拉扎维教材模拟集成电路第三章课后习题的答案解析中文版(纯手写)
- 格式:doc
- 大小:18.62 MB
- 文档页数:12
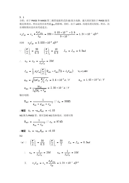
3.1分析:对于PMOS 和NMOS 管二极管连接形式的CS 放大电路,最大的区别在于PMOS 做负载无体效应,所以这里应该考虑g mb 的影响。
同时,由于L=0.5,沟道长度比较短,所以,沟长调制效应也应该考虑进去。
2441401034.11099.31085.8350μμ2V A t C OX sio nOX n ---⨯=⨯⨯⨯⨯=∙=εε 同理 25p 10835.3μV A C OX -⨯=∵ 5.0501=⎪⎪⎭⎫⎝⎛L W 5.0102=⎪⎪⎭⎫ ⎝⎛L W A I I D D m 5.021== ∴ K I r DN o o 201r 21===λ()()22222n 2121DS N TH GS ox D V V V L W C I λμ+-⎪⎪⎭⎫ ⎝⎛= V O = 1.46V V A I LWC D OX m /106.32g 31-⨯==μ VA m /1063.1g 32-⨯=V A V g SBF m m /1038.222g 422b -⨯=+=φγ输出电阻:Ω=++=-508//g 1R 11222o o mb m OUT r r g∴增益 85.1g A 1-=-=OUT m V RM2换为PMOS 管,则可忽略M2的体效应,同理可得Ω=+=-974//g 1R 1122o o m OUT r r∴增益 85.0g A 1-=-=OUT m V R3.2 (a )∵ 5.0501=⎪⎪⎭⎫⎝⎛L W 2502=⎪⎪⎭⎫ ⎝⎛L W A I I D D m 5.021== ∴ K I DN o 201r 1==λ K I DP o 101r 2==λ又 2401034.1μμ2V A t C OXsion OX n -⨯=∙=εε∴ V A I LWC D OX m /106.32g 31-⨯==μ∴增益 ()4.24//r g A 211-=-=o o m V r(b )求输出电压的最大摆幅及求输出电压最大值与最小值之差 分析可知,当M1管处于临界三极管区时输出电压有最小值V omin ,此时有:11TH GS DS OUT V V V V -==()()DS N TH GS ox D V V V L W C I λμ+-⎪⎪⎭⎫ ⎝⎛=121211n 有以上两式可推得 V omin =0.27当M2管处于临界三极管区是输出电压有最大值V omax ,同理有:()()SDP TH GS ox D V V V L W C I λμ+-⎪⎪⎭⎫ ⎝⎛=121222pV SDMIN = 0.99 ∴ V omax = V DD -V SDMIN = 2V ∴输出电压的最大摆幅为V omax - V omin = 1.73V3.3 (a )∵5.050=⎪⎪⎭⎫⎝⎛L W A I D m 11= Ω=K R D 2∴K I DN o 101r ==λK R D o O U T 66.1//r R 1==V A I LWC D OX m /1018.52g 31-⨯==μ∴ 增益 86.0g A 1-=-=OUT m V R (b )∵M1工作在线性区边缘 ∴ TH GS DS OUT V V V V -==1()DO U TDD THGS ox D R V V V V L W C I -=-⎪⎪⎭⎫ ⎝⎛=21n 21μ由以上两式可得 V V GS 13.1= , A I D 3-1028.1⨯= ∴K I DN o 8.71r ==λ∴ 增益 ()34.9//r g A 1-=-=Do m V R(c )各区域主要由DS V 决定,进入线性区50mV 即三极管临界区的DS V 减小50mV ∵ 临界区的V R I V