从“一题多解”转变为“多题一解”
- 格式:pdf
- 大小:286.39 KB
- 文档页数:4
“一题多解”与“多题一解”在高中数学教学中的价值研究与实践随着中国教育制度的不断改革,无论是教育目的还是方式方法,都是为了让学生拥有更加合理更加有效的学习环境而做出改变。
其中高中数学的教育目标,也不再单是让学生学会如何运用数学公式进行计算,除了针对学生对数学的学习兴趣以外,在实际解题方面,要求培养学生拥有更多更灵活的解题思路和方式,以改变统一性的教学模式。
就高中数学解题中“一题多解”与“多题一解”的解题方式加以分析研究。
高中数学解题方式思维模式学生在进入高中后,改变的不仅仅是学习的内容,学生自身的心智和思维模式也有较大的改变。
学生在思想成长的阶段,会出现种种的问题,这些问题会直接影响学生的学习情况,特别是数学。
因为高中阶段数学的难度将进一步加大,内容增多,因此学生解题的方式应更加的多样化。
因此,高中数学教学,首先要从学生解题过程中的思维模式入手,同时改变课堂教学的方式和内容,以此提高学生的学习成果。
一、“一题多解”在数学教学中的价值与实践(一)价值与实践在未来的社会发展中需求的人才将是多元化、多样化的,统一性思维的教育模式已经不再适用于现代社会。
因此,在高中数学教学中,“一题多解”的教学理念,是以学生学习为主,改变以老师为主导地位的教学模式。
因为每一个学生的受教育情况、性格、思维模式都不相同,因此一个固定性的解题方式不能最有效的适用于每一个学生,所以在数学教学的解题过程中,老师应引导学生多角度的去分析问题,让学生去探究、发现多样化的解题方式。
“一题多解”的根本在于问题本身,老师在创设和选择问题时,首先应考虑到问题自身是否具备多样化的解答模式。
同时,在培养学生多样化解题思维时,应注意调动学生解题的积极性,被动、消极的解题态度很难让学生产生多样化的解题思维。
所以针对这方面数学问题的内容应结合学生平时感兴趣的东西,让学生自觉的参与到多样化的解题中。
如有的学生喜欢足球,老师就把其融入习题中,让学生用原本感到枯燥的公式,运算他喜欢的与足球相关的问题。
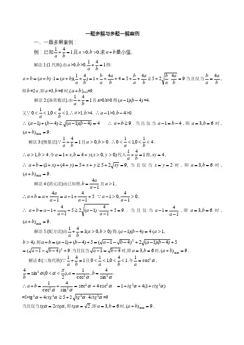
一题多解与多题一解案例一、一题多解案例: 例:已知141=+ba 且a >0,b >0.求b a +最小值. 解法1:(1代换).由a >0,b >0,141=+ba 得: 942545441)41)((1)(=⋅+≥++=+++=++=⋅+=+b a a b b a a b b a a b b a b a b a b a 当且仅当ba ab 4= ,即b =2a ,即a =3,b =6时,(b a +)min =9.解法2:(凑常数法).由141=+b a 且a>0,b>0得)4)(1(--b a =4, 又∵140,110<<<<ba ,∴a >1,b >4. ∴1-a >0,4-b >0. ∴4)4)(1()4()1(=--≥-+-b a b a ∴9≥+b a .当且仅当41-=-b a ,即6,3==b a 时,9)(min =+b a .解法3:(增量法)∵141=+b a 且0,0>>b a .∴410,110<<<<ba . ∴4,1>>b a .令)0,0(4,1>>+=+=y x y b x a 代入141=+ba 得,4=xy , ∴,9255)4()1(=+≥++=+++=+xy y x y xb a 当且仅当2==y x 时,即6,3==b a 时,9)(min =+b a .解法4:(消元法)由已知得,14-=a ab 且1>a , ∴514114+-+-=-+=+a a a a a b a ∵014,01>->-a a , ∴9514)1(25141=+-⋅-≥+-+-=+a a a a b a .当且仅当141-=-a a ,即6,3==b a 时,9)(min =+b a .解法5:(配方法)由)0,0(141>>=+b a ba 得,4)4)(1(=--b a ,1(>a )4>b .则5)4)(1(2)41(5)4()1(2+--+---=+-+-=+b a b a b a b a 9)41(2+---=b a .当且仅当41-=-b a 时,即6,3==b a 时,9)(min =+b a .解法6:(三角代换)∵141=+b a 且140,110<<<<b a .令α2cos 1=a, ααπαα222sin 4,cos 1),20(sin 4==<<=b a b . ∴=+=+αα22sin 4cos 1b a α2sec α2csc 4+)1(4122ααctg tg +++= =5+tg αα224ctg ++≥52αα224ctg tg ⋅=9 当且仅当,2ααctg tg =即2=αtg ,即6,3==b a 时,9)(min =+b a .解法7:(判别式法)设s b a =+,则a s b -=.将a s b -=代入141a b +=整理得,0)3(2=+-+s a s a . ∵110<<a∴1>a ∴方程0)3()(2=+-+=s a s a a f 应在),1(+∞上有实解.则需⎪⎪⎩⎪⎪⎨⎧>-->≥--=∆1230)1(04)3(2s f s s 或0)1(≤f 解得,9≤s . 当.6,3,9===b a s 时 当6,3==b a 时,9)(min =+b a .二、多题一解案例(都是空间平面化方法)1.