弹性力学公式
- 格式:pdf
- 大小:582.37 KB
- 文档页数:61
弹性力学公式范文弹性力学是研究材料在外力作用下的变形和恢复能力的一门学科。
弹性力学公式描述了材料的弹性性质和力学行为。
以下是一些常用的弹性力学公式:1. Hooke定律:Hooke定律描述了线弹性材料在小变形范围内的应力-应变关系。
它可以表示为:σ=Eε其中σ是应力,E是弹性模量,ε是应变。
2.应变能密度:弹性体变形时,有一部分外力的功以弹性能量的形式储存。
应变能密度U可以通过以下公式计算:U=(1/2)σε其中σ是应力,ε是应变。
3.杨氏模量:杨氏模量是度量材料在受拉应力下的刚性程度的物理量。
它可以表示为:E=σ/ε其中E是杨氏模量,σ是应力,ε是应变。
4.剪切模量:剪切模量是度量材料在受剪应力下的变形程度的物理量。
它可以表示为:G=τ/ε其中G是剪切模量,τ是剪切应力,ε是应变。
5.泊松比:泊松比是表示材料在受拉应力下沿垂直方向收缩的程度的无量纲物理量。
它可以表示为:ν=-ε_t/ε_l其中ν是泊松比,ε_t是横向应变,ε_l是纵向应变。
6.拉伸应变:拉伸应变是材料在受拉应力下的线性变形程度的物理量。
它可以表示为:ε=(L-L_0)/L_0其中ε是拉伸应变,L是材料受拉时的长度,L_0是未受拉时的长度。
7.压缩应变:压缩应变是材料在受压应力下的线性变形程度的物理量。
它可以表示为:ε=(L_0-L)/L_0其中ε是压缩应变,L是材料受压时的长度,L_0是未受压时的长度。
8.杨氏弹性模量:杨氏弹性模量是一种描述材料刚性程度的物理量,它可以表示为:E=(σ_2-σ_1)/(ε_2-ε_1)其中E是杨氏弹性模量,σ_2和σ_1分别是应力的最大值和最小值,ε_2和ε_1分别是相应的应变的最大值和最小值。
9.线性弹性模量:线性弹性模量是材料在小应变范围内的弹性行为的物理量。
它可以表示为:E=σ/ε其中E是线性弹性模量,σ是应力,ε是应变。
10.应力张量:应力张量描述了材料中各个方向上的内部力状态。
它可以表示为:σ=[σ_11σ_12σ_13;σ_21σ_22σ_23;σ_31σ_32σ_33]其中σ是应力张量,σ_ij是各个分量。
2°斜截面上的正应力:全应力矢量p N 在外法线方向n 上的投影即为斜截面上的正应力σN :=r r m n ⋅r r r r r r nσ=n p n ⋅()()x y z p ip j p k li j k ++++(){}{}x T x y z y n p p l p m p n lmn p n p ⎧⎫⎪⎪=++==⎨⎬l zx yxx ττσ⎫⎧⎟⎞⎜⎛z p ⎪⎪⎩⎭}){(}{)(n n n m n ml ij Tzyzxzzy y xyσστττστ=⎪⎭⎪⎬⎪⎩⎪⎨⎟⎟⎠⎜⎜⎝=即}){(}{n n ij T N σσ=(2-15)j 3°斜截面上的切应力:全应力矢量p N 在斜截面内的投影即斜截面上的切应力分量为:||n n n p τ=×r r ++216或2222222()()n n n x y z x y z p p p p p l p m p n τσ=−=++−(2-16)τxσz4-4、弹塑性力学中常用的简化力学模型44、弹塑性力学中常用的简化力学模型σA B分析计算有困难与实际符合较好1、理想弹塑性模型:o εεsσ⎨⎧>=≤=ss sE E εεεσεεεσ当当s理想弹塑性力学模型⎩Bσ1tg −2、线性强化弹塑性力学模型As σ1E 计算复杂⎨⎧>−+=≤=ss s s E E εεεεσσεεεσ当当)(1εoEtg 1−sε⎩型线性强化弹塑性力学模3、幂强化力学模型:σ1=n 参数少想弹性模型n A n<<=εσ100=n 便于分析理想塑性模型当理想弹性模型当A n A n ====σεσ01ε1幂强化力学模型4、刚塑性力学模型(理想塑性模型)在应力到达屈服极限之前应变为零。
AσB分析计算容易oε刚塑性力学模型5σ(刚塑性力学模型)5.理想塑性力学模型σssσσ=ε6.σ6.理想弹性力学模型εσE =ε4-6、常用屈服条件:对屈服条件的研究已有两个世纪。
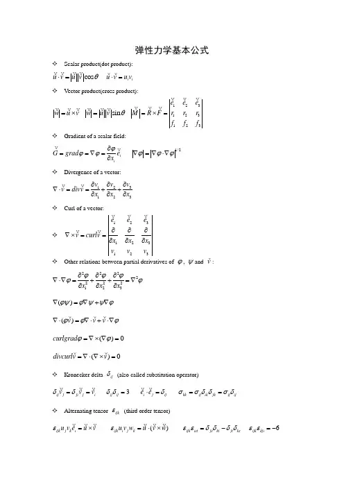
弹性力学基本公式✧ Scalar product(dot product):cos u v u v θ⋅= i i u v u v ⋅=✧ Vector product(cross product):w u v =⨯ sin w u v θ= 123123123e e e M R F r r rf f f =⨯= ✧ Gradient of a scalar field:i iG grad e x ϕϕϕ∂==∇=∂ 1/2ϕϕϕ∇=∇⋅∇ ✧ Divergence of a vector:312123v v v v divv x x x ∂∂∂∇⋅==++∂∂∂ ✧ Curl of a vector:✧ 123123123e e e v curlv x x x v v v ∂∂∂∇⨯==∂∂∂ ✧ Other relations between partial derivatives of ϕ, ψand v :2222222123x x x ϕϕϕϕϕ∂∂∂∇⋅∇=++=∇∂∂∂()ϕψϕψψϕ∇=∇+∇ ()v v v ϕϕϕ∇⋅=∇⋅+⋅∇ ()0curlgrad ϕϕ=∇⨯∇= ()0divcurlv v =∇⋅∇⨯=✧ Kronecker deltaij δ (also called substitution operator)ij j ji j i v v v δδ== 3i j i j δδ= i j i j e e δ⋅= kk ij ik jk ij ij σσδδσδ==✧ Alternating tensorijk ε (third order tensor)ijk j k i u v e u v ε=⨯ ()ijk i j k u v w u v w ε=⋅⨯ i j