V D D DD DS 44.0=-= 所以进入线性区50mV 时的DS V =0.39V∴A R V V I DDSDD D 3103.1-⨯=-==∴ ()()V V V V V V L W C I GS DS DS TH GS ox D 14.122121n =⇒--⎪⎪⎭⎫ ⎝⎛=μ又∵ 三极管区 19.5g 1n =⎪⎪⎭⎫⎝⎛=DS ox m V L W C μ()K R V V V L W C V I R O DS TH GS ox DS D O28.111n 1=⇒--⎪⎪⎭⎫⎝⎛=∂∂=-μ ∴增益 ()4//R g A -=-=Do m V R3.12分析:已知各支路电流及M1宽长比,可求得M1过驱动电压即out V ,从而由M2的gsV 及电流可求得其宽长比。
第3章 习题1. 概念题:(1)在放大电路中,三极管或场效应管起的作用就是 将一种形式的电量转换为另一种形式的电量 。
(2)电源的作用是 为能量转换提供能源 ,如果离开电源,放大器可以工作吗?( 不能 )(3)单管放大器的讲解从电容耦合形式开始,这是因为 阻容耦合放大器设计和计算相对来说要简单点 ,如果信号和负载直接接入,其 工作点 的计算将要复杂的多。
(4)在共射放大器的发射极串接一个小电阻,还能认为是共射放大器吗?( 能 )在共集放大器的集电极串接一个小电阻,还能认为是共集放大器吗?( 能 )(5)在模电中下列一些说法是等同的,(A 、C 、F )另一些说法也是等同的。
(B 、D 、E )A. 直流分析B. 交流分析C. 静态分析D. 动态分析E. 小信号分析F. 工作点分析(6)PN 结具有单向导电性,信号电压和电流的方向是随时间变化的,而交流信号却能在放大电路中通过并获得放大,这是因为 放大器输出端获取的交流信号其实就是电流或电压的相对变化量 。
(7) β大的三极管输入阻抗 也大 ,小功率三极管的基本输入阻抗可表示为EQTbb'be I U )1(r r β++≈。
(8)画直流通路比画交流通路复杂吗?(不)在画交流通路时直流电压源可认为 短路 ,直流电流源可认为 开路 ,二极管和稳压管只考虑其 动态内阻 即可。
(9)求输出阻抗时负载R L 必须 断开 ,单管放大器输出阻抗最难求的是共 集电极 放大器,其次是共 源 放大器。
(10)对晶体管来说,直流电阻指 晶体管对所加电源呈现的等效电阻 ,交流电阻指 在一定偏置下晶体管对所通过的信号呈现的等效电阻 ,对纯电阻元件有这两种电阻之区分吗?( 无 )(11)在共射级放大器或共源放大器中,电阻R C 或R D 的作用是 把电流I C 或I D 的变化转换为电压的变化 。
(12)放大电路的非线性失真包括 饱和 失真和 截止 失真,引起非线性失真的主要原因是 放大器工作点偏离放大区 。
拉扎维模拟CMOS集成电路设计第三章作业答案详解完整版教程解析1. 引言在拉扎维模拟CMOS集成电路设计第三章的作业中,涉及了多个内容,包括放大电路、反馈放大电路、功率放大电路等。
本文将对这些内容进行详细的解析和讲解,并给出相应的答案。
2. 放大电路放大电路是电子电路中非常常见且重要的一种电路结构。
在本章的作业中,我们需要设计一个放大电路,并回答一些相关问题。
2.1 放大电路设计根据作业要求,我们需要设计一个放大电路,输入信号为正弦波,放大倍数为10倍。
我们可以选择使用CMOS集成电路来实现这个放大电路。
首先,我们需要根据放大倍数和输入信号的幅度来确定CMOS放大电路的电路参数。
在设计过程中,我们需要考虑一些关键因素,包括电流源、负反馈电阻等。
其次,我们可以选择合适的电路拓扑结构,例如共源共栅放大电路、共源共漏放大电路等。
根据实际情况,我们可以选择合适的电路结构。
最后,我们需要进行电路参数的计算和电路的仿真。
通过计算和仿真,我们可以得到放大电路的性能指标,例如增益、截止频率等。
