最新不等式提高题专项练习
- 格式:doc
- 大小:440.00 KB
- 文档页数:5
不等式练习题一、基本不等式1. 已知a > b,求证:a + c > b + c。
2. 已知x > 3,求证:x^2 > 9。
3. 已知0 < x < 1,求证:x^3 < x。
4. 已知a, b均为正数,求证:a^2 + b^2 > 2ab。
5. 已知|x| > |y|,求证:x^2 > y^2。
二、一元一次不等式1. 解不等式:3x 7 > 2x + 4。
2. 解不等式:5 2(x 3) ≤ 3x 1。
3. 解不等式:2(x 1) 3(x + 2) > 7。
4. 解不等式:4 3(x 2) ≥ 2x + 5。
5. 解不等式:5(x 3) + 2(2x + 1) < 7x 9。
三、一元二次不等式1. 解不等式:x^2 5x + 6 > 0。
2. 解不等式:2x^2 3x 2 < 0。
3. 解不等式:x^2 4x + 4 ≤ 0。
4. 解不等式:3x^2 + 4x 4 > 0。
5. 解不等式:x^2 + 5x 6 < 0。
四、分式不等式1. 解不等式:x / (x 1) > 2。
2. 解不等式:1 / (x + 3) 1 / (x 2) ≤ 0。
3. 解不等式:(x 1) / (x + 1) < 0。
4. 解不等式:(2x + 3) / (x 4) ≥ 1。
5. 解不等式:(3x 2) / (x^2 5x + 6) > 0。
五、含绝对值的不等式1. 解不等式:|x 2| > 3。
2. 解不等式:|2x + 1| ≤ 5。
3. 解不等式:|3x 4| < 2。
4. 解不等式:|x + 3| |x 2| > 1。
5. 解不等式:|x 5| + |x + 1| < 6。
六、综合应用题1. 已知不等式组:$\begin{cases} 2x 3y > 6 \\ x + 4y ≤ 8 \end{cases}$,求x的取值范围。
不等式练习题(精选5篇)第一篇:不等式练习题不等式练习题(二)1.已知两个正数a、b的等差中项是5,则a、b的等比中项的最大值为A.10B.25C.502.若a>b>0,则下面不等式正确的是()A.D.100 222aba+ba+b2ab<<abB.<<ab a+b22a+ba+b2ab2aba+bC.D.<ab<<ab<2a+ba+b2a13.已知不等式(x+y)(+)≥9对任意正实数x,y恒成立,则正实数a的最小值是 xy⎧x≥-1⎪4.若变量x,y满足约束条件⎨y≥x 则z=2x+y的最大值为⎪3x+2y≤5⎩A.1B.2C.3D.4⎧x+3y-3≥0,⎪5.若实数x,y满足不等式组⎨2x-y-3≤0,且x+y的最大值为9,则实数m=⎪x-my+1≥0,⎩A.-2B.-1C.1D.26.若对任意x>0,≤a恒成立,则a的取值范围是__________.x+3x+12ab7若实数a,b满足a+b=2,则3+3的最小值为_______。
8.某公司仓库A存有货物12吨,仓库B存有货物8吨,现按7吨,8吨和5吨把货物分别调运给甲,乙,丙三个商店,从仓库A运货物到商店甲,乙,丙,每吨货物的运费分别为8元,6元,9元;从仓库B运货物到商店甲,乙,丙,每吨货物的运费分别为3元,4元,5元,问应该如何安排调运方案,才能使得从两个仓库运货物到三个商店的总运费最少?第二篇:均值不等式练习题均值不等式求最值及不等式证明2013/11/23题型一、均值不等式求最值例题:1、凑系数:当0<x<4时,求y=x(8-2x)的最大值。
2、凑项:已知x<51,求函数f(x)=4x-2+的最大值。
44x-5x2+7x+10(x≠-1)的值域。
3、分离:求y=x+14、整体代换:已知a>0,b>0,a+2b=1,求t=11+的最小值。
完整版)解不等式组计算专项练习60题(有答案)1.解不等式组60题参考答案:1.解:由不等式①得2a-3x+1≥0,即x≤(2a+1)/3;由不等式②得3b-2x-16≥0,即x≤(3b-16)/2.又因为a≤4<b,所以2a+1≤9,3b-16≥8,所以x的取值范围为x≤3或x≥-11/2.2.解:由不等式①得x≤-1或x≥3;由不等式②得x≤4/3或x≥2.综合起来,x的取值范围为x≤-1或x≥3,或者4/3≤x≤2.3.解:由不等式①得x>(a+1)/2;由不等式②得x0,所以a/2>(a+1)/2,所以不等式组的解集为a/2<x<(a+1)/2.4.解:由不等式①得x≥1;由不等式②得x<3.所以不等式组的解集为1≤x<3.5.解:由不等式①得x≤-2;由不等式②得x>-3.所以不等式组的解集为-3<x≤-2.6.解:由不等式①得x>-1;由不等式②得x≤2.所以不等式组的解集为-1<x≤2.7.解:由不等式①得x≤-1;由不等式②得x≥-2.所以不等式组的解集为-2≤x≤-1.8.解:由不等式①得x>-3;由不等式②得x≤1.所以不等式组的解集为-3<x≤1.9.解:由不等式①得x>-1;由不等式②得x≤4.所以不等式组的解集为-1<x≤4.10.解:由不等式①得x-3.所以不等式组的解集为-3<x<2.11.解:由不等式①得x≥1;由不等式②得x<3.所以不等式组的解集为1≤x<3.1.由不等式组的①得x≥-1,由不等式组的②得 x<4,因此不等式组的解集为 -1≤x<4.2.由不等式①得x≤3,由不等式②得 x>0,因此不等式组的解集为0<x≤3.3.解不等式①得x≥1,解不等式②得 x<4,因此不等式组的解集为1≤x<4.4.原不等式组可化为:x+45,x<-1.因此不等式组的解集为-3<x≤3.5.解不等式①得 x<5,解不等式②得x≥-2,因此不等式组的解集为 -2≤x<5.6.解不等式①得x≥1,解不等式②得 x<4,因此不等式组的解集为1≤x<4.7.解不等式①得x≥-1,解不等式②得 x<3,因此不等式组的解集为 -1≤x<3.8.解不等式①得 x<1,解不等式②得x≥-2,因此不等式组的解集为 -2≤x<1.9.解不等式①得 x>-1,解不等式②得x≤4,因此不等式组的解集为 -1<x≤4.10.解不等式①得x≥1,解不等式②得 x<4,因此不等式组的解集为1≤x<4.11.解不等式①得 x>-1,解不等式②得x≤4,因此不等式组的解集为 -1<x≤4.12.解不等式组的①得-∞<x<1,因为②中的不等式没有解,所以不等式组的解集为 -∞<x<1.13.解不等式①得x≥1,解不等式②得 x<4,因此不等式组的解集为1≤x<4.14.原不等式组可化为:x>-3,x≤3.因此不等式组的解集为-3<x≤3.15.解不等式组的①得 x<1,因为②中的不等式没有解,所以不等式组的解集为 -∞<x<1.16.解不等式①得 x<2,解不等式②得x≥-1,因此不等式组的解集为 -1≤x<2.17.解不等式①得x≥1,解不等式②得1≤x<4,因此不等式组的解集为1≤x<4.18.解不等式①得x≥-1,解不等式②得 x<3,因此不等式组的解集为 -1≤x<3.19.解不等式①得 x<1,解不等式②得x≥-2,因此不等式组的解集为 -2≤x<1.20.解不等式①得 x>-1,解不等式②得x≤4,因此不等式组的解集为 -1<x≤4.21.不等式①的解集为x≥1,不等式②的解集为 x<4,因此原不等式的解集为1≤x<4.22.解不等式①得 x<0,解不等式②得x≥3,因此原不等式无解。
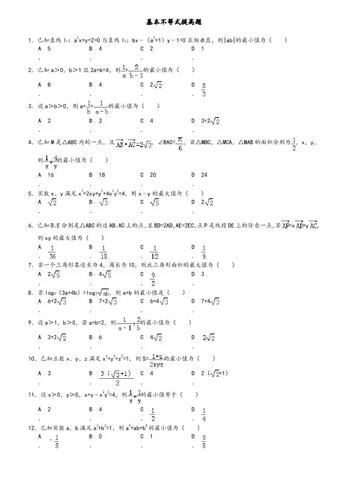
基本不等式提高题1.已知直线l1:a2x+y+2=0与直线l2:bx﹣(a2+1)y﹣1=0互相垂直,则|ab|的最小值为()A .5 B.4 C.2 D.12.已知a>0,b>1且2a+b=4,则+的最小值为()A .8 B.4 C.2D.3.设a>b>0,则a++的最小值为()A .2 B.3 C.4 D.3+24.已知M是△ABC内的一点,且,∠BAC=,若△MBC,△MCA,△MAB的面积分别为,x,y,则的最小值为()A .16 B.18 C.20 D.245.实数x、y满足x2+2xy+y2+4x2y2=4,则x﹣y的最大值为()A .B.C.D.26.已知D、E分别是△ABC的边AB、AC上的点,且BD=2AD,AE=2EC,点P是线段DE上的任意一点,若=x+y,则xy的最大值为()A .B.C.D.7.若一个三角形某边长为4,周长为10,则此三角形面积的最大值为()A .2B.4C.D.38.若log4(3a+4b)=log2,则a+b的最小值是()A .6+2B.7+2C.6+4D.7+49.设a>1,b>0,若a+b=2,则的最小值为()A .3+2B.6 C.4D.10.已知正数x、y、z满足x2+y2+z2=1,则S=的最小值为()A .3 B.C.4 D.2(+1)11.设x>0,y>0,x+y﹣x2y2=4,则的最小值等于()A .2 B.4 C.D.12.已知实数a,b满足a2+b2=1,则a4+ab+b4的最小值为()A .﹣B.0 C.1 D.13.若x,y∈R,函数f(x)=(x+y)2+(﹣y)2的最小值是()A .4 B.0 C.2 D.114.设a,b,c∈R,且a+b+c=2,a2+b2+c2=12,则c的最大值和最小值的差为()A .2 B.C.D.15.“”称为a,b,c三个正实数的“调和平均数”,若正数x,y满足“x,y,xy的调和平均数为3”,则x+2y的最小值是()A .3 B.5 C.7 D.816.若实数x、y、z满足x2+y2+z2=2,则xy+yz+zx的取值范围是()A .[﹣1,2] B.[1,2] C.[﹣1,1] D.[﹣2,2]17.已知x,y满足x≥0,x2+(y﹣2)2=2,则w=的最大值为()A .4 B.5 C.6 D.718.若k>1,a>0,则k2a2+取得最小值时,a的值为()A .1 B.C.2 D.419.已知a>0,b>0,f=,则f的最小值为()A .8 B.16 C.20 D.2520.若正数x,y满足+=1,则+的最小值为()A .1 B.4 C.8 D.1621.若正数a,b,c满足c2+4bc+2ac+8ab=8,则a+2b+c的最小值为()A .B.2C.2 D.222.设a,b>0,且2a+b=1,则2﹣4a2﹣b2的最大值是()A .+1 B.C.D.﹣123.已知实数x>0,y>0,0<λ<2,且x+y=3,则的最小值为()A .B.2 C.D.324.设△ABC的内角A,B,C所对的边长分别为a,b,c,且sin2A+sin2B+sin2C=,面积S∈[1,2],则下列不等式一定成立的是()A.(a+b)>16B.bc(b+c)>8 C.6≤abc≤12 D.12≤abc≤2425.已知点F(0,1),直线l:y=﹣1,P为平面上的动点,过点P作直线l的垂线,垂足为Q,且=•,动点P的轨迹为C,已知圆M过定点D(0,2),圆心M在轨迹C上运动,且圆M与x轴交于A、B两点,设|DA|=l1,|DB|=l2,则+的最大值为__________26.设f(x)=a2﹣2﹣b2x(ab≠0),当﹣1≤x≤1时,f(x)≥0恒成立,当取得最小值时,a=__________ 27.在△ABC中,设AD为BC边上的高,且AD=BC,b,c分别表示角B,C所对的边长,则的取值范围是__________ 28.已知x,y,z∈R+,且x+4y+9z=1,则++的最小值是__________29.已知点A(1,﹣1),B(4,0),C(2,2),平面区域D是所有满足=+μ(1<λ≤a,1<μ≤b)的点P(x,y)组成的区域.若区域D的面积为8,则4a+b的最小值为 __________30.设实数a,b,c,d满足ab=c2+d2=1,则(a﹣c)2+(b﹣d)2的最小值为__________参考答案1.(2015•嘉兴一模)已知直线l1:a2x+y+2=0与直线l2:bx﹣(a2+1)y﹣1=0互相垂直,则|ab|的最小值为()A .5 B.4 C.2 D.1考点:基本不等式;直线的一般式方程与直线的垂直关系.专题:计算题.分析:由题意可知直线的斜率存在,利用直线的垂直关系,求出a,b关系,然后求出ab的最小值.解答:解:∵直线l1与l2的斜率存在,且两直线垂直,∴a2b﹣(a2+1)=0,∴b=>0,当a>0时,|ab|=ab=a+≥2;当a<0时,|ab|=﹣ab=﹣a﹣≥2,综上,|ab|的最小值为2.故选C点评:此题考查了直线的一般式方程与直线的垂直关系,以及基本不等式的运用,熟练掌握直线垂直时满足的关系是解本题的关键.2.(2015•重庆模拟)已知a>0,b>1且2a+b=4,则+的最小值为()A .8 B.4 C.2D.考点:基本不等式.专题:导数的综合应用.