定义且|f (x )|在[a , b ]上可积, 此时积分⎰b a dx x f )(___不一定___存在.2. 计算下列极限:(1)∑=∞→+n i n nin 111lim ;解 )122(32)1(32111lim 103101-=+=+=+⎰∑=∞→x dx x n i n n i n . (2)121lim+∞→+⋅⋅⋅++p pp p n nn (p >0);解 11111])( )2()1[(lim 21lim 101101+=+==⋅⋅⋅⋅++=+⋅⋅⋅+++∞→+∞→⎰p x p dx x n n n n n n n p p p p p n p p p p n . (3)nn nn !lnlim ∞→; 解 ]ln 1)ln 2ln 1(ln 1[lim !lnlim n n nn n n n n nn ⋅-+⋅⋅⋅++=∞→∞→nn n n n n 1)]ln (ln )ln 2(ln )ln 1[(ln lim ⋅-+⋅⋅⋅+-+-=∞→⎰=⋅+⋅⋅⋅++=∞→10ln 1)ln 2ln 1(ln lim xdx n n n n n n1)ln ()ln (10101010-=-=-=⎰xx x dx x x .(4)⎰-→xaa x dt t f a x x )(lim, 其中f (x )连续; 解法一 )()(lim )(lima af xf dt t f ax x axa ax ==-→→⎰ξξ (用的是积分中值定理). 解法二 )(1)()(lim )(lim )(lim a af x xf dt t f a x dt t f x dt t f a x x xaa x xa a x x a a x =+=-=-⎰⎰⎰→→→ (用的是洛必达法则). (5)1)(arctan lim 22+⎰+∞→x dtt xx .解4)(arctan 1lim 1)(arctan lim 1)(arctan lim 22222202π=+=+=+∞→+∞→+∞→⎰x x x x x x x dtt x x xx . 3. 下列计算是否正确, 试说明理由:(1)⎰⎰----=-=+-=+111111222)1arctan ()1(1)1(1πx xx d x dx ;解 计算不正确, 因为x 1在[-1, 1]上不连续. (2)因为⎰⎰--++-=++111122111t t dt tx x x dx , 所以⎰-=++11201x x dx .解 计算不正确, 因为t1在[-1, 1]上不连续.(3)01lim 122=+=+⎰⎰-∞→+∞∞-A A A dx x xdx x x . 解 不正确, 因为⎰⎰⎰⎰-+∞→+∞→+∞∞--∞→+≠+++=+A A A b b a a dx xxdx x x dx x x dx x x 2020221lim 1lim 1lim 1. 4. 设p >0, 证明⎰<+<+10111p x dx p p. 证明 p pp p p p px x x x x x x ->+-=+-+=+>11111111. 因为⎰⎰⎰<+<-1010101)1(dx x dxdx x pp,而 110=⎰dx , pp p x x dx x p p+=+-=-+⎰1)1()1(10110, 所以⎰<+<+10111pxdx p p. 5. 设f (x )、g (x )在区间[a , b ]上均连续, 证明: (1)⎰⎰⎰⋅≤ba ba ba dx x g dx x f dx x g x f )()(])()([222;证明 因为[f (x )-λg (x )]2≥0, 所以λ2g 2(x )-2λ f (x )g (x )+f 2(x )≥0, 从而 0)()()(2)(222≥+-⎰⎰⎰ba ba ba dx x f dx x g x f dx x g λλ.上式的左端可视为关于λ的二次三项式, 因为此二次三项式大于等于0, 所以其判别式小于等于0, 即0)()(4])()([4222≤⋅-⎰⎰⎰ba ba ba dx x g dx x f dx x g x f ,亦即 ⎰⎰⎰⋅≤ba ba ba dx x g dx x f dx x g x f )()(])()([222. (2)()()()212212212)()()]()([⎰⎰⎰+≤+b ab a b a dx x g dx x f dx x g x f , 证明⎰⎰⎰⎰++=+ba ba ba ba dx x g x f dx x g dx x f dx x g x f )()(2)()()]()([222。
利用定积分定义计算由抛物线y=x 2 , 两直线x =a,x =b (b >a )及横轴所围成的图形的面积. 题型:计算题答案:第一步: 在区间[a,b ]内插入n -1个分点i nab a x i -+=(i =1, 2, ⋅ ⋅ ⋅, n -1), 把区间[a, b]分成n 个长度相等的小区间, 各个小区间的长度为: nab x i -=∆(i =1, 2, ⋅ ⋅ ⋅, n ). 第二步: 在第i 个小区间[xi -1, xi] (i =1, 2, ⋅ ⋅ ⋅, n )上取右端点i n a b a x i i -+==ξ, 作和 n ab i n a b a x f S n i i i n i n -⋅+-+=∆=∑∑==]1)[()(211ξ ∑=+-+-+-=n i i n a b i n a b a a n a b 12222]1)()(2[ ]6)12)(1()(2)1()(2[)(222n n n n n a b n n n a b a na n a b +++⋅-++⋅-+-=]16)12)(1()()1)(()[(222+++-++-+-=nn n a b n n a b a a a b . 第三步: 令l =max {∆x 1, ∆x 2, ⋅ ⋅ ⋅ , ∆x n }nab -=, 取极限得所求面积 ∑⎰=→∆==n i i i b a x f dx x f S 10)(lim )(ξl]16)12)(1()()1)(()[(lim 222+++-++-+-=∞→n n n a b n n a b a a a b na b a b a b a b a a a b -+-=+-+-+-=)(31]1)(31)()[(3322.分数:10所属所属知识点:定积分的计算 难度:7利用定积分定义计算下列积分: (1)xdx ba ⎰(a <b);题型:计算题 答案:取分点为i n a b a x i -+=(i =1, 2, ⋅ ⋅ ⋅, n -1), 则nab x i -=∆(i =1, 2, ⋅ ⋅ ⋅, n ). 在第i 个小区间上取右端点i nab a x i i -+==ξ (i =1, 2, ⋅ ⋅ ⋅, n ). 于是 ∑∑⎰=∞→=∞→-⋅-+=∆=ni n n i i i n ba nab i n a b a x xdx 11)(lim lim ξ)(21]2)1()()([lim )(22222a b n n n a b a b a a b n -=+-+--=∞→. 分数:10所属所属知识点:定积分的计算 难度:6利用定积分定义计算下列积分: dx e x ⎰10. 题型:计算题答案:取分点为ni x i =(i =1, 2, ⋅ ⋅ ⋅, n -1), 则nx i 1=∆(i =1, 2, ⋅ ⋅ ⋅, n ). 在第i 个小区间上取右端点ni x i i ==ξ (i =1, 2, ⋅ ⋅ ⋅, n ). 于是) (1lim 1lim 21110n n n n n n i n i n xe e e nn e dx e +⋅⋅⋅++==∞→=∞→∑⎰1)1(]1[lim1])(1[1lim 11111-=--=--⋅=∞→∞→e e n e e e e e nnn n nn n n n .分数:10所属所属知识点:定积分的计算 难度:6利用定积分的几何意义 说明下列等式 1210=⎰xdx ;题型:证明题答案:⎰102xdx 表示由直线y =2x 、x 轴及直线x =1所围成的面积, 显然面积为1. 分数:12所属所属知识点:定积分的计算 难度:5利用定积分的几何意义 说明下列等式41102π=-⎰dx x ;题型:证明题答案:⎰-1021dx x )表示由曲线21x y -=、x 轴及y 轴所围成的四分之一圆的面积, 即圆x2+y2=1的面积的41: 414112102ππ=⋅⋅=-⎰dx x .分数:12所属所属知识点:定积分的计算 难度:5利用定积分的几何意义说明下列等式 ⎰-=ππ0sin xdx ;.题型:证明题答案:由于y =sin x 为奇函数, 在关于原点的对称区间[-π, π]上与x 轴所夹的面积的代数和为零, 即 ⎰-=ππ0sin xdx . 分数:12难度:5利用定积分的几何意义 说明下列等式 ⎰⎰=-2022cos 2cos πππxdx xdx .题型:证明题答案: ⎰-22cos ππxdx 表示由曲线y =cos x 与x 轴上]2,2[ππ-一段所围成的图形的面积.因为cos x 为偶函数, 所以此图形关于y 轴对称. 因此图形面积的一半为⎰20cos πxdx , 即 ⎰⎰=-2022cos 2cos πππxdx xdx .