80道二次根式计算题
- 格式:doc
- 大小:204.00 KB
- 文档页数:8
100道二次根式题目及答案第一部分:简单题(共50题)1. $\\sqrt{9}$答案:32. $\\sqrt{25}$答案:53. $\\sqrt{81}$答案:94. $\\sqrt{64}$答案:85. $\\sqrt{100}$答案:106. $\\sqrt{121}$答案:11答案:128. $\\sqrt{169}$ 答案:139. $\\sqrt{196}$ 答案:1410. $\\sqrt{225}$ 答案:1511. $\\sqrt{256}$ 答案:1612. $\\sqrt{289}$ 答案:1713. $\\sqrt{324}$ 答案:18答案:1915. $\\sqrt{400}$ 答案:2016. $\\sqrt{441}$ 答案:2117. $\\sqrt{484}$ 答案:2218. $\\sqrt{529}$ 答案:2319. $\\sqrt{576}$ 答案:2420. $\\sqrt{625}$ 答案:25答案:2622. $\\sqrt{729}$ 答案:2723. $\\sqrt{784}$ 答案:2824. $\\sqrt{841}$ 答案:2925. $\\sqrt{900}$ 答案:3026. $\\sqrt{961}$ 答案:3127. $\\sqrt{1024}$ 答案:32答案:3329. $\\sqrt{1156}$ 答案:3430. $\\sqrt{1225}$ 答案:3531. $\\sqrt{1296}$ 答案:3632. $\\sqrt{1369}$ 答案:3733. $\\sqrt{1444}$ 答案:3834. $\\sqrt{1521}$ 答案:39答案:4036. $\\sqrt{1681}$ 答案:4137. $\\sqrt{1764}$ 答案:4238. $\\sqrt{1849}$ 答案:4339. $\\sqrt{1936}$ 答案:4440. $\\sqrt{2025}$ 答案:4541. $\\sqrt{2116}$ 答案:46答案:4743. $\\sqrt{2304}$ 答案:4844. $\\sqrt{2401}$ 答案:4945. $\\sqrt{2500}$ 答案:5046. $\\sqrt{2601}$ 答案:5147. $\\sqrt{2704}$ 答案:5248. $\\sqrt{2809}$ 答案:53答案:5450. $\\sqrt{3025}$答案:55第二部分:中等题(共25题)51. $\\sqrt{10} + \\sqrt{2}$答案:$\\sqrt{10} + \\sqrt{2}$52. $\\sqrt{5} + \\sqrt{20}$答案:$\\sqrt{5} + 2\\sqrt{5} = 3\\sqrt{5}$53. $\\sqrt{15} + \\sqrt{12}$答案:$\\sqrt{15} + \\sqrt{12} = \\sqrt{15} + 2\\sqrt{3}$ 54. $\\sqrt{7} - \\sqrt{8}$答案:$\\sqrt{7} - \\sqrt{8}$55. $\\sqrt{9} - \\sqrt{6}$答案:$\\sqrt{9} - \\sqrt{6} = 3 - \\sqrt{6}$答案:$\\sqrt{26} + \\sqrt{14}$57. $\\sqrt{30} - \\sqrt{10}$答案:$\\sqrt{30} - \\sqrt{10}$58. $\\sqrt{5} \\cdot \\sqrt{10}$答案:$\\sqrt{5} \\cdot \\sqrt{10} = \\sqrt{50}$59. $\\sqrt{10} \\cdot \\sqrt{2}$答案:$\\sqrt{10} \\cdot \\sqrt{2} = 2\\sqrt{5}$60. $\\sqrt{18} \\cdot \\sqrt{3}$答案:$\\sqrt{18} \\cdot \\sqrt{3} = 3\\sqrt{6}$61. $\\sqrt{32} - \\sqrt{8}$答案:$\\sqrt{32} - \\sqrt{8} = 4\\sqrt{2} - 2\\sqrt{2} = 2\\sqrt{2}$ 62. $\\sqrt{24} - \\sqrt{6}$答案:$\\sqrt{24} - \\sqrt{6} = 4\\sqrt{6} - \\sqrt{6} = 3\\sqrt{6}$答案:$(\\sqrt{2} + \\sqrt{3})^2 = 2 + 2\\sqrt{2}\\sqrt{3} + 3 = 5 +2\\sqrt{6}$64. $(\\sqrt{2} - \\sqrt{3})^2$答案:$(\\sqrt{2} - \\sqrt{3})^2 = 2 - 2\\sqrt{2}\\sqrt{3} + 3 = 5 - 2\\sqrt{6}$65. $(\\sqrt{2} + \\sqrt{3})(\\sqrt{2} - \\sqrt{3})$答案:$(\\sqrt{2} + \\sqrt{3})(\\sqrt{2} - \\sqrt{3}) = 2 - 3 = -1$66. $(\\sqrt{5} + \\sqrt{6})(\\sqrt{5} - \\sqrt{6})$答案:$(\\sqrt{5} + \\sqrt{6})(\\sqrt{5} - \\sqrt{6}) = 5 - 6 = -1$67. $3\\sqrt{2}(\\sqrt{2} - \\sqrt{3})$答案:$3\\sqrt{2}(\\sqrt{2} - \\sqrt{3}) = 3\\sqrt{2} \\cdot \\sqrt{2} -3\\sqrt{2} \\cdot \\sqrt{3} = 6 - 3\\sqrt{6}$68. $(\\sqrt{2}\\sqrt{5})(\\sqrt{3}\\sqrt{6})$答案:$(\\sqrt{2}\\sqrt{5})(\\sqrt{3}\\sqrt{6}) = \\sqrt{2\\cdot 5} \\cdot \\sqrt{3\\cdot 6} = \\sqrt{10} \\cdot \\sqrt{18} = \\sqrt{180}$69. $\\frac{\\sqrt{8}}{\\sqrt{2}}$答案:$\\frac{\\sqrt{8}}{\\sqrt{2}} = \\sqrt{4} = 2$70. $\\frac{\\sqrt{15}}{\\sqrt{5}}$答案:$\\frac{\\sqrt{15}}{\\sqrt{5}} = \\sqrt{3}$71. $\\frac{\\sqrt{18}}{\\sqrt{6}}$答案:$\\frac{\\sqrt{18}}{\\sqrt{6}} = \\sqrt{3}$72. $\\frac{\\sqrt{50}}{\\sqrt{2}}$答案:$\\frac{\\sqrt{50}}{\\sqrt{2}} = \\sqrt{25} = 5$73. $\\frac{\\sqrt{35}}{\\sqrt{5}}$答案:$\\frac{\\sqrt{35}}{\\sqrt{5}} = \\sqrt{7}$74. $\\frac{\\sqrt{40}}{\\sqrt{8}}$答案:$\\frac{\\sqrt{40}}{\\sqrt{8}} = \\sqrt{5}$75. $\\frac{\\sqrt{72}}{\\sqrt{18}}$答案:$\\frac{\\sqrt{72}}{\\sqrt{18}} = \\sqrt{4} = 2$第三部分:困难题(共25题)76. $\\sqrt{2} \\cdot \\sqrt{3} + \\sqrt{6}$答案:$\\sqrt{2} \\cdot \\sqrt{3} + \\sqrt{6} = \\sqrt{6} + \\sqrt{6} = 2\\sqrt{6}$答案:$\\sqrt{7} \\cdot \\sqrt{11} - \\sqrt{77} = \\sqrt{7\\cdot11} - \\sqrt{77} = \\sqrt{77} - \\sqrt{77} = 0$78. $(\\sqrt{3} + \\sqrt{5})^2 - (\\sqrt{3} - \\sqrt{5})^2$答案:$(\\sqrt{3} + \\sqrt{5})^2 - (\\sqrt{3} - \\sqrt{5})^2 =4\\sqrt{3}\\sqrt{5} = 4\\sqrt{15}$79. $(\\sqrt{2} + \\sqrt{5})^2 - (\\sqrt{2} - \\sqrt{5})^2$答案:$(\\sqrt{2} + \\sqrt{5})^2 - (\\sqrt{2} - \\sqrt{5})^2 =4\\sqrt{2}\\sqrt{5} = 4\\sqrt{10}$80. $\\sqrt{2\\sqrt{2}}$答案:$\\sqrt{2\\sqrt{2}} = \\sqrt{\\sqrt{2^2}\\sqrt{2}} =\\sqrt{\\sqrt{4}\\sqrt{2}} = \\sqrt{2}\\sqrt{2} = 2$81. $\\sqrt{3\\sqrt{3}}$答案:$\\sqrt{3\\sqrt{3}} = \\sqrt{\\sqrt{3^2}\\sqrt{3}} =\\sqrt{\\sqrt{9}\\sqrt{3}} = \\sqrt{3}\\sqrt{3} = 3$82. $\\sqrt{5\\sqrt{5}}$答案:$\\sqrt{5\\sqrt{5}} = \\sqrt{\\sqrt{5^2}\\sqrt{5}} =\\sqrt{\\sqrt{25}\\sqrt{5}} = \\sqrt{5}\\sqrt{5} = 5$答案:$(\\sqrt{5} + \\sqrt{3})^2 + 2\\sqrt{15} = 5 + 3 + 2\\sqrt{15} = 8 + 2\\sqrt{15}$84. $(\\sqrt{2} - \\sqrt{3})^2 + 2\\sqrt{6}$答案:$(\\sqrt{2} - \\sqrt{3})^2 + 2\\sqrt{6} = 2 - 2\\sqrt{2}\\sqrt{3} + 3 + 2\\sqrt{6} = 5 + 2\\sqrt{6}$85. $3\\sqrt{2} - \\sqrt{8}$答案:$3\\sqrt{2} - \\sqrt{8} = 3\\sqrt{2} - 2\\sqrt{2} = \\sqrt{2}$86. $2\\sqrt{3} + \\sqrt{12}$答案:$2\\sqrt{3} + \\sqrt{12} = 2\\sqrt{3} + 2\\sqrt{3} = 4\\sqrt{3}$87. $\\sqrt{8} + \\sqrt{72}$答案:$\\sqrt{8} + \\sqrt{72} = 2\\sqrt{2} + 6\\sqrt{2} = 8\\sqrt{2}$88. $\\sqrt{5}\\sqrt{10} - \\sqrt{10}$答案:$\\sqrt{5}\\sqrt{10} - \\sqrt{10} = \\sqrt{5\\cdot10} - \\sqrt{10} = \\sqrt{50} - \\sqrt{10} = 5\\sqrt{2} - \\sqrt{10}$89. $\\sqrt{3}\\sqrt{6} + \\sqrt{18}$答案:$\\sqrt{3}\\sqrt{6} + \\sqrt{18} = \\sqrt{3\\cdot6} + \\sqrt{18} =\\sqrt{18} + \\sqrt{18} = 2\\sqrt{18} = 6\\sqrt{2}$90. $\\sqrt{16} - \\sqrt{32}$答案:$\\sqrt{16} - \\sqrt{32} = 4 - 4\\sqrt{2} = 4(1 - \\sqrt{2})$91. $\\sqrt{12} - \\sqrt{20} + \\sqrt{5}$答案:$\\sqrt{12} - \\sqrt{20} + \\sqrt{5} = 2\\sqrt{3} - 2\\sqrt{5} + \\sqrt{5} = 2\\sqrt{3} - \\sqrt{5}$92. $\\sqrt{7}\\sqrt{35} - \\sqrt{7}$答案:$\\sqrt{7}\\sqrt{35} - \\sqrt{7} = \\sqrt{7\\cdot35} - \\sqrt{7} =\\sqrt{245} - \\sqrt{7}$93. $\\sqrt{50} + \\sqrt{200} - \\sqrt{8}$答案:$\\sqrt{50} + \\sqrt{200} - \\sqrt{8} = 5 + 10\\sqrt{2} - 2\\sqrt{2} = 5 + 8\\sqrt{2}$94. $5\\sqrt{2} - 