关于数学公式大全
- 格式:doc
- 大小:892.50 KB
- 文档页数:15
数学公式大全(数学)数学公式大全数学是一门关于数量、结构、空间以及变化的学科,它是科学和工程中必不可少的基础。
数学公式是数学思想的精华所在,它们可以用来解决各种数学问题,并在实际应用中发挥重要作用。
本文将为您提供一份数学公式大全,涵盖了数学的各个领域。
一、代数和方程1. 一次方程式:ax + b = 0其中,a和b是已知常数,x是未知数。
2. 二次方程式:ax^2 + bx + c = 0其中,a、b、c是已知常数,x是未知数。
3. 四则运算:- 加法:a + b = c- 减法:a - b = c- 乘法:a × b = c- 除法:a ÷ b = c4. 幂运算:a^n表示将a自乘n次,其中a是底数,n是指数。
5. 开平方:√a表示寻找b,使得b^2 = a,其中a是要开方的数。
6. 排列和组合:- 排列:P(n, k) = n! / (n-k)!- 组合:C(n, k) = n! / (k!(n-k)!)其中,n为元素个数,k为要选择的元素个数,"!"表示阶乘运算。
二、几何和三角学1. 直角三角形:- 勾股定理:a^2 + b^2 = c^2- 正弦定理:sin(A) / a = sin(B) / b = sin(C) / c- 余弦定理:c^2 = a^2 + b^2 - 2abcos(C)2. 圆:- 圆的面积:A = πr^2- 圆的周长:C = 2πr其中,r为圆的半径,π是一个数学常数,近似值为3.14159。
3. 三角函数:- 正弦函数:sin(x)- 余弦函数:cos(x)- 正切函数:tan(x)其中,x为角度。
4. 三角恒等式:- 和差公式:sin(A ± B) = sin(A)cos(B) ± cos(A)sin(B)- 二倍角公式:sin(2A) = 2sin(A)cos(A)三、微积分1. 导数:f'(x)表示函数f(x)对x的变化率。
大学数学公式大全奇函数:关于原点对称f(-x)=-f(x):偶函数:关于y 轴对称导数公式:基本积分表:三角函数的有理式积分:ax x aa a ctgx x x tgx x x x ctgx x tgx a x x ln 1)(log ln )(csc )(csc sec )(sec csc )(sec )(22='='⋅-='⋅='-='='222211)(11)(11)(arccos 11)(arcsin x arcctgx x arctgx x x x x +-='+='--='-='⎰⎰⎰⎰⎰⎰⎰⎰⎰⎰+±+=±+=+=+=+-=⋅+=⋅+-==+==Ca x x a x dx C shx chxdx C chx shxdx Ca a dx a Cx ctgxdx x Cx dx tgx x Cctgx xdx x dx C tgx xdx x dx xx)ln(ln csc csc sec sec csc sin sec cos 22222222C axx a dx C x a xa a x a dx C a x ax a a x dx C a xarctg a x a dx Cctgx x xdx C tgx x xdx Cx ctgxdx C x tgxdx +=-+-+=-++-=-+=++-=++=+=+-=⎰⎰⎰⎰⎰⎰⎰⎰arcsin ln 21ln 211csc ln csc sec ln sec sin ln cos ln 22222222⎰⎰⎰⎰⎰++-=-+-+--=-+++++=+-===-Cax a x a x dx x a Ca x x a a x x dx a x Ca x x a a x x dx a x I nn xdx xdx I n n nn arcsin 22ln 22)ln(221cos sin 2222222222222222222222ππ222212211cos 12sin u dudx x tg u u u x u u x +==+-=+=, , , 一些初等函数: 两个重要极限:三角函数公式: ·诱导公式:·和差角公式: ·和差化积公式:·倍角公式:2sin2sin 2cos cos 2cos2cos 2cos cos 2sin2cos 2sin sin 2cos2sin2sin sin βαβαβαβαβαβαβαβαβαβαβαβα-+=--+=+-+=--+=+αββαβαβαβαβαβαβαβαβαβαβαctg ctg ctg ctg ctg tg tg tg tg tg ±⋅=±⋅±=±=±±=±1)(1)(sin sin cos cos )cos(sin cos cos sin )sin( xxarthx x x archx x x arshx e e e e chx shx thx e e chx e e shx x xxx xx xx -+=-+±=++=+-==+=-=----11ln21)1ln(1ln(:2:2:22)双曲正切双曲余弦双曲正弦...590457182818284.2)11(lim 1sin lim 0==+=∞→→e xxx x x x·半角公式:ααααααααααααααααααcos 1sin sin cos 1cos 1cos 12cos 1sin sin cos 1cos 1cos 122cos 12cos 2cos 12sin -=+=-+±=+=-=+-±=+±=-±=ctg tg·正弦定理:R CcB b A a 2sin sin sin ===·余弦定理:C ab b a c cos 2222-+=·反三角函数性质:arcctgx arctgx x x -=-=2arccos 2arcsin ππ高阶导数公式——莱布尼兹(Leibniz )公式:)()()()2()1()(0)()()(!)1()1(!2)1()(n k k n n n n nk k k n k n n uv v u k k n n n v u n n v nu v u v u C uv +++--++''-+'+==---=-∑中值定理与导数应用:拉格朗日中值定理。
一、函数1、函数的单调性:(1)设2121],,[x x b a x x <∈、那么],[)(0)()(21b a x f x f x f 在⇔<−上是增函数; ],[)(0)()(21b a x f x f x f 在⇔>−上是减函数. 也可以这样定义:设[]2121,,x x b a x x ≠∈⋅那么[]1212()()()0x x f x f x −−>⇔[]b a x f x x x f x f ,)(0)()(2121在⇔>−−上是增函数; []1212()()()0x x f x f x −−<⇔[]b a x f x x x f x f ,)(0)()(2121在⇔<−−上是减函数. (2)复合函数单调性:同增异减 2、函数的奇偶性首先判断函数定义域是否关于原点对称,若不对称则为非奇非偶函数;若对称则继续往下判断: 对于定义域内任意的x ,都有)()(x f x f =−,则)(x f 是偶函数; 对于定义域内任意的x ,都有)()(x f x f −=−,则)(x f 是奇函数。
奇函数的图象关于原点对称,偶函数的图象关于y 轴对称。
3、复合函数定义域求法规则:(1)定义域指的是单个x 的取值范围 (2) 同类型的函数括号内的范围相同 4、二次函数)0(2≠++=a c bx ax y 的性质(1)顶点坐标公式:⎪⎪⎭⎫ ⎝⎛−−ab ac a b 44,22, 对称轴:a b x 2−=,最大(小)值:a b ac 442− (2).二次函数的解析式的三种形式(1)一般式2()(0)f x ax bx c a =++≠; (2)顶点式 2()()(0)f x a x h k a =−+≠ ; (3)两根式12()()()(0)f x a x x x x a =−−≠. 5、指数与指数函数 幂的运算法则:(1)a m • a n = a m + n ,(2)nm n m aa a −=÷,(3)( a m ) n = a m n (4)( ab ) n = a n • b n(5) n n nb a b a =⎪⎭⎫ ⎝⎛(6)a 0 = 1 ( a ≠0)(7)n n a a 1=− (8)m n m na a =(9)m n m naa 1=−根式的性质(1)()nna a =.(2)当n 为奇数时,nna a =; 当n 为偶数时,,0||,0nna a a a a a ≥⎧==⎨−<⎩.指数函数y = a x (a > 0且a ≠1)的性质:(1)定义域:R ; 值域:( 0 , +∞) (2)图象过定点(0,1)6、指数式与对数式的互化: log b a N b a N =⇔=(0,1,0)a a N >≠>.7、对数与对数函数 对数的运算法则:(1)a b = N <=> b = log a N (2)log a 1 = 0(3)log a a = 1(4)log a a b = b (5)a log a N= N (6)log a (MN) = log a M + log a N (7)log a (NM) = log a M -- log a N (8)log a N b = b log a N (9)换底公式:log a N = aNb b log log(10)推论 log log m n a a nb b m=(0a >,且1a >,,0m n >,且1m ≠,1n ≠, 0N >). (11)log a N =aN log 1(12)常用对数:lg N = log 10 N (13)自然对数:ln A = log e A (其中 e = 2.71828…)对数函数y = log a x (a > 0且a ≠1)的性质:(1)定义域:( 0 , +∞) ; 值域:R (2)图象过定点(1,0)8、幂函数y = x a 的图象:根据 a 的取值画出函数在第一象限的简图 .例如: y = x 2 21x x y ==11−==x xy 9、图象平移:若将函数)(x f y =的图象右移a 、上移b 个单位, 得到函数b a x f y +−=)(的图象; 规律:左加右减,上加下减10、函数的零点:(1)定义:对于()y f x =,把使()0f x =的X 叫()y f x =的零点。
代数部分一、数1、正数和负数:正数大于0;负数小于0;2、0既不是正数,也不是负数;正数大于负数;3、整数包括:正整数,0和负整数;4、分数包括:正分数和负分数;5、有理数包括:整数和分数(有限小数,无限循环小数);6、数轴:在直线上取一点表示0(原点),选取单位长度,规定直线上向右的方向为正方向,这样的一条直线叫数轴;7、任何一个有理数(实数)都可以用数轴上的一个点表示,数轴上的每一个点都表示一个实数,即数轴上的点和实数是一一对应的;8、相反数:两个数只有符号不同,则其中一个数是另一个的相反数;两个互为相反数的数相加得0;0的相反数是09、在数轴上,表示互为相反数的两个点,位于原点两侧,且与原点距离相等;10、数轴上的两个点表示的数,右边的总比左边的大;11、绝对值:数轴上,所对应的点与原点的距离;12、正数的绝对值是它本身;负数的绝对值是它的相反数;0的绝对值是0;13、两个负数比较大小,绝对值大的反而小;14、有理数加法法则:同号相加,符号不变,绝对值相加;异号相加,绝对值相等的得0;绝对值不等的,符号和绝对值大的相同,然后绝对值相减;15、一个数加0,仍是这个数;16、加法交换律:A+B=B+A17、加法结合律:(A+B)+C=A + (B+C)18、有理数减法法则:减去一个数,等于加上这个数的相反数;19、有理数乘法法则:两数相乘,同号得正,异号得负,绝对值相乘;任何数与0相乘,积为0;20、乘积为1的两个有理数互为倒数;0没有倒数21、乘法交换律:AB=BA22、乘法结合律:(AB)C=A (BC)23、乘法分配律:A (B+C) =AB+AC24、有理数除法法则:两个有理数相除,同号得正,异号得负,绝对值相除;25、0除以任何非0的数都得0;0不能做除数26、乘方:求n个相同因数a的积的运算叫乘方,结果叫幂;a是底数;n是指数;na读作a的n次幂;27、有理数混和运算法则:先乘方,再乘除,后加减;有括号的先算括号里面的;28、无理数:无限不循环小数。
数学公式⼤全(最全⾯,最详细)⾼中数学公式⼤全(最全⾯,最详细)⾼中数学公式⼤全抛物线:y = ax *+ bx + c就是y等于ax 的平⽅加上bx再加上ca > 0时开⼝向上a < 0时开⼝向下c = 0时抛物线经过原点b = 0时抛物线对称轴为y轴还有顶点式y = a(x+h)* + k就是y等于a乘以(x+h)的平⽅+k-h是顶点坐标的xk是顶点坐标的y⼀般⽤于求最⼤值与最⼩值抛物线标准⽅程:y^2=2px它表⽰抛物线的焦点在x的正半轴上,焦点坐标为(p/2,0) 准线⽅程为x=-p/2由于抛物线的焦点可在任意半轴,故共有标准⽅程y^2=2px y^2=-2px x^2=2py x^2=-2py 圆:体积=4/3(pi)(r^3)⾯积=(pi)(r^2)周长=2(pi)r圆的标准⽅程(x-a)2+(y-b)2=r2 注:(a,b)是圆⼼坐标圆的⼀般⽅程x2+y2+Dx+Ey+F=0 注:D2+E2-4F>0(⼀)椭圆周长计算公式椭圆周长公式:L=2πb+4(a-b)椭圆周长定理:椭圆的周长等于该椭圆短半轴长为半径的圆周长(2πb)加上四倍的该椭圆长半轴长(a)与短半轴长(b)的差。
(⼆)椭圆⾯积计算公式椭圆⾯积公式:S=πab椭圆⾯积定理:椭圆的⾯积等于圆周率(π)乘该椭圆长半轴长(a)与短半轴长(b)的乘积。
以上椭圆周长、⾯积公式中虽然没有出现椭圆周率T,但这两个公式都是通过椭圆周率T推导演变⽽来。
常数为体,公式为⽤。
椭圆形物体体积计算公式椭圆的长半径*短半径*PAI*⾼三⾓函数:两⾓和公式sin(A+B)=sinAcosB+cosAsinB sin(A-B)=sinAcosB-sinBcosAcos(A+B)=cosAcosB-sinAsinB cos(A-B)=cosAcosB+sinAsinBtan(A+B)=(tanA+tanB)/(1-tanAtanB) tan(A-B)=(tanA-tanB)/(1+tanAtanB)cot(A+B)=(cotAcotB-1)/(cotB+cotA) cot(A-B)=(cotAcotB+1)/(cotB-cotA)倍⾓公式tan2A=2tanA/(1-tan2A) cot2A=(cot2A-1)/2cotacos2a=cos2a-sin2a=2cos2a-1=1-2sin2asinα+sin(α+2π/n)+sin(α+2π*2/n)+sin(α+2π*3/n)+……+sin[α+2π*(n-1)/n]=0cosα+cos(α+2π/n)+cos(α+2π*2/n)+cos(α+2π*3/n)+……+cos[α+2π*(n-1)/n]=0 以及sin^2(α)+sin^2(α-2π/3)+sin^2(α+2π/3)=3/2tanAtanBtan(A+B)+tanA+tanB-tan(A+B)=0四倍⾓公式:sin4A=-4*(cosA*sinA*(2*sinA^2-1))cos4A=1+(-8*cosA^2+8*cosA^4)tan4A=(4*tanA-4*tanA^3)/(1-6*tanA^2+tanA^4)五倍⾓公式:sin5A=16sinA^5-20sinA^3+5sinAcos5A=16cosA^5-20cosA^3+5cosAtan5A=tanA*(5-10*tanA^2+tanA^4)/(1-10*tanA^2+5*tanA^4)六倍⾓公式:sin6A=2*(cosA*sinA*(2*sinA+1)*(2*sinA-1)*(-3+4*sinA^2))cos6A=((-1+2*cosA^2)*(16*cosA^4-16*cosA^2+1))tan6A=(-6*tanA+20*tanA^3-6*tanA^5)/(-1+15*tanA^2-15*tanA^4+tanA^6)七倍⾓公式:sin7A=-(sinA*(56*sinA^2-112*sinA^4-7+64*sinA^6))cos7A=(cosA*(56*cosA^2-112*cosA^4+64*cosA^6-7))tan7A=tanA*(-7+35*tanA^2-21*tanA^4+tanA^6)/(-1+21*tanA^2-35*tanA^4+7*tanA^6)⼋倍⾓公式:sin8A=-8*(cosA*sinA*(2*sinA^2-1)*(-8*sinA^2+8*sinA^4+1))cos8A=1+(160*cosA^4-256*cosA^6+128*cosA^8-32*cosA^2)tan8A=-8*tanA*(-1+7*tanA^2-7*tanA^4+tanA^6)/(1-28*tanA^2+70*tanA^4-28*tanA^6+tanA^8 )九倍⾓公式:sin9A=(sinA*(-3+4*sinA^2)*(64*sinA^6-96*sinA^4+36*sinA^2-3))cos9A=(cosA*(-3+4*cosA^2)*(64*cosA^6-96*cosA^4+36*cosA^2-3))tan9A=tanA*(9-84*tanA^2+126*tanA^4-36*tanA^6+tanA^8)/(1-36*tanA^2+126*tanA^4-84*tan A^6+9*tanA^8)⼗倍⾓公式:sin10A=2*(cosA*sinA*(4*sinA^2+2*sinA-1)*(4*sinA^2-2*sinA-1)*(-20*sinA^2+5+16*sinA^4) )cos10A=((-1+2*cosA^2)*(256*cosA^8-512*cosA^6+304*cosA^4-48*cosA^2+1))tan10A=-2*tanA*(5-60*tanA^2+126*tanA^4-60*tanA^6+5*tanA^8)/(-1+45*tanA^2-210*tanA^ 4+210*tanA^6-45*tanA^8+tanA^10)·万能公式:sinα=2tan(α/2)/[1+tan^2(α/2)]cosα=[1-tan^2(α/2)]/[1+tan^2(α/2)]tanα=2tan(α/2)/[1-tan^2(α/2)]半⾓公式sin(A/2)=√((1-cosA)/2) sin(A/2)=-√((1-cosA)/2)cos(A/2)=√((1+cosA)/2) cos(A/2)=-√((1+cosA)/2)tan(A/2)=√((1-cosA)/((1+cosA)) tan(A/2)=-√((1-cosA)/((1+cosA))cot(A/2)=√((1+cosA)/((1-cosA)) cot(A/2)=-√((1+cosA)/((1-cosA))和差化积2sinAcosB=sin(A+B)+sin(A-B) 2cosAsinB=sin(A+B)-sin(A-B)2cosAcosB=cos(A+B)-sin(A-B) -2sinAsinB=cos(A+B)-cos(A-B)sinA+sinB=2sin((A+B)/2)cos((A-B)/2 cosA+cosB=2cos((A+B)/2)sin((A-B)/2)tanA+tanB=sin(A+B)/cosAcosB tanA-tanB=sin(A-B)/cosAcosBcotA+cotBsin(A+B)/sinAsinB -cotA+cotBsin(A+B)/sinAsinB某些数列前n项和1+2+3+4+5+6+7+8+9+…+n=n(n+1)/2 1+3+5+7+9+11+13+15+…+(2n-1)=n22+4+6+8+10+12+14+…+(2n)=n(n+1)1^2+2^2+3^2+4^2+5^2+6^2+7^2+8^2+…+n^2=n(n+1)(2n+1)/61^3+2^3+3^3+4^3+5^3+6^3+…n^3=(n(n+1)/2)^21*2+2*3+3*4+4*5+5*6+6*7+…+n(n+1)=n(n+1)(n+2)/3正弦定理a/sinA=b/sinB=c/sinC=2R 注:其中R 表⽰三⾓形的外接圆半径余弦定理b2=a2+c2-2accosB 注:⾓B是边a和边c的夹⾓乘法与因式分a2-b2=(a+b)(a-b) a3+b3=(a+b)(a2-ab+b2) a3-b3=(a-b(a2+ab+b2)三⾓不等式|a+b|≤|a|+|b| |a-b|≤|a|+|b| |a|≤b<=>-b≤a≤b|a-b|≥|a|-|b| -|a|≤a≤|a|⼀元⼆次⽅程的解-b+√(b2-4ac)/2a -b-√(b2-4ac)/2a根与系数的关系x1+x2=-b/a x1*x2=c/a 注:韦达定理判别式b2-4a=0 注:⽅程有相等的两实根b2-4ac>0 注:⽅程有两个不相等的个实根b2-4ac<0 注:⽅程有共轭复数根公式分类公式表达式圆的标准⽅程(x-a)2+(y-b)2=r2 注:(a,b)是圆⼼坐标圆的⼀般⽅程x2+y2+Dx+Ey+F=0 注:D2+E2-4F>0抛物线标准⽅程y2=2px y2=-2px x2=2py x2=-2py直棱柱侧⾯积S=c*h 斜棱柱侧⾯积S=c'*h正棱锥侧⾯积S=1/2c*h' 正棱台侧⾯积S=1/2(c+c')h'圆台侧⾯积S=1/2(c+c')l=pi(R+r)l 球的表⾯积S=4pi*r2圆柱侧⾯积S=c*h=2pi*h 圆锥侧⾯积S=1/2*c*l=pi*r*l弧长公式l=a*r a是圆⼼⾓的弧度数r >0 扇形⾯积公式s=1/2*l*r锥体体积公式V=1/3*S*H 圆锥体体积公式V=1/3*pi*r2h斜棱柱体积V=S'L 注:其中,S'是直截⾯⾯积,L是侧棱长柱体体积公式V=s*h 圆柱体V=pi*r2h图形周长⾯积体积公式长⽅形的周长=(长+宽)×2正⽅形的周长=边长×4长⽅形的⾯积=长×宽正⽅形的⾯积=边长×边长三⾓形的⾯积已知三⾓形底a,⾼h,则S=ah/2已知三⾓形三边a,b,c,半周长p,则S=√[p(p - a)(p - b)(p - c)] (海伦公式)(p=(a+b+c)/2)和:(a+b+c)*(a+b-c)*1/4已知三⾓形两边a,b,这两边夹⾓C,则S=absinC/2设三⾓形三边分别为a、b、c,内切圆半径为r则三⾓形⾯积=(a+b+c)r/2设三⾓形三边分别为a、b、c,外接圆半径为r则三⾓形⾯积=abc/4r已知三⾓形三边a、b、c,则S=√{1/4[c^2a^2-((c^2+a^2-b^2)/2)^2]} (“三斜求积” 南宋秦九韶)| a b 1 |S△=1/2 * | c d 1 || e f 1 |【| a b 1 || c d 1 | 为三阶⾏列式,此三⾓形ABC在平⾯直⾓坐标系内A(a,b),B(c,d), C(e,f),这⾥ABC| e f 1 |选区取最好按逆时针顺序从右上⾓开始取,因为这样取得出的结果⼀般都为正值,如果不按这个规则取,可能会得到负值,但不要紧,只要取绝对值就可以了,不会影响三⾓形⾯积的⼤⼩!】秦九韶三⾓形中线⾯积公式:S=√[(Ma+Mb+Mc)*(Mb+Mc-Ma)*(Mc+Ma-Mb)*(Ma+Mb-Mc)]/3其中Ma,Mb,Mc为三⾓形的中线长.平⾏四边形的⾯积=底×⾼梯形的⾯积=(上底+下底)×⾼÷2直径=半径×2 半径=直径÷2圆的周长=圆周率×直径=圆周率×半径×2圆的⾯积=圆周率×半径×半径长⽅体的表⾯积=(长×宽+长×⾼+宽×⾼)×2长⽅体的体积=长×宽×⾼正⽅体的表⾯积=棱长×棱长×6正⽅体的体积=棱长×棱长×棱长圆柱的侧⾯积=底⾯圆的周长×⾼圆柱的表⾯积=上下底⾯⾯积+侧⾯积圆柱的体积=底⾯积×⾼圆锥的体积=底⾯积×⾼÷3长⽅体(正⽅体、圆柱体)的体积=底⾯积×⾼平⾯图形名称符号周长C和⾯积S正⽅形a—边长C=4aS=a2长⽅形a和b-边长C=2(a+b)S=ab三⾓形a,b,c-三边长h-a边上的⾼s-周长的⼀半A,B,C-内⾓其中s=(a+b+c)/2 S=ah/2=ab/2?sinC=[s(s-a)(s-b)(s-c)]1/2=a2sinBsinC/(2sinA)1 过两点有且只有⼀条直线2 两点之间线段最短3 同⾓或等⾓的补⾓相等4 同⾓或等⾓的余⾓相等5 过⼀点有且只有⼀条直线和已知直线垂直6 直线外⼀点与直线上各点连接的所有线段中,垂线段最短7 平⾏公理经过直线外⼀点,有且只有⼀条直线与这条直线平⾏8 如果两条直线都和第三条直线平⾏,这两条直线也互相平⾏9 同位⾓相等,两直线平⾏10 内错⾓相等,两直线平⾏11 同旁内⾓互补,两直线平⾏12两直线平⾏,同位⾓相等13 两直线平⾏,内错⾓相等14 两直线平⾏,同旁内⾓互补15 定理三⾓形两边的和⼤于第三边16 推论三⾓形两边的差⼩于第三边17 三⾓形内⾓和定理三⾓形三个内⾓的和等于180°18 推论1 直⾓三⾓形的两个锐⾓互余19 推论2 三⾓形的⼀个外⾓等于和它不相邻的两个内⾓的和20 推论3 三⾓形的⼀个外⾓⼤于任何⼀个和它不相邻的内⾓21 全等三⾓形的对应边、对应⾓相等22边⾓边公理(sas) 有两边和它们的夹⾓对应相等的两个三⾓形全等23 ⾓边⾓公理( asa)有两⾓和它们的夹边对应相等的两个三⾓形全等24 推论(aas) 有两⾓和其中⼀⾓的对边对应相等的两个三⾓形全等25 边边边公理(sss) 有三边对应相等的两个三⾓形全等26 斜边、直⾓边公理(hl) 有斜边和⼀条直⾓边对应相等的两个直⾓三⾓形全等27 定理1 在⾓的平分线上的点到这个⾓的两边的距离相等28 定理2 到⼀个⾓的两边的距离相同的点,在这个⾓的平分线上29 ⾓的平分线是到⾓的两边距离相等的所有点的集合30 等腰三⾓形的性质定理等腰三⾓形的两个底⾓相等(即等边对等⾓)31 推论1 等腰三⾓形顶⾓的平分线平分底边并且垂直于底边32 等腰三⾓形的顶⾓平分线、底边上的中线和底边上的⾼互相重合33 推论3 等边三⾓形的各⾓都相等,并且每⼀个⾓都等于60°34 等腰三⾓形的判定定理如果⼀个三⾓形有两个⾓相等,那么这两个⾓所对的边也相等(等⾓对等边)35 推论1 三个⾓都相等的三⾓形是等边三⾓形36 推论2 有⼀个⾓等于60°的等腰三⾓形是等边三⾓形37 在直⾓三⾓形中,如果⼀个锐⾓等于30°那么它所对的直⾓边等于斜边的⼀半38 直⾓三⾓形斜边上的中线等于斜边上的⼀半39 定理线段垂直平分线上的点和这条线段两个端点的距离相等40 逆定理和⼀条线段两个端点距离相等的点,在这条线段的垂直平分线上41 线段的垂直平分线可看作和线段两端点距离相等的所有点的集合42 定理1 关于某条直线对称的两个图形是全等形43 定理2 如果两个图形关于某直线对称,那么对称轴是对应点连线的垂直平分线44定理3 两个图形关于某直线对称,如果它们的对应线段或延长线相交,那么交点在对称轴上45逆定理如果两个图形的对应点连线被同⼀条直线垂直平分,那么这两个图形关于这条直线对称46勾股定理直⾓三⾓形两直⾓边a、b的平⽅和、等于斜边c的平⽅,即a^2+b^2=c^2 47勾股定理的逆定理如果三⾓形的三边长a、b、c有关系a^2+b^2=c^2 ,那么这个三⾓形是直⾓三⾓形48定理四边形的内⾓和等于360°49四边形的外⾓和等于360°50多边形内⾓和定理n边形的内⾓的和等于(n-2)×180°51推论任意多边的外⾓和等于360°52平⾏四边形性质定理1 平⾏四边形的对⾓相等53平⾏四边形性质定理2 平⾏四边形的对边相等54推论夹在两条平⾏线间的平⾏线段相等55平⾏四边形性质定理3 平⾏四边形的对⾓线互相平分56平⾏四边形判定定理1 两组对⾓分别相等的四边形是平⾏四边形57平⾏四边形判定定理2 两组对边分别相等的四边形是平⾏四边形58平⾏四边形判定定理3 对⾓线互相平分的四边形是平⾏四边形59平⾏四边形判定定理4 ⼀组对边平⾏相等的四边形是平⾏四边形60矩形性质定理1 矩形的四个⾓都是直⾓61矩形性质定理2 矩形的对⾓线相等62矩形判定定理1 有三个⾓是直⾓的四边形是矩形63矩形判定定理2 对⾓线相等的平⾏四边形是矩形64菱形性质定理1 菱形的四条边都相等65菱形性质定理2 菱形的对⾓线互相垂直,并且每⼀条对⾓线平分⼀组对⾓66菱形⾯积=对⾓线乘积的⼀半,即s=(a×b)÷267菱形判定定理1 四边都相等的四边形是菱形68菱形判定定理2 对⾓线互相垂直的平⾏四边形是菱形69正⽅形性质定理1 正⽅形的四个⾓都是直⾓,四条边都相等70正⽅形性质定理2正⽅形的两条对⾓线相等,并且互相垂直平分,每条对⾓线平分⼀组对⾓71定理1 关于中⼼对称的两个图形是全等的72定理2 关于中⼼对称的两个图形,对称点连线都经过对称中⼼,并且被对称中⼼平分73逆定理如果两个图形的对应点连线都经过某⼀点,并且被这⼀点平分,那么这两个图形关于这⼀点对称74等腰梯形性质定理等腰梯形在同⼀底上的两个⾓相等75等腰梯形的两条对⾓线相等76等腰梯形判定定理在同⼀底上的两个⾓相等的梯形是等腰梯形77对⾓线相等的梯形是等腰梯形78平⾏线等分线段定理如果⼀组平⾏线在⼀条直线上截得的线段相等,那么在其他直线上截得的线段也相等79 推论1 经过梯形⼀腰的中点与底平⾏的直线,必平分另⼀腰80 推论2 经过三⾓形⼀边的中点与另⼀边平⾏的直线,必平分第三边81 三⾓形中位线定理三⾓形的中位线平⾏于第三边,并且等于它的⼀半82 梯形中位线定理梯形的中位线平⾏于两底,并且等于两底和的⼀半l=(a+b)÷2 s=l×h83 (1)⽐例的基本性质如果a:b=c:d,那么ad=bc 如果ad=bc,那么a:b=c:d84 (2)合⽐性质如果a/b=c/d,那么(a±b)/b=(c±d)/d85 (3)等⽐性质如果a/b=c/d=…=m/n(b+d+…+n≠0),那么(a+c+…+m)/(b+d+…+n)=a/b86 平⾏线分线段成⽐例定理三条平⾏线截两条直线,所得的对应线段成⽐例87 推论平⾏于三⾓形⼀边的直线截其他两边(或两边的延长线),所得的对应线段成⽐例88 定理如果⼀条直线截三⾓形的两边(或两边的延长线)所得的对应线段成⽐例,那么这条直线平⾏于三⾓形的第三边89 平⾏于三⾓形的⼀边,并且和其他两边相交的直线,所截得的三⾓形的三边与原三⾓形三边对应成⽐例90 定理平⾏于三⾓形⼀边的直线和其他两边(或两边的延长线)相交,所构成的三⾓形与原三⾓形相似91 相似三⾓形判定定理1 两⾓对应相等,两三⾓形相似(asa)92 直⾓三⾓形被斜边上的⾼分成的两个直⾓三⾓形和原三⾓形相似93 判定定理2 两边对应成⽐例且夹⾓相等,两三⾓形相似(sas)94 判定定理3 三边对应成⽐例,两三⾓形相似(sss)95 定理如果⼀个直⾓三⾓形的斜边和⼀条直⾓边与另⼀个直⾓三⾓形的斜边和⼀条直⾓边对应成⽐例,那么这两个直⾓三⾓形相似96 性质定理1 相似三⾓形对应⾼的⽐,对应中线的⽐与对应⾓平分线的⽐都等于相似⽐97 性质定理2 相似三⾓形周长的⽐等于相似⽐98 性质定理3 相似三⾓形⾯积的⽐等于相似⽐的平⽅99 任意锐⾓的正弦值等于它的余⾓的余弦值,任意锐⾓的余弦值等于它的余⾓的正弦值100任意锐⾓的正切值等于它的余⾓的余切值,任意锐⾓的余切值等于它的余⾓的正切值101圆是定点的距离等于定长的点的集合102圆的内部可以看作是圆⼼的距离⼩于半径的点的集合103圆的外部可以看作是圆⼼的距离⼤于半径的点的集合104同圆或等圆的半径相等105到定点的距离等于定长的点的轨迹,是以定点为圆⼼,定长为半径的圆106和已知线段两个端点的距离相等的点的轨迹,是着条线段的垂直平分线107到已知⾓的两边距离相等的点的轨迹,是这个⾓的平分线108到两条平⾏线距离相等的点的轨迹,是和这两条平⾏线平⾏且距离相等的⼀条直线109定理不在同⼀直线上的三点确定⼀个圆。
数学公式归纳总结大全1)抛物线y = ax^2 + bx + c (a≠0)就是y等于a乘以x 的平方加上 b乘以x再加上 c置于平面直角坐标系中a > 0时开口向上a < 0时开口向下(a=0时为一元一次函数)c>0时函数图像与y轴正方向相交c< 0时函数图像与y轴负方向相交c = 0时抛物线经过原点b = 0时抛物线对称轴为y轴(当然a=0且b≠0时该函数为一次函数)还有顶点公式y = a(x+h)* 2+ k ,(h,k)=(-b/(2a),(4ac-b^2)/(4a))就是y等于a乘以(x+h)的平方+k-h是顶点坐标的xk是顶点坐标的y一般用于求最大值与最小值和对称轴抛物线标准方程:y^2=2px它表示抛物线的焦点在x的正半轴上,焦点坐标为(p/2,0) 准线方程为x=-p/2由于抛物线的焦点可在任意半轴,故共有标准方程y^2=2px y^2=-2px x^2=2py x^2=-2py(2)圆球体积=(4/3)π(r^3)面积=π(r^2)周长=2πr =πd圆的标准方程 (x-a)^2+(y-b)^2=r^2 注:(a,b)是圆心坐标圆的一般方程 x2+y2+Dx+Ey+F=0 注:D^2+E^2-4F>0(一)椭圆周长计算公式椭圆周长公式:L=2πb+4(a-b)椭圆周长定理:椭圆的周长等于该椭圆短半轴长为半径的圆周长(2πb)加上四倍的该椭圆长半轴长(a)与短半轴长(b)的差。
(二)椭圆面积计算公式椭圆面积公式: S=πab椭圆面积定理:椭圆的面积等于圆周率(π)乘该椭圆长半轴长(a)与短半轴长(b)的乘积。
以上椭圆周长、面积公式中虽然没有出现椭圆周率T,但这两个公式都是通过椭圆周率T推导演变而来。
常数为体,公式为用。
