广义相对论基础
- 格式:doc
- 大小:33.00 KB
- 文档页数:1
相对论的基础是光速不变原理(或称作光速恒定原理),也被称为爱因斯坦的相对性原理。
该原理是指在真空中,光的传播速度是恒定不变的,无论观察者的运动状态如何。
根据光速不变原理,光在真空中的速度被认为是一个常数,即每秒299,792,458米(约为光速)。
这意味着不论观察者自身的运动速度如何,无论其是静止、匀速直线运动或加速运动,观察到的光速始终保持不变。
这个原理违背了牛顿力学中的加法速度规则,根据该规则,两个速度的总和等于两个速度之和。
相对论的光速不变原理揭示了一个新的观察者的运动状态与光速之间的关系,即观察者的运动状态会影响时间和空间的测量。
光速不变原理是爱因斯坦提出的狭义相对论和广义相对论的基础之一。
它改变了我们对时间、空间和运动的理解,推导出了一些令人惊讶且与常识相悖的结果,例如时间的相对性、长度的收缩、质量与能量之间的等效性等。
这些概念和结果对于理解宇宙的结构和运行方式以及粒子物理学等领域具有重要意义。
广义相对论的基本原理广义相对论是爱因斯坦于1915年提出并发表的一种新的物理学理论,是经典力学的一种扩展,用于研究引力的自然现象。
广义相对论的基础是爱因斯坦等效原理,即一个自由下落的物体不受引力的影响,如果被另一个物体引力作用则等价于该参考系加速度。
具体来说,等效原理可以总结为以下几点:1. 物体不受引力的影响,在无重力的条件下自由下落。
2. 任何形式的引力场,都可以等效为一种加速度的形式,这个加速度会影响到运动在引力场中的物体。
3. 引力场的本质是由自由物体用来描述引力现象的。
基于等效原理,广义相对论从物理学的本质出发,对空间与时间的基本特性进行了重修正,使得各种物理量和现象都可以在引力场中得到详细的表述。
具体来说,广义相对论的基本原理包括以下几点:1. 引力的性质,即引力是由物体形成弯曲的时空结构来描述的。
这个结构被称为“时空弯曲空间”,它是由物体所形成的曲率和扭曲而成的。
形成弯曲空间的物体,被称为“质量”或“物质”。
2. 引力传递的中介物,广义相对论中引力的传递方式跟强力、电磁力截然不同。
广义相对论中认为,引力作用的传递并不存在于介质或中介物的作用下。
相反,引力的作用方式是通过构建时空结构来完成的。
3. 时空的曲率和扭曲,广义相对论认为,时空是有弯曲、扭曲的。
弯曲和扭曲所引起的影响可被表述为物体所感受到的引力力。
4. 规范不变性定理,即物理规则和方程式应该能够适用于所有规范中相同状态的物理系统,因此广义相对论具有规范不变性和数学的对称性。
广义相对论具有非常广泛的应用,包括众多未经论证的科学领域,如黑洞和宇宙学的研究。
在引力波探测、宇宙动力学等领域,广义相对论都深深地影响了我们对物理学世界的理解。
广义相对论简单入门1905年,阿尔伯特·爱因斯坦断定惯性系之间的物理定律应当完全相同以及真空中的光速和观测者的速度无关。
这些是狭义相对论的基础,狭义相对论提出了物理学的新框架同时提出了关于时间和空间的新概念。
之后爱因斯坦花费了十年时间尝试把狭义相对论推广到加速系,最终他发表了广义相对论。
广义相对论提出,大质量的物体会引起时空的畸变,它自身也会感受到引力。
引力的拖拽两个物体会感受到对方给自己的吸引,这就是我们知道的引力。
艾萨克·牛顿建立了运动三定律并量化了两个物体之间引力的大小。
两个物体之间的引力大小取决于两者各自的质量以及他们之间的距离。
当地心将你向它拖拽,你也在拉拽地球。
但是引力对质量较大的物体拖拽不明显,你自身较小的质量使你觉得自身被牢牢固定在地面。
不过牛顿假设引力是一种可以作用一段距离的物体所固有的力。
阿尔伯特·爱因斯在狭义相对论中断定物理定律在所有惯性系中都是一样的;无论观测者以什么速度运行,他测到的真空中光速都是一样的。