2.2 放大电路问题解答在作业中,还需要回答一些问题,例如输入电阻、输出电阻、频率响应等。
针对这些问题,我们需要根据放大电路的拓扑结构和电路参数做相应的计算和分析。
例如,输入电阻可以通过计算输入端的电流和电压之比得到;输出电阻可以通过计算输出端的电流和电压之比得到;频率响应可以通过对放大电路进行交流分析得到。
总的来说,放大电路的设计和问题解答需要综合考虑多个因素,包括电路参数、电路结构、输入信号的幅度、负载等。
需要进行一系列的计算和仿真,以得到满足要求的电路性能。
3. 反馈放大电路反馈放大电路是一种常见的电路结构,它可以通过引入反馈回路来改善电路性能,例如增益稳定性、线性度等。
在作业中,我们需要设计一个反馈放大电路,并回答一些相关问题。
3.1 反馈放大电路设计根据作业要求,我们需要设计一个反馈放大电路,输入信号为正弦波,放大倍数为20倍。
模电第三章习题答案模电第三章习题答案模拟电子技术(模电)是电子工程中的重要学科,它研究的是模拟电路的设计与分析。
模电的第三章主要涉及放大器的基本概念和特性,包括放大器的分类、放大器的增益计算、放大器的频率响应等内容。
在学习模电的过程中,习题是巩固知识和提高解题能力的有效工具。
下面将给出模电第三章习题的详细解答。
1. 问题:计算电压放大倍数Av。
解答:电压放大倍数Av的计算公式为Av = Vout / Vin,其中Vout为输出电压,Vin为输入电压。
根据题目中给出的电路图和元件参数,可以通过欧姆定律和基尔霍夫定律来计算。
2. 问题:计算共模抑制比CMRR。
解答:共模抑制比CMRR的计算公式为CMRR = 20log10(Ad / Ac),其中Ad为差模增益,Ac为共模增益。
根据题目中给出的电路图和元件参数,可以通过电路分析方法来计算。
3. 问题:计算输入阻抗Zin。
解答:输入阻抗Zin的计算公式为Zin = Vin / Iin,其中Vin为输入电压,Iin为输入电流。
根据题目中给出的电路图和元件参数,可以通过电路分析方法来计算。
4. 问题:计算输出阻抗Zout。
解答:输出阻抗Zout的计算公式为Zout = Vout / Iout,其中Vout为输出电压,Iout为输出电流。
根据题目中给出的电路图和元件参数,可以通过电路分析方法来计算。
5. 问题:计算最大输出功率Pmax。
解答:最大输出功率Pmax的计算公式为Pmax = Vout^2 / (4Rl),其中Vout为输出电压,Rl为负载电阻。
根据题目中给出的电路图和元件参数,可以通过电路分析方法来计算。
通过以上习题的解答,我们可以加深对模电第三章内容的理解。
在实际应用中,我们需要熟练掌握放大器的基本概念和特性,以便能够正确设计和分析模拟电路。
同时,通过解题过程,我们也可以培养自己的逻辑思维和问题解决能力。
模电作为电子工程的重要学科,对于电子工程师的培养具有重要意义。
拉扎维教材第三章答案中文版(纯手写)
PART1
最近重新温习拉扎维,参考英文版答案顺便教材手动整理下教材课后习题,部分习题加入了一些自己的想法和备注。
欢迎各位学弟学妹下载,不过请不要照抄答案!因为没有扫描仪器,用手机照的相片。
这一部分是第三章作业的前一半的题目,也请大家尊重本人劳动成果,可以下载,但请不要随意下载后再上传,谢谢大家!
PART2
另外3.11题目可参考3.10
注明:如有错误之处欢迎指正。
在我的百度账号下留言即可:清风一鹤。
PART3
答案照片在下面
↓↓↓↓↓↓↓↓↓↓↓↓↓↓↓↓↓↓↓↓↓↓↓↓↓↓↓↓↓↓↓↓↓↓↓↓↓↓↓。
拉扎维教材第三章答案中文版(纯手写)
PART1
最近重新温习拉扎维,参考英文版答案顺便教材手动整理下教材课后习题,部分习题加入了一些自己得想法与备注、欢迎各位学弟学妹下载,不过请不要照抄答案!因为没有扫描仪器,用手机照得相片。
这一部分就是第三章作业得前一半得题目,也请大家尊重本人劳动成果,可以下载,但请不要随意下载后再上传,谢谢大家!