k i s t j s k t j εεδδδδ=- 6i j k k j i εε=-✧ Transformation of coordinates:'ij i j l e e =⋅ 'i i j j e l e = 'i j i j e l e= ir jr ri rj ij l l l l δ== 'i i j j v l v = 'i ji j v l v = 'i ij j x l x = 'i j i j x l x = ''ji ij j i x x l x x ∂∂==∂∂ ✧ Stress vector nT with cutting plane n :ni ij j T n σ=✧ Cauchy formulae for stress:nnn i i ij i j T n T n n n σσ=⋅== 222()nnn S T σ=-✧ Principal stress:From the equation ni i ij j i T n n n σσσ= ⇒=, we can calculate the direction of principal stresses. From the equation 321230I I I σσσ-+-=, we can get the principal stresses.1112233I σσσ=++ 1113222311122313332332122I σσσσσσσσσσσσ=++ 1112133212223313233I σσσσσσσσσ= ✧ Octahedral stresses:222112233123111()33oct n n n I σσσσσσσ=++=++=1223132221/22()3oct ττττ=++=✧ Stress deviator tensor: ✧ij ij ij s p σδ=+ 1231()3p σσσ=++11122331230J s s s s s s =++=++=222222212132322212132311()()()()261()()()6ij ji x y y z x z xyyz xz J s s s s s s s s σσσσσστττσσσσσσ⎡⎤==-++=-+-+-+++⎣⎦⎡⎤=-+-+-⎣⎦333312312311()33xxy xzij jk ki yxy yz zxzy zs J s s s s s s s s s s s ττττττ===++=✧ Relations between I i and J i :22121(3)3J I I =- 3311231(2927)27J I I I I =-+ 1ij ij I δσ∂=∂ 2ij ij J s σ∂=∂ 3223i k k ji j ij J s s J δσ∂=-∂ ✧ Stress on hydrostatic axis and deviatoric plane:123(,,)ON OP n σσσ→→=⋅=⋅== (,,)ON ON n p p p →→=⋅=222123()NP s s s →=++= 123(,,)N P s s s →= ✧ Equations of equilibrium:,0ij j i F σ+= i j j iσσ= ✧ Stain vector nδ with cutting plane n :ni ij j n δε=✧ Cauchy formulae for stress:nnn i i ij i j n n n n εδδε=⋅== 222n nϑδε=- ✧ Principal strain:From the equation ni i ij j i n n n δεεε= ⇒=, we can calculate the direction of principal stresses. From the equation 321230I I I εεε-+-=, we can get the principal stresses. ✧ Strain-Displacement relationships: ✧ Lagrangian description: ,,,,1()2ij i j j i r i r j u u u u ε=++ 其中,i i j ju u x ∂=∂ 22212x u u v w x x x x ε⎡⎤∂∂∂∂⎛⎫⎛⎫⎛⎫=+++⎢⎥ ⎪ ⎪ ⎪∂∂∂∂⎝⎭⎝⎭⎝⎭⎢⎥⎣⎦122xy xy u v u u v v w w y x x y x y x y γε⎡⎤∂∂∂∂∂∂∂∂==++++⎢⎥∂∂∂∂∂∂∂∂⎣⎦等等 ✧ Eulerian description: ////1()2ij i j j i r i r j u u u u ε=++ 其中/i i j ju u ξ∂=∂ ✧ 备注:应变张量是指pure deformation ,而转动张量是指rigid body rotation 。
应力应变关系:弹性模量 || 广义虎克定律 1.弹性模量a 弹性模量 单向拉伸或压缩时正应力与线应变之比,即E σε=b 切变模量 切应力与相应的切应变 之比,即G τγ=c 体积弹性模量 三向平均应力0()3x y z σσσσ++=与体积应变θ(=εx +εy +εz )之比, 即K σθ=d 泊松比 单向正应力引起的横向线应变ε1的绝对值与轴向线应变ε的绝对值之比,即1ενε= 2.广义虎克定律 a.弹性力学基本方程在弹性力学一般问题中,需要确定15个未知量,即6个应力分量,6个应变分量和3个位移分量。