如图,在长方体1111ABCD A B C D -中,13,1AB AD AA ===若对角线1A B 上存在一点P ,使得1AP D P +取得最小值,则此最小值为( D )A.1B.2C.13+D.72. 如图,已知三棱锥BCD A -的底面是等边三角形,三条侧棱长都等于1, 30=∠BAC ,N M ,分别在棱AC和AD上,则NB MN BM ++的最小值是( B )A. 3B. 2C.1D.23. 圆柱的轴截面是边长为5cm 的正方形ABCD ,从点A 到点C 在圆柱侧面上的最短距离为( B )(A )10cm (B )4252+πcm (C )52cm (D )512+πcm ABC D N M4. 如图,已知正三棱柱ABC —A 1B 1C 1的底面边长为2 cm ,高为5 cm ,则一质点自点A 出发, 沿着三棱柱的侧面绕行两周到达点A 1的 最短路线的长为 cm. 135.如图,在直三棱柱111ABC A B C -中,2AB BC AC ===,13AA =,,D E 分别是棱1BB ,1CC 上的动点,则1AD DE EA ++的最小值是( D )A .13B .5C .7D .35。
高考最后一个月学习计划一横向复习与纵向复习考生们在最后这30多天里,无论在语文还是其他各学科上都应该进行系统的横向复习与纵向复习。
所谓横向复习,就是把所有的模拟试卷串在一起,按题型复习。
如诗歌,名著,简答题、阅读、文言文分析理解等。
对于这部分,学生们现在应该准备一个自制的“文言文小词典”,把老师讲解的每个词汇都记在本子上,然后有时间就翻看,再加上平时对知识的掌握,一个月下来,文言文部分应该是胸有成竹。
对于现代文,要牢记平时老师讲解的语言知识点,对作家作品做到信手拈来。
横向复习,并不是让大家把多套模拟试题的答案记下来,因为在高考试卷中,模拟题是不可能出现的,但必然出现的就是大家常见的题型。
记住老师出题的目的,抓题型的特点和解题思路,从中发现自己的弱处进行重点复习。
所谓纵向复习,就是把试卷上从第一题到最后一题彻底掌握透彻。
因为语文题型基本固定,这就要求学生研究每道题知识点的范围。
语文试卷题中,从纵向上说,哪个题是考哪个知识点,考生拿到手里就应一目了然。
高考时,虽然题目本身没见过,但题型很熟悉,就会使你不至于太慌乱,静下心来,其实哪一道题都是我们复习过的类型。
建议模拟试卷无论横向还是纵向,尤其是在你认为的难点上,应在考前多做几遍。
作文应力求语言生动、情节感人语文试卷中,除了80分的基础题,就是70分的作文。
从最近3年考试的要求看,作文分两个等级给分,一个是基础等级,占50分;一个是发展等级,占20分。
当初制定此标准的目的就是为了奖励作文水平高的学生。
但发展等级也不是高不可攀,它一共要求12条,其中,内容3条、材料3条、结构3条、语言3条,只要符合其中一条,就可在发展等级上得分。
比如有一条要求是词语丰富、句式灵活就可加分,那么,只要你在你的文章中有三四个使用恰当的成语,就可称为语言丰富;在学过的句式中,有长句、短句、设问句、反问句和感叹句等,在写文章时,不妨灵活运用,使文章读起来流畅通顺、脍炙人口;在修辞上也要善于运用,像比喻、对比、排比等,尤其排比句,用起来气势恢弘,容易渲染感情。
利用一题多解、一题多变来提高初中学生的数学解题能力作者:苏淑妮来源:《中学课程辅导·教师教育(中)》2017年第04期(广东省惠州市惠阳区崇雅中学广东惠州 516000)【摘要】数学课程标准中,要求使学生站在不同角度,探索分析和解决问题的方法,此外,教育心理学也指出:问题解决有两种类型:一是常规性问题解决;二是创造性问题解决。
通过一题多解、一题多变训练,使学生能够体验到解决问题的多样性方式,能够掌握分析及解决问题的基本技巧和方法,使所学的知识得到活化,融会贯通,开阔思路,培养学生的发散、创新思维能力。
【关键词】一题多解一题多变初中数学发散思维【中图分类号】 G633.6 【文献标识码】 A 【文章编号】 1992-7711(2017)04-173-01先观察以下4个例题,是初中数学练习过程经常碰到的,具体的解答过程后文有详细的描述,以此四个例题用以论述本文的观点。
例1:相切两圆半径分别是4和6,求圆心距。
例2:在几何题型中:直角三角形两边长3和4,求第三边。
例3:一道求证题:顺次连接平行四边形各边中点所得的四边形是平行四边形变式1:顺次连接矩形各边中点所得的四边形是菱形变式2:顺次连接菱形各边中点所得的四边形是矩形变式3:顺次连接正方形各边中点所得的四边形变式4:顺次连接什么四边形各边中点可以得到平行四边变式5:顺次连接什么四边形各边中点可以得到矩形变式6:顺次连接什么四边形各边中点可以得到菱形例4:在梯形ABCD中,AB∥CD,∠A=90°,AB=2,BC=3,CD=1,E是AD中点.求证:CE⊥BE.一、一题多解、一题多变帮助学生循坏往复调动所学知识,强化记忆在学习生涯中,知识点是解题的基础和灵魂,千千万万的题目是从知识点出发延伸设计出来问题考察学生的。
由于时间和空间有限,学生不可能做完所有的题目,对于教师也不可能讲解完所有的题目。
而对于数学,单是一道题目中也不可能只有一个知识点的考察,例题1这道题中涉及的知识点有:相切圆、半径、圆心距,最终的问题虽然是求圆心距,但是如果没有正确的对于圆、半径以及相切的概念,那么也就无从下手。
“一题多解”与“多题一解”在高中数学教学中的价值研究与实践作者:钱万毅来源:《中学课程辅导·教师教育(上、下)》2017年第02期摘要:经新课标的多次改革,高中数学教学由从前的教师为主导,逐渐演变为教师的作用为指导、引导,而学生为主体的自主多样性课堂,这样的课堂可以帮助学生更加主动地学习,锻炼学生思考、组织、分析、归纳等的能力。
