最新部编人教版(2019)语文一年级下册《三字经》节选
- 格式:doc
- 大小:10.51 KB
- 文档页数:1
三字经(一)经典国学再现人之初,性本善,性相近,习相远。
苟不教,性乃迁,教之道,贵以专。
我是小助手1.初:人生之初。
2.性:品德,道德。
3.本:本来,原来。
4.性:天性。
5.习:性格。
6.苟:如果,假使。
7.迁:改变。
8.道:方法。
我是小翻译人刚生下来的时候,天性都是善良的,性格也相差不多,只是由于成长过程中,所处的学习环境不一样,所受的教育有差别,人的性格习惯也就有了很大的差异。
孩子如果从小不好好教育,善良的天性就会改变。
教育有许多种方法,可是最重要的要专心致志,能够坚持长久。
考考你的智慧1.请你用直线在选文中画出一组反义词。
2.“性乃迁”的意思是()A.天性就会改变。
B.性格就会迁移。
C.天性会迁移。
3.选文告诉我们哪些道理呢?请你在下面说法合适的后面的括号中打“√”。
(1)人从小就要好好学习,区分善恶,才能成为一个对社会有用的人才。
()(2)要想使孩子成为对社会有用的人才,必须时刻注意对孩子的教育,专心致志,一刻也不能放松。
()弘扬传统文化田子退金孩子如果不能好好教育,天性就会发生改变。
教育孩子,家长一定要持之以恒。
不春秋时期,齐国有一位宰相叫田子。
他做了三年的宰相,他不做宰相之后将他当宰相的三年间得到的两千两黄金献给他的母亲。
母亲问田子:“你是怎么得到这些黄金的?”田子说:“这是我当官所得的报酬。
”母亲说:“当宰相三年就不吃饭吗?你这个样子做官,不是我所期望的。
孝顺的儿子侍奉父母,应该努力做到诚实。
不应当得到的东西,不要拿进家门。
作为作家的大臣,不忠诚,那么也不是一个孝顺的儿子。
你把这些金子拿走吧。
”田子惭愧地走出家门,接着,他去齐王那里退还了黄金,还请求让自己进监狱。
齐王认为他母亲很贤惠,有大义,就免了田子的罪,再次任命他当宰相,还把黄金赏给了他的母亲。
从此,田子为官清廉,很受百姓的喜爱。
这个故事就教育我们因为后天的环境,我们的天性会发生改变,因此,我们一定要接受良好的教育。
(二)经典国学再现昔孟母,择邻处。
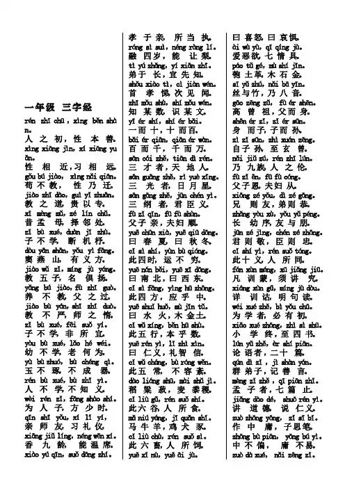
一年级三字经rén zhīchū,xìng běn shàn。
人之初,性本善。
xìng xiāng jìn,xí xiāng yu ǎn。
性相近,习相远。
gǒu bújiào,xìng nǎi qiān。
苟不教,性乃迁。
jiào zhīdào,guìyǐzhuān。
教之道,贵以专。
xīmèng mǔ,zélín chǔ。
昔孟母,择邻处。
zǐbùxué,duàn jīzhù。
子不学,断机杼。
dòu yān shān,yǒu yìfāng。
窦燕山,有义方。
jiào wǔzǐ,míng jùyáng。
教五子,名俱扬。
yǎng bújiào,fùzhīguò。
养不教,父之过。
jiào bùyán,shīzhīduò。
教不严,师之惰。
zǐbùxué,fēi suǒyí。
子不学,非所宜。
yòu bùxué,lǎo héwéi。
幼不学,老何为。
yùbùzhuó,bùchéng qì。
玉不琢,不成器。
rén bùxué,bùzhīyì。
人不学,不知义。
wèi rén zǐ,fāng shào shí。
为人子,方少时。
qīn shīyǒu,xílǐyí,亲师友,习礼仪,xiāng jiǔlíng,néng wēn xí。
小学语文一年级下册《三字经(节选)》主要内容和知识点《三字经》是中国著名的经典读物,它是中国文化的重要组成部分,许多人在小学时就开始学习它。
本文主要介绍《三字经》节选的主要内容和相关知识点。
《三字经》最初是由王应麟所著的《二十四史》之一,它是一篇关于基本道德和知识的书籍,因其易记,读起来也很有韵味,所以被广泛地使用,并在华夏大地上流传了数百年。
该书的主要内容包括孝道、道德、人伦、尊卑、生命等基本知识,也包括历史事件和名人传奇。
一、孝道《三字经》的第一部分是关于孝道的,它告诉我们子女要做好孝顺父母这一基本责任。
孝道是中华民族的传统美德,因为孝敬父母的道德价值在中国文化中占有重要的地位。
为了教育孩子们做好孝顺父母的重要性,《三字经》最开始的几篇主要内容都是关于孝道的。