椭球物体体积计算公式椭圆的长半径*短半径*π*高(3)三角函数和差角公式sin(A+B)=sinAcosB+cosAsinB ;sin(A-B)=sinAcosB - sinBcosA ;cos(A+B)=cosAcosB - sinAsinB ;cos(A-B)=cosAcosB + sinAsinB ;tan(A+B)=(tanA+tanB)/(1-tanAtanB);tan(A-B)=(tanA-tanB)/(1+tanAtanB) ;cot(A+B)=(cosAcotB-1)/(cosB+cotA) ;cot(A-B)=(cosAcotB+1)/(cosB-cotA) ;倍角公式tan2A=2tanA/(1-tan^2A) ;cot2A=(cot^2A-1)/2cota ;cos2a=cos^2a-sin^2a=2cos^2a-1=1-2sin^2a ;sin2A=2sinAcosA=2/(tanA+cotA);另:sinα+sin(α+2π/n)+sin(α+2π*2/n)+sin(α+2π*3/n)+……+sin[α+2π*(n-1)/n]=0 ;cosα+cos(α+2π/n)+cos(α+2π*2/n)+cos(α+2π*3/n)+……+cos[α+2π*(n-1)/n]=0 以及sin^2(α)+sin^2(α-2π/3)+sin^2(α+2π/3)=3/2 ;tanAtanBtan(A+B)+tanA+tanB-tan(A+B)=0;四倍角公式:sin4A=-4*(cosA*sinA*(2*sinA^2-1))cos4A=1+(-8*cosA^2+8*cosA^4)tan4A=(4*tanA-4*tanA^3)/(1-6*tanA^2+tanA^4)五倍角公式:sin5A=16sinA^5-20sinA^3+5sinAcos5A=16cosA^5-20cosA^3+5cosAtan5A=tanA*(5-10*tanA^2+tanA^4)/(1-10*tanA^2+5*tanA^4) 六倍角公式:sin6A=2*(cosA*sinA)*(2*sinA+1)*(2*sinA-1)*(-3+4*sinA^2))cos6A=((-1+2*cosA^2)*(16*cosA^4-16*cosA^2+1))tan6A=(-6*tanA+20*tanA^3-6*tanA^5)/(-1+15*tanA^2-15*tan A^4+tanA^6)七倍角公式:sin7A=-(sinA*(56*sinA^2-112*sinA^4-7+64*sinA^6))cos7A=(cosA*(56*cosA^2-112*cosA^4+64*cosA^6-7))tan7A=tanA*(-7+35*tanA^2-21*tanA^4+tanA^6)/(-1+21*tanA^ 2-35*tanA^4+7*tanA^6)八倍角公式:sin8A=-8*(cosA*sinA*(2*sinA^2-1)*(-8*sinA^2+8*sinA^4+1) )cos8A=1+(160*cosA^4-256*cosA^6+128*cosA^8-32*cosA^2)tan8A=-8*tanA*(-1+7*tanA^2-7*tanA^4+tanA^6)/(1-28*tanA^ 2+70*tanA^4-28*tanA^6+tanA^8)九倍角公式:sin9A=(sinA*(-3+4*sinA^2)*(64*sinA^6-96*sinA^4+36*sinA^ 2-3))cos9A=(cosA*(-3+4*cosA^2)*(64*cosA^6-96*cosA^4+36*cosA^ 2-3))tan9A=tanA*(9-84*tanA^2+126*tanA^4-36*tanA^6+tanA^8)/(1 -36*tanA^2+126*tanA^4-84*tanA^6+9*tanA^8)十倍角公式:sin10A=2*(cosA*sinA*(4*sinA^2+2*sinA-1)*(4*sinA^2-2*sin A-1)*(-20*sinA^2+5+16*sinA^4))cos10A=((-1+2*cosA^2)*(256*cosA^8-512*cosA^6+304*cosA^4 -48*cosA^2+1))tan10A=-2*tanA*(5-60*tanA^2+126*tanA^4-60*tanA^6+5*tanA ^8)/(-1+45*tanA^2-210*tanA^4+210*tanA^6-45*tanA^8+tanA^10)万能公式:sinα=2tan(α/2)/[1+tan^2(α/2)]cosα=[1-tan^2(α/2)]/[1+tan^2(α/2)]tanα=2tan(α/2)/[1-tan^2(α/2)]半角公式sin(A/2)=√((1-cosA)/2) sin(A/2)=-√((1-cosA)/2)cos(A/2)=√((1+cosA)/2) cos(A/2)=-√((1+cosA)/2) tan(A/2)=√((1-cosA)/((1+cosA)) tan(A/2)=-√((1-cosA)/((1+cosA))cot(A/2)=√((1+cosA)/((1-cosA)) cot(A/2)=-√((1+cosA)/((1-cosA))和差化积2sinAcosB=sin(A+B)+sin(A-B);2cosAsinB=sin(A+B)-sin(A-B) ;2cosAcosB=cos(A+B)+cos(A-B) ;-2sinAsinB=cos(A+B)-cos(A-B) ;sinA+sinB=2sin((A+B)/2)cos((A-B)/2 ;cosA+cosB=2cos((A+B)/2)sin((A-B)/2) ;tanA+tanB=sin(A+B)/cosAcosB;tanA-tanB=sin(A-B)/cosAcosB ;cotA+cotB=sin(A+B)/sinAsinB;-cotA+cotB=sin(A+B)/sinAsinB ;降幂公式sin²(A)=(1-cos(2A))/2=versin(2A)/2;cos²(α)=(1+cos(2A))/2=covers(2A)/2;tan²(α)=(1-cos(2A))/(1+cos(2A));正弦定理 a/sinA=b/sinB=c/sinC=2R 注:其中 R 表示三角形的外接圆半径余弦定理 b^2=a^2+c^2-2accosB 注:角B是边a和边c的夹角(4)反三角函数arcsin(-x)=-arcsinxarccos(-x)=π-arccosxarctan(-x)=-arctanxarccot(-x)=π-arccotx(5)数列等差数列通项公式:an﹦a1﹢(n-1)d等差数列前n项和:Sn=[n(A1+An)]/2 =nA1+[n(n-1)d]/2等比数列通项公式:an=a1*q^(n-1);等比数列前n项和:Sn=a1(1-q^n)/(1-q) =(a1-a1q^n)/(1-q) =a1/(1-q)-a1/(1-q)*q^n (n≠1)某些数列前n项和:1+2+3+4+5+6+7+8+9+…+n=n(n+1)/21+3+5+7+9+11+13+15+…+(2n-1)=n^22+4+6+8+10+12+14+…+(2n)=n(n+1)1^2+2^2+3^2+4^2+5^2+6^2+7^2+8^2+…+n^2=n(n+1)(2n+1)/61^3+2^3+3^3+4^3+5^3+6^3+…n^3=(n(n+1)/2)^21*2+2*3+3*4+4*5+5*6+6*7+…+n(n+1)=n(n+1)(n+2)/3 (6)乘法与因式分解因式分解a^2-b^2=(a+b)(a-b)a^2±2ab+b^2=(a±b)^2a^3+b^3=(a+b)(a^2-ab+b^2)a^3-b^3=(a-b)(a^2+ab+b^2)a^3±3a^2b+3ab^2±b^3=(a±b)^3乘法公式把上面的因式分解公式左边和右边颠倒过来就是乘法公式(7)三角不等式-|a|≤a≤|a||a|≤b<=>-b≤a≤b|a|≤b<=>-b≤a≤b|a|-|b|≤|a+b|≤|a|+|b| |a|≤b<=>-b≤a≤b|a|-|b|≤|a-b|≤|a|+|b||z1|-|z2|-...-|zn|≤|z1+z2+...+zn|≤|z1|+|z2|+...+|zn||z1|-|z2|-...-|zn|≤|z1-z2-...-zn|≤|z1|+|z2|+...+|zn||z1|-|z2|-...-|zn|≤|z1±z2±...±zn|≤|z1|+|z2|+...+|zn|(8)一元二次方程一元二次方程的解wx1= -b+√(b^2-4ac)/2a x2= -b-√(b^2-4ac)/2a根与系数的关系(韦达定理) x1+x2=-b/a ; x1*x2=c/a判别式△= b^2-4ac=0 则方d程有相等的个实根△>0 则方程有两个不相等的两实根△<0 则方程有两共轭复数根d(没有实根)公式分类公式表达式圆的标准方程 (x-a)^2+(y-b)^2=r^2 注:(a,b)是圆心坐标圆的一般方程 x^2+y^2+Dx+Ey+F=0 注:△=D^2+E^2-4F>0 抛物线标准方程 y^2=2px y^2=-2px x^2=2py x^2=-2py直棱柱侧面积 S=c*h 斜棱柱侧面积 S=c' *h正棱锥侧面积 S=1/2c*h' 正棱台侧面积 S=1/2(c+c')h'圆台侧面积 S=1/2(c+c')l=pi(R+r)l 球的表面积 S=4π*r2圆柱侧面积 S=c*h=2π*h 圆锥侧面积 S=1/2*c*l=π*r*l 弧长公式 l=a*r a是圆心角的弧度数r >0 扇形面积公式s=1/2*l*r锥体体积公式 V=1/3*S*H 圆锥体体积公式 V=1/3*pi*r2h 斜棱柱体积 V=S'L 注:其中,S'是直截面面积, L是侧棱长柱体体积公式 V=s*h 圆柱体 V=π*r2h图形周长面积体积公式长方形的周长=(长+宽)³2 c =2〔a+b〕正方形的周长=边长³4 c=4a长方形的面积=长³宽 s=ab正方形的面积=边长³边长 s=a2三角形的面积=底³高÷2已知三角形底a,高h,则S=ah/2已知三角形三边a,b,c,半周长p,则S=√[p(p - a)(p - b)(p - c)](海伦秦九韶公式)(p= (a+b+c)/2)和:(a+b+c)*(a+b-c)*1/4已知三角形两边a,b,这两边夹角C,则S=absinC/2设三角形三边分别为a、b、c,内切圆半径为r则三角形面积=(a+b+c)r/2设三角形三边分别为a、b、c,外接圆半径为r则三角形面积=abc/4r已知三角形三边a、b、c,则S=√{1/4[c^2a^2-((c^2+a^2-b^2)/2)^2]} (“三斜求积”南宋秦九韶)注:秦九韶公式与海伦公式等价| a b 1 |S△=1/2 * | c d 1 || e f 1 |【| a b 1|| c d 1| 为三阶行列式,此三角形ABC在平面直角坐标系内A(a,b),B(c,d), C(e,f),这里| e f 1 |ABC选区取最好按逆时针顺序从右上角开始取,因为这样取得出的结果一般都为正值,如果不按这个规则取,可能会得到负值,但不要紧,只要取绝对值就可以了,不会影响三角形面积的大小!】秦九韶三角形中线面积公式:S=√[(Ma+Mb+Mc)*(Mb+Mc-Ma)*(Mc+Ma-Mb)*(Ma+Mb-Mc)]/3 其中Ma,Mb,Mc为三角形的中线长.平行四边形的面积=底³高梯形的面积=(上底+下底)³高÷2直径=2 r圆的周长=πd= 2πr圆的面积= πr^2长方体的表面积=(长³宽+宽³高+高³长)³2 s=2〔ab+bc+ca〕长方体的体积 =长³宽³高 v=abc正方体的表面积=棱长³棱长³6 s=6a^2正方体的体积=棱长³棱长³棱长 v=a^3圆柱的侧面积=底面圆的周长³高 s=ch圆柱的表面积=上下底面面积+侧面积 s=2╥r^2圆柱的体积=底面积³高 v=sh圆锥的体积=底面积³高÷3 v=sh÷3柱体体积=底面积³高平面图形名称符号周长C和面积S正方形 a—边长 C=4a S=a^2长方形 a和b-边长 C=2(a+b) S=ab三角形 a,b,c-三边长其中s=(a+b+c)/2 S=ah/2 h-a边上的高=ab/2³sinCs-周长的一半=[s(s-a)(s-b)(s-c)]1/2A,B,C-内角=a^2sinBsinC/(2sinA)1 过两点有且只有一条直线2 两点之间线段最短3 同角或等角的补角相等4 同角或等角的余角相等5 过一点有且只有一条直线和已知直线垂直6 直线外一点与直线上各点连接的所有线段中,垂线段最短7 平行公理经过直线外一点,有且只有一条直线与这条直线平行8 如果两条直线都和第三条直线平行,这两条直线也互相平行9 同位角相等,两直线平行10 内错角相等,两直线平行11 同旁内角互补,两直线平行12两直线平行,同位角相等13 两直线平行,内错角相等14 两直线平行,同旁内角互补三角形15 定理三角形两边的和大于第三边16 推论三角形两边的差小于第三边17 三角形内角和定理三角形三个内角的和等于180°18 推论1 直角三角形的两个锐角互余19 推论2 三角形的一个外角等于和它不相邻的两个内角的和20 推论3 三角形的一个外角大于任何一个和它不相邻的内角21 全等三角形的对应边、对应角相等22边角边公理(sas) 有两边和它们的夹角对应相等的两个三角形全等23 角边角公理( asa)有两角和它们的夹边对应相等的两个三角形全等25 边边边公理(sss) 有三边对应相等的两个三角形全等26 斜边、直角边公理(hl) 有斜边和一条直角边对应相等的两个直角三角形全等27 定理1 在角的平分线上的点到这个角的两边的距离相等28 定理2 到一个角的两边的距离相同的点,在这个角的平分线上29 角的平分线是到角的两边距离相等的所有点的集合30 等腰三角形的性质定理等腰三角形的两个底角相等(即等边对等角)31 推论1 等腰三角形顶角的平分线平分底边并且垂直于底边32 等腰三角形的顶角平分线、底边上的中线和底边上的高互相重合33 推论3 等边三角形的各角都相等,并且每一个角都等于60°34 等腰三角形的判定定理如果一个三角形有两个角相等,那么这两个角所对的边也相等(等角对等边)35 推论1 三个角都相等的三角形是等边三角形36 推论 2 有一个角等于60°的等腰三角形是等边三角形37 在直角三角形中,如果一个锐角等于30°那么它所对的直角边等于斜边的一半38 直角三角形斜边上的中线等于斜边上的一半39 定理线段垂直平分线上的点和这条线段两个端点的距离相等40 逆定理和一条线段两个端点距离相等的点,在这条线段的垂直平分线上41 线段的垂直平分线可看作和线段两端点距离相等的所有点的集合42 定理1 关于某条直线对称的两个图形是全等形43 定理 2 如果两个图形关于某直线对称,那么对称轴是对应点连线的垂直平分线 44定理3 两个图形关于某直线对称,如果它们的对应线段或延长线相交,那么交点在对称轴上45逆定理如果两个图形的对应点连线被同一条直线垂直平分,那么这两个图形关于这条直线对称46勾股定理直角三角形两直角边a、b的平方和、等于斜边c的平方,即a^2+b^2=c^247勾股定理的逆定理如果三角形的三边长a、b、c有关系a^2+b^2=c^2 ,那么这个三角形是直角三角形四边形48定理四边形的内角和等于360°49四边形的外角和等于360°50多边形内角和定理 n边形的内角的和等于(n-2)³180°51推论任意多边的外角和等于360°52平行四边形性质定理1 平行四边形的对角相等53平行四边形性质定理2 平行四边形的对边相等54推论夹在两条平行线间的平行线段相等55平行四边形性质定理3 平行四边形的对角线互相平分56平行四边形判定定理1 两组对角分别相等的四边形是平行四边形57平行四边形判定定理2 两组对边分别相等的四边形是平行四边形58平行四边形判定定理3 对角线互相平分的四边形是平行四边形59平行四边形判定定理4 一组对边平行相等的四边形是平行四边形60矩形性质定理1 矩形的四个角都是直角61矩形性质定理2 矩形的对角线相等62矩形判定定理1 有三个角是直角的四边形是矩形63矩形判定定理2 对角线相等的平行四边形是矩形64菱形性质定理1 菱形的四条边都相等65菱形性质定理2 菱形的对角线互相垂直,并且每一条对角线平分一组对角66菱形面积=对角线乘积的一半,即s=(a³b)÷267菱形判定定理1 四边都相等的四边形是菱形68菱形判定定理2 对角线互相垂直的平行四边形是菱形69正方形性质定理1 正方形的四个角都是直角,四条边都相等70正方形性质定理2正方形的两条对角线相等,并且互相垂直平分,每条对角线平分一组对角71定理1 关于中心对称的两个图形是全等的72定理2 关于中心对称的两个图形,对称点连线都经过对称中心,并且被对称中心平分73逆定理如果两个图形的对应点连线都经过某一点,并且被这一点平分,那么这两个图形关于这一点对称74等腰梯形性质定理等腰梯形在同一底上的两个角相等75等腰梯形的两条对角线相等76等腰梯形判定定理在同一底上的两个角相等的梯形是等腰梯形77对角线相等的梯形是等腰梯形78平行线等分线段定理如果一组平行线在一条直线上截得的线段相等,那么在其他直线上截得的线段也相等79 推论1 经过梯形一腰的中点与底平行的直线,必平分另一腰80 推论2 经过三角形一边的中点与另一边平行的直线,必平分第三边81 三角形中位线定理三角形的中位线平行于第三边,并且等于它的一半82 梯形中位线定理梯形的中位线平行于两底,并且等于两底和的一半 l=(a+b)÷2 s=l³h83 (1)比例的基本性质如果a:b=c:d,那么ad=bc 如果ad=bc,那么a:b=c:d84 (2)合比性质如果a/b=c/d,那么(a±b)/b=(c±d)/d85 (3)等比性质如果a/b=c/d=…=m/n(b+d+…+n≠0),那么 (a+c+…+m)/(b+d+…+n)=a/b86 平行线分线段成比例定理三条平行线截两条直线,所得的对应线段成比例87 推论平行于三角形一边的直线截其他两边(或两边的延长线),所得的对应线段成比例88 定理如果一条直线截三角形的两边(或两边的延长线)所得的对应线段成比例,那么这条直线平行于三角形的第三边89 平行于三角形的一边,并且和其他两边相交的直线,所截得的三角形的三边与原三角形三边对应成比例90 定理平行于三角形一边的直线和其他两边(或两边的延长线)相交,所构成的三角形与原三角形相似91 相似三角形判定定理1 两角对应相等,两三角形相似(asa)92 直角三角形被斜边上的高分成的两个直角三角形和原三角形相似93 判定定理2 两边对应成比例且夹角相等,两三角形相似(sas)94 判定定理3 三边对应成比例,两三角形相似(sss)95 定理如果一个直角三角形的斜边和一条直角边与另一个直角三角形的斜边和一条直角边对应成比例,那么这两个直角三角形相似96 性质定理1 相似三角形对应高的比,对应中线的比与对应角平分线的比都等于相似比97 性质定理2 相似三角形周长的比等于相似比98 性质定理3 相似三角形面积的比等于相似比的平方99 任意锐角的正弦值等于它的余角的余弦值,任意锐角的余弦值等于它的余角的正弦值100任意锐角的正切值等于它的余角的余切值,任意锐角的余切值等于它的余角的正切值圆101圆是定点的距离等于定长的点的集合102圆的内部可以看作是圆心的距离小于半径的点的集合103圆的外部可以看作是圆心的距离大于半径的点的集合104同圆或等圆的半径相等105到定点的距离等于定长的点的轨迹,是以定点为圆心,定长为半径的圆106和已知线段两个端点的距离相等的点的轨迹,是着条线段的垂直平分线107到已知角的两边距离相等的点的轨迹,是这个角的平分线108到两条平行线距离相等的点的轨迹,是和这两条平行线平行且距离相等的一条直线109定理不在同一直线上的三点确定一个圆。
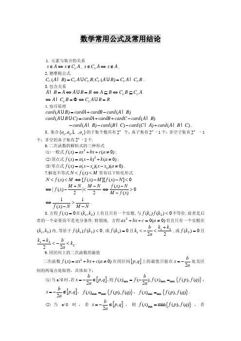
数学常用公式及常用结论1. 元素与集合的关系U x A x C A ∈⇔∉,U x C A x A ∈⇔∉. 2.德摩根公式();()U U U U U U C A B C A C B C A B C A C B == .3.包含关系A B A A B B =⇔= U U A B C B C A ⇔⊆⇔⊆U A C B ⇔=Φ U C A B R ⇔=4.容斥原理()()card A B cardA cardB card A B =+-()()card A B C cardA cardB cardC card A B =++-()()()()card A B card B C card C A card A B C ---+ .5.集合12{,,,}n a a a 的子集个数共有2n 个;真子集有2n –1个;非空子集有2n–1个;非空的真子集有2n–2个.6.二次函数的解析式的三种形式(1)一般式2()(0)f x ax bx c a =++≠; (2)顶点式2()()(0)f x a x h k a =-+≠; (3)零点式12()()()(0)f x a x x x x a =--≠. 7.解连不等式()N f x M <<常有以下转化形式()N f x M <<⇔[()][()]0f x M f x N --<⇔|()|22M N M N f x +--<⇔()0()f x NM f x ->- ⇔11()f x N M N>--. 8.方程0)(=x f 在),(21k k 上有且只有一个实根,与0)()(21<k f k f 不等价,前者是后者的一个必要而不是充分条件.特别地, 方程)0(02≠=++a c bx ax 有且只有一个实根在),(21k k 内,等价于0)()(21<k f k f ,或0)(1=k f 且22211k k a bk +<-<,或0)(2=k f 且22122k abk k <-<+. 9.闭区间上的二次函数的最值二次函数)0()(2≠++=a c bx ax x f 在闭区间[]q p ,上的最值只能在abx 2-=处及区间的两端点处取得,具体如下:(1)当a>0时,若[]q p a bx ,2∈-=,则{}m i n m a x m ax ()(),()(),()2b f x f f x f p f qa=-=;[]q p abx ,2∉-=,{}max max ()(),()f x f p f q =,{}min min ()(),()f x f p f q =. (2)当a<0时,若[]q p a bx ,2∈-=,则{}m i n ()m i n (),()f x f p f q =,若[]q p abx ,2∉-=,则{}max ()max (),()f x f p f q =,{}min ()min (),()f x f p f q =. 10.一元二次方程的实根分布依据:若()()0f m f n <,则方程0)(=x f 在区间(,)m n 内至少有一个实根 . 设q px x x f ++=2)(,则(1)方程0)(=x f 在区间),(+∞m 内有根的充要条件为0)(=m f 或2402p q p m ⎧-≥⎪⎨->⎪⎩;(2)方程0)(=x f 在区间(,)m n 内有根的充要条件为()()0f m f n <或2()0()0402f m f n p q p m n >⎧⎪>⎪⎪⎨-≥⎪⎪<-<⎪⎩或()0()0f m af n =⎧⎨>⎩或()0()0f n af m =⎧⎨>⎩; (3)方程0)(=x f 在区间(,)n -∞内有根的充要条件为()0f m <或2402p q p m ⎧-≥⎪⎨-<⎪⎩ .11.定区间上含参数的二次不等式恒成立的条件依据(1)在给定区间),(+∞-∞的子区间L (形如[]βα,,(]β,∞-,[)+∞,α不同)上含参数的二次不等式(,)0f x t ≥(t 为参数)恒成立的充要条件是min (,)0()f x t x L ≥∉.(2)在给定区间),(+∞-∞的子区间上含参数的二次不等式(,)0f x t ≥(t 为参数)恒成立的充要条件是(,)0()man f x t x L ≤∉.(3)0)(24>++=c bx ax x f 恒成立的充要条件是000a b c ≥⎧⎪≥⎨⎪>⎩或2040a b ac <⎧⎨-<⎩.12.13.14.四种命题的相互关系15.充要条件(1)充分条件:若p q ⇒,则p 是q 充分条件.(2)必要条件:若q p ⇒,则p 是q 必要条件.(3)充要条件:若p q ⇒,且q p ⇒,则p 是q 充要条件.注:如果甲是乙的充分条件,则乙是甲的必要条件;反之亦然. 16.函数的单调性(1)设[]2121,,x x b a x x ≠∈⋅那么[]1212()()()0x x f x f x -->⇔[]b a x f x x x f x f ,)(0)()(2121在⇔>--上是增函数;[]1212()()()0x x f x f x --<⇔[]b a x f x x x f x f ,)(0)()(2121在⇔<--上是减函数. (2)设函数)(x f y =在某个区间内可导,如果0)(>'x f ,则)(x f 为增函数;如果0)(<'x f ,则)(x f 为减函数.17.如果函数)(x f 和)(x g 都是减函数,则在公共定义域内,和函数)()(x g x f +也是减函数; 如果函数)(u f y =和)(x g u =在其对应的定义域上都是减函数,则复合函数)]([x g f y =是增函数.18.奇偶函数的图象特征奇函数的图象关于原点对称,偶函数的图象关于y 轴对称;反过来,如果一个函数的图象关于原点对称,那么这个函数是奇函数;如果一个函数的图象关于y 轴对称,那么这个函数是偶函数.19.若函数)(x f y =是偶函数,则)()(a x f a x f --=+;若函数)(a x f y +=是偶函数,则)()(a x f a x f +-=+.20.对于函数)(x f y =(R x ∈),)()(x b f a x f -=+恒成立,则函数)(x f 的对称轴是函数2b a x +=;两个函数)(a x f y +=与)(x b f y -= 的图象关于直线2ba x +=对称. 21.若)()(a x f x f +--=,则函数)(x f y =的图象关于点)0,2(a对称; 若)()(a x f x f +-=,则函数)(x f y =为周期为a 2的周期函数.22.多项式函数110()n n n n P x a x a x a --=+++ 的奇偶性多项式函数()P x 是奇函数⇔()P x 的偶次项(即奇数项)的系数全为零. 多项式函数()P x 是偶函数⇔()P x 的奇次项(即偶数项)的系数全为零. 23.函数()y f x =的图象的对称性(1)函数()y f x =的图象关于直线x a =对称()()f a x f a x ⇔+=-(2)()f a x f x ⇔-=.(2)函数()y f x =的图象关于直线2a bx +=对称()()f a mx f b mx ⇔+=- ()()f a b mx f mx ⇔+-=.24.两个函数图象的对称性(1)函数()y f x =与函数()y f x =-的图象关于直线0x =(即y 轴)对称. (2)函数()y f mx a =-与函数()y f b mx =-的图象关于直线2a bx m+=对称. (3)函数)(x f y =和)(1x f y -=的图象关于直线y=x 对称.25.若将函数)(x f y =的图象右移a 、上移b 个单位,得到函数b a x f y +-=)(的图象;若将曲线0),(=y x f 的图象右移a 、上移b 个单位,得到曲线0),(=--b y a x f 的图象.26.互为反函数的两个函数的关系a b f b a f =⇔=-)()(1.27.若函数)(b kx f y +=存在反函数,则其反函数为])([11b x f ky -=-,并不是)([1b kx f y +=-,而函数)([1b kx f y +=-是])([1b x f ky -=的反函数. 28.几个常见的函数方程(1)正比例函数()f x cx =,()()(),(1)f x y f x f y f c +=+=.(2)指数函数()x f x a =,()()(),(1)0f x y f x f y f a +==≠.(3)对数函数()log a f x x =,()()(),()1(0,1)f xy f x f y f a a a =+=>≠.(4)幂函数()f x x α=,'()()(),(1)f xy f x f y f α==.(5)余弦函数()cos f x x =,正弦函数()sin g x x =,()()()()()f x y f x f y g x g y -=+,()(0)1,lim1x g x f x→==. 29.几个函数方程的周期(约定a>0)(1))()(a x f x f +=,则)(x f 的周期T=a ; (2)0)()(=+=a x f x f ,或)0)(()(1)(≠=+x f x f a x f , 或1()()f x a f x +=-(()0)f x ≠,或[]1(),(()0,1)2f x a f x +=+∈,则)(x f 的周期T=2a ; (3))0)(()(11)(≠+-=x f a x f x f ,则)(x f 的周期T=3a ; (4))()(1)()()(212121x f x f x f x f x x f -+=+且1212()1(()()1,0||2)f a f x f x x x a =⋅≠<-<,则)(x f 的周期T=4a ;(5)()()(2)(3)(4)f x f x a f x a f x a f x a +++++++()()(2)(3)(4)f x f x a f x a f x a f x a =++++,则)(x f 的周期T=5a ; (6))()()(a x f x f a x f +-=+,则)(x f 的周期T=6a.30.分数指数幂(1)m na =(0,,a m n N *>∈,且1n >). (2)1m nm naa-=(0,,a m n N *>∈,且1n >).31.根式的性质 (1)n a =.(2)当na =; 当n,0||,0a a a a a ≥⎧==⎨-<⎩.32.有理指数幂的运算性质 (1) (0,,)r s r s a a a a r s Q +⋅=>∈. (2) ()(0,,)r s rs a a a r s Q =>∈.(3)()(0,0,)r r r ab a b a b r Q =>>∈.注: 若a >0,p 是一个无理数,则a p表示一个确定的实数.上述有理指数幂的运算性质,对于无理数指数幂都适用.33.指数式与对数式的互化式log b a N b a N =⇔=(0,1,0)a a N >≠>.34.对数的换底公式log log log m a m NN a=(0a >,且1a ≠,0m >,且1m ≠, 0N >).推论 log log m na a nb b m =(0a >,且1a >,,0m n >,且1m ≠,1n ≠, 0N >).35.对数的四则运算法则若a >0,a ≠1,M >0,N >0,则 (1)log ()log log a a a MN M N =+;(2) log log log aa a MM N N=-; (3)log log ()n a a M n M n R =∈.36.设函数)0)((log )(2≠++=a c bx ax x f m ,记ac b 42-=∆.若)(x f 的定义域为R ,则0>a ,且0<∆;若)(x f 的值域为R ,则0>a ,且0≥∆.对于0=a 的情形,需要单独检验.37. 对数换底不等式及其推广若0a >,0b >,0x >,1x a ≠,则函数log ()ax y bx = (1)当a b >时,在1(0,)a 和1(,)a +∞上log ()ax y bx =为增函数., (2)当a b <时,在1(0,)a 和1(,)a+∞上log ()ax y bx =为减函数. 推论:设1n m >>,0p >,0a >,且1a ≠,则 (1)log ()log m p m n p n ++<.(2)2log log log 2a a am nm n +<. 38. 平均增长率的问题如果原来产值的基础数为N ,平均增长率为p ,则对于时间x 的总产值y ,有(1)x y N p =+.39.数列的同项公式与前n 项的和的关系11,1,2n n n s n a s s n -=⎧=⎨-≥⎩( 数列{}n a 的前n 项的和为12n n s a a a =+++ ). 40.等差数列的通项公式*11(1)()n a a n d dn a d n N =+-=+-∈;其前n 项和公式为1()2n n n a a s +=1(1)2n n na d -=+ 211()22d n a d n =+-. 41.等比数列的通项公式1*11()n nn a a a q q n N q-==⋅∈; 其前n 项的和公式为11(1),11,1n n a q q s q na q ⎧-≠⎪=-⎨⎪=⎩或11,11,1n n a a qq q s na q -⎧≠⎪-=⎨⎪=⎩.42.