2\\sqrt{18} + \\sqrt{32}$答案:$5\\sqrt{2} - 2\\sqrt{18} + \\sqrt{32} = 5\\sqrt{2} - 2\\cdot3\\sqrt{2} + 4\\sqrt{2} = 9\\sqrt{2}$95. $\\sqrt{72} - \\sqrt{18} + \\sqrt{32} - \\sqrt{8}$答案:$\\sqrt{72} - \\sqrt{18} + \\sqrt{32} - \\sqrt{8} = 6\\sqrt{2} -3\\sqrt{2} + 4\\sqrt{2} - 2\\sqrt{2} = 5\\sqrt{2}$96. $\\sqrt{3}(\\sqrt{15} - \\sqrt{5})$答案:$\\sqrt{3}(\\sqrt{15} - \\sqrt{5}) = \\sqrt{3}\\sqrt{15} -\\sqrt{3}\\sqrt{5} = \\sqrt{45} - \\sqrt{15} = 3\\sqrt{5} - \\sqrt{15}$97. $\\sqrt{2}(\\sqrt{16} - \\sqrt{8})$答案:$\\sqrt{2}(\\sqrt{16} - \\sqrt{8}) = \\sqrt{2}\\cdot4\\sqrt{2} - \\sqrt{2}\\cdot2\\sqrt{2} = 8 - 4\\sqrt{2} = 4(2 - \\sqrt{2})$98. $\\sqrt{5}(\\sqrt{12} + \\sqrt{3})$答案:$\\sqrt{5}(\\sqrt{12} + \\sqrt{3}) = \\sqrt{5}\\cdot2\\sqrt{3} + \\sqrt{5}\\sqrt{3} = 2\\sqrt{15} + \\sqrt{15} = 3\\sqrt{15}$99. $\\sqrt{7}(\\sqrt{7} + \\sqrt{11})$答案:$\\sqrt{7}(\\sqrt{7} + \\sqrt{11}) = \\sqrt{7}\\cdot\\sqrt{7} + \\sqrt{7}\\sqrt{11} = 7 + \\sqrt{77}$100. $\\sqrt{8}(\\sqrt{6} - \\sqrt{2})$答案:$\\sqrt{8}(\\sqrt{6} - \\sqrt{2}) = \\sqrt{8}\\cdot2\\sqrt{2} - \\sqrt{8}\\cdot\\sqrt{2} = 4\\sqrt{2} - 2\\sqrt{2} = 2\\sqrt{2}$结束语本文共提供了100道二次根式题目及其答案。
8年级二次根式计算题450道①5√8-2√32+√50=5*3√2-2*4√2+5√2=√2(15-8+5)=12√2②√6-√3/2-√2/3=√6-√6/2-√6/3=√6/6③(√45+√27)-(√4/3+√125)=(3√5+3√3)-(2√3/3+5√5)=-2√5+7√5/3④(√4a-√50b)-2(√b/2+√9a)=(2√a-5√2b)-2(√2b/2+3√a)=-4√a-6√2b⑤√4x*(√3x/2-√x/6)=2√x(√6x/2-√6x/6)=2√x*(√6x/3)=2/3*|x|*√6⑥(x√y-y√x)÷√xy=x√y÷√xy-y√x÷√xy=√x-√y⑦(3√7+2√3)(2√3-3√7)=(2√3)^2-(3√7)^2=12-63=-51⑧(√32-3√3)(4√2+√27)=(4√2-3√3)(4√2+3√3)=(4√2)^2-(3√3)^2=32-27=5⑨(3√6-√4)²=(3√6)^2-2*3√6*√4+(√4)^2=54-12√6+4=58-12√6⑩(1+√2-√3)(1-√2+√3)=[1+(√2-√3)][1-(√2-√3)]=1-(√2-√3)^2=1-(2+3+2√6)=-4-2√6①5√8-2√32+√50 =5*3√2-2*4√2+5√2 =√2(15-8+5) =12√2 ②√6-√3/2-√2/3 =√6-√6/2-√6/3 =√6/6 ③(√45+√27)-(√4/3+√125) =(3√5+3√3)-(2√3/3+5√5)=-2√5+7√5/3 ④(√4a-√50b)-2(√b/2+√9a) =(2√a-5√2b)-2(√2b/2+3√a) =-4√a-6√2b⑤√4x*(√3x/2-√x/6) =2√x(√6x/2-√6x/6) =2√x*(√6x/3) =2/3*|x|*√6 ⑥(x√y-y√x)÷√xy =x√y÷√xy-y√x÷√xy =√x-√y ⑦(3√7+2√3)(2√3-3√7) =(2√3)^2-(3√7)^2 =12-63 =-51⑧(√32-3√3)(4√2+√27) =(4√2-3√3)(4√2+3√3) =(4√2)^2-(3√3)^2 =32-27 =5⑨(3√6-√4)2 =(3√6)^2-2*3√6*√4+(√4)^2 =54-12√6+4 =58-12√6 ⑩(1+√2-√3)(1-√2+√3)=[1+(√2-√3)][1-(√2-√3)] =1-(√2-√3)^2 =1-(2+3+2√6) =-4-2√6二次根式计算题30道带答案1/6√1又3/5×(-5√3又√3/5)=1/6√(8/5)×(-5/3√(3/5)=-5/18√(24/25)=-5/18×2/5√6=-1/9√6(2)√8/a×√2a/b=√(8/a×2a/b)=√(16/b)=4/b(√b)(3)√2x乘以√2y乘以√x=√(2x*2y*x)=2x√y(4)2√a÷4√b=√a/2√b=1/2b√ab(5)5√xy÷√5x^3=5√(xy/5x³)=1/x√5y(6)√x-y÷√x+y=1/(x+y)√(x²-y²)(7)√x(x+y)÷√xy^2/x+y(x>0,y>0)=√[x(x+y)÷xy²/(x+y)]=(x+y)/y(8)√xy乘以√6x÷√3y=√6x²y÷√3y=x√2(9)(√mn-√m/n)÷√m/n(n>0)=√mn÷m/n-√m/n÷m/n=n-1(10)√3/8-(-3/4√27/2+3√1/6)=1/4√6+3/8√6-1/2√6=1/8√6(11)2/3√9x+6√x/4-2x√1/x=2√3x+3/2√x-2√x=5/2√x(12)2/a√4a+√1/a-2a√1/a^3=1/a√a+1/a√a-2/a√a=0(13)√0.2m+1/m√5m^3-m√125/m=1/5√5m+√5m-5√5m=-19/5√5m(14)√a+b/a-b-√a-b/a+b-√1/a^2-b^2(a>b>0)=1/(a-b)√(a²-b²)-1/(a+b)√(a²-b²)-1/(a²-b²)√(a²-b²) =(a+b-a+b-1)/(a²-b²)√(a²-b²)=(2b+1)/(a²-b²)√(a²-b²)解不等式(15)2x+√32<x+√22x-x<√2-4√2x<-3√216)√3/8-(-3/4√27/2+3√1/6)=1/2√3/2 + 9/4√3/2 - 1/2√6=1/4√6 + 9/8√6 - 1/2√6=7/8√6(17)√0.2m+1/m√5m^3-m√125/m=√1/5*m + 1/m√5m*m^2 - m√25*5m/m^2=1/5√5m+√5m-5√5m=-19/5√5m(18)(√45+√27)+(√1又1/3-√125)=3√5+3√3 + √4/3-5√5=3√3 + 2/3√3 + 3√5 - 5√5=5√3 -2√5(19)2/3√9x+6√x/4-2x√1/x=2√x+3√x-2√x=3√x20 √40÷√5=√8*√5÷√5=√8=2√221 √32/√2=√16*√2/√2=√16=422 √4/5÷√2/15=√4/5*√15/2=√(4/5*15/2)=√623 2√a^3b/√ab=2√a²√ab/√ab=2√a²=2|a|(24)√18-√32+√2=√2×9-√4×4×2+√2=3√2-4√2+√2=0(25)√75-√54+√96-√108=√5×5×3-√6×3×3+√6×4×4-√3×6×6=5√3-3√6+4√6-6√3=√6-√3=√3(√2-1)(26)(√45+√18)-(√8-√125)=√5×3×3+√2×3×3-√2×2×2+√5×5×5=3√5+3√2-3√2+5√5=8√5(27)½(√2+√3)-¾(√2+√27)=¼(2√2+2√3-√2-√27)此处通分,分子不变,分母都分别乘进去了,因为不好写就省略了=¼(2√2+2√3-√2-√3×3×3)=¼(√2-√3)(28)¼根号下18ab×(-2/b根号下6a²/a)=1/4×(-2/b)×√(18ab×6a²/a)=-1/(2b)×3a√(2b)=-3a/(2b) √(2b)(29)根号下50a²b(a<0,b>0)=√(25a²×2b)=-5a√(2b)(30)根号18×3/2根号20×(-1/3根号15)=-1/3×3/2×√(18×20×15)=-1/2×√5400=-1/2×30√6=-15√6帮我找50道一元二次方程计算题和50道二次根式计算题(带答案过程哦)。
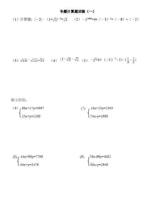
专题计算题训练(一)(1)计算题:|﹣2|﹣(1+)0+(2)﹣12009+4×(﹣3)2+(﹣6)÷(﹣2)(3)(4)||﹣(5)解方程组:(6)66x+17y=3967(7) 18x+23y=230325x+y=120074x-y=1998(8) 44x+90y=7796(9) 76x-66y=408244x+y=347630x-y=2940(10) 67x+54y=8546 (11) 42x-95y=-141071x-y=5680 21x-y=1575(12) 47x-40y=853(13) 19x-32y=-178634x-y=200675x+y=4950(14) 97x+24y=7202 (15) 42x+85y=636258x-y=290063x-y=1638(16)2X+3>0 (17)2X<-1 (18)5X+6<3X -3X+5>0 X+2>0 8-7X>4-5X (19)2(1+X)>3(X-7)(20)2X<44(2X-3)>5(X+2)X+3>0专题计算题训练(二)(1);(2).(3)(4).(5)(﹣2)3+(﹣3)×[(﹣4)2+2]﹣(﹣3)2÷(﹣2);(6) 85x-92y=-2518(7) 79x+40y=241927x-y=48656x-y=1176(8) 80x-87y=2156(9) 32x+62y=513422x-y=88057x+y=2850(10) 83x-49y=82(11) 91x+70y=584559x+y=218395x-y=4275(12) 29x+44y=5281 (13) 25x-95y=-435588x-y=360840x-y=2000(14) 54x+68y=3284(15) 70x+13y=352078x+y=140452x+y=2132(16)1-X>0 (17)5+2X>3 (18)2X+4<0 X+2<0 X+2<8 1/2(X+8)-2>0 (19)5X-2≥3(X+1)(20)1+1/2X>21/2X+1>3/2X-3 2(X-3)≤4(21) 48x-54y=-3186 24x+y=1080答案:x=45 y=99 (22) 36x+77y=7619 47x-y=799答案:x=17 y=91 (23) 13x-42y=-2717 31x-y=1333答案:x=43 y=78 (24) 28x+28y=3332 52x-y=4628答案:x=89 y=30 (25) 62x-98y=-2564 46x-y=2024答案:x=44 y=54 (26) 79x-76y=-4388 26x-y=832答案:x=32 y=91 (27) 63x-40y=-821 42x-y=546答案:x=13 y=41 (28) 69x-96y=-1209 42x+y=3822答案:x=91 y=78 (29) 85x+67y=7338 11x+y=308答案:x=28 y=74 (30) 78x+74y=12928 14x+y=1218答案:x=87 y=83 (31) 39x+42y=5331 59x-y=5841答案:x=99 y=35 (32) 29x+18y=1916 58x+y=2320答案:x=40 y=42 (33) 40x+31y=6043 45x-y=3555答案:x=79 y=93(34) 47x+50y=8598 45x+y=3780答案:x=84 y=93 (35) 45x-30y=-1455 29x-y=725答案:x=25 y=86 (36) 11x-43y=-1361 47x+y=799答案:x=17 y=36 (37) 33x+59y=3254 94x+y=1034答案:x=11 y=49 (38) 89x-74y=-2735 68x+y=1020答案:x=15 y=55 (39) 94x+71y=7517 