分数:12所属所属知识点:定积分的计算 难度:5水利工程中要计算拦水闸门所受的水压力, 已知闸门上水的压强p (单位面积上的压力大小)是水深h 的函数, 且有p =9×8h (kN/m2). 若闸门高H =3m , 宽L =2m , 求水面与闸门顶相齐时闸门所受的水压力P. 题型:计算题答案:建立坐标系如图. 用分点i nHx i =(i =1, 2, ⋅ ⋅ ⋅, n -1)将区间[0, H ]分为n 分个小区间, 各小区间的长为nHx i =∆(i =1, 2, ⋅ ⋅ ⋅, n ). 在第i 个小区间[x i -1, x i ]上, 闸门相应部分所受的水压力近似为 ∆Pi =9.8x il ×∆x i . 闸门所受的水压力为22118.42)1(lim 8.9lim 8.98.9lim H L nn n H L n Hi n H L x L x P n ni n ni i i n ⋅=+⋅=⋅=∆⋅⋅=∞→=∞→=∞→∑∑.将L =2, H =3代入上式得P =88.2(千牛). 分数:10所属所属知识点:定积分的计算 难度:7证明定积分性质 (1)⎰⎰=b a b a dx x f k dx x kf )()(; (2)a b dx dx ba b a -==⋅⎰⎰1. 题型:证明题 答案:(1)⎰∑∑⎰=∆=∆==→=→ba ni i i n i i i ba dxx f k x f k x kf dx x kf )()(lim )(lim )(1010ξξl l (2)a b a b x x dx n i i ni i ba -=-=∆=∆⋅=⋅→=→=→∑∑⎰)(lim lim 1lim 101010l l l 分数:8难度:5估计下列各积分的值: ⎰+412)1(dx x 1); 题型:计算题答案:因为当1£x £4时, 2£x2+1£17, 所以 )14(17)1()14(2412-⋅£+£-⋅⎰dx x ,即51)1(6412£+£⎰dx x .分数:5所属所属知识点:定积分的计算 难度:6估计下列各积分的值 ⎰+ππ4542)sin 1(dx x题型:计算题 答案:因为当ππ454££x 时, 1£1+sin2x £2, 所以)445(2)sin 1()445(14542ππππππ-⋅£+£-⋅⎰dx x ,即 ππππ2)sin 1(4542£+£⎰dx x .分数:5所属所属知识点:定积分的计算 难度:6估计下列各积分的值 ⎰331arctan xdx x ;题型:计算题答案:先求函数f(x)=x arctan x 在区间]3 ,31[上的最大值M 与最小值m.21arctan )(xx x x f ++='. 因为当331££x 时, f '(x)>0, 所以函数f(x)=x arctan x在区间]3 ,31[上单调增加. 于是 3631arctan31)31(π===f m ,33arctan 3)3(π===f M .因此)313(3arctan )313(36331-££-⎰ππxdx x ,即32arctan 9331ππ££⎰xdx x . 分数:5所属所属知识点:定积分的计算难度:6估计下列各积分的值 ⎰-022dx e xx .题型:计算题答案:先求函数xxe xf -=2)(在区间[0, 2]上的最大值M 与最小值m.)12()(2-='-x e x f xx, 驻点为21=x . 比较f(0)=1, f(2)=e 2, 41)21(-=e f ,得41-=e m , M =e 2. 于是)02()02(220412-⋅££-⎰--e dx e e x x ,即 41022222---££-⎰e dx dx e e xx .分数:5所属所属知识点:定积分的计算 难度:6设f(x)及g(x)在[a, b]上连续, 证明: (1)若在[a, b]上f(x)³0, 且0)(=⎰ba dx x f ,则在[a, b]上f(x)º0; (2)若在[a, b]上, f(x)³0, 且f(x)≢0, 则0)(>⎰ba dx x f ; (3)若在[a, b]上, f(x)£g(x), 且⎰⎰=ba ba dx x g dx x f )()(, 则在[a b]上f(x)ºg(x). 题型:证明题答案:(1)假如f(x)≢0, 则必有f(x)>0. 根据f(x)在[a , b]上的连续性, 在[a , b]上存在一点x0, 使f(x0)>0, 且f(x0)为f(x)在[a , b]上的最大值. 再由连续性,存在[c, d]Ì[a, b], 且x0Î[c, d], 使当x Î[c, d]时,2)()(0x f x f >. 于是0)(2)()()()()()(0>-³³++=⎰⎰⎰⎰⎰c d x f dx x f dx x f dx x f dx x f dx x f dc bd d c c a b a .这与条件0)(=⎰badx x f 相矛盾. 因此在[a, b]上f(x)º0. (2)证法一 因为f(x)在[a, b]上连续, 所以在[a, b]上存在一点x0, 使f(x0)>0, 且f(x0)为f(x)在[a, b]上的最大值. 再由连续性, 存在[c, d]Ì[a, b], 且x0Î[c, d], 使当x Î[c, d]时,2)()(0x f x f >. 于是⎰⎰>-³³badcc d x f dx x f dx x f 0)(2)()()(0. 证法二 因为f(x)³0, 所以0)(³⎰b a dx x f .假如)(>⎰ba dx x f 不成立. 则只有0)(=⎰badx x f ,根据结论(1), f(x)º0, 矛盾. 因此0)(>⎰ba dx x f . (3)令F(x)=g(x)-f(x), 则在[a, b]上F(x)³0且0)()()]()([)(=-=-=⎰⎰⎰⎰ba ba ba ba dx x f dx x g dx x f x g dx x F , 由结论(1), 在[a, b]上F(x)º0, 即f(x)ºg(x).分数:12所属所属知识点:定积分的计算 难度:7根据定积分的性质及第7题的结论, 说明下列积分哪一个的值较大: (1)⎰102dx x 还是⎰103dx x ? (2)⎰212dx x 还是⎰213dx x ? (3)⎰21ln xdx 还是⎰212)(ln dx x ?(4)⎰10xdx 还是⎰+10)1ln(dx x ?(5)⎰10dx e x 还是⎰+10)1(dx x ? 题型:计算题答案:(1)因为当0£x £1时, x2³x3, 所以⎰⎰³103102dx x dx x . 又当0<x <1时, x2>x3, 所以⎰⎰>103102dx x dx x . (2)因为当1£x £2时, x2£x3, 所以⎰⎰£213212dx x dx x . 又因为当1<x £2时, x2<x3, 所以⎰⎰<213212dx x dx x . (3)因为当1£x £2时, 0£ln x <1, ln x ³(ln x)2, 所以⎰⎰³21221)(ln ln dx x xdx . 又因为当1<x £2时, 0<ln x <1, ln x >(ln x)2, 所以⎰⎰>21221)(ln ln dx x xdx . (4)因为当0£x £1时, x ³ln(1+x), 所以⎰⎰+³1010)1ln(dx x xdx . 又因为当0<x £1时, x >ln(1+x), 所以⎰⎰+>1010)1ln(dx x xdx . (5)设f(x)=ex -1-x , 则当0£x £1时f '(x) =ex -1>0, f(x)=ex -1-x 是单调增加的. 因此当0£x £1时, f(x)³f(0)=0, 即ex ³1+x , 所以⎰⎰+³1010)1(dx x dx e x .又因为当0<x £1时, ex >1+x , 所以⎰⎰+>1010)1(dx x dx e x .分数:10所属所属知识点:定积分的计算 难度:6 试求函数⎰=xtdt y 0sin 当x =0及4π=x 时的导数.题型:计算题答案:x tdt dx d y x sin sin 0=='⎰, 当x =0时, y '=sin0=0; 当4π=x 时, 224sin =='πy . 分数:6所属所属知识点:微积分的计算 难度:5求由参数表示式⎰=tudu x 0sin , ⎰=tudu y 0cos 所给定的函数y 对x 的导数.题型:计算题答案:x '(t)=sin t , y '(t)=cos t , t t x t y dx dy cot )()(=''=. 分数:5所属所属知识点:微积分的计算 难度:5 求由⎰⎰=+xyttdt dt e 00cos 所决定的隐函数y 对x 的导数dxdy . 题型:计算题答案:方程两对x 求导得 0cos =+'x y e y, 于是y ex dx dy cos -=. 分数:6所属所属知识点:微积分的计算 难度:5当x 为何值时, 函数⎰-=xt dt te x I 02)(有极值?题型:计算题答案:2)(x xe x I -=', 令I '(x)=0, 得x =0. 因为当x <0时, I '(x)<0; 当x >0时, I '(x)>0, 所以x =0是函数I(x)的极小值点. 分数:6所属所属知识点:微积分的计算 难度:5计算下列各导数: (1)⎰+2021x dt t dx d ; (2)⎰+32411x x dt t dx d ; (3)⎰x xdt t dx d cos sin 2)cos(π.