这15个未知量可由15个线性方程确定,即 (1)3个平衡方程(或用脚标形式简)写 为:22()0jijii x u f tσρ∂∂++-=∂∂(,,,)i j x y z =(2)6个变形几何方程,或简写为:1()2ji ij j iu u E x x ∂∂=+∂∂(,,,)i j x y z =(3)6个物性方程简写为:0132ij ij E G E νσσδ=-2ij ij ijG σελθδ=+(,,,)i j x y z ={1()0()()i j ij i j δ=≠=2.边界条件x x xx xy xy xz xzF l l l σττ=++y yz xx y xy yz xzF l l l τσσ=++z zz xx xy xy z xzF l l l ττσ=++式中,l nj =cos(n,j)为边界上一点的外法线n 对j 轴的方向余弦 b 位移边界问题在边界S x 上给定的几何边界条件为*x x u u = *y y u u =*z z u u = 式中,u i 为表面上给定的位移分量Cauchy 公式: T x = σ x l + τ xy m +τ zx n T y = τ xy l+σ y m +τ zy n T y =τ xz l+τ y z m +σ z n22)(n x z n n n T l T T nT T T στ=+++=边界条件:()()()x xy xz s x xy y yz s y xz yz z s zl m n T l m n T l m n T στττστττσ++=++=++= 平衡微分方程:000yx x zxx xy y zyy yz xz zz F x y z F x y z F x y zτσττστττσ∂∂∂+++=∂∂∂∂∂∂+++=∂∂∂∂∂∂+++=∂∂∂ 主应力、不变量,偏应力不变量321231230x y zx xy y z zxyz yx y zy xz x z x xy xzyx y yzzx zy z I I I I I I σσσσσσστσστττσττσσστττστττσ-+-==++=++= 1231();3m i i m s σσσσσσ=++=-()()()112322222223016()6x y y z z xxy yz zx J ss s J J σσσσσστττ=++=⎡⎤=-+-+-+++⎢⎥⎣⎦=偏应力张量行列式的秩八面体812381()3σσσστ=++等效应力σ=体积应变x y z θεεε=++12312()Ev vεσσσ-=++几何方程:;;;x xy y yz z xy u u v x y x v v w y z y w u w z z xεγεγεγ∂∂∂==+∂∂∂∂∂∂==+∂∂∂∂∂∂==+∂∂∂ 12ij ij εγ=变形协调方程22222y xyx xy y xετε∂∂∂+=∂∂∂物理方程()()()12(1);12(1);12(1);x x y z xyxy y y x z yz yz z z y x zx zx v v E E v v E Ev v E Eεσσσγτεσσσγτεσσσγτ+⎡⎤=-+=⎣⎦+⎡⎤=-+=⎣⎦+⎡⎤=-+=⎣⎦偏应力与偏应变的关系 3;2m m ij ij K s Ge σε==平面应变问题()()()()()'x '''''''2111111112(1)2(1);0;110;x y x y y y x y x xy xyxy z zy zx zy zx z x y v v v v Ev v v v E v v E E E v E v v v v εσσσσεσσσσγττεγγττσσσ⎡⎤=-=--⎣⎦-⎡⎤=-=--⎣⎦-++=====--=====+ 平面应力问题()()()x 11;2(1)01;0x y y y x xy xyzy zx zy zx z x y z v v E Ev Evεσσεσσγτγγττεσσσ=-=-+======-+= 平面问题方程: 平衡方程:00yxx x xy yy F x y F x yτστσ∂∂++=∂∂∂∂++=∂∂几何方程;;x y xy u v u v x y y xεεγ∂∂∂∂===+∂∂∂∂ 边界条件;x yx x xy y y l m T l m T σττσ+=+=位移边界条件;x x y y u u u u ==协调方程 平面应变22222y xyxxy y xετε∂∂∂+=∂∂∂平面应力222220;0;0z z zxy x y εεε∂∂∂===∂∂∂平面问题应力解(直角坐标系)22222x x y y xy F xy F y x xy ϕσϕσϕτ∂=-∂∂=-∂∂=-∂协调方程:222222222()()()0x y x y x yϕσσ∂∂∂∂+=++=∂∂∂∂ 平面问题应力解(极坐标系) 平衡微分方程:10210r r r r r r F r r r F r r rθθθθθθτσσσθτστθ∂-∂+++=∂∂∂∂+++=∂∂ 几何方程:1;1r r r r r u u u r r r u u u r r rθθθθθεεθγθ∂∂==+∂∂∂∂=+-∂∂ 本构方程:()()r 11;2(1)r r rrv v E E v Eθθθθθεσσεσσγτ=-=-+= 变形协调:22222211()0r r rr θ∂∂∂++=∂∂∂已知应力函数ϕ,求应力2222222211;111()r r r r r r r r r r r θθϕϕϕσσθϕϕϕϕτθθθ∂∂∂=+=∂∂∂∂∂∂∂=-+=-∂∂∂∂∂ 平面应变下:()()[]()()[]r (1)112(1)112r r Eu u u u E u u u u θθθσεεσεε=-++-=-++-屈服条件Tresca 屈服条件()12111s022ij sf k σσσστ-=-===单轴拉伸:k ;纯剪切:k Mises 屈服条件()()()()222222222222016()6K K ij x y y z z x xy yz zx s sf J k J σσσσσσστττσ=-=⎡⎤=-+-+-+++⎢⎥⎣⎦=单轴拉伸:;纯剪切:1、理想弹塑性材料的加卸载准则:()()0,0;0,0;ij ij ijij ij ij ff df d ff df d σσσσσσ∂===∂∂==<∂加载卸载2、硬化材料的加卸载准则:()()()0,0;0,0;0,0;ij ij ij ij ij ij ij ij ij ff d f f d ff d βββσεσσσεσσσεσσ∂=>∂∂==∂∂=<∂,加载,中性加载,卸载。