等比差数列{}n a :11,(0)n n a qa d a b q +=+=≠的通项公式为1(1),1(),11n n n b n d q a bq d b q d q q -+-=⎧⎪=+--⎨≠⎪-⎩;其前n 项和公式为(1),(1)1(),(1)111n n nb n n d q s d q db n q q q q +-=⎧⎪=-⎨-+≠⎪---⎩. 43.分期付款(按揭贷款)每次还款(1)(1)1nnab b x b +=+-元(贷款a 元,n 次还清,每期利率为b ). 44.常见三角不等式 (1)若(0,)2x π∈,则sin tan x x x <<.(2) 若(0,)2x π∈,则1sin cos x x <+≤(3) |sin ||cos |1x x +≥.45.同角三角函数的基本关系式22sin cos 1θθ+=,tan θ=θθcos sin ,tan 1cot θθ⋅=. 46.正弦、余弦的诱导公式212(1)sin ,sin()2(1)s ,nn n co απαα-⎧-⎪+=⎨⎪-⎩212(1)s ,s ()2(1)s i n ,nn co n co απαα+⎧-⎪+=⎨⎪-⎩47.和角与差角公式sin()sin cos cos sin αβαβαβ±=±;cos()cos cos sin sin αβαβαβ±= ;tan tan tan()1tan tan αβαβαβ±±= .22sin()sin()sin sin αβαβαβ+-=-(平方正弦公式);22cos()cos()cos sin αβαβαβ+-=-.sin cos a b αα+=)αϕ+(辅助角ϕ所在象限由点(,)a b 的象限决定,tan baϕ= ).48.二倍角公式sin 2sin cos ααα=.2222cos 2cos sin 2cos 112sin ααααα=-=-=-.22tan tan 21tan ααα=-.49. 三倍角公式3sin 33sin 4sin 4sin sin()sin()33ππθθθθθθ=-=-+.3cos34cos 3cos 4cos cos()cos()33ππθθθθθθ=-=-+.323tan tan tan 3tan tan()tan()13tan 33θθππθθθθθ-==-+-.50.三角函数的周期公式函数sin()y x ωϕ=+,x ∈R 及函数cos()y x ωϕ=+,x ∈R(A,ω,ϕ为常数,且A ≠0,ω>0)的周期2T πω=;函数tan()y x ωϕ=+,,2x k k Z ππ≠+∈(A,ω,ϕ为常数,且A≠0,ω>0)的周期T πω=.51.正弦定理2sin sin sin a b cR A B C===. 52.余弦定理2222cos a b c bc A =+-; 2222cos b c a ca B =+-; 2222cos c a b ab C =+-.53.面积定理(1)111222a b c S ah bh ch ===(a b c h h h 、、分别表示a 、b 、c 边上的高). (2)111sin sin sin 222S ab C bc A ca B ===.(3)OAB S ∆=54.三角形内角和定理在△ABC 中,有()A B C C A B ππ++=⇔=-+222C A B π+⇔=-222()C A B π⇔=-+. 55. 简单的三角方程的通解sin (1)arcsin (,||1)k x a x k a k Z a π=⇔=+-∈≤. s 2arccos (,||1)co x a x k a k Z a π=⇔=±∈≤.tan arctan (,)x a x k a k Z a R π=⇒=+∈∈.特别地,有sin sin (1)()k k k Z αβαπβ=⇔=+-∈.s cos 2()co k k Z αβαπβ=⇔=±∈.tan tan ()k k Z αβαπβ=⇒=+∈.56.最简单的三角不等式及其解集sin (||1)(2arcsin ,2arcsin ),x a a x k a k a k Z πππ>≤⇔∈++-∈.sin (||1)(2arcsin ,2arcsin ),x a a x k a k a k Z πππ<≤⇔∈--+∈. cos (||1)(2arccos ,2arccos ),x a a x k a k a k Z ππ>≤⇔∈-+∈.cos (||1)(2arccos ,22arccos ),x a a x k a k a k Z πππ<≤⇔∈++-∈.tan ()(arctan ,),2x a a R x k a k k Z πππ>∈⇒∈++∈.tan ()(,arctan ),2x a a R x k k a k Z πππ<∈⇒∈-+∈.57.实数与向量的积的运算律 设λ、μ为实数,那么(1) 结合律:λ(μa )=(λμ)a ;(2)第一分配律:(λ+μ)a =λa +μa; (3)第二分配律:λ(a +b )=λa +λb . 58.向量的数量积的运算律: (1) a ·b= b ·a (交换律); (2)(λa )·b= λ(a ·b )=λa ·b = a ·(λb ); (3)(a +b )·c= a ·c +b ·c. 59.平面向量基本定理如果e 1、e 2是同一平面内的两个不共线向量,那么对于这一平面内的任一向量,有且只有一对实数λ1、λ2,使得a=λ1e 1+λ2e 2.不共线的向量e 1、e 2叫做表示这一平面内所有向量的一组基底. 60.向量平行的坐标表示设a =11(,)x y ,b =22(,)x y ,且b ≠0,则a b(b ≠0)12210x y x y ⇔-=. 53. a 与b 的数量积(或内积) a ·b =|a ||b |cos θ. 61. a ·b 的几何意义数量积a ·b 等于a 的长度|a |与b 在a 的方向上的投影|b |cos θ的乘积. 62.平面向量的坐标运算(1)设a =11(,)x y ,b =22(,)x y ,则a+b=1212(,)x x y y ++.(2)设a =11(,)x y ,b =22(,)x y ,则a-b=1212(,)x x y y --.(3)设A 11(,)x y ,B 22(,)x y ,则2121(,)AB OB OA x x y y =-=--.(4)设a =(,),x y R λ∈,则λa=(,)x y λλ.(5)设a =11(,)x y ,b =22(,)x y ,则a ·b=1212()x x y y +.63.两向量的夹角公式cos θ=(a =11(,)x y ,b =22(,)x y ).64.平面两点间的距离公式,A B d=||AB ==11(,)x y ,B 22(,)x y ).65.向量的平行与垂直设a =11(,)x y ,b =22(,)x y ,且b ≠0,则 A ||b ⇔b =λa 12210x y x y ⇔-=. a ⊥b(a ≠0)⇔a ·b=012120x x y y ⇔+=. 66.线段的定比分公式设111(,)P x y ,222(,)P x y ,(,)P x y 是线段12PP 的分点,λ是实数,且12PP PP λ=,则121211x x x y y y λλλλ+⎧=⎪⎪+⎨+⎪=⎪+⎩⇔121OP OP OP λλ+=+ ⇔12(1)OP tOP t OP =+- (11t λ=+). 67.三角形的重心坐标公式△ABC 三个顶点的坐标分别为11A(x ,y )、22B(x ,y )、33C(x ,y ),则△ABC 的重心的坐标是123123(,)33x x x y y y G ++++. 68.点的平移公式''''x x h x x h y y k y y k⎧⎧=+=-⎪⎪⇔⎨⎨=+=-⎪⎪⎩⎩''OP OP PP ⇔=+ . 注:图形F 上的任意一点P(x ,y)在平移后图形'F 上的对应点为'''(,)P x y ,且'PP的坐标为(,)h k .69.“按向量平移”的几个结论(1)点(,)P x y 按向量a =(,)h k 平移后得到点'(,)P x h y k ++.(2) 函数()y f x =的图象C 按向量a =(,)h k 平移后得到图象'C ,则'C 的函数解析式为()y f x h k =-+.(3) 图象'C 按向量a =(,)h k 平移后得到图象C ,若C 的解析式()y f x =,则'C 的函数解析式为()y f x h k =+-.(4)曲线C :(,)0f x y =按向量a =(,)h k 平移后得到图象'C ,则'C 的方程为(,)0f x h y k --=.(5) 向量m =(,)x y 按向量a =(,)h k 平移后得到的向量仍然为m =(,)x y .70. 三角形五“心”向量形式的充要条件设O 为ABC ∆所在平面上一点,角,,A B C 所对边长分别为,,a b c ,则(1)O 为ABC ∆的外心222OA OB OC ⇔== .(2)O 为ABC ∆的重心0OA OB OC ⇔++=.(3)O 为ABC ∆的垂心OA OB OB OC OC OA ⇔⋅=⋅=⋅.(4)O 为ABC ∆的内心0aOA bOB cOC ⇔++=.(5)O 为ABC ∆的A ∠的旁心aOA bOB cOC ⇔=+.71.常用不等式:(1),a b R ∈⇒222a b ab +≥(当且仅当a =b 时取“=”号).(2),a b R +∈⇒2a b+≥当且仅当a =b 时取“=”号). (3)3333(0,0,0).a b c abc a b c ++≥>>>(4)柯西不等式22222()()(),,,,.a b c d ac bd a b c d R ++≥+∈(5)b a b a b a +≤+≤-. 72.极值定理已知y x ,都是正数,则有(1)若积xy 是定值p ,则当y x =时和y x +有最小值p 2; (2)若和y x +是定值s ,则当y x =时积xy 有最大值241s . 推广 已知R y x ∈,,则有xy y x y x 2)()(22+-=+ (1)若积xy 是定值,则当||y x -最大时,||y x +最大; 当||y x -最小时,||y x +最小.(2)若和||y x +是定值,则当||y x -最大时, ||xy 最小; 当||y x -最小时, ||xy 最大.73.一元二次不等式20(0)ax bx c ++><或2(0,40)a b ac ≠∆=->,如果a 与2ax bx c ++同号,则其解集在两根之外;如果a 与2ax bx c ++异号,则其解集在两根之间.简言之:同号两根之外,异号两根之间.121212()()0()x x x x x x x x x <<⇔--<<; 121212,()()0()x x x x x x x x x x <>⇔--><或.74.含有绝对值的不等式 当a> 0时,有22x a x a a x a <⇔<⇔-<<.22x a x a x a >⇔>⇔>或x a <-.75.无理不等式 (1()0()0()()f x g x f x g x ≥⎧⎪>⇔≥⎨⎪>⎩. (22()0()0()()0()0()[()]f x f x g x g x g x f x g x ≥⎧≥⎧⎪>⇔≥⎨⎨<⎩⎪>⎩或. (32()0()()0()[()]f x g x g x f x g x ≥⎧⎪<⇔>⎨⎪<⎩. 76.指数不等式与对数不等式 (1)当1a >时,()()()()f x g x a a f x g x >⇔>;()0log ()log ()()0()()a a f x f x g x g x f x g x >⎧⎪>⇔>⎨⎪>⎩.(2)当01a <<时,()()()()f x g x a a f x g x >⇔<;()0log ()log ()()0()()a a f x f x g x g x f x g x >⎧⎪>⇔>⎨⎪<⎩77.斜率公式2121y y k x x -=-(111(,)P x y 、222(,)P x y ).78.直线的五种方程(1)点斜式 11()y y k x x -=- (直线l 过点111(,)P x y ,且斜率为k ). (2)斜截式 y kx b =+(b 为直线l 在y 轴上的截距).(3)两点式112121y y x x y y x x --=--(12y y ≠)(111(,)P x y 、222(,)P x y (12x x ≠)).(4)截距式 1x ya b+=(a b 、分别为直线的横、纵截距,0a b ≠、)(5)一般式 0Ax By C ++=(其中A 、B 不同时为0).79.两条直线的平行和垂直(1)若111:l y k x b =+,222:l y k x b =+ ①121212||,l l k k b b ⇔=≠; ②12121l l k k ⊥⇔=-.(2)若1111:0l A x B y C ++=,2222:0l A x B y C ++=,且A 1、A 2、B 1、B 2都不为零, ①11112222||A B C l l A B C ⇔=≠;②1212120l l A A B B ⊥⇔+=; 80.夹角公式(1)2121tan ||1k k k k α-=+.(111:l y k x b =+,222:l y k x b =+,121k k ≠-)(2)12211212tan ||A B A B A A B B α-=+.(1111:0l A x B y C ++=,2222:0l A x B y C ++=,12120A AB B +≠). 直线12l l ⊥时,直线l 1与l 2的夹角是2π.81. 1l 到2l 的角公式(1)2121tan 1k k k k α-=+.(111:l y k x b =+,222:l y k x b =+,121k k ≠-)(2)12211212tan A B A B A A B B α-=+.(1111:0l A x B y C ++=,2222:0l A x B y C ++=,12120A AB B +≠). 直线12l l ⊥时,直线l 1到l 2的角是2π.82.四种常用直线系方程(1)定点直线系方程:经过定点000(,)P x y 的直线系方程为00()y y k x x -=-(除直线0x x =),其中k 是待定的系数; 经过定点000(,)P x y 的直线系方程为00()()0A x x B y y -+-=,其中,A B 是待定的系数.(2)共点直线系方程:经过两直线1111:0l A x B y C ++=,2222:0l A x B y C ++=的交点的直线系方程为111222()()0A x B y C A x B y C λ+++++=(除2l ),其中λ是待定的系数.(3)平行直线系方程:直线y kx b =+中当斜率k 一定而b 变动时,表示平行直线系方程.与直线0Ax By C ++=平行的直线系方程是0Ax By λ++=(0λ≠),λ是参变量.(4)垂直直线系方程:与直线0Ax By C ++= (A ≠0,B ≠0)垂直的直线系方程是0Bx Ay λ-+=,λ是参变量.83.点到直线的距离d =(点00(,)P x y ,直线l :0Ax By C ++=).84. 或0<所表示的平面区域设直线:0l Ax By C ++=,则0Ax By C ++>或0<所表示的平面区域是: 若0B ≠,当B 与Ax By C ++同号时,表示直线l 的上方的区域;当B 与Ax By C ++异号时,表示直线l 的下方的区域.简言之,同号在上,异号在下.若0B =,当A 与Ax By C ++同号时,表示直线l 的右方的区域;当A 与Ax By C ++异号时,表示直线l 的左方的区域. 简言之,同号在右,异号在左.85. 111222()()0A x B y C A x B y C ++++>或0<所表示的平面区域 设曲线111222:()()0C A x B y C A x B y C ++++=(12120A A B B ≠),则 111222()()0A x B y C A x B y C ++++>或0<所表示的平面区域是:111222()()0A x B y C A x B y C ++++>所表示的平面区域上下两部分; 111222()()0A x B y C A x B y C ++++<所表示的平面区域上下两部分.86. 圆的四种方程(1)圆的标准方程 222()()x a y b r -+-=.(2)圆的一般方程 220x y Dx Ey F ++++=(224D E F +->0).(3)圆的参数方程 cos sin x a r y b r θθ=+⎧⎨=+⎩.(4)圆的直径式方程 1212()()()()0x x x x y y y y --+--=(圆的直径的端点是11(,)A x y 、22(,)B x y ).87. 圆系方程(1)过点11(,)A x y ,22(,)B x y 的圆系方程是1212112112()()()()[()()()()]0x x x x y y y y x x y y y y x x λ--+--+-----=1212()()()()()0x x x x y y y y ax by c λ⇔--+--+++=,其中0a x b yc ++=是直线AB 的方程,λ是待定的系数.(2)过直线l :0Ax By C ++=与圆C :220x y Dx Ey F ++++=的交点的圆系方程是22()0x y Dx Ey F Ax By C λ+++++++=,λ是待定的系数.(3) 过圆1C :221110x y D x E y F ++++=与圆2C :222220x y D x E y F++++=的交点的圆系方程是2222111222()0x y D x E y F x y D x E y F λ+++++++++=,λ是待定的系数.88.点与圆的位置关系点00(,)P x y 与圆222)()(r b y a x =-+-的位置关系有三种若d =d r >⇔点P 在圆外;d r =⇔点P 在圆上;d r <⇔点P 在圆内.89.直线与圆的位置关系直线0=++C By Ax 与圆222)()(r b y a x =-+-的位置关系有三种:0<∆⇔⇔>相离r d ; 0=∆⇔⇔=相切r d ; 0>∆⇔⇔<相交r d .其中22BA CBb Aa d +++=.90.两圆位置关系的判定方法设两圆圆心分别为O 1,O 2,半径分别为r 1,r 2,d O O =21条公切线外离421⇔⇔+>r r d ; 条公切线外切321⇔⇔+=r r d ;条公切线相交22121⇔⇔+<<-r r d r r ; 条公切线内切121⇔⇔-=r r d ; 无公切线内含⇔⇔-<<210r r d .91.圆的切线方程(1)已知圆220x y Dx Ey F ++++=.①若已知切点00(,)x y 在圆上,则切线只有一条,其方程是0000()()022D x xE y y x x y yF ++++++=. 当00(,)x y 圆外时, 0000()()022D x xE y y x x y yF ++++++=表示过两个切点的切点弦方程.②过圆外一点的切线方程可设为00()y y k x x -=-,再利用相切条件求k ,这时必有两条切线,注意不要漏掉平行于y 轴的切线.③斜率为k 的切线方程可设为y kx b =+,再利用相切条件求b ,必有两条切线.(2)已知圆222x y r +=.①过圆上的000(,)P x y 点的切线方程为200x x y y r +=;②斜率为k 的圆的切线方程为y kx =±92.椭圆22221(0)x y a b a b +=>>的参数方程是cos sin x a y b θθ=⎧⎨=⎩.93.椭圆22221(0)x y a b a b+=>>焦半径公式)(21c a x e PF +=,)(22x ca e PF -=.94.椭圆的的内外部(1)点00(,)P x y 在椭圆22221(0)x y a b a b +=>>的内部2200221x y a b ⇔+<. (2)点00(,)P x y 在椭圆22221(0)x y a b a b+=>>的外部2200221x y a b⇔+>. 95. 椭圆的切线方程(1)椭圆22221(0)x y a b a b+=>>上一点00(,)P x y 处的切线方程是00221x x y y a b +=.(2)过椭圆22221(0)x y a b a b+=>>外一点00(,)P x y 所引两条切线的切点弦方程是00221x x y ya b+=. (3)椭圆22221(0)x y a b a b+=>>与直线0Ax By C ++=相切的条件是22222A a B b c +=.96.双曲线22221(0,0)x y a b a b -=>>的焦半径公式21|()|a PF e x c =+,22|()|a PF e x c=-.97.双曲线的内外部(1)点00(,)P x y 在双曲线22221(0,0)x y a b a b -=>>的内部2200221x y a b ⇔->. (2)点00(,)P x y 在双曲线22221(0,0)x y a b a b-=>>的外部2200221x y a b ⇔-<. 98.双曲线的方程与渐近线方程的关系(1)若双曲线方程为12222=-by a x ⇒渐近线方程:22220x y a b -=⇔x a by ±=.(2)若渐近线方程为x a by ±=⇔0=±b y a x ⇒双曲线可设为λ=-2222by a x .(3)若双曲线与12222=-b y a x 有公共渐近线,可设为λ=-2222by a x (0>λ,焦点在x轴上,0<λ,焦点在y 轴上).99. 双曲线的切线方程(1)双曲线22221(0,0)x y a b a b-=>>上一点00(,)P x y 处的切线方程是00221x x y y a b -=.(2)过双曲线22221(0,0)x y a b a b-=>>外一点00(,)P x y 所引两条切线的切点弦方程是00221x x y ya b-=. (3)双曲线22221(0,0)x y a b a b-=>>与直线0A x B yC ++=相切的条件是22222A a B b c -=.100. 抛物线px y 22=的焦半径公式抛物线22(0)y px p =>焦半径02pCF x =+.过焦点弦长p x x px p x CD ++=+++=212122.101.抛物线px y 22=上的动点可设为P ),2(2 y py 或或)2,2(2pt pt P P (,)x y ,其中22y px = .102.二次函数2224()24b ac b y ax bx c a x a a-=++=++(0)a ≠的图象是抛物线:(1)顶点坐标为24(,)24b ac b a a --;(2)焦点的坐标为241(,)24b ac b a a-+-;(3)准线方程是2414ac b y a--=.103.抛物线的内外部(1)点00(,)P x y 在抛物线22(0)y px p =>的内部22(0)y px p ⇔<>. 点00(,)P x y 在抛物线22(0)y px p =>的外部22(0)y px p ⇔>>. (2)点00(,)P x y 在抛物线22(0)y px p =->的内部22(0)y px p ⇔<->. 点00(,)P x y 在抛物线22(0)y px p =->的外部22(0)y px p ⇔>->. (3)点00(,)P x y 在抛物线22(0)x py p =>的内部22(0)x py p ⇔<>. 点00(,)P x y 在抛物线22(0)x py p =>的外部22(0)x py p ⇔>>. (4) 点00(,)P x y 在抛物线22(0)x py p =>的内部22(0)x py p ⇔<>. 点00(,)P x y 在抛物线22(0)x py p =->的外部22(0)x py p ⇔>->. 104. 抛物线的切线方程(1)抛物线px y 22=上一点00(,)P x y 处的切线方程是00()y y p x x =+.(2)过抛物线px y 22=外一点00(,)P x y 所引两条切线的切点弦方程是00()y y p x x =+. (3)抛物线22(0)y px p =>与直线0Ax By C ++=相切的条件是22pB AC =.105.两个常见的曲线系方程(1)过曲线1(,)0f x y =,2(,)0f x y =的交点的曲线系方程是12(,)(,)0f x y f x y λ+=(λ为参数).(2)共焦点的有心圆锥曲线系方程22221x y a k b k+=--,其中22max{,}k a b <.当22min{,}k a b >时,表示椭圆; 当2222min{,}max{,}a b k a b <<时,表示双曲线.106.直线与圆锥曲线相交的弦长公式 AB =1212||||AB x x y y ==-=-(弦端点A ),(),,(2211y xB y x ,由方程⎩⎨⎧=+=0)y ,x (F b kx y 消去y 得到02=++c bx ax ,0∆>,α为直线AB 的倾斜角,k 为直线的斜率).107.圆锥曲线的两类对称问题(1)曲线(,)0F x y =关于点00(,)P x y 成中心对称的曲线是00(2-,2)0F x x y y -=. (2)曲线(,)0F x y =关于直线0Ax By C ++=成轴对称的曲线是22222()2()(,)0A Ax By C B Ax By C F x y A B A B++++--=++. 108.“四线”一方程对于一般的二次曲线220Ax Bxy Cy Dx Ey F +++++=,用0x x 代2x ,用0y y 代2y ,用002x y xy +代xy ,用02x x +代x ,用02y y +代y 即得方程 0000000222x y xy x x y yAx x B Cy y D E F ++++⋅++⋅+⋅+=,曲线的切线,切点弦,中点弦,弦中点方程均是此方程得到.109.证明直线与直线的平行的思考途径 (1)转化为判定共面二直线无交点; (2)转化为二直线同与第三条直线平行; (3)转化为线面平行; (4)转化为线面垂直; (5)转化为面面平行.110.证明直线与平面的平行的思考途径 (1)转化为直线与平面无公共点; (2)转化为线线平行; (3)转化为面面平行.111.证明平面与平面平行的思考途径 (1)转化为判定二平面无公共点; (2)转化为线面平行; (3)转化为线面垂直.112.证明直线与直线的垂直的思考途径 (1)转化为相交垂直; (2)转化为线面垂直;(3)转化为线与另一线的射影垂直;(4)转化为线与形成射影的斜线垂直. 113.证明直线与平面垂直的思考途径(1)转化为该直线与平面内任一直线垂直; (2)转化为该直线与平面内相交二直线垂直; (3)转化为该直线与平面的一条垂线平行; (4)转化为该直线垂直于另一个平行平面; (5)转化为该直线与两个垂直平面的交线垂直. 114.证明平面与平面的垂直的思考途径 (1)转化为判断二面角是直二面角; (2)转化为线面垂直.115.空间向量的加法与数乘向量运算的运算律 (1)加法交换律:a +b =b +a .(2)加法结合律:(a +b )+c =a +(b +c ). (3)数乘分配律:λ(a +b )=λa +λb .116.平面向量加法的平行四边形法则向空间的推广 始点相同且不在同一个平面内的三个向量之和,等于以这三个向量为棱的平行六面体的以公共始点为始点的对角线所表示的向量.117.共线向量定理对空间任意两个向量a 、b (b ≠0 ),a ∥b ⇔存在实数λ使a =λb .P A B 、、三点共线⇔||AP AB ⇔AP t AB = ⇔(1)OP t OA tOB =-+.||AB CD ⇔AB 、CD共线且AB CD 、不共线⇔AB tCD = 且AB CD 、不共线.118.共面向量定理向量p 与两个不共线的向量a 、b 共面的⇔存在实数对,x y ,使p ax by =+.推论 空间一点P 位于平面MAB 内的⇔存在有序实数对,x y ,使MP xMA yMB =+,或对空间任一定点O ,有序实数对,x y ,使OP OM xMA yMB =++.119.对空间任一点O 和不共线的三点A 、B 、C ,满足OP xOA yOB zOC =++(x y z k ++=),则当1k =时,对于空间任一点O ,总有P 、A 、B 、C 四点共面;当1k ≠时,若O ∈平面ABC ,则P 、A 、B 、C 四点共面;若O ∉平面ABC ,则P 、A 、B 、C 四点不共面.C A B 、、、D 四点共面⇔AD 与AB 、AC 共面⇔AD xAB yAC =+⇔ (1)OD x y OA xOB yOC =--++(O ∉平面ABC ).120.空间向量基本定理如果三个向量a 、b 、c 不共面,那么对空间任一向量p ,存在一个唯一的有序实数组x ,y ,z ,使p =x a +y b +z c .推论 设O 、A 、B 、C 是不共面的四点,则对空间任一点P ,都存在唯一的三个有序实数x ,y ,z ,使OP xOA yOB zOC =++.121.射影公式已知向量AB =a 和轴l ,e 是l 上与l 同方向的单位向量.作A 点在l 上的射影'A ,作B点在l 上的射影'B ,则''||cos A B AB = 〈a ,e 〉=a ·e122.向量的直角坐标运算设a =123(,,)a a a ,b =123(,,)b b b 则 (1)a +b =112233(,,)a b a b a b +++; (2)a -b =112233(,,)a b a b a b ---; (3)λa =123(,,)a a a λλλ (λ∈R);(4)a ·b =112233a b a b a b ++; 123.设A 111(,,)x y z ,B 222(,,)x y z ,则 AB OB OA =-= 212121(,,)x x y y z z ---.124.空间的线线平行或垂直设111(,,)a x y z =r ,222(,,)b x y z =r,则a b r r P ⇔(0)a b b λ=≠r r r r ⇔121212x x y y z zλλλ=⎧⎪=⎨⎪=⎩;a b ⊥r r ⇔0a b ⋅=r r⇔1212120x x y y z z ++=.125.夹角公式设a =123(,,)a a a ,b =123(,,)b b b ,则 cos 〈a ,b 〉.推论 2222222112233123123()()()a b a b a b a a a b b b ++≤++++,此即三维柯西不等式.126. 四面体的对棱所成的角四面体ABCD 中, AC 与BD 所成的角为θ,则2222|()()|cos 2AB CD BC DA AC BDθ+-+=⋅.127.异面直线所成角cos |cos ,|a b θ=r r=||||||a b a b ⋅=⋅r rr r(其中θ(090θ<≤o o)为异面直线a b ,所成角,,a b r 分别表示异面直线a b ,的方向向量)128.直线AB 与平面所成角sin ||||AB m arc AB m β⋅= (m为平面α的法向量). 129.若ABC ∆所在平面若β与过若AB 的平面α成的角θ,另两边AC ,BC 与平面α成的角分别是1θ、2θ,A B 、为ABC ∆的两个内角,则2222212sin sin (sin sin )sin A B θθθ+=+.特别地,当90ACB ∠=时,有22212sin sin sin θθθ+=.130.若ABC ∆所在平面若β与过若AB 的平面α成的角θ,另两边AC ,BC 与平面α成的角分别是1θ、2θ,''A B 、为ABO ∆的两个内角,则222'2'212tan tan (sin sin )tan A B θθθ+=+.特别地,当90AOB ∠=时,有22212sin sin sin θθθ+=. 131.二面角l αβ--的平面角cos ||||m n arc m n θ⋅= 或cos ||||m narc m n π⋅-(m ,n 为平面α,β的法向量).132.三余弦定理设AC 是α内的任一条直线,且BC ⊥AC ,垂足为C ,又设AO 与AB 所成的角为1θ,AB 与AC 所成的角为2θ,AO 与AC 所成的角为θ.则12cos cos cos θθθ=.133. 三射线定理若夹在平面角为ϕ的二面角间的线段与二面角的两个半平面所成的角是1θ,2θ,与二面角的棱所成的角是θ,则有22221212sin sin sin sin 2sin sin cos ϕθθθθθϕ=+- ;1212||180()θθϕθθ-≤≤-+ (当且仅当90θ= 时等号成立).134.空间两点间的距离公式若A 111(,,)x y z ,B 222(,,)x y z ,则,A B d =||AB = =.135.点Q 到直线l 距离h =(点P 在直线l 上,直线l 的方向向量a =PA ,向量b =PQ ).136.异面直线间的距离||||CD n d n ⋅=(12,l l 是两异面直线,其公垂向量为n ,C D 、分别是12,l l 上任一点,d 为12,l l 间的距离).137.点B 到平面α的距离||||AB n d n ⋅=(n 为平面α的法向量,AB 是经过面α的一条斜线,A α∈). 