分析:a>0,b>1且2a+b=4,由b=4﹣2a>0,解得0<a<2.则+==f(a),利用导数研究其单调性极值与最值即可得出.解答:解:∵a>0,b>1且2a+b=4,∴b=4﹣2a>1,解得0<a<.则+===f(a),∴f′(a)=+=,当时,f′(a)<0,此时函数单调递减;当>时,f′(a)>0,此时函数单调递增.∴当a=时,f(a)取得极小值即最小值,=.∴+的最小值为.故选:D.点评:本题考查了导数研究其单调性极值与最值,考查了推理能力与计算能力,属于中档题.3.(2015•哈尔滨校级二模)设a>b>0,则a++的最小值为()A .2 B.3 C.4 D.3+2考点:基本不等式.专题:不等式.分析:由题意可得a﹣b>0,a++=(a﹣b)+++b,由基本不等式可得.解答:解:解:∵a>b>0,∴a﹣b>0,∴a++=(a﹣b)+++b≥4=4当且即当(a﹣b)===b即a=2且b=1时取等号,∴a++的最小值为:4故选:C.点评:本题考查基本不等式的应用,注意检验等号成立的条件,式子的变形是解题的关键.4.(2015•烟台一模)已知M是△ABC内的一点,且,∠BAC=,若△MBC,△MCA,△MAB的面积分别为,x,y,则的最小值为()A .16 B.18 C.20 D.24考点:基本不等式;平面向量数量积的运算.专题:不等式的解法及应用;平面向量及应用.分析:由,∠BAC=,利用数量积运算可得,即bc=4.利用三角形的面积计算公式可得S△ABC==1.已知△MBC,△MCA,△MAB的面积分别为,x,y.可得,化为x+y=.再利用基本不等式==即可得出.解答:解:∵,∠BAC=,∴,∴bc=4.∴S△ABC===1.∵△MBC,△MCA,△MAB的面积分别为,x,y.∴,化为x+y=.∴===18,当且仅当y=2x=时取等号.故的最小值为18.故选:B.点评:本题考查了数量积运算、三角形的面积计算公式、基本不等式等基础知识与基本技能方法,属于中档题.5.(2015•上海二模)实数x、y满足x2+2xy+y2+4x2y2=4,则x﹣y的最大值为()A .B.C.D.2考点:基本不等式.专题:三角函数的求值.分析:x2+2xy+y2+4x2y2=4,变形为(x+y)2+(2xy)2=4,设x+y=2cosθ,2xy=2sinθ,θ∈[0,2π).化简利用三角函数的单调性即可得出.解答:解:x2+2xy+y2+4x2y2=4,变形为(x+y)2+(2xy)2=4,设x+y=2cosθ,2xy=2sinθ,θ∈[0,2π).则(x﹣y)2=(x+y)2﹣4xy=4cos2θ﹣4sinθ=5﹣4(sinθ+)2≤5,∴x﹣y.故选:C.点评:本题考查了平方法、三角函数代换方法、三角函数的单调性,考查了推理能力与计算能力,属于中档题.6.(2015•河南一模)已知D、E分别是△ABC的边AB、AC上的点,且BD=2AD,AE=2EC,点P是线段DE上的任意一点,若=x+y,则xy的最大值为()A .B.C.D.考点:基本不等式;平面向量的基本定理及其意义.专题:不等式的解法及应用;平面向量及应用.分析:如图所示,,.由于点P是线段DE上的任意一点,利用向量共线定理可得:存在实数k使得=k+,与=x+y比较可得2x+y=,再利用基本不等式的性质即可得出.解答:解:如图所示,,.∵点P是线段DE上的任意一点,∴存在实数k使得=k+,与=x+y比较可得:,∴2x+y=,∴,化为xy≤,当且仅当2x=y=时取等号.故选:B.点评:本题考查了向量共线定理、共面向量基本定理、基本不等式的性质,考查了推理能力与计算能力,属于中档题.7.(2015•湖南一模)若一个三角形某边长为4,周长为10,则此三角形面积的最大值为()A .2B.4C.D.3考点:基本不等式.专题:解三角形.分析:设三角形另外两边分别为a,b.可得a+b=6.由余弦定理可得:42=a2+b2﹣2abcosC,化为,利用=5ab﹣25,再利用基本不等式的性质即可得出.解答:解:设三角形另外两边分别为a,b.则4+a+b=10,∴a+b=6.由余弦定理可得:42=a2+b2﹣2abcosC,∴16=(a+b)2﹣2ab﹣2abcosC,化为,∵,∴==5ab﹣25=20,当且仅当a=b=3时取等号.∴.故选:A.点评:本题考查了三角形的周长及其面积计算公式、余弦定理、基本不等式的性质,考查了推理能力与计算能力,属于难题.8.(2014•重庆)若log4(3a+4b)=log2,则a+b的最小值是()A .6+2B.7+2C.6+4D.7+4考点:基本不等式;对数的运算性质.专题:函数的性质及应用.分析:利用对数的运算法则可得>0,a>4,再利用基本不等式即可得出解答:解:∵3a+4b>0,ab>0,∴a>0.b>0∵log4(3a+4b)=log2,∴log4(3a+4b)=log4(ab)∴3a+4b=ab,a≠4,a>0.b>0∴>0,∴a>4,则a+b=a+=a+=a+3+=(a﹣4)++7+7=4+7,当且仅当a=4+2取等号.故选:D.点评:本题考查了对数的运算法则、基本不等式的性质,属于中档题.9.(2014•淄博一模)设a>1,b>0,若a+b=2,则的最小值为()A .3+2B.6 C.4D.考点:基本不等式.专题:不等式的解法及应用.分析:变形利用基本不等式即可得出.解答:解:∵a>1,b>0,a+b=2,∴a﹣1>0,a﹣1+b=1.∴==3+=3+2.当且仅当b=(a﹣1),a+b=2,即a=,b=2﹣时取等号.∴的最小值为.故选:A.点评:本题考查了基本不等式的性质,属于基础题.10.(2015春•和平区校级月考)已知正数x、y、z满足x2+y2+z2=1,则S=的最小值为()A .3 B.C.4 D.2(+1)考点:基本不等式;二维形式的柯西不等式.专题:不等式的解法及应用.分析:由题意可得1﹣z2=x2+y2≥2xy,从而可得≥,由基本不等式和不等式的性质可得≥≥4解答:解:由题意可得0<z<1,0<1﹣z<1,∴z(1﹣z)≤()2=,当且仅当z=(1﹣z)即z=时取等号,又∵x2+y2+z2=1,∴1﹣z2=x2+y2≥2xy,当且仅当x=y时取等号,∴≥1,∴≥1,∴≥,∴≥≥4,当且仅当x=y=且z=时取等号,∴S=的最小值为4故选:C点评:本题考查基本不等式,涉及不等式的性质和配凑的方法,属中档题.11.(2015•赫章县校级模拟)设x>0,y>0,x+y﹣x2y2=4,则的最小值等于()A .2 B.4 C.D.考点:基本不等式.专题:不等式的解法及应用.分析:由x+y﹣x2y2=4可得x+y=x2y2+4,x>0,y>0.于是==xy+,再利用基本不等式即可得出.解答:解:由x+y﹣x2y2=4可得x+y=x2y2+4,x>0,y>0.∴=,当且仅当xy=2时取等号,因此的最小值等于4.故选:B.点评:本题考查了基本不等式的性质,属于基础题.12.(2014•鸠江区校级自主招生)已知实数a,b满足a2+b2=1,则a4+ab+b4的最小值为()A .﹣B.0 C.1 D.考点:基本不等式.专题:三角函数的求值.分析:由a2+b2=1,可设a=cosθ,b=sinθ,θ∈[0,2π).利用倍角公式、同角三角函数基本关系式、二次函数的单调性即可得出.解答:解:∵a2+b2=1,∴可设a=cosθ,b=sinθ,θ∈[0,2π).∴a4+ab+b4=cos4θ+cosθsinθ+sin4θ=(cos2θ+sin2θ)2﹣2sin2θcos2θ+cosθsinθ=+1=,当sin2θ=﹣1时,上式取得最小值为0.故选:B.点评:本题考查了倍角公式、同角三角函数基本关系式、二次函数的单调性,考查了转化方法,属于中档题.13.(2014•四川二模)若x,y∈R,函数f(x)=(x+y)2+(﹣y)2的最小值是()A .4 B.0 C.2 D.1考点:基本不等式.专题:计算题;不等式的解法及应用.分析:f(x)=(x+y)2+(﹣y)2表示(x,)与(﹣y,y)两点间距离的平方,则问题转化为求曲线y=上的点到y=﹣x上的点的距离的最小值的平方,由曲线的性质可求答案.解答:解:f(x)=(x+y)2+(﹣y)2表示(x,)与(﹣y,y)两点间距离的平方,则问题转化为求曲线y=上的点到y=﹣x上的点的距离的最小值的平方,而两曲线关于y=x对称,∴(1,1)或(﹣1,﹣1)到(0,0)的距离的平方即为所求,d=2=2,故选:C.点评:该题考查函数的最值问题,考查转化思想,解决该题的关键是熟练式子的几何意义并能正确转化.14.(2014•绵阳三模)设a,b,c∈R,且a+b+c=2,a2+b2+c2=12,则c的最大值和最小值的差为()A .2 B.C.D.考点:基本不等式.专题:计算题.分析:将c看成常数,求出a+b,ab,构造方程x2﹣(2﹣c)x+c2﹣2c﹣4=0,应用判别式不小于0,解出不等式,求出c的最大值和最小值,作差即可.解答:解:∵a+b+c=2,∴a+b=2﹣c.∵a2+b2+c2=12,∴(a+b)2﹣2ab+c2=12,∴(2﹣c)2﹣2ab+c2=12,∴ab=c2﹣2c﹣4.于是a,b可以看成是关于x的方程x2﹣(2﹣c)x+c2﹣2c﹣4=0的两根,∴△=(2﹣c)2﹣4(c2﹣2c﹣4)≥0,解得,﹣2≤c≤,∴c的最大值为,最小值为﹣2,即c的最大值和最小值的差为.故选C.点评:本题主要考查多元最值问题,解决的方法是将其中的一个看作常数,应用基本不等式或二次方程有实数解的条件,判别式不小于0,解出不等式.15.(2014•金华模拟)“”称为a,b,c三个正实数的“调和平均数”,若正数x,y满足“x,y,xy 的调和平均数为3”,则x+2y的最小值是()A .3 B.5 C.7 D.8考点:基本不等式.专题:综合题;不等式的解法及应用.分析:由调和平均数的定义,结合已知得到x=,再由x>0得到y>1,把x=代入x+2y,整理后利用基本不等式求最值.解答:解:由“调和平均数”定义知,x,y,xy的调和平均数为,整理得:x+y+1=xy,x=,∵x=>0,∴y>1.则x+2y=====.当且仅当2(y﹣1)=,即y=2时上式等号成立.∴x+2y的最小值是7.故选:C.点评:本题考查了基本不等式求最值,在利用调和平均数的定义结合已知得到x、y的关系后,关键在于整理变形,使得要求最小值的式子能利用基本不等式求解,是中档题.16.(2014•黄冈模拟)若实数x、y、z满足x2+y2+z2=2,则xy+yz+zx的取值范围是()A .[﹣1,2] B.[1,2] C.[﹣1,1] D.[﹣2,2]考点:基本不等式.专题:不等式的解法及应用.分析:利用(x﹣y)2+(x﹣z)2+(y﹣z)2≥0,可得x2+y2+z2≥xy+xz+yz,又(x+y+z)2=x2+y2+z2+2(xy+yz+xz)≥0,即可得出.解答:解:∵(x﹣y)2+(x﹣z)2+(y﹣z)2≥0,∴x2+y2+z2≥xy+xz+yz,∴xy+yz+zx≤2;又(x+y+z)2=x2+y2+z2+2(xy+yz+xz)≥0,∴xy+xz+yz≥=﹣1.综上可得:﹣1≤xy+xz+yz≤2.故选:A.点评:本题考查了不等式的性质和灵活应用乘法公式的能力,属于中档题.17.(2014•惠州模拟)已知x,y满足x≥0,x2+(y﹣2)2=2,则w=的最大值为()A .4 B.5 C.6 D.7考点:基本不等式.专题:不等式的解法及应用.分析:首先将w的式子展开成3+,要求w的最大值,即求的最大值,运用不等式x2+y2≥2xy,当且仅当x=y时取等号,结合条件x2+(y﹣2)2=2,求出x,y,从而得到最大值.解答:解:w=可化为w=3+,要求w=的最大值,即求的最大值,∵x≥0,x2+(y﹣2)2=2,∴x≥0,2﹣≤y≤2,若x=0,则y=2,w=3,若x≥0,y=0,则不成立,∴x>0,y>0.∵x2+y2≥2xy,∴≤1,当且仅当取等号,即x=y=1时,w=取最大值,且为4.故选:A.点评:本题主要考查基本不等式及变形的运用,应注意等号成立的条件,即取最值的条件,有时要检验.18.(2014•武清区三模)若k>1,a>0,则k2a2+取得最小值时,a的值为()A .1 B.C.2 D.4考点:基本不等式.专题:不等式的解法及应用.分析:由基本不等式可得k2a2+≥当且仅当a=时取等号,又≥16,当且仅当=,即k=2时取等号,代入a=,可得答案.解答:解:∵k>1,a>0,由基本不等式可得k2a2+≥2=当且仅当k2a2=,即a=时取等号,又==8(+)≥16当且仅当=,即k=2时取等号,∴当k=2即a=时,k2a2+取得最小值故选:B.点评:本题考查基本不等式,准确变形并注意等号成立的条件是解决问题的关键,属中档题.19.