题型:计算题 答案:(1)dxdudt t du d u x dt t dx d u x ⋅+=+⎰⎰02202112令421221x x x u +=⋅+=. (2)⎰⎰⎰+++=+323204044111111x x x x dt t dx d dt t dx d dt t dx d⎰⎰+++-=3204041111x x dt t dx d dt t dx d)()(11)()(11343242'⋅++'⋅+-=x x x x 12281312xx x x +++-=. (3)⎰⎰⎰+-=x x x x dt t dx d dt t dx d dt t dx d cos 02sin 02cos sin 2)cos()cos()cos(πππ))(cos cos cos())(sin sin cos(22'+'-=x x x x ππ分数:15所属所属知识点:微积分的计算 难度:6⎰+-adx x x 02)13(;题型:计算题 答案:a a a x x x dx x x a a+-=+-=+-⎰230230221|)21()13(. 分数:5所属所属知识点:微积分的计算 难度:5⎰+2142)1(dx x x ; 题型:计算题 答案:852)11(31)22(31|)3131()1(333321332142=---=-=+---⎰x x dx x x . 分数:5所属所属知识点:微积分的计算 难度:5⎰+94)1(dx x x ;题型:计算题答案:94223942194|)2132()()1(x x dx x x dx x x +=+=+⎰⎰6145)421432()921932(223223=+-+= 分数:5所属所属知识点:微积分的计算 难度:5⎰+33121x dx ; 题型:计算题答案:66331arctan 3arctan arctan 13313312πππ=-=-==+⎰x x dx .分数:5所属所属知识点:微积分的计算 难度:4⎰--212121x dx ; 题型:计算题 答案:3)6(6)21arcsin(21arcsin arcsin 1212121212πππ=--=--==---⎰x x dx .分数:5所属所属知识点:微积分的计算 难度:4⎰+ax a dx 3022; 题型:计算题 答案:aa a ax a x a dx a a30arctan 13arctan 1arctan 1303022π=-==+⎰.分数:5所属所属知识点:微积分的计算 难度:5⎰-124x dx ; 题型:计算题 答案:60arcsin 21arcsin 2arcsin 41012π=-==-⎰x x dx分数:5所属所属知识点:微积分的计算 难度:5dx x x x ⎰-+++012241133; 题型:计算题 答案:13012201224|)arctan ()113(1133---+=++=+++⎰⎰x x dx x x dx x x x 41)1arctan()1(3π+=----=分数:5所属所属知识点:微积分的计算 . 难度:5⎰---+211e xdx ; 题型:计算题 答案:1ln 1ln ||1|ln 12121-=-=+=+------⎰e x xdx e e .分数:5所属所属知识点:微积分的计算 难度:4⎰42tan πθθd ;题型:计算题 答案:4144tan )(tan )1(sec tan 4040242πππθθθθθθπππ-=-=-=-=⎰⎰d d .分数:5所属所属知识点:微积分的计算 难度:5dx x ⎰π20|sin |;题型:计算题 答案:⎰⎰⎰-=ππππ2020sin sin |sin |xdx xdx dx x πππ20cos cos x x +-==-cos π +cos0+cos2π-cos π=4. 分数:5所属所属知识点:微积分的计算 难度:5⎰2)(dx x f , 其中⎪⎩⎪⎨⎧>£+=1 2111)(2x x x x x f . 题型:计算题 答案:38|)61(|)21(21)1()(213102212102=++=++=⎰⎰⎰x x x dx x dx x dx x f . 分数:5所属所属知识点:微积分的计算 难度:6设k 为正整数. 试证下列各题: (1)⎰-=ππ0cos kxdx ; (2)⎰-=ππ0sin kxdx ;(3)⎰-=πππkxdx 2cos ; (4)⎰-=πππkxdx 2sin .题型:证明题 答案:(1)⎰--=-=--==ππππππ000)(sin 1sin 1|sin 1cos k kk k kx k kxdx . (2))(cos 1cos 1cos 1sin ππππππ-+-=-=--⎰k k k k x k k kxdxcos 1cos 1=+-=ππk kk k . (3)πππππππππ=+=+=+=---⎰⎰22|)2sin 21(21)2cos 1(21cos 2kx k x dx kx kxdx .(4)πππππππππ=+=-=-=---⎰⎰22|)2sin 21(21)2cos 1(21sin 2kx k x dx kx kxdx 分数:20所属所属知识点:微积分的计算设k 及l 为正整数, 且k ¹l . 试证下列各题: (1)⎰-=ππ0sin cos lxdx kx ; (2)⎰-=ππ0cos cos lxdx kx ; (3)⎰-=ππ0sin sin lxdx kx .题型:证明题 答案:(1)⎰⎰----+=ππππdx x l k x l k lxdx kx ])sin()[sin(21sin cos 0])cos()(21[])cos()(21[=----++-=--ππππx l k l k x l k l k . (2)⎰⎰---++=ππππdxx l k x l k lxdx kx ])cos()[cos(21cos cos])sin()(21[])sin()(21[=--+++=--ππππx l k l k x l k l k . (3)⎰⎰----+-=ππππdxx l k x l k lxdx kx ])cos()[cos(21sin sin .])sin()(21[])sin()(21[=--+++-=--ππππx l k l k x l k l k 分数:15所属知识点:微积分的计算 难度:6求下列极限: (1)xdtt xx ⎰→02cos lim ; (2)⎰⎰→xt xt x dttedt e 0220022)(lim.题型:计算题 答案:(1)11cos lim cos lim20020==→→⎰x xdt t x xx . (2)222222022)(2lim)(limx xt x t x xt x t x xedt e dt e dttedt e '⋅=⎰⎰⎰⎰→→22222202lim2limxxt x x x xt x xe dte xeedt e ⎰⎰→→=⋅=2212lim 22lim 2020222=+=+=→→x e x e e x x x x x .所属知识点:变上限积分函数 难度:6设⎩⎨⎧ÎÎ=]2 ,1[ ]1 ,0[ )(2x x x x x f . 求⎰=x dt t f x 0)()(ϕ在[0, 2]上的表达式, 并讨论(x)在(0, 2)内的连续性.题型:计算题 答案:当0£x £1时,302031)()(x dt t dt t f x xx===⎰⎰ϕ; 当1<x £2时,6121212131)()(221102-=-+=+==⎰⎰⎰x x tdt dt t dt t f x xxϕ. 因此⎪⎩⎪⎨⎧£<-££=21 612110 31)(23x x x x x ϕ. 因为31)1(=ϕ, 3131lim )(lim 30101==-→-→x x x x ϕ, 316121)6121(lim )(lim 20101=-=-=+→+→x x x x ϕ, 所以(x)在x =1处连续, 从而在(0, 2)内连续. 分数:10所属所属知识点:微积分的计算 难度:7设⎪⎩⎪⎨⎧><££=ππx x x x x f 或0 00 sin 21)(. 求⎰=x dt t f x 0)()(ϕ在(-∞, +∞)内的表达式.题型:计算题答案:当x <0时, 00)()(0===⎰⎰xxdt dt t f x ϕ; 当0£x £π时,21cos 21|cos 21sin 21)()(00+-=-===⎰⎰x t tdt dt t f x xxxϕ; 当x >π时,πππϕ000|cos 210sin 21)()(t dt tdt dt t f x xx -=+==⎰⎰⎰10cos 21cos 21=+-=π. 因此 ⎪⎩⎪⎨⎧³££-<=ππϕx x x x x 10 )cos 1(210 0)(.分数:12所属所属知识点:微积分的计算 难度:7设f(x)在[a, b]上连续, 在(a, b)内可导且f '(x)£0, ⎰-=x adt t f a x x F )(1)(. 证明在(a, b)内有F '(x)£0. 题型:证明题答案:根据积分中值定理, 存在ξÎ[a, x], 使))(()(a x f dt t f xa-=⎰ξ. 