138.异面直线上两点距离公式dd =d ='E AA F ϕ=--).(两条异面直线a 、b 所成的角为θ,其公垂线段'AA 的长度为h.在直线a 、b 上分别取两点E 、F ,'A E m =,AF n =,EF d =). 139.三个向量和的平方公式2222()222a b c a b c a b b c c a ++=+++⋅+⋅+⋅2222||||cos ,2||||cos ,2||||cos ,a b c a b a b b c b c c a c a =+++⋅+⋅+⋅140. 长度为l 的线段在三条两两互相垂直的直线上的射影长分别为123l l l 、、,夹角分别为123θθθ、、,则有2222123l l l l =++222123cos cos cos 1θθθ⇔++=222123sin sin sin 2θθθ⇔++=.(立体几何中长方体对角线长的公式是其特例). 141. 面积射影定理'cos S S θ=.(平面多边形及其射影的面积分别是S 、'S ,它们所在平面所成锐二面角的为θ). 142. 斜棱柱的直截面已知斜棱柱的侧棱长是l ,侧面积和体积分别是S 斜棱柱侧和V 斜棱柱,它的直截面的周长和面积分别是1c 和1S ,则①1S c l =斜棱柱侧. ②1V S l =斜棱柱.143.作截面的依据三个平面两两相交,有三条交线,则这三条交线交于一点或互相平行. 144.棱锥的平行截面的性质如果棱锥被平行于底面的平面所截,那么所得的截面与底面相似,截面面积与底面面积的比等于顶点到截面距离与棱锥高的平方比(对应角相等,对应边对应成比例的多边形是相似多边形,相似多边形面积的比等于对应边的比的平方);相应小棱锥与小棱锥的侧面积的比等于顶点到截面距离与棱锥高的平方比.145.欧拉定理(欧拉公式)2V F E +-=(简单多面体的顶点数V 、棱数E 和面数F).(1)E =各面多边形边数和的一半.特别地,若每个面的边数为n 的多边形,则面数F 与棱数E 的关系:12E nF =; (2)若每个顶点引出的棱数为m ,则顶点数V 与棱数E 的关系:12E mV =. 146.球的半径是R ,则其体积343V R π=, 其表面积24S R π=.147.球的组合体(1)球与长方体的组合体:长方体的外接球的直径是长方体的体对角线长. (2)球与正方体的组合体:正方体的内切球的直径是正方体的棱长, 正方体的棱切球的直径是正方体的面对角线长, 正方体的外接球的直径是正方体的体对角线长. (3) 球与正四面体的组合体:棱长为a ,. 148.柱体、锥体的体积13V Sh =柱体(S 是柱体的底面积、h 是柱体的高).13V Sh =锥体(S 是锥体的底面积、h 是锥体的高).149.分类计数原理(加法原理) 12n N m m m =+++ . 150.分步计数原理(乘法原理) 12n N m m m =⨯⨯⨯ . 151.排列数公式mnA =)1()1(+--m n n n =!!)(m n n -.(n ,m ∈N *,且m n ≤).注:规定1!0=.152.排列恒等式(1)1(1)m m n nA n m A -=-+; (2)1mmn n n A A n m -=-; (3)11m m n n A nA --=;(4)11n n n n n n nA A A ++=-; (5)11m m m n n nA A mA -+=+. (6) 1!22!33!!(1)!1n n n +⋅+⋅++⋅=+- . 153.组合数公式m n C=m n mmA A =m m n n n ⨯⨯⨯+-- 21)1()1(=!!!)(m n m n -⋅(n ∈N *,m N ∈,且m n ≤). 154.组合数的两个性质(1)m n C =mn n C - ; (2) m n C +1-m n C =m n C 1+. 注:规定10=n C .155.组合恒等式(1)11mm n n n m C C m --+=; (2)1m mn n n C C n m -=-; (3)11mm n n n C C m--=;(4)∑=nr r nC0=n2;(5)1121++++=++++r n r n r r r r r rC C C C C . (6)n n n r n n n n C C C C C 2210=++++++ . (7)14205312-+++=+++n n n n n n n C C C C C C . (8)1321232-=++++n n n n n n n nC C C C . (9)r n m r n r m n r m n r m C C C C C C C +-=+++0110 . (10)n n n n n n n C C C C C 22222120)()()()(=++++ .156.排列数与组合数的关系m mn nA m C =⋅! . 157.单条件排列以下各条的大前提是从n 个元素中取m 个元素的排列. (1)“在位”与“不在位”①某(特)元必在某位有11--m n A 种;②某(特)元不在某位有11---m n mn A A (补集思想)1111---=m n n A A (着眼位置)11111----+=m n m m n A A A (着眼元素)种.(2)紧贴与插空(即相邻与不相邻)①定位紧贴:)(n m k k ≤≤个元在固定位的排列有km k n k k A A --种.②浮动紧贴:n 个元素的全排列把k 个元排在一起的排法有k k k n k n A A 11+-+-种.注:此类问题常用捆绑法;③插空:两组元素分别有k 、h 个(1+≤h k ),把它们合在一起来作全排列,k 个的一组互不能挨近的所有排列数有k h h h A A 1+种.(3)两组元素各相同的插空m 个大球n 个小球排成一列,小球必分开,问有多少种排法?当1+>m n 时,无解;当1+≤m n 时,有n m n nn m C A A 11++=种排法.(4)两组相同元素的排列:两组元素有m 个和n 个,各组元素分别相同的排列数为nn m C +.158.分配问题(1)(平均分组有归属问题)将相异的m 、n 个物件等分给m 个人,各得n 件,其分配方法数共有mnn nn nn mn nn mn nmn n mn C C C C C N )!()!(22=⋅⋅⋅⋅⋅=-- . (2)(平均分组无归属问题)将相异的m ·n 个物体等分为无记号或无顺序的m 堆,其分配方法数共有mn nn n n n mn n n mn n mn n m mn m C C C C C N )!(!)!(!...22=⋅⋅⋅⋅=--. (3)(非平均分组有归属问题)将相异的) 12m P(P=n +n ++n 个物体分给m 个人,物件必须被分完,分别得到1n ,2n ,…,m n 件,且1n ,2n ,…,m n 这m 个数彼此不相等,则其分配方法数共有!!...!!!! (212)11m n n n n p n p n n n m p m C C C N m m=⋅⋅=-.(4)(非完全平均分组有归属问题)将相异的) 12m P(P=n +n ++n 个物体分给m 个人,物件必须被分完,分别得到1n ,2n ,…,m n 件,且1n ,2n ,…,m n 这m 个数中分别有a 、b 、c 、...个相等,则其分配方法数有!...!!! (2)11c b a m C C C N m mn n n n p n p ⋅⋅=- 12!!!!...!(!!!...)m p m n n n a b c =.(5)(非平均分组无归属问题)将相异的) 12m P(P=n +n ++n 个物体分为任意的1n ,2n ,…,m n 件无记号的m 堆,且1n ,2n ,…,m n 这m 个数彼此不相等,则其分配方法数有!!...!!21m n n n p N =.(6)(非完全平均分组无归属问题)将相异的) 12m P(P=n +n ++n 个物体分为任意的1n ,2n ,…,m n 件无记号的m 堆,且1n ,2n ,…,m n 这m 个数中分别有a 、b 、c 、…个相等,则其分配方法数有!...)!!(!!...!!21c b a n n n p N m =.(7)(限定分组有归属问题)将相异的p (2m p n n n = 1+++)个物体分给甲、乙、丙,……等m 个人,物体必须被分完,如果指定甲得1n 件,乙得2n 件,丙得3n 件,…时,则无论1n ,2n ,…,m n 等m 个数是否全相异或不全相异其分配方法数恒有!!...!! (212)11m n n n n p n p n n n p C C C N m m=⋅=-.159.“错位问题”及其推广。
从小学到高中的所有数学公式1、每份数×份数=总数总数÷每份数=份数总数÷份数=每份数2、 1倍数×倍数=几倍数几倍数÷1倍数=倍数几倍数÷倍数= 1倍数3、速度×时间=路程路程÷速度=时间路程÷时间=速度4、单价×数量=总价总价÷单价=数量总价÷数量=单价5、工作效率×工作时间=工作总量工作总量÷工作效率=工作时间工作总量÷工作时间=工作效率6、加数+加数=和和-一个加数=另一个加数7、被减数-减数=差被减数-差=减数差+减数=被减数8、因数×因数=积积÷一个因数=另一个因数9、被除数÷除数=商被除数÷商=除数商×除数=被除数小学数学图形计算公式1、正方形:C周长 S面积 a边长周长=边长×4C=4a 面积=边长×边长S=a×a2、正方体:V:体积 a:棱长表面积=棱长×棱长×6 S表=a×a×6体积=棱长×棱长×棱长V=a×a×a3、长方形:C周长 S面积 a边长周长=(长+宽)×2 C=2(a+b) 面积=长×宽 S=ab4、长方体V:体积 s:面积 a:长 b: 宽 h:高(1)表面积(长×宽+长×高+宽×高)×2 S=2(ab+ah+bh)(2)体积=长×宽×高 V=abh5、三角形s面积 a底 h高面积=底×高÷2 s=ah÷2三角形高=面积×2÷底三角形底=面积×2÷高6、平行四边形:s面积 a底 h高面积=底×高 s=ah7、梯形:s面积 a上底 b下底 h高面积=(上底+下底)×高÷2 s=(a+b)×h÷28 圆形:S面 C周长∏ d=直径 r=半径(1)周长=直径×∏=2×∏×半径C=∏d=2∏r(2)面积=半径×半径×∏9、圆柱体:v体积 h:高 s:底面积 r:底面半径 c:底面周长(1)侧面积=底面周长×高(2)表面积=侧面积+底面积×2(3)体积=底面积×高(4)体积=侧面积÷2×半径10、圆锥体:v体积 h高 s底面积 r底面半径体积=底面积×高÷3总数÷总份数=平均数和差问题的公式(和+差)÷2=大数(和-差)÷2=小数和倍问题和÷(倍数-1)=小数小数×倍数=大数(或者和-小数=大数)差倍问题差÷(倍数-1)=小数小数×倍数=大数(或小数+差=大数)植树问题1、非封闭线路上的植树问题主要可分为以下三种情形:⑴如果在非封闭线路的两端都要植树,那么:株数=段数+1=全长÷株距-1全长=株距×(株数-1)株距=全长÷(株数-1)⑵如果在非封闭线路的一端要植树,另一端不要植树,那么: 株数=段数=全长÷株距全长=株距×株数株距=全长÷株数⑶如果在非封闭线路的两端都不要植树,那么:株数=段数-1=全长÷株距-1全长=株距×(株数+1)株距=全长÷(株数+1)2、封闭线路上的植树问题的数量关系如下株数=段数=全长÷株距全长=株距×株数株距=全长÷株数盈亏问题(盈+亏)÷两次分配量之差=参加分配的份数(大盈-小盈)÷两次分配量之差=参加分配的份数(大亏-小亏)÷两次分配量之差=参加分配的份数相遇问题相遇路程=速度和×相遇时间相遇时间=相遇路程÷速度和速度和=相遇路程÷相遇时间追及问题追及距离=速度差×追及时间追及时间=追及距离÷速度差速度差=追及距离÷追及时间流水问题顺流速度=静水速度+水流速度逆流速度=静水速度-水流速度静水速度=(顺流速度+逆流速度)÷2水流速度=(顺流速度-逆流速度)÷2浓度问题溶质的重量+溶剂的重量=溶液的重量溶质的重量÷溶液的重量×100%=浓度溶液的重量×浓度=溶质的重量溶质的重量÷浓度=溶液的重量利润与折扣问题利润=售出价-成本利润率=利润÷成本×100%=(售出价÷成本-1)×100% 涨跌金额=本金×涨跌百分比折扣=实际售价÷原售价×100%(折扣<1)利息=本金×利率×时间税后利息=本金×利率×时间×(1-20%)长度单位换算1千米=1000米 1米=10分米1分米=10厘米 1米=100厘米1厘米=10毫米面积单位换算1平方千米=100公顷1公顷=10000平方米1平方米=100平方分米1平方分米=100平方厘米1平方厘米=100平方毫米体(容)积单位换算1立方米=1000立方分米1立方分米=1000立方厘米1立方分米=1升1立方厘米=1毫升1立方米=1000升重量单位换算1吨=1000 千克1千克=1000克1千克=1公斤人民币单位换算1元=10角1角=10分1元=100分时间单位换算1世纪=100年 1年=12月大月(31天)有: 1\3\5\7\8\10\12月小月(30天)的有: 4\6\9\11月平年 2月28天, 闰年 2月29天平年全年365天, 闰年全年366天1日=24小时 1小时=60分1分=60秒 1小时=3600秒小学数学几何形体周长面积体积计算公式1、长方形的周长=(长+宽)×2 C=(a+b)×22、正方形的周长=边长×4 C=4a3、长方形的面积=长×宽 S=ab4、正方形的面积=边长×边长 S=a.a= a5、三角形的面积=底×高÷2 S=ah÷26、平行四边形的面积=底×高 S=ah7、梯形的面积=(上底+下底)×高÷2 S=(a+b)h÷28、直径=半径×2 d=2r 半径=直径÷2 r= d÷29、圆的周长=圆周率×直径=圆周率×半径×2 c=πd =2πr10、圆的面积=圆周率×半径×半径常见的初中数学公式1 过两点有且只有一条直线2 两点之间线段最短3 同角或等角的补角相等4 同角或等角的余角相等5 过一点有且只有一条直线和已知直线垂直6 直线外一点与直线上各点连接的所有线段中,垂线段最短7 平行公理经过直线外一点,有且只有一条直线与这条直线平行8 如果两条直线都和第三条直线平行,这两条直线也互相平行9 同位角相等,两直线平行10 内错角相等,两直线平行11 同旁内角互补,两直线平行12 两直线平行,同位角相等13 两直线平行,内错角相等14 两直线平行,同旁内角互补15 定理三角形两边的和大于第三边16 推论三角形两边的差小于第三边17 三角形内角和定理三角形三个内角的和等于180°18 推论1 直角三角形的两个锐角互余19 推论2 三角形的一个外角等于和它不相邻的两个内角的和20 推论3 三角形的一个外角大于任何一个和它不相邻的内角21 全等三角形的对应边、对应角相等22 边角边公理(SAS) 有两边和它们的夹角对应相等的两个三角形全等23 角边角公理(ASA) 有两角和它们的夹边对应相等的两个三角形全等24 推论(AAS) 有两角和其中一角的对边对应相等的两个三角形全等25 边边边公理(SSS) 有三边对应相等的两个三角形全等26 斜边、直角边公理(HL) 有斜边和一条直角边对应相等的两个直角三角形全等27 定理1 在角的平分线上的点到这个角的两边的距离相等28 定理2 到一个角的两边的距离相同的点,在这个角的平分线上29 角的平分线是到角的两边距离相等的所有点的集合30 等腰三角形的性质定理等腰三角形的两个底角相等 (即等边对等角)31 推论1 等腰三角形顶角的平分线平分底边并且垂直于底边32 等腰三角形的顶角平分线、底边上的中线和底边上的高互相重合33 推论3 等边三角形的各角都相等,并且每一个角都等于60°34 等腰三角形的判定定理如果一个三角形有两个角相等,那么这两个角所对的边也相等(等角对等边)35 推论1 三个角都相等的三角形是等边三角形36 推论2 有一个角等于60°的等腰三角形是等边三角形37 在直角三角形中,如果一个锐角等于30°那么它所对的直角边等于斜边的一半38 直角三角形斜边上的中线等于斜边上的一半39 定理线段垂直平分线上的点和这条线段两个端点的距离相等40 逆定理和一条线段两个端点距离相等的点,在这条线段的垂直平分线上41 线段的垂直平分线可看作和线段两端点距离相等的所有点的集合42 定理1 关于某条直线对称的两个图形是全等形43 定理2 如果两个图形关于某直线对称,那么对称轴是对应点连线的垂直平分线44 定理3 两个图形关于某直线对称,如果它们的对应线段或延长线相交,那么交点在对称轴上45 逆定理如果两个图形的对应点连线被同一条直线垂直平分,那么这两个图形关于这条直线对称46 勾股定理直角三角形两直角边a、b的平方和、等于斜边c的平方,即a^2+b^2=c^247 勾股定理的逆定理如果三角形的三边长a、b、c有关系a^2+b^2=c^2 ,那么这个三角形是直角三角形48 定理四边形的内角和等于360°49 四边形的外角和等于360°50 多边形内角和定理 n边形的内角的和等于(n-2)×180°51 推论任意多边的外角和等于360°52 平行四边形性质定理 1 平行四边形的对角相等53 平行四边形性质定理 2 平行四边形的对边相等54 推论夹在两条平行线间的平行线段相等55 平行四边形性质定理 3 平行四边形的对角线互相平分56 平行四边形判定定理 1 两组对角分别相等的四边形是平行四边形57 平行四边形判定定理 2 两组对边分别相等的四边形是平行四边形58 平行四边形判定定理 3 对角线互相平分的四边形是平行四边形59 平行四边形判定定理 4 一组对边平行相等的四边形是平行四边形60 矩形性质定理 1 矩形的四个角都是直角61 矩形性质定理 2 矩形的对角线相等62 矩形判定定理 1 有三个角是直角的四边形是矩形63 矩形判定定理 2 对角线相等的平行四边形是矩形64 菱形性质定理 1 菱形的四条边都相等65 菱形性质定理 2 菱形的对角线互相垂直,并且每一条对角线平分一组对角66 菱形面积=对角线乘积的一半,即 S=(a×b)÷267 菱形判定定理 1 四边都相等的四边形是菱形68 菱形判定定理 2 对角线互相垂直的平行四边形是菱形69 正方形性质定理 1 正方形的四个角都是直角,四条边都相等70 正方形性质定理 2 正方形的两条对角线相等,并且互相垂直平分,每条对角线平分一组对角71 定理1 关于中心对称的两个图形是全等的72 定理2 关于中心对称的两个图形,对称点连线都经过对称中心,并且被对称中心平分73 逆定理如果两个图形的对应点连线都经过某一点,并且被这一点平分,那么这两个图形关于这一点对称74 等腰梯形性质定理等腰梯形在同一底上的两个角相等75 等腰梯形的两条对角线相等76 等腰梯形判定定理在同一底上的两个角相等的梯形是等腰梯形77 对角线相等的梯形是等腰梯形78 平行线等分线段定理如果一组平行线在一条直线上截得的线段相等,那么在其他直线上截得的线段也相等79 推论 1 经过梯形一腰的中点与底平行的直线,必平分另一腰80 推论 2 经过三角形一边的中点与另一边平行的直线,必平分第三边81 三角形中位线定理三角形的中位线平行于第三边,并且等于它的一半82 梯形中位线定理梯形的中位线平行于两底,并且等于两底和的一半L=(a+b)÷2 S=L×h83 (1)比例的基本性质如果 a:b=c:d,那么ad=bc如果ad=bc,那么a:b=c:d84 (2)合比性质如果 a/b=c/d,那么(a±b)/b=(c±d)/d85 (3)等比性质如果 a/b=c/d=…=m/n(b+d+…+n≠0),那么(a+c+…+m)/(b+d+…+n)=a/b86 平行线分线段成比例定理三条平行线截两条直线,所得的对应线段成比例87 推论平行于三角形一边的直线截其他两边(或两边的延长线),所得的应线段成比例88 定理如果一条直线截三角形的两边(或两边的延长线)所得的对应线段成比例,那么这条直线平行于三角形的第三边89 平行于三角形的一边,并且和其他两边相交的直线,所截得的三角形的三边与原三角形三边对应成比例90 定理平行于三角形一边的直线和其他两边(或两边的延长线)相交,所构成的三角形与原三角形相似91 相似三角形判定定理 1 两角对应相等,两三角形相似(ASA)92 直角三角形被斜边上的高分成的两个直角三角形和原三角形相似93 判定定理 2 两边对应成比例且夹角相等,两三角形相似(SAS)94 判定定理 3 三边对应成比例,两三角形相似(SSS)95 定理如果一个直角三角形的斜边和一条直角边与另一个直角三角形的斜边和一条直角边对应成比例,那么这两个直角三角形相似96 性质定理 1 相似三角形对应高的比,对应中线的比与对应角平分线的比都等于相似比97 性质定理 2 相似三角形周长的比等于相似比98 性质定理 3 相似三角形面积的比等于相似比的平方99 任意锐角的正弦值等于它的余角的余弦值,任意锐角的余弦值等于它的余角的正弦值100 任意锐角的正切值等于它的余角的余切值,任意锐角的余切值等于它的余角的正切值101 圆是定点的距离等于定长的点的集合102 圆的内部可以看作是圆心的距离小于半径的点的集合103 圆的外部可以看作是圆心的距离大于半径的点的集合104 同圆或等圆的半径相等105 到定点的距离等于定长的点的轨迹,是以定点为圆心,定长为半径的圆106 和已知线段两个端点的距离相等的点的轨迹,是着条线段的垂直平分线107 到已知角的两边距离相等的点的轨迹,是这个角的平分线108 到两条平行线距离相等的点的轨迹,是和这两条平行线平行且距离相等的一条直线109 定理不在同一直线上的三点确定一个圆。
世界上所有的数学公式大全01工作效率×工作时间=工作总量工作效率×工作时间=工作总量工作总量÷工作效率=工作时间工作总量÷工作效率=工作效率02单价×数量=总价通过单价×数量=总价,我们可以将数学中的计算公式应用到实际问题中。
03速度×时间=路程速度×时间=路程÷速度=时间路程÷时间=速度04被减数-减数=差被减数-减数=差,即被减数和减数分别相减,得到差。
05被除数÷除数=商被除数÷除数=商06一元一次方程式一元一次方程式是指含有一个未知数,并且未知数的次数是一次的等式。
例如,ax+by+cz=d,其中a、b、c为已知数,x、y、z为未知数,且满足a+bx=d。
07V=ShV=Sh是圆柱的体积的计算公式,其中底面面积和体积是圆柱的侧面积和底面高。
通过将底面面积乘以高,可以得到圆柱的总体积。
这个公式可以用来计算圆柱的体积。
08S=a×a长方体的体积=长×宽×高公式:V=abh 长方体(或正方体)的体积=底面积×高公式:V=abh 正方体的体积=棱长×棱长×棱长公式:V=aaa 圆的周长=直径×π公式:L=πd=2πr 圆的面积=半径×半径×π公式:S=πr209S=ch=πdh=2πrh圆柱的表面积等于底面的周长乘以高再加上两头的圆的面积。
表面积等于底面的周长乘以高,再加上两头的圆的面积。
10带分数带分数是指将假分数写成整数和真分数的形式。
通过将分数的分母化为相同的数位,然后对分子进行约分,可以得到带分数。
11V=abh长方体的体积=长×宽×高。
在这个公式中,长方体的长度和宽度分别表示长和宽的长度,高度表示长的高度。
长方体的体积可以通过将底面积乘以高来计算。
12V=aaaV=aaa是长方体的体积公式,其中a表示长方体的长度,b表示宽,高表示长方体的宽度和高度。
数学公式概述数学公式是人们在研究自然界物与物之间时发现的一些联系,并通过一定的方式表达出来的一种表达方法。
是表征自然界不同事物之数量之间的或等或不等的联系,它确切的反映了事物内部和外部的关系,是我们从一种事物到达另一种事物的依据,使我们更好的理解事物的本质和内涵。
一些基本公式(1)抛物线:y = ax^2 + bx + c (a≠0)就是y等于a乘以x 的平方加上 b乘以x再加上 c置于平面直角坐标系中a > 0时开口向上a < 0时开口向下c = 0时抛物线经过原点b = 0时抛物线对称轴为y轴(当然a=0且b≠0时该函数为一次函数)还有顶点式y = a(x+h)* 2+ k (h,k)=(-b/2a,(4ac-b^2)/4a)就是y等于a乘以(x+h)的平方+k-h是顶点坐标的xk是顶点坐标的y一般用于求最大值与最小值抛物线标准方程:y^2=2px它表示抛物线的焦点在x的正半轴上,焦点坐标为(p/2,0) 准线方程为x=-p/2由于抛物线的焦点可在任意半轴,故共有标准方程y^2=2px y^2=-2pxx^2=2py x^2=-2py(2)圆:体积=4/3π(r^3)面积=π(r^2)周长=2πr =πd圆的标准方程 (x-a)^2+(y-b)^2=r^2 注:(a,b)是圆心坐标圆的一般方程 x2+y2+Dx+Ey+F=0 注:D^2+E^2-4F>0(一)椭圆周长计算公式椭圆周长公式:L=2πb+4(a-b)椭圆周长定理:椭圆的周长等于该椭圆短半轴长为半径的圆周长(2πb)加上四倍的该椭圆长半轴长(a)与短半轴长(b)的差。
(二)椭圆面积计算公式椭圆面积公式: S=πab椭圆面积定理:椭圆的面积等于圆周率(π)乘该椭圆长半轴长(a)与短半轴长(b)的乘积。
以上椭圆周长、面积公式中虽然没有出现椭圆周率T,但这两个公式都是通过椭圆周率T推导演变而来。
常数为体,公式为用。
椭球物体体积计算公式椭圆的长半径*短半径*π*高(3)三角函数:和差角公式sin(A+B)=sinAcosB+cosAsinB ;sin(A-B)=sinAcosB - sinBcosA ;cos(A+B)=cosAcosB - sinAsinB ;cos(A-B)=cosAcosB + sinAsinB ;tan(A+B)=(tanA+tanB)/(1-tanAtanB);tan(A-B)=(tanA-tanB)/(1+tanAtanB) ;cot(A+B)=(cotAcotB-1)/(cotB+cotA) ;cot(A-B)=(cotAcotB+1)/(cotB-cotA) ;倍角公式tan2A=2tanA/(1-tan^2A) ;cot2A=(cot^2A-1)/2cota ;cos2a=cos^2a-sin^2a=2cos^2a-1=1-2sin^2a ;sin2A=2sinAcosA=2/(tanA+cotA);另:sinα+sin(α+2π/n)+sin(α+2π*2/n)+sin(α+2π*3/n)+……+sin[α+2π*( n-1)/n]=0 ;cosα+cos(α+2π/n)+cos(α+2π*2/n)+cos(α+2π*3/n)+……+cos[α+2π*( n-1)/n]=0 以及sin^2(α)+sin^2(α-2π/3)+sin^2(α+2π/3)=3/2 ;tanAtanBtan(A+B)+tanA+tanB-tan(A+B)=0;四倍角公式:sin4A=-4*(cosA*sinA*(2*sinA^2-1))cos4A=1+(-8*cosA^2+8*cosA^4)tan4A=(4*tanA-4*tanA^3)/(1-6*tanA^2+tanA^4)五倍角公式:sin5A=16sinA^5-20sinA^3+5sinAcos5A=16cosA^5-20cosA^3+5cosAtan5A=tanA*(5-10*tanA^2+tanA^4)/(1-10*tanA^2+5*tanA^4)六倍角公式:sin6A=2*(cosA*sinA*(2*sinA+1)*(2*sinA-1)*(-3+4*sinA^2))cos6A=((-1+2*cosA^2)*(16*cosA^4-16*cosA^2+1))tan6A=(-6*tanA+20*tanA^3-6*tanA^5)/(-1+15*tanA^2-15*tanA^4+tanA^6) 七倍角公式:sin7A=-(sinA*(56*sinA^2-112*sinA^4-7+64*sinA^6))cos7A=(cosA*(56*cosA^2-112*cosA^4+64*cosA^6-7))tan7A=tanA*(-7+35*tanA^2-21*tanA^4+tanA^6)/(-1+21*tanA^2-35*tanA^4+7* tanA^6)八倍角公式:sin8A=-8*(cosA*sinA*(2*sinA^2-1)*(-8*sinA^2+8*sinA^4+1))cos8A=1+(160*cosA^4-256*cosA^6+128*cosA^8-32*cosA^2)tan8A=-8*tanA*(-1+7*tanA^2-7*tanA^4+tanA^6)/(1-28*tanA^2+70*tanA^4-28 *tanA^6+tanA^8)九倍角公式:sin9A=(sinA*(-3+4*sinA^2)*(64*sinA^6-96*sinA^4+36*sinA^2-3))cos9A=(cosA*(-3+4*cosA^2)*(64*cosA^6-96*cosA^4+36*cosA^2-3))tan9A=tanA*(9-84*tanA^2+126*tanA^4-36*tanA^6+tanA^8)/(1-36*tanA^2+126 *tanA^4-84*tanA^6+9*tanA^8)十倍角公式:sin10A=2*(cosA*sinA*(4*sinA^2+2*sinA-1)*(4*sinA^2-2*sinA-1)*(-20*sinA ^2+5+16*sinA^4))cos10A=((-1+2*cosA^2)*(256*cosA^8-512*cosA^6+304*cosA^4-48*cosA^2+1))tan10A=-2*tanA*(5-60*tanA^2+126*tanA^4-60*tanA^6+5*tanA^8)/(-1+45*tanA^2-210*tanA^4+210*tanA^6-45*tanA^8+tanA^10)²万能公式:sinα=2tan(α/2)/[1+tan^2(α/2)]cosα=[1-tan^2(α/2)]/[1+tan^2(α/2)]tanα=2tan(α/2)/[1-tan^2(α/2)]半角公式sin(A/2)=√((1-cosA)/2) sin(A/2)=-√((1-cosA)/2)cos(A/2)=√((1+cosA)/2) cos(A/2)=-√((1+cosA)/2)tan(A/2)=√((1-cosA)/((1+cosA)) tan(A/2)=-√((1-cosA)/((1+cosA)) cot(A/2)=√((1+cosA)/((1-cosA)) cot(A/2)=-√((1+cosA)/((1-cosA)) 和差化积2sinAcosB=sin(A+B)+sin(A-B); 2cosAsinB=sin(A+B)-sin(A-B) ;2cosAcosB=cos(A+B)-cos(A-B) ;-2sinAsinB=cos(A+B)-cos(A-B) ;sinA+sinB=2sin((A+B)/2)cos((A-B)/2 ;cosA+cosB=2cos((A+B)/2)sin((A-B)/2) ;tanA+tanB=sin(A+B)/cosAcosB; tanA-tanB=sin(A-B)/cosAcosB ;cotA+cotB=sin(A+B)/sinAsinB; -cotA+cotB=sin(A+B)/sinAsinB ;降幂公式sin²(A)=(1-cos(2A))/2=versin(2A)/2;cos²(α)=(1+cos(2A))/2=covers(2A)/2;tan²(α)=(1-cos(2A))/(1+cos(2A));某些数列前n项和1+2+3+4+5+6+7+8+9+…+n=n(n+1)/21+3+5+7+9+11+13+15+…+(2n-1)=n^22+4+6+8+10+12+14+…+(2n)=n(n+1)1^2+2^2+3^2+4^2+5^2+6^2+7^2+8^2+…+n^2=n(n+1)(2n+1)/61^3+2^3+3^3+4^3+5^3+6^3+…n^3=(n(n+1)/2)^21*2+2*3+3*4+4*5+5*6+6*7+…+n(n+1)=n(n+1)(n+2)/3正弦定理 a/sinA=b/sinB=c/sinC=2R 注:其中 R 表示三角形的外接圆半径余弦定理 b^2=a^2+c^2-2accosB 注:角B是边a和边c的夹角乘法与因式分解 a^2-b^2=(a+b)(a-b)a^3+b^3=(a+b)(a^2-ab+b^2)a^3-b^3=(a-b)(a^2+ab+b^2)三角不等式 -|a|≤a≤|a||a|≤b<=>-b≤a≤b|a|≤b<=>-b≤a≤b|a|-|b|≤|a+b|≤|a|+|b| |a|≤b<=>-b≤a≤b|a|-|b|≤|a-b|≤|a|+|b||z1|-|z2|-...-|zn|≤|z1+z2+...+zn|≤|z1|+|z2|+...+|zn||z1|-|z2|-...-|zn|≤|z1-z2-...-zn|≤|z1|+|z2|+...+|zn||z1|-|z2|-...-|zn|≤|z1±z2±...±zn|≤|z1|+|z2|+...