78x+y=3822答案:x=49 y=41 (40) 28x-62y=-4934 46x+y=552答案:x=12 y=85 (41) 75x+43y=8472 17x-y=1394答案:x=82 y=54 (42) 41x-38y=-118029x+y=1450答案:x=50 y=85 (43) 22x-59y=824 63x+y=4725答案:x=75 y=14 (44) 95x-56y=-401 90x+y=1530答案:x=17 y=36 (45) 93x-52y=-852 29x+y=464答案:x=16 y=45 (46) 93x+12y=8823 54x+y=4914答案:x=91 y=30 (47) 21x-63y=84 20x+y=1880答案:x=94 y=30 (48) 48x+93y=9756 38x-y=950答案:x=25 y=92 (49) 99x-67y=4011 75x-y=5475答案:x=73 y=48 (50) 83x+64y=9291 90x-y=3690答案:x=41 y=92 (51) 17x+62y=3216 75x-y=7350答案:x=98 y=25 (52) 77x+67y=2739 14x-y=364答案:x=26 y=11 (53) 20x-68y=-4596 14x-y=924答案:x=66 y=87 (54) 23x+87y=4110 83x-y=5727答案:x=69 y=29 (55) 22x-38y=804 86x+y=6708答案:x=78 y=24 (56) 20x-45y=-3520 56x+y=728答案:x=13 y=84 (57) 46x+37y=7085 61x-y=4636答案:x=76 y=97 (58) 17x+61y=4088 71x+y=5609答案:x=79 y=45(59) 51x-61y=-1907 89x-y=2314答案:x=26 y=53 (60) 69x-98y=-2404 21x+y=1386答案:x=66 y=71 (61) 15x-41y=754 74x-y=6956答案:x=94 y=16 (62) 78x-55y=656 89x+y=5518答案:x=62 y=76 (63) 29x+21y=1633 31x-y=713答案:x=23 y=46 (64) 58x-28y=2724 35x+y=3080答案:x=88 y=85 (65) 28x-63y=-2254 88x-y=2024答案:x=23 y=46 (66) 43x+50y=7064 85x+y=8330答案:x=98 y=57 (67) 58x-77y=117038x-y=2280答案:x=60 y=30 (68) 92x+83y=11586 43x+y=3010答案:x=70 y=62 (69) 99x+82y=6055 52x-y=1716答案:x=33 y=34 (70) 15x+26y=1729 94x+y=8554答案:x=91 y=14 (71) 64x+32y=3552 56x-y=2296答案:x=41 y=29 (72) 94x+66y=10524 84x-y=7812答案:x=93 y=27 (73) 65x-79y=-5815 89x+y=2314答案:x=26 y=95 (74) 96x+54y=6216 63x-y=1953答案:x=31 y=60 (75) 60x-44y=-352答案:x=44 y=68 (76) 79x-45y=510 14x-y=840答案:x=60 y=94 (77) 29x-35y=-218 59x-y=4897答案:x=83 y=75 (78) 33x-24y=1905 30x+y=2670答案:x=89 y=43 (79) 61x+94y=11800 93x+y=5952答案:x=64 y=84 (80) 61x+90y=5001 48x+y=2448答案:x=51 y=21 (81) 93x-19y=286x-y=1548答案:x=18 y=88 (82) 19x-96y=-5910 30x-y=2340答案:x=78 y=77 (83) 80x+74y=8088 96x-y=8640(84) 53x-94y=1946 45x+y=2610答案:x=58 y=12 (85) 93x+12y=9117 28x-y=2492答案:x=89 y=70 (86) 66x-71y=-1673 99x-y=7821答案:x=79 y=97 (87) 43x-52y=-1742 76x+y=1976答案:x=26 y=55 (88) 70x+35y=8295 40x+y=2920答案:x=73 y=91 (89) 43x+82y=4757 11x+y=231答案:x=21 y=47 (90) 12x-19y=236 95x-y=7885答案:x=83 y=40 (91) 51x+99y=8031 71x-y=2911答案:x=41 y=6069x-y=6003答案:x=87 y=16 (93) 46x+34y=4820 71x-y=5183答案:x=73 y=43 (94) 47x+98y=5861 55x-y=4565答案:x=83 y=20 (95) 30x-17y=239 28x+y=1064答案:x=38 y=53 (96) 55x-12y=4112 79x-y=7268答案:x=92 y=79 (97) 27x-24y=-450 67x-y=3886答案:x=58 y=84 (98) 97x+23y=8119 14x+y=966答案:x=69 y=62 (99) 84x+53y=11275 70x+y=6790答案:x=97 y=59 (100) 51x-97y=297(6)答案:x=48 y=47 (7) 18x+23y=230374x-y=1998答案:x=27 y=79 (3) 44x+90y=779644x+y=3476答案:x=79 y=48 (4) 76x-66y=408230x-y=2940答案:x=98 y=51 (5) 67x+54y=854671x-y=5680答案:x=80 y=59 (6) 42x-95y=-141021x-y=1575答案:x=75 y=48 (7) 47x-40y=853(8) 19x-32y=-1786 75x+y=4950答案:x=66 y=95 (9) 97x+24y=7202 58x-y=2900答案:x=50 y=98 (10) 42x+85y=6362 63x-y=1638答案:x=26 y=62 (11) 85x-92y=-2518 27x-y=486答案:x=18 y=44 (12) 79x+40y=2419 56x-y=1176答案:x=21 y=19 (13) 80x-87y=2156 22x-y=880答案:x=40 y=12 (14) 32x+62y=5134 57x+y=2850答案:x=50 y=57 (15) 83x-49y=82 59x+y=2183(16) 91x+70y=5845 95x-y=4275答案:x=45 y=25 (17) 29x+44y=5281 88x-y=3608答案:x=41 y=93 (18) 25x-95y=-4355 40x-y=2000答案:x=50 y=59 (19) 54x+68y=3284 78x+y=1404答案:x=18 y=34 (20) 70x+13y=3520 52x+y=2132答案:x=41 y=50 (21) 48x-54y=-3186 24x+y=1080答案:x=45 y=99 (22) 36x+77y=7619 47x-y=799答案:x=17 y=91 (23) 13x-42y=-2717 31x-y=1333答案:x=43 y=7852x-y=4628答案:x=89 y=30 (25) 62x-98y=-2564 46x-y=2024答案:x=44 y=54 (26) 79x-76y=-4388 26x-y=832答案:x=32 y=91 (27) 63x-40y=-821 42x-y=546答案:x=13 y=41 (28) 69x-96y=-1209 42x+y=3822答案:x=91 y=78 (29) 85x+67y=7338 11x+y=308答案:x=28 y=74 (30) 78x+74y=12928 14x+y=1218答案:x=87 y=83 (31) 39x+42y=5331 59x-y=5841答案:x=99 y=35 (32) 29x+18y=1916答案:x=40 y=42 (33) 40x+31y=6043 45x-y=3555答案:x=79 y=93 (34) 47x+50y=8598 45x+y=3780答案:x=84 y=93 (35) 45x-30y=-1455 29x-y=725答案:x=25 y=86 (36) 11x-43y=-1361 47x+y=799答案:x=17 y=36 (37) 33x+59y=3254 94x+y=1034答案:x=11 y=49 (38) 89x-74y=-2735 68x+y=1020答案:x=15 y=55 (39) 94x+71y=7517 78x+y=3822答案:x=49 y=41 (40) 28x-62y=-4934 46x+y=552(41) 75x+43y=8472 17x-y=1394答案:x=82 y=54 (42) 41x-38y=-1180 29x+y=1450答案:x=50 y=85 (43) 22x-59y=824 63x+y=4725答案:x=75 y=14 (44) 95x-56y=-401 90x+y=1530答案:x=17 y=36 (45) 93x-52y=-852 29x+y=464答案:x=16 y=45 (46) 93x+12y=8823 54x+y=4914答案:x=91 y=30 (47) 21x-63y=84 20x+y=1880答案:x=94 y=30 (48) 48x+93y=9756 38x-y=950答案:x=25 y=9275x-y=5475答案:x=73 y=48 (50) 83x+64y=9291 90x-y=3690答案:x=41 y=92 (51) 17x+62y=3216 75x-y=7350答案:x=98 y=25 (52) 77x+67y=2739 14x-y=364答案:x=26 y=11 (53) 20x-68y=-4596 14x-y=924答案:x=66 y=87 (54) 23x+87y=4110 83x-y=5727答案:x=69 y=29 (55) 22x-38y=804 86x+y=6708答案:x=78 y=24 (56) 20x-45y=-3520 56x+y=728答案:x=13 y=84 (57) 46x+37y=7085答案:x=76 y=97 (58) 17x+61y=4088 71x+y=5609答案:x=79 y=45 (59) 51x-61y=-1907 89x-y=2314答案:x=26 y=53 (60) 69x-98y=-2404 21x+y=1386答案:x=66 y=71 (61) 15x-41y=754 74x-y=6956答案:x=94 y=16 (62) 78x-55y=656 89x+y=5518答案:x=62 y=76 (63) 29x+21y=1633 31x-y=713答案:x=23 y=46 (64) 58x-28y=2724 35x+y=3080答案:x=88 y=85 (65) 28x-63y=-2254 88x-y=2024(66) 43x+50y=7064 85x+y=8330答案:x=98 y=57 (67) 58x-77y=1170 38x-y=2280答案:x=60 y=30 (68) 92x+83y=11586 43x+y=3010答案:x=70 y=62 (69) 99x+82y=6055 52x-y=1716答案:x=33 y=34 (70) 15x+26y=1729 94x+y=8554答案:x=91 y=14 (71) 64x+32y=3552 56x-y=2296答案:x=41 y=29 (72) 94x+66y=10524 84x-y=7812答案:x=93 y=27 (73) 65x-79y=-5815 89x+y=2314答案:x=26 y=9563x-y=1953答案:x=31 y=60 (75) 60x-44y=-352 33x-y=1452答案:x=44 y=68 (76) 79x-45y=510 14x-y=840答案:x=60 y=94 (77) 29x-35y=-218 59x-y=4897答案:x=83 y=75 (78) 33x-24y=1905 30x+y=2670答案:x=89 y=43 (79) 61x+94y=11800 93x+y=5952答案:x=64 y=84 (80) 61x+90y=5001 48x+y=2448答案:x=51 y=21 (81) 93x-19y=286x-y=1548答案:x=18 y=88 (82) 19x-96y=-5910答案:x=78 y=77 (83) 80x+74y=8088 96x-y=8640答案:x=90 y=12 (84) 53x-94y=1946 45x+y=2610答案:x=58 y=12 (85) 93x+12y=9117 28x-y=2492答案:x=89 y=70 (86) 66x-71y=-1673 99x-y=7821答案:x=79 y=97 (87) 43x-52y=-1742 76x+y=1976答案:x=26 y=55 (88) 70x+35y=8295 40x+y=2920答案:x=73 y=91 (89) 43x+82y=4757 11x+y=231答案:x=21 y=47 (90) 12x-19y=236 95x-y=7885(91) 51x+99y=8031 71x-y=2911答案:x=41 y=60 (92) 37x+74y=4403 69x-y=6003答案:x=87 y=16 (93) 46x+34y=4820 71x-y=5183答案:x=73 y=43 (94) 47x+98y=5861 55x-y=4565答案:x=83 y=20 (95) 30x-17y=239 28x+y=1064答案:x=38 y=53 (96) 55x-12y=4112 79x-y=7268答案:x=92 y=79 (97) 27x-24y=-450 67x-y=3886答案:x=58 y=84 (98) 97x+23y=8119 14x+y=966答案:x=69 y=6270x+y=6790答案:x=97 y=59 (100) 51x-97y=297 19x-y=1520答案:x=80 y=3911. |﹣|+﹣12. ﹣12+×﹣2 13..14. 