事实上,他发现时间和空间可以相互交织在一起形成连续的时空。
某一观察者眼中同时发生的事情在其他观察者眼中可能发生在不同时刻。
质量使时空发生弯曲来源:wikipedia当爱因斯坦得到了广义性对论的公式时,他意识到质量巨大的物体可以令时空发生弯曲。
可以想象在蹦床的中心放置一个巨大的物体。
这个物体会把布面往下压使得它的表面出现凹陷。
在蹦床边缘滚动的球体就会向着中心的物体螺旋运动,就像引力在太空中吸引着行星周围的石块。
实验证据尽管实验装置不能直接看到或者测量到时空,但是时空弯曲所预言的许多现象已经被观察到。
引力透镜:在质量巨大的物体周围,光线会发生弯曲。
对于它后面的物体来说,这个物体就像是巨大的透镜一样。
天文学家一般利用这种办法研究超大物体背后的恒星和星系。
爱因斯坦十字来源:wikipedia爱因斯坦十字是位于飞马星座的类星体,它是引力透镜的典型例子。
广义相对论的基础
(+)
广义相对论是一种科学理论,由黑格尔提出,由爱因斯坦具体制定,是现代物理学中最重要的和最有影响力的理论之一。
它指空间和时间不可单独被看作绝对客观,是相互联系和相互关联的,它们不存在绝对性和绝对物理结构上的不变性。
爱因斯坦和黑格尔的基础是光速定律,这是广义相对论推导的基础,GDBR定律解释了相互移动的观察者看到的光速是一致的,这种观点完全破坏了物理学早期本体学的原则。
这表明航行的观察者看到的光速是一致的,这意味着他们的位置和时间的测量是相对的,而不是绝对的,只有这样才能保持光速一致。
在这个理论的基础上,它揭示了物理现象的本质,把新的实质性的原因和因果联系引进了物理学。
譬如,E=mc2公式,用来表达能量和物质之间的联系,显示了物质和能量之间实质性的关系,是由于时空的相对性才得以发现的。
广义相对论的影响,不仅出现在物理学上,也被应用于天文学,以解释银河系的结构和衰变子的起源,以及大角度的行星运动。
它也被应用于量子力学,提供了可以解释原子内部结构的理论,它解释了微观世界与宏观世界有着根本不同的物理规律。
千百年来,物理学主要探索实体、实体和实体之间的联系,从本体论的角度来看,事物存在着本质性的绝对性。
而广义相对论打破了这种假设,空间和时间相互联系,是一个相对的实体,它给物理学带来了一个新的理论观点,改变了我们对物理现象的认识。
广义相对论基础爱因斯坦
阿尔伯特·爱因斯坦是一位伟大的物理学家,其“广义相对论”深刻地影响了
宇宙的本质与观念。
从1905年以来,他探讨宇宙结构及其属性的程式,激发了许
多新想法,令科学界深受鼓舞。
爱因斯坦于1905年发表了「广义相对论」,它提出了宇宙没有一个统一的参
考系,而是多个参考系,而粒子以及其他物质运动会因参考系的不同而不同。
爱因斯坦还发现,在某一指定参考系中,任何物质的运动都是相对的,而动能的总量将永不改变,即所谓的“能量守恒定律”。
1916年,爱因斯坦将这一想法更进一步,他提出了宇宙的弯曲,也就是所谓
的“广义相对论”,在爱因斯坦的宇宙结构视角中,宇宙天体并不处于某一固定的参考系中,而是由各自的引力而弯曲。
他的想法后来得到了各种实验证明,印证了他早期设想并被普遍接受,引起了前所未有的关注。
爱因斯坦的「广义相对论」为后来科学研究发展提供了抓手,在飞行技术、电
子技术、空间航行技术等诸多领域都发挥了独特作用,这也推进了现代文明的发展。
被后人尊崇为“浩瀚宇宙的理论工匠”,爱因斯坦一直告诫人们要“谨记怀着对
默然不语的太空的敬畏之心来对待科学”,他对科学研究所做出的重大贡献,将传承千百年,受到后人向往。
狭义相对论和广义相对论的基本原理狭义相对论和广义相对论是现代物理学的基本理论之一,它们解释了时间、空间、质量和能量之间的关系。
以下是对这两种相对论的基本原理的讲解。