于是有)(1)()(1)(2x f ax dt t f a x x F x a -+--='⎰))(()(1)(12a x f a x x f a x ----=ξ )]()([1ξf x f a x --=. 由f '(x)£0可知f(x)在[a, b]上是单调减少的, 而a £ξ£x , 所以f(x)-f(ξ)£0. 又在(a, b)内, x -a >0, 所以在(a, b)内 0)]()([1)(£--='ξf x f ax x F . 分数:10所属所属知识点:微积分的计算 难度:8试求函数⎰=xtdt y 0sin 当x =0及4π=x 时的导数.题型:计算题 答案:x tdt dx d y x sin sin 0=='⎰, 当x =0时, y '=sin0=0; 当4π=x 时, 224sin =='πy 分数:5所属所属知识点:微积分的计算 难度:4求由参数表示式⎰=tudu x 0sin , ⎰=tudu y 0cos 所给定的函数y 对x 的导数. 题型:计算题答案:x '(t)=sin t , y '(t)=cos t , t t x t y dx dy cot )()(=''=. 分数:5所属所属知识点:微积分的计算 难度:4求由⎰⎰=+xyt tdt dt e 000cos 所决定的隐函数y 对x 的导数dxdy . 题型:计算题答案:方程两对x 求导得 e y y ' +cos x =0, 于是 y exdx dy cos -=. 分数:6所属所属知识点:微积分的计算 难度:5当x 为何值时, 函数⎰-=xt dt te x I 02)(有极值? 题型:计算题答案:2)(x xe x I -=', 令I '(x)=0, 得x =0. 因为当x <0时, I '(x)<0; 当x >0时, I '(x)>0, 所以x =0是函数I(x)的极小值点.分数:6所属所属知识点:微积分的计算 难度:5计算下列各导数: (1)⎰+2021x dt t dxd ;题型:计算题答案:(1)42022021221112x x x u dxdu dt t du d u x dt t dx d u x +=⋅+=⋅+=+⎰⎰令. 分数:5所属所属知识点:微积分的计算 难度:5计算下列各导数: ⎰+32411x x dt tdx d ;题型:计算题 答案:⎰⎰⎰+++=+323204044111111x x x x dt t dx d dt t dx d dt t dx d ⎰⎰+++-=3204041111x x dt t dx d dt t dx d )()(11)()(11343242'⋅++'⋅+-=x x x x 12281312xx xx +++-=.分数:5所属所属知识点:微积分的计算 难度:5计算下列各导数:⎰xx dt t dxd cos sin 2)cos(π题型:计算题 答案:⎰⎰⎰+-=x x x x dt t dxd dt t dx d dt t dx d cos 02sin 02cos sin 2)cos()cos()cos(πππ =-cos(πsin 2x)(sin x)'+ cos(πcos 2x)( cos x)' =-cos x ×cos(πsin 2x)-sin x ×cos(πcos 2x) =-cos x ×cos(πsin2x)- sin x ×cos(π-πsin2x) =-cos x ×cos(πsin2x)+ sin x ×cos(πsin2x) =(sin x -cos x)cos(πsin2x) 分数:5所属所属知识点:微积分的计算 难度:5⎰+-adx x x02)13(;题型:计算题答案: a a a x x x dx x x aa+-=+-=+-⎰230230221|)21()13(分数:5所属所属知识点:微积分的计算 难度:5⎰+2142)1(dx x x ;题型:计算题 答案: 852)11(31)22(31|)3131()1(333321332142=---=-=+---⎰x x dx xx 分数:5所属所属知识点:微积分的计算 难度:5⎰+94)1(dx x x ;题型:计算题 答案: 6145)421432()921932(|)2132()()1(22322394223942194=+-+=+=+=+⎰⎰x x dx x x dx x x 分数:5所属所属知识点:微积分的计算 难度:5⎰+33121x dx ; 题型:计算题 答案: 66331arctan3arctan arctan 13313312πππ=-=-==+⎰xxdx分数:5所属所属知识点:微积分的计算 难度:5⎰--212121xdx ;题型:计算题 答案:3)6(6)21arcsin(21arcsin arcsin 1212121212πππ=--=--==---⎰xx dx分数:5所属所属知识点:微积分的计算 难度:5⎰+axa dx 3022;题型:计算题 答案:aa a a x a x a dxa a30arctan 13arctan 1arctan1303022π=-==+⎰. 分数:5所属所属知识点:微积分的计算 难度:5⎰-124xdx ;题型:计算题 答案:60arcsin 21arcsin 2arcsin41012π=-==-⎰x x dx . 分数:5所属所属知识点:微积分的计算 难度:5dx x x x ⎰-+++012241133;题型:计算题答案:41)1arctan()1(|)arctan ()113(11333013012201224π+=----=+=++=+++---⎰⎰x x dx x x dx x x x . 分数:5所属所属知识点:微积分的计算 难度:5⎰---+211e x dx ;题型:计算题 答案:1ln 1ln ||1|ln 12121-=-=+=+------⎰e x xdx e e . 分数:5所属所属知识点:微积分的计算 难度:5⎰402tanπθθd ;题型:计算题 答案:4144tan )(tan )1(sec tan 40402402πππθθθθθθπππ-=-=-=-=⎰⎰d d .分数:5所属所属知识点:微积分的计算 难度:5dx x ⎰π20|sin |;题型:计算题答案:⎰⎰⎰-=ππππ2020sin sin |sin |xdx xdx dx x =-cos x|π0+cos x|ππ2=-cos π +cos0+cos2π-cos π=4. 分数:5所属所属知识点:微积分的计算 难度:5⎰20)(dx x f , 其中⎪⎩⎪⎨⎧>£+=1 211 1)(2x x x x x f .题型:计算题答案:38|)61(|)21(21)1()(2131022121020=++=++=⎰⎰⎰x x x dx x dx x dx x f . 分数:6所属所属知识点:微积分的计算 难度:5设k 为正整数. 试证下列各题:(1)⎰-=ππ0cos kxdx ; (2)⎰-=ππ0sin kxdx ; (3)⎰-=πππkxdx 2cos ; (4)⎰-=πππkxdx 2sin .题型:证明题答案:(1)⎰--=-=--==ππππππ000)(sin 1sin 1|sin 1cos k kk k kx k kxdx . (2). (3)πππππππππ=+=+=+=---⎰⎰22|)2sin 21(21)2cos 1(21cos 2kx k x dx kx kxdx . (4)πππππππππ=+=-=-=---⎰⎰22|)2sin 21(21)2cos 1(21sin 2kx k x dx kx kxdx . 分数:20所属所属知识点:微积分的计算 难度:6设k 及l 为正整数, 且k ¹l . 试证下列各题: (1)⎰-=ππ0sin cos lxdx kx ; (2)⎰-=ππ0cos cos lxdx kx ; (3)⎰-=ππ0sin sin lxdx kx .题型:证明题 答案:(1)⎰⎰----+=ππππdx x l k x l k lxdx kx ])sin()[sin(21sin cos 0])cos()(21[])cos()(21[=----++-=--ππππx l k l k x l k l k .(2)⎰⎰---++=ππππdx x l k x l k lxdx kx ])cos()[cos(21cos cos0])sin()(21[])sin()(21[=--+++=--ππππx l k l k x l k l k . (3)⎰⎰----+-=ππππdx x l k x l k lxdx kx ])cos()[cos(21sin sin .0])sin()(21[])sin()(21[=--+++-=--ππππx l k l k x l k l k . 分数:15所属所属知识点:微积分的计算 难度:6求下列极限: (1)xdt t x x ⎰→02cos lim ; (2)⎰⎰→xt xt x dttedt e 0220022)(lim.题型:计算题 答案:(1)11cos lim cos lim 2002==→→⎰x xdtt x xx .