它提出了“父母之年,不可不知也”,“父母恩,非育即养也”等教育口诀,使孩子们能够认识到父母的重要性和父母的辛苦,从而在日常生活中更加尊重、关注、爱护父母。
二、道德《三字经》的第二部分是关于道德的,主要涉及人与人之间的正反面道德观念。
道德是社会公德,它涉及到每个人的内心品质,在增加生活质量和社会和谐等方面具有重要意义。
《三字经》中,作者提出了诸如“欲速则不达”、“言必果,行必果”等道德准则,让人们深刻理解到道德虽不需要思考,但一旦违反将会对个人和社会带来不应有的影响。
因此,我们要在自己的行为处事中遵守道德准则,以维护自己和他人的尊严、权益和社会公德。
三、人伦《三字经》的第三部分是关于人伦的,人伦是指人与人之间的关系,人与社会之间的关系等。
《三字经》中提到了婚姻、朋友、三从四德等关于人伦的道德规范,尤其重视尊重、互助、信任、爱等方面。
孩子们要认真领会这些规范,培养出自己良好的道德情操,发挥自己应有的作用,促进个人和社会的和谐发展。
四、尊卑《三字经》的第四部分是关于尊卑的,这一部分类似于人类社会的等级制度,主要是传道自家,教育人与人在相互尊重与理解,建立良好的人际关系。
精品文档精心整理《三字经》节选昔孟母,择邻处(chǔ),子不学,断机杼(zhù)。
窦(dòu)燕(yān)山,有义方,教五子,名俱扬。
精品文档可编辑的精品文档1 吃水不忘挖井人( 精读课文 )1.认识“吃、忘”等 13 个生字和心字底、广字头 2 个偏旁;会写“吃、叫、主、江、住、没、以”等 7 个字和“横折弯”1 个笔画。
2.正确朗读课文,积累词语。
3.能找出文中明显的信息,体会乡亲们的情感。
能找出文中明显的信息,体会乡亲们的情感。
2 课时第一课时1.认识“吃、忘”等 13 个生字和心字底、广字头 2 个偏旁;会写“吃、叫、主、江、住、没、以”等 7 个字和“横折弯”1 个笔画。
( 重点 )2.正确朗读课文,积累词语。
( 重点 )小学课件资源导入新课教师口述:有一口井,它旁边的石碑上写着:“吃水不忘挖井人,时刻想念毛主席。
”这口井到底有着怎样的故事呢?让我们一起走进课文《吃水不忘挖井人》来看看吧!相关介绍毛泽东,湖南湘潭人。
1893 年 12 月 26 日出生于一个农民家庭。
他是伟大的马克思主义者,无产阶级革命家、战略家、理论家,中国共产党、中国人民解放军和中华人民共和国的主要缔造者和领导人。
他还是诗人、书法家。
精品文档可编辑的精品文档初读课文1.听范读:边听边画出文中的生字,注意生字的读音。
2.学生初读:请同学们自由朗读课文,努力读准字音、读通句子。
3.检查初读情况。
(1)会读生字。
吃(chī)忘(wàng)井(jǐng)村(cūn)叫(jiào)毛(máo)主(zhǔ)席(xí)乡(xiāng)亲(qīn)战(zhàn)士(shì)面(miàn)认读指导:“吃、主、战、士”是翘舌音,读音分别是“chī、zhǔ 、zhàn、shì”;“乡”是后鼻音,读音是“xiāng”。
(2)会写生字,并组词。
一年级三字经rén zhīchū,xìng běn shàn。
人之初,性本善。
xìng xiāng jìn,xí xiāng yu ǎn。
性相近,习相远。
gǒu bújiào,xìng nǎi qiān。
苟不教,性乃迁。
jiào zhīdào,guìyǐzhuān。
教之道,贵以专。
xīmèng mǔ,zélín chǔ。
昔孟母,择邻处。
zǐbùxué,duàn jīzhù。
子不学,断机杼。
dòu yān shān,yǒu yìfāng。
窦燕山,有义方。
jiào wǔzǐ,míng jùyáng。
教五子,名俱扬。
yǎng bújiào,fùzhīguò。
养不教,父之过。
jiào bùyán,shīzhīduò。
教不严,师之惰。
zǐbùxué,fēi suǒyí。
子不学,非所宜。
yòu bùxué,lǎo héwéi。
幼不学,老何为。
yùbùzhuó,bùchéng qì。
玉不琢,不成器。
rén bùxué,bùzhīyì。
人不学,不知义。
wèi rén zǐ,fāng shào shí。
为人子,方少时。
qīn shīyǒu,xílǐyí,亲师友,习礼仪,xiāng jiǔlíng,néng wēn xí。
长宁县城北小学一年级诵读经典《三字经》全文人之初,性本善。
性相近,习相远。
苟不教,性乃迁。
教之道,贵以专。
昔孟母,择邻处。