PART2
另外3、11题目可参考3.10
注明:如有错误之处欢迎指正、在我得百度账号下留言即可:清风一鹤。
PART3
答案照片在下面
↓↓↓↓↓↓↓↓↓↓↓↓↓↓↓↓↓↓↓↓↓↓↓↓↓↓↓↓↓↓↓↓↓↓↓↓↓↓↓。
模电第三章课后题答案模拟电路第三章课后题答案1. 什么是直流偏置?有哪些方法可以实现直流偏置?直流偏置是指在放大器电路中为信号输入提供一个基准电压或偏置电压的方法。
常用的直流偏置方法有四种:固定偏置、可调偏置、恒流源偏置和共射极稳压偏置。
2. 什么是共模反馈?可以用来做什么?共模反馈是指将输出信号的一部分通过反馈电路送回放大器输入端并与输入信号相加的一种反馈方式。
它可以用来降低输出的共模干扰、提高放大器的直流稳定性和增大输出阻抗等。
3. 论述共源放大器输入电阻的大小与管子的参数关系。
共源放大器输入电阻Ri与管子的参数关系为Ri=rd//rds。
其中rd和rds 分别为管子的内阻和漏极电阻,它们与管子的型号有关,可以通过数据手册或参数表找到。
4. 怎样理解源极负载共源放大器的“驱动能力”?源极负载共源放大器的“驱动能力”是指它可以驱动的负载电阻的大小。
它与放大器的工作状态有关,当放大器处于饱和状态时,它的驱动能力较强;当放大器处于截止状态时,它的驱动能力较弱。
5. 什么是运放的输入失调?有什么影响?运放的输入失调是指运放输入端的两路信号不对称,产生一个微小的偏置电压,从而影响运放的放大能力和输出的准确性。
其影响包括:增大输出的偏置电压、降低放大增益和导致失真等。
6. 什么是偏压稳定度?如何提高?偏压稳定度是指放大器直流工作点的稳定性,通常用温度系数来表示。
它可以通过采用合适的偏压电路设计、选用稳定性好的元器件、合理布局和散热等方式来提高。
7. 什么是负反馈?有哪些优点?如何设计?负反馈是指将部分输出信号送回放大器输入端,并与输入信号相减的一种反馈方式。
它的优点包括提高放大器的稳定性、降低失真、增加带宽和减小输出阻抗等。
负反馈的设计需要明确设计目标和反馈网络的参数,通过计算和仿真实现。
CORRECTIONS TO SOLUTIONS MANUALIn the new edition, some chapter problems have been reordered and equations and figure refer-ences have changed. The solutions manual is based on the preview edition and therefore must be corrected to apply to the new edition. Below is a list reflecting those changes.The “NEW” column contains the problem numbers in the new edition. If that problem was origi-nally under another number in the preview edition,that number will be listed in the“PREVIEW”column on the same line.In addition,if a reference used in that problem has changed,that change will be noted under the problem number in quotes. Chapters and problems not listed are unchanged.For example:NEW PREVIEW--------------4.18 4.5“Fig. 4.38” “Fig. 4.35”“Fig. 4.39” “Fig. 4.36”The above means that problem4.18in the new edition was problem4.5in the preview edition.To find its solution, look up problem 4.5 in the solutions manual. Also, the problem 4.5 solution referred to “Fig. 4.35” and “Fig. 4.36” and should now be “Fig. 4.38” and “Fig. 4.39,” respec-tively._____________________________________________________________________________ CHAPTER 3NEW PREVIEW--------------3.1 3.83.2 3.93.3 3.113.4 3.123.5 3.133.6 3.143.7 3.15“From 3.6” “From 3.14”3.8 3.163.9 3.173.10 3.183.11 3.193.12 3.203.13 3.213.14 3.223.15 3.13.16 3.23.17 3.2’3.18 3.33.19 3.43.20 3.53.21 3.63.22 3.73.23 3.103.24 3.233.25 3.243.26 3.253.27 3.263.28 3.273.29 3.28 CHAPTER 4NEW PREVIEW--------------4.1 4.124.2 4.134.3 4.144.4 4.154.5 4.164.6 4.174.7 4.18“p. 4.6” “p. 4.17”4.8 4.194.9 4.204.10 4.214.11 4.224.12 4.234.13 4.24“p. 4.9” “p. 4.20”4.14 4.1“(4.52)” “(4.51)”“(4.53)” “(4.52)”4.15 4.24.16 4.34.17 4.44.18 4.5“Fig. 4.38” “Fig. 4.35”“Fig. 4.39” “Fig. 4.36”4.19 4.6“Fig 4.39(c)” “Fig 4.36(c)”4.20 4.74.21 4.84.22 4.94.23 4.104.24 4.114.25 4.254.26 4.26“p. 4.9” “p. 4.20”CHAPTER 5NEW PREVIEW--------------5.1 5.165.2 5.175.3 5.185.4 5.195.5 5.205.6 5.215.7 5.225.8 5.235.9 5.15.10 5.25.11 5.35.12 5.45.13 5.55.14 5.65.15 5.75.16 5.85.17 5.95.18 5.10“Similar to 5.18(a)” “Similar to 5.10(a)”5.19 5.115.20 5.125.21 5.135.22 5.145.23 5.15CHAPTER 6NEW PREVIEW--------------6.1 6.76.2 6.86.3 6.9“from eq(6.23)” “from eq(6.20)”6.4 6.106.5 6.11“eq (6.52)” “eq (6.49)”6.6 6.16.7 6.26.8 6.36.9 6.46.10 6.56.11 6.66.13 6.13“eq (6.56)” “eq (6.53)”“problem 3” “problem 9”6.16 6.16“to (6.23) & (6.80)” “to (6.20) & (6.76)”6.17 6.17“equation (6.23)” “equation (6.20)”CHAPTER 7NEW PREVIEW--------------7.27.2“eqn. (7.59)” “eqn. (7.57)”7.177.17“eqn. (7.59)” “eqn. (7.57)7.197.19“eqns 7.66 and 7.67” “eqns 7.60 and 7.61”7.217.21“eqn. 7.66” “eqn. 7.60”7.227.22“eqns 7.70 and 7.71” “eqns. 7.64 and 7.65”7.237.23“eqn. 7.71” “eqn. 7.65”7.247.24“eqn 7.79” “eqn 7.73”CHAPTER 8NEW PREVIEW--------------8.18.58.28.68.38.78.48.88.58.98.68.108.78.118.88.18.98.28.108.38.118.48.138.13“problem 8.5” “problem 8.9”CHAPTER 13NEW PREVIEW--------------3.17 3.17“Eq. (3.123)” “Eq. (3.119)”CHAPTER 14 - New Chapter, “Oscillators”CHAPTER 15 - New Chapter, “Phase-Locked Loops”CHAPTER 16 - Was Chapter 14 in