求x的值:9x2=121.15. 已知,求x y的值.16. 比较大小:﹣2,﹣(要求写过程说明)17.求x的值:(x+10)2=1618. .19. 已知m<n,求+的值;20.已知a<0,求+的值.参考答案与试题解析一.解答题(共13小题)1.计算题:|﹣2|﹣(1+)0+.解答:解:原式=2﹣1+2,=3.2.计算题:﹣12009+4×(﹣3)2+(﹣6)÷(﹣2)解答:解:﹣12009+4×(﹣3)2+(﹣6)÷(﹣2),=﹣1+4×9+3,=38.3.4. ||﹣.原式=14﹣11+2=5;(2)原式==﹣1.点评:此题主要考查了实数的综合运算能力,是各地中考题中常见的计算题型.解决此类题目的关键是熟练掌握二次根式、绝对值等考点的运算.5.计算题:.考点:有理数的混合运算。
初中数学专项练习《实数》100道计算题包含答案一、解答题(共100题)1、计算:| -2|+2cos45°- + .2、已知2a﹣1的平方根是±3,3a+b+9的立方根是3,求2(a+b)的平方根.3、已知且与互为相反数,求的平方根.4、如图,在正方形ABCD中,AB=4,AE=2,DF=1,请你判定△BEF的形状,并说明理由.5、一个正数的两个平方根为和,是的立方根,的小数部分是,求的平方根.6、如图:已知点A、B表示两个实数﹣、,请在数轴上描出它们大致的位置,用字母标示出来;O为原点,求出O、A两点间的距离.求出A、B两点间的距离.7、填表:相反数等于它本身绝对值等于它本身倒数等于它本身平方等于它本身立方等于它本身平方根等于它本身算术平方根等于它本身立方根等于它本身最大的负整数绝对值最小的数8、已知2a-1的平方根是±3,b-1的立方根是2,求a-b的值.9、求下列各式中的x值.(1)25x2﹣196=0(2)(2x﹣1)3=8.10、若|x|=7,y2=9,且x>y,求x+y值11、在数轴上表示下列各数,并用“<”连接起来。
, , , , , 。
12、把下列各实数填在相应的大括号内,﹣|﹣3|,,0,,﹣3. ,,1﹣,1.1010010001…(两个1之间依次多1个0)整数{…};分数{…};无理数{…}.13、计算:(﹣3)0﹣+|1﹣|+×+(+)﹣1.14、己知:2m+2的平方根是±4;3m+n的立方根是-1,求:2m-n的算术平方根15、一个正数x的平方根是3a﹣4和1﹣6a,求x的值.16、求下列式中的x的值:3(2x+1)2=27.17、解下列方程:(1)(x+5)2+16=80(2)﹣2(7﹣x)3=250.18、已知25x2﹣144=0,且x是正数,求代数式的值.19、规定一种新的运算a△b=ab﹣a+1,如3△4=3×4﹣3+1,请比较与的大小.20、若5a+1和a﹣19是数m的平方根,求m的值.21、已知的平方根是,的立方根是2,是的整数部分,求的值..22、若5a+1和a﹣19是数m的平方根.求a和m的值.23、已知2a-7的平方根是±5,2a+b-1的算术平方根是4,求- +b的值.24、把下列各数填在相应的集合内:100,﹣0.82,﹣30 ,3.14,﹣2,0,﹣2011,﹣3.1 ,,﹣,2.010010001…,正分数集合:{ …}整数集合:{ …}负有理数集合:{ …}非正整数集合;{ …}无理数集合:{ …}.25、+3﹣5.26、已知a、b是有理数且满足:a是-8的立方根,=5,求a2+2b的值.27、求下列各式中x的值.(1)9x2﹣4=0(2)(1﹣2x)3=﹣1.28、(1)已知:(x+1)2﹣9=0,求x的值;(2)已知a﹣3的平方根为±3,求5a+4的立方根.29、计算:(﹣)﹣2﹣|﹣1+|+2sin60°+(π﹣4)0.30、计算:()﹣2﹣(π﹣3.14)0+﹣|2﹣|.31、已知和互为相反数,且x-y+4的平方根是它本身,求x、y 的值.32、在数轴上表示下列各数:0,﹣2.5,3 ,﹣2,+5,1 ,并用“<”号连接。
二次根式50道计算题(汇编)本文档包含了50道关于二次根式的计算题,可以帮助你巩固和练习有关二次根式的计算技巧。
题目1.计算 $2\\sqrt{3}$。
2.计算 $3\\sqrt{7}-\\sqrt{2}$。
3.计算 $\\sqrt{12}+\\sqrt{27}$。
4.计算 $4\\sqrt{6} - 2\\sqrt{3}$。
5.计算 $\\sqrt{50}$。
6.计算 $2(\\sqrt{5}+\\sqrt{3})$。
7.计算 $\\sqrt{18} - \\sqrt{8}$。
8.计算 $3\\sqrt{5} + 2\\sqrt{45}$。
9.计算 $\\sqrt{72} - 2\\sqrt{18}$。
10.计算 $4\\sqrt{10} - 3\\sqrt{8}$。
11.计算 $2\\sqrt{6} \\times 3\\sqrt{2}$。
12.计算 $(\\sqrt{3}+\\sqrt{5})^2$。
13.计算 $(\\sqrt{7}-\\sqrt{2})^2$。
14.计算 $(\\sqrt{20}+\\sqrt{5})(\\sqrt{20}-\\sqrt{5})$。
15.计算$(\\sqrt{3}+\\sqrt{2})(\\sqrt{3}-\\sqrt{2})$。
16.计算 $(4\\sqrt{2})^2$。
17.计算 $(\\sqrt{2})^4$。
18.计算 $(\\sqrt{3})^3$。
19.计算 $(\\sqrt{7})^2$。
20.计算 $3\\sqrt{5} \\div \\sqrt{3}$。
21.计算 $\\sqrt{8} \\div 2$。
22.计算 $\\sqrt{18} \\div (\\sqrt{6} \\times\\sqrt{2})$。
23.计算 $2\\sqrt{7} + \\sqrt{7}$。
24.计算 $\\sqrt{11} + 2\\sqrt{11}$。
二次根式混合运算题含答案本文是一份数学题目,需要进行排版和改写以更好地呈现。
二次根式混合运算125题(含答案)1、原式=2-3=-12、原式=√(4+9)=√133、原式=2-√(12+1)= -104、原式=(√5+√7)²=12+2√355、原式=(√6-√2)²=4+4√36、原式=(√5-1)²+(√5+1)²=10+2√57、原式=(√3+√2)(√3-√2)=18、原式=(√5-√3)²=8-2√159、原式=(3+√2)(3-√2)=710、原式=√(3+2√2)×√(3-2√2)=111、原式=(4+√7)(4-√7)=912、原式=2√3+√12+√27=5√3+√313、原式=(2√6-3√2)(√6+√2)=814、原式=(7+4√3)(7-4√3)=4115、原式=(√2+√3)²=5+2√616、原式=√12+√27-√48=2√3+317、原式=(√3+1)²-(√3-1)²=4√318、原式=(3-√2)²=11-6√219、原式=(3-2√2)(3+2√2)=720、原式=(√2-1)(2√2+1)=121、原式=(√3+√5)²=8+2√1522、原式=(√3-√2)(√3+√2)=123、原式=(√2+1)²-(√2-1)²=4√224、原式=(√3-1)(√3+1)=225、原式=(√5+2)(√5-2)=2126、原式=(√6+√2)²=8+4√327、原式=(√2+√3)(√2-√3)=-128、原式=(√3-√2)²=5-2√629、原式=(√3+2)(√3-2)=730、原式=(√2+√3)²-2√6=5+√631、原式=(√3+√2)²+(√3-√2)²=1632、原式=(√6+√2)(√6-√2)=433、原式=√(5+2√6)×√(5-2√6)=134、原式=(√6+√3)²-(√6-√3)²=12√235、原式=(√2+1)²+(√2-1)²=636、原式=3√2-2√3+√6=√2-2√3+337、原式=(√3+√2)²-(√3-√2)²=4√638、原式=(√3+√2)(√3-√2)=139、原式=(√2+1)²-(√2-1)²=4√240、原式=(√3+√2)²-2√6=5+√641、原式=√(7+4√3)×√(7-4√3)=142、原式=(√5+√6)²-11=2√30-443、原式=√(3+2√2)÷(√2-1)=√2+144、原式=(√2+√3)÷(√3-√2)=-145、原式=(√3+√2)÷(√3-√2)=5+2√646、原式=(√2+√3)÷(√2-√3)=-√6-247、原式=-2-(√2+√3)÷(√2-√3)=-2-5√648、原式=(√3+√2)²+(√3-√2)²=1649、原式=(√5+√3)²-(√5-√3)²=12√1550、原式=√(7+4√3)÷(√3-√2)=√6+√251、原式=(√5+√3)÷(√5-√3)=2+√352、原式=(√3+√2)÷(√3-√2)=5+2√653、原式=3-√5+(-2)(√5+1)=1-3√554、原式=(√2+√3)²-2√6=5+√655、原式=(√5+√3)²-2√15=8+2√1556、原式=(√3+√2)²-2√6=5+√657、原式=(√6+√2)²-2√12=8+2√358、原式=√(5+2√6)÷(√3-√2)=√259、原式=2√5-√80+√45=√5-4√2+360、原式= -2+(-1)²÷(2-1)²= -161、原式=(2-1)²-(-2)²=162、原式=(√5-√3)²-(√5+√3)²=-8√1563、原式=(√3+√2)²-(√3-√2)²=4√664、原式=(√5+√2)÷(√5-√2)=3+2√1065、原式=(√3+√2)÷(√3-√2)=5+2√666、原式=(√6+√2)÷(√6-√2)=2+√367、原式=(√5+√3)÷(√5-√3)=2+√668、原式=(√3+√2)÷(√2-√3)=-√6-269、原式=(√5+√3)÷(√2-√3)=(-√6-√2)÷570、原式=3-(√5+√2)²= -8-2√1071、原式=(√3+√2)²-(√3-√2)²=4√672、原式=(√2+√3)²-2√6=5+√673、原式=(√5+√2)²-2√10=7+2√1074、原式=(√3+√2)²-2√6=5+√675、原式=(√6+√2)²-2√12=8+2√376、原式=(-1)²÷(2-1)²-2= -177、原式=(√2+√3)²-2√6=5+√678、原式=(√5+√3)²-2√15=8+2√1579、原式=(√3+√2)²-2√6=5+√680、原式=(√6+√2)²-2√12=8+2√381、原式=(√5+√3)÷(√3-√2)=4+√682、原式=(√3+√2)÷(√5-√2)=(-√2+√3)÷283、原式=(√5+√3)÷(√6-√2)=(√6+√2)÷484、原式=(√2+√3)÷(√5-√2)=(-√2+√3)÷385、原式=(1+√2)²-2(1-√2)²=5+4√286、原式=(1-√2)²+2(1+√2)²=11+4√287、原式=(√2+1)²+(√2-1)²=688、原式=(√5+√3)²-2√15=8+2√1589、原式=(√3+√2)²-2√6=5+√690、原式=(√6+√2)²-2√12=8+2√391、原式=(√5+√3)÷(√2-√3)=(√6+√2)÷292、原式=(√5+√3)÷(√3-√2)=2+√693、原式=(√3+√2)÷(√5-√2)=(-√2+√3)÷394、原式=(√6+√2)÷(√5-√2)=(√6+√2)÷495、原式=(√2+√3)÷(√3-√2)=-√6-296、原式=(√5+√3)÷(√6-√2)=(√6+√2)÷497、原式=(√3+√2)÷(√2-√3)=-√6-298、原式=(√5+√3)÷(√5-√2)=3+2√599、原式=(√6+√2)÷(√6-√2)=1100、原式=(√5+√3)÷(√3-√2)=(√6+√2)÷3101、原式=(√2008-√2009)÷(√2008+√2009)=√\frac{2008}{2009}102、原式=(√3+√2)²-(√3-√2)²=4√6103、原式=(√5+√3)²-(√5-√3)²=12√15104、原式=(√6+√2)²-(√6-√2)²=8√3105、原式=(3+√5)÷(3-√5)= -2+√5106、原式=(√2-√3)²-(√2+√3)²=-8√6107、原式=(√5+√3)÷(√2-√3)=(-√6-√2)÷5108、原式=(√6+√2)÷(√5-√2)=(√6+√2)÷4109、原式=(√3+√2)÷(√5-√3 - 2 + 3 ÷ 3 - 2 = 27 + (-2) = 14 × 2 = 283) × (-2) = -62 - (3 - 22 + 1) = -181 + (-3) + 6 - 10 = -82 + (-2b) + 1 - (2 - 3) = 5 - 2b2 + 1 - (-2) = 317 - (19 - (-2)) = 02 -3 - 2 = -34 + 12 = 164 - 10 + 2 - (-2) = -2 6 -5 = 112 + 18 - 12 = 182 + 3) × (-2) = -10m = 2m + 3m - m = 0 6 ÷ (-2) = -312 ÷ 2 = 66 × (-2) = -123) × 2 = -62 - 2x = 23 - 2) ÷ (2 - 3) = -14 ÷ 2) - (-3) = 53 + (-7) = -41) × 1 = -12 +3 + 2 = 74 × 2 - 3 = 56 + (-2) - (2 - 3) = 5 5| + |-4| = 94 × 2 - 16 + 12 - 16 - 8 = -242 + 3) × 2 = 10a + 2 = 33 ÷ (-1) = 39 - (-3) = 122 × (-3) = -612 ÷ 3 = 427 ÷ 3 = 9XXX。
初二数学计算题练习试题答案及解析1.计算(1)(2)【答案】(1);(2).【解析】根据二次根式的化简及乘法运算计算即可.试题解析:(1);(2).【考点】二次根式的化简.2.计算:.【答案】24690.【解析】直接计算的话,计算量较大,发现分母中的式子12345×12347转化一下后可以用平方差公式:a2-b2=(a+b)(a-b),从而减少计算,由题,===24690.试题解析:由题,===24690.【考点】平方差公式.3.如图所示,已知BD⊥CD于D,EF⊥CD于F,,,其中为锐角,求证:。
【答案】可通过求证,则能证明【解析】证明:∵,,∴,∴AD∥BC(同旁内角互补,两直线平行)。
∴(两直线平行,内错角相等)。
又∵BD⊥CD,EF⊥CD。
∴,∴BD∥EF,∴,∴【考点】平行线性质点评:本题难度中等,主要考查学生对平行线性质知识点的掌握与运用。
注意培养数形结合思想,运用到考试中去。
4.计算:【答案】5【解析】解:原式【考点】实数运算点评:本题难度较低,主要考查学生对实数运算知识点的额掌握,为中考常考题型,要求学生牢固掌握。
5.解方程:(1)(2)【答案】(1) 1.5, -0.5 (2)-2, 3【解析】(1)去括号即2x-1=±2,解得 1.5, -0.5(2):设x-2=y,则原式变为y2+3y-4=0。
解得y=1或y=-4则x-2=-4或x-2=1.解得-2, 3【考点】解方程点评:本题难度较低,主要考查学生对解一元二次方程知识点的掌握。
为中考常考题型,要求学生牢固掌握。
运用求根公式亦可。
6.如图,A、B两地相距50千米,甲于某日下午1时骑自行车从A地出发驶往B地,乙也于同日下午骑摩托车从A地出发驶往B地,图中PQR和线段MN,分别表示甲和乙所行驶的S与该日下午时间t之间的关系,试根据图形回答:⑴甲出发几小时,乙才开始出发⑵乙行驶多少分钟赶上甲,这时两人离B地还有多少千米?⑶甲从下午2时到5时的速度是多少?⑷乙行驶的速度是多少?【答案】解:(1)1小时(2)乙行驶 80分钟赶上甲这时两人离B地还有千米(3)每小时10千米(4)每小时25千米【解析】(1)从横轴P、M点相距一个单位判断甲出发1小时后乙才出发。
初二-二次根式计算练习200题2018年1月22日的数学期末考试试卷包含了21道选择题。
以下是其中的一些题目和答案选项:1.要使某个式子有意义,则其取值范围是A。
实数集B。
自然数集C。
有理数集D。
正整数集2.已知 a+b=5,a-b=3,则 a 的值为A。
4B。
2C。
3D。
13.化简:(3x+2y)-(2x-3y)A。
5x+5yB。
x+5yC。
x-5yD。
x-y4.当 x=1 时,y=2x-3 的值为A。
-1B。
1C。
2D。
35.下列各式中,是分式的有A。
①②B。
③④C。
①③D。
①②③④6.若二次根式有意义,则其取值范围是A。
实数集B。
自然数集C。
有理数集D。
正整数集7.将分式中分子与分母的各项系数都化成整数,正确的是A。
B。
C。
D。
8.下列各式中,是二次根式的有A。
①;②;③;④B。
3;4;5;6C。
7;8;9;10D。
11;12;13;149.不论 a 的值为何有理数,a²的值均为A。
正数B。
零C。
负数D。
非负数10.把 2x²+3x+1 进行因式分解,结果正确的是A。
(x+1)(2x+1)B。
(x-1)(2x-1)C。
(x+1)(2x-1)D。
(x-1)(2x+1)11.把多项式 x²-5x+6 分解因式,下列结果正确的是A。
(x-2)(x-3)B。
(x+2)(x+3)C。
(x-2)(x+3)D。
(x+2)(x-3)12.计算 2/3+5/6 的结果是A。
1/3B。
3/4C。
7/6D。
1/613.用配方法将二次三项式 x²+4x+3 变形,结果为A。
(x+3)(x+1)B。
(x+3)(x-1)C。
(x+4)(x-1)D。
(x+4)(x+1)14.若 2x+3y=5,3x+4y=7,则 x 的值为A。
1B。
2C。
3D。
415.若 x²+y²=25,x+y=7,则 xy 的值为A。
12B。
10C。
8D。
616.计算:(2x-3)(x+4)A。
1、.设a为的小数部分,b为的小数部分.则的值为().A.+-1B.-+1C.--1 D.++12、已知,且a>b>0,则的值为()A.B.±C.2D.±23、设,,,则a,b,c之间的大小关系是()A.B.C.D.4、化简的结果为()A.B.30C.D.305、已知a为实数,则代数式的最小值为()A.0B.3C.3D.96、把根号外的因式移到根号内,得()A.B.C.D.7、已知:是整数,则满足条件的最小正整数为() A.2B.3C.4D.58、把根号外的因式移入根号内的结果是A.B.C.D.9、已知是正整数,则满足条件的最大负整数m为()A.-10B.-40C.-90D.-16010、下列计算不正确的是()A.B.C.D.11、下列运算正确的是()A.+=B.3﹣2=1C.2+=2D.a﹣b=(a﹣b)12、化简的结果为()A.B.30C.D.3013、下列计算或判断:(1)±3是27的立方根;(2);(3)的平方根是2;(4);(5),其中正确的有A.1个B.2个C.3个D.4个14、已知x1=+,x2=-,则x₁²+x₂²等于() A.8B.9C.10D.1115、下列各式中,不正确的是()A.B.C.D.16、若有意义,那么直角坐标系系中点A在()A.第一象限B.第二象限C.第三象限D.第四象限17、如果(x﹣)(y﹣)=2008,求3x2﹣2y2+3x ﹣3y﹣2007=________.18、若m=,则=_____.19、已知a,b是正整数,且满足是整数,则这样的有序数对(a,b)共有____对.20、能力拓展:;;;________.…:________.请观察,,的规律,按照规律完成填空.比较大小和∵________∴________∴________同理,我们可以比较出以下代数式的大小:________;________;________21、化简___________.22、化简a后的结果是_______.23、若a、b、c均为实数,且a、b、c均不为0化简___________24、计算=________________ .25、对于任何实数a,可用[a]表示不超过a的最大整数,如[4]=4,[]=1.现对72进行如下操作:72[]="8"[]="2"[]=1,类似地,只需进行3次操作后变为1的所有正整数中,最大的是________.26、已知:x=,则可用含x的有理系数三次多项式来表示为:=_____.27、已知a、b分别为6-的整数部分和小数部分,那么2a-b=_________28、已知,则________.29、如果表示a、b的实数的点在数轴上的位置如图所示,那么化简|a﹣b|+的结果是_____.30、已知整数,满足,则__________.31、已知实数、、满足等式,则__________.32、计算:=_____________。
《二次根式》常考练习题及参考答案与解析一、选择题(共40小题)1.(2018春•宿松县期末)在下列各式中,一定是二次根式的是()A.B.C.D.2.(2018秋•漳州期末)下列代数式能作为二次根式被开方数的是()A.3﹣πB.a C.a2+1 D.2x+43.(2019春•徐州期末)下列计算正确的是()A.B.C.D.4.(2018春•黔南州期末)下列运算正确的是()A.2+=2B.5﹣=5 C.5+=6D.+2=3 5.(2017春•汇川区校级期中)若,则x的值等于()A.4 B.±2 C.2 D.±46.(2018春•阆中市期末)若的整数部分为x,小数部分为y,则的值是()A.B.C.1 D.37.(2019春•万年县期中)把根号外的因式化到根号内:﹣a=()A.B.C.﹣D.8.(2019春•陆川县期末)下列等式正确的是()A.B.C.D.9.(2017春•硚口区期中)若=4﹣b,则b满足的条件是()A.b>4 B.b<4 C.b≥4 D.b≤4 10.(2016秋•开福区校级期末)若x<0,则的结果是()A.0 B.﹣2 C.0或﹣2 D.211.(2019春•中山市期末)下列运算结果正确的是()A.=﹣3 B.(﹣)2=2 C.÷=2 D.=±4 12.(2019•鄂州模拟)把根号外的因式移入根号内得()A.B.C.D.13.化简的结果是()A.﹣B.﹣C.﹣D.﹣14.(2018春•郯城县期中)已知a=+,b=,则a与b的关系是()A.a=b B.ab=1 C.a=﹣b D.ab=﹣515.(2018春•罗庄区期末)已知:a=,b=,则a与b的关系是()A.相等B.互为相反数C.互为倒数D.平方相等16.(2019春•凤凰县期末)下列根式中,属于最简二次根式的是()A.﹣B.C.D.17.(2010春•苏州期末)下列二次根式中,最简二次根式是()A.B.C.D.18.(2019秋•静安区月考)下列二次根式是最简二次根式的是()A.B.﹣C.D.19.(2012秋•衡水期末)下列二次根式中,最简二次根式是()A.B.C.D.20.(2017秋•路北区期末)下列二次根式中可以和相加合并的是()A.B.C.D.21.(2019秋•闵行区校级月考)下列说法中,正确的是()A.被开方数不同的二次根式一定不是同类二次根式B.只有被开方数完全相同的二次根式才是同类二次根式C.同类二次根式一定都是最简二次根式D.两个最简二次根式不一定是同类二次根式22.(2017秋•中江县期末)下列二次根式中,能通过加减运算与合并为一个二次根式的是()A.B.C.D.23.(2018春•徐汇区校级期末)如果+有意义,那么代数式|x﹣1|+的值为()A.±8 B.8C.与x的值无关D.无法确定24.(2018秋•织金县期末)如果y=+2,那么(﹣x)y的值为()A.1 B.﹣1 C.±1 D.025.(2015秋•陕西月考)a,b的位置如图,则下列各式有意义的是()A.B.C.D.26.(2018•荔湾区模拟)若代数式有意义,则实数x的取值范围是()A.x≥﹣2 B.x≤﹣2 C.x>﹣2 D.x<﹣227.(2014•东丽区三模)若实数a,b满足+=3,﹣=3k,则k的取值范围是()A.﹣3≤k≤2 B.﹣3≤k≤3 C.﹣1≤k≤1 D.k≥﹣128.(2012秋•洪湖市期中)下列各式,不论x为任何数都没有意义的是()A.B.C.D.29.(2018秋•高碑店市期末)下列运算中正确的是()A.﹣=B.2+3=6C.