(2)2222222222002002000022002lim2lim)(2lim)(limx xt x x xxt x x xt xt x xt xt x xedt e xee dt e xedt e dt e dttedt e ⎰⎰⎰⎰⎰⎰→→→→=⋅='⋅=⎰--=+-=-+-=-=ππππππππ0cos 1cos 1)(cos 1cos 1|cos 1sin k k k k k k k k kx k kxdx2212lim22lim2020222=+=+=→→x ex ee x x x x x .分数:10所属所属知识点:微积分的计算 难度:7设⎩⎨⎧ÎÎ=]2 ,1[ ]1 ,0[ )(2x x x x x f . 求⎰=xdt t f x 0)()(ϕ在[0, 2]上的表达式, 并讨论(x)在(0, 2)内的连续性. 题型:计算题答案:当0£x £1时, 302031)()(x dt t dt t f x xx===⎰⎰ϕ; 当1<x £2时,6121212131)()(2211020-=-+=+==⎰⎰⎰x x tdt dt t dt t f x x x ϕ. 因此 ⎪⎩⎪⎨⎧£<-££=21 612110 31)(23x x x x x ϕ. 因为31)1(=ϕ, 3131lim)(lim 30101==-→-→x x x x ϕ, 316121)6121(lim )(lim 20101=-=-=+→+→x x x x ϕ, 所以(x )在x =1处连续, 从而在(0, 2)内连续.分数:10所属所属知识点:微积分的计算 难度:8设⎪⎩⎪⎨⎧><££=ππx x x x x f 或0 00 sin 21)(. 求⎰=xdt t f x 0)()(ϕ在(-∞, +∞)内的表达式. 题型:计算题答案:当x <0时, 00)()(00===⎰⎰xx dt dt t f x ϕ; 当0£x £π时,21cos 21|cos 21sin 21)()(000+-=-===⎰⎰x t tdt dt t f x xx xϕ; 当x >π时,10cos 21cos 21|cos 210sin 21)()(000=+-=-=+==⎰⎰⎰πϕπππt dt tdt dt t f x xx . 因此⎪⎪⎩⎪⎪⎨⎧³££-<=ππϕx x x x x 10 )cos 1(210 0)(.分数:12所属所属知识点:微积分的计算 难度:8设f(x)在[a, b]上连续, 在(a, b)内可导且f '(x)£0, ⎰-=xa dt t f ax x F )(1)(. 证明在(a, b)内有F '(x)£0. 题型:证明题答案:根据积分中值定理, 存在ξÎ[a, x], 使))(()(a x f dt t f xa -=⎰ξ. 于是有))(()(1)(1)(1)()(1)(22a x f a x x f a x x f a x dt t f a x x F xa----=-+--='⎰ξ)]()([1ξf x f ax --=. 由f '(x)£0可知f(x)在[a, b]上是单调减少的, 而a £ξ£x , 所以f(x)-f(ξ)£0. 又在(a, b)内, x -a >0, 所以在(a, b)内0)]()([1)(£--='ξf x f ax x F . 分数:8所属所属知识点:微积分的计算 难度:8⎰+πππ2)3sin(dx x ;题型:计算题答案:0212132cos 34cos)3cos()3sin(22=-=+-=+-=+⎰ππππππππx dx x . 分数:5所属所属知识点:定积分的计算 难度:5⎰-+123)511(x dx;题型:计算题 答案:51251110116101)511(2151)511(22122123=⋅+⋅-=+-⋅=+-----⎰x x dx. 分数:5所属所属知识点:定积分的计算 难度:5⎰203cossin πϕϕϕd ;题型:计算题 答案:⎰⎰-=20323sin cos cos sin ππϕϕϕϕϕd s d410cos 412cos 41cos 4144204=+-=-=πϕπ.分数:5所属所属知识点:定积分的计算 难度:5⎰-πθθ03)sin1(d ;题型:计算题答案:⎰⎰⎰⎰-+=+=-πππππθθθθθθθθ02002003cos )cos 1(cos sin )sin 1(d d d d34)cos 31(cos 03-=-+=πθθππ分数:5所属所属知识点:定积分的计算 难度:5⎰262cosππudu ;题型:计算题 答案:2626262622sin 4121)2cos 1(21cos ππππππππu u du u udu +=+=⎰⎰836)3sin (sin 41)62(21-=-+-=πππππ. 分数:5所属所属知识点:定积分的计算 难度:5dx x ⎰-222;题型:计算题 答案:dt t tdt t t x dx x ⎰⎰⎰+=⋅=-202022)2cos 1(cos 2cos 2sin 22ππ令2)2sin 21(20ππ=+=t t .分数:5所属所属知识点:定积分的计算 难度:5dy y ⎰--22228;题型:计算题 答案:⎰⎰⎰---⋅=-=-44222222cos 2cos 22sin 24228ππxdx x xy dyy dy y 令)2(2)2sin 21(22)2cos 1(224444+=+=+=--⎰πππππy x dx x .分数:5所属所属知识点:定积分的计算 难度:5⎰-121221dx x x ;题型:计算题 答案:41)cot ()1sin 1(cos sin cos sin 12424224212122πππππππ-=--=-=⋅=-⎰⎰⎰t t dt t tdt t t t x dx xx 令.分数:5所属所属知识点:定积分的计算 难度:5⎰+31221xxdx ;题型:计算题 答案:⎰⎰⋅⋅=+34223122secsec tan 1tan 1ππtdt t t tx xxdx 令3322sin 1sin cos 34342-=-==⎰ππππt dt tt. 分数:5所属所属知识点:定积分的计算 难度:6⎰--1145xxdx ;题型:计算题 答案:61)315(81)5(81454513133211=--=-=--⎰⎰-u u du u u x xxdx 令. 分数:5所属所属知识点:定积分的计算 难度:6⎰+411xdx ;题型:计算题 答案:)32ln 1(2|)1|ln (2)111(2211121212141+=+-=+-=⋅+=+⎰⎰⎰u u du u udu u u x xdx 令.分数:5所属所属知识点:定积分的计算 难度:6⎰--14311x dx ;题型:计算题 答案:2ln 21|)1|ln (2)111(2)2(11111210210021143-=-+=-+=-⋅-=---⎰⎰⎰u u du u du u u ux x dx 令.分数:5所属所属知识点:定积分的计算 难度:6⎰-axa xdx 20223;题型:计算题 答案:)13(3)3(3121320202222222022-=--=---=-⎰⎰a x a x a d x a xa xdx a a a.分数:5所属所属知识点:定积分的计算 难度:6dt tet ⎰-1022;题型:计算题 答案:2110102221021)2(222-----=-=--=⎰⎰e e t d edt tet t t .分数:5所属所属知识点:定积分的计算 难度:6⎰+21ln 1e xx dx ;题型:计算题 答案:)13(2ln 12ln ln 11ln 1222111-=+=+=+⎰⎰e e e xx d xxx dx.分数:5所属所属知识点:定积分的计算 难度:6⎰-++02222x x dx;题型:计算题 答案:2)1arctan(1arctan )1arctan()1(1122022222π=--=+=++=++---⎰⎰x dx x x x dx .分数:5所属所属知识点:定积分的计算 难度:6⎰-222cos cos ππxdx x ;题型:计算题答案:32)sin 32(sin sin )sin 21(2cos cos 22322222=-=-=---⎰⎰ππππππx x x d x xdx x . 分数:5所属所属知识点:定积分的计算 难度:6⎰--223cos cos ππdx x x ;题型:计算题 答案:⎰⎰---=-222223cos 1cos cos cos ππππdx x x dx x x34cos 32cos 32sin cos )sin (cos 2023223202=-=+-=--⎰⎰ππππx xxdx x dx x x 分数:5所属所属知识点:定积分的计算 难度:6⎰+π2cos 1dx x .题型:计算题答案:22cos 2sin 22cos 1000=-==+⎰⎰πππx xdx dx x .分数:5所属所属知识点:定积分的计算 难度:5利用函数的奇偶性计算下列积分: (1)⎰-ππxdx x sin 4;(2)⎰-224cos 4ππθθd ;(3)⎰--2121221)(arcsin dx x x ;(4)⎰-++55242312sin dx x x xx . 题型:计算题答案:(1) 因为x 4sin x 在区间[-π, π]上是奇函数, 所以0sin 4=⎰-ππxdx x . (2)⎰⎰⎰+==-202204224)22cos 1(8cos 42cos 4ππππθθθθθd x d d ⎰⎰++=++=20202)4cos 212cos 223(2)2cos 2cos 21(2ππθθd x x d x x23)4sin 412sin 23(2πθπ=++=x x .