一、狭义相对论的基本原理狭义相对论是爱因斯坦在1905年提出的理论,它提出了一个与牛顿力学不同的观点,即光速在所有惯性参考系中都是常数。
这一原则被称为“光速不变原理”,它是狭义相对论的核心。
基于“光速不变原理”,狭义相对论提出了以下原则:1. 所有物理定律在所有惯性参考系中都是相同的。
2. 物体的质量随着速度的增加而增加,速度越快,增加的质量越大。
3. 时间和空间是相对的,没有绝对的标准。
4. 能量和质量是等价的,它们之间可以相互转化。
这些原则反映了狭义相对论的基本特征,它推翻了牛顿力学中的一些假设,如时间和空间的绝对性、万有引力的绝对性等。
狭义相对论为我们提供了更加准确和完整的描述物理规律的框架,同时也为后来的广义相对论的发展提供了基础。
二、广义相对论的基本原理广义相对论是爱因斯坦在1916年提出的理论,它是在狭义相对论的基础上进一步发展而来的。
广义相对论初衷是想解释引力的本质,它基于“等效原理”提出了新的物理规律。
广义相对论的基本原理包括:1. 等效原理:自由下落的物体在惯性参考系中运动是匀速直线运动。
2. 引力不是一种真正的力,而是由物体所在空间弯曲而产生的一种现象。
3. 时间和空间的弯曲程度受到物质分布的影响。
4. 光线会沿着最短路径传播。
这些原理反映了广义相对论的基本特征,它描述了物质的引力性质和空间的几何形态之间的关系。
广义相对论证明了狭义相对论中的“光速不变原理”是任何物质和能量影响的最高速度,同时也为黑洞、宇宙学等领域的研究提供了新的工具和思路。
狭义相对论和广义相对论是现代物理学中最基本的理论之一,它们提供了理解时空的新视角和解释物理规律的新方法。
【狭义相对论】狭义相对论建立在“光速不变原理”之上,它意味着在不同的参考系中,光的速度是恒定不变的。
广义相对论基础
广义相对论是爱因斯坦在1915年提出的一种描述万有引力的理论,它基于两个基本假设:等效原理和时空弯曲。
等效原理指出,无论物体的质量和形状如何,它们在重力作用下的运动都遵循相同的规律。
这意味着,任何实验室中的观测结果都不能确定该实验室是否在自由落体状态下。
这个假设推导出了引力是由质量或能量(包括光)在时空中产生的曲率而非力所引起的结论。
其次,广义相对论认为时空不是静态的,而是可以被物质和能量所影响。
大质量物体会弯曲周围的时空,并通过引力场使其他物体改变其运动轨迹。
这种现象可以被称为“时空弯曲”。
基于这两个假设,广义相对论成功地解释了牛顿引力理论无法解释的许多问题,例如水星轨道的进动以及引力透镜效应。
此外,广义相对论还预言了黑洞、引力波、宇宙膨胀和宇宙学常数等现象。
总之,广义相对论是伟大的物理学家爱因斯坦为描述引力而提出的理论,基于等效原理和时空弯曲两个基本假设,成功地解释了许多现象,并预言了一些新的现象。
广义相对论基础
广义相对论是物理学中的一种理论,它是阿尔伯特·爱因斯坦在20世纪提出的一种理论,以描述质量和能量对于时空的影响。
它是物理学中关于引力最先进的理论,主要用于解释引力、时空、宇宙不均匀性等问题。
广义相对论建立在一个基础上,即时空是一种弯曲的四维几何结构。
广义相对论描绘了宏观物理现象及宇宙的演化。
他们最初建立的结构是弯曲的四维时空,这构成了物质和能量的粘合剂。
在这种理论下,引力不再是一种力,而是由物体之间的弯曲时空造成的物质和能量之间的相互作用。
广义相对论经过了百年的发展,其理论框架日趋完善。
现在,它被广泛应用于各个领域,包括宇宙学、黑洞物理学、引力波探测、星系运动和天体物理学等。
总体来说,广义相对论是现代物理学领域中一个重要的理论,它揭示了物质和能量之间的联系,为我们深入理解宇宙和物质的微观世界提供了重要的帮助。
如何解释⼀下⼴义相对论和狭义相对论?这⾥只能简单介绍⼀下相对论,稍微了解⼀下这个理论的⼀些基本内容,毕竟没⼈敢说真正理解相对论啊。