其中“一题多解”和“多题一解”在高中数学教学中有良好的价值,值得实践与推广。
关键词:高中数学;解题方式;思维模式中图分类号:G633.6 文献标识码: A 文章编号:1992-7711(2017)02-057-01学生在进入高中学习后,不仅仅面临着学习内容的改变,学习的难度上了一个更高的台阶,还面临着思想的成熟和思维方式的养成。
在这一阶段,学生要学会用发散思维和提纲挈领的方法处理问题,而数学的学习,对培养学生这些能力都非常有益,其中“一题多解”与“多题一解”正是培养这些能力的关键教学实践方法。
在此阶段,注重数学教学的方式方法,传递给学生正确的思考方式,锻炼学生正确的思考能力,对于学生今后学习能力以及生活能力的提高都尤为重要。
一、“一题多解”在数学教学中的价值研究与实践(一)价值在传统的数学教学模式中,通常是老师在讲台上教授数学公式、概念等内容,学生在下面记笔记。
学生和老师都认为掌握了大量的定理、定义,以及数学公式,就能做好题,做对题,就能够在考试中取得好成绩。
在此背景和环境下,培养学生的发散性思维是很必要的。
老师不应该对数学题目只做生硬的讲解,只讲一种“标准答案”,这样只会禁锢学生的思维。
长久下去,学生只会变成“书呆子”。
教师应该多注重教学的有效性,应在课堂上观察学生的状态,倾听学生的需求,倾听学生的提问与回答,倾听学生的讨论。
这样才能使课堂互动起来。
数学的学习,本来就应该是丰富多彩的。
这样一个锻炼逻辑思维的学科,教师在教授的过程中应当充分发挥学科特点,让学生学习了数学,真正能有所用。
一题多解”与“多题一解”在高中数学教学中的价值研究与实践毛淑萍发布时间:2022-04-19T14:54:08.494Z 来源:《基础教育课程》2022年1月作者:毛淑萍[导读] 随着新课改的推出,我国教育的质量在随之得到提高。
浙江省诸暨市湄池中学毛淑萍 311814摘要:随着新课改的推出,我国教育的质量在随之得到提高。
高中的教育是培养社会所需人才的主要场所,高中对于学生的学习和发展有着很重要的影响。
在高中教学中,怎样来提升学生学习知识的效率是现阶段最需要重视的问题。
在数学教学中,数学教师可以使用一题多解和多题一解的方法来进行教学,对于这两种方法的价值进行研究,并进行实践。
关键词:一题多解;多题一解;高中数学;价值和实践在高中教学中,对于数学这一学科而言,数学的理论知识比较复杂,而且学生一定要具备较强的思维能力,这样也就导致学生在学习数学知识的时候遇到了困难。
想要提升学生的数学成绩,数学教师就一定要培养学生的思维能力,让学生了解数学的解题方式。
因此,就可以使用一题多解和多题一解的方法来进行教学,从而有效地提升学生的数学成绩和教学的效率,促进学生可以更好的发展。
一、在高中数学中使用一题多解的教学方法(一)一题多解教学方法的价值分析对于高中数学教学而言,在以往的教学方法当中,一般都是数学教师把数学知识和公式等内容灌输给学生,让学生被动的学习数学知识,这样的教学方法是比较枯燥的。
在高中数学教学中,使用一题多解的方法可以让学生在解决数学问题的时候,培养自己的思维能力,对数学的特点进行发掘。
并且还可以丰富数学知识,活跃数学课堂的气氛,让学生对数学知识产生兴趣,主动的学习数学知识,解决数学问题,使学生的思维能力得到提高,让学生的综合能力得到发展。
(二)一题多解教学方法的实践在高中数学教学中,使用一题多解的教学方法时,数学教师一定要根据将要教学的内容来进行设计。
在开始教学前,要选择好数学题目,根据学生的兴趣来进行选择,这样才可以在进行教学的时候,激发学生学习的积极性。
数理化解题研究2021年第12期总第505期试论高中数学教学中“一题多解”的应用潘克亮(浙江省温州市温州中学325000)摘 要:根据我国目前数学教学的实际情况,对“ 一题多解”在教学上的应用进行深入分析,“ 一题多解” 在教学中已经被广泛运用,取得了较大的成效,也体现了“一题多解”在数学教学中的价值.“ 一题多解”这种教学方法能够培养学生的思维能力,调动学生学习的积极性,使学生从不同的角度,不同的层面去看待问题, 改变学生的思考方向,提高学习质量.关键词:高中数学;思维模式;教学方法;一题多解;应用中图分类号:G632 文献标识码:A文章编号:1008 -0333(2021) 12 -0010 -02随着我国教育机制的不断革新与优化,以培养学生的综合能力和素养为目标,在这一背景下,教育部门对高 中数学教学质量提高要求,教师要根据实际情况不断地 去探索新的教学方法,“一题多解”在高中教学中不断被强化.数学的解题思路比较灵活,一题多解能够激发学生 的学习兴趣,为学生提供学习的空间,还能够了解学生对 知识的掌握程度,来更好的完成教学任务.一、 “一题多解”在教学中的价值“一题多解”教学方式在高中教学中经常使用,其教 学价值主要体现在:第一、“一题多解”能使学生的解题思 路更加灵活,激发学生对学习的激情,有利于发挥学生思维的创新性、批判性以及敏捷性.灵活的思维能够使学生 从不同的角度,不同的层面去看待问题,能够改变学生的 思考方向;第二、“一题多解”有利于学生发展发散性思维 方式,使学生从多个角度对同一个问题深入思考,并能从 不同方面找到解题方法,得到准确的答案,同时,发散性思维对数学教学也起着重要的作用.