(3) ⎰⎰⎰=-=--21221022212122)(arcsin )(arcsin 21)(arcsin 21)(arcsin x d x dx xx dx xx324)(arcsin 3232103π==x .因为函数12sin 2423++x x x x 是奇函数, 所以012sin 552423=++⎰-dx x x x x .分数:20所属所属知识点:定积分的计算 难度:6证明: ⎰⎰-=aa adx x dx x 022)(2)(ϕϕ, 其中(u)为连续函数.题型:证明题答案:因为被积函数(x2)是x 的偶函数, 且积分区间[-a, a]关于原点对称, 所以有 ⎰⎰-=aa adx x dx x 022)(2)(ϕϕ. 分数:6所属所属知识点:定积分的计算 难度:5设f(x)在[-b, b]上连续, 证明⎰⎰---=bb bb dx x f dx x f )()(.题型:证明题答案:令x =-t, 则dx =-dt, 当x =-b 时t =b , 当x =b 时t =-b , 于是⎰⎰⎰----=--=b b bb b b dt t f dt t f dx x f )()1)(()(, 而⎰⎰---=-bb b b dx x f dt t f )()(, 所以⎰⎰---=b b bb dx x f dx x f )()(.分数:8所属所属知识点:定积分的计算 难度:6设f(x)在[a, b]上连续., 证明⎰⎰-+=ba ba dx xb a f dx x f )()(.题型:证明题答案:令x =a +b -t , 则dx =dt , 当x =a 时t =b, 当x =b 时t =a , 于是⎰⎰⎰-+=--+=b a b a abdt t b a f dt t b a f dx x f )()1)(()(, 而 ⎰⎰-+=-+ba b a dx x b a f dt t b a f )()(, 所以 ⎰⎰-+=ba ba dx xb a f dx x f )()(. 分数:8所属所属知识点:定积分的计算 难度:7 证明: ⎰⎰>+=+11122)0(11xx x x dx x dx .题型:证明题答案:令tx 1=, 则dt t dx 21-=, 当x =x 时xt 1=, 当x =1时t =1, 于是 ⎰⎰⎰+=-⋅+=+11121122211)1(1111x x xdt t dt t tx dx , 而 ⎰⎰+=+x x dx x dt t 1121121111, 所以⎰⎰+=+1112211x x x dx x dx.分数:10所属所属知识点:定积分的计算 难度:7证明: ⎰⎰-=-1010)1()1(dx x x dx x x m n n m . 题型:证明题答案:令1-x =t , 则⎰⎰⎰⎰-=-=--=-10100110)1()1()1()1(dx x x dt t t dt t t dx x x m n n m n m n m , 即⎰⎰-=-1010)1()1(dx x x dx x xm n n m.分数:8所属所属知识点:定积分的计算 难度:6证明: ⎰⎰=ππ020sin 2sin xdx xdx n n . 题型:证明题 答案:⎰⎰⎰+=ππππ2020sin sin sinxdxxdx xdx n n n, 而 ⎰⎰⎰⎰==---=202022sin sin ))((sin sinπππππππxdxtdt dt t tx xdx n n nn 令,所以⎰⎰=ππ020sin 2sin xdx xdx nn .分数:8所属所属知识点:定积分的计算 难度:8设f(x)是以l 为周期的连续函数, 证明⎰+1)(a a dx x f 的值与a 无关. 题型:证明题 答案:已知f(x +l)=f(x).⎰⎰⎰⎰⎰⎰⎰-+=++=+++ala llla lla a adxx f dx x f dx x f dx x f dx x f dx x f dx x f 00001)()()()()()()(,而⎰⎰⎰⎰=+=++=+a a ala ldx x f dx l x f dt l t f l t x dx x f 000)()()()(令, 所以 ⎰⎰=+l a adx x f dx x f 01)()(. 因此⎰+1)(a a dx x f 的值与a 无关. 分数:10所属所属知识点:定积分的计算 难度:8若f(t)是连续函数且为奇函数, 证明⎰xdt t f 0)(是偶函数; 若f(t)是连续函数且为偶函数, 证明⎰xdt t f 0)(是奇函数. 题型:证明题答案:设⎰=xdt t f x F 0)()(. 若f (t )是连续函数且为奇函数, 则f (-t )=-f (t ), 从而 )()()()1)(()()(0000x F dx x f dx u f du u f ut dtt f x F xx xx===---==-⎰⎰⎰⎰-令, 即⎰=xdt t f x F 0)()(是偶函数. 若f (t )是连续函数且为偶函数, 则f (-t )=f (t ), 从而 )()()()1)(()()(0000x F dx x f dx u f du u f ut dtt f x F xx xx-=-=-=---==-⎰⎰⎰⎰-令, 即⎰=xdt t f x F 0)()(是奇函数.分数:12所属所属知识点:定积分的计算。
第五章总练习题2222222222,,:(1)||||;(2)|||||;(3)(1)||||||||||||2||||20,(2)|||||||(|||)||||2|=-=--=-⇔=-⇔++=++⇔⇔=-⇔=-⇔++⇔1.设 为两个非零向量指出下列等式成立的充分必要条件与共线正交.a b a +b a b a +b a |b a +b a b .a +b a b a +b a b a b a b a b a b a b =a b a +b a |b a +b a |b a b a b a 解22|||2||||||||||||cos ||||cos 1,(3)()()000,+-⇔=⇔<>=-⇔<>=-⇔-⇔⨯-=⇔⨯-⨯=⇔⨯⇔共线且方向相反与共线共线.b a b a b a b a b a,b a b a,b a b .a +b a b a +b a b b a a b a b =a b2222222.,:(1)()();(2)();(3)()()(1)()().(2).:()0 1.(3).()(),=⨯=⨯=≠=≠=⨯⨯0设为非零向量判断下列等式是否成立不成立.例如:不成立例如成立和都是的有向体积且定向相同a,b,c a b c a b c a b =a b a b c a b c.i i j j i i j i j =i j a b c a b c a,b,c .解3.5342.5)(3)0,(4)(72)0.715160 (1)78300 (2)(1)15(2)8161()0,0.4.,:.,ABC A -+----+=--=⎧-+=⎪⎨-=⎪⎩⨯+⨯-=-=∠设为非零向量,且7与正交,与与7正交,求7利用向量运算证明下列几何命题射影定理考虑直角三角形其中2222222222a,b a b a b a b a b a b a b a b a b a b a b a b a +b a b a b a b 解(22222,,,,.,,0()(),AD AD BD CD AB BD BC AC CD CB AB AD DB AC AD DC AB AC AD DB AD DC AD AD DC DB AD DB DC AD DB DC A ====+=+==++=+++=+为直角是斜边上的高则证222222222(,).()).().D DB DC BD DC BD DC BD DC AB AD BD BD CD BD BD CD BD BD BC AC AD CD BD CD CD CD BD CD CD BC =-==⨯=+=+=+==+=+=+=同向5.,,(1,0,0),(1,1,0),(1,1,1)..(1,0,0),(1,1,0),(1,1,1).(0,1,1),(0,1,0),(0,2,1),(1,0,0)(0,2,1)(1,2,1).A B C ACDBD D A B C AC AB AD AB AC OD OA AD D ======+==+=+=已知三点的坐标分别为若是一平行四边形,求点的坐标点的解(1,2,1).坐标22222222222222212126.,()().()|||sin ,|||(1cos ,)||||||||cos ,().112127.:,:,,121012.121012x y z x y z L L L L ⨯-⨯=<>=-<>=-<>=--++--====--=-=-设为非零向量,证明设有两直线求平行于且与它们等距的平面方程2222a b a b =a b a b a b a |b a b a |b a b a b a b a b a b a b i jkn 证解(5,2,1),(1/2,1/2,1/2),5(1/2)2(1/2)(1/2)0,5210.A x y z x y z ---=-+----=+++=所求平面过点所求平面:-001101018.,||.