电费分摊汇总表(年度)
- 格式:xls
- 大小:40.50 KB
- 文档页数:8
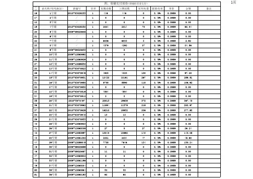
管理用电/水分项统计表
注:单项场所地点或设备名称(*数量)或工作内容:“场所”如某某区域路灯照明用电、某某办公室照明用电、某某车库照明用电、花园喷水景观用水;“设备名称”如某某电梯运行用电、泳池用电用水;“活动内容”如二次供水水箱清洗用水、洗地(墙)用电用水、消防演习用水、绿化用水等;场所或设备情况一样数量多于一个的可合在一起算一类场所或设备耗电、水总数,比如电梯*12,表示共有12部电梯。
此注仅供参考,分项描述清楚即可。
“原浪费程度或可节约余地”按可节约余地在相应栏打“√”。
统计人/时间:审核人/时间:
第 1 页共 1 页。
有关物业水电分摊明细表序号区域名称住宅商业写字楼备注 1 公共走廊《重庆市物价局关于对重庆市城市物分摊用表分摊用表公共楼梯居民用电表业管理服务收费实施办法执行中有关向使用人分摊向使用人分摊公共前室向使用人分摊问题的通知》(渝价[2004]778号)规公共大堂用电定:由于业主共用部位、共用设备设共用区域用2 施(如楼道照明、消防通道照明、电共用区域清洁用水分摊用表分摊用表分摊用表水用电梯间照明、院墙路灯、小区路灯、草向使用人分摊向使用人分摊向使用人分摊3 坪灯、小区水景、二次供水泵、自备公共卫生间用水用分摊用表分摊用表分摊用表发电机油料)的用水、用电费用未进电向使用人分摊向使用人分摊向使用人分摊入物业服务收费成本,应按户据实分摊后由产权人或使用人缴纳。
4 电梯用电核算用表核算用表核算用表5 消防正压送风机用核算用表核算用表核算用表电6 消防排烟机用电核算用表核算用表核算用表7 消防水泵(喷淋泵、核算用表核算用表核算用表室外消防泵)用电共用设施用8 消防用水核算用表核算用表核算用表水用电9 智能安防设施用电核算用表核算用表核算用表10 二次加压泵用电分摊用表分摊用表分摊用表对于向业主(使用人)若按“水费+向使用人分摊向使用人分摊向使用人分摊电费”统一综合收取的,不再分摊 11 二次供水分摊用表分摊用表分摊用表向使用人分摊向使用人分摊向使用人分摊 12 中央空调主机用电单独计量单独计量向使用人分摊向使用人分摊适用于大型商业(铺中铺)、或公共区13 中央空调主机用水单独计量单独计量域使用中央空调的写字楼以及共用中向使用人分摊向使用人分摊央空调的写字楼 14 公共区域空调(盘单独计量单独计量管)机组用电向使用人分摊向使用人分摊 15 供热锅炉用水单独计量单独计量向使用人分摊向使用人分摊 16 供热锅炉用电(燃单独计量单独计量气或燃油) 向使用人分摊向使用人分摊 17 柴油发电机用油料向使用人分摊核算用料核算用料 18 有线电视用电单独计量,专业公司单独计量,专业公司单独计量,专业公司承担承担承担专业用电 19 通讯网络用电单独计量,专业公司单独计量,专业公司单独计量,专业公司承担承担承担20 手机信号覆盖放大单独计量,专业公司单独计量,专业公司单独计量,专业公司承担系统用电承担承担21 燃气计量网络传输单独计量,专业公司单独计量,专业公司单独计量,专业公司承担用电承担承担22 水厂计量网络传输单独计量,专业公司单独计量,专业公司单独计量,专业公司承担用电承担承担23 室外清洁绿化用水分摊用表室外环境用24 室外庭院照明分摊用表水用电 25 室外装饰照明核算用表核算用表核算用表 26 室外水景用水分摊用表分摊用表分摊用表 27 室外水景用电分摊用表分摊用表分摊用表 28 车库用水用车库用电核算用表核算用表核算用表 29 电车库用水核算用表核算用表核算用表 30 保安亭、值班事用核算用表核算用表核算用表电31 消防控制室用电核算用表核算用表核算用表32 物业管理办公室用核算用表核算用表核算用表其他电33 物业管理办公室用核算用表核算用表核算用表水34 保安宿舍核算用表核算用表核算用表 35 居委会用电单独计量36 居委会用水单独计量37 泳池用水用电核算用表38 泳池配套房用电核算用表特别说明:1、表中“商业”指大型商业,有“铺中铺”的商业形态2、表中“写字楼”指有部分出租或出售的情况3、表中兰色字体是表示要向业主(或使用者)分摊的水电费的情况。
电费分摊表纳税申报自我评估表(工业小规模纳税人适用)纳税人识别号:企业名称(盖章):所属时期:年月企业财务主管签名:企业负责人签名:税务审核人:日期:日期:日期:说明:1、本表数据与申报表所属时期一致,须在每月终后15天内,附当期“电费通知书”复印件,附申报资料交回申报窗口。
2、纳税人应如实填写本表,认真检查电费、工资等指标是否合理,成产规模与申报销售是否适应3、企业负责人、财务人员必须本人签名,不得代签。
4、购买社保人数按地税实际购买人数填写。
分摊人签名:分摊人联系电话:填表日期:说明:1、分摊用电量须附收费收据或发票复印件。
2、分摊用户中如未办证的,房东应督促其办证。
分摊人签名:分摊人联系电话:填表日期:说明:1、分摊用电量须附收费收据或发票复印件。
2、分摊用户中如未办证的,房东应督促其办证。
分摊人签名:分摊人联系电话:填表日期:说明:1、分摊用电量须附收费收据或发票复印件。
2、分摊用户中如未办证的,房东应督促其办证。
(工业小规模纳税人适用)纳税人识别号:51052119630202537400企业名称(盖章):中山市沙溪镇鑫柯宇制衣厂所属时期:2011 年 3月企业财务主管签名:企业负责人签名:税务审核人:日期:日期:日期:说明:1、本表数据与申报表所属时期一致,须在每月终后15天内,附当期“电费通知书”复印件,附申报资料交回申报窗口。
2、纳税人应如实填写本表,认真检查电费、工资等指标是否合理,成产规模与申报销售是否适应3、企业负责人、财务人员必须本人签名,不得代签。
4、购买社保人数按地税实际购买人数填写。
(工业小规模纳税人适用)纳税人识别号:44052719691115187800企业名称(盖章):中山市沙溪镇金伟嘉制衣厂所属时期:2011 年 3月企业财务主管签名:企业负责人签名:税务审核人:日期:日期:日期:说明:1、本表数据与申报表所属时期一致,须在每月终后15天内,附当期“电费通知书”复印件,附申报资料交回申报窗口。