+|zn|一元二次方程的解x1= -b+√(b^2-4ac)/2a x2= -b-√(b^2-4ac)/2a根与系数的关系(韦达定理) x1+x2=-b/a ; x1*x2=c/a判别式△= b^2-4ac=0 则方程有相等的两实根△>0 则方程有两个不相等的个实根△<0 则方程有两共轭复数根公式分类公式表达式圆的标准方程 (x-a)^2+(y-b)^2=r^2 注:(a,b)是圆心坐标圆的一般方程 x^2+y^2+Dx+Ey+F=0 注:△=D^2+E^2-4F>0抛物线标准方程 y^2=2px y^2=-2px x^2=2py x^2=-2py直棱柱侧面积 S=c*h 斜棱柱侧面积 S=c' *h正棱锥侧面积 S=1/2c*h' 正棱台侧面积 S=1/2(c+c')h'圆台侧面积 S=1/2(c+c')l=pi(R+r)l 球的表面积 S=4π*r2圆柱侧面积 S=c*h=2π*h 圆锥侧面积 S=1/2*c*l=π*r*l弧长公式 l=a*r a是圆心角的弧度数r >0 扇形面积公式 s=1/2*l*r锥体体积公式 V=1/3*S*H 圆锥体体积公式 V=1/3*pi*r2h斜棱柱体积 V=S'L 注:其中,S'是直截面面积, L是侧棱长柱体体积公式 V=s*h 圆柱体 V=π*r2h图形周长面积体积公式长方形的周长=(长+宽)³2正方形的周长=边长³4长方形的面积=长³宽正方形的面积=边长³边长三角形的面积已知三角形底a,高h,则S=ah/2已知三角形三边a,b,c,半周长p,则S=√[p(p - a)(p - b)(p - c)] (海伦秦九韶公式)(p= (a+b+c)/2)和:(a+b+c)*(a+b-c)*1/4已知三角形两边a,b,这两边夹角C,则S=absinC/2设三角形三边分别为a、b、c,内切圆半径为r则三角形面积=(a+b+c)r/2设三角形三边分别为a、b、c,外接圆半径为r则三角形面积=abc/4r已知三角形三边a、b、c,则S=√{1/4[c^2a^2-((c^2+a^2-b^2)/2)^2]} (“三斜求积” 南宋秦九韶)注:秦九韶公式与海伦公式等价| a b 1 |S△=1/2 * | c d 1 || e f 1 |【| a b 1|| c d 1| 为三阶行列式,此三角形ABC在平面直角坐标系内A(a,b),B(c,d), C(e,f),这里| e f 1 |ABC选区取最好按逆时针顺序从右上角开始取,因为这样取得出的结果一般都为正值,如果不按这个规则取,可能会得到负值,但不要紧,只要取绝对值就可以了,不会影响三角形面积的大小!】秦九韶三角形中线面积公式:S=√[(Ma+Mb+Mc)*(Mb+Mc-Ma)*(Mc+Ma-Mb)*(Ma+Mb-Mc)]/3其中Ma,Mb,Mc为三角形的中线长.平行四边形的面积=底³高梯形的面积=(上底+下底)³高÷2直径=2 r圆的周长=πd= 2πr圆的面积= πr^2长方体的表面积=(长³宽+长³高+宽³高)³2长方体的体积 =长³宽³高正方体的表面积=棱长³棱长³6正方体的体积=棱长³棱长³棱长圆柱的侧面积=底面圆的周长³高圆柱的表面积=上下底面面积+侧面积圆柱的体积=底面积³高圆锥的体积=底面积³高÷3柱体体积=底面积³高平面图形名称符号周长C和面积S正方形 a—边长 C=4a S=a2长方形 a和b-边长 C=2(a+b) S=ab三角形 a,b,c-三边长其中s=(a+b+c)/2 S=ah/2h-a边上的高=ab/2³sin Cs-周长的一半=[s(s-a)(s-b)(s-c)]1/2A,B,C-内角=a^2sinBsinC/(2sinA)几何公理:1 过两点有且只有一条直线2 两点之间线段最短3 同角或等角的补角相等4 同角或等角的余角相等5 过一点有且只有一条直线和已知直线垂直6 直线外一点与直线上各点连接的所有线段中,垂线段最短7 平行公理经过直线外一点,有且只有一条直线与这条直线平行8 如果两条直线都和第三条直线平行,这两条直线也互相平行9 同位角相等,两直线平行10 内错角相等,两直线平行11 同旁内角互补,两直线平行12两直线平行,同位角相等13 两直线平行,内错角相等14 两直线平行,同旁内角互补15 定理三角形两边的和大于第三边16 推论三角形两边的差小于第三边17 三角形内角和定理三角形三个内角的和等于180°18 推论1 直角三角形的两个锐角互余19 推论2 三角形的一个外角等于和它不相邻的两个内角的和20 推论3 三角形的一个外角大于任何一个和它不相邻的内角21 全等三角形的对应边、对应角相等22边角边公理(sas) 有两边和它们的夹角对应相等的两个三角形全等23 角边角公理( asa)有两角和它们的夹边对应相等的两个三角形全等24 推论(aas) 有两角和其中一角的对边对应相等的两个三角形全等25 边边边公理(sss) 有三边对应相等的两个三角形全等26 斜边、直角边公理(hl) 有斜边和一条直角边对应相等的两个直角三角形全等27 定理1 在角的平分线上的点到这个角的两边的距离相等28 定理2 到一个角的两边的距离相同的点,在这个角的平分线上29 角的平分线是到角的两边距离相等的所有点的集合30 等腰三角形的性质定理等腰三角形的两个底角相等 (即等边对等角)31 推论1 等腰三角形顶角的平分线平分底边并且垂直于底边32 等腰三角形的顶角平分线、底边上的中线和底边上的高互相重合33 推论3 等边三角形的各角都相等,并且每一个角都等于60°34 等腰三角形的判定定理如果一个三角形有两个角相等,那么这两个角所对的边也相等(等角对等边)35 推论1 三个角都相等的三角形是等边三角形36 推论 2 有一个角等于60°的等腰三角形是等边三角形37 在直角三角形中,如果一个锐角等于30°那么它所对的直角边等于斜边的一半38 直角三角形斜边上的中线等于斜边上的一半39 定理线段垂直平分线上的点和这条线段两个端点的距离相等40 逆定理和一条线段两个端点距离相等的点,在这条线段的垂直平分线上41 线段的垂直平分线可看作和线段两端点距离相等的所有点的集合42 定理1 关于某条直线对称的两个图形是全等形43 定理 2 如果两个图形关于某直线对称,那么对称轴是对应点连线的垂直平分线 44定理3 两个图形关于某直线对称,如果它们的对应线段或延长线相交,那么交点在对称轴上45逆定理如果两个图形的对应点连线被同一条直线垂直平分,那么这两个图形关于这条直线对称46勾股定理直角三角形两直角边a、b的平方和、等于斜边c的平方,即a^2+b^2=c^247勾股定理的逆定理如果三角形的三边长a、b、c有关系a^2+b^2=c^2 ,那么这个三角形是直角三角形48定理四边形的内角和等于360°49四边形的外角和等于360°50多边形内角和定理 n边形的内角的和等于(n-2)³180°51推论任意多边的外角和等于360°52平行四边形性质定理1 平行四边形的对角相等53平行四边形性质定理2 平行四边形的对边相等54推论夹在两条平行线间的平行线段相等55平行四边形性质定理3 平行四边形的对角线互相平分56平行四边形判定定理1 两组对角分别相等的四边形是平行四边形57平行四边形判定定理2 两组对边分别相等的四边形是平行四边形58平行四边形判定定理3 对角线互相平分的四边形是平行四边形59平行四边形判定定理4 一组对边平行相等的四边形是平行四边形60矩形性质定理1 矩形的四个角都是直角61矩形性质定理2 矩形的对角线相等62矩形判定定理1 有三个角是直角的四边形是矩形63矩形判定定理2 对角线相等的平行四边形是矩形64菱形性质定理1 菱形的四条边都相等65菱形性质定理2 菱形的对角线互相垂直,并且每一条对角线平分一组对角66菱形面积=对角线乘积的一半,即s=(a³b)÷267菱形判定定理1 四边都相等的四边形是菱形68菱形判定定理2 对角线互相垂直的平行四边形是菱形69正方形性质定理1 正方形的四个角都是直角,四条边都相等70正方形性质定理2正方形的两条对角线相等,并且互相垂直平分,每条对角线平分一组对角71定理1 关于中心对称的两个图形是全等的72定理2 关于中心对称的两个图形,对称点连线都经过对称中心,并且被对称中心平分73逆定理如果两个图形的对应点连线都经过某一点,并且被这一点平分,那么这两个图形关于这一点对称74等腰梯形性质定理等腰梯形在同一底上的两个角相等75等腰梯形的两条对角线相等76等腰梯形判定定理在同一底上的两个角相等的梯形是等腰梯形77对角线相等的梯形是等腰梯形78平行线等分线段定理如果一组平行线在一条直线上截得的线段相等,那么在其他直线上截得的线段也相等79 推论1 经过梯形一腰的中点与底平行的直线,必平分另一腰80 推论2 经过三角形一边的中点与另一边平行的直线,必平分第三边81 三角形中位线定理三角形的中位线平行于第三边,并且等于它的一半82 梯形中位线定理梯形的中位线平行于两底,并且等于两底和的一半 l=(a+b)÷2 s=l³h83 (1)比例的基本性质如果a:b=c:d,那么ad=bc 如果ad=bc,那么a:b=c:d84 (2)合比性质如果a/b=c/d,那么(a±b)/b=(c±d)/d85 (3)等比性质如果a/b=c/d=…=m/n(b+d+…+n≠0),那么(a+c+…+m)/(b+d+…+n)=a/b86 平行线分线段成比例定理三条平行线截两条直线,所得的对应线段成比例87 推论平行于三角形一边的直线截其他两边(或两边的延长线),所得的对应线段成比例88 定理如果一条直线截三角形的两边(或两边的延长线)所得的对应线段成比例,那么这条直线平行于三角形的第三边89 平行于三角形的一边,并且和其他两边相交的直线,所截得的三角形的三边与原三角形三边对应成比例90 定理平行于三角形一边的直线和其他两边(或两边的延长线)相交,所构成的三角形与原三角形相似91 相似三角形判定定理1 两角对应相等,两三角形相似(asa)92 直角三角形被斜边上的高分成的两个直角三角形和原三角形相似93 判定定理2 两边对应成比例且夹角相等,两三角形相似(sas)94 判定定理3 三边对应成比例,两三角形相似(sss)95 定理如果一个直角三角形的斜边和一条直角边与另一个直角三角形的斜边和一条直角边对应成比例,那么这两个直角三角形相似96 性质定理1 相似三角形对应高的比,对应中线的比与对应角平分线的比都等于相似比97 性质定理2 相似三角形周长的比等于相似比98 性质定理3 相似三角形面积的比等于相似比的平方99 任意锐角的正弦值等于它的余角的余弦值,任意锐角的余弦值等于它的余角的正弦值100任意锐角的正切值等于它的余角的余切值,任意锐角的余切值等于它的余角的正切值101圆是定点的距离等于定长的点的集合102圆的内部可以看作是圆心的距离小于半径的点的集合103圆的外部可以看作是圆心的距离大于半径的点的集合104同圆或等圆的半径相等105到定点的距离等于定长的点的轨迹,是以定点为圆心,定长为半径的圆106和已知线段两个端点的距离相等的点的轨迹,是着条线段的垂直平分线107到已知角的两边距离相等的点的轨迹,是这个角的平分线108到两条平行线距离相等的点的轨迹,是和这两条平行线平行且距离相等的一条直线109定理不在同一直线上的三点确定一个圆。
一、数学计算公式大全:1、每份数×份数=总数总数÷每份数=份数总数÷份数=每份数2、 1倍数×倍数=几倍数几倍数÷1倍数=倍数几倍数÷倍数=1倍数3、速度×时间=路程路程÷速度=时间路程÷时间=速度4、单价×数量=总价总价÷单价=数量总价÷数量=单价5、工作效率×工作时间=工作总量工作总量÷工作效率=工作时间工作总量÷工作时间=工作效率6、加数+加数=和和-一个加数=另一个加数7、被减数-减数=差被减数-差=减数差+减数=被减数8、因数×因数=积积÷一个因数=另一个因数9、被除数÷除数=商被除数÷商=除数商×除数=被除数小学数学图形计算公式1 、正方形 C周长 S面积 a边长周长=边长×4 C=4a 面积=边长×边长 S=a×a2 、正方体 V:体积 a:棱长表面积=棱长×棱长×6 S表=a×a×6 体积=棱长×棱长×棱长V=a×a×a3 、长方形:C周长 S面积 a边长周长=(长+宽)×2C=2(a+b)面积=长×宽S=ab4 、长方体V:体积 s:面积 a:长 b: 宽 h:高(1)表面积(长×宽+长×高+宽×高)×2S=2(ab+ah+bh)(2)体积=长×宽×高V=abh5 三角形s面积 a底 h高面积=底×高÷2s=ah÷2三角形高=面积×2÷底三角形底=面积×2÷高6 平行四边形s面积 a底 h高面积=底×高s=ah7 梯形s面积 a上底 b下底 h高面积=(上底+下底)×高÷2s=(a+b)× h÷2S面积 C周长∏ d=直径 r=半径(1)周长=直径×∏=2×∏×半径C=∏d=2∏r(2)面积=半径×半径×∏9 圆柱体v:体积 h:高 s;底面积 r:底面半径 c:底面周长(1)侧面积=底面周长×高(2)表面积=侧面积+底面积×2(3)体积=底面积×高(4)体积=侧面积÷2×半径10 圆锥体v:体积 h:高 s;底面积 r:底面半径体积=底面积×高÷3总数÷总份数=平均数和差问题的公式(和+差)÷2=大数(和-差)÷2=小数和倍问题和÷(倍数-1)=小数小数×倍数=大数(或者和-小数=大数)差倍问题差÷(倍数-1)=小数小数×倍数=大数(或小数+差=大数)植树问题1 非封闭线路上的植树问题主要可分为以下三种情形:⑴如果在非封闭线路的两端都要植树,那么:株数=段数+1=全长÷株距-1全长=株距×(株数-1)株距=全长÷(株数-1)⑵如果在非封闭线路的一端要植树,另一端不要植树,那么: 株数=段数=全长÷株距全长=株距×株数株距=全长÷株数⑶如果在非封闭线路的两端都不要植树,那么:株数=段数-1=全长÷株距-1全长=株距×(株数+1)株距=全长÷(株数+1)2 封闭线路上的植树问题的数量关系如下株数=段数=全长÷株距全长=株距×株数株距=全长÷株数(盈+亏)÷两次分配量之差=参加分配的份数(大盈-小盈)÷两次分配量之差=参加分配的份数(大亏-小亏)÷两次分配量之差=参加分配的份数相遇问题相遇路程=速度和×相遇时间相遇时间=相遇路程÷速度和速度和=相遇路程÷相遇时间追及问题追及距离=速度差×追及时间追及时间=追及距离÷速度差速度差=追及距离÷追及时间流水问题顺流速度=静水速度+水流速度逆流速度=静水速度-水流速度静水速度=(顺流速度+逆流速度)÷2水流速度=(顺流速度-逆流速度)÷2浓度问题溶质的重量+溶剂的重量=溶液的重量溶质的重量÷溶液的重量×100%=浓度溶液的重量×浓度=溶质的重量溶质的重量÷浓度=溶液的重量利润与折扣问题利润=售出价-成本利润率=利润÷成本×100%=(售出价÷成本-1)×100% 涨跌金额=本金×涨跌百分比折扣=实际售价÷原售价×100%(折扣<1)利息=本金×利率×时间有预算的公式没。
高中数学常用公式及常用结论1. 元素与集合的关系U x A x C A ∈⇔∉,U x C A x A ∈⇔∉. 2.德摩根公式();()U U U U U U C A B C A C B C A B C A C B == .3.包含关系A B A A B B =⇔= U U A B C B C A ⇔⊆⇔⊆U A C B ⇔=Φ U C A B R ⇔=4.容斥原理()()card A B cardA cardB card A B =+-()()card A B C cardA cardB cardC card A B =++-()()()()card A B card B C card C A card A B C ---+ .5.集合12{,,,}n a a a 的子集个数共有2n个;真子集有2n–1个;非空子集有2n–1个;非空的真子集有2n–2个.6.二次函数的解析式的三种形式 (1)一般式2()(0)f x ax bx c a =++≠; (2)顶点式2()()(0)f x a x h k a =-+≠; (3)零点式12()()()(0)f x a x x x x a =--≠.7.解连不等式()N f x M <<常有以下转化形式()N f x M <<⇔[()][()]0f x M f x N --<⇔|()|22M N M N f x +--<⇔()0()f x NM f x ->- ⇔11()f x N M N>--. 8.方程0)(=x f 在),(21k k 上有且只有一个实根,与0)()(21<k f k f 不等价,前者是后者的一个必要而不是充分条件.特别地, 方程)0(02≠=++a c bx ax 有且只有一个实根在),(21k k 内,等价于0)()(21<k f k f ,或0)(1=k f 且22211k k a b k +<-<,或0)(2=k f 且22122k ab k k <-<+. 9.闭区间上的二次函数的最值二次函数)0()(2≠++=a c bx ax x f 在闭区间[]q p ,上的最值只能在abx 2-=处及区间的两端点处取得,具体如下: (1)当a>0时,若[]q p a bx ,2∈-=,则{}min max max ()(),()(),()2b f x f f x f p f q a=-=; []q p abx ,2∉-=,{}max max ()(),()f x f p f q =,{}min min ()(),()f x f p f q =. (2)当a<0时,若[]q p a b x ,2∈-=,则{}m i n ()m i n (),()f x f p f q =,若[]q p ab x ,2∉-=,则{}ma x ()m a x (),()f x f p f q =,{}min ()min (),()f x f p f q =. 10.一元二次方程的实根分布依据:若()()0f m f n <,则方程0)(=x f 在区间(,)m n 内至少有一个实根 . 设q px x x f ++=2)(,则(1)方程0)(=x f 在区间),(+∞m 内有根的充要条件为0)(=m f 或2402p q p m ⎧-≥⎪⎨->⎪⎩;(2)方程0)(=x f 在区间(,)m n 内有根的充要条件为()()0f m f n <或2()0()0402f m f n p q p m n >⎧⎪>⎪⎪⎨-≥⎪⎪<-<⎪⎩或()0()0f m af n =⎧⎨>⎩或()0()0f n af m =⎧⎨>⎩;(3)方程0)(=x f 在区间(,)n -∞内有根的充要条件为()0f m <或2402p q p m ⎧-≥⎪⎨-<⎪⎩ .11.定区间上含参数的二次不等式恒成立的条件依据(1)在给定区间),(+∞-∞的子区间L (形如[]βα,,(]β,∞-,[)+∞,α不同)上含参数的二次不等式(,)0f x t ≥(t 为参数)恒成立的充要条件是min (,)0()f x t x L ≥∉.(2)在给定区间),(+∞-∞的子区间上含参数的二次不等式(,)0f x t ≥(t 为参数)恒成立的充要条件是(,)0()man f x t x L ≤∉.(3)0)(24>++=c bx ax x f 恒成立的充要条件是000a b c ≥⎧⎪≥⎨⎪>⎩或2040a b ac <⎧⎨-<⎩.12.13.14.四种命题的相互关系15.充要条件(1)充分条件:若p q ⇒,则p 是q 充分条件.(2)必要条件:若q p ⇒,则p 是q 必要条件.(3)充要条件:若p q ⇒,且q p ⇒,则p 是q 充要条件.注:如果甲是乙的充分条件,则乙是甲的必要条件;反之亦然. 16.函数的单调性(1)设[]2121,,x x b a x x ≠∈⋅那么[]1212()()()0x x f x f x -->⇔[]b a x f x x x f x f ,)(0)()(2121在⇔>--上是增函数;[]1212()()()0x x f x f x --<⇔[]b a x f x x x f x f ,)(0)()(2121在⇔<--上是减函数. (2)设函数)(x f y =在某个区间内可导,如果0)(>'x f ,则)(x f 为增函数;如果0)(<'x f ,则)(x f 为减函数.17.如果函数)(x f 和)(x g 都是减函数,则在公共定义域内,和函数)()(x g x f +也是减函数; 如果函数)(u f y =和)(x g u =在其对应的定义域上都是减函数,则复合函数)]([x g f y =是增函数.18.奇偶函数的图象特征奇函数的图象关于原点对称,偶函数的图象关于y 轴对称;反过来,如果一个函数的图象关于原点对称,那么这个函数是奇函数;如果一个函数的图象关于y 轴对称,那么这个函数是偶函数.19.若函数)(x f y =是偶函数,则)()(a x f a x f --=+;若函数)(a x f y +=是偶函数,则)()(a x f a x f +-=+.20.对于函数)(x f y =(R x ∈),)()(x b f a x f -=+恒成立,则函数)(x f 的对称轴是函数2ba x +=;两个函数)(a x f y +=与)(x b f y -= 的图象关于直线2ba x +=对称. 21.若)()(a x f x f +--=,则函数)(x f y =的图象关于点)0,2(a 对称; 若)()(a x f x f +-=,则函数)(x f y =为周期为a 2的周期函数.22.多项式函数110()n n n n P x a x a x a --=+++ 的奇偶性多项式函数()P x 是奇函数⇔()P x 的偶次项(即奇数项)的系数全为零. 多项式函数()P x 是偶函数⇔()P x 的奇次项(即偶数项)的系数全为零. 23.函数()y f x =的图象的对称性(1)函数()y f x =的图象关于直线x a =对称()()f a x f a x ⇔+=-(2)()f a x f x ⇔-=.(2)函数()y f x =的图象关于直线2a bx +=对称()()f a mx f b mx ⇔+=- ()()f a b mx f mx ⇔+-=.24.两个函数图象的对称性(1)函数()y f x =与函数()y f x =-的图象关于直线0x =(即y 轴)对称. (2)函数()y f mx a =-与函数()y f b mx =-的图象关于直线2a bx m+=对称. (3)函数)(x f y =和)(1x f y -=的图象关于直线y=x 对称.25.若将函数)(x f y =的图象右移a 、上移b 个单位,得到函数b a x f y +-=)(的图象;若将曲线0),(=y x f 的图象右移a 、上移b 个单位,得到曲线0),(=--b y a x f 的图象.26.互为反函数的两个函数的关系a b f b a f =⇔=-)()(1.27.若函数)(b kx f y +=存在反函数,则其反函数为])([11b x f ky -=-,并不是)([1b kx f y +=-,而函数)([1b kx f y +=-是])([1b x f ky -=的反函数. 28.几个常见的函数方程(1)正比例函数()f x cx =,()()(),(1)f x y f x f y f c +=+=.(2)指数函数()xf x a =,()()(),(1)0f x y f x f y f a +==≠.(3)对数函数()log a f x x =,()()(),()1(0,1)f xy f x f y f a a a =+=>≠. (4)幂函数()f x x α=,'()()(),(1)f xy f x f y f α==.(5)余弦函数()cos f x x =,正弦函数()sin g x x =,()()()()()f x y f x f y g x g y -=+,()(0)1,lim1x g x f x→==. 29.几个函数方程的周期(约定a>0)(1))()(a x f x f +=,则)(x f 的周期T=a ; (2)0)()(=+=a x f x f ,或)0)(()(1)(≠=+x f x f a x f , 或1()()f x a f x +=-(()0)f x ≠,或[]1(),(()0,1)2f x a f x +=+∈,则)(x f 的周期T=2a ; (3))0)(()(11)(≠+-=x f a x f x f ,则)(x f 的周期T=3a ;(4))()(1)()()(212121x f x f x f x f x x f -+=+且1212()1(()()1,0||2)f a f x f x x x a =⋅≠<-<,则)(x f 的周期T=4a ;(5)()()(2)(3)(4)f x f x a f x a f x a f x a +++++++()()(2)(3)(4)f x f x a f x a f x a f x a =++++,则)(x f 的周期T=5a ; (6))()()(a x f x f a x f +-=+,则)(x f 的周期T=6a.30.分数指数幂(1)m na =0,,a m n N *>∈,且1n >). (2)1m nm naa-=(0,,a m n N *>∈,且1n >).31.根式的性质 (1)n a =.(2)当na =; 当n,0||,0a a a a a ≥⎧==⎨-<⎩.32.有理指数幂的运算性质 (1) (0,,)r s r s a a a a r s Q +⋅=>∈. (2) ()(0,,)r s rsa a a r s Q =>∈.(3)()(0,0,)rr rab a b a b r Q =>>∈.注: 若a >0,p 是一个无理数,则a p表示一个确定的实数.上述有理指数幂的运算性质,对于无理数指数幂都适用. 33.指数式与对数式的互化式log b a N b a N =⇔=(0,1,0)a a N >≠>.34.对数的换底公式log log log m a m NN a=(0a >,且1a ≠,0m >,且1m ≠, 0N >).推论 log log m na a nb b m =(0a >,且1a >,,0m n >,且1m ≠,1n ≠, 0N >).35.对数的四则运算法则若a >0,a ≠1,M >0,N >0,则 (1)log ()log log a a a MN M N =+;(2) log log log aa a MM N N =-; (3)log log ()na a M n M n R =∈.36.设函数)0)((log )(2≠++=a c bx ax x f m ,记ac b 42-=∆.若)(x f 的定义域为R ,则0>a ,且0<∆;若)(x f 的值域为R ,则0>a ,且0≥∆.对于0=a 的情形,需要单独检验.37. 对数换底不等式及其推广若0a >,0b >,0x >,1x a ≠,则函数log ()ax y bx = (1)当a b >时,在1(0,)a 和1(,)a+∞上log ()ax y bx =为增函数.,(2)当a b <时,在1(0,)a 和1(,)a+∞上log ()ax y bx =为减函数.推论:设1n m >>,0p >,0a >,且1a ≠,则 (1)log ()log m p m n p n ++<. (2)2log log log 2a a a m nm n +<. 38. 平均增长率的问题如果原来产值的基础数为N ,平均增长率为p ,则对于时间x 的总产值y ,有(1)x y N p =+. 39.数列的同项公式与前n 项的和的关系11,1,2n n n s n a s s n -=⎧=⎨-≥⎩( 数列{}n a 的前n 项的和为12n n s a a a =+++ ). 40.等差数列的通项公式*11(1)()n a a n d dn a d n N =+-=+-∈;其前n 项和公式为1()2n n n a a s +=1(1)2n n na d -=+ 211()22d n a d n =+-. 41.等比数列的通项公式1*11()n nn a a a q q n N q-==⋅∈; 其前n 项的和公式为11(1),11,1n n a q q s q na q ⎧-≠⎪=-⎨⎪=⎩或11,11,1n n a a qq q s na q -⎧≠⎪-=⎨⎪=⎩.42.等比差数列{}n a :11,(0)n n a qa d a b q +=+=≠的通项公式为1(1),1(),11n n n b n d q a bq d b q d q q -+-=⎧⎪=+--⎨≠⎪-⎩;其前n 项和公式为(1),(1)1(),(1)111n n nb n n d q s d q db n q q q q +-=⎧⎪=-⎨-+≠⎪---⎩. 43.分期付款(按揭贷款)每次还款(1)(1)1nnab b x b +=+-元(贷款a 元,n 次还清,每期利率为b ). 44.常见三角不等式 (1)若(0,)2x π∈,则sin tan x x x <<.(2) 若(0,)2x π∈,则1sin cos x x <+≤(3) |sin ||cos |1x x +≥.45.同角三角函数的基本关系式22sin cos 1θθ+=,tan θ=θθcos sin ,tan 1cot θθ⋅=. 46.正弦、余弦的诱导公式212(1)sin ,sin()2(1)s ,nn n co απαα-⎧-⎪+=⎨⎪-⎩212(1)s ,s()2(1)sin ,nn co n co απαα+⎧-⎪+=⎨⎪-⎩47.和角与差角公式sin()sin cos cos sin αβαβαβ±=±;cos()cos cos sin sin αβαβαβ±= ;tan tan tan()1tan tan αβαβαβ±±=. 22sin()sin()sin sin αβαβαβ+-=-(平方正弦公式);22cos()cos()cos sin αβαβαβ+-=-.sin cos a b αα+)αϕ+(辅助角ϕ所在象限由点(,)a b 的象限决定,tan baϕ=). 48.二倍角公式sin 22sin cos ααα=.2222cos 2cos sin 2cos 112sin ααααα=-=-=-.22tan tan 21tan ααα=-.49. 三倍角公式3sin 33sin 4sin 4sin sin()sin()33ππθθθθθθ=-=-+.3cos34cos 3cos 4cos cos()cos()33ππθθθθθθ=-=-+.323tan tan tan 3tan tan()tan()13tan 33θθππθθθθθ-==-+-. 50.三角函数的周期公式函数sin()y x ωϕ=+,x ∈R 及函数cos()y x ωϕ=+,x ∈R(A,ω,ϕ为常数,且A ≠0,ω>0)的周期2T πω=;函数tan()y x ωϕ=+,,2x k k Z ππ≠+∈(A,ω,ϕ为常数,且A ≠0,ω>0)的周期T πω=. 51.正弦定理2sin sin sin a b cR A B C===. 52.余弦定理2222cos a b c bc A =+-; 2222cos b c a ca B =+-; 2222cos c a b ab C =+-.53.面积定理(1)111222a b c S ah bh ch ===(a b c h h h 、、分别表示a 、b 、c 边上的高). (2)111sin sin sin 222S ab C bc A ca B ===.(3)OAB S ∆=54.三角形内角和定理在△ABC 中,有()A B C C A B ππ++=⇔=-+222C A B π+⇔=-222()C A B π⇔=-+. 55. 简单的三角方程的通解sin (1)arcsin (,||1)k x a x k a k Z a π=⇔=+-∈≤. s 2arccos (,||1)co x a x k a k Z a π=⇔=±∈≤.tan arctan (,)x a x k a k Z a R π=⇒=+∈∈.特别地,有sin sin (1)()k k k Z αβαπβ=⇔=+-∈.s cos 2()co k k Z αβαπβ=⇔=±∈.tan tan ()k k Z αβαπβ=⇒=+∈.56.最简单的三角不等式及其解集sin (||1)(2arcsin ,2arcsin ),x a a x k a k a k Z πππ>≤⇔∈++-∈.sin (||1)(2arcsin ,2arcsin ),x a a x k a k a k Z πππ<≤⇔∈--+∈. cos (||1)(2arccos ,2arccos ),x a a x k a k a k Z ππ>≤⇔∈-+∈.cos (||1)(2arccos ,22arccos ),x a a x k a k a k Z πππ<≤⇔∈++-∈.tan ()(arctan ,),2x a a R x k a k k Z πππ>∈⇒∈++∈.tan ()(,arctan ),2x a a R x k k a k Z πππ<∈⇒∈-+∈.57.实数与向量的积的运算律 设λ、μ为实数,那么(1) 结合律:λ(μa )=(λμ)a ;(2)第一分配律:(λ+μ)a =λa +μa; (3)第二分配律:λ(a +b )=λa +λb . 58.向量的数量积的运算律: (1) a ·b= b ·a (交换律); (2)(λa )·b= λ(a ·b )=λa ·b = a ·(λb ); (3)(a +b )·c= a ·c +b ·c. 59.平面向量基本定理如果e 1、e 2是同一平面内的两个不共线向量,那么对于这一平面内的任一向量,有且只有一对实数λ1、λ2,使得a=λ1e 1+λ2e 2.不共线的向量e 1、e 2叫做表示这一平面内所有向量的一组基底. 60.向量平行的坐标表示设a =11(,)x y ,b =22(,)x y ,且b ≠0,则a b(b ≠0)12210x y x y ⇔-=. 53. a 与b 的数量积(或内积) a ·b =|a ||b |cos θ. 61. a ·b 的几何意义数量积a ·b 等于a 的长度|a |与b 在a 的方向上的投影|b |cos θ的乘积. 62.