二、 “一题多解”的意义1. “ 一题多解”可以激发学生的学习兴趣咼中学生在学习中,—般运用的是最基础和原始的 解题方法,通过运用“一题多解”教学模式后,学生对高中 数学产生了浓厚兴趣,对数学有了新鲜感,激发了学生对 数学的探索欲望,从而增加学生的求知欲,使学生由被动学习转化成主动学习,为营造了良好的学习氛围,使学生 之间相互交流与探讨,从而提升了整体的学习成绩.2. “ 一题多解”的思维模式通过“ 一题多解”,帮助学生打破常规的思维模 式,使学生从不同的思维角度和不同的层面去看待问题,对问题的解决方法进行探讨与研究,建立完整的知识结构框架,将学习的内容进行整合,打开了学生的学 习思路,使学生深入的掌握学习方法,用较短的时间提 高了学习成绩.3 .“一题多解”能够提升创新能力合理的运用“一题多解”,可以增强学生的发散思维, 从而向各个方向延伸思维触角,提高学生的思维意识. “一题多解”能够打破学生常规解题思路的局限性,通过 各种解题思路,将相关的知识结合起来,通过合理的运 用,提高自身的学习成绩.三、“一题多解”在高中数学教学中的具体运用1.案例讲解案例一关于圆已知圆C: (%-1 )2 + (y -2)2二2,如果等边三角形PAB 中的一边AB 为圆C 的一条弦,则PC 的最大值为解析如图1所示,连接BC , AC ,设乙CAB 二0,连接PC ,与AB 相交于点D ,因为BC 二AC,APAB 是 等边三角形,所以D 是AB 的中点, 所以PC 丄AB ,所以圆C : (% - 1 )2 + (y -2)2 二2 中,半径为 2, AD 二V2 cos0, CD 二 J2 sin0.图 i在等边三角形ABP 中,PD 二;AB 二 6 cos0,所以 PC 二 CD + PD 二2 sin 0 + J6 cos0 二 2 2 sin ( 0 + :卜2 2.收稿日期:2021 -01 -25作者简介:潘克亮(1987. 8 -),男,浙江省温州人,硕士,从事高中数学教学研究.—10—2021年第12期总第505期数理化解题研究分析 由于涉及的是求最值问题,可以通过不同角 度进行考虑,通过一个角将问题中所涉及的线连接起来, 并将角做好标示,利用三角函数的公式来进行列式计算, 最终得到正确的答案,这一解题方法要求对三角形知识要熟悉,这样才能做好对三角函数知识的运用.案例二 设直线% -3y + m — 0 (mH0)与双曲线与-a* — 1 (a >0,b >0)的两条渐近线交于点A,B,若点P ( m, 0)满足PA — PB ,则该曲线的离心率是.解析 渐近线方程式为:y — ±仝%,分别与% - 3y + ma的中点为q 札/,諸—)如图2,因 p 川- p 〃 I ,-0联立,解得/ f飞,气0,B f 飞,古0,则佃(a + 3 b a + 3 b 丿 f a - 3 b a - 3 b 丿a 2 m 3 b 2a 2,3 b 2 m 所以PQ 丄力B,忍b — 3,所以紡。
咼效课堂理论学习材料“六环节”教学模式一、打造“高效课堂”的理论依据1、新课程对教学要求:“以新理念规范教学,以新策略指导教学”;新理念专家总结为:新课程教学,是在教师指导下,学生自主学习、自主发展活动的总和;是学生主动与教材(学习资料)、与教师、与同学、与学习环境等课程“四要素”实行交流、互动、整合建构的“生态系统”。
以上两点都体现了学生主体,强调了学生的参与、体验。
如何理解“生态系统”?本是生物名词术语,指生物群落及其地理环境相互作用的自然系统。
“生态系统’借用到这,说明学生的学习是一个与教师、学习材料、学生、学习环境相互作用的自然系统,自然系统就说明互动是必须的。
所以,新课程认为,交流互动是教学的本质,没有互动交流,就没有发生教学。
所以说交流互动是新课程教学的本质。
新策略:就是以有效教学策略,打造高效课堂。
以先学后教、以学定教,学、做、教互动”为指导,构建高效课堂教学模式。
2、学习效果金字塔理论。
见投影片。
二、高效课堂“六环节”教学模式依据以上指导思想和集各学科意见,我们把新环节”:“目标引入--自主学习一互动精讲(点拨)一达成检测一反思总结一巩固提升” C1、目标引入。
包括两层含义:一层是明确教学目标;另一层是新课的引入或导入。
(1)确定教学目标。
教师要从三个维度设计教学目标:知识与技能--是结果性目标;过程与方法--是程序性目标;情感态度与价值观--是体验性目标。
这是学生要达到的目标,不但仅老师完成的目标。
会学知识与水平:学懂---学会---f反思调控过程与方法:学中做---做中学---情感态度价值观:反应(认同)- —体验(体会)---领悟(内化)(2)新课导入:情境引入。
即用社会生活实践、科学事例等揭示的问题与新课内容有联系的背景材料作为引入材料,激发学生学习兴趣、产生疑问,让学生在存疑状态中进入新课的学习,这样效果比简单的复习提问单纯的概念要好。
2、自主学习。
指学生在教师指导下的“学、做、思”的学习过程。
摘要课堂教学的内容展现也是客观反映数学教学的发展规律,以及人们对客观事物的主观能动性,从一个试题具体问题具体分析,再到一个问题可以找到多种解决方法。
因此,在另一个角度上看待数学解题问题也是旨在提高学生的创新思维能力,培养学生的积极性和兴趣,这样在高中数学教学中一定培养学生的“一题多解”的能力。
目前,咱们国家还是非常重视数学教学的基础,主要是培养学生的基础知识和基本技能。
也是我们现在在数学教育上面的基本现状。
基础上面从小学到中学都是老师们非常重视,从传统教学方式来看还是正确的,但是把基础打牢之后如何进行更高层次的发展呢?让老师主导学生提高学生的自主创新性,利用教师的经验方面倡导学生自主学习能力提高自己的开放思维,为未来创新思维奠定基础。