||||||||.L P L P P P L d d P P AB d P P ⨯==⨯=⨯设直线通过点且其方向向量为证明外一点到的距离可表为平行四边形的面积v v v v v 证112121212121212121212121212121212129.,,.()0.,,()0.10.,,,.min ||Q L Q LL L PP L L PP L L PP PP L L P P L L d Q Q ∈∈⨯=⇔⇔⨯==设两直线分别通过点且它们的方向向量为证明与共面的充分必要条件为与共面共面设两直线分别通过点且它们的方向向量为与之间的距离定义为证明:,v v v v v v v v ,v v 证1211211212121212121211121212112(1),|||()|(2).||(1),8,.||()(2)(||PP L L d PP L L d L L L L PP d PP PP ⨯=⨯=⨯⨯=⨯=⨯当与平行时它们之间的距离可表示为当与为异面直线时,它们之间的距离可表示为当与平行时,它们之间的距离为上任意一点到的距离由第题v v v v v v v v vv v v v 证21212121212121212)|()|()||PP L L PP PP L L ︒︒⨯⨯⨯=⨯是在与的公垂线方向的单位向量上的投影,故其长度||是异面直线与之间的距离.v v v v v v v1111122221211111222221211111222011.0:(1),()()0;(2),,()(A x B y C z D L A x B y C z D A x B y C z D A x B y C z D L L A x B y C z D A x B λλλλπλλπλλ+++=⎧⎨+++=⎩+++++++=+++++设直线L的方程为:证明对于任意两个不全为零的常数,方程表示一个通过直线的平面任意给定一个通过直线的平面必存在两个不全为零的实数,使平面的方程为22111222121111122222111122211112222)0.(1)(,,)(,,),,,()()0(,,)(,,)(0,0,0),0(,,)0y C z D A B C A B C A x B y C z D A x B y C z D A B C A B C L A x B y C z D x y z A x B y C z D λλλλλλ++=+++++++=≠+++=⎧⎨+++=2向量与不共线故对于两个不全为零的常数的主系数+是一个平面的方程,并且 上点的坐标 满足证1111122222000000111222111222,()()0.(2),()()()0.(,,).(,,)(,,)(,,),,(,,)(,,),A x B y C z D A x B y C z D L A x x B y y C z z Ax By Cz D x y z L A B C A B C A B C L A B C A B C λλπ⎩+++++++=-+-+-=+++=故满足设平面通过直线其方程为在上三个向量 与均垂直于的方向向量故共面又与都是非零向量故存在两个不全为零的121111222200012201220112201101010220202011221111122222,,(,,)(,,)(,,).()()()()().()()0.A B C A B C A B C D Ax By Cz A A x B B y C C z A x B y C z A x B y C z D D A x B y C z D A x B y C z D λλλλλλλλλλλλλλπλλ==---=---+=-++-++=++++++++=11常数使得+++故表示为121212121221212121212124012.::113380(24)(38)0,3(2)480.,(,3,2)(1,1,1)0,320,20.2,x z L L x y z y z x z y z x y z L λλλλλλλλλλλλλλλλλλλλ--=⎧-=+=-⎨-+=⎩--+-+=++---+=--=+--=-+==试求通过直线且与直线平行的平面方程.根据题的结论所求平面方程有形式由于平面与平行令解11,21,250.x y z =+-=得所求平面方程3 22213.:1,:2260.42(1);(2),.(1)(2,,).420.222()()()02y z S x x y z S S y yS x z x z yx X x Y y z Z z ππππ++=+++=++=-+-+-=已知曲面S的方程为平面的方程为求曲面的平行于的切平面方程在曲面上求到平面距离为最短及最长的点并求最短及最长的距离的法向量解22222213.:1,:2260.42(1);(2),.(1)(,,).(2,,).22/2.2,.212:21,y z S x x y z S S yS x y z S x z x y zz x y z x x x x πππππ++=+++=====++==±已知曲面S的方程为平面的方程为求曲面的平行于的切平面方程在曲面上求到平面距离为最短及最长的点并求最短及最长的距离上的点记为的法向量切平面与平行,则法向量对应坐标成比例:与曲面方程联立解 111111221,1, 1.22()()()0212 2. 2.22(3,0,0).17(,1,1),(,1,1),227(,1,1)(2,1,2)102.||331(,1,1),2y z yx X x Y y z Z z y xX Y zZ X Y Z A P A P P A P A P d P P ππ=±=±-+-+-=++=±±±==-===------====---切平面方程:,利用曲面方程得平面过点点到平面的距离点n n 2225(,1,1),25(,1,1)(2,1,2)22.||3311(,1,1)(,1,1),22210.33A P A P d S ππ=--===---到平面的距离在曲面上到平面距离为最短及最长的点分别是和并求最短及最长的距离分别是和n n(注:本资料素材和资料部分来自网络,仅供参考。
习题5—1(A.判断下列叙述是否正确?并说明理由:(1)如果函数仅在区间上有界,它在上未必可积,要使其可积,它在上必须连续;(2)如果积分()存在,那么;(3)性质5也常称为积分不等式,利用它(包括推论)结合第三章的有关知识,可以估计积分的值、判定积分的符号,也可证明关于定积分的某些不等式;(4)定积分的中值定理是一个非常重要的定理,利用它能去掉积分号,同时该“中值”还是被积函数在积分区间上的平均值.答:(1)前者正确.如狄利克雷函数在区间(其中)上有界,但是它在区间上不可积,事实上:将任意分成个小区间,(其中)记第个小区间长度为,先在上取为有理数,则,再在上取为无理数,则,对于的不同取法黎曼和的极限不同,所以在区间上不可积;后者不正确,参见定理1.2.(2)正确.事实上:由于在区间上可积,则对的任意分法,的任意取法,都有,现在对区间等分,去在小区间的右分点,则,,并且等价于,所以.(3)正确.它是证明关于定积分不等式的基础,参见例题1.3、1.4、1.5等.(4)正确.它可以起到去掉积分号的作用;也可以用来表示连续函数在区间上的平均值,但是由于位置不好确定,一般不用它来计算平均值,而是直接计算..自由落体下落的速度,用定积分表示前10秒物体下落的距离.解:根据定积分引入的实例,变速直线运动的路程,所以..一物体在力作用下,沿轴从点移动到点,用定积分表示力所做的功项目管理PMP.1-项目管理框架解:将位移区间任意分成个小区间)记第个小区间长度为移动到时所做的功近似为,于是1.,记,则(假定极限存在).C..用定积分的几何意义求下列积分值:(1);(2)解:(1)如图,上半圆的面积,根据定积分几何意义,所以,5.项目管理是通过以下五个过程组进行的:启动,计划,执行,控制和收尾。
(2)如图,面积,->根据定积分几何意义,所以,7...8.PMO项目管理办公室,负责多项目的处理协调和资源的管理等。
习题5—1(A.判断下列叙述是否正确?并说明理由:(1)如果函数仅在区间上有界,它在上未必可积,要使其可积,它在上必须连续;(2)如果积分()存在,那么;(3)性质5也常称为积分不等式,利用它(包括推论)结合第三章的有关知识,可以估计积分的值、判定积分的符号,也可证明关于定积分的某些不等式;(4)定积分的中值定理是一个非常重要的定理,利用它能去掉积分号,同时该“中值”还是被积函数在积分区间上的平均值.答:(1)前者正确.如狄利克雷函数在区间(其中)上有界,但是它在区间上不可积,事实上:将任意分成个小区间,(其中)记第个小区间长度为,先在上取为有理数,则,再在上取为无理数,则,对于的不同取法黎曼和的极限不同,所以在区间上不可积;后者不正确,参见定理1.2.(2)正确.事实上:由于在区间上可积,则对的任意分法,的任意取法,都有,现在对区间等分,去在小区间的右分点,则,,并且等价于,所以.(3)正确.它是证明关于定积分不等式的基础,参见例题1.3、1.4、1.5等.(4)正确.它可以起到去掉积分号的作用;也可以用来表示连续函数在区间上的平均值,但是由于位置不好确定,一般不用它来计算平均值,而是直接计算..自由落体下落的速度,用定积分表示前10秒物体下落的距离.解:根据定积分引入的实例,变速直线运动的路程,所以..一物体在力作用下,沿轴从点移动到点,用定积分表示力所做的功项目管理PMP.1-项目管理框架解:将位移区间任意分成个小区间)记第个小区间长度为移动到时所做的功近似为,于是1.,记,则(假定极限存在).C..用定积分的几何意义求下列积分值:(1);(2)解:(1)如图,上半圆的面积,根据定积分几何意义,所以,5.项目管理是通过以下五个过程组进行的:启动,计划,执行,控制和收尾。