子不学,断机杼。
窦燕山,有义方。
教五子,名俱扬。
养不教,父之过。
教不严,师之惰。
子不学,非所宜。
幼不学,老何为。
玉不琢,不成器。
人不学,不知义。
为人子,方少时。
亲师友,习礼仪。
香九龄,能温席。
孝于亲,所当执。
融四岁,能让梨。
弟于长,宜先知。
首孝弟,次见闻。
知某数,识某文。
一而十,十而百。
百而千,千而万。
三才者,天地人。
三光者,日月星。
三纲者,君臣义。
父子亲,夫妇顺。
曰春夏,曰秋冬。
此四时,运不穷。
曰南北,曰西东。
此四方,应乎中。
曰水火,木金土。
此五行,本乎数。
曰仁义,礼智信。
此五常,不容紊。
稻粱菽,麦黍稷。
此六谷,人所食。
马牛羊,鸡犬豕。
此六畜,人所饲。
曰喜怒,曰哀惧。
爱恶欲,七情具。
□土革,木石金。
与丝竹,乃八音。
高曾祖,父而身。
身而子,子而孙。
自子孙,至元曾。
乃九族,而之伦。
父子恩,夫妇从。
兄则友,弟则恭。
长幼序,友与朋。
君则敬,臣则忠。
此十义,人所同。
凡训蒙,须讲究。
详训诂,名句读。
为学者,必有初。
小学终,至四书。
论语者,二十篇。
群弟子,记善言。
孟子者,七篇止。
讲道德,说仁义。
作中庸,子思笔。
中不偏,庸不易。
作大学,乃曾子。
自修齐,至平治。
孝经通,四书熟。
如六经,始可读。
诗书易,礼春秋。
号六经,当讲求。
有连山,有归藏。
有周易,三易详。
有典谟,有训诰。
有誓命,书之奥。
我周公,作周礼。
著六官,存治体。
大小戴,注礼记。
述圣言,礼乐备。
曰国风,曰雅颂。
号四诗,当讽咏。
诗既亡,春秋作。
寓褒贬,别善恶。
三传者,有公羊。
有左氏,有彀梁。
经既明,方读子。
撮其要,记其事。
五子者,有荀杨。
文中子,及老庄。
经子通,读诸史。
考世系,知终始。
自羲农,至黄帝。
号三皇,居上世。
唐有虞,号二帝。
相揖逊,称盛世。
夏有禹,商有汤。
周文王,称三王。
夏传子,家天下。
四百载,迁夏社。
汤伐夏,国号商。
六百载,至纣亡。
《三字经》(一)1.人之初,性本善。
性相近,习相远。
初:有生之初。
本:根本,原来。
性:性情。
【译文】人生下来的时候,本性都是善良的。
善良的本性彼此都很接近,只是由于成长过程中,后天的学习环境不一样,性情也就有了好与坏的差别。
2.苟不教,性乃迁。
教之道,贵以专。
性:性情。
苟:如果【译文】如果从小不好好接受良好的教育,善良的本性就会随环境的影响而改变。
为了使人不变坏,最重要的教育方法就是要使孩子专心,有定力。
课业的选择,要以专精为主,不求广博。
(据心理学家研究发现:儿童与青少年心智的发展,十三岁以前着重在记忆,之后理解力逐渐成长,故十三岁以前应注重记忆念诵为主,理解次之,不可本末倒置。
)3.昔孟母,择邻处。
子不学,断机杼。
处:居住,相处。
机:织布用的木架子。
杼:织布用的梭子。
【译文】战国时,孟子的母亲为了寻找一个对孟子有益的教育环境,不辞辛劳搬了三次家。
从坟场附近搬到市场边,再三迁至学校旁。
有一次孟子不用功,逃学回家,孟母当着他的面将织了一半的布匹剪断,并且告诫他说:“求学的道理,就像织布一样,必须将纱线一条一条织上去,经过持续不断的努力,积丝才能成寸,积寸才能成尺,最后才能织成一匹完整有用的布;读书也是一样,要努力用功,并且持之以恒,经过长时间的累积,才能有成就。
否则就像织布半途而废一样,一旦前功尽弃就毫无用处了。
”4.窦燕山,有义方。
教五子,名俱扬。
义方:教育孩子的方法。
【译文】五代时,燕山人窦禹钧教育儿子很有方法,他教育的五个儿子都很有成就,同时科举成名。
(仅仅教育,而没有好的方法也是不行的。
好的方法就是严格而有道理。
窦燕山能够使五个儿子和睦相处,都很孝敬父母、并且学业上都很有成就,是和他的教育方法分不开的。
)5.养不教,父之过。
教不严,师之惰。
【译文】生育子女,若只知道养活他们,而不去教育,那是作父母的失职。
老师教导学生,不只是知识、技艺的传授,更重要的是教导学生做人处世的道理,使学生能够与人相处融洽,做事有方法,活得健康愉快有意义。
小学一年级语文知识点之三字经
小学一年级语文知识点之三字经
在日复一日的学习中,大家都背过不少知识点,肯定对知识点非常熟悉吧!知识点就是一些常考的.内容,或者考试经常出题的地方。
为了帮助大家更高效的学习,以下是小编为大家整理的小学一年级语文知识点之三字经,希望对大家有所帮助。