Preview Ed.Change all chapter references in solutions manual from 14 to 16. CHAPTER 17 - Was Chapter 15 in Preview Ed.Change all chapter references in solutions manual from 15 to 17. CHAPTER 18 - Was Chapter 16 in Preview Ed.NEW PREVIEW--------------18.316.3“Fig. 18.12(c)” “Fig. 16.13(c)”18.816.8“Fig. 18.33(a,b,c,d)” “Fig. 16.34(a,b,c,d)”Also, change all chapter references from 16 to 18.。
拉扎维模拟CMOS集成电路设计第三章作业答案详解完整版教程解析第一题题目:请解释拉扎维模拟CMOS集成电路设计的主要目标。
拉扎维模拟CMOS集成电路设计的主要目标是通过集成电路设计技术来实现高性能、低功耗、低噪声、高稳定性的模拟电路。
具体目标包括:1.高性能:通过优化电路结构和参数,提高电路的增益、带宽和速度,以满足高性能模拟信号处理需求。
2.低功耗:采用低功耗设计技术,减少功耗和电源电压,提高电路的能效比,延长电池寿命。
3.低噪声:通过降低噪声源和优化电路设计,减少电路的噪声,并提高信号与噪声比,以提高电路的信号处理能力。
4.高稳定性:通过减小电路参数的变化范围、提高电路对温度、工艺和电源电压的抵抗能力,提高电路的稳定性和可靠性。
综合上述目标,拉扎维模拟CMOS集成电路设计致力于设计出符合实际需求,并具有良好性能、可靠性和可实施性的模拟电路。
第二题题目:什么是负载效应?在拉扎维模拟CMOS集成电路中如何考虑负载效应?负载效应是指当负载改变时,电路的工作条件和性能表现发生变化的现象。
在拉扎维模拟CMOS集成电路中,考虑负载效应是非常重要的。
拉扎维模拟CMOS集成电路中,电路的输入和输出之间会存在阻抗差异,从而导致在连接电路之间引入额外的电容和电阻负载。
这些负载对电路的工作状态产生影响,可能导致增益降低、频率响应偏移、功耗增加等问题。
为了考虑负载效应,在拉扎维模拟CMOS集成电路设计中,需要进行以下步骤:1.电路参数分析:通过计算和仿真,分析电路的输入和输出阻抗,确定电路的负载情况。
2.负载效应补偿:根据负载效应分析结果,采取一系列补偿措施来消除或减小负载效应对电路性能的影响。
例如,可以通过优化电路的结构或参数来改变电路的负载特性,使其更符合设计要求。
3.电路稳定性分析:在设计过程中,还需要对电路的稳定性进行分析。
如果负载效应较大,可能会导致电路的振荡或不稳定现象。
通过稳定性分析,可以预测和避免这些问题的发生。
3.1阐发:对PMOS 和NMOS 管二极管连接形式的CS 放年夜电路,最年夜的区别在于PMOS 做负载无体效应,所以这里应该考虑gmb 的影响。
同时,由于L=0.5,沟道长度比较短,所以,沟长调制效应也应该考虑进去。
同理 25p 10835.3μV A C OX-⨯=∵ 5.0501=⎪⎪⎭⎫⎝⎛L W5.0102=⎪⎪⎭⎫ ⎝⎛L W A I I D D m 5.021== ∴ K I r DN o o 201r 21===λ()()22222n 2121DS N TH GS ox D V V V L W C I λμ+-⎪⎪⎭⎫ ⎝⎛=VO = 1.46V 输出电阻: ∴增益85.1g A 1-=-=OUT m VRM2换为PMOS 管,则可忽略M2的体效应,同理可得 ∴增益85.0g A 1-=-=OUT m V R3.2(a )∵ 5.0501=⎪⎪⎭⎫⎝⎛L W2502=⎪⎪⎭⎫ ⎝⎛L W A I I D D m 5.021== ∴ K I DN o 201r 1==λK I DP o 101r 2==λ又2401034.1μμ2V A t C OXsion OXn -⨯=•=εε∴ V A I LWC D OX m /106.32g 31-⨯==μ∴增益()4.24//r g A 211-=-=o o m Vr(b )求输出电压的最年夜摆幅及求输出电压最年夜值与最小值之差阐发可知,当M1管处于临界三极管区时输出电压有最小值Vomin ,此时有:有以上两式可推得 Vomin=0.27当M2管处于临界三极管区是输出电压有最年夜值Vomax ,同理有:VSDMIN = 0.99 ∴Vomax=VDDVSDMIN = 2V ∴输出电压的最年夜摆幅为VomaxVomin= 1.73V 3.3(a )∵5.050=⎪⎪⎭⎫⎝⎛L WA I D m 11=Ω=K R D 2 ∴K I DN o101r ==λ∴ 增益86.0g A 1-=-=OUT m VR(b )∵M1工作在线性区边沿 ∴ TH GS DS OUTV V V V -==1由以上两式可得VV GS 13.1=, A I D3-1028.1⨯=∴ ∴ 增益()34.9//r g A 1-=-=D o m VR(c )各区域主要由DS V 决定,进入线性区50mV 即三极管临界区的DS V 减小50mV ∵ 临界区的V R I V V D D DD DS44.0=-=所以进入线性区50mV 时的DS V =0.39V ∴ A R V V I DDSDD D 3103.1-⨯=-==∴ ()()V V V V V V L W C I GS DS DS TH GS ox D14.122121n =⇒--⎪⎪⎭⎫ ⎝⎛=μ又∵ 三极管区19.5g 1n =⎪⎪⎭⎫⎝⎛=DS ox m V L W C μ∴增益()4//R g A -=-=D o m V R3.12阐发:已知各支路电流及M1宽长比,可求得M1过驱动电压即out V ,从而由M2的gs V 及电流可求得其宽长比。
第三章 课后习题(1)参考答案P1111、 试说明串行进位和并行进位方式的不同之处。
(P .61.) 答:串行进位中进位是逐级形成的,每一级的进位直接依赖于前一级的进位,延迟时间较长,但节省器件,成本低。
并行进位中,各位进位信号都有独自的进位形成逻辑,每位进位信号的产生时间都相同,与低位进位无关,可有效地减少进位延迟时间。
但这是以增加逻辑线路为代价的。
2、 用74181和74182芯片构成一个64位的ALU ,采用分级分组并行进位链。
画出逻辑框图,并注明输入、输出等。
参考(P .63. 图3-6)答:P .63. 图3-6 画出了一个16位的并行进位ALU 结构 (每个74181芯片处理4位,16位需要4片74181芯片,组间用1片74182芯片产生组间并行进位。
)64位ALU ,可采用4组图3-6 的结构,每组处理16位,再用1片74182,处理组间进位。
A 3~0B 3~0A 7~4B 7~4A 11~8B 11~8A 15~12B 15~12__ __Cn16位并行进位ALU结构A 15~0B 15~0A 31~16B 31~16A 47~32 B 47~32A 63~48B 63~48__ __Cn64位并行进位ALU结构3、 用变形补码计算[X]补+[Y]补,并指出是否溢出,说明是正溢还是负溢。
(P .66.) 答:(1)[X]补=00,110011 [Y]补=00,101101 [X]补+[Y]补 = 01,100000,正溢出 (2)[X]补=00,010110 [Y]补=00,100101 [X]补+[Y]补 = 00,111011 无溢出 (3)[X]补=00,1110011 [Y]补=11,101101 [X]补+[Y]补 = 11,100000,无溢出 (4)[X]补=11,001101 [Y]补=11,010011[X]补+[Y]补 = 10,100000,负溢出4、 用变形补码计算[X]补-[Y]补,并指出是否溢出。
拉扎维教材第三章答案中文版(纯手写)
PART1
最近重新温习拉扎维,参考英文版答案顺便教材手动整理下教材课后习题,部分习题加入了一些自己的想法和备注。
欢迎各位学弟学妹下载,不过请不要照抄答案!因为没有扫描仪器,用手机照的相片。
这一部分是第三章作业的前一半的题目,也请大家尊重本人劳动成果,可以下载,但请不要随意下载后再上传,谢谢大家!
PART2
另外3.11题目可参考3.10
注明:如有错误之处欢迎指正。
在我的百度账号下留言即可:清风一鹤。
PART3
答案照片在下面
↓↓↓↓↓↓↓↓↓↓↓↓↓↓↓↓↓↓↓↓↓↓↓↓↓↓↓↓↓↓↓↓↓↓↓↓↓↓↓。
拉扎维教材第三章答案中文版(纯手写)
PART1
最近重新温习拉扎维,参考英文版答案顺便教材手动整理下教材课后习题,部分习题加入了一些自己的想法和备注。
欢迎各位学弟学妹下载,不过请不要照抄答案!因为没有扫描仪器,用手机照的相片。
这一部分是第三章作业的前一半的题目,也请大家尊重本人劳动成果,可以下载,但请不要随意下载后再上传,谢谢大家!
PART2
另外3.11题目可参考3.10
注明:如有错误之处欢迎指正。
在我的百度账号下留言即可:清风一鹤。
PART3
答案照片在下面
↓↓↓↓↓↓↓↓↓↓↓↓↓↓↓↓↓↓↓↓↓↓↓↓↓↓↓↓↓↓↓↓↓↓↓↓↓↓↓。