平面向量的坐标运算(1)设a =11(,)x y ,b =22(,)x y ,则a+b=1212(,)x x y y ++.(2)设a =11(,)x y ,b =22(,)x y ,则a-b=1212(,)x x y y --.(3)设A 11(,)x y ,B 22(,)x y ,则2121(,)AB OB OA x x y y =-=--.(4)设a =(,),x y R λ∈,则λa=(,)x y λλ.(5)设a =11(,)x y ,b =22(,)x y ,则a ·b=1212()x x y y +.63.两向量的夹角公式cos θ=(a =11(,)x y ,b =22(,)x y ).64.平面两点间的距离公式,A B d =||AB ==11(,)x y ,B 22(,)x y ).65.向量的平行与垂直设a =11(,)x y ,b =22(,)x y ,且b ≠0,则A ||b ⇔b =λa 12210x y x y ⇔-=. a ⊥b(a ≠0)⇔a ·b=012120x x y y ⇔+=. 66.线段的定比分公式设111(,)P x y ,222(,)P x y ,(,)P x y 是线段12PP 的分点,λ是实数,且12PP PP λ=,则121211x x x y y y λλλλ+⎧=⎪⎪+⎨+⎪=⎪+⎩⇔121OP OP OP λλ+=+ ⇔12(1)OP tOP t OP =+- (11t λ=+). 67.三角形的重心坐标公式△ABC 三个顶点的坐标分别为11A(x ,y )、22B(x ,y )、33C(x ,y ),则△ABC 的重心的坐标是123123(,)33x x x y y y G ++++. 68.点的平移公式''''x x h x x h y y k y y k⎧⎧=+=-⎪⎪⇔⎨⎨=+=-⎪⎪⎩⎩''OP OP PP ⇔=+ . 注:图形F 上的任意一点P(x ,y)在平移后图形'F 上的对应点为'''(,)P x y ,且'PP的坐标为(,)h k .69.“按向量平移”的几个结论(1)点(,)P x y 按向量a =(,)h k 平移后得到点'(,)P x h y k ++.(2) 函数()y f x =的图象C 按向量a =(,)h k 平移后得到图象'C ,则'C 的函数解析式为()y f x h k =-+. (3) 图象'C 按向量a =(,)h k 平移后得到图象C ,若C 的解析式()y f x =,则'C 的函数解析式为()y f x h k =+-. (4)曲线C :(,)0f x y =按向量a =(,)h k 平移后得到图象'C ,则'C 的方程为(,)0f x h y k --=. (5) 向量m =(,)x y 按向量a =(,)h k 平移后得到的向量仍然为m =(,)x y . 70. 三角形五“心”向量形式的充要条件设O 为ABC ∆所在平面上一点,角,,A B C 所对边长分别为,,a b c ,则(1)O 为ABC ∆的外心222OA OB OC ⇔== .(2)O 为ABC ∆的重心0OA OB OC ⇔++=.(3)O 为ABC ∆的垂心OA OB OB OC OC OA ⇔⋅=⋅=⋅.(4)O 为ABC ∆的内心0aOA bOB cOC ⇔++=.(5)O 为ABC ∆的A ∠的旁心aOA bOB cOC ⇔=+.71.常用不等式:(1),a b R ∈⇒222a b ab +≥(当且仅当a =b 时取“=”号).(2),a b R +∈⇒2a b+≥当且仅当a =b 时取“=”号). (3)3333(0,0,0).a b c abc a b c ++≥>>>(4)柯西不等式22222()()(),,,,.a b c d ac bd a b c d R ++≥+∈(5)b a b a b a +≤+≤-. 72.极值定理已知y x ,都是正数,则有(1)若积xy 是定值p ,则当y x =时和y x +有最小值p 2; (2)若和y x +是定值s ,则当y x =时积xy 有最大值241s . 推广 已知R y x ∈,,则有xy y x y x 2)()(22+-=+ (1)若积xy 是定值,则当||y x -最大时,||y x +最大; 当||y x -最小时,||y x +最小.(2)若和||y x +是定值,则当||y x -最大时, ||xy 最小; 当||y x -最小时, ||xy 最大.73.一元二次不等式20(0)ax bx c ++><或2(0,40)a b ac ≠∆=->,如果a 与2ax bx c ++同号,则其解集在两根之外;如果a 与2ax bx c ++异号,则其解集在两根之间.简言之:同号两根之外,异号两根之间.121212()()0()x x x x x x x x x <<⇔--<<;121212,()()0()x x x x x x x x x x <>⇔--><或.74.含有绝对值的不等式 当a> 0时,有22x a x a a x a <⇔<⇔-<<.22x a x a x a >⇔>⇔>或x a <-.75.无理不等式 (1()0()0()()f x g x f x g x ≥⎧⎪>⇔≥⎨⎪>⎩. (22()0()0()()0()0()[()]f x f x g x g x g x f x g x ≥⎧≥⎧⎪⇔≥⎨⎨<⎩⎪>⎩或. (32()0()()0()[()]f x g x g x f x g x ≥⎧⎪⇔>⎨⎪<⎩. 76.指数不等式与对数不等式 (1)当1a >时,()()()()f x g x a a f x g x >⇔>;()0log ()log ()()0()()a a f x f x g x g x f x g x >⎧⎪>⇔>⎨⎪>⎩.(2)当01a <<时,()()()()f x g x a a f x g x >⇔<;()0log ()log ()()0()()a a f x f x g x g x f x g x >⎧⎪>⇔>⎨⎪<⎩77.斜率公式2121y y k x x -=-(111(,)P x y 、222(,)P x y ).78.直线的五种方程(1)点斜式 11()y y k x x -=- (直线l 过点111(,)P x y ,且斜率为k ). (2)斜截式 y kx b =+(b 为直线l 在y 轴上的截距).(3)两点式112121y y x x y y x x --=--(12y y ≠)(111(,)P x y 、222(,)P x y (12x x ≠)).(4)截距式 1x ya b+=(a b 、分别为直线的横、纵截距,0a b ≠、)(5)一般式 0Ax By C ++=(其中A 、B 不同时为0).79.两条直线的平行和垂直(1)若111:l y k x b =+,222:l y k x b =+ ①121212||,l l k k b b ⇔=≠; ②12121l l k k ⊥⇔=-.(2)若1111:0l A x B y C ++=,2222:0l A x B y C ++=,且A 1、A 2、B 1、B 2都不为零, ①11112222||A B C l l A B C ⇔=≠;②1212120l l A A B B ⊥⇔+=; 80.夹角公式(1)2121tan ||1k k k k α-=+.(111:l y k x b =+,222:l y k x b =+,121k k ≠-)(2)12211212tan ||A B A B A A B B α-=+.(1111:0l A x B y C ++=,2222:0l A x B y C ++=,12120A AB B +≠). 直线12l l ⊥时,直线l 1与l 2的夹角是2π.81. 1l 到2l 的角公式(1)2121tan 1k k k k α-=+.(111:l y k x b =+,222:l y k x b =+,121k k ≠-)(2)12211212tan A B A B A A B B α-=+.(1111:0l A x B y C ++=,2222:0l A x B y C ++=,12120A AB B +≠). 直线12l l ⊥时,直线l 1到l 2的角是2π.82.四种常用直线系方程(1)定点直线系方程:经过定点000(,)P x y 的直线系方程为00()y y k x x -=-(除直线0x x =),其中k 是待定的系数; 经过定点000(,)P x y 的直线系方程为00()()0A x x B y y -+-=,其中,A B 是待定的系数.(2)共点直线系方程:经过两直线1111:0l A x B y C ++=,2222:0l A x B y C ++=的交点的直线系方程为111222()()0A x B y C A x B y C λ+++++=(除2l ),其中λ是待定的系数. (3)平行直线系方程:直线y kx b =+中当斜率k 一定而b 变动时,表示平行直线系方程.与直线0Ax By C ++=平行的直线系方程是0Ax By λ++=(0λ≠),λ是参变量.(4)垂直直线系方程:与直线0Ax By C ++= (A ≠0,B ≠0)垂直的直线系方程是0Bx Ay λ-+=,λ是参变量.83.点到直线的距离d =(点00(,)P x y ,直线l :0Ax By C ++=).84. 0Ax By C ++>或0<所表示的平面区域设直线:0l Ax By C ++=,则0Ax By C ++>或0<所表示的平面区域是:若0B ≠,当B 与Ax By C ++同号时,表示直线l 的上方的区域;当B 与Ax By C ++异号时,表示直线l 的下方的区域.简言之,同号在上,异号在下.若0B =,当A 与Ax By C ++同号时,表示直线l 的右方的区域;当A 与Ax By C ++异号时,表示直线l 的左方的区域. 简言之,同号在右,异号在左.85. 111222()()0A x B y C A x B y C ++++>或0<所表示的平面区域设曲线111222:()()0C A x B y C A x B y C ++++=(12120A A B B ≠),则 111222()()0A x B y C A x B y C ++++>或0<所表示的平面区域是: 111222()()0A x B y C A x B y C ++++>所表示的平面区域上下两部分; 111222()()0A x B y C A x B y C ++++<所表示的平面区域上下两部分.86. 圆的四种方程(1)圆的标准方程 222()()x a y b r -+-=.(2)圆的一般方程 220x y Dx Ey F ++++=(224D E F +->0).(3)圆的参数方程 cos sin x a r y b r θθ=+⎧⎨=+⎩.(4)圆的直径式方程 1212()()()()0x x x x y y y y --+--=(圆的直径的端点是11(,)A x y 、22(,)B x y ).87. 圆系方程(1)过点11(,)A x y ,22(,)B x y 的圆系方程是1212112112()()()()[()()()()]0x x x x y y y y x x y y y y x x λ--+--+-----=1212()()()()()0x x x x y y y y ax by c λ⇔--+--+++=,其中0ax by c ++=是直线AB 的方程,λ是待定的系数.(2)过直线l :0Ax By C ++=与圆C:220x y Dx Ey F ++++=的交点的圆系方程是22()0x y Dx Ey F Ax By C λ+++++++=,λ是待定的系数.(3) 过圆1C :221110x y D x E y F ++++=与圆2C :222220x y D x E y F ++++=的交点的圆系方程是2222111222()0x y D x E y F x y D x E y F λ+++++++++=,λ是待定的系数.88.点与圆的位置关系点00(,)P x y 与圆222)()(r b y a x =-+-的位置关系有三种若d =d r >⇔点P 在圆外;d r =⇔点P 在圆上;d r <⇔点P 在圆内.89.直线与圆的位置关系直线0=++C By Ax 与圆222)()(r b y a x =-+-的位置关系有三种:0<∆⇔⇔>相离r d ; 0=∆⇔⇔=相切r d ; 0>∆⇔⇔<相交r d .其中22BA C Bb Aa d +++=.90.两圆位置关系的判定方法设两圆圆心分别为O 1,O 2,半径分别为r 1,r 2,d O O =21条公切线外离421⇔⇔+>r r d ; 条公切线外切321⇔⇔+=r r d ;条公切线相交22121⇔⇔+<<-r r d r r ; 条公切线内切121⇔⇔-=r r d ; 无公切线内含⇔⇔-<<210r r d .91.圆的切线方程(1)已知圆220x y Dx Ey F ++++=.①若已知切点00(,)x y 在圆上,则切线只有一条,其方程是0000()()022D x xE y y x x y yF ++++++=. 当00(,)x y 圆外时, 0000()()022D x xE y y x x y yF ++++++=表示过两个切点的切点弦方程. ②过圆外一点的切线方程可设为00()y y k x x -=-,再利用相切条件求k ,这时必有两条切线,注意不要漏掉平行于y 轴的切线.③斜率为k 的切线方程可设为y kx b =+,再利用相切条件求b ,必有两条切线.(2)已知圆222x y r +=.①过圆上的000(,)P x y 点的切线方程为200x x y y r +=;②斜率为k的圆的切线方程为y kx =±92.椭圆22221(0)x y a b a b +=>>的参数方程是cos sin x a y b θθ=⎧⎨=⎩.93.椭圆22221(0)x y a b a b+=>>焦半径公式)(21c a x e PF +=,)(22x ca e PF -=.94.椭圆的的内外部(1)点00(,)P x y 在椭圆22221(0)x y a b a b +=>>的内部2200221x y a b⇔+<.(2)点00(,)P x y 在椭圆22221(0)x y a b a b +=>>的外部2200221x y a b⇔+>.95. 椭圆的切线方程(1)椭圆22221(0)x y a b a b+=>>上一点00(,)P x y 处的切线方程是00221x x y y a b +=.(2)过椭圆22221(0)x y a b a b+=>>外一点00(,)P x y 所引两条切线的切点弦方程是00221x x y ya b+=. (3)椭圆22221(0)x y a b a b +=>>与直线0Ax By C ++=相切的条件是22222A aB b c +=.96.双曲线22221(0,0)x y a b a b -=>>的焦半径公式21|()|a PF e x c =+,22|()|a PF e x c=-.97.双曲线的内外部(1)点00(,)P x y 在双曲线22221(0,0)x y a b a b -=>>的内部2200221x y a b ⇔->. (2)点00(,)P x y 在双曲线22221(0,0)x y a b a b-=>>的外部2200221x y a b⇔-<. 98.双曲线的方程与渐近线方程的关系(1)若双曲线方程为12222=-by a x ⇒渐近线方程:22220x y a b -=⇔x a by ±=.(2)若渐近线方程为x a by ±=⇔0=±b y a x ⇒双曲线可设为λ=-2222by a x .(3)若双曲线与12222=-b y a x 有公共渐近线,可设为λ=-2222by a x (0>λ,焦点在x 轴上,0<λ,焦点在y 轴上).99. 双曲线的切线方程(1)双曲线22221(0,0)x y a b a b-=>>上一点00(,)P x y 处的切线方程是00221x x y y a b -=.(2)过双曲线22221(0,0)x y a b a b-=>>外一点00(,)P x y 所引两条切线的切点弦方程是00221x x y ya b-=. (3)双曲线22221(0,0)x y a b a b-=>>与直线0Ax By C ++=相切的条件是22222A aB b c -=.100. 抛物线px y 22=的焦半径公式抛物线22(0)y px p =>焦半径02p CF x =+.过焦点弦长p x x px p x CD ++=+++=212122.101.抛物线px y 22=上的动点可设为P ),2(2 y py 或或)2,2(2pt pt P P (,)x y ,其中 22y px = .102.二次函数2224()24b ac b y ax bx c a x a a -=++=++(0)a ≠的图象是抛物线:(1)顶点坐标为24(,)24b ac b a a--;(2)焦点的坐标为241(,)24b ac b a a -+-;(3)准线方程是2414ac b y a--=. 103.抛物线的内外部(1)点00(,)P x y 在抛物线22(0)y px p =>的内部22(0)y px p ⇔<>. 点00(,)P x y 在抛物线22(0)y px p =>的外部22(0)y px p ⇔>>.(2)点00(,)P x y 在抛物线22(0)y px p =->的内部22(0)y px p ⇔<->. 点00(,)P x y 在抛物线22(0)y px p =->的外部22(0)y px p ⇔>->. (3)点00(,)P x y 在抛物线22(0)x py p =>的内部22(0)x py p ⇔<>. 点00(,)P x y 在抛物线22(0)x py p =>的外部22(0)x py p ⇔>>. (4) 点00(,)P x y 在抛物线22(0)x py p =>的内部22(0)x py p ⇔<>. 点00(,)P x y 在抛物线22(0)x py p =->的外部22(0)x py p ⇔>->. 104. 抛物线的切线方程(1)抛物线px y 22=上一点00(,)P x y 处的切线方程是00()y y p x x =+.(2)过抛物线px y 22=外一点00(,)P x y 所引两条切线的切点弦方程是00()y y p x x =+. (3)抛物线22(0)y px p =>与直线0Ax By C ++=相切的条件是22pB AC =.105.两个常见的曲线系方程(1)过曲线1(,)0f x y =,2(,)0f x y =的交点的曲线系方程是12(,)(,)0f x y f x y λ+=(λ为参数).(2)共焦点的有心圆锥曲线系方程22221x y a k b k+=--,其中22max{,}k a b <.当22min{,}k a b >时,表示椭圆; 当2222min{,}max{,}a b k a b <<时,表示双曲线.106.直线与圆锥曲线相交的弦长公式 AB =1212||||AB x x y y ==-=-(弦端点A ),(),,(2211y x B y x ,由方程⎩⎨⎧=+=0)y ,x (F b kx y 消去y 得到02=++c bx ax ,0∆>,α为直线AB 的倾斜角,k 为直线的斜率). 107.圆锥曲线的两类对称问题(1)曲线(,)0F x y =关于点00(,)P x y 成中心对称的曲线是00(2-,2)0F x x y y -=. (2)曲线(,)0F x y =关于直线0Ax By C ++=成轴对称的曲线是22222()2()(,)0A Ax By C B Ax By C F x y A B A B++++--=++. 108.“四线”一方程对于一般的二次曲线220Ax Bxy Cy Dx Ey F +++++=,用0x x 代2x ,用0y y 代2y ,用002x y xy +代xy ,用02x x+代x ,用02y y+代y 即得方程 0000000222x y xy x x y yAx x B Cy y D E F ++++⋅++⋅+⋅+=,曲线的切线,切点弦,中点弦,弦中点方程均是此方程得到.109.证明直线与直线的平行的思考途径(1)转化为判定共面二直线无交点; (2)转化为二直线同与第三条直线平行; (3)转化为线面平行; (4)转化为线面垂直; (5)转化为面面平行.110.证明直线与平面的平行的思考途径 (1)转化为直线与平面无公共点; (2)转化为线线平行; (3)转化为面面平行.111.证明平面与平面平行的思考途径 (1)转化为判定二平面无公共点; (2)转化为线面平行; (3)转化为线面垂直.112.证明直线与直线的垂直的思考途径 (1)转化为相交垂直; (2)转化为线面垂直;(3)转化为线与另一线的射影垂直; (4)转化为线与形成射影的斜线垂直.113.证明直线与平面垂直的思考途径(1)转化为该直线与平面内任一直线垂直; (2)转化为该直线与平面内相交二直线垂直; (3)转化为该直线与平面的一条垂线平行; (4)转化为该直线垂直于另一个平行平面; (5)转化为该直线与两个垂直平面的交线垂直. 114.证明平面与平面的垂直的思考途径 (1)转化为判断二面角是直二面角; (2)转化为线面垂直.115.空间向量的加法与数乘向量运算的运算律 (1)加法交换律:a +b =b +a .(2)加法结合律:(a +b )+c =a +(b +c ). (3)数乘分配律:λ(a +b )=λa +λb .116.平面向量加法的平行四边形法则向空间的推广始点相同且不在同一个平面内的三个向量之和,等于以这三个向量为棱的平行六面体的以公共始点为始点的对角线所表示的向量.117.共线向量定理对空间任意两个向量a 、b (b ≠0 ),a ∥b ⇔存在实数λ使a =λb .P A B 、、三点共线⇔||AP AB ⇔AP t AB = ⇔(1)OP t OA tOB =-+.||AB CD ⇔AB 、CD共线且AB CD 、不共线⇔AB tCD = 且AB CD 、不共线.118.共面向量定理向量p 与两个不共线的向量a 、b 共面的⇔存在实数对,x y ,使p ax by =+.推论 空间一点P 位于平面MAB 内的⇔存在有序实数对,x y ,使MP xMA yMB =+,或对空间任一定点O ,有序实数对,x y ,使OP OM xMA yMB =++.119.对空间任一点O 和不共线的三点A 、B 、C ,满足OP xOA yOB zOC =++(x y z k ++=),则当1k =时,对于空间任一点O ,总有P 、A 、B 、C 四点共面;当1k ≠时,若O ∈平面ABC ,则P 、A 、B 、C 四点共面;若O ∉平面ABC ,则P 、A 、B 、C 四点不共面.C A B 、、、D 四点共面⇔AD 与AB 、AC 共面⇔AD xAB yAC =+⇔ (1)OD x y OA xOB yOC =--++(O ∉平面ABC ).120.空间向量基本定理如果三个向量a 、b 、c 不共面,那么对空间任一向量p ,存在一个唯一的有序实数组x ,y ,z ,使p =x a +y b +z c .推论 设O 、A 、B 、C 是不共面的四点,则对空间任一点P ,都存在唯一的三个有序实数x ,y ,z ,使O P x O A y O B z O C =++.121.射影公式已知向量AB =a 和轴l ,e 是l 上与l 同方向的单位向量.作A 点在l 上的射影'A ,作B 点在l 上的射影'B ,则''||cos A B AB = 〈a ,e 〉=a ·e122.向量的直角坐标运算设a =123(,,)a a a ,b =123(,,)b b b 则 (1)a +b =112233(,,)a b a b a b +++; (2)a -b =112233(,,)a b a b a b ---; (3)λa =123(,,)a a a λλλ (λ∈R); (4)a ·b =112233a b a b a b ++; 123.设A 111(,,)x y z ,B 222(,,)x y z ,则 AB OB OA =-= 212121(,,)x x y y z z ---.124.空间的线线平行或垂直设111(,,)a x y z =r ,222(,,)b x y z =r,则a b r r P ⇔(0)a b b λ=≠r r r r ⇔121212x x y y z zλλλ=⎧⎪=⎨⎪=⎩;a b ⊥r r ⇔0a b ⋅=r r⇔1212120x x y y z z ++=.125.夹角公式设a =123(,,)a a a ,b =123(,,)b b b ,则 cos 〈a ,b 〉.推论 2222222112233123123()()()a b a b a b a a a b b b ++≤++++,此即三维柯西不等式.126. 四面体的对棱所成的角四面体ABCD 中, AC 与BD 所成的角为θ,则2222|()()|cos 2AB CD BC DA AC BDθ+-+=⋅.127.异面直线所成角cos |cos ,|a b θ=r r=||||||a b a b ⋅=⋅r rr r (其中θ(090θ<≤o o)为异面直线a b ,所成角,,a b r 分别表示异面直线a b ,的方向向量) 128.直线AB 与平面所成角sin ||||AB m arc AB m β⋅= (m为平面α的法向量). 129.若ABC ∆所在平面若β与过若AB 的平面α成的角θ,另两边AC ,BC 与平面α成的角分别是1θ、2θ,A B 、为ABC ∆的两个内角,则2222212sin sin (sin sin )sin A B θθθ+=+.特别地,当90ACB ∠=时,有22212sin sin sin θθθ+=.130.若ABC ∆所在平面若β与过若AB 的平面α成的角θ,另两边AC ,BC 与平面α成的角分别是1θ、2θ,''A B 、为ABO ∆的两个内角,则222'2'212tan tan (sin sin )tan A B θθθ+=+.特别地,当90AOB ∠=时,有22212sin sin sin θθθ+=. 131.二面角l αβ--的平面角cos ||||m n arc m n θ⋅= 或cos ||||m narc m n π⋅-(m ,n 为平面α,β的法向量).132.三余弦定理设AC 是α内的任一条直线,且BC ⊥AC ,垂足为C ,又设AO 与AB 所成的角为1θ,AB 与AC 所成的角为2θ,AO 与AC 所成的角为θ.则12cos cos cos θθθ=.133. 三射线定理若夹在平面角为ϕ的二面角间的线段与二面角的两个半平面所成的角是1θ,2θ,与二面角的棱所成的角是θ,则有22221212sin sin sin sin 2sin sin cos ϕθθθθθϕ=+- ; 1212||180()θθϕθθ-≤≤-+ (当且仅当90θ= 时等号成立).134.空间两点间的距离公式若A 111(,,)x y z ,B 222(,,)x y z ,则,A B d=||AB ==. 135.点Q 到直线l 距离h =(点P 在直线l 上,直线l 的方向向量a =PA ,向量b =PQ ).136.异面直线间的距离||||CD n d n ⋅=(12,l l 是两异面直线,其公垂向量为n ,C D 、分别是12,l l 上任一点,d 为12,l l 间的距离).137.点B 到平面α的距离||||AB n d n ⋅=(n 为平面α的法向量,AB 是经过面α的一条斜线,A α∈). 138.异面直线上两点距离公式d .d =d ='E AA F ϕ=--).(两条异面直线a 、b 所成的角为θ,其公垂线段'AA 的长度为h.在直线a 、b 上分别取两点E 、F ,'A E m =,AF n =,EF d =). 139.三个向量和的平方公式2222()222a b c a b c a b b c c a ++=+++⋅+⋅+⋅ 2222||||cos ,2||||cos ,2||||cos ,a b c a b a b b c b c c a c a =+++⋅+⋅+⋅140. 长度为l 的线段在三条两两互相垂直的直线上的射影长分别为123l l l 、、,夹角分别为123θθθ、、,则有 2222123l l l l =++222123cos cos cos 1θθθ⇔++=222123sin sin sin 2θθθ⇔++=.(立体几何中长方体对角线长的公式是其特例). 141. 面积射影定理'cos S S θ=.(平面多边形及其射影的面积分别是S 、'S ,它们所在平面所成锐二面角的为θ). 142. 斜棱柱的直截面已知斜棱柱的侧棱长是l ,侧面积和体积分别是S 斜棱柱侧和V 斜棱柱,它的直截面的周长和面积分别是1c 和1S ,则 ①1S c l =斜棱柱侧. ②1V S l =斜棱柱.143.作截面的依据三个平面两两相交,有三条交线,则这三条交线交于一点或互相平行. 144.棱锥的平行截面的性质如果棱锥被平行于底面的平面所截,那么所得的截面与底面相似,截面面积与底面面积的比等于顶点到截面距离与棱锥高的平方比(对应角相等,对应边对应成比例的多边形是相似多边形,相似多边形面积的比等于对应边的比的平方);相应小棱锥与小棱锥的侧面积的比等于顶点到截面距离与棱锥高的平方比.145.欧拉定理(欧拉公式)2V F E +-=(简单多面体的顶点数V 、棱数E 和面数F).(1)E =各面多边形边数和的一半.特别地,若每个面的边数为n 的多边形,则面数F 与棱数E 的关系:12E nF =; (2)若每个顶点引出的棱数为m ,则顶点数V 与棱数E 的关系:12E mV =. 146.球的半径是R ,则其体积343V R π=, 其表面积24S R π=.147.球的组合体(1)球与长方体的组合体:长方体的外接球的直径是长方体的体对角线长. (2)球与正方体的组合体:正方体的内切球的直径是正方体的棱长, 正方体的棱切球的直径是正方体的面对角线长, 正方体的外接球的直径是正方体的体对角线长.(3) 球与正四面体的组合体:棱长为a ,. 148.柱体、锥体的体积13V Sh =柱体(S 是柱体的底面积、h 是柱体的高).13V Sh =锥体(S 是锥体的底面积、h 是锥体的高).149.分类计数原理(加法原理) 12n N m m m =+++ . 150.分步计数原理(乘法原理) 12n N m m m =⨯⨯⨯ . 151.排列数公式mnA =)1()1(+--m n n n =!!)(m n n -.(n ,m ∈N *,且m n ≤).注:规定1!0=. 152.排列恒等式(1)1(1)m m n nA n m A -=-+; (2)1mmn n n A A n m -=-; (3)11m m n n A nA --=;(4)11n n n n n n nA A A ++=-; (5)11m m m n n n A A mA -+=+.(6) 1!22!33!!(1)!1n n n +⋅+⋅++⋅=+- . 153.组合数公式m n C=m n mmA A =m m n n n ⨯⨯⨯+-- 21)1()1(=!!!)(m n m n -⋅(n ∈N *,m N ∈,且m n ≤). 154.组合数的两个性质(1)m n C =mn n C - ; (2) m n C +1-m n C =m n C 1+.注:规定10=n C .155.组合恒等式(1)11mm n n n m C C m --+=; (2)1m mn n n C C n m -=-; (3)11mm n n n C C m--=;(4)∑=nr r nC0=n2;(5)1121++++=++++r n r n r r r r r rC C C C C . (6)n n n r n n n n C C C C C 2210=++++++ .(7)14205312-+++=+++n n n n n n n C C C C C C .(8)1321232-=++++n nn n n n n nC C C C .(9)rn m rn rm n r m n rm C C C C C C C +-=+++011. (10)nn n n n n n C C C C C 22222120)()()()(=++++ . 156.排列数与组合数的关系m mn nA m C =⋅! . 157.单条件排列以下各条的大前提是从n 个元素中取m 个元素的排列. (1)“在位”与“不在位”①某(特)元必在某位有11--m n A 种;②某(特)元不在某位有11---m n m n A A (补集思想)1111---=m n n A A (着眼位置)11111----+=m n m m n A A A (着眼元素)种.(2)紧贴与插空(即相邻与不相邻)①定位紧贴:)(n m k k ≤≤个元在固定位的排列有km k n k k A A --种.②浮动紧贴:n 个元素的全排列把k 个元排在一起的排法有k k k n k n A A 11+-+-种.注:此类问题常用捆绑法;③插空:两组元素分别有k 、h 个(1+≤h k ),把它们合在一起来作全排列,k 个的一组互不能挨近的所有排列数有k h h h A A 1+种.(3)两组元素各相同的插空m 个大球n 个小球排成一列,小球必分开,问有多少种排法?当1+>m n 时,无解;当1+≤m n 时,有n m n nn m C A A 11++=种排法.(4)两组相同元素的排列:两组元素有m 个和n 个,各组元素分别相同的排列数为nn m C +.158.分配问题(1)(平均分组有归属问题)将相异的m 、n 个物件等分给m 个人,各得n 件,其分配方法数共有mnn n n n n mn n n mn n mn n mn C C C C C N )!()!(22=⋅⋅⋅⋅⋅=-- . (2)(平均分组无归属问题)将相异的m ·n 个物体等分为无记号或无顺序的m 堆,其分配方法数共有 mn nn n n n mn n n mn n mn n m mn m C C C C C N )!(!)!(!...22=⋅⋅⋅⋅=--. (3)(非平均分组有归属问题)将相异的) 12m P(P=n +n ++n 个物体分给m 个人,物件必须被分完,分别得到1n ,2n ,…,m n 件,且1n ,2n ,…,m n 这m 个数彼此不相等,则其分配方法数共有!!...!!!!...21211m n n nn p n p n n n m p m C C C N mm=⋅⋅=-. (4)(非完全平均分组有归属问题)将相异的) 12m P(P=n +n ++n 个物体分给m 个人,物件必须被分完,分别得到1n ,2n ,…,m n 件,且1n ,2n ,…,m n 这m 个数中分别有a 、b 、c 、…个相等,则其分配方法数有!...!!! (2)11c b a m C C C N m mn n n n p n p ⋅⋅=-12!!!!...!(!!!...)m p m n n n a b c =.(5)(非平均分组无归属问题)将相异的) 12m P(P=n +n ++n 个物体分为任意的1n ,2n ,…,m n 件无记号的m 堆,且1n ,2n ,…,m n 这m 个数彼此不相等,则其分配方法数有!!...!!21m n n n p N =.(6)(非完全平均分组无归属问题)将相异的) 12m P(P=n +n ++n 个物体分为任意的1n ,2n ,…,m n 件无记号的m 堆,且1n ,2n ,…,m n 这m 个数中分别有a 、b 、c 、…个相等,则其分配方法数有!...)!!(!!...!!21c b a n n n p N m =.(7)(限定分组有归属问题)将相异的p (2m p n n n = 1+++)个物体分给甲、乙、丙,……等m 个人,物体必须被分完,如果指定甲得1n 件,乙得2n 件,丙得3n 件,…时,则无论1n ,2n ,…,m n 等m 个数是否全相异或不全相异其分配方法数恒有!!...!! (212)11m n n n n p n p n n n p C C C N m m=⋅=-.159.“错位问题”及其推广贝努利装错笺问题:信n 封信与n 个信封全部错位的组合数为1111()![(1)]2!3!4!!n f n n n =-+-+- . 推广: n 个元素与n 个位置,其中至少有m 个元素错位的不同组合总数为 1234(,)!(1)!(2)!(3)!(4)!(1)()!(1)()!m m m m ppmm mmf n m n C n C n C n C n C n p C n m =--+---+--+--++--12341224![1(1)(1)]p m p m m m m m m mp m n n n n n nC C C C C C n A A A A A A =-+-+-+-++- .。