(2014•上海模拟)已知a>0,b>0,f=,则f的最小值为()A .8 B.16 C.20 D.25考点:基本不等式.专题:不等式的解法及应用.分析:两次利用基本不等式的性质即可得出.解答:解:∵a>0,b>0,∴f=≥==≥16,当且仅当a=4b,=2,即a=4,b=1时取等号.故选:B.点评:本题考查了基本不等式的性质,注意等号成立的条件,属于基础题.20.(2014•和平区校级模拟)若正数x,y满足+=1,则+的最小值为()A .1 B.4 C.8 D.16考点:基本不等式.专题:不等式的解法及应用.分析:由正数x,y满足+=1,可得x﹣1=.(y>1),代入利用基本不等式即可得出.解答:解:∵正数x,y满足+=1,∴(y>1),∴x﹣1=.则+=(y﹣1)+=4,当且仅当y=3(x=)时取等号.∴+的最小值为4.故选:B.点评:本题考查了变形利用基本不等式的性质,属于基础题.21.(2014•唐山二模)若正数a,b,c满足c2+4bc+2ac+8ab=8,则a+2b+c的最小值为()A .B.2C.2 D.2考点:基本不等式.专题:不等式的解法及应用.分析:由于正数a,b,c满足c2+4bc+2ac+8ab=8,利用乘法公式和基本不等式可得:(a+2b+c)2=a2+4b2+c2+4ab+2ac+4bc≥4ab+c2+4ab+2ac+4bc=8,即可得出.解答:解:∵正数a,b,c满足c2+4bc+2ac+8ab=8,∴(a+2b+c)2=a2+4b2+c2+4ab+2ac+4bc≥4ab+c2+4ab+2ac+4bc=8,当且仅当a=2b>0时取等号.∴,因此a+2b+c的最小值为.故选:D.点评:本题考查了乘法公式和基本不等式的应用,属于中档题.22.(2014春•峰峰矿区校级期末)设a,b>0,且2a+b=1,则2﹣4a2﹣b2的最大值是()A .+1 B.C.D.﹣1考点:基本不等式.专题:计算题.分析:先将2a+b=1两边平方,然后将2﹣4a2﹣b2化简一下,然后利用二次函数求出ab 的最值,从而可求出所求.解答:解:∵2a+b=1,∴(2a+b)2=1,∴S=2﹣4a2﹣b2=4ab+2﹣1,∴ab有最大值时S有最大值.∵2a+b=1,∴2ab=b﹣b2=﹣(b﹣)2≤,∴当b=时,2ab有最大值∴当b=时,a=,S有最大值+﹣1=故选C.点评:本题主要考查了基本不等式,同时考查了运算求解的能力,属于基础题.23.(2014春•沙坪坝区校级期末)已知实数x>0,y>0,0<λ<2,且x+y=3,则的最小值为()A .B.2 C.D.3考点:基本不等式.专题:不等式的解法及应用.分析:由于实数x>0,y>0,x+y=3,可得2x+(2﹣λ)y+λy=6.变形为∴=,利用基本不等式的性质即可得出.解答:解:∵实数x>0,y>0,x+y=3,∴2x+(2﹣λ)y+λy=6.∴==3,当且仅当2x=(2﹣λ)y=λy,x+y=3,即x=1,y=2,λ=1时取等号.∴的最小值为3.故选:D.点评:本题考查了变形利用基本不等式的性质,考查了推理能力与计算能力,属于难题.24.(2015•南宁二模)设△ABC的内角A,B,C所对的边长分别为a,b,c,且sin2A+sin2B+sin2C=,面积S∈[1,2],则下列不等式一定成立的是()A .(a+b)>16B.bc(b+c)>8 C.6≤abc≤12 D.12≤abc≤24考点:基本不等式;三角形中的几何计算.专题:解三角形;不等式的解法及应用.分析:利用和差化积可得:sin2A+sin2B+sin2C=4sinCsinAsinB,可得sinCsinAsinB=,设外接圆的半径为R,利用正弦定理可得及S=,可得sinAsinBsinC==,即R2=4S,由于面积S满足1≤S≤2,可得2≤R≤,即可判断出.解答:解:∵sin2A+sin2B+sin2C=2sin(A+B)cos(A﹣B)+2sinCcosC=2sinC[cos(A﹣B)﹣cos(A+B)]=4sinCsinAsinB,∴4sinCsinAsinB=,即sinCsinAsinB=,设外接圆的半径为R,由正弦定理可得:=2R,由S=,可得sinAsinBsinC==,即R2=4S,∵面积S满足1≤S≤2,∴4≤R2≤8,即2≤R≤,由sinAsinBsinC=可得8≤abc,显然选项C,D不一定正确,A.ab(a+b)>abc≥8,即ab(a+b)>8,但ab(a+b)>16,不一定正确,B.bc(b+c)>abc≥8,即bc(b+c)>8,正确,故选:B.点评:本题考查了三角函数和差化积、三角形的面积计算公式、正弦定理、三角形三边大小关系,考查了推理能力与计算能力,属于中档题.25.(2014•怀远县校级模拟)已知点F(0,1),直线l:y=﹣1,P为平面上的动点,过点P作直线l的垂线,垂足为Q,且=•,动点P的轨迹为C,已知圆M过定点D(0,2),圆心M在轨迹C上运动,且圆M与x轴交于A、B两点,设|DA|=l1,|DB|=l2,则+的最大值为()A .2 B.3 C.2D.3考点:基本不等式;平面向量的综合题.专题:不等式的解法及应用;圆锥曲线中的最值与范围问题.分析:如图所示,设P(x,y),则Q(x,﹣1),由=•,利用数量积运算得到动点P的轨迹C为:x2=4y.设M.(a∈R).得到⊙M的方程为:=.令y=0,则x2﹣2ax+a2=4,可得A(a+2,0),B(a﹣2,0).利用两点之间的距离公式可得|DA|=l1,|DB|=l2.当a≠0时,+==变形利用基本不等式即可得出.a=0,直接得出.解答:解:如图所示,设P(x,y),则Q(x,﹣1),∵=•,∴(0,y+1)•(﹣x,2)=(x,y﹣1)•(x,﹣2),∴2(y+1)=x2﹣2(y﹣1),化为x2=4y.∴动点P的轨迹C为:x2=4y.设M.(a∈R).则⊙M的方程为:=.化为.令y=0,则x2﹣2ax+a2=4,解得x=a+2,或a﹣2.取A(a+2,0),B(a﹣2,0).∴|DA|=l1=,|DB|=l2=.当a≠0时,+=====2≤2=2,当且仅当a=时取等号.当a=0时,+=2.综上可得:+的最大值为2.故选:C.点评:本题综合考查了数量积的运算、点的轨迹方程、两点之间的距离公式、基本不等式的性质等基础知识与基本技能方法,考查了推理能力和计算能力,考查了分类讨论的思想方法,属于难题.26.(2014•凉山州模拟)设函数f(x)=a2﹣2﹣b2x(ab≠0),当﹣1≤x≤1时,f(x)≥0恒成立,当取得最小值时,a的值为()A .B.C.D.考点:基本不等式.专题:不等式的解法及应用.分析:利用一次函数的单调性可得a2﹣b2≥2.再利用基本不等式可得≥=,令|b|=t>0,g(t)=,利用导数研究其单调性极值与最值即可得出.解答:解:∵函数f(x)=a2﹣2﹣b2x(ab≠0),当﹣1≤x≤1时,f(x)≥0恒成立,∴f(1)=a2﹣2﹣b2≥0,化为a2﹣b2≥2.∴≥=,令|b|=t>0,g(t)=,则==,令g′(t)=0,解得t2=1.令g′(t)>0,解得t2>1,此时函数g(x)单调递增;令g′(t)<0,解得0<t2<1,此时函数g(x)单调递减.∴当t2=1时,函数g(t)取得最小值,g(1)=12.此时a2=b2+2=1+2=3,解得a=.故选:D.点评:本题考查了一次函数的单调性、基本不等式、利用导数研究其单调性极值与最值等基础知识与基本技能方法,考查了推理能力和计算能力,属于难题.27.(2014春•红岗区校级期末)在△ABC中,设AD为BC边上的高,且AD=BC,b,c分别表示角B,C所对的边长,则的取值范围是()A .[2,] B.[2,] C.[3,] D.[3,]考点:基本不等式.专题:解三角形;不等式的解法及应用.分析:由三角形的面积公式可得S△ABC==bcsinA,可得sinA,由余弦定理可得cosA,可得≤,再由基本不等式可得≥2,综合可得.解答:解:∵BC边上的高AD=BC=a,∴S△ABC==bcsinA,∴sinA=,∵cosA==(),∴=2cosA+sinA=sin(A+α)≤,其中tanA=2,又由基本不等式可得≥2=2,∴的取值范围是[2,].故选:A点评:本题考查三角形的面积公式,余弦定理,两角和与差的正弦函数公式以及基本不等式,属中档题.28.(2014春•龙华区校级期末)已知x,y,z∈R+,且x+4y+9z=1,则++的最小值是()A .9 B.16 C.36 D.81考点:基本不等式.专题:不等式的解法及应用.分析:变形可得++=(++)(x+4y+9z)=14+(+)+(+)+(+),由基本不等式可得.解答:解:∵x,y,z∈R+,且x+4y+9z=1,∴++=(++)(x+4y+9z)=14++++++=14+(+)+(+)+(+)≥14+2+2+2=36当且仅当=且=且=时取到故选:C点评:本题考查基本不等式,准确变形是解决问题的关键,属基础题.29.(2014秋•安徽期末)已知点A(1,﹣1),B(4,0),C(2,2),平面区域D是所有满足=+μ(1<λ≤a,1<μ≤b)的点P(x,y)组成的区域.若区域D的面积为8,则4a+b的最小值为()A .5 B.4C.9 D.5+4考点:基本不等式;平面向量的基本定理及其意义.专题:不等式的解法及应用.分析:如图所示,延长AB到点N,延长AC到点M,使得|AN|=a|AB|,|AM|=b|AC|,作CH ∥AN,BF∥AM,NG∥AM,MG∥AN,则四边形ABEC,ANGM,EHGF均为平行四边形.由题意可知:点P(x,y)组成的区域D为图中的四边形EFGH及其内部.利用向量的夹角公式可得cos∠CAB=,利用四边形EFGH的面积S==8,再利用“乘1法”与基本不等式的性质即可得出.解答:解:如图所示,延长AB到点N,延长AC到点M,使得|AN|=a|AB|,|AM|=b|AC|,作CH∥AN,BF∥AM,NG∥AM,MG∥AN,则四边形ABEC,ANGM,EHGF均为平行四边形.由题意可知:点P(x,y)组成的区域D为图中的四边形EFGH及其内部.∵=(3,1),=(1,3),=(﹣2,2),∴=,=,=.∴cos∠CAB===,.∴四边形EFGH的面积S==8,∴(a﹣1)(b﹣1)=1,即.∴4a+b=(4a+b)=5+=9,当且仅当b=2a=3时取等号.∴4a+b的最小值为9.故选:C.点评:本题考查了向量的夹角公式、数量积运算性质、平行四边形的面积计算公式、基本不等式的性质,考查了数形结合的思想方法,考查了推理能力与计算能力,属于难题.30.(2014春•榕城区校级期中)设实数a,b,c,d满足ab=c2+d2=1,则(a﹣c)2+(b﹣d)2的最小值为()A .+1 B.3+2C.﹣1 D.3﹣2考点:基本不等式.专题:圆锥曲线的定义、性质与方程.分析:如图所示,分别画出函数y=x,y=,圆x2+y2=1的图象.由于对称性,只考虑第一象限内的最小距离即可.联立方程解出点A,B的坐标,再利用两点间的距离公式即可得出.解答:解:如图所示,画出函数y=x,y=,圆x2+y2=1的图象.由于对称性,只考虑第一象限内的最小距离即可.联立解得x=y=1;联立,解得.∴(a﹣c)2+(b﹣d)2的最小值==3.故选:D.点评:本题考查了圆锥曲线的图象、方程组的解法、两点间的距离公式等基础知识与基本技能方法,考查了推理能力和计算能力,考查了数形结合的思想方法,属于难题.。