(2)如图,面积,->根据定积分几何意义,所以,7...8.PMO项目管理办公室,负责多项目的处理协调和资源的管理等。
9.(1)当(这里我后期会整理为IT(2)项目管理能力成熟度模型为偶函数时,A.项目管理知识体系B.解:(1)如图1,当是奇函数时,由对称性,面积,10.管理和领导的区别,领导更难,无形胜有形,领导目的是创造自适应和学习型的团队。
11.项目管理的四要素:时间,成本,范围和质量。
如何判定一个项目是否成功关键是是否满足当前协定好的客户的需求,最好能够是在项目计划或验收准则中对项目是否成功的标准进行适当的量化。
2是偶函数时,由对称性,面积)与;(2);(3)与4),所以.7,.项目管理PMP6.项目管理环境.解:(1)因为在区间上,所以项目的阶段是一个或多个可以交付成果的完成为标志的。
(必须要有形的,可以验证的输出物(3.项目生命周期主要包括概念(Concept,规划(Development,执行(Implement,收尾(3)因为在区间,所以,即6.项目组织结构分为职能型,矩阵型和项目型三种。
其中矩阵又分为弱矩阵,平衡矩阵和强矩阵。
职能型官僚,项目型难以保证资源的充分利用。
强矩阵较复杂,但用好的话效率很高。
.估计下列定积分的值:(1(3);(.PMP培训笔记3-项目管理过程解:(,在区间,得.(31.,于是函数在区间循环,计划->,最大值,而区间长度,根据,得.(2每个过程都包含三个部分的内容,由于函数工具和技术-作用于输入,以完成输出的机制 C.输出-过程结果文件或可以记载成文的事项项目管理过程图表。
,而区间长度,根据)设,则PMP 培训笔记3-项目综合管理,最大值,而区间长度,根据,得(4)设,则,有,在区间内得驻点,又,所以函数在区间,最大值项目章程里面有个重点就是赋予项目经理管理项目的权力。
,根据,得.3.目标式管理(MBO ,最好是从工作分解结构(WBS 开始实施目标式管理,因为他将项目细分为若干个容易完成的部分。
实施目标管理包含三个步骤:A.知道明确现实的目标。
B.上显然有,所以.4.项目初步范围说明书需要关注的重要内容 A.,在区间上,,于是函数 D.约束和假设上单调增加,从而,即在区间上,所以习题5—1(B1.右图给出了做直线运动的某质点在到9s内的速度图象,求它在这段时间间隔内所走的路程.解:质点在0到变更应该由专门的变更控制委员会CCB来批准或否决。
但不是所有的项目都需要设置CCB.9.质点在0到9s发布所有需要的,与收尾相关的报告 C.收尾所有外部供应商的合同 D.完成所有项目文件的归档(组织资产更新 E.释放资源给其它项目;(2)..(2)由项目管理PMP培训笔记4-由,有等价于,于是.3.若函数在区间()上连续,,且不恒等于,证明.2.WBS.上函数连续且又不恒等于零,于是有WBS,使得,由连续函数的性质,,在区间内恒有,设区间(),所以,即,再由定积分的线性性,得.4.证明下列不等式:(1);(27.(其中是正整数)8.范围控制主要是范围的变更,当项目范围有变更的时候需要对项目范围说明书,工作分解结构和范围基准等都进行更新。
项目范围控制输出的产生的变更将作为整体变更控制的输入。
)设,则,由,在区间内得驻点,又,于是函数在区间的最小值为,最大值为,从而,因为.(2)在区间上显然有,且等号不恒成立,而函数、1.使用进度表的目的是:A.确定是实现目标还是超越目标 B.追踪并沟通你的项目进展和状态 C.看看一个可能的变更会如何影响项目。
习题5—2(A1.判断下列叙述是否正确?并说明理由:1)在定理2.1的证明中,被积函数连续的条件是不可缺少的;(2)若连续、可导,则:约束是不延误后续活动 C.最早完成时间(3连续、及可导时,通过将化成两个变上限定积分,7.(GERT)使用牛顿—莱布尼兹公式计算定积分,首先要找到8.PERT值的计算 (乐观时间+4*最可能时间+悲观时间/6,偏差为(乐观时间)不正确.应该是/69.双代号网络图(3)正确.将函数改写为,再根据(2)求导.10.单代号网络图(PDM A.可以有开始-完成,开始-开始,完成-开始,完成-完成四种关系在区间上的一个原函数),但是.计算下列定积分:(1);(2);12.缩短工期的方法主要有赶工,快速跟进,提供生产效率等。
;(4);(5);(6);评论;(8);(9);(10)(11);(12);(136-项目成本管理,其中解:(1)大中小.(32.即使再好的计划都是建立在预测的基础上的,因此不要追求过多的零偏差。
而是要让我们的偏差处于在一个可以接受或可以控制的范围内。
3.(4) 4..(5)EV:挣值,已经完成工作的估算成本PV:计划值,计划完成工作的预算成本(7).(8).(9).(10)EAC:竣工预算,计算公式为 BAC/CPI(11)TCPIC:尚需竣工绩效指数((TCPIS:(进度的, = (BAC-EV/(BAC-PVTCPIO:总体绩效指数。
6.衡量工作绩效(14).3.求下列函数的导数:(1);(1万块买了A,B两只不同股票,甲赚了2000而乙赚了5000,则甲会感觉好像自己损失了3000块一样。
9.(1)..(3).(4).4.求下列极限:(1);(2大中小(3);(4). 解:(1).(2). Joseph B.Crosby - 零缺陷,从开始就把事情做对,质量成本Kaoru Ishikawa - 鱼骨图(石川熏图,因果分析,质量控制循环Shigeo Shingo - 质量的查错检验和差错原因的校验Yoshio Kondo - 质量与人的关系;动机习题5—2(B 质量是既符合各项要求1.质量保证质量保证具有一种管理功能,它为项目符合相关质量标准要求树立信心而在质量系统内实施的各项有计划的系统活动。
质量保证只对质量过程有效对产品无效质量保证是组织级提供,质量控制是项目确保解:质量成本(一致性成本:COGQ 预防性质量过程成本,如评审,测试非一致性成本质量控制质量控制是一项技术手段,包括为项目建立技术性基线,收集详细数据,并用此数据测量质量是否与基线一致。
PMBOK由方程,求.解:方程全面质量管理,解得.3.若函数连续,设,求.解:流程图和图表帕累托图(2/84.证明:当时,函数取得最小值.证明:函数在内有定义,,由核对表(CheckSheet,检查单(Check List是函数的唯一极小值点,从而也是最小值点,所以当质量管理成熟度的5.5不稳定阶段(Uncertainty在区间上连续,在内可导,且,设,内.证明:.(其中),由项目管理PMP培训笔记8-人力资源和沟通管理所以在区间内证明.(方法2因为,所以小由,有函数单调减少,而,于是,得计划阶段,所以在区间2.项目团队组建(方法)设 (执行阶段于是函数在区间上单调减少,组织的人力资源职能6.若函数可导,且2.培训,求极限.组织的形式职能型,矩阵型,项目型和复合型其中矩阵型又分为了弱矩阵,平衡矩阵和强矩阵项目经理的作用1.制定计划,安排进度和进行估算2.绩效,成本和趋势分析3.,证明方程在开区间/顾问间的关系5.后勤管理设,根据已知,函数在闭区间连续,又,,由于连续函数,则决策人5.氛围缔造者项目经理的资格在开区间至少有一个实根.而3.领导力和团队建设能力4.沟通协调能力项目冲突至多有一个实根.冲突主要又直接面对解决,折中,强制,强制,缓和和撤退等几种方式。
团队建设PMI认为,在项目一开始就应该进行项目团队建设。
项目团队建设的基本原则.若函数求函数在3.解:当时,5.项目经理应该以身作则,树立榜样6.不要试图强制或操纵团队成员7.定期评估团队的努力六个特别重要的动机理论1.马斯洛的需求层次理论(生理-安全-社会-尊重-自我实现判断下列叙述是否正确?并说明理由:(1)在定积分的换元积分法中,要求被积函数3.大内的环境理论(把Y理论人放在较好环境会增加动力4.光环理论或上可积(2)对定积分进行换元时,需要注意的是换元的同时要换积分限,这时还要特别注意换元后积分的下限要小于上限;(3)定积分也有与不定积分类似的凑微分法与三角代换法等换元法,具体采取哪种换元法,其依据与不定积分是相同的;(4)在利用奇、偶函数的积分性质时,不仅要注意被积函数的奇偶性,而且还要注意积分区间关于坐标原点必须是对称的.答:(1)正确.此时在或上是连续的,因此它可积1.预测报告(提供项目在将来会发生什么信息2.进度报告(提供项目最近已经完成了什么信息3.状态报告.(4.偏差报告((4)正确.但是还需注意函数是可积的.2.计算下列定积分:(75%-95%的时间花在获取信息和信息沟通上面。
1.项目经理必须认识到团队沟通网络的重要性,并鼓励他们进行非正式沟通(2.项目经理必须认识到沟通是一个双向过程,不能简单的发布命令,必须鼓励反馈和达成共识。