=D.(+1)(﹣1)=330.(2016春•杭州校级期中)下列运算正确的是()A.2﹣=1B.(﹣)2=2C.=﹣=3﹣2=1D.=±1131.(2019春•阜阳期中)(2﹣)2018(2+)2019的值为()A.﹣1 B.2C.﹣2D.2+32.(2015•钦州)对于任意的正数m、n定义运算※为:m※n=,计算(3※2)×(8※12)的结果为()A.2﹣4B.2 C.2D.2033.(2018秋•醴陵市期末)已知a=3+,b=3﹣,则代数式的值是()A.24 B.±2C.2D.234.(2015•蓬溪县校级模拟)已知a﹣b=2+,b﹣c=2﹣,则a2+b2+c2﹣ab﹣bc﹣ac的值为()A.10B.12C.10 D.1535.(2019春•许昌期末)已知x=+1,y=﹣1,则x2+xy+y2的值为()A.10 B.8 C.6 D.436.(2014•张家港市模拟)已知实数x,y满足x+y=﹣2a,xy=a(a≥1),则的值为()A.a B.2a C.a D.237.(2012秋•富顺县校级月考)若实数x、y满足x2+y2﹣4x﹣2y+5=0,则的值是()A.1 B.+C.3+2D.3﹣238.(2013•宁波自主招生)设等式在实数范围内成立,其中a、x、y是三个不同的实数,则的值是()A.3 B.C.2 D.39.(2019春•西湖区校级月考)如果f(x)=并且f()表示当x=时的值,即f()==,f()表示当x=时的值,即f()=,那么f()+f()+f()+f()+的值是()A.n B.n C.n D.n+40.(2019秋•天心区校级期末)已知a、b、c是△ABC三边的长,则+|a+b﹣c|的值为()A.2a B.2b C.2c D.2(a一c)二、填空题(共30小题)41.(2019春•曲靖期末)若是一个正整数,则正整数m的最小值是.42.(2018秋•杨浦区期中)计算:=.43.(2019•聊城二模)计算﹣的结果是.44.(2019春•东至县期末)与最简二次根式是同类二次根式,则m=.45.(2017秋•南开区期末)二次根式与的和是一个二次根式,则正整数a的最小值为;其和为.46.(2016春•寿光市期末)若最简二次根式与是同类二次根式,则a =.47.(2013秋•罗平县校级期中)等式=成立的条件是.48.(2012•山西模拟)若规定符号“*”的意义是a*b=ab﹣b2,则2*()的值是.49.(2015秋•达州校级月考)设的整数部分为a,小数部分为b,则的值等于.50.(2015•鄂州)若使二次根式有意义,则x的取值范围是.51.(2019•岳池县模拟)要使代数式有意义,x的取值范围是.52.(2018秋•松桃县期末)若代数式有意义,则实数x的取值范围是.53.(2018•陇南)使得代数式有意义的x的取值范围是.54.(2019春•西湖区校级月考)已知y=+8x,则的算术平方根为.55.(2014•吴江市模拟)设a=,b=2+,c=,则a、b、c从小到大的顺序是.56.(2013秋•南通月考)在下列二次根式,中,最简二次根式的个数有个.57.(2013春•阳谷县期末)若和都是最简二次根式,则m=,n=.58.(2012秋•集贤县期中)若两个最简二次根式与可以合并,则x=.59.(2018•皇姑区二模)化简的结果是.60.(2014秋•慈利县校级期末)若m<0,化简2n=.61.(2015春•崆峒区期末)已知a,b,c为三角形的三边,则=.62.(2018春•襄城区期中)化简的结果为.63.(2019春•睢县期中)已知a,b,c为三个整数,若,,,则a,b,c的大小关系是.64.(2013•江都市一模)若二次根式=4﹣x,则x.65.(2018秋•牡丹区期末)若的整数部分是a,小数部分是b,则a2+(1+)ab=.66.(2019春•江汉区期末)已知xy=2,x+y=4,则+=.67.(2019秋•兰考县期中)当a<﹣b<1时,化简÷的结果为.68.(2013•沙市区一模)已知m=1+,n=1﹣,则代数式的值为.69.(2011•内江)若m=,则m5﹣2m4﹣2011m3的值是.70.(2019春•成武县期末)如图,在矩形ABCD中,不重叠地放上两张面积分别是5cm2和3cm2的正方形纸片BCHE和AEFG.矩形ABCD没被这两个正方形盖住的面积是.三、解答题(共30小题)71.(2019春•伊通县期末)计算:×﹣(+)(﹣)72.(2016•夏津县自主招生)计算:.73.(2015春•赵县期末)化简:(1);(2).74.(2018春•新泰市期末)计算(1)(2﹣1)2+(+2)(﹣2)(2)(﹣2)×﹣6.75.(2019秋•浦东新区校级月考)已知x=,y=,且19x2+123xy+19y2=1985.试求正整数n.76.(2013•黔西南州)阅读材料:小明在学习二次根式后,发现一些含根号的式子可以写成另一个式子的平方,如3+=(1+)2.善于思考的小明进行了以下探索:设a+b=(m+n)2(其中a、b、m、n均为整数),则有a+b=m2+2n2+2mn.∴a=m2+2n2,b=2mn.这样小明就找到了一种把类似a+b的式子化为平方式的方法.请你仿照小明的方法探索并解决下列问题:(1)当a、b、m、n均为正整数时,若a+b=,用含m、n的式子分别表示a、b,得:a=,b=;(2)利用所探索的结论,找一组正整数a、b、m、n填空:+=(+)2;(3)若a+4=,且a、m、n均为正整数,求a的值?77.(2014秋•石鼓区校级期中)若3,m,5为三角形三边,化简:﹣.78.(2012秋•罗田县期中)化简求值:已知:x=,求x2﹣x+1的值.79.(2013秋•崇阳县期末)阅读下面问题:;;.试求:(1)的值;(2)(n为正整数)的值.80.(2018秋•新华区校级月考)阅读下列解题过程:;请回答下列问题:(1)观察上面的解题过程,化简:①②(2)利用上面提供的解法,请计算:.81.(2019秋•长宁区期中)计算:2÷•.82.(2014春•巢湖市月考)已知x为奇数,且,求的值.83.(2013秋•婺城区校级月考)若代数式有意义,则x的取值范围是什么?84.(2019秋•景县期末)已知y=+﹣4,计算x﹣y2的值.85.(2018春•黄冈期中)若a,b为实数,a=+3,求.86.(2013秋•仪征市期末)某同学作业本上做了这么一道题:“当a=时,试求a+的值”,其中是被墨水弄污的,该同学所求得的答案为,请你判断该同学答案是否正确,说出你的道理.87.(2019秋•兰考县期中)若a,b是一等腰三角形的两边长,且满足等式,试求此等腰三角形的周长.88.(2018春•罗平县期末)已知实数a,b,c在数轴上的位置如图所示,化简|a|﹣+﹣.89.(2019春•黄石期中)已知a,b,c为实数且c=,求代数式c2﹣ab的值.90.(2011秋•东台市校级期中)(1)化简:•(﹣4)÷(2)已知x=﹣1,求x2+3x﹣1的值.91.(2013•金湾区一模)观察下列各式及证明过程:(1);(2);(3).验证:;.a.按照上述等式及验证过程的基本思想,猜想的变形结果并进行验证;b.针对上述各式反映的规律,写出用n(n≥1的自然数)表示的等式,并验证.92.(2014春•陕县校级月考)已知:x=,求x2+的值.93.(2017春•江津区期中)已知x=﹣2,y=+2,求:(1)x2y+xy2;(2)+的值.94.(2019春•潮南区期末)已知a=,求的值.95.(2019春•鞍山期末)已知:,,求代数式x2﹣xy+y2值.96.(2015春•饶平县期末)先化简,再求值:•,其中.97.(2017春•黄冈期中)化简求值:,求的值.98.(2014春•霸州市期末)先化简,后求值:,其中.99.(2019春•襄州区期末)先化简,再求值:(+b),其中a+b=2.100.(2015春•重庆校级期末)先化简,再求值.,其中.参考答案与解析一、选择题(共40小题)1.(2018春•宿松县期末)在下列各式中,一定是二次根式的是()A.B.C.D.【知识考点】二次根式的定义.【思路分析】根据二次根式的定义作出选择:式子(a≥0)叫做二次根式.【解答过程】解:A、是三次根式;故本选项符合题意;B、被开方数﹣10<0,不是二次根式;故本选项不符合题意;C、被开方数a2+1>0,符合二次根式的定义;故本选项符合题意;D、被开方数a<0时,不是二次根式;故本选项不符合题意;故选:C.【总结归纳】本题主要考查了二次根式的定义.式子(a≥0)叫做二次根式,特别注意a≥0,a是一个非负数.2.(2018秋•漳州期末)下列代数式能作为二次根式被开方数的是()A.3﹣πB.a C.a2+1 D.2x+4【知识考点】二次根式的定义.【思路分析】直接利用二次根式的定义分别分析得出答案.【解答过程】解:A、3﹣π<0,则3﹣π不能作为二次根式被开方数,故本选项不符合题意;B、a的符号不能确定,则a不能作为二次根式被开方数,故本选项不符合题意;C、a2+1一定大于0,能作为二次根式被开方数,故本选项符合题意;D、2x+4的符号不能确定,则a不能作为二次根式被开方数,故本选项不符合题意;故选:C.【总结归纳】此题主要考查了二次根式的定义,正确把握二次根式的定义是解题关键.3.(2019春•徐州期末)下列计算正确的是()A.B.C.D.【知识考点】二次根式的加减法.【思路分析】结合选项根据二次根式的加减法的运算法则求解即可.【解答过程】解:A、﹣=2﹣=,故本选项符合题意;B、+≠,故本选项不符合题意;C、3﹣=2≠3,故本选项不符合题意;D、3+2≠5,故本选项不符合题意.故选:A.【总结归纳】本题考查了二次根式的加减法,解答本题的关键是掌握其运算法则:二次根式相加减,先把各个二次根式化成最简二次根式,再把被开方数相同的二次根式进行合并,合并方法为系数相加减,根式不变.4.(2018春•黔南州期末)下列运算正确的是()A.2+=2B.5﹣=5 C.5+=6D.+2=3【知识考点】二次根式的加减法.【思路分析】原式各项合并得到结果,即可做出判断.【解答过程】解:A、2+不能合并,故本选项不符合题意;B、5﹣=4,故本选项不符合题意;C、5+=6,故本选项符合题意;D、+2不能合并,故本选项不符合题意,故选:C.【总结归纳】此题考查了二次根式的加减法,熟练掌握运算法则是解本题的关键.5.(2017春•汇川区校级期中)若,则x的值等于()A.4 B.±2 C.2 D.±4【知识考点】二次根式的加减法.【思路分析】方程左边化成最简二次根式,再解方程.【解答过程】解:原方程化为:=10,合并得:=10∴=2,即2x=4,∴x=2.故选:C.【总结归纳】本题考查了二次根式的加减法.掌握二次根式的加减运算法则是解题的关键,先化为最简二次根式,再将被开方数相同的二次根式进行合并.解无理方程,需要方程两边平方,注意检验算术平方根的结果为非负数.6.(2018春•阆中市期末)若的整数部分为x,小数部分为y,则的值是()A.B.C.1 D.3【知识考点】二次根式的加减法.【思路分析】因为的整数部分为1,小数部分为﹣1,所以x=1,y=﹣1,代入计算即可.【解答过程】解:∵的整数部分为1,小数部分为﹣1,∴x=1,y=﹣1,∴=﹣(﹣1)=1.故选:C.【总结归纳】关键是会表示的整数部分和小数部分,再二次根式的加减运算,即将被开方数相同的二次根式进行合并.7.(2019春•万年县期中)把根号外的因式化到根号内:﹣a=()A.B.C.﹣D.【知识考点】二次根式的性质与化简.【思路分析】根据被开方数是非负数,可得a的取值范围,根据二次根式的性质,可得答案.【解答过程】解:由被开方数是非负数,得﹣a≥0.﹣a=×=,故选:B.【总结归纳】本题考查了二次根式的性质与化简,利用被开方数是非负数得出a的取值范围是解题关键.8.(2019春•陆川县期末)下列等式正确的是()A.B.C.D.【知识考点】二次根式的性质与化简.【思路分析】根据二次根式的性质1和性质2逐一判断即可得.【解答过程】解:A.=2,故本选项不符合题意;B.()2=2,故本选项符合题意;C.﹣=﹣2,故本选项不符合题意;D.(﹣)2=2,故本选项不符合题意;故选:B.【总结归纳】本题主要考查二次根式的性质与化简,解题的关键是掌握二次根式的性质1与性质2.9.(2017春•硚口区期中)若=4﹣b,则b满足的条件是()A.b>4 B.b<4 C.b≥4 D.b≤4【知识考点】二次根式的性质与化简.【思路分析】根据二次根式的性质列出不等式,解不等式即可.【解答过程】解:∵=4﹣b,∴4﹣b≥0,解得,b≤4,故选:D.【总结归纳】本题考查的是二次根式的化简,掌握二次根式的性质:=|a|是解题的关键.10.(2016秋•开福区校级期末)若x<0,则的结果是()A.0 B.﹣2 C.0或﹣2 D.2【知识考点】二次根式的性质与化简.【思路分析】根据二次根式的意义化简.【解答过程】解:若x<0,则=﹣x,∴===2,故选:D.【总结归纳】本题考查了二次根式的性质与化简.二次根式规律总结:当a≥0时,=a;当a≤0时,=﹣a.11.(2019春•中山市期末)下列运算结果正确的是()A.=﹣3 B.(﹣)2=2 C.÷=2 D.