施工机械台班单价调整表
- 格式:docx
- 大小:166.03 KB
- 文档页数:4
第二季度福建施工机械台班单价福建建设工程造价信息网
介绍
福建建设工程造价信息网是福建省物价局领导下的专业网站,致力于为全省建
筑施工企业提供造价信息服务,包括工程造价信息、投标信息、材料市场行情等。
本文将介绍福建省第二季度施工机械台班单价情况。
施工机械台班单价
施工机械台班单价指的是每台机械在工程中的使用价格,主要包括机械租赁费、机械折旧、机械运行维护费用等。
福建省第二季度施工机械台班单价如下表所示:
机械名称施工机械台班单价(元/台·日)
推土机800
挖掘机1500
装载机1200
压路机1000
起重机2500
绞车1200
混凝土搅拌机800
影响因素
施工机械台班单价的影响因素很多,主要包括机械的品牌、型号、工作量、租
赁公司等。
在施工过程中,如果能够合理利用机械,加强使用和维护管理,将有助于降低机械台班单价。
福建省建筑施工企业在施工过程中,需要关注机械台班单价的变化情况,以便
合理利用机械,控制造价。
福建建设工程造价信息网为福建省建筑施工企业提供含有丰富的造价信息服务,建议建筑施工企业关注该网站信息。
以上是福建省第二季度施工机械台班单价的介绍,如果需要查询更多相关信息,建议查看福建建设工程造价信息网。
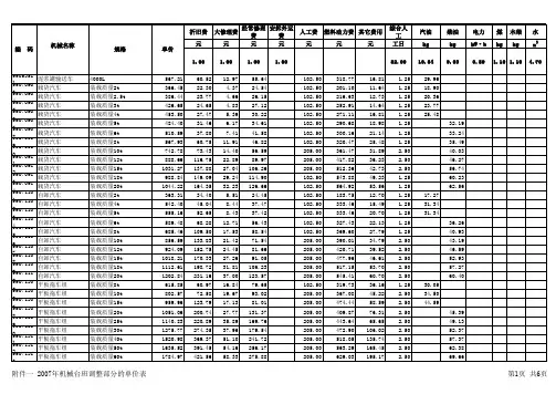
关于调整《山西省建设工程计价依据》中部分施工机械台班单价的通知
作者:ly来源:山西省工程建设标准定额站点击数:4504 更新时间:2009-5-11
各有关单位:
根据国务院《关于实施成品油价格和税费改革的通知》精神及我省有关规定,经研究决定对2005年《山西省建设工程计价依据》中的部分施工机械台班单价进行调整,取消公路养路费、公路货运补偿费等相关费用。
现将有关规定通知如下:
一、调整后的施工机械台班单价与2005年发布的《山西省建设工程计价依据》配套使用。
二、本通知只对《关于实施成品油价格和税费改革的通知》中涉及到的施工机械台班单价的其他费用标准进行了调整,未涉及到的施工机械仍按原台班单价执行。
三、本通知自二〇〇九年一月一日起实行,本通知下发之前已办理竣工结算的工程不再调整。
四、在执行过程中如遇问题和意见,请及时向省工程建设标准定额站反映。
山西省工程建设标准定额站
二〇〇九年三月九日
附件:施工机械台班单价调整表
施工机械台班单价调整表。