解不等式组专项练习60题(有答案)1.2..3..4.,5..6..7.8..9.10.11.12.,13..14.,15.16.17..18.19.20..21..22..23.24.25.,.26.27.,28.29..30.已知:2a﹣3x+1=0,3b﹣2x﹣16=0,且a≤4<b,求x的取值范围.31..32..33.已知:a=,b=,并且2b ≤<a.请求出x的取值范围.34.35.,36.,并将其解集在数轴上表示出来.37..38.,并把解集在数轴上表示出来.39.已知关于x、y 的方程组的解满足x>y >0,化简|a|+|3﹣a|.40.,并把它的解集在数轴上表示出来.41.42.43..44..45..46..47.关于x、y 的二元一次方程组,当m为何值时,x>0,y≤0.48.并将解集表示在数轴上.49.已知关于x、y 的方程组的解是一对正数,求m的取值范围.50.已知方程组的解满足,化简.51..52.53..54..55..56.57.58.59.60.解不等式组60题参考答案:1、解:,由①得2x≥2,即x≥1;由②得x<3;故不等式组的解集为:1≤x<3.2.解:,由①得:x≤5,由②得:x>﹣2,不等式组的解集为﹣2<x≤53.解:解不等式①,得x>1.解不等式②,得x<2.故不等式组的解集为:1<x<2.4.解:,解不等式①得,x>1,解不等式②得,x<3,故不等式的解集为:1<x<3,5.解不等式①,得x≤﹣2,解不等式②,得x>﹣3,故原不等式组的解集为﹣3<x≤﹣2,6.解:,解不等式①得:x>﹣1,解不等式②得:x≤2,不等式组的解集为:﹣1<x≤2,7.解:,由①得x>﹣3;由②得x≤1故此不等式组的解集为:﹣3<x≤1,8.解:解不等式①,得x<3,解不等式②,得x≥﹣1.所以原不等式的解集为﹣1≤x<3.9.解:∵由①得,x>﹣1;由②得,x≤4,∴此不等式组的解集为:﹣1<x≤4,10.解:,解不等式①得:x<3,解不等式②得:x≥1,不等式组的解集是1≤x<3 11.解:,由①得,x≥﹣;由②得,x<1,故此不等式组的解集为:﹣<x<1,12.解:∵由①得,x≤3,由②得x>0,∴此不等式组的解集为:0<x≤3,13.解:解不等式①,得x≥1;解不等式②,得x<4.∴1≤x<4.14.解:原不等式组可化为,解不等式①得x>﹣3;解不等式②得x≤3.所以-3<x≤3 15.解:由(1)得:x+4<4,x<0由(2)得:x﹣3x+3>5,x<﹣1∴不等式组解集是:x<﹣116.解:,解不等式(1),得x<5,解不等式(2),得x≥﹣2,因此,原不等式组的解集为﹣2≤x<5.17.解:由①得:去括号得,x﹣3x+6≤4,移项、合并同类项得,﹣2x≤﹣2,化系数为1得,x≥1.由②得:去分母得,1+2x>3x﹣3,移项、合并同类项得,﹣x>﹣4,化系数为1得,x<4 ∴原不等式组的解集为:1≤x<4.18.解:解不等式①,得x≥﹣1,解不等式②,得x<3,∴原不等式组的解集为﹣1≤x<3.19.解:解不等式(1)得x<1解不等式(2)得x≥﹣2所以不等式组的解集为﹣2≤x<1.20.解:解不等式①,得x>﹣.解不等式②,得x≤4.所以,不等式组的解集是﹣<x≤4.21.解:①的解集为x≥1②的解集为x<4原不等式的解集为1≤x<4.22.解:解不等式(1),得2x+4<x+4,x<0,不等式(2),得4x≥3x+3,x≥3.∴原不等式无解.23.解:解不等式2x+5≤3(x+2),得x≥﹣1解不等式x﹣1<x,得x<3.所以,原不等式组的解集是﹣1≤x<3.24.解:解不等式①,得x≥﹣1,解不等式②,得x<3,∴原不等式组的解是﹣1≤x<3.25.解:由题意,解不等式①,得x<2,解不等式②,得x≥﹣1,∴不等式组的解集是﹣1≤x<2.26.:由不等式①得:x≥0由不等式②得:x<4原不等式组的解集为0≤x<427.解:由不等式①得:2x≤8,x≤4.由不等式②得:5x﹣2+2>2x,3x>0,x>0.∴原不等式组的解集为:0<x≤4.28.解:解不等式①,得x≤﹣1,解不等式②,得x>﹣2,所以不等式组的解集为﹣2<x≤﹣1.29.解:解不等式①,得x≤2.解不等式②,得x>﹣3.所以原不等式组的解集为x≤2.30. 解:由2a﹣3x+1=0,3b﹣2x﹣16=0,可得a=,b=,∵a≤4<b,∴,由(1),得x≤3.由(2),得x>﹣2.∴x的取值范围是﹣2<x≤3.31.解:由①得:x≤2.由②得:x>﹣1.∴不等式组的解集为﹣1<x≤2.32.解:解不等式①,得x>;解不等式②,得x≤4.∴不等式的解集是<x≤4.33.解:把a,b代入得:2×.化简得:6x﹣21≤15<2x+8.解集为:3.5<x≤6.34.解:解不等式①,得x≤2.5,解不等式②,得x>﹣1,解不等式③,得x≤2,所以这个不等式组的解集是﹣1<x≤2.35.解:解不等式①,得x≥﹣1.解不等式②,得x<2.所以不等式组的解集是﹣1≤x<2.36.解:由①,得x<2.由②,得x≥﹣1.∴这个不等式组的解集为﹣1≤x<2.37.解:由①得:x>﹣1由②得:x所以解集为﹣1<x.38.解:由①得:﹣2x≥﹣2,即x≤1,由②得:4x﹣2<5x+5,即x>﹣7,所以﹣7<x≤1.在数轴上表示为:39.解:由方程组,解得.由x>y>0,得.解得a>2当2<a≤3时,|a|+|3﹣a|=a+3﹣a=3;当a>3时,|a|+|3﹣a|=a+a﹣3=2a﹣3.40.解:由(1)得x<8由(2)得,x≥4故原不等式组的解集为4≤x<8.41.解:由①得2x<6,即x<3,由②得x+8>﹣3x,即x>﹣2,所以解集为﹣2<x<3.42.解:(1)去括号得,10﹣4x+12≥2x﹣2,移项、合并同类项得,﹣6x≥﹣24,解得,x≤4;(2)去分母得,3(x﹣1)>1﹣2x,去括号得,3x﹣3>1﹣2x,移项、合并同类项得,5x>4,化系数为1得,x>.∴不等式组的解集为:<x≤4.43.解:解第一个不等式得:x <;解第二个不等式得:x≥﹣12.故不等式组的解集是:﹣12≤x <.44.解:原方程组可化为:,由(1)得,x<﹣3由(2)得,x≥﹣4根据“小大大小中间找”原则,不等式组的解集为﹣4≤x<﹣3.45.由①得:x<2,由②得:x≥﹣1∴﹣1≤x<2.46.整理不等式组得解之得,x>﹣2,x≤1∴﹣2<x≤147.解:①+②×2得,7x=13m﹣3,即x=③,把③代入②得,2×+y=5m﹣3,解得,y=78-m9,因为x>0,y≤0,所以,解得<m≤9848. 解不等式①,得x ≤,解不等式②,得x≥﹣8.把不等式的解集在数轴上表示出来,如图:所以这个不等式组的解集为﹣8≤x ≤.49.解:由题意可解得,解得,故<m<1350.解:由2x﹣2=5得x=,代入第一个方程得+2y=5a;则y=a ﹣,由于y<0,则a <(1)当a<﹣2时,原式=﹣(a+2)﹣[﹣(a ﹣)]=﹣2;(2)当﹣2<a <时,原式=a+2﹣[﹣(a ﹣)]=2a+;(3)当<a <时,原式=a+2﹣(a ﹣)=2;851.解不等式(1)得:2﹣x﹣1≤2x+4 ﹣3x≤3 x≥﹣1解不等式(2),得:x2+x>x2+3x ﹣2x>0 x<0 ∴原不等式组的解集为:﹣1≤x<0.52.解不等式(1)得:x≥-1 解不等式(2),得:x<2 ∴原不等式组的解集为:﹣1≤x<2.53.解①得x<解②得x≥3,∴不等式组的解集为无解.54.解第一个不等式得x<8解第二个不等式得x≥2∴原不等式组的解集为:2≤x<8.55.解:由①得:1﹣2x+2≤5∴2x≥﹣2即x≥﹣1由②得:3x﹣2<2x+1∴x<3.∴原不等式组的解集为:﹣1≤x<3.56.解:原不等式可化为:即在数轴上可表示为:∴不等式的解集为:1≤x<357.解:,解不等式①,得x<3,解不等式②,得x≥﹣1,把不等式的解集在数轴上表示出来,如图所示.不等式组的解集是﹣1≤x<358.解:由题意,解不等式①得x>2,不等式②×2得x﹣2≤14﹣3x解得x≤4,∴原不等式组的解集为2<x≤4.59.解:解不等式①,得x<2.(2分)解不等式②,得x≥﹣1.(4分)所以,不等式组的解集是﹣1≤x<2.(5分)解集在数轴上表示为:60.解:由①,得x≥﹣,由②,得x<3,所以不等式组的解集为﹣≤x<3.。
解不等式组计算专项练习60题(有答案)1.解不等式组专项练60题(附答案)2.解:2x+1≤3x,得x≥1;3x-16≥2x,得x≥16,综合得1≤x<16,即x∈[1,16)。
3.解:|a-1|<1,即-1<a-1<1,解得0<a<2;|a+2|<2,即-2<a+2<2,解得-4<a<-0.5.综合得-4<a<-0.5,0<a<2,即a∈(-4,-0.5)∪(0,2)。
4.解:x+1>0,即x>-1;x-3<0,即x<3,综合得-1<x<3,即x∈(-1,3)。
5.解:x-2≥0,即x≥2;2x+1≤3x-2,得x≥3,综合得x≥3,即x∈[3,∞)。
6.解:x+1>0,即x>-1;2x-3≤x+2,得x≤5,综合得-1<x≤5,即x∈(-1,5]。
7.解:x-3≥0,即x≥3;2x-1≤3x-4,得x≤3,综合得x=3.8.解:x+3>0,即x>-3;x-1≤0,即x≤1,综合得-3<x≤1,即x∈(-3,1]。
9.解:x+1>0,即x>-1;3x-2≤2x+8,得x≤10,综合得-1<x≤10,即x∈(-1,10]。
10.解:x-1≥0,即x≥1;x+2≥0,即x≥-2,综合得x≥1,即x∈[1,∞)。
11.解:x-3<0,即x<3;x-1≥0,即x≥1,综合得x∈(-∞,3)∩[1,∞),即x∈[1,3)。
12.删除此段。
13.解:x-2>0,即x>2;x+1≤0,即x≤-1,综合得x∈(2.-1]。
14.解:x+3≥0,即x≥-3;3x-2≤2x+5,得x≤7,综合得-3≤x≤7,即x∈[-3,7]。
15.解:x+1>0,即x>-1;2x-5≥0,即x≥2.5,综合得x>2.5,即x∈(2.5,∞)。
不等式计算题50道一、一元一次不等式1. 解不等式2x + 3>5- 解析:首先将常数项移到右边,得到2x>5 - 3,即2x>2。
然后两边同时除以2,解得x > 1。
2. 解不等式3x-1<8- 解析:先将常数项移到右边,3x<8 + 1,也就是3x<9。
两边同时除以3,解得x<3。
3. 解不等式(1)/(2)x+5≥slant3- 解析:先将常数项移到右边,(1)/(2)x≥slant3 - 5,即(1)/(2)x≥slant - 2。
两边同时乘以2,解得x≥slant - 4。
4. 解不等式4-(2)/(3)x>2- 解析:先将常数4移到右边,-(2)/(3)x>2 - 4,即-(2)/(3)x>-2。
两边同时乘以-(3)/(2),不等号方向改变,解得x < 3。
5. 解不等式5x+2≤slant3x - 4- 解析:先将含x的项移到左边,常数项移到右边,5x-3x≤slant - 4 - 2,即2x≤slant - 6。
两边同时除以2,解得x≤slant - 3。
6. 解不等式2(x - 1)+3>3x- 解析:先展开括号2x-2 + 3>3x,即2x + 1>3x。
将2x移到右边,得到1>3x-2x,解得x < 1。
7. 解不等式3(x + 2)-1≥slant5x-2- 解析:展开括号得3x+6 - 1≥slant5x-2,即3x + 5≥slant5x-2。
移项3x-5x≥slant - 2 - 5,-2x≥slant - 7。
两边同时除以-2,不等号方向改变,解得x≤slant(7)/(2)。
8. 解不等式(3x - 1)/(2)<(2x+3)/(3)- 解析:两边同时乘以6去分母,得到3(3x - 1)<2(2x + 3)。
展开括号9x-3<4x + 6。
移项9x-4x<6 + 3,5x<9,解得x<(9)/(5)。
高中不等式练习题及答案高中不等式练习题及答案在高中数学学习中,不等式是一个重要的概念和工具。
不等式是数学中描述数值大小关系的一种方式,它可以帮助我们解决各种实际问题。
在学习不等式的过程中,练习题是必不可少的,下面我将为大家提供一些高中不等式练习题及其答案。
1. 练习题一:解不等式:2x - 5 < 3x + 2解答:将不等式中的变量移到一边,常数移到另一边,得到:2x - 3x < 2 + 5化简得:-x < 7由于系数为负数,所以不等号方向需要翻转,得到:x > -72. 练习题二:解不等式:3(x - 2) > 2(x + 3)解答:先进行分配律的运算,得到:3x - 6 > 2x + 6将变量移到一边,常数移到另一边,得到:3x - 2x > 6 + 6化简得:x > 123. 练习题三:解不等式:4x + 5 > 3 - 2x解答:将变量移到一边,常数移到另一边,得到:4x + 2x > 3 - 5化简得:6x > -2由于系数为正数,所以不等号方向不需要翻转,得到:x > -1/34. 练习题四:解不等式:2x - 3 > 5x + 1解答:将不等式中的变量移到一边,常数移到另一边,得到:2x - 5x > 1 + 3化简得:-3x > 4由于系数为负数,所以不等号方向需要翻转,得到:x < -4/35. 练习题五:解不等式:2x + 1 < 3(x - 2)解答:先进行分配律的运算,得到:2x + 1 < 3x - 6将变量移到一边,常数移到另一边,得到:2x - 3x < -6 - 1化简得:-x < -7由于系数为负数,所以不等号方向需要翻转,得到:x > 7通过以上的练习题,我们可以看到解不等式的基本步骤。
首先,将不等式中的变量移到一边,常数移到另一边;然后,化简不等式;最后,根据系数的正负确定不等号的方向。