伴随数学变式教学理论的日益成熟,作为实现其教学价值的途径,“一题多解”与"多题一解”已经具有了相当成熟并且深厚的理论背景。
开展数学的教学的目的即为开展思维活动的教学,而学生的思维主动性与积极性依赖于对客观事物认知过程中的不断启发,如何让学生的思维顺其自然地进入精彩的数学世界,除了教师的合理引导外,更加离不开的是数学世界本身的丰富多彩性。
关键词:教学模式;解题;自主创新;高中数学AbstractClassroom teaching the content of the show is also objectively reflect the development regulation of mathematics teaching, as well as people's subjective initiative to objective things, from a test question, analyzing the specific issues various solutions to a problem can be found. So, in another point of view of mathematical problem solving is also aimed at improving the students' creative thinking ability, cultivate the students' enthusiasm and interest, so that in the high school mathematics teaching must cultivate the students' ability to "more than a problem solution".At present, our country is very emphasis on the basis of mathematics teaching, mainly develop the students' basic knowledge and basic skills. And we are now in mathematics education basic status of the above. Based on teachers from middle school are very seriously, from the traditional teaching way is right, but how to do after the beat based on a higher level of development? Let teachers lead students to improve the students' independent innovation, using the experience of the teacher encourage students to improve their ability of autonomic learning, open mind, innovative thinking to lay the foundation for the future.With mathematical variable type teaching theory is increasingly mature, as a way of realizing the teaching value, "more than a problem solving" and "what a problem solution" has quite mature and profound theoretical background. The aim of mathematics teaching is to develop the teaching of thinking activity, and students initiative and enthusiasm of thinking depends on the understanding of objective things in the process of constantly inspire and yuen, how to let students into the wonderful world of mathematics thinking let nature take its course, in addition to the teacher's guide rational, more cannot leave the mathematical world itself is rich and colorful.Keywords: Teaching mode; problem solution; Independent innovation; High school math目录摘要 (1)Abstract (2)第一章绪论 (4)1.1 课题研究背景 (4)1.2 目前高中数学教学现状 (4)1.3 国内外研究现状 (5)1.4 本文主要内容 (6)第二章相关研究综述 (6)2.1 研究的基本理论依据 (6)2.1.1 变式的基本理论依据 (7)2.1.2 一题多解的界定 (7)2.2 “一题多解”在高中教学中的使用情况 (8)2.3 本章小结 (8)第三章“一题多解”的研究思路和方法 (8)3.1 基本研究思路 (8)3.2 研究方法 (9)3.3 “一题多解”的实际例子 (10)3.4 本章小结 (10)第四章“一题多解”在教学中的策略和实际意义 (10)4.1 “一题多解”在高中数学教学中的策略 (10)4.2 “一题多解”在高中数学中的实际意义 (11)4.3 本章小结 (12)第五章总结与展望 (13)5.1 总结 (13)5.2 展望及建议 (14)参考文献 (14)致谢 (15)第一章绪论1.1 课题研究背景目前,随着高中教育的改革,高中的新课改要求也是进一步进行推进,全国的很多高中也在改革范围内,这些年的教学实践中,高中数学的课堂教学和试题解题方面也是有一定的进展,如今的教学模式更是看中老师与学生的更多互动,和自主解题思路。
“一题多解”与“多题一解”在提升中学数学教学质量中的应用作者:闫萧寒来源:《求知导刊》2014年第12期摘要:数学知识内容丰富、形式多变,对于传统的数学教学来说,教学过程的重点不外乎为:讲解定义、推导公式、例题演练、练习及习题的安排。
“一题多解”与“多题一解”的解题策略能够提升学生的数学问题解答能力,对学生数学水平的提升具有重要的影响。
下面就几道典型的一题多解与多题一解问题在教学中的运用谈谈我个人的几点看法,借以使学子们初步认识一题多解与多题一解问题,领略一题多解与多题一解问题的魅力,激发起学习兴趣,活化其解题思想。
关键词:“一题多解”;“多题一解”;中学数学教学;数学教学质量意大利著名的数学家、物理学家伽利略·伽利雷曾经说过:“数学是描述世界的语言。
”数学符号和数学公式精确、简洁而优美,为我们的生活带来了无限的便利,指引我们更好地认识世界、感受世界。
“一题多解”与“多题一解”的思想能够有效满足新课程改革背景下,对中学数学教学的要求,改善传统教学方式中的缺点和不足之处,使学生能够形成一定的数学思维,为学生未来的数学知识学习和综合能力的发展奠定良好的基础。
一、“4多”原则对数学教学的作用“4多”原则主要指的是多看、多想、多做和多问,“4多”原则能够直接影响中学数学教学的质量和效果。
1.多看数学知识离不开多看、多学,学生需要多看书,做好课前预习、课后复习才能将课本中的数学知识和数学难点进行深刻的理解。
多看对于中学数学教学具有积极的影响,学生对课堂教学内容产生了一定的了解,就会使课堂教学活动变得更加轻松、愉快,使中学数学教学达到事半功倍的效果[1]。
2.多想数学教学不仅在于指导学生学习数学知识点、提升学生的问题解答能力和数学知识灵活运用能力,更在于使学生通过数学知识的学习、应用,形成一定的数学逻辑思维能力和数学独立思考能力[2]。
3.多做俗话说:“熟能生巧。
”多做、多练能够增加学生对数学知识的深刻理解,巩固学生的数学知识和提升学生对数学知识灵活运用的能力,融会贯通,把不同内容的数学知识点关联起来,帮助学生建立一个完整的知识结构和框架体系[3]。
一题多解是要培养学生的什么思维一题多解是要培养学生的发散思维。
发散思维,是指大脑在思维时呈现的一种扩散状态的思维模式。
又称辐射思维、放射思维、扩散思维或求异思维。
通过如“一题多解”、“一事多写”、“一物多用”等方式,可以培养发散思维能力。
一、通过创设问题情境来诱发学生发散思维为学生提供独立活动、自我表现的机会和条件,应鼓励学生对老师的提问产生质疑,能够提出自己不同的观点和看法,由此及彼,从一个问题衍生开来,提出崭新的、有创造性的问题。
只有这样,教师的设问才会最大可能地激发学生的创造性思维。
要鼓励学生拥有坚持己见的自信和勇气,引导学生为证明自己的观点找证据,求事实;但同时应引导学生既要敢于坚持己见,又要善于接纳别人正确的观点,从而在对某个问题的讨论中获得最大收益。
学习兴趣和求知欲是学生能否积极思维的动力。
在数学问题情境中,新知识的需要与学生原有的数学水平之间存在着认识冲突,而这种冲突正是诱发学生数学思维的积极性和创造性所必需的。
二、通过遵循学生思维规律来引导学生的发散思维将一个问题从不同角度、不同层次进行设问,也可训练学生的发散思维,进而培养学生的创造性思维。
具体而言,思考问题时,根据同一来源材料,以比较丰富的知识为依托,沿着不同的方向去思考,以探求不同方向的解答,即通常所说的“一题多解”、“一题多变”。
在合适的问题情境中,学生思维的积极性被充分地调动起来。
教师提出问题后,一般应让学生先作一番思考,必要时教师可作适当的启发引导。
教师的启发要遵循学生思维的规律,因势利导,循序渐进,不能强制学生按照教师提出的方法和途径去思考问题,喧宾夺主。
三、通过激发学生兴趣来促进发散思维兴趣是学生学习的直接动力,教师要精心设计每节课,要使每节课形象、生动,有意创造动人的情境,设置诱人的悬念,激发学生思维的火花和求知的欲望。
经常指导学生运用已学的数学知识和方法解释自己所熟悉的实际问题。
适当分段,分散难点,创造条件让学生乐于思维。
摘要本文意在明确一题多解和多题一解与学生思维能力开展之间的关系,从而使教师在数学解题教学过程中更加重视解题方法对学生思维能力的培养。
本文通过两种典型例题即一题多解型和多题一解型的讲解,阐述了通过不同的例题可以到达对学生思维能力的训练培养的目的。
通过一题多解,可以开阔学生思路、发散学生思维,让学生学会多角度分析和解决问题;通过多题一解,能够加深学生的思维深度,分析事物时学会由表及里,抓住事物的本质,找出事物间在的联系。
与此同时,对一题多解和多题一解的运用,要注意相互结合,灵活运用,不可只求一技,失之偏颇。