①平衡微分方程:⎪⎪⎩⎪⎪⎨⎧=+∂∂+∂∂=+∂∂+∂∂00yxy y x yxx Y x y f y x τστσ②平面问题中一点应力状态:()()⎪⎩⎪⎨⎧-+-=++=xy x y n xy y x n m l lm lm m l τσσττσσσ22222⎪⎩⎪⎨⎧+=+=xyy y xyx x l m p m l p τστσ 222122xyyx yx τσσσσσσ+⎪⎪⎭⎫ ⎝⎛-±+=221minmax σστ-±=;xxyxy xtg tg σστατσσα--=-=1211;③平面问题几何方程:yu x v yv xu xy y x ∂∂+∂∂=∂∂=∂∂=γεε,,④平面应力问题物理方程:()()()()⎪⎪⎪⎪⎩⎪⎪⎪⎪⎨⎧==+=+-=-=-=01211zxyzxyxyyx zxyyyxxEEEEγγτμγσσμεμσσεμσσε;;应变问题E=E/(1-μ *μ);μ=μ/(1-μ) ⑤相容方程:yx xyxyyx ∂∂∂=∂∂+∂∂γεε22222⑥应力边界条件:()()()()⎪⎩⎪⎨⎧=+=+y s xy s y xsyx s x f l m f m l τστσ圣维南原理:⎰⎰⎰⎰⎰⎰--=--=--==⎩⎨⎧==⎩⎨⎧==⎩⎨⎧=222222222222)()()()()()(hh Sy hh l x xy hh x h h l x x hh Nx hh l x x F dy y f dy M ydy y f ydy F dy y f dy τσσ 应力函数表示的相容方程()()⎪⎪⎭⎫⎝⎛∂∂+∂∂+=+⎪⎪⎭⎫⎝⎛∂∂+∂∂y f xf y xy x yxμσσ12222 ⑦应力函数与应力分量: yx y f xx f yxyy yx x∂∂Φ∂-=-∂Φ∂=-∂Φ∂=22222,,τσσ应力函数表示的相容方程024422444=∂Φ∂+∂∂Φ∂+∂Φ∂yyx x按位移求解平面应力问题时所用的基本微分方程:)2121(10)2121(1222222222222=+∂∂∂++∂∂-+∂∂-=+∂∂∂++∂∂-+∂∂-y x f yx u xv yv E f yx v yu xu E μμμμμμ按位移法求解平面问题时所用的应力分量:)()1(2),(1),(122yu xvE xu yv E y v xu E xy yx∂∂+∂∂+-=∂∂+∂∂-=∂∂+∂∂-=μτμμσμμσ①极坐标平衡微分方程:⎪⎪⎩⎪⎪⎨⎧=++∂∂+∂∂=+-+∂∂+∂∂02101ϕϕϕϕϕϕτϕστσσϕτσf f ρρρρρρρρρρρρ ②极坐标几何方程:⎪⎪⎩⎪⎪⎨⎧-∂∂+∂∂=∂∂+=∂∂=ρρρρρ,ρρρρρρϕϕϕϕϕϕγϕεεu u u u u u 11③极坐标平面应力物理方程:()()()⎪⎪⎩⎪⎪⎨⎧+==-=-=ϕϕϕϕϕϕτμτγμσσεμσσερρρρρρE G EE 1211,1④极坐标中的应力分量⎪⎪⎩⎪⎪⎨⎧∂∂+∂∂∂-=∂∂=∂∂+∂∂=ϕϕτσϕσϕϕφρρφρρφφρρφρρρ222222211,11 ⑤极坐标中的相容方程:011222222=⎪⎪⎭⎫⎝⎛∂∂+∂∂+∂∂φρρρρϕ 应力分量的坐标转换式:⎪⎪⎩⎪⎪⎨⎧-+-=-+=++=)sin (cos cos sin )(,cos sin 2cos sin ,cos sin 2sin cos 222222ϕϕτϕϕσστϕϕτϕσϕσσϕϕτϕσϕσσϕϕxy x y xy y x xy y x ρρ⎪⎪⎩⎪⎪⎨⎧-+-=++=-+=)sin (cos cos sin )(,cos sin 2cos sin ,cos sin 2sin cos 222222ϕϕτϕϕσστϕϕτϕσϕσσϕϕτϕσϕσσρϕϕρρϕϕρρϕϕρxyy x ⑥轴对称问题: 应力分量简化为:0122====ρρρ,ρφ,ρφρϕϕϕττσσd d d d相容方程化简为:01222=⎪⎪⎭⎫⎝⎛+φρρρd d d d 应力函数:D C B A +++=22ln ln ρρρρφ轴对称的应力分量:()()⎪⎪⎪⎩⎪⎪⎪⎨⎧==+++-=+++=02ln 232ln 2122ρρρρρρρϕϕϕττσσCB AC B A轴对称的位移分量(平面应力):()()()()()⎪⎪⎩⎪⎪⎨⎧+-+=++⎥⎦⎤⎢⎣⎡-+-+--++-=ϕϕϕϕϕμμμμϕcos sin 4sin cos 12311ln 1211K I H E B u K I C B B A E u ρρρρρρρρ ⑧圆环或圆筒受均布压力:2222212222222221222211111111q Rr rq rR Rq Rr rq rR R-+--+=------=ρρ,ρρρϕσσ半平面体在边界上受集中力: )sin sin cos (cos 2ϕϕσββπρρ+-=F ,⑨圆孔的孔边应力集中: 0=ϕσ, ==ρρϕϕττ0双向受拉:0112222==⎪⎪⎭⎫⎝⎛+=⎪⎪⎭⎫ ⎝⎛-=ρρρ,ρ,ρϕϕϕττσσr q rq相对沉陷:ρπηs EF ln2=一向受拉一向受压:⎪⎪⎪⎪⎩⎪⎪⎪⎪⎨⎧⎪⎪⎭⎫⎝⎛+⎪⎪⎭⎫ ⎝⎛--==⎪⎪⎭⎫ ⎝⎛+-=⎪⎪⎭⎫⎝⎛-⎪⎪⎭⎫ ⎝⎛-=22224422223112sin 312cos 3112cos ρρρρρρρρrr q r q r r q ϕττϕσϕσϕϕϕ顶端受集中力的楔形体0)sin sin sin sin cos cos (2==-++-=ϕϕτσααϕβααϕβρσρρ,Fϕστϕσσϕσσρϕρ2sin 21sincos 22===xyyx,,平面问题的有限元法:{}{}tdxdyF Tσεδ⎰⎰=**exyy xxyyx mmj ji i mymx jy jx iyix N y x v y x u d v uv uv u F F F F F F F δγεεετσσσδ=⎭⎬⎫⎩⎨⎧=====),(),(,,,,*******单元分析:)(21;;;i j j i j m i m j i j m m j i c b c b A x x c y y b y x y x a -=-=-=-=⎥⎦⎤⎢⎣⎡==m ji m jii N NN N N N N A y x N 000000;21),(),,.