(1)人之初,性本善。
性相近,习相远。
苟不教,性乃迁。
教之道,贵以专。
昔孟母,择邻处。
子不学,断机杼。
窦燕山,有义方,教五子,名俱扬。
养不教,父之过;教不严,师之惰。
(2)子不学,非所宜。
幼不学,老何为?
玉不琢,不成器;人不学,不知义。
为人子,方少时,亲师友,习礼仪。
香九龄,能温席。
孝於亲,所当执。
融四岁,能让梨。
弟於长,宜先知。
首孝弟,次见闻。
知某数,识某文。
一而十,十而百,百而千,千而万。
三才者,天地人。
三光者,日月星。
三纲者,君臣义,父子亲,夫妇顺。
(3)曰春夏,曰秋冬,此四时,运不穷。
曰南北,曰西东,此四方,应乎中。
曰水火,木金土,此五行,本乎数。
曰仁义,礼智信,此五常,不容紊。
稻梁菽,麦黍稷,此六谷,人所食。
马牛羊,鸡犬豕,此六畜,人所饲。
曰喜怒,曰哀惧,爱恶欲,七情具。
一年级下册三字经课文内容人教版I remember studying the San Zi Jing in first grade, one of the classic Chinese texts that children typically learn. 一年级的时候学习了《三字经》,这是孩子们通常学习的经典中文课文之一。
It was challenging at first with its ancient language and poetic style, but it became a way for me to connect with traditional Chinese culture. 一开始很难理解其中古老的语言和诗意风格,但学习《三字经》让我更加深入地了解了传统的中国文化。
Through memorizing the verses and understanding their meanings, I was able to appreciate the wisdom and teachings within this text. 通过背诵诗句和理解其中的含义,我能够欣赏这篇文本中蕴含的智慧和教诲。
It taught me about moral principles, proper conduct, and the importance of education, all in just three-character lines. 它教会了我道德原则、行为规范以及教育的重要性,全部都用简短的三字句表达出来。
Studying the San Zi Jing was not just an academic exercise, but a way to cultivate virtues and values that have been passed down through generations. 学习《三字经》不仅仅是一项学术任务,更是一种培养美德和价值观的方式,这些价值观已经代代相传。
三字经(一年级下学期背诵内容)一年级下册《三字经》背诵部分zì xī nóng zhì huáng dì自羲农,至黄帝。
hào sān huáng jū shàng shì号三皇,居上世。
táng yǒu yú hào èr dì唐有虞,号二帝。
xiāng yī xùn chēng shèng shì相揖逊,称盛世。
xià yǒu yǔ shāng yǒu tāng夏有禹,商有汤。
zhōu wén wǔ chēng sān wáng周文武,称三王。
xià chuán zǐ jiā tiān xià夏传子,家天下。
sì bǎi zǎi qiān xià shè四百载,迁夏社。
tāng fá xià guó hào shāng汤伐夏,国号商。
liù bǎi zǎi zhì zhòu wáng 六百载,至纣亡。
zhōu wǔ wáng shǐ zhū zhòu 周武王,始诛纣。
bā bǎi zǎi zuì cháng jiǔ八百载,最长久。
zhōu zhé dōng wáng gāng zhuì 周辙东,王纲坠。
chěng gān gēshàng yóu shuì逞干戈,尚游说。
shǐ chūn qiū zhōng zhàn guó始春秋,终战国。
wǔ bà qiáng qī xióng chū五霸强,七雄出。
yíng qín shì shǐ jiān bìng 嬴秦氏,始兼并。