关键词:一题多解多题一解思维能力数学解题过程中一题多解与多题一解对学生思维能力的培养引言现代心理学认为,数学是人类思维的体操,在培养人的聪明才智方面起着巨大的作用。
所以,数学教学实质上是数学思维活动的教学。
也就是说,在数学教学中,除了要使学生掌握根底知识、根本技能外,还要注意培养学生的思维能力。
培养学生的思维能力是新课程改革的根本理念,也是数学教育的根本目标之一。
“学生在学习数学和运用数学解决问题时,不断地经历直观感知、观察发现、归纳类比、空间想象、抽象概况、符号表示、运算求解、数据处理、演绎证明、反思与建构等思维过程。
这些过程是数学思维能力的具体表达,有助于学生对客观事物中蕴含的数学模式进展思考和做出判断。
〞数学思维能力对形成理性思维有着独特的作用。
因此,作为一名数学教师,应把培养学生的思维能力贯穿在教学的全过程。
市区播送电视大学舒芳教授在《在数学解题教学中培养学生的思维能力》中认为,不同的解题方法,可以培养学生不同的思维方式。
如,一题多解可以培养思维的广阔性;数形结合,可以培养思维的灵活性;巧妙构造,可以培养思维的独创性;逆向探求,可以培养思维的敏捷性;动静变换,可以培养思维的变通性等。
从心理学角度讲,发散性思维和集中性思维的有机结合,正是培养创造性思维的有效途径。
本文着重阐述一题多解与多题一解的灵活运用对培养学生思维能力的重要性。
从 一题多解 到 “ ”多题一解 “ ” 【摘要】一题多解是训练学生发散思维的好方法,然而仅仅停留在 一题多解 的层面上远远 “ ”不够的,即让学生的思维无限发散,不注意 收(及时归纳总结方法),那将不利于学生对数 “ ”学思想方法的掌握和运用。
因此,一题多解要关注考纲和考试说明、关注学生的 学情 “ ” 、关 注解法的选择,最终变为多解归一,升华为解一类题的方法。
【关键词】一题多解 多题一解 求异思维 发散思维文[1]说: “一题多解应该关注考纲和考试说明、 关注学生的 ‘学情’ 、 关注解法的选择。
” 这一点笔者在高三教学感触颇深。
让我们先看一例:例 1.已知点 ( ) ( ) ( ) 3,0,0,33,3,0, A B C ABC - D 外接圆为 D e(1)求 D e 的方程;(2)设直线 ( ) 1 :33 l y m x =+ 与直线 ( )2 :31 l y nx =- 的交点为P ,且点P 在 D e 上①若 D e 关于直线 1 l 对称,求n 的值;②若 0,0 m n >> ,求证:mn m n +- 为常数。
解法一: (标准答案提供方法)将直线 1 l 与 2 l 的方程联立方程组( ) ( ) 33 31 y m x y nx ì =+ ï í =- ï î 解得 ( )31 331 m x n m m n y n m + ì = ï - ï í + ï = ï - î代入圆D 的方程得: ( ) 2 2 31 31 ()3112 m n m n m n m + éù + +-= êú -- ëû化简得 ( ) ( ) ( )2223133212 m mn m n n m +++-=- 移项因式分解得 ( ) ( ) ( ) ( ) ( ) 2 313232232 m n m mn m n n m mn m n +=-++---+- éùéù ëûëû化简得 ( ) ( )( )2 31331334 m n m n mn m +=+-- 因为 0 m > ,所以 ( ) ( )313334 m n n mn m +=-- 移项分解因式得 ( )( ) 31313(31)(1)n n m n n -+=++ 因为 0 n > ,所以 13mn m n +-=-【评注】此法是参考答案提供的方法,对照题意思路清晰——入口宽,但要想真正化到最 终结果,却不太容易——运算量大。
然而这一点符合《考试说明》考查学生运算求解能力的 要求,毕竟此法是通性通法。
解法二:设直线 1 l 与圆D 的交点 ( ) 00 , Q x y ,则将直线 1 l 与圆D 的方程联立方程组( ) 22 33 2390 y m x x y y ì =+ ï í +--= ï î 消去 y 得( ) ( ) 2222 31186271890m x m m x m m ++-+--= 因为 2 0 2 618 (3) 31m m x m - +-= + 所以 点 ( ) 2 22 631 693 (,) 3131m m m m Q m m + -+ ++ , 因为点Q 也在直线 2 l 上,所以 ( ) 2 22 631 693 3(1) 3131m m m m n m m + -+ =×- ++ 化简得 ( ) 2 2 31693 m mn m n n +=-+ 即 ( ) ( )( ) 2 313133 m m mn n +=-+- , 所以 1 3mn m n +-=- 【评注】本题是两直线与圆共三个元素的交点,如何选择两者先求交点,再代入第三者 当中,要有所取舍,否则运算极大,甚至无功而返。
此法在解法一的基础上做了适当调整, 减化了运算量。
解法三:因为直线 1 l 过定点 () 3,0 M - ,直线 2 l 过定点 ( ) 0,3 N - 所以 23 MN = ,又因为圆D 的半径 23r = 直线 1 l 到直线 2 l 的角为30 o ,所以 333 tan 30 133 n m mn - == + o 故 13mn m n +-=- 【评注】解法三挖掘题目中隐含条件——过定点,利用到角公式巧妙,运算量小。