高考数学《基本不等式》真题练习含答案一、选择题1.函数y =2x +22x 的最小值为( )A .1B .2C .22D .4 答案:C解析:因为2x >0,所以y =2x +22x ≥22x ·22x =22 ,当且仅当2x =22x ,即x =12时取“=”.故选C.2.若a >0,b >0且2a +b =4,则1ab的最小值为( )A .2B .12C .4D .14答案:B解析:∵a >0,b >0,∴4=2a +b ≥22ab (当且仅当2a =b ,即:a =1,b =2时等号成立),∴0<ab ≤2,1ab ≥12 ,∴1ab 的最小值为12.3.下列结论正确的是( )A .当x >0且x ≠1时,lg x +1lg x≥2B .当x ∈⎝⎛⎦⎤0,π2 时,sin x +4sin x的最小值为4 C .当x >0时,x +1x ≥2D .当0<x ≤2时,x -1x无最大值答案:C解析:当x ∈(0,1)时,lg x <0,故A 不成立,对于B 中sin x +4sin x≥4,当且仅当sinx =2时等号成立,等号成立的条件不具备,故B 不正确;D 中y =x -1x在(0,2]上单调递增,故当x =2时,y 有最大值,故D 不正确;又x +1x ≥2x ·1x=2(当且仅当x =1x即x =1时等号成立).故C 正确. 4.下列不等式恒成立的是( )A .a 2+b 2≤2abB .a 2+b 2≥-2abC .a +b ≥2|ab |D .a +b ≥-2|ab | 答案:B解析:对于A ,C ,D ,当a =0,b =-1时,a 2+b 2>2ab ,a +b <2ab ,a +b <-2|ab | ,故A ,C ,D 错误;对于B ,因为a 2+b 2=|a |2+|b |2≥2|a |·|b |=2|ab |≥-2ab ,所以B 正确.故选B.5.若x >0,y >0,x +2y =1,则xy2x +y的最大值为( )A .14B .15C .19D .112答案:C解析:x +2y =1⇒y =1-x 2 ,则xy2x +y =x -x 23x +1 .∵x >0,y >0,x +2y =1,∴0<x <1.设3x +1=t (1<t <4),则x =t -13,原式=-t 2+5t -49t =59 -⎝⎛⎭⎫t 9+49t ≤59 -2481 =19 ,当且仅当t 9 =49t ,即t =2,x =13 ,y =13 时,取等号,则xy 2x +y 的最大值为19 ,故选C.6.已知a >0,b >0,c >0,且a 2+b 2+c 2=4,则ab +bc +ac 的最大值为( )A .8B .4C .2D .1 答案:B解析:∵a 2+b 2≥2ab ,a 2+c 2≥2ac ,b 2+c 2≥2bc ,∴2(a 2+b 2+c 2)≥2(ab +bc +ca ),∴ab +bc +ca ≤a 2+b 2+c 2=4.7.若直线x a +yb=1(a >0,b >0)过点(1,1),则a +b 的最小值等于( )A .2B .3C .4D .5 答案:C解析:因为直线x a +y b =1(a >0,b >0)过点(1,1),所以1a +1b=1.所以a +b =(a +b )·⎝⎛⎭⎫1a +1b =2+a b +b a ≥2+2a b ·b a =4,当且仅当a b =b a 即a =b =2时取“=”,故选C.8.若向量a =(x -1,2),b =(4,y ),a 与b 相互垂直,则9x +3y 的最小值为( ) A .12 B .2 C .3 D .6 答案:D解析:∵a ⊥b ,∴a ·b =(x -1,2)·(4,y )=4(x -1)+2y =0,即2x +y =2, ∴9x +3y =32x +3y ≥232x +y =232 =6,当且仅当2x =y =1时取等号,∴9x +3y 的最小值为6.9.用一段长8 cm 的铁丝围成一个矩形模型,则这个模型面积的最大值为( ) A .9 cm 2 B .16 cm 2 C .4 cm 2 D .5 cm 2 答案:C解析:设矩形模型的长和宽分别为x cm ,y cm ,则x >0,y >0,由题意可得2(x +y )=8,所以x +y =4,所以矩形模型的面积S =xy ≤(x +y )24 =424 =4(cm 2),当且仅当x =y =2时取等号,所以当矩形模型的长和宽都为2 cm 时,面积最大,为4 cm 2.故选C.二、填空题10.已知a ,b ∈R ,且a -3b +6=0,则2a +18b 的最小值为________.答案:14解析:∵a -3b +6=0,∴ a -3b =-6,∴ 2a +18b =2a +2-3b ≥22a ·2-3b =22a -3b=22-6 =14 .当且仅当2a =2-3b ,即a =-3,b =1时,2a +18b 取得最小值为14.11.已知函数f (x )=4x +ax(x >0,a >0)在x =3时取得最小值,则a =________.答案:36解析:∵x >0,a >0,∴4x +a x ≥24x ·ax=4 a ,当且仅当4x =a x ,即:x =a 2 时等号成立,由a2 =3,a =36.12.[2024·山东聊城一中高三测试]已知a >0,b >0,3a +b =2ab ,则a +b 的最小值为________.答案:2+3解析:由3a +b =2ab , 得32b +12a=1, ∴a +b =(a +b )⎝⎛⎭⎫32b +12a =2+b 2a +3a2b ≥2+2b 2a ·3a 2b =2+3 (当且仅当b 2a =3a2b即b =3 a 时等号成立).[能力提升]13.[2024·合肥一中高三测试]若a ,b 都是正数,则⎝⎛⎭⎫1+b a ⎝⎛⎭⎫1+4ab 的最小值为( ) A .7 B .8C .9D .10 答案:C解析:⎝⎛⎭⎫1+b a ⎝⎛⎭⎫1+4a b =5+b a +4ab≥5+2b a ·4a b =9(当且仅当b a =4ab即b =2a 时等号成立).14.(多选)已知a >0,b >0,且a +b =1,则( )A .a 2+b 2≥12B .2a -b >12C .log 2a +log 2b ≥-2D . a + b ≤2 答案:ABD解析:对于选项A ,∵a 2+b 2≥2ab ,∴2(a 2+b 2)≥a 2+b 2+2ab =(a +b )2=1,∴a 2+b 2≥12,正确;对于选项B ,易知0<a <1,0<b <1,∴-1<a -b <1,∴2a -b >2-1=12,正确;对于选项C ,令a =14 ,b =34 ,则log 214 +log 234 =-2+log 234 <-2,错误;对于选项D ,∵2 =2(a +b ) ,∴[2(a +b ) ]2-( a + b )2=a +b -2ab =( a - b )2≥0,∴ a + b ≤2 ,正确.故选ABD.15.(多选)已知a ,b ,c 为正实数,则( )A .若a >b ,则ab <a +c b +cB .若a +b =1,则b 2a +a 2b 的最小值为1C .若a >b >c ,则1a -b +1b -c ≥4a -cD .若a +b +c =3,则a 2+b 2+c 2的最小值为3 答案:BCD解析:因为a >b ,所以a b -a +c b +c =c (a -b )b (b +c ) >0,所以ab >a +c b +c ,选项A 不正确;因为a +b =1,所以b 2a +a 2b =⎝⎛⎭⎫b 2a +a +⎝⎛⎭⎫a 2b +b -(a +b )≥2b +2a -(a +b )=a +b =1,当且仅当a =b =12 时取等号,所以b 2a +a 2b的最小值为1,故选项B 正确;因为a >b >c ,所以a -b >0,b -c >0,a -c >0,所以(a -c )⎝ ⎛⎭⎪⎫1a -b +1b -c =[](a -b )+(b -c )⎝ ⎛⎭⎪⎫1a -b +1b -c =2+b -c a -b +a -b b -c≥2+2b -c a -b ·a -bb -c=4,当且仅当b -c =a -b 时取等号,所以1a -b +1b -c ≥4a -c,故选项C 正确;因为a 2+b 2+c 2=13 [(a 2+b 2+c 2)+(a 2+b 2)+(b 2+c 2)+(c 2+a 2)]≥13(a 2+b 2+c 2+2ab +2bc +2ca )=13 [(a +b )2+2(a +b )c +c 2]=13 (a +b +c )2=3,当且仅当a =b =c =1时等号成立,所以a 2+b 2+c 2的最小值为3,故选项D 正确.16.某公司一年购买某种货物600吨,每次购买x 吨,运费为6万元/次,一年的总存储费用为4x 万元.要使一年的总运费与总存储费用之和最小,则x 的值是________.答案:30解析:一年的总运费为6×600x =3 600x(万元).一年的总存储费用为4x 万元. 总运费与总存储费用的和为⎝⎛⎭⎫3 600x +4x 万元.因为3 600x +4x ≥2 3 600x ·4x =240,当且仅当3 600x =4x ,即x =30时取得等号,所以当x =30时,一年的总运费与总存储费用之和最小.。
不等式解决问题练习题一、一元一次不等式1. 解不等式:3x 5 > 22. 解不等式:4 2x ≤ 13. 解不等式:5x + 8 > 34. 解不等式:7 3x < 45. 解不等式:2x 6 ≥ 4二、一元一次不等式组1. 解不等式组:\[\begin{cases}x 2 > 0 \\3x + 1 < 4\end{cases}\]2. 解不等式组:\[\begin{cases}2x 3 < 5 \\4x + 7 > 11\end{cases}\]3. 解不等式组:\[\begin{cases}5x + 4 > 2x 1 \\3x 2 ≤ 8\end{cases}\]三、一元二次不等式1. 解不等式:x^2 5x + 6 > 02. 解不等式:2x^2 4x 6 < 03. 解不等式:x^2 + 3x 4 ≥ 04. 解不等式:x^2 + 2x + 3 ≤ 05. 解不等式:4x^2 12x + 9 > 0四、分式不等式1. 解不等式:\(\frac{1}{x2} > 0\)2. 解不等式:\(\frac{2}{x+3} < 1\)3. 解不等式:\(\frac{3}{x1} + \frac{1}{x+2} ≥ 0\)4. 解不等式:\(\frac{4}{x+1} \frac{2}{x3} ≤ 2\)5. 解不等式:\(\frac{5}{x^2 4x + 3} > 0\)五、绝对值不等式1. 解不等式:|x 4| < 32. 解不等式:|2x + 1| ≥ 53. 解不等式:|3x 7| > 24. 解不等式:|4 x| ≤ 65. 解不等式:|5x + 3| < 8六、综合应用题1. 某企业生产一种产品,每件产品的成本为50元,售价为80元。
若该企业每月固定开支为2000元,要使企业不亏损,每月至少需要销售多少件产品?2. 一辆汽车以60km/h的速度行驶,行驶过程中,速度每增加10km/h,油耗增加1L/100km。
八年级数学(下)《不等式》测试题一、填空题(每题2分,共计20分)1.用恰当的不等号表示下列关系:①x 的3倍与8的和比y 的2倍小: ; ②老师的年龄a 不小于你的年龄b : . 2.不等式3(x+1)≥5x —3的正整数解是 3.当a 时,不等式(a —1)x >1的解集是x <11-a .4.已知x =3是方程2a x -—2=x —1的解,那么不等式(2—5a )x <31的解集是5.已知函数y=2x —3,当x 时,y ≥0;当x 时,y <5.6.若不等式组 的解集是x >3,则m 的取值范围是7.已知关于x 的不等式组 的整数解共有5个,则a 的取值范围是8.若不等式组 的解集为-1<x <1,那么(a-1)(b-1)的值等于9.小明用100元钱购得笔记本和钢笔共30件,已知每本笔记本2元,每只钢笔5元.那么小明最多能买 只钢笔.10.2012年某省体育事业成绩显著,据统计,在有关大赛中获得奖牌数如右表所示(单位:枚)如果只获得1枚奖牌的选手有57人,那么荣获3枚奖牌的选手最多有 人. 二、选择题(每题4分,共计40分)11.已知“①x+y=1;②x >y ;③x+2y ;④x 2—y ≥1;⑤x <0”属于不等式的有 个.A.2;B. 3;C.4;D. 5. 12.如果m<n<0,那么下列结论错误的是A.m -9<n -9;B.—m>—n ;C.n1>m1; D.nm >1.13.设“●”、“▲”、“■”表示三种不同的物体,现用天平称了两次,情况如图所示,那么●、▲、■这三种物体按质量从大到小的顺序排列为 A.■、●、▲。
B.■、▲、●。
C .▲、●、■。
D.▲、■、●。