代数部分一、数1、正数和负数:正数大于0;负数小于0;2、0既不是正数,也不是负数;正数大于负数;3、整数包括:正整数,0和负整数;4、分数包括:正分数和负分数;5、有理数包括:整数和分数(有限小数,无限循环小数);6、数轴:在直线上取一点表示0(原点),选取单位长度,规定直线上向右的方向为正方向,这样的一条直线叫数轴;7、任何一个有理数(实数)都可以用数轴上的一个点表示,数轴上的每一个点都表示一个实数,即数轴上的点和实数是一一对应的;8、相反数:两个数只有符号不同,则其中一个数是另一个的相反数;两个互为相反数的数相加得0;0的相反数是09、在数轴上,表示互为相反数的两个点,位于原点两侧,且与原点距离相等;10、数轴上的两个点表示的数,右边的总比左边的大;11、绝对值:数轴上,所对应的点与原点的距离;12、正数的绝对值是它本身;负数的绝对值是它的相反数;0的绝对值是0;13、两个负数比较大小,绝对值大的反而小;14、有理数加法法则:同号相加,符号不变,绝对值相加;异号相加,绝对值相等的得0;绝对值不等的,符号和绝对值大的相同,然后绝对值相减;15、一个数加0,仍是这个数;16、加法交换律:A+B=B+A17、加法结合律:(A+B)+C=A + (B+C)18、有理数减法法则:减去一个数,等于加上这个数的相反数;19、有理数乘法法则:两数相乘,同号得正,异号得负,绝对值相乘;任何数与0相乘,积为0;20、乘积为1的两个有理数互为倒数;0没有倒数21、乘法交换律:AB=BA22、乘法结合律:(AB)C=A (BC)23、乘法分配律:A (B+C) =AB+AC24、有理数除法法则:两个有理数相除,同号得正,异号得负,绝对值相除;25、0除以任何非0的数都得0;0不能做除数26、乘方:求n个相同因数a的积的运算叫乘方,结果叫幂;a是底数;n是指数;n a 读作a的n次幂;27、有理数混和运算法则:先乘方,再乘除,后加减;有括号的先算括号里面的;28、无理数:无限不循环小数。
数学公式字母大全一、代数部分。
1. 实数。
- a,b,c等:通常用来表示实数。
例如在一元二次方程ax^2+bx + c = 0(a≠0)中,a是二次项系数,b是一次项系数,c是常数项。
- x,y,z等:常作为未知数或变量。
如在函数y = f(x)中,x是自变量,y是因变量。
- m,n:也可表示整数等。
例如在等差数列a_n=a_1+(n - 1)d中,n表示项数。
- q:在等比数列a_n=a_1q^n - 1中,q表示公比。
- i:虚数单位,满足i^2=- 1。
复数的一般形式为z = a+bi,其中a,b∈ R。
2. 函数。
- f,g,h等:常用来表示函数。
例如y = f(x)表示y是关于x的函数。
- k:在一次函数y = kx + b(k≠0)中,k是斜率。
3. 方程与不等式。
- Δ=b^2-4ac:一元二次方程ax^2+bx + c = 0(a≠0)的判别式。
当Δ>0时,方程有两个不同的实数根;当Δ = 0时,方程有一个实数根;当Δ<0时,方程没有实数根。
- ∀(全称量词,表示“对于所有的”)和∃(存在量词,表示“存在”):在不等式或方程的逻辑描述中使用。
例如∀x∈ R,x^2≥0表示对于所有的实数x,x^2≥0。
- 在不等式中,a,b等也常用来表示不等式两边的数或表达式。
如a < b表示a 小于b。
二、几何部分。
1. 平面几何。
- A,B,C等:常用来表示点。
例如在三角形ABC中,A,B,C是三角形的三个顶点。
- l,m,n等:表示直线。
如直线l的方程可以是y = kx + b。
- S:表示面积。
例如三角形面积S=(1)/(2)ah(a为底,h为高)。
- r:圆的半径。
圆的面积公式S = π r^2,周长公式C = 2π r。
- d:圆的直径,d = 2r;也可表示两点间的距离。
例如在平面直角坐标系中,两点A(x_1,y_1)和B(x_2,y_2)之间的距离d=√((x_2)-x_{1)^2+(y_2-y_1)^2}。
初中数学公式大全1 过两点有且只有一条直线2 两点之间线段最短3 同角或等角的补角相等4 同角或等角的余角相等5 过一点有且只有一条直线和已知直线垂直6 直线外一点与直线上各点连接的所有线段中,垂线段最短7 平行公理经过直线外一点,有且只有一条直线与这条直线平行8 如果两条直线都和第三条直线平行,这两条直线也互相平行9 同位角相等,两直线平行10 内错角相等,两直线平行11 同旁内角互补,两直线平行12两直线平行,同位角相等13 两直线平行,内错角相等14 两直线平行,同旁内角互补15 定理三角形两边的和大于第三边16 推论三角形两边的差小于第三边17 三角形内角和定理三角形三个内角的和等于180°18 推论1 直角三角形的两个锐角互余19 推论2 三角形的一个外角等于和它不相邻的两个内角的和20 推论3 三角形的一个外角大于任何一个和它不相邻的内角21 全等三角形的对应边、对应角相等22边角边公理(SAS) 有两边和它们的夹角对应相等的两个三角形全等23 角边角公理( ASA)有两角和它们的夹边对应相等的两个三角形全等24 推论(AAS) 有两角和其中一角的对边对应相等的两个三角形全等25 边边边公理(SSS) 有三边对应相等的两个三角形全等26 斜边、直角边公理(HL) 有斜边和一条直角边对应相等的两个直角三角形全等27 定理1 在角的平分线上的点到这个角的两边的距离相等28 定理2 到一个角的两边的距离相同的点,在这个角的平分线上29 角的平分线是到角的两边距离相等的所有点的集合30 等腰三角形的性质定理等腰三角形的两个底角相等(即等边对等角)31 推论1 等腰三角形顶角的平分线平分底边并且垂直于底边32 等腰三角形的顶角平分线、底边上的中线和底边上的高互相重合33 推论3 等边三角形的各角都相等,并且每一个角都等于60°34 等腰三角形的判定定理如果一个三角形有两个角相等,那么这两个角所对的边也相等(等角对等边)35 推论1 三个角都相等的三角形是等边三角形36 推论2 有一个角等于60°的等腰三角形是等边三角形37 在直角三角形中,如果一个锐角等于30°那么它所对的直角边等于斜边的一半38 直角三角形斜边上的中线等于斜边上的一半39 定理线段垂直平分线上的点和这条线段两个端点的距离相等40 逆定理和一条线段两个端点距离相等的点,在这条线段的垂直平分线上41 线段的垂直平分线可看作和线段两端点距离相等的所有点的集合42 定理1 关于某条直线对称的两个图形是全等形43 定理2 如果两个图形关于某直线对称,那么对称轴是对应点连线的垂直平分线44定理3 两个图形关于某直线对称,如果它们的对应线段或延长线相交,那么交点在对称轴上45逆定理如果两个图形的对应点连线被同一条直线垂直平分,那么这两个图形关于这条直线对称46勾股定理直角三角形两直角边a、b的平方和、等于斜边c的平方,即a^2+b^2=c^2 47勾股定理的逆定理如果三角形的三边长a、b、c有关系a^2+b^2=c^2 ,那么这个三角形是直角三角形48定理四边形的内角和等于360°49四边形的外角和等于360°50多边形内角和定理n边形的内角的和等于(n-2)×180°51推论任意多边的外角和等于360°52平行四边形性质定理1 平行四边形的对角相等53平行四边形性质定理2 平行四边形的对边相等54推论夹在两条平行线间的平行线段相等55平行四边形性质定理3 平行四边形的对角线互相平分56平行四边形判定定理1 两组对角分别相等的四边形是平行四边形57平行四边形判定定理2 两组对边分别相等的四边形是平行四边形58平行四边形判定定理3 对角线互相平分的四边形是平行四边形59平行四边形判定定理4 一组对边平行相等的四边形是平行四边形60矩形性质定理1 矩形的四个角都是直角61矩形性质定理2 矩形的对角线相等62矩形判定定理1 有三个角是直角的四边形是矩形63矩形判定定理2 对角线相等的平行四边形是矩形64菱形性质定理1 菱形的四条边都相等65菱形性质定理2 菱形的对角线互相垂直,并且每一条对角线平分一组对角66菱形面积=对角线乘积的一半,即S=(a×b)÷267菱形判定定理1 四边都相等的四边形是菱形68菱形判定定理2 对角线互相垂直的平行四边形是菱形69正方形性质定理1 正方形的四个角都是直角,四条边都相等70正方形性质定理2正方形的两条对角线相等,并且互相垂直平分,每条对角线平分一组对角71定理1 关于中心对称的两个图形是全等的72定理2 关于中心对称的两个图形,对称点连线都经过对称中心,并且被对称中心平分73逆定理如果两个图形的对应点连线都经过某一点,并且被这一点平分,那么这两个图形关于这一点对称74等腰梯形性质定理等腰梯形在同一底上的两个角相等75等腰梯形的两条对角线相等76等腰梯形判定定理在同一底上的两个角相等的梯形是等腰梯形77对角线相等的梯形是等腰梯形78平行线等分线段定理如果一组平行线在一条直线上截得的线段相等,那么在其他直线上截得的线段也相等79 推论1 经过梯形一腰的中点与底平行的直线,必平分另一腰80 推论2 经过三角形一边的中点与另一边平行的直线,必平分第三边81 三角形中位线定理三角形的中位线平行于第三边,并且等于它的一半82 梯形中位线定理梯形的中位线平行于两底,并且等于两底和的一半L=(a+b)÷2 S=L×h83 (1)比例的基本性质如果a:b=c:d,那么ad=bc如果ad=bc,那么a:b=c:d84 (2)合比性质如果a/b=c/d,那么(a±b)/b=(c±d)/d85 (3)等比性质如果a/b=c/d=…=m/n(b+d+…+n≠0),那么(a+c+…+m)/(b+d+…+n)=a/b86 平行线分线段成比例定理三条平行线截两条直线,所得的对应线段成比例87 推论平行于三角形一边的直线截其他两边(或两边的延长线),所得的对应线段成比例88 定理如果一条直线截三角形的两边(或两边的延长线)所得的对应线段成比例,那么这条直线平行于三角形的第三边89 平行于三角形的一边,并且和其他两边相交的直线,所截得的三角形的三边与原三角形三边对应成比例90 定理平行于三角形一边的直线和其他两边(或两边的延长线)相交,所构成的三角形与原三角形相似91 相似三角形判定定理1 两角对应相等,两三角形相似(ASA)92 直角三角形被斜边上的高分成的两个直角三角形和原三角形相似93 判定定理2 两边对应成比例且夹角相等,两三角形相似(SAS)94 判定定理3 三边对应成比例,两三角形相似(SSS)95 定理如果一个直角三角形的斜边和一条直角边与另一个直角三角形的斜边和一条直角边对应成比例,那么这两个直角三角形相似96 性质定理1 相似三角形对应高的比,对应中线的比与对应角平分线的比都等于相似比97 性质定理2 相似三角形周长的比等于相似比98 性质定理3 相似三角形面积的比等于相似比的平方99 任意锐角的正弦值等于它的余角的余弦值,任意锐角的余弦值等于它的余角的正弦值100任意锐角的正切值等于它的余角的余切值,任意锐角的余切值等于它的余角的正切值101圆是定点的距离等于定长的点的集合102圆的内部可以看作是圆心的距离小于半径的点的集合103圆的外部可以看作是圆心的距离大于半径的点的集合104同圆或等圆的半径相等105到定点的距离等于定长的点的轨迹,是以定点为圆心,定长为半径的圆106和已知线段两个端点的距离相等的点的轨迹,是着条线段的垂直平分线107到已知角的两边距离相等的点的轨迹,是这个角的平分线108到两条平行线距离相等的点的轨迹,是和这两条平行线平行且距离相等的一条直线109定理不在同一直线上的三点确定一个圆。
数学公数学公式大全1.代数公式- 二次方程公式:对于ax^2+bx+c=0,解为x=(-b±√(b^2-4ac))/2a。
-四则运算公式:加法公式(a+b)、减法公式(a-b)、乘法公式(a×b)、除法公式(a÷b)。
-平方差公式:(a+b)(a-b)=a^2-b^22.三角函数公式- 正弦公式:在任意三角形中,a/sinA=b/sinB=c/sinC=2R(R为外接圆半径)。
- 余弦公式:在任意三角形中,a^2=b^2+c^2-2bc*cosA。
- 正切公式:tanA=sinA/cosA。
- 二倍角公式:sin2θ=2sinθ cosθ,cos2θ=cos^2θ-sin^2θ。
3.排列组合公式-排列公式:对于n个元素中选取r个元素排列的方式有A^n_r=n!/(n-r)。
-组合公式:对于n个元素中选取r个元素组合的方式有C^n_r=n!/(r!(n-r)!)。
4.指数和对数公式- 对数公式:log_a(mn) = log_a(m) + log_a(n)。
-指数公式:a^m×a^n=a^(m+n)。
5.几何公式-周长公式:正方形的周长为4×边长,矩形的周长为2×长+2×宽,圆形的周长为2πR(R为半径)。
-面积公式:正方形的面积为边长的平方,矩形的面积为长×宽,三角形的面积为底边×高/2,圆形的面积为πR^26.概率统计公式-期望公式:对于一个离散型随机变量X,其期望为E(X)=Σ(X×P(X)),其中Σ表示求和。
- 方差公式:对于一个离散型随机变量X,其方差为Var(X)=E((X-μ)^2),其中E表示期望,μ表示平均数。
7.微积分公式- 导数公式:对于函数y=f(x),其导数dy/dx表示函数y关于x的变化率。
- 积分公式:对于函数f(x),其积分∫f(x)dx表示函数f(x)下方的面积。
8.矩阵公式-矩阵转置:对于一个m×n的矩阵A,其转置为A^T。
高等数学公式之杨若古兰创作导数公式:基本积分表:三角函数的有理式积分:ax x aa a ctgx x x tgx x x x ctgx x tgx a x x ln 1)(log ln )(csc )(csc sec )(sec csc )(sec )(22='='⋅-='⋅='-='='222211)(11)(11)(arccos 11)(arcsin x arcctgx x arctgx x x x x +-='+='--='-='⎰⎰⎰⎰⎰⎰⎰⎰⎰⎰+±+=±+=+=+=+-=⋅+=⋅+-==+==Ca x x a x dx C shx chxdx C chx shxdx Ca a dx a Cx ctgxdx x Cx dx tgx x Cctgx xdx x dx C tgx xdx x dx xx)ln(ln csc csc sec sec csc sin sec cos 22222222C axx a dx C x a xa a x a dx C a x ax a a x dx C a xarctg a x a dx Cctgx x xdx C tgx x xdx Cx ctgxdx C x tgxdx +=-+-+=-++-=-+=++-=++=+=+-=⎰⎰⎰⎰⎰⎰⎰⎰arcsin ln 21ln 211csc ln csc sec ln sec sin ln cos ln 22222222⎰⎰⎰⎰⎰++-=-+-+--=-+++++=+-===-Cax a x a x dx x a Ca x x a a x x dx a x Ca x x a a x x dx a x I nn xdx xdx I n n nn arcsin 22ln 22)ln(221cos sin 2222222222222222222222ππ一些初等函数: 两个主要极限: ·和差化积公式:积化和差公式: ·倍角公式:·半角公式:·正弦定理:R CcB b A a 2sin sin sin ===·余弦定理:C ab b a c cos 2222-+= ·反三角函数性质:arcctgx arctgx x x -=-=2arccos 2arcsin ππ高阶导数公式——莱布尼兹(Leibniz )公式: 中值定理与导数利用: 曲率:定积分的近似计算: 定积分利用相干公式: 空间解析几何和向量代数: 多元函数微分法及利用 微分法在几何上的利用:sin sin 2sincos22sin sin 2sin cos22cos cos 2cos cos22cos cos 2sin sin22αβαβαβαβαβαβαβαβαβαβαβαβ+-+=-+-=+-+=-+-=-[][][]1sin sin cos()cos()21sin cos sin()sin()21cos cos cos()cos()2αβαβαβαβαβαβαβαβαβ=-+--=++-=++-),,(),,(),,(30))(,,())(,,())(,,(2)},,(),,,(),,,({1),,(0),,(},,{,0),,(0),,(0))(())(())(()()()(),,()()()(000000000000000000000000000000000000000000000000000z y x F z z z y x F y y z y x F x x z z z y x F y y z y x F x x z y x F z y x F z y x F z y x F n z y x M z y x F G G F F G G F F G G F F T z y x G z y x F z z t y y t x x t M t z z t y y t x x z y x M t z t y t x z y x z y x z y x yx yx x z x z z y z y -=-=-=-+-+-==⎪⎩⎪⎨⎧====-'+-'+-''-='-='-⎪⎩⎪⎨⎧===、过此点的法线方程::、过此点的切平面方程、过此点的法向量:,则:上一点曲面则切向量若空间曲线方程为:处的法平面方程:在点处的切线方程:在点空间曲线ωψϕωψϕωψϕ方导游数与梯度:多元函数的极值及其求法: 重积分及其利用: 柱面坐标和球面坐标: 曲线积分: 曲面积分: 高斯公式:⎰⎰⎰⎰⎰⎰⎰⎰⎰⎰⎰⎰⎰⎰⎰⎰⎰⎰Ω∑∑∑∑∑Ω∑=++==⋅<∂∂+∂∂+∂∂=++=++=∂∂+∂∂+∂∂dsA dv A ds R Q P ds A ds n A z R y Q x P ds R Q P Rdxdy Qdzdx Pdydz dv z Ry Q x P n ndiv )cos cos cos (...,0div ,div )cos cos cos ()(成:因此,高斯公式又可写,通量:则为消失的流体质量,若即:单位体积内所产生散度:—通量与散度:—高斯公式的物理意义γβαννγβα斯托克斯公式——曲线积分与曲面积分的关系: 常数项级数: 级数审敛法:绝对收敛与条件收敛: 幂级数:函数睁开成幂级数: 一些函数睁开成幂级数: 欧拉公式: 三角级数: 傅立叶级数:周期为l 2的周期函数的傅立叶级数: 微分方程的相干概念: 一阶线性微分方程: 全微分方程: 二阶微分方程:二阶常系数齐次线性微分方程及其解法:二阶常系数非齐次线性微分方程概率公式清算1.随机事件及其概率接收律:A AB A A A A =⋃=∅⋃Ω=Ω⋃)(AB A A A A A =⋃⋂∅=∅⋂=Ω⋂)(反演律:B A B A =⋃B A AB ⋃=2.概率的定义及其计算 若B A ⊂)()()(A P B P A B P -=-⇒对任意两个事件A , B , 有)()()(AB P B P A B P -=- 加法公式:对任意两个事件A , B , 有 3.条件概率 乘法公式 全概率公式 Bayes 公式4.随机变量及其分布 分布函数计算 5.离散型随机变量 (1) 0 – 1 分布 (2) 二项分布),(p n B 若P ( A ) = p *Possion 定理有,2,1,0!)1(lim==---∞→k k ep p C kkn n k nknn λλ(3) Poisson 分布)(λP 6.连续型随机变量 (1) 均匀分布),(b a U (2) 指数分布)(λE(3) 正态分布N (m , s 2 ) *N (0,1) — 尺度正态分布7.多维随机变量及其分布二维随机变量( X ,Y )的分布函数边沿分布函数与边沿密度函数8.连续型二维随机变量(1) 区域G 上的均匀分布,U ( G )(2)二维正态分布9.二维随机变量的条件分布10.随机变量的数字特征数学期望随机变量函数的数学期望X 的k阶原点矩X 的k阶绝对原点矩X 的k阶中间矩X 的方差X ,Y 的k + l阶混合原点矩X ,Y 的k + l阶混合中间矩X ,Y 的二阶混合原点矩X ,Y 的二阶混合中间矩X ,Y 的协方差X ,Y 的相干系数X 的方差D (X ) =E ((X - E(X))2)协方差相干系数线性代数部分梳理:条理化,给出一个零碎的,有内在无机结构的理论体系. 沟通:突出各部分内容间的联系.充实提高:环绕考试请求,介绍一些普通教材上没有的结果,教给大家罕见成绩的实用而简捷的方法.大家要有如许的思想筹办:发现我的讲解在体系上和你之前进修的有所分歧,有的方法是你不晓得的.但是我信任,只需你对它们了解了,把握了,会提高你的解题能力的. 基本运算 ①A B B A +=+②()()C B A C B A ++=++③()cB cA B A c +=+()dA cA A d c +=+ ④()()A cd dA c =⑤00=⇔=c cA 或0=A .()()T T A c cA =.转置值不变A A T =逆值变AA 11=- ()321,,ααα=A ,3阶矩阵有关乘法的基本运算线性性质 ()B A B A B A A 2121+=+, 结合律 ()()BC A C AB =()k k k B A AB =纷歧定成立!A AE =,A EA =()kA kE A =,()kA A kE =与数的乘法的分歧的地方()k k k B A AB =纷歧定成立!无交换律因式分解妨碍是交换性一个矩阵A 的每个多项式可以因式分解,例如 无消去律(矩阵和矩阵相乘)当0=AB 时0=⇒/A 或0=B 由0≠A 和00=⇒/=B AB由0≠A 时C B AC AB =⇒/=(无左消去律)特此外设A 可逆,则A 有消去律.左消去律:C B AC AB =⇒=.右消去律:C B CA BA =⇒=.如果A 列满秩,则A 有左消去律,即①00=⇒=B AB ②C B AC AB =⇒=可逆矩阵的性质 i )当A 可逆时,T A 也可逆,且()()TTA A 11--=.k A 也可逆,且()()kkA A 11--=.数0≠c ,cA 也可逆,()111--=A ccA .ii )A ,B 是两个n 阶可逆矩阵AB ⇔也可逆,且()111---=A B AB . 推论:设A ,B 是两个n 阶矩阵,则E BA E AB =⇔= 命题:初等矩阵都可逆,且 命题:准对角矩阵kkA A A A 0000000000002211=可逆⇔每个iiA 都可逆,记1122111100000000----=kkA A A A陪伴矩阵的基赋性质:当A 可逆时, E AA A =*(求逆矩阵的陪伴矩阵法)()()⎪⎪⎭⎫==----A A A A A 1111* 陪伴矩阵的其他性质1*-=A A A②()(),**T T A A =④()*,**A B AB =⑤()()k k A A **=,2=n 时, ()A A =**⎪⎪⎭⎫⎝⎛--=d c b a A *关于矩阵右上肩记号:T ,k ,1-,* i) 任何两个的次序可交换, 如()()T T A A **=,()()**11--=A A 等ii)()()111,---==A B AB A B AB T T T,线性暗示βααααααβ=+++⇔→s s s x x x 221121,,,有解()βααα=⇔x s ,,,21 有解()()T s x x x ,,1 =β=Ax 有解,即β可用A 的列向量组暗示()s r r r C AB ,,,21 ==,()n A ααα,,,21 =,则n s r r r ααα,,,,,,2121 →.s t αααβββ,,,,,,2121 →,则存在矩阵C ,使得()()C s t αααβββ,,,,,,2121 =线性暗示关系有传递性当p s t r r r ,,,,,,,,,212121 →→αααβββ,则p tr r r ,,,,,,2121 →βββ.等价关系:如果s ααα,,,21 与t βββ,,,21 互相可暗示t s βββααα,,,,,,2121 ←→记作t s βββααα,,,,,,2121 ≅. 线性相干1=s ,单个向量α,0=αx α相干0=⇔α2=s ,21,αα相干⇔对应分量成比例21,αα相干n n b a b a b a :::2211===⇔()n A ααα,,,21 =,0=Ax 有非零解0=⇔A如果n s >,则s ααα,,,21 必定相干0=Ax 的方程个数<n 未知数个数s②如果s ααα,,,21 有关,则它的每一个部分组都有关③如果s ααα,,,21 有关,而βααα,,,,21s 相干,则s αααβ,,,21 → 证实:设c c c s ,,,1 不全为0,使得011=+++βααc c c s s则其中0≠c ,否则s c c ,,1 不全为0,011=++s s c c αα ,与条件s αα,,1 有关矛盾.因而s s cc c c ααβ---= 11. ④当s ααβ,,1 →时,暗示方式独一s αα 1⇔有关 (暗示方式不独一s αα 1⇔相干) ⑤若s tααββ,,,,11 →,而且s t >,则t ββ,,1 必定线性相干.证实:记()s A αα,,1 =,()t B ββ,,1 =,则存在t s ⨯矩阵C ,使得 AC B =.0=Cx 有s 个方程,t 个未知数,t s <,有非零解η,0=ηC .则0==ηηAC B ,即η也是0=Bx 的非零解,从而t ββ,,1 线性相干.各性质的逆否方式①如果s ααα,,,21 有关,则n s ≤.②如果s ααα,,,21 有相干的部分组,则它本人必定也相干. ③如果s αα 1有关,而s ααβ,,1 →/,则βααs ,,1 有关. ⑤如果s tααββ 11→,t ββ 1有关,则s t ≤.推论:若两个有关向量组s αα 1与t ββ 1等价,则t s =. 极大有关组一个线性有关部分组()I ,若()I #等于秩()I →6421,,,αααα,()I 就必定是极大有关组①s ααα,,,21 有关⇔()s s =αααγ,,, 21②()()s s s ααγβαααγαααβ,, ,,,, ,,,12121 =⇔→另一种说法: 取s ααα,,,21 的一个极大有关组()I ()I 也是βααα,,,,21s 的极大有关组⇔()β,I 相干.证实:()()ββααβ,,,1I I s ⇔→⇔→ 相干.③β可用s αα,,1 独一暗示()()s s s ==⇔ααγβααγ,, ,,, 11 ④()()s t s s tααγββααγααββ,, ,,,,, ,,,,11111 =⇔→⑤⇔≅ts ββαα,,,,11 ()()()t t s s ββγββααγααγ,, , ,, 1111 ==矩阵的秩的简单性质A 行满秩:()m A r =A 列满秩:()n A r =n 阶矩阵A 满秩:()n A r =A 满秩A ⇔的行(列)向量组线性有关A ⇔可逆0=⇔Ax 只要零解,β=Ax 独一解.矩阵在运算中秩的变更初等变换坚持矩阵的秩①()()A r A r T =②0≠c 时,()()A r cA r = ③()()()B r A r B A r +≤± ④()()(){}B r A r AB r ,min ≤⑤A 可逆时,()()B r AB r =弱化条件:如果A 列满秩,则()()B AB γγ= 证:上面证0=ABx 与0=Bx 同解.η是0=ABx 的解0=⇔ηABηη⇔=⇔0B 是0=Bx 的解B 可逆时,()()A r AB r =⑥若0=AB ,则()()n B r A r ≤+(A 的列数,B 的行数) ⑦A 列满秩时()()B r AB r =B 行满秩时()()A r AB r =⑧()()()B r A r n AB r +≥+ 解的性质1.0=Ax 的解的性质.如果e ηηη,,,21 是一组解,则它们的任意线性组合e e c c c ηηη+++ 2211必定也是解.2.()0≠=ββAx①如果e ξξξ,,,21 是β=Ax 的一组解,则e e c c c ξξξ+++ 2211也是β=Ax 的解121=+++⇔e c c ce e c c c ξξξ+++ 2211是0=Ax 的解021=+++⇔e c c c特此外:当21,ξξ是β=Ax 的两个解时,21ξξ-是0=Ax 的解②如果0ξ是β=Ax 的解,则n 维向量ξ也是β=Ax 的解0ξξ-⇔是0=Ax 的解.解的情况判别方程:β=Ax ,即βααα=+++n n x x x 2211n αααβ,,,21 →()()A A γβγ>|()()n A A ==γβγ|()()n A A <=γβγ|方程个数m :①当()m A =γ时,()m A =βγ|,有解②当n m <时,()n A <γ,不会是独一解对于齐次线性方程组0=Ax ,只要零解()n A =⇔γ(即A 列满秩) (有非零解()n A <⇔γ) 特征值特征向量两种特殊情形:(1)A 是上(下)三角矩阵,对角矩阵时,特征值即对角线上的元素.(2)()1=A r 时:A 的特征值为()A tr ,0,,0,0 特征值的性质命题:n 阶矩阵A 的特征值λ的重数()A E r n --≥ λ 命题:设A 的特征值为n ,, , 21λλλ ,则命题:设η是A 的特征向量,特征值为λ,即ληη=A ,则 ①对于A 的每个多项式()A f ,()()ηηx f A f =②当A 可逆时,ηλη11=-A ,ηλη||*A A =命题:设A 的特征值为n ,,, 2 1λλλ ,则①()A f 的特征值为()()()n f f f ,,, 2 1λλλ②A 可逆时,1-A 的特征值为n1,,1, 12 1λλλ *A 的特征值为nA A A 2 1||,,||, ||λλλ ③T A 的特征值也是n ,, , 21λλλ特征值的利用①求行列式n A ,,, ||2 1λλλ = ②判别可逆性E A λ-可逆λ⇔不是A 的特征值.