然则,所用知识不在苏教版《考试说明》所要求的范围中,虽巧,最好不要向学生介绍。
解法四:因为直线 1 l 过定点 () 3,0 M - ,直线 2 l 过定点 ( )0,3 N - , 所以 23 MN = ,又因为圆D 的半径 23 r = ,所以如图 30 a b =+ o ,因为 tan 3,tan 3 n ma b == 故 ( ) 3tan tan 30 3a b -== o 所以 333 133 n m mn - = + ,得 1 3mn m n +-=- 。
【评注】解法四同样注意到过定点这一隐含条件,利用几何性质,从倾斜角这一角度 加以解决,避免了用 到角公式 这一考纲不要求掌握的内容,构思精巧,值得提倡。
但是要 “ ”根据具体学情加以引导。
解决解析问题时,注意用几何性质。
一题多解是训练学生求异思维的一种很好的教学方法,对学生思维的流畅性和灵活性有 很大发展,同时让他们能运用多种方法思考问题, 能用多种法则、公式、原理去解决新问题, 思维过程更加灵活,迁移能力强,能举一反三,触类旁通,产生新想法的数量多,种类多。
然而,仅仅停留在“一题多解”的层面上远远不够的,即让学生的思维无限发散,不注 意“收” (及时归纳总结方法),那将不利于学生对数学思想方法的掌握和运用。
上述例题四 种解法分为两类,解法一与解法二运用联立方程组的思想,这是我们在解决直线与圆锥曲线 相关问题的主要思想方法,应重点介绍。
解法四是挖掘图形内在的几何特征,运用几何条件 简化运算量,值得提倡。
至于解法三所用的知识根本不作要求,所以此法就不要讲了。
因此,教者在备课时对这些问题如不加思考,甚至于对照参考书罗列各种解法直接抛给 学生,那么课堂就成了教师个人的“解题秀” ,毫无好处。
其实,一题多解的想法,本身并没有什么不好,历史上对p 的计算可以说是最著名的一 题多解,然而正是这样的一题多解给我们带来了五彩缤纷的数学知识,给了我们无尽的精神 财富。
那么如何克服一题多解的弊端呢?笔者认为在一题多解的基础上通过教师及时点评和 变式训练,将其解题的思想方法进行整理提炼,升华为解一类题的方法,变为多题一解。
例 2.已知数列{ } n a 和{ } n b 都是等差数列, n S 和 n T 分别是它们的前n 项之和43 25 n n S n T n + = + ,求 8 8a b 的值。
解法一:因为 ( ) ( ) 115 815 815 115 15 2 15 2a a a Sb T b b + == + ,所以 8 8 9 5 a b = 解法二:因为 43 25n n S n T n + = + ,所以 设 ( ) ( ) 43,25 n n S kn n T kn n =+=+ 则由 1 n n n a S S - =- ,得 () ( ) 81,43 n n a k n b k n =-=+ 故 8 8 8819 4835a b ´- == ´+ 【评注】解法一运用等差中项的性质,但这不是一般方法,只能作为一种技巧。
如要求 8 9a b 的值,此法就不灵了。
解法二从函数的角度研究等差数列的前n 的和 n S 的特征, 表面上看比法一稍繁,但此法可以解决一类问题,如下变式。
变式题: 设等差数列{ } n a 的前n 项和为 n S , 若m n ¹ , 22 , m n S n S m == , 则 m n S + =。
解:设 2 n S n n a b =+ ,则由 22 , m n S n S m == 得22 n m m a b =+ …①, 22 m n n a b =+ …②,将①-②得( ) ( ) m n m n b a =-+-+ …(*)因为 ( ) ( ) 2m n S m n m n a b + =+++ ,所以将(*)代入得 ( ) ( ) ( ) ( )2222 m n S m n m n m n m n a a + =+-+-+=-+ 例 3.(1)设 22 1 x xy y -+= ( , x y ÎR ),求 22 x y + 的取值范围。
(2)已知 223sin 5sin cos 2cos 0 q q q q --= ,则tan q = 。
分析:此两题背景不同,分别是不等式、三角,高三教师在复习都有很多的解题 方法,但仔细品味,其实它们涉及到对二次三项式的处理。
解:(1) 22 1 x xy y -+= Q , 222222x y x y x xy y + \+= -+ ∴当 0 x = 时, 2 1 y = ,则 22 1x y += 当 0 x ¹ 时, 2 22 2 1() 1() y x x y y y x x+ += -+ ,令 y t x = ,则 2 22 22 1 1 11 t t x y t t t t + +==+ -+-+ 利用函数知识得 22 2[,3] 3x y +Î (2)因为 22 sin cos 1 q q += ,所以 22 22 3sin 5sin cos 2cos 0 sin cos q q q q q q-- = + ,分子分母同除 2 cos q 2 2 3tan 5tan 2 0 tan 1 q q q -- = + ,解得 tan 2 q = 或 1 3- 。
综上所述, 一题多解如能加上教师思维智慧, 将分散在各章不同题型的共同处理方法, 进行整理加工形成多题一解,将会使“一题多解”这一亮点更亮。
参考文献文[1]指《一题多解 是 亮点 还是 败笔》 “ ” “ ” “ ” 吕增锋 《中学数学教学参考》2010 年第10 期上旬。