mx x x >-<+1481230->-≥-x a x 3212>-<-b x a x14.已知a ,b 两数在数轴上的位置如图所示,设M=a+b,N=—a+b,H=a —b ,则下列各式正确的是A.M>N>H ;B.H>M>N ;C.H>M>N ;D.M>H>N. 15.不等式组⎩⎨⎧>≤35x x 的解集在数轴上表示,正确的是A. B. C. D16.已知(x+3)2+m y x ++3=0中,y 为负数,则m 的取值范围是A.m>9B.m<9C.m>-9D.m<-917.观察下列图像,可以得出不等式组的解集是A. x 〈31 B. -31〈x 〈0C. 0〈x 〈2D. -31〈x 〈218.某种出租车的收费标准是:起步价7元(即行驶的距离不超过3千米都需付7元车费),超过3千米,每增加1千米,加收2.4元(不足1千米按1千米计算)某人乘这种出租车从甲地到乙地共付车费19元,那么此人从甲地到乙地经过的路程的最大值是 千米.A.11B.8C.7D.519.某种肥皂原零售价每块2元,凡购买2块以上(包括2块),商场推出两种优惠销售办法.第一种:一块肥皂按原价,其余按原价的七折销售;第二种:全部按原价的八折销售.你在购买相同数量肥皂的情况下,要使第一种方法比第二种方法得到的优惠多,最少需要买 块肥皂.A.5B.4C.3D.220.韩日“世界杯” 期间,重庆球迷一行若干人从旅馆乘车到球场为中国队加油,现有某个车队,若全部安排乘该车队的车,每辆坐4人则多16人无车坐,若每辆坐6人,则坐最后一辆车的人数不足一半.这个车队有 辆车A.11B.10C.9D.12 三、解答题21.解下列不等式(组):(每题8分,共计24分)(1) 5(x+2)≥1―2(x ―1) (2)()1273212-≤-++x x x 015.0013>+->+x x(3)解不等式组:⎪⎩⎪⎨⎧>-+<+02)8(21042x x22.若方程组 的解x 、y 都是正数,求a 的取值范围. (6分)23.如图表示一艘轮船和一艘快艇沿相同路线从甲港出发到乙港行驶过程中路程随时间变化的图像.根据图像解答下列问题:(6分)(1)在轮船快艇中,哪一个的速度较大?(2)当时间x 在什么范围内时,快艇在轮船的后面?当时间x 在什么范围内时,快艇在轮船的前面?(3)问快艇出发多长时间赶上轮船?四、实际应用题(每题8分,共计24分)24.某校长暑假将带领该校市级“三好学生”去北京旅游,甲旅行社说:“如果校长买全票一张,则其余的学生可享受半价优惠.”乙旅行社说:“包括校长在内全部按票价的六折优惠.”若全票价为240元,两家旅行社的服务质量相同,根据“三好学生”的人数你认为选择哪一家旅行社才比较合算?⎩⎨⎧-=-=+323a y x y x25.某工厂现有甲、乙原料分别360千克、290千克,计划利用两种原料生产A、B两种产品共50件,已知生产一件A种产品需要甲种原料9千克,乙种原料3千克;生产一件B种,需要甲种原料4千克,乙种原料10千克,按要求安排A、B两种产品的生产件数,有哪几种方案?请你设计出来。
不等式提升训练一.选择题(共11小题)1.若不等式组有解,则实数a的取值范围是()A.a<5B.a≤5C.a>5D.a≥52.若不等式组有解,则m的取值范围为()A.m>1B.m<1C.m≤1D.m<33.若不等式组有解,则m的取值范围是()A.m≥﹣9B.m>﹣9C.m≥1D.m>14.若不等式组无解,则a的取值范围为()A.a>4B.a≤4C.0<a<4D.a≥45.若不等式组无解,则a的取值范围是()A.a≤1B.a>1C.a≥1D.a<16.若不等式组无解,则a的取值范围为()A.a>4B.a≤4C.0<a<4D.a≥47.若关于x的不等式组的整数解只有2个,则m的取值范围是()A.m>﹣3B.m<﹣2C.﹣3≤m<﹣2D.﹣3<m≤﹣2 8.不等式组有两个整数解,则m的取值范围为()A.﹣5<m≤﹣4B.﹣5<m<﹣4C.﹣5≤m<﹣4D.﹣5≤m≤﹣4 9.已知关于x的不等式组的最小整数解是2,则实数m的取值范围是()A.﹣3≤m<﹣2B.﹣3<m≤﹣2C.﹣3<m<﹣2D.﹣3≤m≤﹣2 10.关于x的不等式组有3个整数解,则a的取值范围是()A.﹣2<a≤﹣1B.﹣2≤a<﹣1C.﹣3<a≤﹣2D.﹣3≤a<﹣2 11.已知的解满足y﹣x<1,则k的取值范围是()A.k>1B.k <﹣C.k>0D.k<1二.填空题(共1小题)12.已知关于x、y 的方程组的解满足不等式﹣1≤x+y<5,则实数k的取值范围为_________.三.解答题(共4小题)13.已知关于x 的不等式组.(1)当k为何值时,该不等式组的解集为﹣2<x<3;(2)若该不等式组只有2个正整数解,求k的取值范围.14.某商店购进便携榨汁杯和酸奶机进行销售,其进价与售价如表:进价(元/台)售价(元/台)便携榨汁杯200250酸奶机160200(1)第一个月,商店购进这两种电器共30台,用去5600元,并且全部售完,这两种电器赚了多少钱?(2)第二个月,商店决定用不超过9000元的资金采购便携榨汁杯和酸奶机共50台,且便携榨汁杯的数量不少于酸奶机的,这家商店有哪几种进货方案?说明理由;(3)在(2)的条件下,请你通过计算判断,哪种进货方案赚钱最多?15.西安某商场需要购进一批电脑和电子白板,经过市场考查得知,购买2台电脑和3台电子白板需要5.5万元,购进3台电脑和2台电子白板需要4.5万元.(1)你能求出每台电脑、每台电子白板各多少万元?(2)根据商场实际,需购进电脑和电子白板共30台,现要求购进电脑的台数不大于购进电子白板的2倍,总费用不超过27万元,请你通过计算求出有几种购买方案?哪种方案费用最低?16.“一带一路”国际合作高峰论坛在北京举行,本届论坛期间,中国同30多个国家签署经贸合作协议,某童装厂准备生产L、M两种型号的童装销往“一带一路”沿线国家和地区.现工厂有甲种布料38米,乙种布料26米.计划用这两种布料生产这两种型号的童装50套进行市场调研.已知做一套L型号的童装需甲种布料0.5米、乙种布料1米,可获利50元;做一套M型号的童装需甲种布料0.9米、乙种布料0.2米,可获利30元.(1)按要求安排L、M两种型号的童装的生产套数,有哪几种方案?请你设计出来;(2)在你设计的方案中,哪种生产方案获总利润最大?最大利润是多少?不等式提升训练参考答案与试题解析一.选择题(共11小题)1.若不等式组有解,则实数a的取值范围是()A.a<5B.a≤5C.a>5D.a≥5解:,由①得x<a﹣1,由②得x≥4,∵不等式组有解,∴解集应是4≤x<a﹣1,则a﹣1>4,即a>5,实数a的取值范围是a>5.故选:C.2.若不等式组有解,则m的取值范围为()A.m>1B.m<1C.m≤1D.m<3解:不等式组整理得:,由不等式组有解,得到3m<3,解得:m<1.故选:B.3.若不等式组有解,则m的取值范围是()A.m≥﹣9B.m>﹣9C.m≥1D.m>1解:解不等式x﹣7≤3(x+1)得x≥﹣5,解不等式x﹣4≤m,得:x≤m+4,∵不等式组有解,∴﹣5≤m+4,解得m≥﹣9,故选:A.4.若不等式组无解,则a的取值范围为()A.a>4B.a≤4C.0<a<4D.a≥4解:不等式组整理得:,由不等式组无解,得到a≥4.故选:D.5.若不等式组无解,则a的取值范围是()A.a≤1B.a>1C.a≥1D.a<1解:不等式组整理得:,由不等式组无解,得到a+1≥2.∴a≥1,故选:C.6.若不等式组无解,则a的取值范围为()A.a>4B.a≤4C.0<a<4D.a≥4解:不等式组整理得:,由不等式组无解,得到a≥4.故选:D.7.若关于x的不等式组的整数解只有2个,则m的取值范围是()A.m>﹣3B.m<﹣2C.﹣3≤m<﹣2D.﹣3<m≤﹣2解:,解①得x≤﹣0.5,解②得x>m,则不等式组的解集是m<x≤﹣0.5.由不等式组的整数解只有2个,得到整数解为﹣2,﹣1,则m的范围为﹣3≤m<﹣2,故选:C.8.不等式组有两个整数解,则m的取值范围为()A.﹣5<m≤﹣4B.﹣5<m<﹣4C.﹣5≤m<﹣4D.﹣5≤m≤﹣4解:,解不等式①得:x≤﹣3,解不等式②得:x>m,∴不等式组的解集为m<x≤﹣3,∵不等式组有两个整数解,∴﹣5≤m<﹣4,故选:C.9.已知关于x的不等式组的最小整数解是2,则实数m的取值范围是()A.﹣3≤m<﹣2B.﹣3<m≤﹣2C.﹣3<m<﹣2D.﹣3≤m≤﹣2解:解不等式≥2,得:x≥4+m,解不等式x﹣4≤3(x﹣2),得:x≥1,∵不等式组的最小整数解是2,∴1<4+m≤2,解得﹣3<m≤﹣2,故选:B.10.关于x的不等式组有3个整数解,则a的取值范围是()A.﹣2<a≤﹣1B.﹣2≤a<﹣1C.﹣3<a≤﹣2D.﹣3≤a<﹣2解:解不等式x﹣a>0,得:x>a,解不等式1﹣x>2x﹣5,得:x<2,则不等式组的解集为a<x<2,∵不等式组有3个整数解,∴不等式组的整数解为1、0、﹣1,则﹣2≤a<﹣1,故选:B.11.已知的解满足y﹣x<1,则k的取值范围是()A.k>1B.k<﹣C.k>0D.k<1解:,①﹣②得:y﹣x=2k﹣1,∴2k﹣1<1,即k<1,故选:D.二.填空题(共1小题)12.已知关于x、y的方程组的解满足不等式﹣1≤x+y<5,则实数k的取值范围为﹣3<k≤1.解:将方程组中两个方程相加得2x+2y=1﹣3k,则x+y=,∵﹣1≤x+y<5,∴﹣1≤<5,解得﹣3<k≤1,故答案为:﹣3<k≤1.三.解答题(共4小题)13.已知关于x的不等式组.(1)当k为何值时,该不等式组的解集为﹣2<x<3;(2)若该不等式组只有2个正整数解,求k的取值范围.解:(1)解不等式2x+4>0,得:x>﹣2,解不等式3x﹣k<6,得:x<,则不等式组的解集为﹣2<x<,∵该不等式组的解集为﹣2<x<3,∴=3,解得k=3;(2)∵不等式组只有2个正整数解,∴2<≤3,解得0<k≤3.14.某商店购进便携榨汁杯和酸奶机进行销售,其进价与售价如表:进价(元/台)售价(元/台)便携榨汁杯200250酸奶机160200(1)第一个月,商店购进这两种电器共30台,用去5600元,并且全部售完,这两种电器赚了多少钱?(2)第二个月,商店决定用不超过9000元的资金采购便携榨汁杯和酸奶机共50台,且便携榨汁杯的数量不少于酸奶机的,这家商店有哪几种进货方案?说明理由;(3)在(2)的条件下,请你通过计算判断,哪种进货方案赚钱最多?解:(1)设购进x台便携榨汁杯,y台酸奶机,依题意得:,解得:,∴(250﹣200)x+(200﹣160)y=(250﹣200)×20+(200﹣160)×10=1400(元).答:销售这两种电器赚了1400元.(2)设购进m台便携榨汁杯,则购进(50﹣m)台酸奶机,依题意得:,解得:≤m≤25.又∵m为整数,∴m可以取23,24,25,∴这家商店有3种进货方案,方案1:购进23台便携榨汁杯,27台酸奶机;方案2:购进24台便携榨汁杯,26台酸奶机;方案3:购进25台便携榨汁杯,25台酸奶机.(3)方案1获得的利润为(250﹣200)×23+(200﹣160)×27=2230(元);方案2获得的利润为(250﹣200)×24+(200﹣160)×26=2240(元);方案3获得的利润为(250﹣200)×25+(200﹣160)×25=2250(元).∵2230<2240<2250,∴方案3赚钱最多.15.西安某商场需要购进一批电脑和电子白板,经过市场考查得知,购买2台电脑和3台电子白板需要5.5万元,购进3台电脑和2台电子白板需要4.5万元.(1)你能求出每台电脑、每台电子白板各多少万元?(2)根据商场实际,需购进电脑和电子白板共30台,现要求购进电脑的台数不大于购进电子白板的2倍,总费用不超过27万元,请你通过计算求出有几种购买方案?哪种方案费用最低?解:(1)设每台电脑x万元,每台电子白板y万元,依题意得:,解得:.答:每台电脑0.5万元,每台电子白板1.5万元.(2)设购进电脑m台,则购进电子白板(30﹣m)台,依题意得:,解得:18≤m≤20.∵m为整数,∴m可以取18,19,20,∴共有3种购买方案,方案1:购进电脑18台,电子白板12台,所需费用为0.5×18+1.5×12=27(万元);方案2:购进电脑19台,电子白板11台,所需费用为0.5×19+1.5×11=26(万元);方案3:购进电脑20台,电子白板10台,所需费用为0.5×20+1.5×10=25(万元).∵27>26>25,∴共有3种购买方案,方案3费用最低.16.“一带一路”国际合作高峰论坛在北京举行,本届论坛期间,中国同30多个国家签署经贸合作协议,某童装厂准备生产L、M两种型号的童装销往“一带一路”沿线国家和地区.现工厂有甲种布料38米,乙种布料26米.计划用这两种布料生产这两种型号的童装50套进行市场调研.已知做一套L型号的童装需甲种布料0.5米、乙种布料1米,可获利50元;做一套M型号的童装需甲种布料0.9米、乙种布料0.2米,可获利30元.(1)按要求安排L、M两种型号的童装的生产套数,有哪几种方案?请你设计出来;(2)在你设计的方案中,哪种生产方案获总利润最大?最大利润是多少?解:(1)设生产L型号的童装x件,则生产M型号的童装(50﹣x)件,依题意得:,解得:≤x≤20.又∵x为正整数,∴x可以取18,19,20,∴共有3种生产方案,方案1:生产18套L型号的童装,32套M型号的童装;方案2:生产19套L型号的童装,31套M型号的童装;方案3:生产20套L型号的童装,30套M型号的童装.(2)方案1获得的总利润为50×18+30×32=1860(元);方案2获得的总利润为50×19+30×31=1880(元);方案3获得的总利润为50×20+30×30=1900(元).∵1860<1880<1900,∴方案3获得的总利润最大,最大利润是1900元.。