在⼆⼗世纪初,爱因斯坦相继创⽴了狭义相对论和⼴义相对论,给经典物理学带来了变⾰,翻开了现代物理学的全新篇章。
狭义相对论在经典物理学中,时空是绝对的,但狭义相对论指出时空是相对的。
狭义相对论有两⼤基础:其⼀是相对性原理,物理定律在所有的惯性系中都是相同的;其⼆是光速不变原理,光速在所有的惯性系中保持⼀个恒定常数。
由此可以得出⼏⼤推论:1)动尺变短如果⼀根尺⼦以⼀定的速度运动,则观察者将会测量到这根尺⼦变得⽐静⽌的时候更短。
2)动钟变慢如果⼀个时钟以⼀定的速度运动,则在它之上的时间流逝速度将会变慢。
如果与静⽌的时钟相⽐,运动时钟⾛得更慢。
狭义相对论的时间膨胀效应表明,物体运动速度越快,时间流逝就越慢。
这个效应已在实验中得到证实,⽽且还被应⽤于全球定位系统。
3)质能⽅程从狭义相对论中还能导出著名的质能⽅程E=mc^2,这个公式揭⽰了质量和能量可以互相转换,它也是核反应的理论基础。
⼴义相对论⼴义相对论主要与引⼒有关,它揭⽰了引⼒的本质——即引⼒是物体弯曲时空的结果。
物体的质量越⼤,扭曲时空就越显著,表现出的引⼒作⽤就越强。
⼴义相对论预⾔了诸多现象:1)⿊洞如果物体的质量⼤到⼀定程度,它会极度扭曲时空,以⾄于连光都⽆法从中逃逸出来,这就是⿊洞。
2)⼴义相对论的时间膨胀效应时空扭曲的程度还会影响时间的流逝速度。
时空扭曲越显著,引⼒场越强,时间流逝速度就越慢。
这个效应已在实验中得到证实,⽽且还被应⽤于全球定位系统。
3)引⼒波两个⼤质量天体互相接触,会在时空中产⽣显著的涟漪,它以光速向外传播,这就是引⼒波。
在去年年初,引⼒波已经被直接探测到。
简⽽⾔之,⼴义相对论可以借⽤著名物理学家约翰·惠勒的⼀句名⾔来概述:物质告诉时空如何弯曲,时空告诉物质如何运动。
以上是关于狭义相对论和⼴义相对论的简单介绍,想要深⼊了解可以去看⼀些相关专著,或者直接去拜读爱因斯坦的原著。
爱因斯坦广义相对论基础爱因斯坦广义相对论基础1. 克朗基性:物理定律都是独立于参照系的,任何参照系的速度都不能影响物理定律的有效性。
2. 光速相对稳定性:任何参照系中,光的传播速度都是一致的,这不受参照系本身的速度影响。
3. 重力场和动量会受到空间和时间曲线的影响:重力场和动量可以受到空间和时间曲线的影响,它们会随着参照系外空间变形而变化。
4. 重力单位时:重力在相对论中可以看作是空间和时间的形变,所以它可以定义成单位时间的重力域。
5. 时间延迟:相对论的本质可以从时间延迟中体现出来,一个静止的参照系观察外部世界发生的事情,会发现事件发生的时间和所处的参照系不一样。
6. 能量质量方程:根据相对论,质量可以看做能量的一种形式,即质量是能量的凝缩形式,能量和质量之间有着著名的能量质量方程关系。
爱因斯坦的广义相对论被认为是现代物理学的基础,它极大地改变了我们对宇宙的理解,给我们提出了许多新的问题和挑战。
克朗基性的定义,是相对论的基石,表示物理法则任何参照系都是独立的,独立于参照系的速度。
光的传播速度相对稳定性也是一个重要定义,它表示不论何种参照系,光的传播速度都是一致的,不会受参照系本身的速度影响。
此外,相对论提出了重力也受到空间和时间曲线的影响,使得重力可以定义为单位时间的重力域,从而给物理学提供了新的解释。
另外,相对论也提出,在参照系相对静止的时候,观察外部宇宙发生的事物会发现,实际发生的时间会比所处的参照系晚一点,这就是著名的时间延迟。
最后,相对论的本质也表明,质量是能量的凝缩形式,这就是著名的能量质量方程。
综上所述,爱因斯坦的广义相对论给此提供了一个强大的物理学框架,极大的拓展了我们对宇宙的理解,为物理学发展开辟了新的领域。
如何自学广义相对论广义相对论是爱因斯坦创立的一种物理学理论,用于描述引力的性质和运动物体的行为。
学习广义相对论不仅需要一定的数学基础,还需要具备一定的物理学知识。