=±4【知识考点】二次根式的性质与化简;二次根式的乘除法.【思路分析】直接利用二次根式的性质分别分析得出答案.【解答过程】解:A、=3,故本选项不符合题意;B、(﹣)2=2,故本选项符合题意;C、÷=,故本选项不符合题意;D、=4,故本选项不符合题意;故选:B.【总结归纳】此题主要考查了二次根式的性质与化简,正确化简二次根式是解题关键.12.(2019•鄂州模拟)把根号外的因式移入根号内得()A.B.C.D.【知识考点】二次根式的乘除法.【思路分析】根据二次根式的性质及二次根式成立的条件解答.【解答过程】解:∵成立,∴﹣>0,即m<0,∴原式=﹣=﹣.故选:D.【总结归纳】正确理解二次根式乘法、积的算术平方根等概念是解答问题的关键.二次根式成立的条件:被开方数大于等于0,含分母的分母不为0.13.化简的结果是()A.﹣B.﹣C.﹣D.﹣【知识考点】二次根式的乘除法.【思路分析】直接进行分母有理化即可求解.【解答过程】解:原式===﹣.故选:C.【总结归纳】本题考查了二次根式的乘除法,解答本题的关键是进行分母有理化.14.(2018春•郯城县期中)已知a=+,b=,则a与b的关系是()A.a=b B.ab=1 C.a=﹣b D.ab=﹣5【知识考点】分母有理化.【思路分析】根据平方差公式,可分母有理化,根据实数的大小比较,可得答案.【解答过程】解:b===+,a=+,故选:A.【总结归纳】本题考查了分母有理化,利用平方差公式将分母有理化是解题关键.15.(2018春•罗庄区期末)已知:a=,b=,则a与b的关系是()A.相等B.互为相反数C.互为倒数D.平方相等【知识考点】实数的性质;分母有理化.【思路分析】求出ab的乘积是多少,即可判断出a与b的关系.【解答过程】解:∵ab=×==1,∴a与b互为倒数.故选:C.【总结归纳】此题主要考查了分母有理化的方法,以及实数的性质和应用,要熟练掌握,解答此题的关键是要明确:互为倒数的两个数的乘积是1.16.(2019春•凤凰县期末)下列根式中,属于最简二次根式的是()A.﹣B.C.D.【知识考点】最简二次根式.【思路分析】判定一个二次根式是不是最简二次根式的方法,就是逐个检查最简二次根式的两个条件是否同时满足,同时满足的就是最简二次根式,否则就不是.【解答过程】解:A、﹣=﹣,被开方数含分母,故本选项不符合题意;B、被开方数不含分母;被开方数不含能开得尽方的因数或因式,故本选项符合题意;C、=4,被开方数含能开得尽方的因数或因式,故本选项不符合题意;D、=2,被开方数含能开得尽方的因数或因式,故本选项不符合题意;故选:B.【总结归纳】本题考查最简二次根式的定义.根据最简二次根式的定义,最简二次根式必须满足两个条件:被开方数不含分母;被开方数不含能开得尽方的因数或因式.17.(2010春•苏州期末)下列二次根式中,最简二次根式是()A.B.C.D.【知识考点】最简二次根式.【思路分析】最简二次根式应满足的条件:①被开方数的因数是整数,因式是整式;②被开方数的因式的指数必须小于根指数2.【解答过程】解:A、不符合上述条件②,即=2,不是最简二次根式,故本选项不符合题意;B、符合上述条件,是最简二次根式,故本选项符合题意;C、不符合上述条件①,即=,不是最简二次根式,故本选项不符合题意;D、不符合上述条件②,即=|x|,不是最简二次根式,故本选项不符合题意.故选:B.【总结归纳】此题考查了最简二次根式应满足的条件.18.(2019秋•静安区月考)下列二次根式是最简二次根式的是()A.B.﹣C.D.【知识考点】最简二次根式.【思路分析】根据二次根式的性质化简,根据最简二次根式的概念判断.【解答过程】解:A、=,不是最简二次根式,故本选项不符合题意;B、,是最简二次根式,故本选项符合题意;C、=|2a+1|,不是最简二次根式,故本选项不符合题意;D、=,不是最简二次根式,故本选项不符合题意;故选:B.【总结归纳】本题考查的是最简二次根式的概念、二次根式的性质,最简二次根式的概念:(1)被开方数不含分母;(2)被开方数中不含能开得尽方的因数或因式.19.(2012秋•衡水期末)下列二次根式中,最简二次根式是()A.B.C.D.【知识考点】最简二次根式.【思路分析】判断一个二次根式是否为最简二次根式主要方法是根据最简二次根式的定义进行判断,或直观地观察被开方数的每一个因数(或因式)的指数都小于根指数2,且被开方数中不含有分母,被开方数是多项式时要先因式分解后再观察.【解答过程】解:A、=|a|,可化简,不是最简二次根式,故本选项不符合题意;B、==,可化简,不是最简二次根式,故本选项不符合题意;C、==3,可化简,不是最简二次根式,故本选项不符合题意;D、=,不能开方,符合最简二次根式的条件,故本选项符合题意.故选:D.【总结归纳】在判断最简二次根式的过程中要注意:(1)在二次根式的被开方数中,只要含有分数或小数,就不是最简二次根式;(2)在二次根式的被开方数中的每一个因式(或因数),如果幂的指数大于或等于2,也不是最简二次根式.20.(2017秋•路北区期末)下列二次根式中可以和相加合并的是()A.B.C.D.【知识考点】同类二次根式.【思路分析】先化简二次根式,再根据被开方数相同进行解答即可.【解答过程】解:A、不能与合并,故本选项不符合题意;B、=3,可以与合并,故本选项符合题意;C、=,不能与合并,故本选项不符合题意;D、=2,不能与合并,故本选项不符合题意;故选:B.【总结归纳】本题考查了同类二次根式,掌握同类二次根式的定义是解题的关键.21.(2019秋•闵行区校级月考)下列说法中,正确的是()A.被开方数不同的二次根式一定不是同类二次根式B.只有被开方数完全相同的二次根式才是同类二次根式C.同类二次根式一定都是最简二次根式D.两个最简二次根式不一定是同类二次根式【知识考点】同类二次根式.【思路分析】根据同类二次根式的概念判断.【解答过程】解:A、被开方数不同的二次根式可以是同类二次根式,故本选项不符合题意;B、化简后被开方数完全相同的二次根式才是同类二次根式,故本选项不符合题意;C、同类二次根式不一定都是最简二次根式,故本选项不符合题意;D、两个最简二次根式不一定是同类二次根式,故本选项符合题意;故选:D.【总结归纳】本题考查的是同类二次根式的概念,把几个二次根式化为最简二次根式后,如果它们的被开方数相同,就把这几个二次根式叫做同类二次根式.22.(2017秋•中江县期末)下列二次根式中,能通过加减运算与合并为一个二次根式的是()A.B.C.D.【知识考点】同类二次根式.【思路分析】根据同类二次根式的定义逐个判断即可.【解答过程】解:=2,A、不能和合并为一个二次根式,故本选项不符合题意;B、能和合并为一个二次根式,故本选项符合题意;C、不能和合并为一个二次根式,故本选项不符合题意;D、=5不能和合并为一个二次根式,故本选项不符合题意;故选:B.【总结归纳】本题考查了同类二次根式,能熟记同类二次根式的定义是解此题的关键.23.(2018春•徐汇区校级期末)如果+有意义,那么代数式|x﹣1|+的值为()A.±8 B.8C.与x的值无关D.无法确定【知识考点】二次根式有意义的条件;二次根式的性质与化简.【思路分析】首先求出x的取值范围,再利用绝对值以及二次根式的性质化简求出即可.【解答过程】解:∵+有意义,∴x﹣1≥0,9﹣x≥0,解得:1≤x≤9,∴|x﹣1|+=x﹣1+9﹣x=8,故选:B.【总结归纳】本题主要考查了二次根式与绝对值的性质,正确化简二次根式是解题关键.24.(2018秋•织金县期末)如果y=+2,那么(﹣x)y的值为()A.1 B.﹣1 C.±1 D.0【知识考点】二次根式有意义的条件.【思路分析】直接利用二次根式的性质得出x,y的值,进而得出答案.【解答过程】解:∵y=+2,∴1﹣x≥0,x﹣1≥0,解得:x=1,故y=2,则(﹣1)2=1.故选:A.【总结归纳】此题主要考查了二次根式有意义的条件,正确得出x的值是解题关键.25.(2015秋•陕西月考)a,b的位置如图,则下列各式有意义的是()A.B.C.D.【知识考点】数轴;二次根式有意义的条件.【思路分析】根据二次根式中的被开方数必须是非负数,否则二次根式无意义.【解答过程】解:在数轴上,右边的数总大于左边的数,∴a>b,即a﹣b>0,根据二次根式的性质,被开方数大于等于0,可知二次根式有意义.故选:B.【总结归纳】本题主要考查了二次根式的意义和性质,掌握和理解二次根式的概念和性质是解题的关键.26.(2018•荔湾区模拟)若代数式有意义,则实数x的取值范围是()A.x≥﹣2 B.x≤﹣2 C.x>﹣2 D.x<﹣2【知识考点】二次根式有意义的条件.【思路分析】直接利用二次根式有意义的条件分析得出答案.【解答过程】解:代数式有意义,故x+2>0,解得:x>﹣2.故选:C.【总结归纳】此题主要考查了二次根式有意义的条件,正确把握定义是解题关键.27.(2014•东丽区三模)若实数a,b满足+=3,﹣=3k,则k的取值范围是()A.﹣3≤k≤2 B.﹣3≤k≤3 C.﹣1≤k≤1 D.k≥﹣1【知识考点】二次根式有意义的条件.【思路分析】依据二次根式有意义的条件即可求得k的范围.【解答过程】解:若实数a,b满足+=3,又有≥0,≥0,故有0≤≤3 ①,0≤≤3,则﹣3≤﹣≤0 ②①+②可得﹣3≤﹣≤3,又有﹣=3k,即﹣3≤3k≤3,化简可得﹣1≤k≤1.故选:C.【总结归纳】主要考查了二次根式的意义和性质.概念:式子(a≥0)叫二次根式.性质:二次根式中的被开方数必须是非负数,否则二次根式无意义.28.(2012秋•洪湖市期中)下列各式,不论x为任何数都没有意义的是()A.B.C.D.【知识考点】二次根式有意义的条件.【思路分析】根据有理数的性质以及平方数非负数对各选项分析判断后利用排除法求解.【解答过程】解:A、x≤0时,﹣6x≥0,有意义,故本选项不符合题意;B、x=0时,﹣x2=0,有意义,故本选项不符合题意;C、x为任何数,﹣x2﹣1≤﹣1,无意义,故本选项符合题意;D、﹣x2≥﹣1时,﹣x2+1≥0,有意义,故本选项不符合题意.故选:C.【总结归纳】本题考查了二次根式有意义的条件,判断出各选项中被开方数的正负情况是解题的关键.29.(2018秋•高碑店市期末)下列运算中正确的是()A.﹣=B.2+3=6C.=D.(+1)(﹣1)=3【知识考点】二次根式的混合运算.【思路分析】根据二次根式的运算法则对每一项分别进行判断,即可得出正确答案.【解答过程】解:A、﹣=2﹣=,故本选项不符合题意;B、2+3=5,故本选项不符合题意;C、÷=,故本选项符合题意;D、(+1)(﹣1)=2﹣1=1,故本选项不符合题意;故选:C.【总结归纳】本题考查了二次根式的运算,关键是熟练掌握二次根式的运算法则,注意把二次根式进行化简.30.(2016春•杭州校级期中)下列运算正确的是()A.2﹣=1B.(﹣)2=2C.=﹣=3﹣2=1D.=±11【知识考点】二次根式的混合运算.【思路分析】根据二次根式混合运算法则,一一判断即可.【解答过程】解:A、2﹣=,故本选项不符合题意;B、(﹣)2=2,故本选项符合题意;C、==,故本选项不符合题意;D、=11,故本选项不符合题意;故选:B.【总结归纳】本题考查二次根式的混合运算,乘法公式等知识,解题的关键是熟练掌握二次根式的化简以及混合运算法则,属于中考常考题型.31.(2019春•阜阳期中)(2﹣)2018(2+)2019的值为()A.﹣1 B.2C.﹣2D.2+【知识考点】二次根式的混合运算.【思路分析】先利用积的乘方得到原式=[(﹣2)(+2)]2018•(+2),然后根据平方差公式计算.【解答过程】解:(2﹣)2018(2+)2019=[(﹣2)(+2)]2018(+2)=(5﹣4)2018(+2)=1×(+2)=2+.故选:D.【总结归纳】本题考查了二次根式的混合运算:先把二次根式化为最简二次根式,然后合并同类二次根式即可.在二次根式的混合运算中,如能结合题目特点,灵活运用二次根式的性质,选择恰当的解题途径,往往能事半功倍.32.(2015•钦州)对于任意的正数m、n定义运算※为:m※n=,计算(3※2)×(8※12)的结果为()A.2﹣4B.2 C.2D.20【知识考点】二次根式的混合运算.【思路分析】根据题目所给的运算法则进行求解.【解答过程】解:∵3>2,∴3※2=﹣,∵8<12,∴8※12=+=2×(+),∴(3※2)×(8※12)=(﹣)×2×(+)=2.故选:B.【总结归纳】本题考查了二次根式的混合运算,解答本题的关键是根据题目所给的运算法则求解.33.(2018秋•醴陵市期末)已知a=3+,b=3﹣,则代数式的值是()A.24 B.±2C.2D.2【知识考点】二次根式的化简求值.【思路分析】首先把原式变为,再进一步代入求得答案即可.【解答过程】解:∵a=3+,b=3﹣,∴a+b=6,ab=4,∴===2.故选:C.【总结归纳】此题考查二次根式的化简求值,抓住式子的特点,灵活利用完全平方公式变形,使计算简便.34.(2015•蓬溪县校级模拟)已知a﹣b=2+,b﹣c=2﹣,则a2+b2+c2﹣ab﹣bc﹣ac的值为()A.10B.12C.10 D.15【知识考点】二次根式的化简求值.。