(21;21;3m j i im ds N ij ds N A dxdy N imi iji Ai ===⎰⎰⎰⎰eeeeek FDB S S D B δδεσδε=====;;;⎥⎥⎥⎦⎤⎢⎢⎢⎣⎡--=2)1(010112μμμμE D 弹性矩阵 [];0021;⎥⎥⎥⎦⎤⎢⎢⎢⎣⎡==i ii ii mj ib c c b A B B B B B 几何矩阵 应力转换矩阵:[]⎥⎥⎥⎦⎤⎢⎢⎢⎣⎡---==2)1(2)1()1(2;2ii iiii i mjib c c b c b A ES S SS S μμμμμ单元刚度矩阵:⎢⎢⎢⎣⎡-+-+-+-+-==⎥⎥⎥⎦⎤⎢⎢⎢⎣⎡==sr s r rs r s s r s r s r s r sT rrs mm mjmi jm jjjiim ij iiTeb bc c bc c b b c c b c c b b A Et DBB k k k k k kk k k k DBtA B k21212121)1(42μμμμμμμ分布体力向节点移置:⎰⎰⎰⎰⎰⎰===Ay i Liy Ax i Lix ATeL dxdyf y x N t F dxdy f y x N t F fdxdy Nt F ),(,),(;分布面力向节点移置:⎰⎰⎰⎰⎰⎰===σσσS x i Lix S x i Lix S TeL dsf y x N t F ds f y x N t F ds f Nt F ),(;),(;∑=ee rrkK 11 r 指单元位于节点1的顶点的局部编码 ∑=ee rsq kK 1 r 指单元位于节点1的顶点的局部编码,s 是单元位于节点q 的顶点的局部编码。
材料力学公式大全引言材料力学是材料学和力学的交叉学科,研究材料在外部力作用下的力学行为。
材料力学公式是描述材料力学行为的数学方程式,通过使用这些公式,可以预测和解释材料的力学性能。
本文将介绍一些常见的材料力学公式,帮助读者更好地理解材料的力学行为。
弹性力学霍克定律弹性材料的应力与应变之间的关系可以通过霍克定律来描述。
霍克定律表示为:σ = Eε其中,σ是应力,E是弹性模量,ε是应变。
杨氏模量是一种衡量材料刚度的物理量,表示为:E = σ / ε其中,E是杨氏模量,σ是应力,ε是应变。
泊松比泊松比是一种描述材料压缩应变与正交方向上的伸长应变比例关系的参数。
泊松比的定义如下:ν = -ε_2 / ε_1其中,ν是泊松比,ε_1是材料在一个方向上的伸长应变,ε_2是材料在与该方向正交的方向上的压缩应变。
屈服强度材料的屈服强度是指在材料发生塑性变形之前所能承受的最大应力。
屈服强度可以通过应力-应变曲线中的屈服点来确定。
硬化指数硬化指数是衡量材料抵抗塑性变形的能力的物理量,表示材料在塑性变形过程中的硬度增加速率。
硬化指数可以通过屈服应力与屈服应变之间的关系来计算。
应力松弛应力松弛是指材料在恒定应变条件下,应力随时间逐渐减小的现象。
应力松弛可以通过材料应力与时间之间的关系来描述。
强度理论强度理论是一种预测材料破坏的理论模型。
常用的强度理论包括最大剪应力理论、最大正应力理论和最大能量释放率理论。
裂纹扩展速率裂纹扩展速率是描述材料中裂纹扩展过程的物理量,表示裂纹边缘的扩展速度。
裂纹扩展速率可以通过材料裂纹长度与时间之间的关系来计算。
疲劳力学疲劳寿命疲劳寿命是指材料在循环加载下能够承受的次数或时间。
疲劳寿命可以通过应力与循环次数或时间之间的关系来计算。
疲劳强度是指材料在循环加载下能够承受的最大应力。
疲劳强度可以通过应力循环试验来确定。
结论本文介绍了一些常见的材料力学公式,包括弹性力学、塑性力学、破坏力学和疲劳力学方面的公式。
弹性力学中的变形与弹性系数计算弹性力学是物理学的一个重要分支,研究物体在受力作用下的变形和恢复过程。
变形是指物体在受力作用下形状、大小或体积的改变,而恢复则是指物体在去除外力后回复到原来形状、大小或体积的能力。
弹性系数则是衡量物体弹性恢复能力的物理量。
一、变形的分类根据物体受力的方向和形变的类型,变形可以分为线性变形和体积变形两种。
1. 线性变形:当物体受到拉伸或压缩力时,会出现线性变形。
线性变形是指物体在受力方向上的长度发生改变,而在垂直受力方向上的长度保持不变。
常见的线性变形包括拉伸和压缩。
2. 体积变形:当物体受到外力作用时,其体积也会发生变化,这种变形称为体积变形。
体积变形可以分为体积增大和体积缩小两种情况。
二、弹性系数的计算弹性系数是衡量物体弹性恢复能力的物理量,常用的弹性系数包括弹性模量、剪切模量和泊松比。
1. 弹性模量:弹性模量是衡量物体在受力作用下线性变形程度的物理量。
常用的弹性模量有杨氏模量、剪切模量和体积模量。
- 杨氏模量:杨氏模量是衡量物体在受拉伸或压缩力作用下的线性变形程度的物理量。
它的计算公式为杨氏模量 = 应力 / 应变,其中应力是物体受力作用下的单位面积上的力,应变是物体在受力作用下的长度变化与原长度之比。
- 剪切模量:剪切模量是衡量物体在受剪切力作用下的变形程度的物理量。
它的计算公式为剪切模量 = 剪切应力 / 剪切应变,其中剪切应力是物体受剪切力作用下的单位面积上的力,剪切应变是物体在受剪切力作用下的变形与原形状之比。
- 体积模量:体积模量是衡量物体在受力作用下体积变化程度的物理量。
它的计算公式为体积模量 = 体积应力 / 体积应变,其中体积应力是物体受力作用下的单位体积上的力,体积应变是物体在受力作用下的体积变化与原体积之比。
2. 泊松比:泊松比是衡量物体在受力作用下线性变形和体积变形之间关系的物理量。