对于大多数人来说,自学广义相对论可能是一项具有挑战性的任务。
但只要掌握正确的学习方法和技巧,就能够在自学的过程中逐步理解这一复杂理论。
以下是一些可以帮助你自学广义相对论的方法和步骤:1. 建立数学基础:广义相对论是建立在高等数学基础上的理论,因此在学习之前需要掌握微积分、线性代数和张量分析等数学工具。
如果你的数学基础较弱,可以先通过自学或参加相关课程来提升。
2. 了解基本概念:在学习广义相对论之前,需要先了解一些基本概念,如时空、曲率、引力和引力场等。
这些概念在广义相对论中具有重要意义,理解它们有助于更好地理解广义相对论的原理和应用。
3. 阅读教材和参考书:选择一本系统介绍广义相对论的教材或参考书,对于自学非常重要。
可以选择一些经典的教材,如哈特尔的《引力学导论》、施温的《广义相对论导论》等。
在阅读教材时,可以结合课后习题进行巩固和实践,加深对理论的理解。
4. 参考网络资源:互联网上有许多关于广义相对论的学习资源,如教学视频、学术论文和在线课程等。
这些资源可以帮助你更直观地理解复杂的概念和推导过程。
但需要注意,选择权威可靠的资源进行学习,避免受到错误或误导性的信息。
5. 参与讨论和交流:在学习的过程中,可以积极参与讨论和交流,与其他自学者或专业人士进行交流,分享自己的疑问和理解。
这不仅有助于解决问题,还能够拓宽视野,从不同的角度理解广义相对论。
6. 实践和应用:学习理论知识的同时,也要注重实践和应用。
可以尝试通过解决问题、进行数值模拟或阅读相关研究来加深对理论的理解和应用。
7. 持续学习和深入研究:广义相对论是一门深奥的学科,不可能在短时间内完全掌握。
因此,在自学初期可以先了解其基本原理和应用,随着学习的深入,逐渐深入研究相关领域和前沿课题。
广义相对论基础
Introduction to General Relativity
课程编号:S070200J15 课程属性:学科基础课学时/学分:60/3
预修课程:大学理论物理、高等数学
教学目的和要求:
本课程为物理学、天文学研究生的学科基础课,同时也是为今后有可能接触到引力理论的其它学科研究生的学科基础课。
主要介绍爱因斯坦的广义相对论。
使学生具有在今后接触到引力场问题时,能通过阅读有关书籍文献对更深入的问题进行了解的能力。
本课强调弄清物理和几何图像。
本课不涉及引力场量子化、引力和其它作用之统一以及以抽象数学工具表现时空几何等问题。
本课也扼要对广义相对论的观测和实验检验,黑洞问题和宇宙学问题进行简要地介绍。
内容提要:
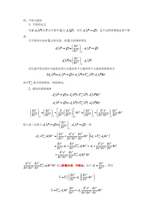
第一章张量分析基础
张量代数,联络,协变微商,测地线方程,Killing矢量。
第二章引力场方程
引力与度规,引力红移,黎曼曲率张量,Bianchi恒等式,引力场方程。
第三章场方程的应用(Ⅰ)
西瓦兹解,西瓦兹场中质点的运动,光线偏折,引力透镜效应,雷达回波,0Kruskal坐标和黑洞,Keer度规。
第四章场方程的应用(Ⅱ)
宇宙学原理,共动坐标系,Robertson-Walker度规,宇宙学红移,标准宇宙学模型简介。
主要参考书:
1. R, Adler, M.Bagin,M.Schiffer,Introduction to General Relativity(第二版),McGraw-Hill Book Company,New York,1975.
2. 俞允强,《广义相对论引论》,北京大学出版社,北京,1997。
3. S. Weinberg,Gravitation and Cosmology,John Wiley Sons,Inc.,New York,1972.
撰写人:邓祖淦(中国科学院研究生院)
撰写日期:2001年09日。