一、选择题1.下列计算正确的是()A.326a a =a ⋅ B.441b b ÷=C.5510x +x =x D.78y y=y ⋅2.化简()42a a ⋅-的结果是()A.-6a B.6a C.8a D.-8a 3.若⋅=m 35a a a ,则m 的值为()A.1B.2C.3D.44.计算()3062a a a ⋅⋅等于()A.11a B.12a C.14a D.36a 5.32018的末位数字是()A.1 B.3 C.7 D.96.下列计算错误的是()A.3a·2b=5ab B.-a 2·a=-a 3C.()()936-x -x =x ÷ D.()2362a 4a -=二、填空题7.若x x a 2,b 3==,则()3xab =.8.计算:|-3|+(π+1)0-4=________.9.计算82017×(-0.125)2018=________.10.已知x=y+4,代数式x 2-2xy+y 2-25的值为________.11.若6a =5,6b =8,则36a-b =________.12.在实数范围内分解因式:x 4-4=.三.解答题:13.⑴.()()433aa -⋅-⑵.2332341x yz xz xy z 233⎛⎫⎛⎫⎛⎫-⋅-⋅ ⎪ ⎪ ⎪⎝⎭⎝⎭⎝⎭14.化简求值:⑴.()()()2a b a b a b +-++,其中a=3,b=-13.15.将下列各式因式分解⑴a 4-16⑵212()4()a b x y ab y x ---16.已知:2226100x x y y ++-+=,求,x y 的值.一、选择题1.下列计算正确的是()A.()()3242ab 4ab 2a b⋅-=B.534215a b c 15a b=3b c-÷C.()()3233xy x y x y ⋅-=-D.()()2323ab 3a b 9a b -⋅-=2.一个长方体的长、宽、高分别为3x-4,2x 和x,则它的体积等于()A.()313x 42x=3x 4x2-⋅-B.21x 2x=x 2⋅C.()323x-42x x=6x 8x ⋅⋅-D.()23x-42x=6x8x⋅-3.下列多项式相乘和结果为x 3-2x 2y+xy 2的是()A.()()x x y x -y + B.()22x x 2xy y ++C.()2x x y + D.()2x x -y 4.()()()2x 2x 2x 4+-+的计算结果是()A.4x 16+B.416x --C.4x 16- D.416x -5.一次课堂练习,一位同学做了4道因式分解题,你认为这位同学做得不够完整的题是()A.()222x 2xy+y x y -=-B.()22x y -xy xy x y =-C.()()22x y x y x y -=+-D.()32x x=x x 1--6.若a+b=6,a b=3,则3a 2b+3ab 2的值是()A.9B.27C.19D.54二、填空题7.若9x 2+m x y+16y 2是一个完全平方式,则m 的值是.8.若(x-4)0=1,则x 的取值范围是.9.计算:(-135)2016×(532)2015=.10.分解因式:x 2-6x 2y+9x 2y 2=.三、解答题11.计算:()()22232x x y xy y x -x y 3x y ⎡⎤--÷⎣⎦12.先化简,再求值.已知2x-y=10,求()()()222x y x y 2y x y 4y ⎡⎤+--+-÷⎣⎦的值.13.因式分解:(1)ax 2+8ax+16a;(2)()()()2222m n 2m n m n +--+-14.计算(x 2-3x+n)(x 2+mx+8)的结果中不含x 2和x 3的项,求m,n 的值《整式乘法与因式分解》练习三一、选择题1.下列计算正确的是()A.a ﹣(b ﹣c +d )=a +b +c ﹣d B.3x ﹣2x =1C.﹣x •x 2•x 4=﹣x 7D.(﹣a 2)2=﹣a 42.下列运算正确的是()A.3a+2a=a 5 B.a 2·a 3=a 6C.(a+b)(a-b)=a 2-b 2 D.(a+b)2=a 2+b 23.在①-a 5·(-a)2;②(-a 6)÷(-a 3);③(-a 2)3·(a 3)2;④[-(-a)2]5中计算结果为-a 10的有()A.①② B.③④ C.②④ D.④4.计算(﹣4a 2+12a 3b )÷(﹣4a 2)的结果是()A.1﹣3ab B.﹣3ab C.1+3ab D.﹣1﹣3ab5.若等式x 2+ax +19=(x ﹣5)2﹣b 成立,则a +b 的值为()A.16B.﹣16C.4D.﹣46.如果多项式y 2﹣4my +4是完全平方式,那么m 的值是()A.1B.﹣1C.±1D.±27..下列各式中不能用完全平方公式分解因式的是()A.-x 2+2xy-y 2 B.x 4-2x 3y+x 2y 2C.(x 2-3)2-2(3-x 2)+1D.x 2-xy+12y 28..若3x =4,9y =7,则3x-2y 的值为()A.74 B.47 C.-3 D.729.若(x+m)(x 2-3x+n)的展开式中不含x 2和x 项,则m,n 的值分别为()A.m=3,n=1 B.m=3,n=-9C.m=3,n=9 D.m=-3,n=910.已知xy =﹣3,x +y =2,则代数式x 2y +xy 2的值是()A.﹣6B.6C.﹣5D.﹣111.下列等式从左到右的变形是因式分解的是()A.2x (x +3)=2x 2+6x B.24xy 2=3x •8y2C.x 2+2xy +y 2+1=(x +y )2+1D.x 2﹣y 2=(x +y )(x ﹣y )二、填空题12.已知x 2+y 2=10,xy=3,则x+y=.13.已知10m=5,10n=7,则102m+n=.14.若x+x 1=2,则x 2+21x=.15.如果代数﹣2y 2+y﹣1的值为7,那么代数式4y 2﹣2y+5的值为__________.三、解答题16.计算:(1)()()5x 7y -35x+3-7y +(2)(x-3)(x+2)-(x+1)217.先化简,再求值:(1)已知x (x -1)-(x2-y )=-2.求222x y xy +-的值.(2)已知2410a a --=,求(1)1a a -;(2)21()a a+.18.分解因式:(1)9a 2(x﹣y)+4b 2(y﹣x)(2)x 2-4y 2-x+2y;(3)(x ﹣2)2﹣2x +4《分式》练习题一、选择题1.下列各式2b a -,x x 3+,πy +5,()1432+x ,b a b a -+)(1y x m-中,分式共有()A.1个 B.2个 C.3个 D.4个2.如果分式242--x x 的值等于0,那么()A.2±=x B.2=x C.2-=x D.2≠x 3.与分式ba ba --+-相等的是()A.ba ba -+ B.ba ba +-C.ba b a -+-D.ba ba +--4.若把分式xyyx 2+中的x 和y 都扩大3倍,那么分式的值()A.扩大3倍B.不变C.缩小3倍D.缩小6倍5.化简2293mmm --的结果是()A.3+m m B.3+-m m C.3-m m D.mm -36.下列算式中,你认为正确的是()A.1-=---a b a b a b B.11=⨯÷b aa b C.3131aa-=D.7.甲乙两个码头相距s 千米,某船在静水中的速度为a 千米/时,水流速度为b 千米/时,则船一次往返两个码头所需的时间为()小时.A.ba s+2 B.b a s -2 C.bs a s + D.ba sb a s -++8.甲、乙两班学生参加植树造林,已知甲班每天比乙班多植5棵树,甲班植80棵树所用的天数与乙班植70棵树所用的天数相等,若设甲班每天植树x 棵,则根据题意得出的方程是()A.80705x x=-B.80705xx =+C.80705x x=+D.80705x x =-9.用科学计数法表示的数-3.6×10-4写成小数是()A、0.00036B、-0.0036C、-0.00036D、-3600010.若三角形三边分别为a 、b 、c ,且分式ca b bc ac ab --+-2的值为0,则此三角形一定是()A.不等边三角形B.腰与底边不等的等腰三角形C.等边三角形D.直角三角形二、填空题:11.当x ________时,分式xx2121-+有意义.12.利用分式的基本性质填空:(1)())0(,10 53≠=a axyxya (2)()1422=-+a a 13.计算:.14.计算:abba b ab -÷-)(2=.15.分式abb a 65,43,322的最简公是.16.当x=时,分式xx +-51的值等于21.17.生物学家发现一种病毒的长度约ba b a b a b a +=--⋅+1)(1222=+-+3932a a a0.000043毫米,用科学记数法表示为____米.18.已知311=-yx,则分式yxy x y xy x ---+2232的值为.三、解答题19.计算:(1)xy y x y x y x -+-+-+2122(2)22222)(aba ab b ab a a ab -⋅+-÷-(3)1111-÷⎪⎭⎫ ⎝⎛--x x x (4)()()322322b a c ab ---÷20.先化简,再求值:xx x x x x 11132-⋅⎪⎭⎫ ⎝⎛+--,其中2=x .四、解分式方程21.(1)271326x x x +=++(2)11222xx x-=---五、解答题22.已知x 为整数,且918232322-++-++x x x x 为整数,求所有符合条件的x 的值.23.某工人原计划在规定时间内恰好加工1500个零件,改进了工具和操作方法后,工作效率提高为原来的2倍,因此加工1500个零件时,比原计划提前了5小时,问原计划每小时加工多少个零件?24.学校在假期内对教室内的黑板进行整修,需在规定期限内完成.如果由甲工程小组做,恰好如期完成;如果由乙工程小组做,则要超过规定期限3天.结果两队合作了2天,余下部分由乙组独做,正好在规定期限内完成,问规定期限是几天?《分式》计算专项练习一、计算题1.________;________.2.约分:(1)3.化简:4.化简:5.计算:6.计算:7.解分式方程:.二、解答题8.先化简,再求值:从不等式组的解集中选一个适当的整数代入求值.9.先化简,再求值:,其中,.10.先化简,然后从,,,中选一个合适的数作为的值代入求值.《二次根式》练习题一一、选择题1.若式子在实数范围内有意义,则的取值范围是()A.且B.C.且D.2.下列各式中,一定是二次根式的是()B.C. D.3.下列二次根式是最简二次根式的是()A B. C. D.4.下列计算正确的是()A. B.C. D.5.若,代数式的值为,则当时,代数式的值为()A. B. C. D.二、填空题(本大题共5小题,共15.0分)6.若,则.7.若实数,满足:,则______.8.已知是整数,则满足条件的最小正整数为______.9.已知,则的平方根是______.10.若在实数范围内有意义,则实数的取值范围是______.11.计算:12.计算:.13.计算:14.如图,数轴上点表示数,点表示数,点表示数,是最小的正整数,、满足,表示点、之间的距离,且.______,______;若将数轴折叠,使得点与点重合,则点与数表示的点重合;点、、在数轴上运动,若点以每秒个单位长度的速度向左运动,同时,点和点分别以每秒个单位长度和个单位长度的速度向右运动,假设秒钟过后,若,点与点之间的距离表示为,点与点之间的距离表示为则______,______用含的代数式表示在的条件下,请问:的值是否随着时间的变化而改变?若变化,请说明理由;若不变,请求其值.14.某区组织环卫工作人员开展草坪种植,若环卫工人在一块长方形的土地上种植草坪,已知该长方形土地的长为、宽为求该长方形土地的周长;若在该长方形土地上种植造价为每平方米元的草坪,求在该长方形土地上全部种植草坪的总费用提示:结果保留整数,.《二次根式》练习题二一、选择题 1.将根号外的因式移到根号内为.()A.B.C.D.2.若二次根式有意义,且关于的分式方程有正数解,则符合条件的整数的和是()A.B. C.D.3.已知,是等腰三角形的两边长,且,满足,则此等腰三角形的周长为()A. B.或C.D.或 4.等式成立的的取值范围在数轴上可表示为()A.B.C.D.5.已知,则的值为()A.B.C.D.二、填空题 6.已知,则.7.已知,为实数,且满足,则______.8.若是有理数,则的最大整数值是9.若,则____.10.计算题:;(2).11.计算:12.交通警察通常根据刹车后车轮滑过的距离估计车辆行驶的速度,所用的经验公式是,其中表示车速单位:,表示刹车后车轮滑过的距离单位:,表示摩擦因数.在某次交通事故调查中,测得,,肇事汽车的车速大约是多少?结果保留根号三、解答题13.观察下列一组等式:第个等式:;第个等式:;第个等式:;第个等式:;根据以上规律,解决下列问题:写出第个等式;写出你猜想的第个等式用含的式子表示,并证明你的结论。