它的计算公式为泊松比 = 横向应变 / 纵向应变,其中横向应变是物体在受力作用下垂直受力方向上的长度变化与原长度之比,纵向应变是物体在受力作用下受力方向上的长度变化与原长度之比。
弹性力学常用公式一,三维空间应力:n x n x •=)(),(σσ,[][][][]Tβσβσ=',)(0,i i j ij u f ••=+ρσ应变:()i j j i ij u u ,,21+=ε,协调方程: 0,,,,=--+ik jl jl ik ij kl kl ij εεεε 线性本构方程:Hooke 定律 kl ijkl ij C εσ=,各向同性:ij kk ij ij ij kk ij ij EE G δσυσυεδλεεσ-+=+=1 ,2 边界条件:σS S B u ⋃=∂,φσ=⋂S S u ;i S i u u u=,i S jij X n =σσ二、平面问题本构方程平面应变平面应力平面应力(极坐标系)αβαβαβδλεεσkk G +=2, 平面应力 平面应变:21υ-→E E 、υυυ-→1 xyxyx y y y x x G G G γτευυευυσευυευυσ=-+--=-+--=)1(21)1(2)1(21)1(2 xyxyx y y y x x G G Gγτυεευσυεευσ=+-=+-=)(12)(12 θθθθθγτυεευσυεευσr r r r r G G G=+-=+-=)(12)(12 0)()(==+=+=zx zx y x y x z ττεελσσυσ===zx zx z ττσ0=z σ 0==θττz zrαβαβαβδσυσυεkk EE -+=1 xyxy xy x y y y x x GE E τεγσυυσυεσυυσυε12)1(1)1(122==---=---= xyxy xy x y y y x x GEEτεγυσσευσσε12)(1)(1==-=-=θθθθθτγυσσευσσεr r r r r GE E1)(1)(1=-=-====zy zx z γγε)(==+-=zy zx y x z Eγγσσυε )(θσσυε+-=r z E0==θγγz zr协调方程:y x y x xy x y ∂∂∂=∂∂+∂∂γεε22222,0112112222222=∂∂-∂∂-∂∂+∂∂∂-∂∂+∂∂θγεεθγθεεθθθθr r r r r r r r r r r r r ))(1()(,,2y y x x y x f f ++-=+∇νσσ,如x x V f ,-=,y y V f ,-=,引入Airy 应力函数:V yy x +=,φσV xx y +=,φσ,xy xy,φτ-=22222y x ∂∂+∂∂=∇,4422444222yy x x ∂∂+∂∂∂+∂∂=∇∇极坐标系:02101=++∂∂+∂∂=+-+∂∂+∂∂θθθθθθτθστσσθτσf r r r f r r r r r r r r r r v r v u r ru v r r u r r rr r θθθθθθγθεε-∂∂+∂∂=+∂∂=∂∂=11 , ⎪⎭⎫⎝⎛∂∂∂∂-=∂∂=∂∂+∂∂=θφτφσθφφσθθr r rr r r r r 1 ,1122222 V 222)1(∇--=∇∇νφ,22222211θ∂∂+∂∂+∂∂=∇r r r r , ⎪⎪⎭⎫⎝⎛-⎪⎪⎭⎫ ⎝⎛⎪⎪⎭⎫ ⎝⎛-=⎪⎪⎭⎫ ⎝⎛θθθθσττσθθθθσττσθθθcos sin sin cos cos sin sin cos r r ry xyxy x三,柱形杆自由扭转位移:yz u α-=,xz v α=,),(y x w αψ=,02=∇ψ(翘曲函数),y x zx ααψγ-=,,x y zy ααψγ+=, 应力:zx y zx G γφτ==,,zy x zy G γφτ=-=,,其余应力、应变分量均为0,αφG 22-=∇(应力函数)边界条件:σS B =∂上0=+y zy x zx n n ττ→ )(y x y y x x xn yn n n -=+αψψ,C =φ 扭矩:t zx zyt D dxdy y x M αττ=-=⎰⎰Ω)(, ∑⎰⎰+=Ωii i t A dxdy M φφ22,抗扭刚度:22d d t D Gx y x y x y y x ψψΩ⎛⎫∂∂=++- ⎪∂∂⎝⎭⎰⎰; 薄膜比例:S q z /2-=∇,0|=Ω∂z狭长矩形杆:313t D Ga δ=,max 23t M a τδ=;开口薄壁杆:313n t i i i G D a δ==∑,max 313i t i n i i i M a δτδ==∑; 闭口薄壁管:2tM A τδ=, ()24t M ds GA s αδ=⎰,等厚闭口薄壁管:24t M sGA αδ=四,能量原理与近似解法虚功原理:i i i i ij ij VS Vf u dV p u dS dV σδδσδε+=⎰⎰⎰余虚功原理:ui i ij ij S Vu p dS dV δεδσ=⎰⎰总势能:()()i ij i i i i VVS u W dV f u dV p u dS σε∏=--⎰⎰⎰,i S iu u u =,kl ij ijkl ij C W εεε21)(=; 总余能:()()uc ij c ij i i VS W dV p u dS σσ∏=-⎰⎰,0,=+i j ij f σ,i S jij p n =σσ,kl ij ijkl ij c C W σσσ121)(-=;0=∏+∏c近似解法(Ritz 法与Galerkin 法):齐次化,找基函数,求近似最小值。