基本不等式(答案)【习题1】已知实数0,>y x 且2=xy ,则8482233+++y x y x 的最小值是 .【答案】1【习题2】若实数0>y ,x 且1=xy ,则y x 2+的最小值是 ,yx y x 2422++的最小值是 .【答案】 22,2【习题3】已知,x y 满足方程210x y --=,当x >353712x y x y m x y +-+-=+--的最小值为_______. 【答案】8【习题4】已知y x ,为实数,且1)2)((=-+y x y x ,则222y x +的最小值为_______.【答案】3322+【习题5】已知a b ∈R ,,45222=+-b ab a ,则a b +的取值范围为 .【答案】]22,22[-【习题6】已知a b ∈R ,,45222=+-b ab a ,则ab 的最小值为 .【答案】12【习题7】若实数y x ,满足02422=+++y y x x ,则y x +2的范围是 . 【答案】]0,2[-【习题8】ABC ∆的三边,,a b c 成等差,且22221a b c ,则b 的取值范围是 .【答案】]7,6(【习题9】已知,a b <二次不等式20ax bx c ++≥对任意实数x 恒成立,则24a b cM b a++=-的最小值为___________ 【答案】8【习题10】实数,x y 满足224545x xy y -+=,设22S x y =+,则maxmin11S S += .【答案】85【习题11】非零向量,a b 夹角为60,且1a b -=,则a b +的取值范围为 . 【答案】]3,1(【习题12】已知0,0<>b a ,且9)12)(14(-=+-b a ,若06)2(2≥---abx x b a 总成立,则正实数x的取值范围是_______. 【答案】),1[+∞【习题13】正实数y x ,满足111=+yx ,则2210x y xy +-的最小值为 . 【答案】36-【习题14】已知实数y x ,满足,32,0,0=+>>y x y x 则xyyx +3的最小值为 ,xy y x ++224 的最小值为 . 【答案】3627+;845【习题15】已知直线21ax by +=(其中0ab ≠)与圆221x y +=相交于A 、B 两点,O 为坐标原点,且0120AOB ∠=,则2212a b +的最小值为 . 【答案】2【习题16】设R b a ∈,,满足43=+-ab b a ,则33-+b a 的最小值是______. 【答案】332-【习题17】已知正实数a ,b 满足:1a b +=,则222a ba b a b +++的最大值是 . 【答案】3332+ 【习题18】已知正数y x ,满足1≤xy ,则yx M 21111+++=的最小值为________. 【答案】222-【习题19】已知0>a ,0>b ,且12122=+++ba a ,则b a +的最小值是_______,此时=a _______. 【答案】212+;2【习题20】已知0,0a b >>,且1a b +=,则1122a b ⎛⎫⎛⎫++ ⎪⎪⎝⎭⎝⎭的最小值是 ;221ab a +的最大值是 . 【答案】16;413- 【习题21】已知实数x ,y 满足3xy x y -+=,且1x >,则(8)y x +的最小值是 ( ) A .33 B .26 C .25 D .21 【答案】C【习题22】若实数,x y 满足2x y xy -+≥,则x y +的最小值是 . 【答案】2【习题23】已知实数a ,b 满足:1,2a b R ≥∈,且||1a b +≤,则12b a +的取值范围是 . 【答案】]23,12[-【习题24】实数y x ,满足22222=+-y xy x ,则222y x +的最小值是________.【答案】224-【习题25】已知实数R b a ∈,,若322=+-b ab a ,则1)1(222+++b a ab 的值域为 .【答案】]716,0[【习题26】设b a ,为正实数,则ba bb a a +++2的最小值为 . 【答案】222-【习题27】若正数,x y 满足35x y xy +=,则34x y +的最小值是 . 【答案】5【习题28】若存在正实数y ,使得yx x y xy 451+=-,则实数x 的最大值为_________. 【答案】51 【习题29】若0x >,0y >,则xyy x x ++2的最小值为___________.【答案】212-【习题30】已知正数y x ,满足yx yx xy 3+-=,则y 的最大值为__________,当且仅当___________.【答案】31;1=x 【习题31】已知,1,0=+>>b a b a 则bb a 214+-的最小值等于 . 【答案】9【习题32】已知)0,0(24122<<-+=y x xy y x ,则y x 2+的取值范围为__________.【答案】)1,2[--【习题33】已知实数y x ,满足322=++y xy x ,则xy 的最小值为________,22y xy x +-的最小值为_______. 【答案】3-,1【习题34】已知实数b a ,满足122=+-b ab a ,则)(|2|b a b a +-的取值范围是________.【答案】]3,3[-【习题35】已知0>a ,0>b ,且满足ab a b a +=+23,则b a +2的最小值为________.【答案】223+【习题36】已知非负实数y x ,满足92422222=+++y x y xy x ,则xy y x ++)(22的最大值为 .【答案】241+【习题37】若164622=++xy y x ,R y x ∈,,则22y x -的最大值为_______.【答案】51【习题38】设正实数y x ,,则21||y xy x ++-的最小值为( ) A. 47B. 2233C. 2D.32【答案】A【习题39】已知b a ,均为正数,且1=+b a ,1>c ,则12)121(2-+⋅-+c c ab a 的最小值为_________. 【答案】23【习题40】设实数0,0>>y x 且满足k y x =+,则使不等式2)22()1)(1(kk y y x x +≥++恒成立的k 的最大值为______. 【答案】522+【习题41】若1≥≥≥z y x ,且4=xyz ,则222222)(log )(log )(log z y x ++的取值范围是______.【答案】]4,34[【习题42】已知正实数y x ,满足4232=++y x xy ,则y x xy 45++的最小值为________. 【答案】55【习题43】已知实数y x ,满足yxyx9933+=+,则yx yx 332727++的取值范围是_________. 【答案】9[1,]8【习题44】已知实数b a ,满足1=ab ,且32≥>b a ,则22ba ba +-的最大值为___________. 【答案】3097【习题45】若正数b a ,满足111a b +=,则1911a b +--的最小值为( ) A .1 B .6 C .9 D .16【答案】B【习题46】若正实数,x y 满足244x y xy ++=,且不等式2(2)22340x y a a xy +++-≥恒成立,则实数a 的取值范围是 . 【答案】(]5,3,2⎡⎫-∞-+∞⎪⎢⎣⎭【习题47】已知y x ,为正实数,若12=+y x ,则xyxy x ++22的最小值为 .【答案】222+【习题48】若正数y x ,满足12422=+++y x y x ,则xy 的最大值为_________.【答案】432- 【习题49】若实数a 和b 满足132923242++=⨯+⋅-⨯babbaa, 则ba 32+的取值范围为__________________. 【答案】]2,1(【习题50】设+∈R b a ,,4222=-+b a b a ,则ba 11+的最小值是 【答案】24。
1. 解下列不等式:(1)3[2(2)]3(1)x x x x --≥-- (2) 382(10)127x x x ---+≥2. 求不等式组的整数解:(1)32222(1)5x x x x ⎧-≤-⎪⎨⎪+>-⎩ (2)32823x x x x +<+⎧⎪⎨≥⎪⎩ (3)312(2)5233x x x x +<+⎧⎪⎨-≤+⎪⎩3. 求不等式2(53)3(12)x x x +>--的最小整数解4. 已知不等式20x -<的解也是关于x 的不等式312m x->的解,求m 的取值范围。
5.已知关于x 的不等式2x+2x a +≥()的解集在数轴上的表示如图所示,求关于x 的53ax a +>不等式的解集。
6. (1)解不等式:47(1)5(2)3x x +-<+-;(2)若(1)中的不等式的最小整数解是关于x 的方程24x ax -=的解,求a 的值。
已知2(1)3x x -<-,化简:242x x +---7. 关于x 的不等式234mx x -<+的解集为63x m <-,试化简21m m ---8. 若是关于x 的一元一次不等式21(2)15m m x+-->,则这不等式的解集为 。
9. 解下列不等式(组),并把解集在数轴上表示出来。
(1)2(13)797x +-≤≤ (2)41005411213x x xx x -<⎧⎪+>⎨⎪-≥+⎩(3)3(1)2(9)3 3.5 1.4 1.40.50.7x x x x ->+⎧⎪-+⎨-≤-⎪⎩10. 若关于x 的不等式0721x m x -<⎧⎨-≤⎩的整数解共有4个,求m 的取值范围.11. 已知不等式2(1)53(1)4x x +-<++的最小整数解是关于x 的方程153x mx -=的解,求代数式2211m m --的值.12. 已知226(35)0m m n -+--=,且(32)15n m x -<-,化简25253x x +--+.13. 求不等式25673x--≤<的整数解 已知关于x 的不等式组5210x x a -≥-⎧⎨->⎩无解,求a 的取值范围。
不等式计算专项练习及答案不等式计算专项练1.解不等式组,并在数轴上表示解集。
2.求解不等式组。
3.计算以下不等式(组)的整数解。
4.已知:$y_1=x+3$,$y_2=-x+2$,求满足以下条件时$x$的取值范围:1) $y_1<y_2$2) $2y_1-y_2\leq4$5.解不等式组:6.求解以下不等式组的解集。
7.(1) 计算:$(-2)^{-2}\times|-3|-()$2) 解不等式组:8.解不等式组,并指出所有整数解。
9.解不等式组,并写出所有整数解。
10.解不等式组,并在数轴上表示解集。
11.解不等式组。
12.(1) 解方程:$|2x+3|-1=4$,并写出所有整数解。
2) 求解不等式组:13.求解不等式组:14.(1) 解不等式组,并在数轴上表示解集。
2) 解不等式组:15.求不等式组的非负整数解。
16.解不等式(组),并在数轴上表示解集。
1) $|2x-1|<3$2) $|x-2|\geq5$17.(1) 解不等式组:2) 在(1)的条件下化简:$|x+1|+|x-4|$18.已知关于$x$,$y$的方程组的解为正数。
1) 求$a$的取值范围。
2) 化简$|-4a+5|-|a+4|$。
19.(1) 解不等式$2x-1>0$,并在数轴上表示解集。
2) 求不等式组的整数解。
20.解不等式组:$2x+1\leq x-3$,$x+2<3x-5$21.解不等式组:$x^2-2x-8<0$,$x-3\geq0$22.解不等式组,并在数轴上表示解集,写出满足该不等式组的所有整数解。