当()0=A f 时,如果()0≠c f ,则cE A -可逆若λ是A 的特征值,则()λf 是()A f 的特征值()0=⇒λf .()c c f ⇒≠0不是A 的特征值AcE⇔可逆.n 阶矩阵的类似关系 当UA AU=时,A B =,而UA AU ≠时,A B ≠.类似关系有i )对称性:A B B A ~~⇔B AU U =-1,则1-=UBU Aii )有传递性:B A ~,C B ~,则C A ~B AU U =-1,C BV V =-1,则命题 当B A ~时,A 和B 有很多不异的性质 ①B A =②()()B A γγ=③A ,B 的特征多项式不异,从而特征值完整分歧.A 与B 的特征向量的关系:η是A 的属于λ的特征向量η1-⇔U 是B 的属于λ的特征向量.正定二次型与正定矩阵性质与判别可逆线性变换替换坚持正定性()n x x x f ,,,21 变成()n y y y g ,,,21 ,则它们同时正定或同时不正定B A -~,则A ,B 同时正定,同时不正定.例如AC C B T =.如果A 正定,则对每个0≠x (C 可逆,0≠x ,0≠∴Cx !)我们给出关于正定的以下性质A正定E⇔~A-⇔存在实可逆矩阵C,CA T=.C⇔的正惯性指数n=.A⇔的特征值全大于0.A⇔的每个顺序奴才式全大于0.A判断A正定的三种方法:①顺序奴才式法.②特征值法.③定义法.基本概念对称矩阵AA T=.反对称矩阵AA T-=.简单阶梯形矩阵:台角地位的元素都为1 ,台角正上方的元素都为0.如果A是一个n阶矩阵,A是阶梯形矩阵⇒A是上三角矩阵,反之纷歧定矩阵消元法:(解的情况)①写出增广矩阵()βA,用初等行变换化()βA为阶梯形矩阵()γB.②用()γB判别解的情况.i)如果()γB最上面的非零行为()d0,,0 ,则无解,否则有解.ii)如果有解,记γ是()γB的非零行数,则n = γ时独一解. n <γ时无量多解.iii )独一解求解的方法(初等变换法)去掉()γB 的零行,得()00 γB ,它是()c n n +⨯矩阵,0B 是n 阶梯形矩阵,从而是上三角矩阵.则0 ≠n n b ii n n b b ⇒≠⇒--01 1都不为0.()()()ηβE r B A −→−−→−行行η就是解.一个n 阶行列式nnn n n n a a a a a a a a a212222111211的值:①是!n 项的代数和②每一项是n 个元素的乘积,它们共有!n 项 n nj jj a a a 2121其中nj j j 21是n ,,2,1 的一个全排列.③nnj j a a 11 前面乘的应为()()nj j j 211τ-()n j j j 21τ的逆序数代数余子式ij M 为ij a 的余子式.定理:一个行列式的值D 等于它的某一行(列),各元素与各自代数余子式乘积之和.一行(列)的元素乘上另一行(列)的响应元素代数余子式之和为0.范德蒙行列式∏<-=ji i j na a a a a )(111112nC 个乘法相干AB的()j i ,位元素是A 的第i 行和B 的第j 列对应元素乘积之和.乘积矩阵的列向量与行向量(1)设n m ⨯矩阵()n A ααα,,,21 =,n 维列向量()T n b b b ,,,21 =β,则 矩阵乘法利用于方程组 方程组的矩阵方式β=Ax ,()()T m b b b ,,,21 =β方程组的向量方式 (2)设C AB =,AB的第i 个列向量是A 的列向量组的线性组合,组合系数是B 的第i 个列向量的各分量.AB的第i 个行向量是B 的行向量组的线性组合,组合系数是A 的第i 个行向量的各分量.矩阵分解当矩阵C 的每个列向量都是A 的列向量的线性组合时,可把C 分解为A 与一个矩阵B 的乘积特此内在有关对角矩阵的乘法中的若干成绩对角矩阵从右边乘一矩阵A ,即用对角线上的元素顺次乘A 的各列向量对角矩阵从左边乘一矩阵A ,即用对角线上的元素顺次乘A 的各行向量因而A AE =,A EA =()kA kE A =,()kA A kE =两个对角矩阵相乘只须把对角线上对应元素相乘对角矩阵的k 次方幂只须把每个对角线上元素作k 次方幂对一个n 阶矩阵A ,规定()A tr 为A 的对角线上元素之和称为A 的迹数.因而 ()()T k T kT αβαβαβ1-=()[]T k T tr αβαβ1-=()T T tr αααα=其他方式方阵的高次幂也有规律例如:⎪⎪⎪⎭⎫ ⎝⎛=101020101A初等矩阵及其在乘法中的感化(1)()j i E ,:交换E 的第j i ,两行或交换E 的第j i ,两列 (2)())(c i E :用数()0≠c 乘E 的第i 行或第i 列(3)())(,c j i E :把E 的第j 行的c 倍加到第i 行上,或把E 的第i 列的c 倍加到第j 列上.初等矩阵从左(右)侧乘一个矩阵A 等同于对A 作一次相当的初等行(列)变换 乘法的分块法则普通法则:在计算两个矩阵A 和B 的乘积时,可以先把A 和B 用纵横线分割成若干小矩阵来进行,请求A 的纵向分割与B 的横向分割分歧.两种经常使用的情况 (1)B A ,都分成4块⎪⎪⎭⎫ ⎝⎛=22211211A AA A A ,⎪⎪⎭⎫⎝⎛=22211211B B B B B其中1i A 的列数和j B 1的行数相等,2i A 的列数和j B 2的行数相干.(2)准对角矩阵 矩阵方程与可逆矩阵两类基本的矩阵方程 (都需求A 是方阵,且0≠A ) (I )的解法:(II )的解法,先化为T TT B x A =.()()T T Tx E B A→.通过逆求解:B Ax =,B A x 1-=可逆矩阵及其逆矩阵定义:设A 是n 阶矩阵,如果存在n 阶矩阵H ,使得E AH=,且E HA =,则称A 是可逆矩阵,称H是A 的逆矩阵,证作1-A .求1-A 的方程(初等变换法) 陪伴矩阵 线性暗示β可以用s ααα,,,21 线性暗示,即β可以暗示为s ααα,,,21 的线性组合,也就是存在s c c c ,,,21 使得 βααα=+++s s c c c 2211 记号:s αααβ,,,21 →线性相干性线性相干:存在向量i α可用其它向量s i i αααα,,,,,111 +-线性暗示.线性有关:每个向量i α都不克不及用其它向量线性暗示 定义:如果存在不全为0的s c c c ,,,21 ,使得02211=+++s s c c c ααα 则称s ααα,,,21 线性相干,否则称s ααα,,,21 线性有关.即:s ααα,,,21 线性相(无)关011=++⇔s s x x αα 有(无)非零解()0,,,21=⇔x s ααα 有(无)非零解极大有关组和秩定义:s ααα,,,21 的一个部分组()I 称为它的一个极大有关组,如果满足: i )()I 线性有关.ii )()I 再扩大就相干.定义:规定s ααα,,,21 的秩()()I s #,,, 21=αααγ .如果s ααα,,,21 每个元素都是零向量,则规定其秩为0.有不异线性关系的向量组定义:两个向量若有不异个数的向量:s s βββααα,,,,,,,2121 ,而且向量方程0,2211=+++s s x x x ααα 与02211=+++s s x x x βββ 同解,则称它们有不异的线性关系.①对应的部分组有分歧的相干性.421,,ααα的对应部分组421,,βββ,若421,,ααα相干,有不全为0的421,,c c c 使得0442211=++αααc c c ,即()0,,0,,0,,421 c c c 是02211=+++s s x x x ααα 的解, 从而也是02211=+++s s x x x βββ 的解,则有0442211=++βββc c c ,321,,βββ也相干.②极大有关组绝对应,从而秩相等. ③有分歧的内在线暗示关系.设:()s A ααα,,,21 =,()s B βββ,,,21 =,则02211=+++s s x x x ααα 即 0=Ax , 02211=+++s s x x x βββ 即 0=Bx .s ααα,,,21 与s βββ,,,21 有不异的线性关系即0=Ax 与0=Bx 同解.反之,当0=Ax 与0=Bx 同解时,A 和B 的列向量组有不异的线性关系.矩阵的秩定理:矩阵A 的行向量组的秩=列向量组的秩 规定()=A r 行(列)向量组的秩.()A r 的计算:用初等变换化A 为阶梯形矩阵B ,则B 的非零行数即()A r .命题:()A A r =的非零子式阶数的最大值.方程组的表达方式1.⎪⎪⎩⎪⎪⎨⎧=+++=+++=+++mn mn m m n n n n b x a x a x a b x a x a x a b x a x a x a 22112222212*********2.β=Ax η是解βη=⇔A3.βααα=+++n n x x x 2211 有解n αααβ,,,21 →⇔ 基础解系和通解1.0=Ax 有非零解时的基础解系e ηηη,,,21 是0=Ax 的基础解系的条件:①每个i η都是0=Ax 的解②e ηηη,,,21 线性有关③0=Ax 的每个解e ηηηη,,,21 →③/ ()A n l γ-=通解①如果e ηηη,,,21 是0=Ax 的一个基础解系,则0=Ax 的通解为e e c c c ηηη+++ 2211,i c 任意②如果0ξ是()0≠=ββAx 的一个解,e ηηη,,,21 是0=Ax 的基础解系,则β=Ax 的通解为e e c c c ηηηξ++++ 22110,i c 任意特征向量与特征值定义:如果0≠η,而且ηA 与η线性相干,则称η是A 的一个特征向量.此时,无数λ,使得ληη=A ,称λ为η的特征值.设A 是数量矩阵E λ,则对每个n 维列向量η,ληη=A ,因而,任何非零列向量都是E λ的特征向量,特征值都是λ. ①特征值无限特征向量无量多若ληη=A ,()()ηλληηηc c cA c A ===②每个特征向量有独一特征值,而有很多特征向量有不异的特征值.③计算时先求特征值,后求特征向量. 特征向量与特征值计算η⇔是()0=-x A E λ的非零解命题:①λ是A 的特征值0 =-⇔A E λ②η是属于λ的特征向量η⇔是()0 =-x A E λ的非零解 称多项式A xE -为A 的特征多项式.λ是A 的特征值λ⇔是A 的特征多项式A xE -的根. λ的重数:λ作为A xE -的根的重数.n 阶矩阵A的特征值有n 个:n ,, , 21λλλ ,可能其中有的不是实数,有的是多重的. 计算步调:①求出特征多项式A xE -. ②求A xE -的根,得特征值.③对每个特征值i λ,求()0 =-x A E i λ的非零解,得属于i λ的特征向量.n 阶矩阵的类似关系 设A,B 是两个n 阶矩阵.如果存在n 阶可逆矩阵U ,使得B AU U =-1,则称A 与B 类似,记作B A ~.n 阶矩阵的对角化基本定理 A 可对角化⇔A 有n 个线性有关的特征向量. 设可逆矩阵()n U ηηη,,,21 =,则i i i A ηλη=⇔,n i ,,2,1 =判别法则A 可对角化⇔对于A 的每个特征值λ,λ的重数()A E n --=λγ.计算:对每个特征值i λ,求出()0=-x A E i λ的一个基础解系,把它们合在一路,得到n个线性有关的特征向量,n ηη,,1 .令()n U ηηη,,,21 =,则⎪⎪⎪⎪⎪⎭⎫⎝⎛=-n AU U λλλ00000000000211 ,其中i λ为i η的特征值.二次型(实二次型) 二次型及其矩阵一个n 元二次型的普通方式为只要平方项的二次型称为尺度二次型.形如:22122221q p p p x x x x x ++---+++ 的n 元二次型称为规范二次型.对每个n 阶实矩阵A ,记()T n x x x x ,,,21 =,则Ax x T 是一个二次型. 称A 的秩()A γ为这个二次型的秩. 尺度二次型的矩阵是对角矩阵. 规范二次型的矩阵是规范对角矩阵. 可逆线性变量替换设有一个n 元二次型()n x x x f ,,,21 ,引进新的一组变量n y y y ,,,21 ,并把n x x x ,,,21 用它们暗示.⎪⎪⎩⎪⎪⎨⎧+++=+++=+++=nnn n n n nn n n y c y c y c x yc y c y c x y c y c y c x 22112222121212121111 (并请求矩阵⎪⎪⎪⎪⎪⎭⎫⎝⎛=nn n n n n c c c c c c c c c C 212222111211是可逆矩阵)代入()n x x x f ,,,21 ,得到n y y ,,1 的一个二次型()n y y g ,,1 如许的操纵称为对()n x x f 1作了一次可逆线性变量替换. 设()T n y y y Y ,,,21 =,则上面的变换式可写成 则()()n T T T n y y g ACY C Y Ax x x x f ,,11 === 因而()n y y g ,1的矩阵为AC C T 实对称矩阵的合同两个n 阶实对称矩阵A 和B ,如果存在n 阶实可逆矩阵C ,值得B AC C T =.称A 与B 合同,记作B A -~.命题:二次型()Ax x x x f T n = 1可用可逆线性变换替换化为 二次型的尺度化和规范化1.每个二次型都可以用可逆线性变量替换化为尺度二次型和规范二次型.也就是每个实对称矩阵都会同于对角矩阵和规范对角矩阵.设A 是一个实对称矩阵,则存在正交矩阵Q ,使得AQ Q D 1-=是对角矩阵.D AQ Q AQ Q T ==-1D A ~,D A -~2.尺度化和规范化的方法①正交变换法 ② 配方法3.惯性定理与惯性指数定理:一个二次型用可逆线性变换替换化出的尺度形的各个平方项的系数中,大于0的个数和小于0的个数是由原二次型所决定的,分别称为原二次型的正、负惯性指数.一个二次型化出的规范二次型在方式上是独一的,也即响应的规范对角矩阵是独一的.用矩阵的说话来说:一个实对称矩阵A 合同于独一规范对角矩阵.定理:二次型的正、负惯性指数在可逆线性变量替换下不变;两个二次型可互相转化的充要条件是它们的正、负惯性指数相等.实对称矩阵的正(负)惯性指数就等于正(负)特征值的个数. 正定二次型与正定矩阵定义:一个二次型()n x x x f ,,,21 称为正定二次型,如果当nx x ,,1 不全为0时,()0,,,21>n x x x f .例如,尺度二次型()222221121,,,n n n x d x d x d x x x f +++= 正定0>⇔i d ,n i ,,1 =(须要性“⇒”,取11=x ,2===x x x ,此时()00,,0,11>=d f 同样可证每个0>i d )实对称矩阵正定即二次型Ax x T 正定,也就是:当0≠x 时,0>Ax x T .例如实对角矩阵⎪⎪⎪⎪⎪⎭⎫ ⎝⎛n 00000000 00021λλλ 正定0 >⇔i λ,n i ,,1 =定义:设A 是一个n 阶矩阵,记r A 是A 的东南角的r 阶小方阵,称rA 为A 的第r 个顺序奴才式(或r 阶顺序奴才式).附录一 内积,正交矩阵,实对称矩阵的对角化一.向量的内积 1.定义两个n 维实向量βα,的内积是一个数,记作()βα,,规定为它们对应分量乘积之和.设⎪⎪⎪⎪⎪⎭⎫ ⎝⎛=⎪⎪⎪⎪⎪⎭⎫ ⎝⎛=n n b b b a a a 2121,βα,则 ()n n b a b a b a +++= 2211,βαβαT= 2.性质①对称性:()()αββα,,=②双线性性质:()()()βαβαβαα,,,2121+=+③正交性:()0,≥αα,且()00,=⇔=ααα()∑==ni i a 12,αα3.长度与正交 向量α的长度()∑===ni i a 12,ααα单位向量:长度为1的向量⎪⎪⎪⎭⎫ ⎝⎛001,⎪⎪⎪⎭⎫ ⎝⎛010,⎪⎪⎪⎪⎪⎪⎭⎫⎝⎛-22022, 若0≠α,则αα是单位向量,称为α的单位化.11==αααα 两个向量βα,如果内积为0:()0,=βα,称它们是正交的.如果n 维向量组s ααα,,,21 两两正交,而且每个都是单位向量,则称为单位正交向量组.例1.如果向量组s ααα,,,21 两两正交,而且每个向量都不为零向量,则它们线性有关.证:记()s A ααα,,, 21 =,则则()()s A r s A A r T =⇒=,即()s r s =αα,,1 .例2.若A 是一个实的矩阵,则()()A r A A r T =. 二.正交矩阵一个实n 阶矩阵A 如果满足E AA T=,就称为正交矩阵.1-=A A T定理 A 是正交矩阵A ⇔的行向量组是单位正交向量组.A ⇔的列向量组是单位正交向量组.例3.正交矩阵A 坚持内积,即 证:()()βαβαβαβα,,===T T T A A A A 例4.(04)A 是3阶正交矩阵,而且111=a ,求⎪⎪⎪⎭⎫ ⎝⎛=001Ax 的解.三.施密特正交化方法这是把一个线性有关的向量组改造为与之等价的单位正交向量组的方法.设321,,ααα线性有关 ①正交化:令11αβ=(设122βαβk -=,()()()111212,,,βββαββk -= 当()()1112,,βββα=k 时,12,ββ正交.)②单位化:令111ββη=,222ββη=,333ββη=则321,,ηηη是与321,,ααα等价的单位正交向量组.四.实对称矩阵的对角化 设A 是一个实的对称矩阵,则 ①A 的每个特征值都是实数.②对每个特征值λ,重数()A E r n --=λ.即A 可以对角化. ③属于分歧特征值的特征向量互相正交.因而:存在正交矩阵Q ,使得AQ Q 1-是对角矩阵.对每个特征值λ,找()0=-x A E λ的一个单位正交基础的解,合在一路构造正交矩阵.设A 是6阶的有3个特征值1λ(二重),2λ(三重),1λ(一重)找1λ的2个单位正交特征向量21,ηη. 找2λ的3个单位正交特征向量543,,ηηη. 找3λ的一个单位特征向量6η.例5.(04)A 是3阶实对称矩阵,()2=A r ,6是它的一个二重特征值,⎪⎪⎪⎭⎫ ⎝⎛011,⎪⎪⎪⎭⎫ ⎝⎛112和⎪⎪⎪⎭⎫ ⎝⎛-321都是属于6的特征向量.(1)求A 的另一个特征值. (2)求A .解:(1)另一个特征值为0.(2)设⎪⎪⎪⎭⎫ ⎝⎛321x x x 是属于0的特征向量,则此方程组3=n ,()2=A r ,()1=-A r n ,基础解系包含一个解,任何两个解都相干.因而,每个非零解都是属于0的特征向量.⎪⎪⎪⎭⎫ ⎝⎛-→⎪⎪⎪⎭⎫ ⎝⎛-000110101321112011⎪⎪⎪⎭⎫ ⎝⎛--=111η是一个解. 附录二 向量空间1.n 维向量空间及其子空间记为n R 由全部n 维实向量构成的集合,这是一个规定了加法和数乘这两种线性运算的集合,我们把它称为n 维向量空间. 设V 是n R 的一个子集,如果它满足(1)当21,αα都属于V 时,21αα+也属于V .(2)对V 的每个元素α和任何实数c ,αc 也在V 中. 则称V 为n R 的一个子空间. 例如n 元齐次方程组0=AX的全部解构成n R 的一个子空间,称为0=AX 的解空间.但是非齐次方程组β=AX 的全部解则不构成n R 的子空间.对于n R 中的一组元素s ααα,,,21 ,记它们的全部线性组合的集合为(){}任意i s s s c c c c L αααααα+++= 221121,,,,它也是nR 的一个子空间.2.基,维数,坐标设V 是n R 的一个非0子空间(即它含有非0元素),称V 的秩为其维数,记作V dim .称V 的排了次序的极大有关组为V 的基. 例如0=AX的解空间的维数为()A r n -,它的每个有序的基础解系构成基.又如()[]()s s r L αααααα,,,,,,dim 2121 =,s ααα,,,21 的每个有序的极大有关组构成基.设k ηηη,,,21 是V 的一个基,则V 的每个元素α都可以用k ηηη,,,21 独一线性暗示:称其中的系数()k c c c ,,,21 为α关于基k ηηη,,,21 的坐标,它是一个k 维向量.坐标有线性性质:(1)两个向量和的坐标等于它们的坐标的和: 如果向量α和β关于基k ηηη,,,21 的坐标分别为()k c c c ,,,21 和()k d d d ,,,21 ,则βα+关于基k ηηη,,,21 的坐标为 (2)向量的数乘的坐标等于坐标乘数:如果向量α关于基k ηηη,,,21 的坐标为()k c c c ,,,21 ,则αc 关于基k ηηη,,,21 的坐标为()()k k c c c c cc cc cc ,,,,,,2121 =.坐标的意义:设V 中的一个向量组t ααα,,,21 关于基k ηηη,,,21 的坐标顺次为t γγγ,,,21 ,则t ααα,,,21 和t γγγ,,,21 有不异的线性关系. 因而,我们可以用坐标来判断向量组的相干性,计算秩和极大有关组等等.3.过渡矩阵,坐标变换公式设k ηηη,,,21 和k ξξξ,,,21 都是V 的一个基,并设1ξ在k ηηη,,,21 中的坐标为()ki i i c c c ,,,21 ,构造矩阵⎪⎪⎪⎪⎪⎭⎫⎝⎛=kk k k k k c c c c c c c c c C 212222111211, 称C 为k ηηη,,,21 到k ξξξ,,,21 的过渡矩阵.()()C k k ηηηξξξ,,,,,,2121 =.如果V 中向量α在其k ηηη,,,21 和k ξξξ,,,21 中的坐标分别为()Tk x x x x ,,,21 =和()T k y y y y ,,,21 =,则因而关系式: 称为坐标变换公式. 4.规范正交基如果V 的一基k ηηη,,,21 是单位正交向量组,则称为规范正交基. 两个向量的内积等于在规范正交基下的它们坐标的内积. 设α的坐标为()k c c c ,,,21 ,β的坐标为()k d d d ,,,21 , 则()k k d c d c d c +++= 2211,βα两个规范正交基之间的过渡矩阵是正交矩阵. 做题思路 先化简再计算例5.(03)设n 维列向量()T a a ,0,,0, =α,0<a .规定T E A αα-=,T aE B αα1-=.已知E AB =,求a .留意化简技巧(两头过程也很主要)例13.(00)己知⎪⎪⎪⎪⎪⎭⎫⎝⎛-=8030010100100001*A ,求矩阵B,使得E BA ABA 311+=--.证实一个矩阵可逆切入点 行列式=0 ,证实Ax=E , 证实两式相等切入点 AB=某个等式=BA(从对称性想到AB 可逆BA 也可逆的着手点E BA E AB =⇔=)例20.设n 阶矩阵A 和B 满足等式bB aA AB +=,0≠ab , 证实:BA AB =。
三角函数公式 1.正弦定理:A a sin =B b sin =Cc sin = 2R (R 为三角形外接圆半径) 2.余弦定理:a 2=b 2+c 2-2bc A cos b 2=a 2+c 2-2ac B cos c 2=a 2+b 2-2ab C cosbca cb A 2cos 222-+=3.S ⊿=21a a h ⋅=21ab C sin =21bc A sin =21ac B sin =Rabc 4=2R 2A sin B sin C sin=A C B a sin 2sin sin 2=B C A b sin 2sin sin 2=C B A c sin 2sin sin 2=pr=))()((c p b p a p p ---(其中)(21c b a p ++=, r 为三角形内切圆半径)4.诱导公试三角函数值等于α的同名三角函数值,前面加上一个把α看作锐角时,原三角函数值的符号;即:函数名不变,符号看象限注释:xx tan 1cot =5.和差角公式①βαβαβαsin cos cos sin )sin(±=± ②βαβαβαsin sin cos cos )cos( =± ③βαβαβαtan tan 1tan tan )tan(∙-+=+④βαβαβαtan tan 1tan -tan )tan(∙+=-6.二倍角公式:(含万能公式)①θθθcos sin 22sin =②θθθθθ2222sin 211cos 2sin cos 2cos -=-=-==θθ22tan 1tan 1+- ③θθθ2tan 1tan 22tan -=④ 22cos 1sin 2θθ-= ⑤ 22cos 1cos 2θθ+=⑥ Sin 2x+cos 2x=1 ⑦ 1+tan 2x=sec 2x ⑧ 1+cot 2x=csc 2x7.半角公式:(符号的选择由2θ所在的象限确定)①2cos 12sin θθ-±= ②2cos 12sin 2θθ-= ③2cos 12cos θθ+±=④2cos 12cos 2θθ+=⑤2sin 2cos 12θθ=- ⑥2cos 2cos 12θθ=+ ⑦2sin2cos )2sin 2(cos sin 12θθθθθ±=±=±8.积化和差公式:[])sin()sin(21cos sin βαβαβα-++=[])sin()sin(21sin cos βαβαβα--+=[])cos()cos(21cos cos βαβαβα-++= ()[]βαβαβα--+-=cos )cos(21sin sin9.和差化积公式:①2cos2sin2sin sin βαβαβα-+=+ ②2sin2cos2sin sin βαβαβα-+=-③2cos 2cos 2cos cos βαβαβα-+=+ ④2sin 2sin 2cos cos βαβαβα-+-=-高等数学必备公式1、指数函数(4个): 幂函数5-8(1)nm nmaa a +=⋅ (2)nm n m a aa -=(3)nmn ma a= (4)m m aa 1=- (5) nm n m xx x +=⋅2、对数函数(4个):(1)b a ab ln ln ln += (2)b a b a ln ln ln -=(3)a b a bln ln = (4)N N e e N ln ln ==3、三角函数(10个):(1)1cos sin 22=+x x (2)x x x cos sin 22sin =(3)x x x x x 2222sin 211cos 2sin cos 2cos -=-=-= (4)21cos 2sin 2x x -= (5)21cos 2cos 2xx +=(6)x x 22sec tan 1=+ (7) xx 22csc cot 1=+(8)x x csc 1sin =(9)x x sec 1cos = (10)xx cot 1tan =4、等价无穷小(11个):(等价无穷小量只能用于乘、除法)23330sin ~ arcsin ~ tan ~ arctan ~1~ln(1)~ 1cos ~11~20tan sin ~ tan ~ sin ~236n e nx x x x x x x x x x →-+-+-→---当时: 当时:幂函数:(1))('c =0 (2)1)(-='μμμx x(3)211x x '⎛⎫=-⎪⎝⎭(4)'=指数对数:(5)a a a xx ln )(=' (6)x x e e =')((7)a x x a ln 1)(log =' (8)x x 1)(ln ='三角函数:(9)x x cos )(sin =' (10)x x sin )(cos -='(11)x x 2sec )(tan =' (12)x x 2csc )(cot -=' (13)x x x tan sec )(sec =' (14)x x x cot csc )(csc -='反三角函数:(15)211)(arcsin x x -=' (16)211)(arccos x x --=' (17)211)(arctan x x +=' (18)211)cot (x x arc +-='求导法则: 设u=u(x),v=v(x)1. (u —+v )’=u ’—+v ’ 2. (cu)’=cu ’(c 为常数) 3. (uv)’=u ’v+uv ’ 4. (vu )’=2''u v uv v -幂函数:(1)⎰+=C kx kdx (2)⎰-≠++=+)1(11μμμμC x dx x(3)211dx C x x=-+⎰ (4)C =(5)C x dx x +=⎰ln 1指数函数:(6)C a a dx a xx+=⎰ln (7)⎰+=C e dx e x x三角函数:(8) ⎰+-=C x xdx cos sin (9) ⎰+=C x xdx sin cos (10) tan ln cos xdx x C =-+⎰ (11)cot ln sin xdx x C =+⎰ (12)⎰+=C x xdx x sec tan sec (13)⎰+-=C x xdx x csc cot csc (14)⎰⎰+==Cx xdx xdxtan sec cos22(15)⎰⎰+-==Cx xdx dx x cot csc sin 122(16)sec ln sec tan xdx x x C =++⎰ (17)csc ln csc cot xdx x x C =-+⎰(18)Cx dx x +=-⎰arcsin 112(19)arcsinx C a=+(20)Cx dx x +=+⎰arctan 112 (21)2211arctan xdx C a x a a =++⎰(22)Ca x x dx a x +++=+⎰2222ln 1 (23)Ca x x dx ax +-+=-⎰2222ln 1 (24)2211ln 2x a dx C xa a x a -=+-+⎰补充:完全平方差:222)(b ab a b a +-=- 完全平方和:222)(b ab a b a ++=+ 平方差:))((22b a b a b a +-=- 立方差:))((2233b ab a b a b a ++-=- 立方和:))((2233b ab a b a b a +-+=+常见的三角函数值奇/偶函的班别方法:偶函数:f(-x )= f(x) 奇函数:f(-x)= -f(x)常见的奇函数:Sinx , arcsinx , tanx , arctanx , cotx , x2n+1常见的有界函数:Sinx , cosx , arcsinx , arccosx , arctanx , arccotx极限运算法则:若lim f(x)=A,lim g(x)=B,则有:1. lim [f(x)—+g(x)]=lim f(x)—+lim g(x)=A —+B 2. lim [f(x).g(x)]=lim f(x).—+lim g(x)=A .B3. 又B 不等于0,则BAx g x f x f ==)(lim )(lim g(x))(lim两个重要极限:11sin lim 0=→x x x 1)()(s i n l i m 0)(=−−→−→x g x g x g 推广 2.e x g e x e xx g x xx x x =+−−→−=+=+∞→∞→∞→)(11))(1(lim )1(lim )11(lim 推广;;.无穷小的比较: 设:lim α=0,lim β=01. 若lim αβ=0,则称β是比α较高价的无穷小量2. 若lim αβ=c ,(c 不等于0),则称β是比α是同阶的无穷小量3. 若lim αβ=1,则称β是比α是等价的无穷小量4. 若lim αβ=∞,则称β是比α较低价的无穷小量抓大头公式:mm m mn n n n b x b a x a a xx xx +⋯⋯++++⋯⋯++----11101110b b a lim={mn mn mn b >∞<=,,0,a 0积分:1.直接积分(带公式)2.换元法:① 简单根式代换a. 方程中含nb ax +,令nb ax +=t b.方程中含ndcx b ax ++,令ndcx b ax ++=tc. 方程中含nb ax +和mb ax +,令pb ax +(其中p 为n,m 的最小公倍数)② 三角代换: a. 方程中含22a x -,令X=asint; t ⊂(-2π,2π)b. 方程中含22a x +,令X=atant; t ⊂(-2π,2π)c. 方程中含22x a -,令X=asect; t ⊂(0,2π)③ 分部积分∫uv ’ dx=uv-∫u ’v dx反(反三角函数)对幂指三,谁在后面,谁为v ’,根据v ’求出v.无穷级数:1. 等比级数:∑∞=1n n aq ,{发散收敛,1q ,1q ≥<2. P 级数:∑∞=11n pn,{发散收敛,1p ,1p ≤>3. 正项级数:nn n u u 1lim+→=ρ,{判别法,无法判断,改用比较发散收敛1,1,1=><ρρρ4. 比较判别法:重找一个V n (一般为p 级数),敛散性一致与,∑∑∞=∞=∞→=1n 1n n lim n n v u A nnv u5. 交错级数:)0()1(1>-∑∞=n n n n u u ,莱布尼茨判别法:{0lim 1=∞→+≥u n n n u u ,则级数收敛。