xyy x N ml m l τσσσ222++= x y N mp lp -=τ xy y x N lm m l γεεε++=22求切应力公式:()()xyx y N m l lm τσστ22++-= 几何方程在平面中的简化形式:⎪⎪⎪⎭⎪⎪⎪⎬⎫∂∂+∂∂=∂∂=∂∂=y u x v y vx u xy y x γεε最大位移:()22maxv u uN +=平面应力方程(物理方程):()()()⎪⎪⎪⎭⎪⎪⎪⎬⎫+=-=-=xy xy x yy y xx EE E τμγμσσεμσσε1211 平面应变方程:()⎪⎪⎪⎪⎭⎪⎪⎪⎪⎬⎫+=⎪⎪⎭⎫ ⎝⎛---=⎪⎪⎭⎫ ⎝⎛---=xy xy x y y y x x E E E τμγσμμσμεσμμσμε12111122 应力边界问题中:()()()()⎪⎭⎪⎬⎫=+=+y s xy s y x s yx s x f l m f m l τστσ 位移边界:⎭⎬⎫==v v u u x x应力分量:()()()⎪⎪⎪⎭⎪⎪⎪⎬⎫+=+-=+-=xy xy x y y y xx E E E γμτμεεμσμεεμσ121122 弹性方程:()⎪⎪⎪⎪⎭⎪⎪⎪⎪⎬⎫⎪⎪⎭⎫ ⎝⎛∂∂+∂∂+=⎪⎪⎭⎫ ⎝⎛∂∂+∂∂-=⎪⎪⎭⎫ ⎝⎛∂∂+∂∂-=y u x v E x u y v E y v x u E xy y x μτμμσμμσ121122 知识归纳整理平面问题的平衡微分方程:⎪⎪⎭⎪⎪⎬⎫=+∂∂+∂∂=+∂∂+∂∂00y xy y x yx x f x y f x x τστσ 弹性方程简化:⎪⎪⎭⎪⎪⎬⎫=+⎪⎪⎭⎫ ⎝⎛∂∂∂++∂∂-+∂∂-=+⎪⎪⎭⎫⎝⎛∂∂∂++∂∂-+∂∂-021211021211222222222222y x f y x u x v y v E f y x v y u x u E μμμμμμ位移表示平面微分方程:⎪⎪⎭⎪⎪⎬⎫=⎥⎥⎦⎤⎢⎢⎣⎡⎪⎪⎭⎫ ⎝⎛∂∂+∂∂-+⎪⎪⎭⎫ ⎝⎛∂∂+∂∂-=⎥⎥⎦⎤⎢⎢⎣⎡⎪⎪⎭⎫ ⎝⎛∂∂+∂∂-+⎪⎪⎭⎫ ⎝⎛∂∂+∂∂-y ss x s s f y u x v l x u y v m E f x v y u m y v x u l E21121122μμμμμμ应变:y x x y xy y x ∂∂∂=∂∂+∂∂γεε22222 平面应力:()()⎪⎪⎭⎫ ⎝⎛∂∂+∂∂+-=+⎪⎪⎭⎫ ⎝⎛∂∂+∂∂y f x f y x y x y x μσσ12222 平面应变:()⎪⎪⎭⎫ ⎝⎛∂∂+∂∂--=+⎪⎪⎭⎫ ⎝⎛∂∂+∂∂y f x f y x y x y x μσσ112222 ⎪⎪⎪⎪⎭⎪⎪⎪⎪⎬⎫∂∂Φ∂-=-∂Φ∂=-∂Φ∂=y x y f x x f y xy y y x x 22222τσσ 024422444=∂Φ∂+∂∂Φ∂+∂Φ∂yy x x ⎪⎪⎭⎪⎪⎬⎫++--=+-=022022v x x EI M y EI M v u y xy EIM u ωμω ⎪⎪⎪⎭⎪⎪⎪⎬⎫-=-+-=+++-=x h q xy h q q y h q y h q K Hy y h q y x h q xy y x 2362232264623333323τσσ ⎪⎪⎪⎭⎪⎪⎪⎬⎫=-==0xy y x y EI M y EI M γμεε ⎪⎪⎪⎭⎪⎪⎪⎬⎫=∂∂+∂∂-=∂∂=∂∂0y ux v y EI M y v y EI Mx u μ ()()⎪⎪⎭⎪⎪⎬⎫+-=+=x f y EI M v y f xy EI M u 2212μ ()()012=++dy y df x EI M dx x df ()()x EI M dx x df dy y df +=-21 求知若饥,虚心若愚。
第五章弹性力学的求解方法和一般性原理知识点弹性力学基本方程边界条件位移表示的平衡微分方程应力解法体力为常量时的变形协调方程物理量的性质逆解法和半逆解法解的迭加原理,弹性力学基本求解方法位移解法位移边界条件变形协调方程混合解法应变能定理解的唯一性原理圣维南原理一、内容介绍通过弹性力学课程学习,我们已经推导和确定了弹性力学的基本方程和常用公式。
本章的任务是对弹性力学所涉及的基本方程作一总结,并且讨论具体地求解弹性力学问题的方法。
弹性力学问题的未知量有位移、应力和应变分量,共计15个,基本方程有平衡微分方程、几何方程和本构方程,也是15个。
面对这样一个庞大的方程组,直接求解显然是困难的,必须讨论问题的求解方法。
根据这一要求,本章的主要任务有三个:一是综合弹性力学的基本方程,并按边界条件的性质将问题分类;二是根据问题性质,确定基本未知量,建立通过基本未知量描述的基本方程,得到基本解法。
弹性力学问题的基本解法主要是位移解法、应力解法和混合解法等。
应该注意的是对于应力解法,基本方程包括变形协调方程。
三是介绍涉及弹性力学求解方法的一些基本原理。
主要包括解的唯一性原理、叠加原理和圣维南原理等,这些原理将为今后的弹性力学问题解建立基础。
如果你在学习本章内容时有困难,请及时查阅和复习前三章相关内容,以保证今后课程的学习。
二、重点1、弹性力学的基本方程与边界条件分类;2、位移解法与位移表示的平衡微分方程;3、应力解法与应力表示的变形协调方程;4、混合解法;5、逆解法和半逆解法;6、解的唯一性原理、叠加原理和圣维南原理§5.1 弹性力学的基本方程及其边值问题学习思路:通过应力状态、应变状态和本构关系的讨论,已经建立了一系列的弹性力学基本方程和边界条件。
本节的主要任务是将基本方程和边界条件作综合总结,并且对求解方法作初步介绍。
弹性力学问题具有15个基本未知量,基本方程也是15个,因此问题求解归结为在给定的边界条件下求解偏微分方程。
弹性力学公式总结弹性力学是研究物体在受力后的形变与应变关系的力学分支。
在弹性力学中,常使用一些公式来描述物体的力学性质。
下面是一些弹性力学中常用的公式:1. 应变(strain)公式:应变是物体在受力后发生的形变相对于初始状态的比例。
应变可以分为线性应变和剪切应变两种类型。
线性应变公式:ε=ΔL/L其中,ε表示线性应变,ΔL表示长度变化,L表示初始长度。
剪切应变公式:γ=Δθ其中,γ表示剪切应变,Δθ表示切变角度的变化。
2. 应力(stress)公式:应力是物体表面上的内力,是由外力作用于物体上的单位面积所产生的力。