3)解不等式得:x>-2,解不等式得:x≤2,所以不等式组的解集为:-2<x≤2;4)解不等式得:x<0,所以不等式组的解集为:x<0.点睛】本题考查了解一元一次不等式组的解集,需要掌握解不等式的基本方法,以及根据不等式组的规律确定解集的方法。
3.解不等式 $2(x-1)\leq 4-x$ 得:$x\leq 2$,解不等式$3(x+1)-2$,所以不等式组的解集是 $-2<x\leq 2$。
精品文档一元一次不等式(组)常见试题分类练习一、解法常见考题:2x?y?1?3m,?①的解满足1、已知方程组x+y<0,求m的取值范围.?x?2y?1?m②?x?2y?4k,?2、已知中的x,y满足0<y-x<1,求k的取值范围.?2x?y?2k?1?x?15??x?3,??2的不等式组只有4个整数解,求、若关于xa的取值范围.3?2x?2??x?a?3?x?a?0,?4、关于x的不等式组的整数解共有5个,求a的取值范围.?3?2x??1?3x?4?a,?的解集是的不等式组x>2,求a的取值范围.5、已知a是自然数,关于x?x?2?0?6、若不等式组 X+8<4x-1 的解集是x>3,则m的取值范围是。
x>mx?9?5x?1,?的解集是x>27、不等式组,则m的取值范围是( ).?x?m?1?(B)m≥2(C)m≤1(D)m(A)m≤2≥1x?a?0,?xa的取值范围. 58、关于个,求的不等式组的整数解共有?3?2x??1?1-+8<4xx?? ________.m的解集为x>3,则的取值范围是9、若不等式组?x>m??1x+x?>0+32?恰有两个整数解.、试确定实数a的取值范围,使不等式组1045a+4?a?+>?x+1+x333x?4?a,?的解集是x>2的不等式组,求a的值.x11、已知a是自然数,关于?x?2?0?x?15??x?3,??2ax的取值范围.个整数解,求、若关于 4的不等式组只有12?2x?2??x?a?3?二、最后一间房问题:1、若干名学生,若干间宿舍,若每间住4人将有20人无法安排住处;若每间住8人,则有一间宿舍的人不空也不满.问学生有多少人?宿舍有几间?精品文档.精品文档2、一堆玩具分给若干个小朋友,若每人分3件,则剩余4件,若前面每人分4件,则最后一人得到的玩具最多3件,问小朋友的人数至少有多少人?。
3、把若干颗花生分给若干只猴子。
一元一次不等式(组)常见试题分类练习一、解法常见考题: 1、已知方程组⎩⎨⎧-=++=+②①my x m y x 12,312的解满足x +y <0,求m 的取值范围. 2、已知⎩⎨⎧+=+=+122,42k y x k y x 中的x ,y 满足0<y -x <1,求k 的取值范围.3、若关于x 的不等式组⎪⎪⎩⎪⎪⎨⎧+<+->+a x x x x 322,3215只有4个整数解,求a 的取值范围.4、关于x 的不等式组⎩⎨⎧->-≥-123,0x a x 的整数解共有5个,求a 的取值范围.5、已知a 是自然数,关于x 的不等式组⎩⎨⎧>-≥-02,43x a x 的解集是x >2,求a 的取值范围.6、若不等式组 X+8<4x -1 的解集是x >3,则m 的取值范围是 。
x >m 7、不等式组⎩⎨⎧+>+<+1,159m x x x 的解集是x >2,则m 的取值范围是( ).(A)m ≤2(B)m ≥2(C)m ≤1(D)m ≥18、关于x 的不等式组⎩⎨⎧->-≥-123,0x a x 的整数解共有5个,求a 的取值范围.9、若不等式组⎩⎪⎨⎪⎧x +8<4x -1x>m 的解集为x>3,则m 的取值范围是________.10、试确定实数a 的取值范围,使不等式组⎩⎨⎧x 2+x +13>0x +5a +43>43(x +1)+a 恰有两个整数解.11、已知a 是自然数,关于x 的不等式组⎩⎨⎧>-≥-02,43x a x 的解集是x >2,求a 的值.12、若关于x 的不等式组⎪⎪⎩⎪⎪⎨⎧+<+->+a x x x x 322,3215只有4个整数解,求a 的取值范围.二、最后一间房问题:1、若干名学生,若干间宿舍,若每间住4人将有20人无法安排住处;若每间住8人,则有一间宿舍的人不空也不满.问学生有多少人?宿舍有几间?2、一堆玩具分给若干个小朋友,若每人分3件,则剩余4件,若前面每人分4件,则最后一人得到的玩具最多3件,问小朋友的人数至少有多少人?。
3、把若干颗花生分给若干只猴子。
如果每只猴子分3颗,就剩下8颗;如果每只猴子分5颗,那么最后一只猴子虽分到了花生,但不足5颗。
问猴子有多少只,花生有多少颗?4、把一些书分给几个学生,如果每人分3本,那么余8本;如果前面的每个学生分5本,那么最后一人就分不到3本。
问这些书有多少本?学生有多少人?5、某中学为八年级寄宿学生安排宿舍,如果每间4人,那么有20人无法安排,如果每间8人,那么有一间不空也不满,求宿舍间数和寄宿学生人数。
6、将不足40只鸡放入若干个笼中,若每个笼里放4只,则有一只鸡无笼可放;若每个笼里放5只,则有一笼无鸡可放,且最后一笼不足3只。
问有笼多少个?有鸡多少只?7、用若干辆载重量为8吨的汽车运一批货物,若每辆汽车只装4吨,则剩下20吨货物;若每辆汽车装满8吨,则最后一辆汽车不满也不空。
请问:有多少辆汽车?8、一群女生住若干家间宿舍,每间住4人,剩下19人无房住;每间住6人,有一间宿舍住不满。
(1)如果有x间宿舍,那么可以列出关于x的不等式组:(2)可能有多少间宿舍、多少名学生?你得到几个解?它符合题意吗?9、若干名学生,若干间宿舍,若每间住4人将有20人无法安排住处;若每间住8人,则有一间宿舍的人不空也不满.问学生有多少人?宿舍有几间?三、方案选择问题:1、某校校长暑假将带领该校“三好学生”去三峡旅游,甲旅行社说:如果校长买全票一张,则其余学生可享受半价优惠;乙旅行社说:包括校长在内全部按全票的6折优惠。
已知两家旅行社的全票价都是240元,至少要多少名学生选甲旅行社比较好2、暑假期间,两名家长计划带领若干名学生去旅游,他们联系了报价为每人500元的两家旅行社,经协商,甲旅行社的优惠条件是:两名家长全额收费,学生都按七折;乙旅行社的优惠条件是:家长,学生都按八折收费。
假设这两位家长至带领多少名学生去旅游,他们应该选择甲旅行社?四、方案设计问题1、为打造“书香校园”,某学校计划用不超过1 900本科技类书籍和1 620本人文类书籍,组建中、小型两类图书角共30个.已知组建一个中型图书角需科技类书籍80本,人文类书籍50本;组建一个小型图书角需科技类书籍30本,人文类书籍60本.(1)问符合题意的组建方案有几种?请你帮学校设计出来;(2)若组建一个中型图书角的费用是860元,组建一个小型图书角的费用是570元,试说明在(1)中哪种方案费用最低?最低费用是多少元?2、某城市平均每天产生垃圾700吨,由甲、乙两个垃圾厂处理.如果甲厂每小时可处理垃圾55吨,需花费550元;乙厂每小时处理45吨,需花费495元.如果规定该城市每天用于处理垃圾的费用的和不能超过7150元,问甲厂每天至少要处理多少吨垃圾?3、在“5·12大地震”灾民安置工作中,某企业接到一批生产甲种板材24000m2和乙种板材12000m2的任务.某灾民安置点计划用该企业生产的这批板材搭建A,B两种型号的板房共400间,在搭建过程中,按实际需要调运这两种板材.已知建一间A型板房和一间B型板房所需板材及能安置的人数如下表所示:板房型号甲种板材乙种板材安置人数A型板房54 m226 m2 5B型板房78 m241 m28问:这400间板房最多能安置多少灾民?4、某工厂用如图甲所示的长方形和正方形纸板,做成如图乙所示的竖式与横式两种长方体形状的无盖纸盒.(1)现有正方形纸板162张,长方形纸板340张.若要做两种纸盒共l00个,设做竖式纸盒x个.①根据题意,完成以下表格:竖式纸盒(个)横式纸盒(个)x正方形纸板(张) 2(100-x)长方形纸板(张)4x②按两种纸盒的生产个数来分,有哪几种生产方案?(2)如果做一个竖式纸盒的费用为2元,做一个横式纸盒的费用为1元,如何安排设计方案,使得生产费用最少?5、某园林部门决定利用现有的349盆甲种花卉和295盆乙种花卉搭配A、B两种园艺造型共50个,摆放在迎宾大道两侧。
已知搭配一个A种造型需甲种花卉8盆,乙种花卉4盆;搭配一个B种造型需甲种花卉5盆,乙种花卉9盆。
(1)某校九年级某班课外活动小组承接了这个园艺造型搭配方案的设计,问符合题意的搭配方案有几种?请你帮助设计出来;(2)若搭配一个A种造型的成本是200元,搭配一个B种造型的成本是360元,试说明(1)种哪种方案成本最低,最低成本是多少元?6、某公司在A、B两地分别库存挖掘机16台和12台,现在运往甲、乙两地支援建设,其中甲地需要15台,乙地需要13台.从A地运一台到甲、乙两地的费用分别是500元和400元;从B地运一台到甲、乙两地的费用分别是300元和600元.设从A地运往甲地x台挖掘机,运这批挖掘机的总费用为y元.(1)请填写下表,并写出y与x之间的函数关系式;(2)公司应设计怎样的方案,能使运这批挖掘机的总费用最省?24、荣昌公司要将本公司100吨货物运往某地销售,经与春晨运输公司协商,计划租用甲、乙两种型号的汽车共6辆,用这6辆汽车一次将货物全部运走,其中每辆甲型汽车最多能装该种货物16吨,每辆乙型汽车最多能装该种货物18吨.已知租用1辆甲型汽车和2辆乙型汽车共需费用2500元;租用2辆甲型汽车和1辆乙型汽车共需费用2450元,且同一型号汽车每辆租车费用相同.(1)求租用一辆甲型汽车、一辆乙型汽车的费用分别是多少元?(2)若荣昌公司计划此次租车费用不超过5000元,通过计算求出该公司有几种租车方案?请你设计出来,并求出最低的租车费用.7、为打造“书香校园”,某学校计划用不超过1900本科技类书籍和1620本人文类书籍,组建中、小型两类图书角共30个.已知组建一个中型图书角需科技类书籍80本,人文类书籍50本;组建一个小型图书角需科技类书籍30本,人文类书籍60本.(1)问符合题意的组建方案有几种?请你帮学校设计出来;(2)若组建一个中型图书角的费用是860元,组建一个小型图书角的费用是570元,试说明在(1)中哪种方案费用最低?最低费用是多少元?8、在实施“中小学校舍安全工程”之际,某市计划对A、B两类学校的校舍进行改造,根据预算,改造一所A类学校和三所B类学校的校舍共需资金480万元,改造三所A类学校和一所B类学校的校舍共需资金400万元.(1)改造一所A类学校的校舍和一所B类学校的校舍所需资金分别是多少万元?(2)该市某县A、B两类学校共有8所需要改造.改造资金由国家财政和地方财政共同承担,若国家财政拨付的改造资金不超过770万元,地方财政投入的资金不少于210万元,其中地方财政投入到A、B两类学校的改造资金分别为每所20万元和30万元,请你通过计算求出有几种改造方案,每个方案中A、B 两类学校各有几所.9、重庆市政府为响应党中央建设社会主义新农村和节约型社会的号召,决定资助部分农村地区修建一批沼气池,使农民用到经济、环保的沼气能源。
红星村共有360户村民,村里得到34万元的政府资助款,准备再从各户筹集一部分资金修建A型、B型沼气池共20个。
两种型号沼气池每个修建费用、可供使用的户数、修建用地情况见下表:y 万元。
(1)试用含x的代数式表示y;(2)试问有几种满足以上要求的修建方案?(3)平均每户村民筹集500元钱,能否满足所需费用最少的修建方案。
10.某公司为了扩大经营,决定购进6台机器用于生产某种活塞。
现有甲、乙两种机器供选择,其中每种机器的价格和每台机器日生产活塞的数量如下表所示。
经过预算,本次购买机器所耗资金不能超过34万元。
(1)按该公司要求可以有几种购买方案?(2)若该公司购进的6台机器的日生产能力不能低于380个,那么为了节约资金应选择哪种方案?11.有10名菜农,每人可种甲种蔬菜3亩或乙种蔬菜2亩,已知甲种蔬菜每亩可收入0.5万元,乙种蔬菜每亩可收入0.8万元,若使总收入不低于15.6万,则最多只能安排多少人种甲种蔬菜?12.某汽车租赁公司要购买轿车和面包车共10辆,其中轿车至少要购买3辆,轿车每辆7万元,面包车每辆4万元,公司可投入的购车款不超过55万元;(1)符合公司要求的购买方案有几种?请说明理由;(2)如果每辆轿车的日租金为200元,每辆面包车的日租金为110元,假设新购买的这10辆车每日都可租出,要使这10辆车的日租金不低于1500元,那么应选择以上那种购买方案?13、火车站有某公司待运的甲种货物1530吨,乙种货物1150吨,现计划用50节A、B两种型号的车厢将这批货物运到北京,已知每节A型车厢的运费是0.5万元,每节B型车厢的运费是0.8万元;甲种货物35吨和乙种货物15吨可装满一节A型车厢,甲种货物25吨和乙种货物35吨可装满一节B型车厢。