法向应力公式:σ=F/A其中,σ表示法向应力,F表示受力,A表示作用面积。
切向应力公式:τ=F/A其中,τ表示切向应力,F表示受力,A表示作用面积。
3.长度变形公式:受力作用下,物体的长度会发生变化,有两种类型:拉伸和压缩。
拉伸变形公式:ΔL=FL/AE其中,ΔL表示长度变化,F表示受力,L表示初始长度,A表示截面积,E表示弹性模量。
压缩变形公式:ΔL=-FL/AE4.钢材弹性模量公式:钢材弹性模量是衡量材料抵抗外力而形变的能力指标。
E=σ/ε其中,E表示弹性模量,σ表示法向应力,ε表示线性应变。
5.线性弹性体系恢复力公式:恢复力是物体受到外力作用后恢复到初始状态所产生的力。
F=kΔx其中,F表示恢复力,k表示弹性系数,Δx表示位移。
6.钢丝绳伸长公式:钢丝绳在受拉伸力作用下会发生伸长。
ΔL=FL/EA其中,ΔL表示伸长长度,F表示受力,L表示初始长度,A表示截面积,E表示钢丝绳的弹性模量。
7.矩形梁弯曲公式:在作用力下,矩形梁会发生弯曲。
M = -EI(d^2y / dx^2)其中,M表示弯曲力矩,E表示杨氏模量,I表示截面惯性矩,y表示梁的纵轴位移,x表示位置。
这些公式是弹性力学中的一些基本公式,用于描述物体在受力后的形变与应变关系,以及恢复力、弯曲等力学性质。
掌握这些公式对于深入理解和研究弹性力学具有重要意义。
—地基沉降计算的理论公式法—根据布辛奈斯克的竖向位移解,得出均布荷载下地基沉降的弹性力学公式:式中b--矩形荷载(基础)的宽度或圆形荷载(基础)的直径。
ω--沉降影响系数,由下表求得。
m--泊松比E0--地基变形模量(或地基弹性模量)沉降影响系数ω值柔性基础刚性基础ωc ωq ωm ωr 圆形 0.64 1.00 0.85 0.79 方形 0.56 1.12 0.95 0.88 矩形(L /b )1.5 0.68 1.36 1.15 1.082.0 0.77 1.53 1.30 1.223.0 0.89 1.78 1.52 1.444.0 0.98 1.96 1.70 1.615.0 1.05 2.10 1.83 1.726.0 1.11 2.22 1.96 ---7.0 1.16 2.32 2.04 ---8.0 1.20 2.40 2.12 ---9.0 1.24 2.48 2.19 --- 10.0 1.27 2.54 2.25 2.12 100.02.004.013.703.40以下简单介绍上述计算基础沉降和倾斜的弹性力学公式的应用问题。
对于矩形或圆形基础,当地基土质均匀时,估算基础的最终沉降是很简便的。
通常按这种方法计算的结果往往偏大。
这是由于弹性力学公式是按均质的线性变形半空间的假设得到的,而实际上地基常常是非均质的成层土(包括下卧基岩的存在),即使是均质的土层,其变形模量 一般随深度而增大。
因此,利用弹性力学公式计算沉降的问题,在于所用的 值是否能反映地基变形的真实情况。
地基土层的值,如能从已有建筑物的沉降观测资料,以弹性力学公式反算求得,则这种数据是有价值的。
此外,弹性力学公式可用来计算地基的瞬时沉降,此时认为地基土不产生体积变形,例如在风力或其它短暂荷载作用下,构筑物基础的倾斜情况的沉降计算,注意式中换取地基弹性模量E代入,并以土的泊松比代入。
©版权所有。
2°斜截面上的正应力:
全应力矢量p N 在外法线方向n 上的投影即为斜截面上的正应力σN :
=r r m n ⋅r r r r r r n
σ=n p n ⋅()()
x y z p i
p j p k li j k ++++(){}{}x T x y z y n p p l p m p n l
m
n p n p ⎧⎫⎪⎪
=++==⎨⎬l zx yx
x ττσ⎫⎧⎟⎞⎜⎛z p ⎪⎪⎩⎭
}){(}{)(n n n m n m
l ij T
z
yz
xz
zy y xy
σστττστ=⎪⎭
⎪⎬⎪⎩⎪⎨⎟⎟⎠⎜⎜⎝=即}
){(}{n n ij T N σσ=(2-15)
j 3°斜截面上的切应力:
全应力矢量p N 在斜截面内的投影即斜截面上的切应力分量为:
||n n n p τ=×r r ++216或
2222222()()
n n n x y z x y z p p p p p l p m p n τσ=−=++−(2-16)
τx
σz
4-4、弹塑性力学中常用的简化力学模型44、弹塑性力学中常用的简化力学模型
σ
A B
分析计算有困难
与实际符合较好1、理想弹塑性模型:
o ε
ε
s
σ⎨
⎧>=≤=s
s s
E E εεεσεεεσ当当s
理想弹塑性力学模型
⎩B
σ
1tg −2、线性强化弹塑性力学模型
A
s σ1
E 计算复杂
⎨
⎧>−+=≤=s
s s s E E εεεεσσεεε
σ当当)(1ε
o
E
tg 1−s
ε⎩型
线性强化弹塑性力学模
3、幂强化力学模型:
σ
1
=n 参数少
想弹性模型n A n
<<=εσ1
00
=n 便于分析
理想塑性模型
当理想弹性模型
当A n A n ====σε
σ01ε
1
幂强化力学模型
4、刚塑性力学模型(理想塑性模型)在应力到达屈服极限之前应变为零。
A
σB
分析计算容易
o
ε
刚塑性力学模型
5σ(刚塑性力学模型)
5.
理想塑性力学模型σs
s
σσ=ε
6.σ
6.
理想弹性力学模型ε
σE =ε
4-6、常用屈服条件:
对屈服条件的研究已有两个世纪。
所谓屈服条件,就是材料进入塑性状态时应力分量之间所必须满足的条件。
经过许多试验验证,证明符合工程材料特性、又便于工程应用的常用屈服条件有以下几种:
1. Tresca 最大剪应力屈服条件:
1864年,法国工程师屈雷斯加(H.Tresca)Coulomb 年,法国程师屈雷斯加()根据对土力学的研究以及他自己在金属挤压试验中得到的结果,提出当最大剪应力达到某一定值τ
时,材料就发生屈服。
因此,Tresca 屈服条件可用数学式表示为:
=K
τ
max
K为材料的剪切屈服应力,对不同材料的K值,要由实验确定。